Abstract
We report on experimental observations of phenomenological self-trapping in plasmonic colloids of varying plasmon peaks in the visible/near infrared. A femtosecond (fs) oscillator is used in both pulsed (35 fs, 76 MHz) and continuous wave (cw) operation for comparison. We show that for both modes and for all examined colloids (and under typically applied external focusing conditions in self-trapping studies in colloidal media) nonlinear propagation is governed by thermal defocusing of the focused beam, which precedes the steady-state regime reached by particle diffusion, even far from the plasmon resonance (or equivalently for non-plasmonic colloids, even for low absorption coefficients). A strategy for the utilization of high repetition fs pulses to mitigate thermal lensing and promote gradient force-induced self-trapping is discussed. Notably, nonlinear thermal lensing is further accompanied by natural convection due to the horizontal configuration of the setup. Under resonant illumination, for both fs and cw cases, we observe mode break-up of the beam profile, most likely due to azimuthal modulation instability. Importantly, time-resolved observations of the break-up indicate that in the fs case, thermal convection heat transfer is reduced in magnitude and significantly decoupled in time from thermal conduction, presumably due to temperature increase confinement near the particles. We anticipate that our findings will trigger interest toward the use of high repetition fs pulses for self-channeling applications in nano-colloids.
1 Introduction
Nonlinear self-trapping of laser light in soft-matter systems, such as dielectric [1], [2], [3], [4], [5] or plasmonic colloids [6], [7], [8], [9], [10], [11], [12], [13], [14], [15] as well as biological media [16], [17], [18], [19], [20], has attracted increased attention over the past decade. The effect is described as diffraction-less propagation of laser light, trapped over many diffraction lengths by virtue of the intensity-dependent nonlinear refractive index of the medium. Indeed, the possibility has been noted of tuning the nonlinear response of soft-matter systems via laser-induced local refractive index modulation, leading to the observation of novel self-action effects. Consequently, soft-matter systems provide a unique platform for the fundamental investigation of nonlinear effects and for prototypical applications based on self-focusing and instability beam break-up [17, 21].
In the case of plasmonic nanocolloids, several studies have reported that self-trapping of laser light is possible by virtue of particle concentration gradients arising from the enhanced particle polarizabilities and exerted on them optical forces [7, 8, 10, 14, 15]. Others have demonstrated in the same context that the beam is not self-trapped; in fact, a self-channeling effect (a phenomenological self-trapping) is observed because of nonlinear thermal lensing, giving the impression of a self-trapped beam, particularly when the laser field is tuned near the plasmon resonance [6, 9, 13]. In this case, the medium acts as a laser-induced (due to optical absorption by the particles) thermal lens, which tends to collimate the externally focused beam, much like an optical telescope. Thus, the conditions that demarcate the dominance of either thermal or particle diffusion (due to optical forces) effects, especially far from the plasmon resonance, in the context of self-channeling in plasmonic colloids remain unclear.
Further, most studies of self-trapping of optical beams have been conducted by use of cw laser sources. Interestingly, under certain focusing conditions, fs laser pulses of high repetition rate can be used to generate quasi-continuous wave interactions due to cumulative effects [22], [23], [24], [25], [26]. Additionally, in the case of plasmonic systems, fs pulses lead to higher localization of thermal effects [27]. Therefore, the use of high repetition fs pulses in plasmonic nano-colloids in this context and how it compares to cw interaction is particularly interesting and has not been explored yet.
The objectives of this work are the following:
Study the phenomenological self-trapping (self-channeling) of high repetition rate fs laser pulses in plasmonic nanocolloids of varying plasmon peaks with respect to the incident field wavelength, by applying commonly reported focusing conditions. We show that the effect exhibits characteristics of thermal self-defocusing of a focused beam (for both cw and fs operation) even far from the plasmon resonance and is generalized for any absorbing medium of given thermal properties. We discuss conditions under which optical force-induced self-trapping can be achieved as opposed to nonlinear thermal lensing by means of high repetition rate fs pulses.
