Home Mathematics An analysis on the stability of a state dependent delay differential equation
Article Open Access

An analysis on the stability of a state dependent delay differential equation

  • Sertaç Erman EMAIL logo and Ali Demir
Published/Copyright: June 23, 2016

Abstract

In this paper, we present an analysis for the stability of a differential equation with state-dependent delay. We establish existence and uniqueness of solutions of differential equation with delay term τ(u(t))=a+bu(t)c+bu(t). Moreover, we put the some restrictions for the positivity of delay term τ(u(t)) Based on the boundedness of delay term, we obtain stability criterion in terms of the parameters of the equation.

MSC 2010: 34K20; 34K05

1 Introduction

Delay differential equations (DDE) have been used in many fields for a long time. However, state-dependent delay differential equations (SDDE) are used to make more realistic modelling in the systems whose delay varies according to the internal effects of the system. For example, the length of time to maturity is taken as constant delay in a simple population dynamics model, see in [1]. In [2], it was observed that the length of time to maturity of Antarctic whales and seals alter according to the state of the population and it was analyzed by using a mathematical model with SDDE in [3]. In addition, mathematical models with SDDE appear in many fields such as physics, control theory, neural network, medicine, biology etc., see Section 2 in [4] as a review.

Researchers have investigated SDDE for the last 50 years. Driver [5, 6] and Driver and Norris [7] developed a fundamental theory and proved local existence and uniqueness theorem for SDDE having Lipschitz continuous initial functions. Winston [8] showed that SDDE has a unique solution under some conditions in addition to continuos initial function. There are some of the earliest studies on SDDE in [911]. Moreover, many researches on stability, bifurcations and existence of solutions of SDDE have been done so far, for example, [3, 4, 1231]. Especially, [32] can be seen as a detailed review on DDE and SDDE and related studies.

In this paper, we consider the following type of SDDE

u(t)=A0u(t)A1u(tτ(u(t)))(1)

where A0, A1 ∈ ℝ and τ(u(t)) > 0 for all t ∈ ℝ+. To analyze stability of solution of equation (1), we use the following characteristic equation

g(λ)=λ+A0+A1eλh=0(2)

where h is an independent real valued parameter which is in the range of τ(u(t)). By this way, we analyze the stability of equation (1) by using the stability analysis of certain linear delay differential equations with constant delay which has the characteristic equation (2).

In the general case, the characteristic roots λj, j = 1, 2, ···, of equation (1) are obtained by solving the characteristic equation (2) where λj is a complex number. If the characteristic roots have negative real parts, i.e., Re(λj) < 0 for all j = 1, 2, ··· then the solution of (1) is asymptotically stable and if at least one of the characteristic roots have positive real parts, i.e., Re(λj) > 0 for some j = 1, 2, ··· then the solution of (1) is unstable.

We attempt to determine the stability and instability regions of the system in parameter space (A0, A1) by using D-partition method. The method is originated from paper [33]. It is well explained in [3438] and analysis are conducted. Let’s consider the characteristic equation g(λ, A0, A1) in two parameters for equation (1). D-partition method is based on fact that the roots of the characteristic equation are continuos functions of the parameters A0 and A1. When varying the parameters, λj change continuously in complex plane and at the point where the stability changes, one λj crosses the imaginary axis. In this method parameter space is divided into regions with the hypersurfaces. These hypersurfaces are called the D-curves. The points of the D-curves correspond to pure imaginary roots or zero root of the characteristic equation. Moreover, in each region in the parameter space determined by the D-curves, the characteristic equation has the same number of roots with positive real part. Thus, finding the number of roots with positive real parts for specific point is enough to find the number of roots with positive real parts the region including this specific point.

In order to obtain D-curves, pure imaginary number λ = is substituted in characteristic equation g(λ, A0, A1). Equating to zero the real and imaginary parts, we have

U(ω,A0,A1)=Re(g(iω,A0,A1))=0(3)
V(ω,A0,A1)=Im(g(iω,A0,A1))=0(4)

Hence, by making use of (3) and (4), parametric equations can be written as

A0=A0(ω)A1=A1(ω)

where ω is a parameter and ranges from –∞ to ∞. These curves and singular solutions of equations (3) and (4) constitute D-curves.

