Abstract
Topological indices are numerical numbers associated to molecular graphs and are invariant of a graph. In QSAR/QSPR study, Zagreb indices are used to explain the different properties of chemical compounds at the molecular level mathematically. They have been studied extensively due to their ease of calculation and numerous applications in place of the existing chemical methods which needed more time and increased the costs. In this paper, we compute precise values of new versions of Zagreb indices for two classes of dendrimers.
1 Introduction
Dendrimers are discrete nanostructures with the well-defined, homogeneous and monodisperse structure having tree-like arms with low polydispersity and high functionality. The structure of these materials has a great impact on their physical and chemical properties. Due to their singular behaviour, these are acceptable for a wide range of potential applications in several areas of research, technology and treatment. With bettered synthesis, additional understandings of their unique characteristics and recognition of new applications, dendrimers will become hopeful candidates for further exploitation in drug discovery and clinical applications. Developing of commercial implementations of dendrimer technology will provide strength for its functionality in the future (Abbasi et al., 2014; Boad et al., 2006; Klajnert and Bryszewska, 2001).
Throughout the paper we consider G to be a finite, simple and connected molecular graph. The vertex set and the edge set of G are denoted by V(G) and E(G), respectively. In a molecular graph, the vertices correspond to atoms and the edges correspond to chemical bonds between the atoms. For an element in a molecular graph G = (V, E), we mean either a vertex or an edge. Two vertices u and v are called adjacent if there is an edge between them and we write it as e = uv or e = vu. Similarly, two edges e and f are called adjacent if they have a common vertex. The degree of a vertex u ∈ V(G) is the cardinality of the set of edges incident to u and is denoted by du. For a given edge e = uvE(G), the degree of e is defined as duv = du + dv – 2.
The topological index is a numerical number linked with chemical constitutions. This number claims to correlate the chemical structures with its many physical/ chemical properties, biological activity or chemical reactivity. Many topological indices have been introduced based on the transformation of a molecular graph into a number that examines the relationship between the structure, properties, and activity of chemical compounds in molecular modelling. These topological indices are invariant under graph isomorphism, If A and B are two molecular graphs such that A ≅ B, then we have Top(A) = Top(B), where Top(A) and Top(B) denote the topological indices of A and B, respectively. In the field of nanotechnology, biochemistry, and chemistry, different topological indices are observed to be useful in structure-property relationship, isomer discrimination, and structure-activity relationship. In recent decades, many topological indices have been defined and utilized for chirality, similarity/dissimilarity, study of molecular complexity, chemical documentation, isomer discrimination, structure-property relationship and structure-activity relationship, lead optimization, drug design, and database selection, etc. There are three main types of topological indices: distance-based, degree-based, and counting-related. For further studies of numerous kinds of topological indices of graphs and chemical structures (Aslam et al., 2017, 2018; Gao et al., 2018; Iqbal et al., 2017, 2019; Kang et al., 2018).
Among the degree-based Topological indices the Zagreb indices are the oldest and most studied molecular structure descriptors and they found significant applications in chemistry. Nowadays, there exist hundreds of papers on Zagreb indices and related matters. Gutman and Trinajstić (1972) introduced the first and second Zagreb index based on the degree of vertices of a graph G. The first and second Zagreb index of a molecular graph G are denoted and defined as:
These formulas were obtained analyzing the structural dependency of total π electron energy. It was observed that these terms increase with the increase extent of branching of carbon-atom Skelton. This shows that these formulas provide the quantitative measures of molecular branching.
After this, many new extended and reformulated versions of Zagreb indices have been introduced, e.g. see: Ali et al. (2018), Ashrafi et al. (2010), Borovicanin et al. (2017), Braun et al. (2005), Das and Ali (2019), Gutman and Trinajstić (1972), Gutman and Das (2004), Javaid et al. (2019), Khalifeh et al. (2009), Kok et al. (2017), Liu et al. (2020), Zhou (2004), and Zhou and Gutman (2004, 2005). Recently, a new version of Zagreb indices has been introduced by Alwardi et al. (2018) and they named it as entire Zagreb indices. In addition these indices take into account the relations between the vertices and edges between vertices. The first and second entire Zagreb indices are defined by Alwardi et al. (2018).