Explore the features of the observed nonlinear thermal lensing induced by high repetition fs pulses as opposed to cw laser light, under plasmon-resonant interaction. We specifically aim to explore if thermal effects are alleviated under fs illumination. To this end, we analyzed distinct features in the dynamics of a beam spatial mode break-up and thermal distortion (blooming) at high input powers, when resonant samples are excited by either cw or fs illumination, and their association to the thermal response of the nanoparticles.
2 Results
2.1 Nonlinear thermal lensing (fs pulses)
A series of experiments were performed to understand the origin of the self-channeling effect under fs illumination in plasmonic nanocolloids. We evaluated the power-dependent full width half maximum (FWHM) far-field beam width and divergence of an externally focused beam as it emerged from a 20 mm optical cuvette that contained each of four examined plasmonic nano-colloids (samples S1, S2, S3, S4 as shown in Table 1). Images of the FWHM far-field beam width were collected by a CMOS camera placed at two different positions in the far-field (Figure 1(a)). A Ti:Sapphire laser in fs operation (wavelength 800 nm, pulsewidth 35 fs, repetition rate 76 MHz) was used. The laser oscillator could run in both fs and cw modes. The initial beam 1/e2 radius was elliptical, evaluated
Linear absorption and thermo-optic coefficients of the examined plasmonic nanocolloids, characterized by optical transmittance and z-scan measurements by fs irradiation at 800 nm aWidth × Length. bDiameter. cLongitudinal, dTransverse.
| Sample | Average size (nm) | Surface plasmon resonance wavelength (nm) |
|
|
|---|---|---|---|---|
| S1 (Au nanorods) |
|
|
|
|
| S2 (Au nanorods) |
|
|
|
|
| S3 (Au nanospheres) |
|
|
|
|
| S4 (Au–Ag alloy:15–85 nanospheres) |
|
|
|
|

(a) The experimental setup (detailed in Supplementary material). (b) The figures on the left show the three examined cuvette positionings with respect to the geometrical focus of lens L in air, as defined by the parameter d. The figures on the right indicate quantitatively the shift of the actual beam waist position inside the 20 mm long cuvette, when filled with the examined colloids (linear regime). This is because of the difference between the refractive index of air (n0 ≈ 1) and colloids (n0 ≈ 1.33). The values in air (dashed curves) correspond to experimentally measured beam width along X-axis (shown in Figure A1(b), Supplementary material). The values in the colloids (solid curves) have been evaluated by Eq. (A1b) (Supplementary material) for n0 = 1.33.
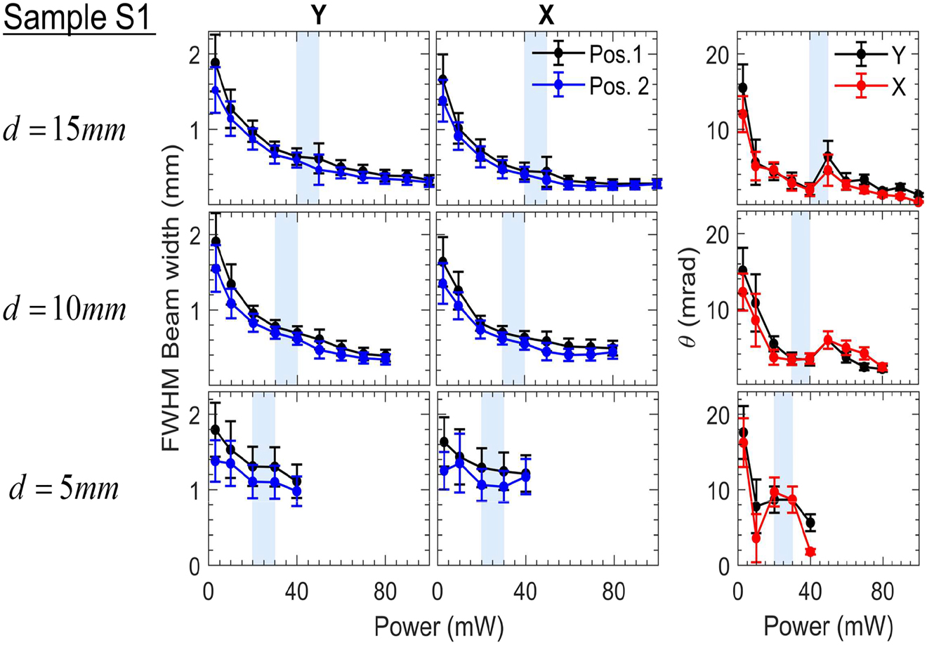
First, we examined the influence of the position parameter

Experimental measurements of the far-field FWHM beam width and divergence
The following qualitative observations can be made: as the input power increased, the beam width gradually decreased for all cuvette positions, retaining a nearly Gaussian profile. The behavior continued up to a critical power value where a diffraction ring was formed on the background, presumably because of strong thermal aberration (phase-front spatial interference of Airy function-type). The onset of this transition was recorded and is shown in Figure 2 marked by a shaded, light-blue area.