We use Rekasius transform

eiωh=1iωT1+iωTforh=2ω(arctan(ωT)+pπ)(5)

where h, T ∈ ℝ and for p ∈ ℤ in addition to D-partition method. In 1980, Rekasius [39] proposed the transformation (5) for DDEs. Later, Thowsen [40] did exact calculations by taking the square of right hand side of (5) since the transformation (5) transform a circle to a semi-circle which leads some mistakes. However, Hertz et al. [41] did exact calculations by considering two singular cases:

(i) e–iωh = –1 for T = ±∞

(ii) e–iωh = 1 for T = 0

Olgaç and Sipahi [42, 43] studied a method using Rekasius transform for DDE with constant delay.

We establish the existence and uniqueness of solutions of equation (1) with delay term τ(u(t))=a+bu(t)c+bu(t) where a, b, c, d ∈ ℝ such that a and c are nonzero and at least one of b or d is nonzero, under certain condition in Section 2. In Section 3, by using D-partition method and transformation (5), conditions for the stability of equation (1) are presented.

2 Existence and uniqueness of solution

In this section, we consider the following type of SDDE

u(t)=A0u(t)A1u(tτ(u(t)))τ(u(t))=a+bu(t)c+du(t)>0,t+(6)

where A0, A1 ∈ ℝ+, a, b, c, d ∈ ℝ such that a and c are nonzero and at least one of b or d is nonzero.

Let P(u(t)) = a + bu(i) and Q(u(t)) = c + du(t). σ=ab,μ=cd be the roots of P(x) and Q(x) respectively. If one of the following conditions

i) u(t) > or u(t) < μ when sign(b) sign(d) = 1 and μ < σ,

ii) u(t) > μ or u(t) < when sign(b) sign(d) = 1 and σ < μ,

iii) μ < u(t) < σ when sign(b) sign(d) = –1 and μ < σ,

iv) σ < u(t) < μ when sign(b) sign(d) = –1 and σ < μ, is satisfied then τ(u(t)) ≥ 0.

In order to guarantee the positivity of delay term τ(u(t)), we need to put some restrictions on the range of parameter values under consideration.

Theorem 2.1

Let A0, A1 ∈ ℝ+and τ(u(t)) be delay function of equation(6). The delay differential equation

u(t)=A0u(t)A1u(tτ˜(u(t)))τ˜(u(t))=max{0,τ(u(t))}0forallt+(7)

has a unique solution u(t) ∈ C1([0, ∞) → (L0, M0)) if Lipschitz history function u0(t): [–τ, 0] → (L0, M0) exists such that

(L0,M0)={(σ,σA1A0);μ<σ<0(σA1A0);0<σ<μ(σ,μ);σ<0<μ,σA1A0<μ(μ,σ);μ<0<σ,μ<σA1A0(8)

andτ=maxu(t)(L0,M0)(τ˜(u(t))).

Proof. For the proof, the following four cases are considered.

Case 1: Let’s prove that u(t) ∈ (L0, M0) for all t > 0 when μ < σ < 0. Suppose not, then there exists t0 > 0 such that u(t) ∈ (L0, M0) for all t < t0 but u(t0) = L0 or u(t0) = M0. First assume that u(t0) = L0 which implies u′(t0) ≤ 0. On the other hand

u(t0τ˜(u(t0)))=u(t0)=σ

and

u(t0)=A0u(t0)A1u(t0τ˜(u(t0)))=σ(A1+A0)>0

which is a contradiction. In a similar way, if u(t0) = M0, then u′(t0) ≥ 0. On the other hand

u(t0)=A0u(t0)A1u(t0τ˜(u(t0)))<A0σA1A0A1σ=0

which is a contradiction.

Case 2: Let’s prove that u(t) ∈ (L0, M0) for all t > 0 when 0 < σ < μ. Suppose not, then there exists t0 > 0 such that u(t) ∈ (L0, M0) for all t < t0 but u(t0) = L0 or u(t0) = M0. First assume that u(t0) = L0 which implies u′(t0) ≤ 0. On the other hand

u(t0)=A0u(t0)A1u(t0τ˜(u(t0)))>A0σA1A0A1σ=0

which is a contradiction. In a similar way, if u(t0) = M0, then u′(t0) ≥ 0. On the other hand

u(t0)=A0u(t0)A1u(t0τ˜(u(t0)))=σ(A1+A0)<0

which is a contradiction.