This article is organized as follows: in Section 2, we compute the entire Zagreb indices for a class of Trizane based dendrimer, whereas Section 3 contains computation of these indices for water soluble PDI cored sendrimers. Conclusion and references will close this article.
2 The entire Zagreb indices for molecular graph of Trizane based dendrimer
In this section, we will compute the entire Zagreb indices for the molecular graph of Triazine based dendrimer (Gajjar et al., 2015). Let D1(n) be the molecular graph of this dendrimer, where n represents the generation stage of D1(n). The number of vertices and edges in D1(n) is

From left to right, D1(n) with n = 1 and n = 2.
Representatives, degrees, and frequencies used.
| Representatives | Degree | Frequency | Representatives | Degree | Frequency | Representatives | Degree | Frequency |
|---|---|---|---|---|---|---|---|---|
| β1 | 3 | 2 | aj | 3 | 22j−1 | fj | 2 | 22j+1 |
| β2 | 2 | 4 | bj | 2 | 22j | gn | 2 | 22n+1 |
| β3 | 2 | 4 | cj | 3 | 22j | gj, j ≠ n | 2 | 22j+1 |
| β4 | 3 | 2 | dj | 2 | 22j−1 | hn | 1 | 22n+1 |
| β5 | 2 | 2 | ej | 3 | 22j | hj , j ≠ n | 2 | 22j+1 |
In Table 2, we find the edge partition with respect to the pairs of end vertices of sets A and B, degree of each edge and their frequencies of occurrence.
The edge partition with respect to the pairs of end vertices of sets A and B, degree of each edge and their frequencies of occurrence.
| Edge | Degree | Frequency | Edge | Degree | Frequency | Edge | Degree | Frequency |
|---|---|---|---|---|---|---|---|---|
| [β1,β1] | 4 | 1 | [β5,a1] | 3 | 2 | [ej,fj] | 3 | 22j+1 |
| [β1,β2] | 3 | 4 | [aj,bj] | 3 | 22j | [fj,gj] | 2 | 22j+1 |
| [β2,β3] | 2 | 4 | [bj,cj] | 3 | 22j | [gn,hn] | 1 | 22n+1 |
| [β3,β4] | 3 | 4 | [cj,dj] | 3 | 22j | [gj,hj] j ≠ n | 2 | 22j+1 |
| [β4,β5] | 3 | 2 | [cj,ej] | 4 | 22j | [hj,aj+1] j ≠ n | 3 | 22j+1 |
Theorem 2.1
For D1(n), the first entire Zagreb index is given by:
Proof. Followed by values depicted in Tables 1 and 2, and the expression of first entire Zagreb index,
After several calculational steps, we obtain the following:
To compute the second entire Zagreb index, at first, we compute the non-repeated collection of representatives with corresponding adjacent vertices and their frequencies of occurrence as shown in Table 3. Secondly, we find the edge partition with respect to the pairs of end vertices of sets A and B, their corresponding adjacent edges and frequencies of occurrence. These calculations are shown in Table 4. Finally, we find all the edges on which a specific vertex is incident and their frequencies of occurrence for n ≥ 1. These computations are shown in Table 5.
Representatives with corresponding adjacent vertices and their frequencies of occurrence for n ≥ 1.
| Representatives | Adjacent vertices | Frequency | Representatives | Adjacent vertices | Frequency |
|---|---|---|---|---|---|
| β1 | β1, β2 | 1,4 | bj | cj | 22j |
| β2 | β3 | 4 | cj | dj,ej | 22j,22j |
| β3 | β4 | 4 | ej | fj | 22j+1 |
| β4 | β5 | 2 | fj, j ≠ n | gj | 22j+1 |
| β5 | a1 | 2 | gn | fn,hn | 22n+1,22n+1 |
| aj | bj | 22j | g, j ≠ n j | hj | 22j+1 |
| hj , j ≠ n | aj+1 | 22j+1 |
Edge partition with respect to the pairs of end vertices of sets A and B, their corresponding adjacent edges and frequencies of occurrence for n ≥ 1.