The FWHM of only the central Airy disk was evaluated at higher powers than the onset of the foresaid transition. The central Airy disk was seen to gradually shrink and decay at increased input powers (>40 mW for
We make the following quantitative evaluations on the beam width and the divergence of the beam as a function of input power (<100 mW) for all three examined
The divergence of the beam for
For the rest of the samples, we performed experiments for

Same as Figure 2, for the samples S2, S3 and S4 and for
For sample S4, it was not possible to determine the onset of Airy function-type interference since not enough power was available by our laser source (<280 mW). However, we observed the characteristic reduction (as described for all other samples) of the far-field beam profile and divergence above

Far-field beam width profiles under fs excitation of samples S1, S2, S3 and S4 for various optical input powers recorded at position 1 and
2.2 Comparison of resonant nonlinear thermal lensing between fs and cw operation
2.2.1 Nonlinear defocusing
In cw operation, the resonant sample S1 exhibited increased absorption (15% higher than fs excitation). This is presumably due to the monochromatic excitation of the plasmon mode, as opposed to the spreading of energy over the optical frequencies of the fs spectrum. Indeed, the latter is expected to result in less efficient mode-matching with the surface plasmons. We have performed comparison of the two cases (fs and cw) when

Comparison between use of cw and fs excitation on the experimental measurements of the far-field FWHM beam width and divergence
In cw mode, the FWHM beam width obtained lower values at the same input power compared to the fs case up to ∼30 mW. For higher powers, this trend continued only on the Y axis, while in the X axis, no significant difference was observed between cw and fs operation beam widths. On the other hand, in the power interval between 3 and 40 mW, the divergence of the beam obtained smaller values in cw operation down to about 1.5–3.0 mrad. Formation of Airy function-type interference was observed above ∼40 mW. At optical power ∼70 mW, the beam divergence increased for cw operation, which opposes the observations of fs operation.
2.2.2 Convection and thermal blooming
Figure 6 shows images of the profiles at various powers for fs and cw excitation. Evidently, induced convection currents caused a downward deflection of the beam along the y axis.

Far-field beam width profile under fs and cw excitation of sample S1 for high input powers recorded at position 1 and
Similar features on a beam profile break-up under cw operation preceded in optical power the ones acquired under fs operation. Specifically, break-up of the first outer ring was observed, at an onset of ∼100 mW and ∼120 mW for cw and fs operation, respectively. The first outer ring clearly breaks up into four bright spots, at ∼120 mW input power for both cases. As the power increased in cw operation, the thermal blooming effect [28] manifested itself (at ∼160 mW). Contrarily, in fs operation the profile retained its axial symmetry along x and y axes obtaining yet a complex structure, while it was elongated along the x axis up to ∼200 mW.