Case 3: Let’s prove that u(t) ∈ (L0, M0) for all t > 0 when σ<0<μ,σA1A0<μ. Suppose not, then there exists t0 > 0 such that u(t) ∈ (L0, M0ɛ) for all t < t0 but u(t0) = L0 or u(t0) = M0ɛ for ɛ >0. First assume that u(t0) = L0 which implies u′(t0) ≤ 0. On the other hand

u(t0τ˜(u(t0)))=u(t0)=σ

and

u(t0)=A0u(t0)A1u(t0τ˜(u(t0)))=σ(A1+A0)>0

which is a contradiction. In a similar way, if u(t0) = M0ɛ for ɛ > 0, then u′(t0) ≥ 0. On the other hand

u(t0)=A0u(t0)A1u(t0τ˜(u(t0)))<A0(με)A1σ<A0σA1A0+A0εA1σ=A0ε

which is a contradiction since u(t0) and A0ɛ tend to μ and 0 respectively when ɛ tends to 0.

Case 4: Let’s prove that u(t) ∈ (L0, M0) for all t > 0 when μ < 0 < σ, μ<σA1A0. Suppose not, then there exists t0 > 0 such that u(t) ∈ (L0 + ɛ, M0) for all t < t0 but u(t0) = L0 + ɛ for ɛ > 0 or u(t0) = M0. First assume that u(t0) = L0 + ɛ for ɛ > 0 which implies u′(t0) ≤ 0. On the other hand

u(t0)=A0u(t0)A1u(t0τ˜(u(t0)))>A0(με)A1σ>A0σA1A0+A0εA1σ=A0ε

which is a contradiction since u(t0) and A0ɛ tend to μ and 0 respectively when ɛ tends to 0. In a similar way, if u(t0) = M0, then u′(t0) ≥ 0. On the other hand

u(t0)=A0u(t0)A1u(t0τ˜(u(t0)))=σ(A1+A0)<0

which is a contradiction. As a result, there is no such t0 ∈ ℝ+ and (8) holds.

Since

f(t,u,ν)=A0u(t)A1ν(t),α(t,u))=ta+bu(t)c+du(t)

are Lipschitz with respect to each of their argument, local existence and uniqueness of the solution u(t) follows from Driver [5]. □

Theorem 2.2

Let A0, A1 ∈ ℝ+such thatA02A120and τ(u(t)) be delay function of equation(6). The delay differential equation(7)has a unique solution u(t) ∈ C1[(0, ∞) → (L0, M0)), if Lipschitz history function u0(t) : [–τ, 0] → (L0, M0) exists such that

(L0,M0)={(μA0A1);0<μσ  or  σ<0<μ,σA1A0μ(μ,μA0A1);σμ<0orμ<0<σ,μσA1A0(9)

andτ=maxu(t)(L0,M0)(τ˜(u(t))).

Proof. For the proof, following two cases are considered.

Case 1: Let’s prove that u(t) ∈ (L0, M0) for all t > 0 when 0 < μσ or σ < 0 < μ, σA1A0μ. Suppose not, then there exists t0 > 0 such that u(t) ∈ (L0, M0ɛ) for all t < t0 but u(t0) = L0 or u(t0) = M0ɛ for ɛ > 0. First assume that u(t0) = L0 which implies u′(t0) ≤ 0. On the other hand

u(t0)=A0u(t0)A1u(t0τ˜(u(t0)))>μ(A02A12)A1>0

which is a contradiction. In a similar way, if u(t0) = M0ɛ for ɛ > 0, then u′(t0) ≥ 0. On the other hand

u(t0)=A0u(t0)A1u(t0τ˜(u(t0)))<A0μ+A0ε+A1μA0A1=A0ε

which is a contradiction since u(t0) and A0ɛ tend to μ and 0 respectively when ɛ tends to 0.