| Edge | Adjacent edges | Frequency | Edge | Adjacent edges | Frequency |
|---|---|---|---|---|---|
| 4 | 22j,22j | ||||
| [β1,β2] | [β1,β2], [β2,β3] | 2,4 | [cj,dj] | [cj,dj], [cj,ej] | 22j−1,22j |
| 4 | 22j+1 | ||||
| 2,4 | 22j,22j+1 | ||||
| 2 | 22j+1 | ||||
| [β5,a1] | [a1,b1] | 4 | [gj,hj] j ≠ n | [hj,aj+1] | 22j+1 |
| [aj,bj] | [aj,bj], [bj,cj] | 22j−1,22j | [hj,aj−1] j ≠ n | [aj+1,bj+1] | 22j+2 |
Representatives with corresponding edges on which these are incident and their frequencies of occurrence for n ≥ 1.
| Representatives | Edges on which representatives are incident | Frequency | Representatives | Edges on which representatives are incident | Frequency |
|---|---|---|---|---|---|
| β1 | [β1,β1], [β1,β2] | 1,4 | cj | [bj,cj], [cj,dj], [cj,ej] | 22j,22j, 22j |
| β2 | 4,4 | dj | 22j | ||
| β3 | [β2,β3], [β3,β4] | 4,4 | ej | [cj,ej], [ej,fj] | 22j, 22j+1 |
| β4 | 4,2 | fj | 22j+1,22j+1 | ||
| β5 | 2,2 | gn | 22n+1,22n+1 | ||
| aj | [β5,a1], [aj,bj] | 2,22j | gj j ≠ n | [fj,gj], [gj,hj] | 22j+1,22j+1 |
| bj | [aj,bj], [bj,cj] | 22j,22j | hj j ≠ n | [gj,hj], [hj,aj+1] | 22j+1,22j+1 |
| hn | [gn,hn] | 22n+1 |
Now, we are ready to compute the second entire Zagreb index.
Theorem 2.2
For D1(n) the second entire Zagreb index is given by:
Proof. By using the values of Tables 1-5 and the definition of second entire Zagreb index, we calculate
By means of simple calculations, we derive:
3 The entire Zagreb indices for molecular graph of water soluble PDI cored dendrimer
The water-soluble perylenediimide (PDI)-cored dendrimers have an important place among the other dendrimers due to their wide range of potential applications and have many advantages include low cytotoxicity, excellent photo stability, versatile surface modification, high quantum yield, strong red fluorescence, and biological applications including fluorescence live-cell imaging, gene delivery, and fluorescent labelling (Kok et al., 2017). Here we will calculate the entire Zagreb indices for the molecular graph of one class of water-soluble PDI-cored.