We have obtained time-resolved images of the far-field beam profile (see Methods, Section A1.1 – Supplementary material) for the specific cases of input power of 120 mW and 140 mW in cw and fs pulsed operations, respectively. The images were used to analyze the difference in the dynamics of the mode break-up. Results of images taken for both cases are shown in Figure 7.

Time-resolved far-field beam width profile under fs and cw excitation of sample S1 for input powers of ∼140 mW and ∼120 mW, respectively, recorded at position 1 and
For the fs case, observable growth of the break-up of the first outer ring surrounding the decaying core occurred only after ∼1 s as opposed to the cw case for which the same effect was observed after ∼200 ms from the opening of the shutter. Further, the beam profile break-up in the fs case became pronounced after the beam acquired its final position, under convection-induced displacement. In the cw case, the onset of profile displacement subtly preceded in time the one in the fs case (compare for example the central core displacement in the two cases after ∼200 ms and ∼244 ms from the opening of the shutter). Finally, the break-up was observed to be typically accompanied with stochastic, small-scale motion of the profile around the center of the beam (Supplementary video). For the case of cw excitation, such stochastic motion was observed as early as ∼200 ms, and was generally more pronounced, whereas, in the fs case it became observable only after ∼1 s from the opening of the shutter.
3 Discussion
3.1 Nonlinear thermal lensing (fs pulses)
The phenomenological self-trapping observed experimentally was compared theoretically to a model based on the stationary nonlinear Schrödinger equation with thermal nonlinearity [Eqs. (A3) and (A4), Supplementary material]. We first evaluated

Results of numerical simulations based on the nonlinear Schrödinger equation with a thermal nonlinearity (Eqs. (A3) and (A4), Supplementary material) and comparison with experimental observations for
Importantly,
The behavior of
While the problem was solved implying positive nonlinearity, the reduced propagation equation (e.g., Eq. (21) in [29]) is identical for negative nonlinearity if also an external focusing initial condition is considered (
where, we have assumed
Further, we evaluated numerically the divergence of the beam at
In Figure 9, the characteristic-needle like propagation is simulated as a function of propagation z. A nonlinear focus is formed due to temperature-induced refractive index changes in the medium that creates the self-channeling effect, reducing

Numerical simulation results at
Notably, we have performed an order-of-magnitude comparison between the characteristic times of mass diffusion
3.2 Comparison of resonant nonlinear thermal lensing between fs and cw operation
Experiments on resonant sample S1 demonstrated small differences in the far-field FWHM beam width and divergence between cw and fs operations. The differences may be attributed to the 15% higher absorption coefficient in the case of cw excitation since both the far-field FWHM beam size width and divergence acquire slightly smaller values at the same input power. Nonetheless, at input power of ∼80 mW (well above
The breakup of the first diffraction ring, observed in fs and cw operation at
We analyzed time-resolved images of the beam profile for both fs and cw operation as a function of the input power. Figure 10(a) shows the recorded vertical displacement

Comparison of (a) the displacement
Balancing the forces of buoyancy and viscous drag force, leads to an estimation of the average downward velocity of the induced flow [28]
where
Eq. (4) shows that the relation between
where
Eq. (6) shows that for
Overall, strong thermal aberrations at increased powers, appear to be limited in the case of fs illumination, which is evident on (i) the analysis just described, (ii) the thermal blooming features shown in Figure 6, and (iii) the weaker stochastic motion of the beam (Supplementary video). A possible explanation can be given by the fact that, under excitation by fs pulses, temperature rise is highly confined in the vicinity of the nanoparticles [27]. The temperature increase profile decreases rapidly in space away from the surface of the particle as
4 Conclusions
We have studied phenomenological self-trapping of high repetition rate fs laser pulses in plasmonic nanocolloids of varying plasmon resonance under typically reported external focusing conditions. The excitation regime resulted in cumulative effects, exhibiting a quasi-cw behaviour. Experimental observations of the far-field beam width and divergence indicated similarity for all samples up to a critical power. They further implied phenomenological self-trapping due to stationary, photo-absorption thermal defocusing of an externally focused beam, for both cw and fs excitation. A good agreement between numerical experiments and the experimental observations supported the foresaid model suggesting that the effect can be generally observed in any absorbing medium.