Case 2: Let’s prove that u(t) ∈ (L0, M0) for all t > 0 when σμ < 0 or μ < 0 < μ,μσA1A0. Suppose not, then there exists t0 > 0 such that u(t) ∈ (L0 + ɛ, M0) for all t < t0 but u(t0) = L0 + ɛ for ɛ > 0 or u(t0) = M0. First assume that u(t0) = L0 + ɛ for ɛ > 0 which implies u′(t0) ≤ 0. On the other hand

u(t0)=A0u(t0)A1u(t0τ˜(u(t0)))>A0μA0ε+A1μA0A1=A0ε

which is a contradiction since u(t0) and A0ɛ tend to μ and 0 respectively when ɛ tends to 0. In a similar way, if u(t0) = M0, then u′(t0) ≥ 0. On the other hand

u(t0)=A0u(t0)A1u(t0τ˜(u(t0)))<μ(A02A12A1<0

which is a contradiction. As a result, there is no such t0 ∈ ℝ+ and (9) holds.

Since

f(t,u,ν)=A0u(t)A1ν(t),α(t,u))=ta+bu(t)c+du(t)

are Lipschitz with respect to each of their argument, local existence and uniqueness of the solution u(t) follows from Driver [5]. □

If the delay functions τ(u(t)) and τ˜(u(t)) are equal to each other for u(t) ∈ (L0, M0), Theorems 2.1 and 2.2 also hold for the equation (6).

Corollary 2.3

Let’s be(L0,M0)=(σσA1A0)for μ < σ ≤ 0 or(L0,M0)=(σA1A0,σ)for 0 < σ < μ and sign(b) sign(d) = 1. Equation(6)has a unique solution u(t) ∈ C1.([0, ∞) → (L0, M0)) where τ is defined in Theorem 2.1 with Lipschitz history function u0(t) : [–τ, 0] → (L0, M0).

Corollary 2.4

Let’s be(L0,M0)=(μA0A1,μ)for 0 < μσ or(L0,M0)=(μμA0A1)for σμ < 0 sign(b) sign(d) = 1. Equation(6)has a unique solution u(t) ∈ C1.([0, ∞) → (L0, M0)) where τ is defined in Theorem 2.2 with Lipschitz history function u0(t) : [–τ, 0] → (L0, M0) and under the conditionA02A120.

Corollary 2.5

Let’s be (L0, M0) = (σ, μ) forσ<0<μ<σA1A0<μor (L0, M0) = (μ, σ) for μ < 0 < σ, μ<σA1A0and sign(b) sign(d) = –1. Equation(6)has a unique solution u(t) ∈ C1.([0, ∞) → (L0, M0)) where τ is defined in Theorem 2.1 with Lipschitz history function u0(t) : [–τ, 0] → (L0, M0).

Corollary 2.6

Let’s be(L0,M0)=(μA0A1,μ)forσ<0<μ<σA1A0μor(L0,M0)=(μ,μA0A1)forμ<0<σ,μσA1A0and sign(b) sign(d) = –1. Equation(6)has a unique solution u(t) ∈ C1 ([0, ∞) → (L0, M0)) where τ is defined in Theorem 2.2 with Lipschitz history function u0(t) : [–τ, 0] → (L0, M0) and under the conditionA02A120.

In the case of d = 0 the Theorem 2.2 does not hold and the last two intervals in (8) in Theorem 2.1 do not longer exist. Moreover, if d = 0, c = 1, a > 0 and b > 0 then by Theorem 2.1, the solution exists in the interval (σσA1A0) which was previously found in [22].

These results allow us to do stability analysis of solution of (1) by using the range of τ(u(t)) which is obtained by Theorems 2.1 and 2.2.

Furthermore, if the delay function τ(u(t)) has a complicated form, then [1/1] Padé approximation for τ(u(t)) can be obtained and the stability analysis can be done by using rough range of τ(u(t)) which is obtained by the range of the solution u(t) approximately by the help of Theorems 2.1 and 2.2. The same can be done, if the delay function τ(u(t)) is not known exactly but some of its suitable values are obtained by some experiments or a heuristic method.

3 Stability analysis

In this section, we firstly consider the stability of equation (1) with the delay function τ(u(t)) which has an upper bound for all t ∈ ℝ+, i.e., there exist at least one M1 ∈ ℝ such that 0 < τ(u(t)) < M1 for all t ∈ ℝ+.