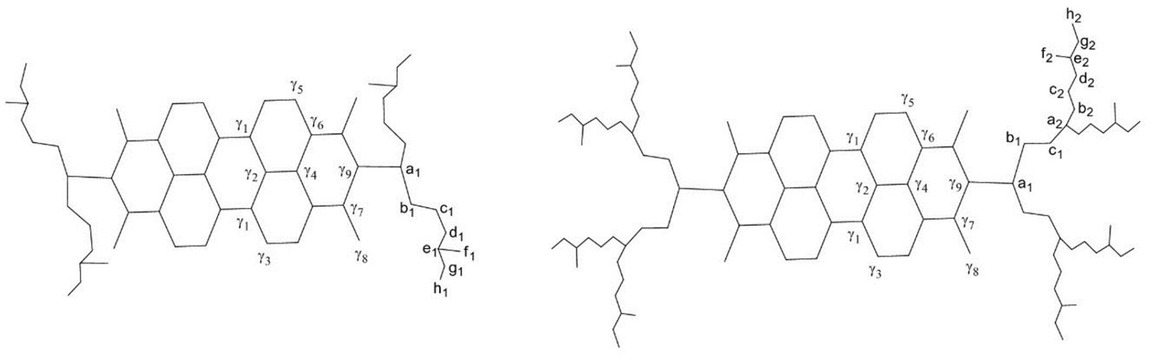
Let D2(n) be the molecular graph of this dendrimer, where n represents the generation stage of D2(n). It is easy to see that the number of vertices and edges in D2(n) are 20(2n + 1) and 20 × 2n + 26, respectively. To compute the entire Zagreb indices of D2(n), we will compute the required information for the sets of representatives of V(D2(n)). We will use computational arguments for this computation. First we partition the molecular graph D2(n) into two sets C and D. For the set C, we label the representatives by γl, where 1 ≤ l ≤ 9, and for the set D, these representatives are labelled by ai, bi, ci, dn, en, fn, gn, hn, where 1 ≤ i ≤ n. Table 6 shows these representatives, their degrees and frequencies of their occurrence. The labelled molecular graphs with n = 1 and n = 2 are shown in Figure 2.

From left to right, D2(n) with n = 1 and n = 2.
Representatives with their degrees and frequencies of occurrence for n ≥ 1.
| Representatives | Degree | Frequency | Representatives | Degree | Frequency | Representatives | Degree | Frequency |
|---|---|---|---|---|---|---|---|---|
| γ1 | 3 | 4 | γ7 | 3 | 4 | dn | 2 | 2n+1 |
| γ2 | 3 | 2 | γ8 | 1 | 4 | en | 3 | 2n+1 |
| γ3 | 2 | 4 | γ9 | 3 | 2 | fn | 1 | 2n+1 |
| γ4 | 3 | 2 | ai | 3 | 2i | gn | 2 | 2n+1 |
| γ5 | 2 | 4 | bi | 2 | 2i+1 | hn | 1 | 2n+1 |
| γ6 | 3 | 4 | ci | 2 | 2i+1 |
In Table 7, we find theedge partition with respect to the pairs of end vertices of sets C and D, degree of each edge and their frequencies of occurrence.
The edge partition with respect to the pairs of end vertices of sets C and D, degree of each edge and their frequency of occurrence.
| Edge | Degree | Frequency | Edge | Degree | Frequency | Edge | Degree | Frequency |
|---|---|---|---|---|---|---|---|---|
| 4 | 2 | 4 | 4 | 3 | 2i+1 | |||
| 4 | 4 | 2 | 4 | 2 | 2n+1 | |||
| 3 | 4 | [γ7,γ9] | 4 | 4 | [dn,en] | 3 | 2n+1 | |
| 4 | 2 | 4 | 2 | 2 | 2n+1 | |||
| [γ3,γ5] | 2 | 4 | [ai,bi] | 3 | 2i+1 | [en,gn] | 3 | 2n+1 |
| [γ4,γ6] | 4 | 4 | [bi,ci] | 2 | 2i+1 | [gn,hn] | 1 | 2n+1 |
| [γ5,γ6] | 3 | 4 |
Now, in the following theorem we compute the first entire Zagreb index.
Theorem 3.1
For D2(n), the first entire Zagreb index is given by:
Proof. According to values in Tables 6 and 7, and the definition of first entire Zagreb index the value of
After some calculations, we obtain the following:
To compute the second entire Zagreb index, we will have to find three things, firstly in Table 8, we compute the non-repeated collection of representatives with corresponding adjacent vertices and their frequencies of occurrence. Secondly, we find the edge partition with respect to the pairs of end vertices of sets C and D, their corresponding adjacent edges and frequencies of occurrence. These calculations are shown in Table 9. Finally, we find all the edges on which a specific vertex is incident and their frequencies of occurrence for n ≥ 1. These computations are shown in Table 10.