An important element of the studied effect in a soft-matter system is the induction of convective currents that causes beam downward deflection in a horizontal illumination configuration. Under resonant fs and cw excitation of plasmonic colloids we observed that beam deflection was further accompanied by beam spatial mode break-up at increasing input powers, most likely due to the ellipticity of the beam. By analyzing the dynamics of the effect for both cases, we conclude that under fs excitation, convective heat transfer appears to be, relatively to the cw excitation, reduced in magnitude and decoupled in time from conductive heat transfer. This is presumably because fs illumination, as opposed to cw, results typically in spatial temperature increase confinement near the particles. Effectively, delayed beam break-up and reduced beam axial asymmetry due to thermal blooming at increased power are observed.
Finally, according to our analysis, we conclude that the (high) repetition rate of fs pulses in conjunction with tight focusing (high numerical aperture) constitute dominant parameters for alleviating thermal effects and promoting observation of nonlinear self-trapping induced by gradient optical forces in plasmonic nanocolloids.
Funding source: Natural Sciences and Engineering Research Council of Canada
Award Identifier / Grant number: RGPIN-5288
-
Author contribution: All the authors have accepted responsibility for the entire content of this submitted manuscript and approved submission.
-
Research funding: This work was supported by the Natural Science and Engineering Research Council of Canada.
-
Conflict of interest statement: The authors declare no conflicts of interest regarding this article.
References
[1] O. Brzobohatý, L. s. Chvátal, A. Jonáš, et al.., “Tunable soft-matter optofluidic waveguides assembled by light,” ACS Photonics, vol. 6, pp. 403–410, 2019, https://doi.org/10.1021/acsphotonics.8b01331.Search in Google Scholar
[2] S. Fardad, M. S. Mills, P. Zhang, W. Man, Z. Chen, and D. Christodoulides, “Interactions between self-channeled optical beams in soft-matter systems with artificial nonlinearities,” Opt. Lett., vol. 38, pp. 3585–3587, 2013, https://doi.org/10.1364/ol.38.003585.Search in Google Scholar
[3] Y. Lamhot, A. Barak, O. Peleg, and M. Segev, “Self-trapping of optical beams through thermophoresis,” Phys. Rev. Lett., vol. 105, p. 163906, 2010, https://doi.org/10.1103/physrevlett.105.163906.Search in Google Scholar PubMed
[4] W. Man, S. Fardad, Z. Zhang, et al.., “Optical nonlinearities and enhanced light transmission in soft-matter systems with tunable polarizabilities,” Phys. Rev. Lett., vol. 111, p. 218302, 2013, https://doi.org/10.1103/physrevlett.111.218302.Search in Google Scholar
[5] J. Sun, S. Z. Silahli, W. Walasik, Q. Li, E. Johnson, and N. M. Litchinitser, “Nanoscale orbital angular momentum beam instabilities in engineered nonlinear colloidal media,” Opt. Express, vol. 26, pp. 5118–5125, 2018, https://doi.org/10.1364/oe.26.005118.Search in Google Scholar
[6] B.A. Ortega, E. C. Brambila, V. López Gayou, et al.., “Light control through a nonlinear lensing effect in a colloid of biosynthesized gold nanoparticles,” J. Mod. Opt., vol. 66, pp. 502–511, 2019, https://doi.org/10.1080/09500340.2018.1549287.Search in Google Scholar