In this case, the value of delay of equation (1) varies in interval (0, M1) while t is varying. The independent parameter h of the characteristic equation (2) takes values in the interval (0, M1). As a part of the D-partition method, we have

C*:A0+A1=0for  λ=0(10)

this straight line is a line forming the boundary of the D-partition and is denoted by C*. Substituting λ = and equating to zero the real and imaginary parts in characteristic equation (2), we find the following equations

A0+A1cos(ωh)=0(11)
ω+A1sin(ωh)=0.(12)

Solving the above equations for A0 and A1, the following parametric curve equations are obtained

A0(ω,h)=ωcos(ωh)sin(ωh)(13)
A1(ω,h)=ωsin(ωh).(14)

Since A0(ω, h/ and A1(ω, h) are even with respect to ω, it is sufficient to take ω ∈ (0, ∞). Equations (13)-(14) define a family of curves since h is not a constant. Holding h fixed, these define A0(ω, h) and A1(ω, h) as function of ω, providing a parametric representation of a curve. Different values of h give different curves in the family. Since equations (13)-(14) have singularity for ωh = , we introduce intervals Jk=(kπh,(k+1)πh) and denote by Ck(h) the curve in the parameter space (A0, A1) for ωJk.

C0(h) contains the limit point for ω → 0

(limω0A0(ω,h),limω0A1(ω,h))=(1h,1h).(14)

In addition, the following limits can be obtained for k ∈ ℕ – {0}

limω((2k1)πh)A0(ω,h)=limω((2k1)πh)A1(ω,h)=limω((2kπ)h)A0(ω,h)=limω((2kπ)h)+A1(ω,h)=+limω((2k1)πh)+A0(ω,h)=limω((2k1)πh)+A1(ω,h)=limω((2kπ)h)+A0(ω,h)=limω((2kπ)h)+A1(ω,h)=
Lemma 3.1

The curves C0(h) intersect C*exactly once at(1h,1h)for each positive number h. Moreover, Ck(h) do not intersect C*for k ∈ ℕ – {0}:

Proof. Intersection of C0(h) and C* is obvious from (15). For the second part of Lemma 3.1, suppose that if Ck(h) and C* has intersection points there exist ωJk for equations (13)-(14) which satisfies equation (10). By using equations (13)-(14) in equation (10) we have

ωcos(ωh)sin(ωh)=ωsin(ωh).

There is no solution ωJk for k ∈ ℕ – {0} which is a contradiction. □

Lemma 3.2

The curves Ck(h0) do not intersect each other for h0 ∈ ℝ+.

Proof. Suppose that there exist an intersection point. It means that, there exist ω1ω2 ∈ ℝ+ such that A0(ω1, h0) = A0(ω2, h0) and A1(ω1, h0) = A1(ω2, h0). These equalities imply that

ω1sin(ω1h0)=ω2sin(ω2h0)ω1cos(ω1h0)sin(ω1h0)=ω2cos(ω2h0)sin(ω2h0)(16)

from equation (13) and (14). For n ∈ ℕ, ω1h0ω2h0 + 2 is obtained from the left equality in (16) because of ω1ω2: In addition, left and right equalities in (16) lead to cos(ω1h0) = cos(ω2h0) which is a contradiction. □

Lemma 3.3

The curve Ck(h0) intersects the line A0 = 0 exactly once for h0 ∈ ℝ+. Moreover, the intersection point (0, Pk) satisfies the following inequalities

Pk<Pk+2for=2n,nPk+2<Pkfork=2n+1,n.

Proof. When ωJk, the equation A0(ω, h0) = 0 implies ω=π+2kπ2h0.Hence,

Pk={π+2kπ2h0for  k=2n,nπ+2kπ2h0for  k=2n+1,n.

is obtained by substituting ω=π+2kπ2h0. This completes the proof. □

Theorem 3.4

The solution of equation

u(t)=A0u(t)A1u(th),forh+(17)

is asymptotically stable, i.e., all the roots of equation

λ+A0+A1eλh=0(18)

have negative real parts, if and only if

(a) 1h<A0

(b) A0<A1<ωsin(ωh)where ω is the root ofA0=ωcos(ωh)sin(ωh)such that ωh ∈ (0, π)

Proof. When A0 > 0 and A1 = 0, the solution of equation is clearly asymptotically stable. The stability region which includes half line A0 > 0 and A1 = 0, lies above C* and below C0(h) because of Lemmaa 3.1, 3.2 and 3.3. The conditions (a)–(b) are algebraic representation of this region in parameter space (A0, A1).