Representatives with corresponding adjacent vertices and their frequencies of occurrence for n ≥ 1.
| Representatives | Adjacent vertices | Frequency | Representatives | Adjacent vertices | Frequency |
|---|---|---|---|---|---|
| γ1 | γ1, γ2, γ3 | 2,4,4 | γ9 | a1 | 2 |
| γ2 | γ4 | 2 | ai | bi | 2i+1 |
| γ3 | γ5 | 4 | ci | 2i+1 | |
| γ4 | γ6 | 4 | cn | dn | 2n+1 |
| γ5 | γ6 | 4 | dn | en | 2n+1 |
| γ6 | γ7 | 4 | en | 2n+1,2n+1 | |
| γ7 | γ8,γ9 | 4,4 | gn | hn | 2n+1 |
Edge partition with respect to the pairs of end vertices of sets C and D, their corresponding adjacent edges and frequencies of occurrence for n ≥ 1.
| Edge | Adjacent edges | Frequency | Edge | Adjacent edges | Frequency |
|---|---|---|---|---|---|
| [γ1,γ1] | [γ1,γ2], [γ1,γ3] | 4,4 | [γ7,γ9] | [γ7,γ9], [γ9,a1] | 2,4 |
| 2,4,4 | 4 | ||||
| 4 | [ai,bi], [bi,ci] | 2i, 2i+1 | |||
| 4 | 2i+1 | ||||
| 4 | 2i+2 | ||||
| 2,4,4 | 2n+1 | ||||
| 4 | 2n+1 | ||||
| 4,4 | 2n+1, 2n+1 | ||||
| 4 | 2n+1, 2n+1 |
Representatives with corresponding edges on which these are incident and their frequencies of occurrence for n ≥ 1.
| Representatives | Edges on which representatives are incident | Frequency | Representatives | Edges on which representatives are incident | Frequency |
|---|---|---|---|---|---|
| γ1 | [γ1,γ1], [γ1,γ2], [γ1,γ3] | 2,4,4 | ai | [γ9,a1], [ai,bi] | 2,2i+1 |
| γ2 | 4,2,4 | bi | 2i+1, 2i+1 | ||
| γ3 | 4,4 | ci | 2i+1 | ||
| γ4 | [γ2,γ4], [γ4,γ6] | 2,4 | ci, i ≠ n | [bi,ci], [ci,ai+1] | 2i+1, 2i+1 |
| γ5 | 4,4 | fn | 2n+1 | ||
| γ6 | [γ4,γ6], [γ5,γ6], [γ6,γ7] | 2,4,4 | en | [dn,en], [en,gn], [en,fn] | 2n+1, 2n+1, 2n+1 |
| γ7 | 4,4,4 | gn | 2n+1, 2n+1 | ||
| γ8 | 4 | hn | 2n+1 | ||
| γ9 | [γ7,γ9], [γ9,a1] | 4,2 | dn | [cn,dn], [dn,en] | 2n+1, 2n+1 |
Now, we are ready to compute the second entire Zagreb index.
Theorem 3.2
For D2(n), the second entire Zagreb index is given by:
Proof. Using Tables 6-10 and the definition of second entire Zagreb index, the value of
After some simplifications, we obtain the following:
4 Conclusion
In this rapid era of technological improvement, a large number of new chemical structures emerge every year. To find out the chemical properties of such a large number of compounds and drugs requires a large amount of chemical experiments. In this regard, computing different types of topological indices has supplied the evidence of such medicinal behaviour of several compounds and drugs.We considered two classes of dendrimers and studied entire Zagreb indices for their molecular graphs. It will be interesting to compute these indices for other chemical structures, which may be helpful to understand their underlying topologies.
Funding source: National Natural Science Foundation of China
Award Identifier / Grant number: 11761083
Funding statement: This work was supported in part by the National Natural Science Foundation of China (no. 11761083).
Author Contribution
Conceptualization: Wei Gao; Investigation: Zahid Iqbal and Muhammad Ishaq; Methodology: Zahid Iqbal, Muhammad Ishaq, and Adnan Aslam; Software: Muhammad Aamir; Validation: Abdul Jaleel and Muhammad Aamir; Writing – original draft: Zahid Iqbal and Adnan Aslam; Writing – review and editing: Wei Gao and Abdul Jaleel.