[7] S. Fardad, A. Salandrino, M. Heinrich, P. Zhang, Z. Chen, and D. N. Christodoulides, “Plasmonic resonant solitons in metallic nanosuspensions,” Nano Lett., vol. 14, pp. 2498–2504, 2014, https://doi.org/10.1021/nl500191e.Search in Google Scholar PubMed
[8] T. S. Kelly, Y.-X. Ren, A. Samadi, A. Bezryadina, D. Christodoulides, and Z. Chen, “Guiding and nonlinear coupling of light in plasmonic nanosuspensions,” Opt. Lett., vol. 41, pp. 3817–3820, 2016, https://doi.org/10.1364/ol.41.003817.Search in Google Scholar
[9] A. B. Ortega, F. E. Torres-González, V. L. Gayou, et al.., “Guiding light with singular beams in nanoplasmonic colloids,” Appl. Phys. Lett., vol. 118, p. 061102, 2021, https://doi.org/10.1063/5.0041198.Search in Google Scholar
[10] Y.-X. Ren, T. S. Kelly, C. Zhang, H. Xu, and Z. Chen, “Soliton-mediated orientational ordering of gold nanorods and birefringence in plasmonic suspensions,” Opt. Lett., vol. 42, pp. 627–630, 2017, https://doi.org/10.1364/ol.42.000627.Search in Google Scholar PubMed
[11] A. S. Reyna, G. Boudebs, B. A. Malomed, and C. B. de Araújo, “Robust self-trapping of vortex beams in a saturable optical medium,” Phys. Rev., vol. 93, p. 013840, 2016, https://doi.org/10.1103/physreva.93.013840.Search in Google Scholar
[12] A. S. Reyna and C. B. de Araújo, “Guiding and confinement of light induced by optical vortex solitons in a cubic–quintic medium,” Opt. Lett., vol. 41, pp. 191–194, 2016, https://doi.org/10.1364/ol.41.000191.Search in Google Scholar
[13] V. Shvedov, K. Cyprych, M. Y. Salazar-Romero, Y. Izdebskaya, and W. Krolikowski, “Nonlinear propagation and quasi self-confinement of light in plasmonic resonant media,” Opt. Express, vol. 26, pp. 23196–23206, 2018, https://doi.org/10.1364/oe.26.023196.Search in Google Scholar
[14] Y. Xiang, G. Liang, P. Alvaro, et al., “Resonant optical nonlinearity and fluorescence enhancement in electrically tuned plasmonic nanosuspensions,” Adv. Photon. Res., vol. 2, p. 2000060, 2021. https://doi.org/10.1002/adpr.202000060.Search in Google Scholar
[15] H. Xu, P. Alvaro, Y. Xiang, et al.., “Plasmonic resonant nonlinearity and synthetic optical properties in gold nanorod suspensions,” Photon. Res., vol. 7, pp. 28–35, 2019, https://doi.org/10.1364/prj.7.000028.Search in Google Scholar
[16] A. Bezryadina, T. Hansson, R. Gautam, et al.., “Nonlinear self-action of light through biological suspensions,” Phys. Rev. Lett., vol. 119, p. 058101, 2017, https://doi.org/10.1103/PhysRevLett.119.058101.Search in Google Scholar PubMed
[17] R. Gautam, A. Bezryadina, Y. Xiang, et al.., “Nonlinear optical response and self-trapping of light in biological suspensions,” Adv. Phys. X, vol. 5, p. 1778526, 2020, https://doi.org/10.1080/23746149.2020.1778526.Search in Google Scholar
[18] R. Gautam, Y. Xiang, J. Lamstein, et al.., “Optical force-induced nonlinearity and self-guiding of light in human red blood cell suspensions,” Light Sci. Appl., vol. 8, pp. 1–9, 2019, https://doi.org/10.1038/s41377-019-0142-1.Search in Google Scholar PubMed PubMed Central
[19] N. Perez, J. Chambers, Z. Chen, and A. Bezryadina, “Nonlinear self-trapping and guiding of light at different wavelengths with sheep blood,” Opt. Lett., vol. 46, pp. 629–632, 2021, https://doi.org/10.1364/ol.412984.Search in Google Scholar
[20] H. Xin, Y. Li, X. Liu, and B. Li, “Escherichia coli-based biophotonic waveguides,” Nano Lett., vol. 13, pp. 3408–3413, 2013, https://doi.org/10.1021/nl401870d.Search in Google Scholar PubMed