To find the number of roots with positive real parts in each region in the parameter space determined by the D-curves, we use the following the ideas from [38]. Writing λ = μ + with μ, ω ∈ ℝ in characteristic equation g(λ, A0, A1), we find two real equations

G1(μ,ω,A0,A1):=Re(g(μ,ω,A0,A1))=0(19)
G2(μ,ω,A0,A1):=Im(g(μ,ω,A0,A1))=0(20)

for the real and imaginary parts of λ. Direction of movement of an element is determined by the following proposition, using Jacobian matrix J defined by

J=[G1A0G1A1G2A0G2A1]μ=0
Proposition 3.5

The pure imaginary roots enter the right half-plane for parameters sets in the (A0, A1) parameter region to the left of the D-curves, when we follow this curve in the direction of increasing ω, whenever det(J) < 0 and to the right when det(J) > 0 [38].

Since the determinant of Jacobian matrix of equation (18) satisfies the following inequalities

det(J)<0ωJ2kdet(J)>0ωJ2k+1,

the pure imaginary roots move into the right half-plane when moving away in the parameter space to the left of C2k(h) and to the right of C2k+1(h), with "left" and "right" as determined w.r.t. a counter clock-wise tracking of C2k(h) and a clock-wise tracking of C2k+1(h) respectively.

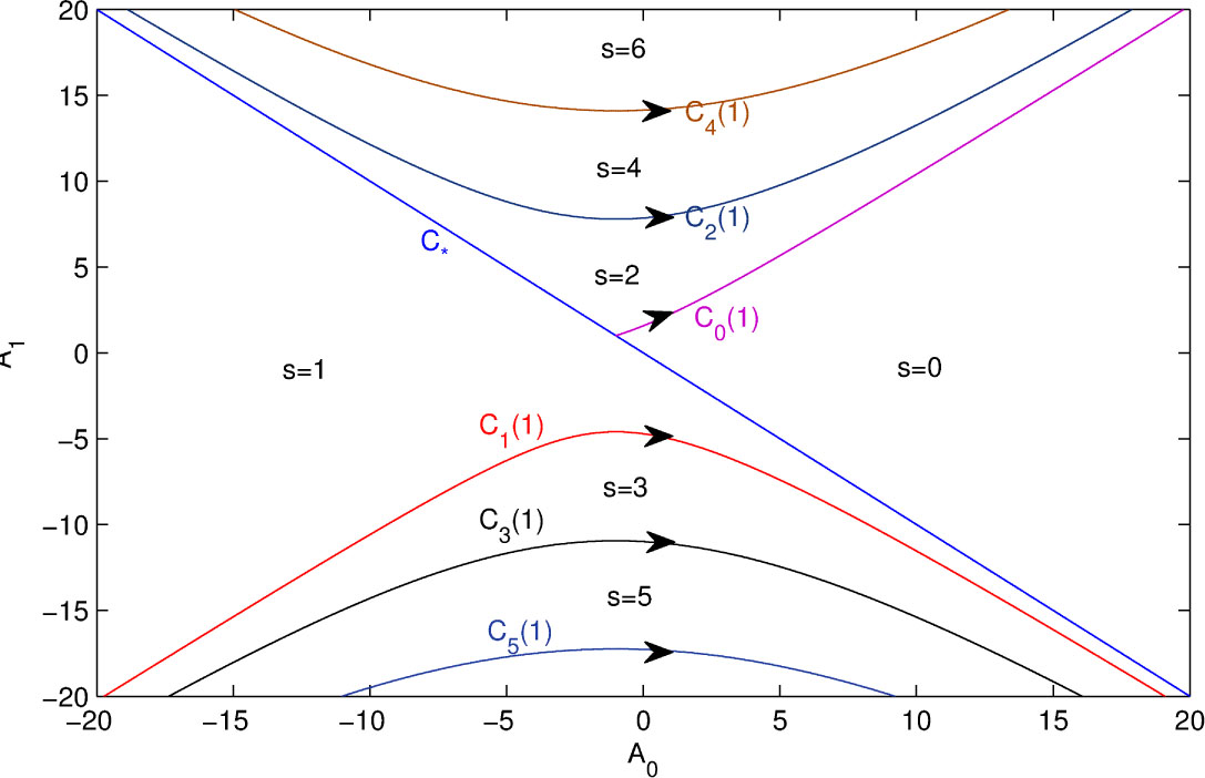
In Fig. 1 these results are illustrated for h = 1. The curves (13) and (14) and the straight line (10) form the D-partition are shown and the number of roots in the right half plane is indicated for each region.