Conflict of interest: Authors state no conflict of interest.
Data availability statement: No data was used to support this study.
References
Abbasi E., Aval S.F., Akbarzadeh A., Milani M., Nasrabadi H.T., Joo S.W., et al., Dendrimers: synthesis, applications, and properties. Nanoscale Res. Lett., 2014, 9(1), 247-256.10.1186/1556-276X-9-247Search in Google Scholar
Ali A., Gutman I., Milovanovic E., Milovanovic I., Sum of powers of the degrees of graphs: Extremal results and bounds. MATCH-Commun. Math. Co., 2018, 80, 5-84.Search in Google Scholar
Alwardi A., Alqesmah A., Rangarajan R., Cangul I.N., Entire Zagreb indices of graphs. Discrete Math. Algorithm Appl., 2018, 10(3), 1850037.10.1142/S1793830918500374Search in Google Scholar
Ashrafi A.R., Došlić T., Hamzeh A., The Zagreb coindices of graph operations. DiscreteSearch in Google Scholar
Aslam A., Bashir Y., Ahmed S., Gao W., On topological indices of certain dendrimer structures. Z. Naturforsch., 2017, 72, 559-566.10.1515/zna-2017-0081Search in Google Scholar
Aslam A., Jamil M.K., Gao W., Nazeer W., On topological ascpects of some dendrimer structures. Nanotechnol. Rev., 2018, 7, 123-129.10.1515/ntrev-2017-0184Search in Google Scholar
Boas U., Christensen J.B., Heegaard P.M.H., Dendrimers in Medicine and Biotechnology New Molecular Tools. The Royal Society of Chemistry, UK, 2006.10.1039/9781847552679-00130Search in Google Scholar
Borovicanin B., Das K.C., Furtula B., Gutman I., Bounds for Zagreb indices. MATCH-Commun. Math. Co., 2017, 78, 17-100.Search in Google Scholar
Braun J., Kerber A., Meringer M., Rucker C., Similarity of molecular descriptors: The equivalence of Zagreb indices and walk counts. MATCH-Commun. Math. Co., 2005, 54, 163-176.Search in Google Scholar
Das K.C., Ali A., On a conjecture about the second Zagreb index. Discrete Math. Lett., 2019, 2, 38-43.Search in Google Scholar
Gajjar D., Wadia D., Patel R., Development, characterization of hydroxyl terminated dendritic macromolecules as prospective drug carriers. Am. J. Polym. Sci. Eng., 2015, 3, 73-89.Search in Google Scholar
Gao W., Iqbal Z., Ishaq M., Sarfraz R., Aamir M., Aslam A., On Eccentricity-Based Topological Indices Study of a Class of Porphyrin-Cored Dendrimers. Biomolecules, 2018, 8, 71-81.10.3390/biom8030071Search in Google Scholar
Gutman I., Das K.C., The first Zagreb index 30 years after. MATCH-Commun. Math. Co., 2004, 50, 83-92.Search in Google Scholar
Gutman I., Trinajstić N., Graph theory and molecular orbitals, Total π-electron energy of alternant hydrocarbons. Chem. Phys. Lett., 1972, 17, 535-538.10.1016/0009-2614(72)85099-1Search in Google Scholar
Iqbal Z., Ishaq M., Aamir M., On Eccentricity-Based Topological Descriptors of Dendrimers. Iran. J. Sci. Technol. A, 2019, 43, 1523-1533, DOI:10.1007/s40995-018-0621-x.10.1007/s40995-018-0621-xSearch in Google Scholar
Iqbal Z., Ishaq M., Farooq R., Computing different versions of atom-bond connectivity index of dendrimers. J. Inform. Math. Sci., 2017, 9(1), 217-229.Search in Google Scholar
Javaid F., Jamil M.K., Tomescu I., Extremal k-generalized quasi unicyclic graphs with respect to first and second Zagreb indices. Discrete Appl. Math., 2019, 270, 153-158.10.1016/j.dam.2019.06.006Search in Google Scholar
Kang S.M., Iqbal Z., Ishaq M., Sarfraz R., Aslam A., Nazeer W., On Eccentricity-Based Topological Indices and Polynomials of Phosphorus-Containing Dendrimers. Symmetry, 2018, 10, 237-246.10.3390/sym10070237Search in Google Scholar