[21] N. M. Litchinitser, “Nonlinear optics in metamaterials,” Adv. Phys. X, vol. 3, p. 1367628, 2018, https://doi.org/10.1080/23746149.2017.1367628.Search in Google Scholar
[22] B. Agate, C. Brown, W. Sibbett, and K. Dholakia, “Femtosecond optical tweezers for in-situ control of two-photon fluorescence,” Opt. Express, vol. 12, pp. 3011–3017, 2004, https://doi.org/10.1364/opex.12.003011.Search in Google Scholar PubMed
[23] M. Falconieri, “Thermo-optical effects in z-scan measurements using high-repetition-rate lasers,” J. Opt. Pure Appl. Opt., vol. 1, p. 662, 1999, https://doi.org/10.1088/1464-4258/1/6/302.Search in Google Scholar
[24] Y. Jiang, T. Narushima, and H. Okamoto, “Nonlinear optical effects in trapping nanoparticles with femtosecond pulses,” Nat. Phys., vol. 6, pp. 1005–1009, 2010, https://doi.org/10.1038/nphys1776.Search in Google Scholar
[25] T.-H. Liu, W.-Y. Chiang, A. Usman, and H. Masuhara, “Optical trapping dynamics of a single polystyrene sphere: continuous wave versus femtosecond lasers,” J. Phys. Chem. C, vol. 120, pp. 2392–2399, 2016, https://doi.org/10.1021/acs.jpcc.5b09146.Search in Google Scholar
[26] S. M. Mian, S. B. McGee, and N. Melikechi, “Experimental and theoretical investigation of thermal lensing effects in mode-locked femtosecond z-scan experiments,” Opt. Commun., vol. 207, pp. 339–345, 2002, https://doi.org/10.1016/s0030-4018(02)01395-0.Search in Google Scholar
[27] G. Baffou and H. Rigneault, “Femtosecond-pulsed optical heating of gold nanoparticles,” Phys. Rev. B, vol. 84, p. 035415, 2011, https://doi.org/10.1103/physrevb.84.035415.Search in Google Scholar
[28] D. C. Smith, “High-power laser propagation: thermal blooming,” Proc. IEEE, vol. 65, pp. 1679–1714, 1977, https://doi.org/10.1109/proc.1977.10809.Search in Google Scholar
[29] A. Khachatrian and A. Sukhorukov, “Some aspects of thermal self-focusing,” Opto-Electronics, vol. 3, pp. 49–55, 1971, https://doi.org/10.1007/bf01423513.Search in Google Scholar
[30] R. W. Boyd, Nonlinear Optics, Cambridge, Massachusetts, Academic Press, 2020.Search in Google Scholar
[31] S. Z. Silahli, W. Walasik, and N. M. Litchinitser, “Necklace beam generation in nonlinear colloidal engineered media,” Opt. Lett., vol. 40, pp. 5714–5717, 2015, https://doi.org/10.1364/ol.40.005714.Search in Google Scholar PubMed
[32] A. Vincotte and L. Bergé, “Femtosecond optical vortices in air,” Phys. Rev. Lett., vol. 95, p. 193901, 2005, https://doi.org/10.1103/physrevlett.95.193901.Search in Google Scholar PubMed
[33] J. Courtial, K. Dholakia, L. Allen, and M. Padgett, “Gaussian beams with very high orbital angular momentum,” Opt Commun., vol. 144, pp. 210–213, 1997, https://doi.org/10.1016/s0030-4018(97)00376-3.Search in Google Scholar
[34] R. Rusconi, L. Isa, and R. Piazza, “Thermal-lensing measurement of particle thermophoresis in aqueous dispersions,” J. Opt. Soc. Am. B, vol. 21, pp. 605–616, 2004, https://doi.org/10.1364/josab.21.000605.Search in Google Scholar
[35] S. Singhal and D. Goswami, “Thermal lens study of nir femtosecond laser-induced convection in alcohols,” ACS Omega, vol. 4, pp. 1889–1896, 2019, https://doi.org/10.1021/acsomega.8b02956.Search in Google Scholar PubMed PubMed Central
Supplementary Material
The online version of this article offers supplementary material (https://doi.org/10.1515/nanoph-2021-0775).