Fig. 1 The member of the D-curves family Ck(h) in the parameter space (A0, A1) for h = 1. The arrows along the curves refer to the direction of increasing ω. The numbers s in the different regions bordered by the curves indicate the number of roots in the right half plane.
Fig. 1

The member of the D-curves family Ck(h) in the parameter space (A0, A1) for h = 1. The arrows along the curves refer to the direction of increasing ω. The numbers s in the different regions bordered by the curves indicate the number of roots in the right half plane.

Until Theorem 3.4, parameter is taken as a real constant. Now we determine how stability region varies when h is varying.

Lemma 3.6

The members of family of curves Ck(h) do not intersect each other for k ∈ ℕ. Proof. Suppose that there exists an intersection point for h1 < h2. It means that, there exist ω1h1, ω2h2 ∈ (, (k + 1)π) such that

ω1cos(ω1h1)sin(ω1h1)=ω2cos(ω2h2)sin(ω2h2)(21)
ω1sin(ω1h1)=ω2sin(ω2h2).(22)

Cos(ω1h1) = cos(ω2h2) is obtained by using (21) and (22) which implies that ω1h1 = ω2h2 because of ω1h1, ω2h2 ∈ (, (k + 1)π). Therefore we have ω1ω2 from the assumption h1 < h2 which contradicts (22).

Lemma 3.7

If h1 < h2, C0(h2) lies below C0(h1) in parameter space (A0, A1).

Proof. Taking the derivative of (13) and (14) with respect to h, we obtain

A0h=ω2sin2(ωh)A1h=ω2cos(ωh)sin2(ωh).

It implies that, A0(ω, h) is a monotone increasing function and A1(ω, h) is a monotone decreasing function for ωh(0,π2). For each ωh value, functions A0(ω, h) and A1(ω, h) represent coordinates of points on C0(h). Therefore, if h1 < h2, the point (A0(ω, h2), A1(ω, h2)) lies below the point (A0(ω, h1), A1(ω, h1)) for ωh1, ωh2(0,π2). Suppose that a part of C0(h2) lies above C0(h1) for ωh1, ωh2[π2,π), then there exists at least one intersection point of C0(h2) and C0(h1), which contradicts Lemma 3.6. □

The curves C0(h) are shown for h = 0:25; 0:75, 1, 1:3 in Fig. 2.

Fig. 2 The members of the D-curves family C0(h) in the parameter space (A0, A1) for h = 0:25, 0:5, 0:75, 1 and 1:3
Fig. 2

The members of the D-curves family C0(h) in the parameter space (A0, A1) for h = 0:25, 0:5, 0:75, 1 and 1:3

Proposition 3.8

Let’s define the set Sh as follows

Sh={(A0,A1)|A0,A1and  satisfy  the  conditions(a)and(b)forh+.}

If h1 < h2then Sh1Sh2.

Proof. It is clear from Lemma 3.7

Theorem 3.9

The solution of equation(1)with delay term τ(u(t)) > 0 which satisfies the condition 0 < τ(u(t)) < M1for all t ∈ ℝ+is asymptotically stable if and only if the following conditions are satisfied:

(ã) 1M1<A0

(b˜)A0<A1<ωsin(ωM1)where ω is the root ofA0=ωcos(ωM1)sin(ωM1)such that ωM1 ∈ (0, π)

Proof. It is obvious form Theorem 2.1 and Proposition 3.8 that if the conditions. (ã) and (b˜) are satisfied, all roots of characteristic equation of equation (1) have negative real parts. □

Definition 3.10

A delay value of DDE is called critical delay if DDE has pure imaginary or zero eigenvalues at this delay value.

Critical delays of an equation are the values at which the qualitative behavior of the system changes. Between any two successive critical values, the behavior of the solution does not change.

Now, by using transformation (5) we rewrite the critical delay values of equation (17) in terms of parameter.