Khalifeh M.H., Yousefi-Azari H., Ashrafi A.R., The first and second Zagreb indices of some graph operations. Discrete Appl. Math., 2009, 157, 804-811.10.1016/j.dam.2008.06.015Search in Google Scholar
Klajnert B., Bryszewska M., Dendrimers: properties and applications. Acta Biochim. Pol., 2001, 48(1), 199-208.10.18388/abp.2001_5127Search in Google Scholar
Kok J., Sudev N.K., Mary U., On Chromatic Zagreb Indices of Certain Graphs. Discrete Math. Algorithm Appl., 2017, 9(1), 1750014.10.1142/S1793830917500148Search in Google Scholar
Liu M., Cheng K., Tomescu I., Some notes on the extremal k-generalized quasi-unicyclic graphs with respect to Zagreb indices. Discrete Appl. Math., 2020, 284, 616-621.10.1016/j.dam.2020.03.048Search in Google Scholar
Zhou B., Gutman I., Further properties of Zagreb indices. MATCH-Commun. Math. Co., 2005, 54, 233-239.Search in Google Scholar
Zhou B., Gutman I., Relations between Wiener, hyper-Wiener and Zagreb indices. Chem. Phys. Lett., 2004, 394, 93-95.10.1016/j.cplett.2004.06.117Search in Google Scholar
Zhou B., Zagreb indices. MATCH-Commun. Math. Co., 2004, 52, 113-118.Search in Google Scholar
© 2020 Gao et al., published by De Gruyter
This work is licensed under the Creative Commons Attribution 4.0 International License.
Articles in the same Issue
- Research Articles
- An accelerated and effective synthesis of zinc borate from zinc sulfate using sonochemistry
- A new approach on lithium-induced neurotoxicity using rat neuronal cortical culture: Involvement of oxidative stress and lysosomal/mitochondrial toxic Cross-Talk
- Green synthesis and characterization of hexaferrite strontium-perovskite strontium photocatalyst nanocomposites
- Assessment of content and chemical forms of arsenic, copper, lead, and chromium in sewage sludge compost as affected by various bulking agents
- Preparation of skeletally diverse quinazoline-2,4(1H,3H)-diones using Na2SiO3/SnFe2O4 catalytic system through a four-component reaction
- Efficient photocatalytic degradation of organic dye from aqueous solutions over zinc oxide incorporated nanocellulose under visible light irradiation
- Synthesis of pyrimidines by Fe3O4@SiO2-L-proline nanoparticles
- Abnormally aggregation-induced emissions observed from hydrogen- and silyl-substituted siloles
- Organodiphosphines in PtP2X2 (X = As, Ge or Te) derivatives – Structural aspects
- Synthesis and structural characterization of dialkyltin complexes of N-salicylidene-L-valine
- Ultrasound-promoted solvent-free synthesis of some new α-aminophosphonates as potential antioxidants
- Occupational exposure in lead and zinc mines induces oxidative stress in miners lymphocytes: Role of mitochondrial/lysosomal damage
- Eccentric topological properties of a graph associated to a finite dimensional vector space
- Magnetically recoverable nanostructured Pd complex of dendrimeric type ligand on the MCM-41: Preparation, characterization and catalytic activity in the Heck reaction
- Short Communications
- The crystal structure of the first ether solvate of hexaphenyldistannane [(Ph3Sn)2 • 2 THF]
- New crystal structures of alkali metal tetrakis(pentafluorophenyl)borates
- s-Block metal scorpionates – A new sodium hydrido-tris(3,5-dimethyl-1-pyrazolyl)borate salt showing an unusual core stabilized by bridging and terminal O-bonded DMSO ligands
- Reduction of a 1,4-diazabutadiene and 2,2’-bipyridine using magnesium(I) compounds
- fac-Bis(phenoxatellurine) tricarbonyl manganese(I) bromide
- A new 2D dibutyltin coordination polymer with 3,5-dinitrosalicylate and 4,4’-bipyridine ligands
- Review