© 2022 Leonidas Agiotis and Michel Meunier, published by De Gruyter, Berlin/Boston
This work is licensed under the Creative Commons Attribution 4.0 International License.
Articles in the same Issue
- Frontmatter
- Reviews
- Photonic neuromorphic technologies in optical communications
- Photo-modulated optical and electrical properties of graphene
- Optical metasurfaces for generating and manipulating optical vortex beams
- Research Articles
- Photon coupling-induced spectrum envelope modulation in the coupled resonators from Vernier effect to harmonic Vernier effect
- Generation of high-uniformity and high-resolution Bessel beam arrays through all-dielectric metasurfaces
- Controlling and probing heat generation in an optical heater system
- Nonthermal laser ablation of high-efficiency semitransparent and aesthetic perovskite solar cells
- Plasmon-enhanced photoluminescence from MoS2 monolayer with topological insulator nanoparticle
- Polarization-controlled anisotropy in hybrid plasmonic nanoparticles
- Empirical formulation of broadband complex refractive index spectra of single-chirality carbon nanotube assembly
- Direct generation of entangled photon pairs in nonlinear optical waveguides
- A high-gain cladded waveguide amplifier on erbium doped thin-film lithium niobate fabricated using photolithography assisted chemo-mechanical etching
- High-performance near-infrared photodetectors based on gate-controlled graphene–germanium Schottky junction with split active junction
- Nonlinear thermal lensing of high repetition rate ultrafast laser light in plasmonic nano-colloids
- Ultra-secure optical encryption based on tightly focused perfect optical vortex beams
Articles in the same Issue
- Frontmatter
- Reviews
- Photonic neuromorphic technologies in optical communications
- Photo-modulated optical and electrical properties of graphene
- Optical metasurfaces for generating and manipulating optical vortex beams
- Research Articles
- Photon coupling-induced spectrum envelope modulation in the coupled resonators from Vernier effect to harmonic Vernier effect
- Generation of high-uniformity and high-resolution Bessel beam arrays through all-dielectric metasurfaces
- Controlling and probing heat generation in an optical heater system
- Nonthermal laser ablation of high-efficiency semitransparent and aesthetic perovskite solar cells
- Plasmon-enhanced photoluminescence from MoS2 monolayer with topological insulator nanoparticle
- Polarization-controlled anisotropy in hybrid plasmonic nanoparticles
- Empirical formulation of broadband complex refractive index spectra of single-chirality carbon nanotube assembly
- Direct generation of entangled photon pairs in nonlinear optical waveguides
- A high-gain cladded waveguide amplifier on erbium doped thin-film lithium niobate fabricated using photolithography assisted chemo-mechanical etching
- High-performance near-infrared photodetectors based on gate-controlled graphene–germanium Schottky junction with split active junction
- Nonlinear thermal lensing of high repetition rate ultrafast laser light in plasmonic nano-colloids
- Ultra-secure optical encryption based on tightly focused perfect optical vortex beams