- Structures of Pt(0)P3, Pt(0)P4 and Pt(II)P4 – Distortion isomers
- Special Issue: Topological descriptors of chemical networks: Theoretical studies (Guest Editors: Muhammad Imran and Muhammad Javaid)
- Modified Zagreb connection indices of the T-sum graphs
- Topological properties of metal-organic frameworks
- Eccentricity based topological indices of siloxane and POPAM dendrimers
- On topological aspects of degree based entropy for two carbon nanosheets
- On multiplicative degree based topological indices for planar octahedron networks
- Computing entire Zagreb indices of some dendrimer structures
Articles in the same Issue
- Research Articles
- An accelerated and effective synthesis of zinc borate from zinc sulfate using sonochemistry
- A new approach on lithium-induced neurotoxicity using rat neuronal cortical culture: Involvement of oxidative stress and lysosomal/mitochondrial toxic Cross-Talk
- Green synthesis and characterization of hexaferrite strontium-perovskite strontium photocatalyst nanocomposites
- Assessment of content and chemical forms of arsenic, copper, lead, and chromium in sewage sludge compost as affected by various bulking agents
- Preparation of skeletally diverse quinazoline-2,4(1H,3H)-diones using Na2SiO3/SnFe2O4 catalytic system through a four-component reaction
- Efficient photocatalytic degradation of organic dye from aqueous solutions over zinc oxide incorporated nanocellulose under visible light irradiation
- Synthesis of pyrimidines by Fe3O4@SiO2-L-proline nanoparticles
- Abnormally aggregation-induced emissions observed from hydrogen- and silyl-substituted siloles
- Organodiphosphines in PtP2X2 (X = As, Ge or Te) derivatives – Structural aspects
- Synthesis and structural characterization of dialkyltin complexes of N-salicylidene-L-valine
- Ultrasound-promoted solvent-free synthesis of some new α-aminophosphonates as potential antioxidants
- Occupational exposure in lead and zinc mines induces oxidative stress in miners lymphocytes: Role of mitochondrial/lysosomal damage
- Eccentric topological properties of a graph associated to a finite dimensional vector space
- Magnetically recoverable nanostructured Pd complex of dendrimeric type ligand on the MCM-41: Preparation, characterization and catalytic activity in the Heck reaction
- Short Communications
- The crystal structure of the first ether solvate of hexaphenyldistannane [(Ph3Sn)2 • 2 THF]
- New crystal structures of alkali metal tetrakis(pentafluorophenyl)borates
- s-Block metal scorpionates – A new sodium hydrido-tris(3,5-dimethyl-1-pyrazolyl)borate salt showing an unusual core stabilized by bridging and terminal O-bonded DMSO ligands
- Reduction of a 1,4-diazabutadiene and 2,2’-bipyridine using magnesium(I) compounds
- fac-Bis(phenoxatellurine) tricarbonyl manganese(I) bromide
- A new 2D dibutyltin coordination polymer with 3,5-dinitrosalicylate and 4,4’-bipyridine ligands
- Review
- Structures of Pt(0)P3, Pt(0)P4 and Pt(II)P4 – Distortion isomers
- Special Issue: Topological descriptors of chemical networks: Theoretical studies (Guest Editors: Muhammad Imran and Muhammad Javaid)
- Modified Zagreb connection indices of the T-sum graphs
- Topological properties of metal-organic frameworks
- Eccentricity based topological indices of siloxane and POPAM dendrimers
- On topological aspects of degree based entropy for two carbon nanosheets
- On multiplicative degree based topological indices for planar octahedron networks
- Computing entire Zagreb indices of some dendrimer structures