Proposition 3.11

λ = iω is a root of equation(18)for some h if and only if λ = iω is also a root of

Tλ2+(1+A0TA1T)λ+A0+A1=0(23)

for some T ≥ 0

Proof. Let λ = be a root of equation (18). By using transformation (5) in equation (18), we obtain

iω+A0+A11iωT1+iωT=0.

Multiplying this equation by 1 + iωT and arranging properly, we get

T(iω)2+(1+A0TA1T)iω+A0+A1=0

which implies that λ = is a root of equation (23) for h=2ω(arctan(ωT)+pπ). Moreover, the singular cases of Rekasius transform (5) are satisfied for equation (16) and equation (21).

As a result, T=1A1A0,ω=±A12A02 and critical delays

hp=2A12A02(arctan(A12A02A1A0+pπ)),p  

are obtained under the condition |A0| < A1. Let hn denote least hp value which is greater than 0. Therefore, the solution of equation (17) is stable for h ∈ (0, hn) when 0 < A0 < A1. Hence we can state the following result about stability of the solution for the equation (1).

Theorem 3.12

The solution of the equation(1)with delay τ(u(t)) > 0 such that 0 < τ(u(t)) < M1for all t ∈ ℝ+is asymptotically stable under the conditions |A0| < A1and M1 < hn.

Now, we give a stability criterion which is independent from delay for equation (1) by using D-partition method.

Theorem 3.13

If |A1| < A0, then the solution of equation (1) is asymptotically stable.

Proof. It is obvious from (11) that, |A1(ω)| ≥ |A0(ω)| for all ωJk. Therefore, all of the D-curves is in this region, i.e., there is no D-curve in the region described by |A1| < |A0|. Moreover, the half line A0 > 0 and A1 = 0 on which the solution equation (1) is asymptotically stable, is in the region described by |A1| < A0.

4 Conclusion

In this study, we have analyzed the stability of a differential equation with state-dependent delay under some conditions which guarantee existence and uniqueness of solutions. For the positivity of delay term τ(u(t))=a+bu(t)c+du(t), we put the some restrictions on the range of parameters values under consideration.

We consider two cases according to the boundedness of delay term. In the first case, the delay term is supposed to be bounded and we have two theorems, namely Theorems 3.9 and 3.12, related to stability of the solution. It is shown that upper bound of the delay term affects the stability region of differential equation with state-dependent delay: smaller upper bound means greater stability region. Moreover, by using the Rekasius transform, which is an analytic transformation, we get equation (23) which is equivalent to the characteristic equation of a differential equation with state-dependent delay. In the second case, the delay term is supposed to be unbounded and we have a theorem, namely Theorem 3.13. It is shown that we can find a stability region for the solution, even though the delay term is unbounded, since there is a stability region which is independent from delay term.

In the future we would like to investigate the stability of differential equation with different state-dependent delay. This would allow for a better understanding of differential equation with state-dependent delay.

References

[1] Murray J.D., Mathematical biology I. An introduction, 3rd ed, Springer-Verlag, Berlin Heidelberg, 2002.Search in Google Scholar

[2] Gambell R., Birds and mammals-Antarctic whales in Antarctica, W. N. Bonner and D. W. H.Walton, eds., Pergamon Press, New York, 1985, 223-241.10.1016/B978-0-08-028881-9.50022-4Search in Google Scholar

[3] Aiello W.G., Freedman H.I., Wu J., Analysis of a model representing stage-structured population growth with statedependent time delay, SIAM J Appl Math, 1992, 52, 855–869.10.1137/0152048Search in Google Scholar

[4] Hartung F., Krisztin T., Walther H.O., Wu J. Functional differential equations with state-dependent delays: theory and applications, A. Canada, P. Drabek, A. Fonda, Eds., Handbook of Differential Equations: Ordinary Differential Equations, vol. III, Elsevier/North-Holland, Amsterdam, 2006, 435–545.10.1016/S1874-5725(06)80009-XSearch in Google Scholar

[5] Driver R.D., Existence theory for a delay-differential system, Contrib Differential Equations, 1963, 1, 317–336.Search in Google Scholar

[6] Driver R.D., A two-body problem of classical electrodynamics: the one-dimensional case, Ann Physics, 1963, 21, 122–142.10.1016/0003-4916(63)90227-6Search in Google Scholar

[7] Driver R.D., Norris M.J., Note on uniqueness for a one-dimensional two-body problem of classical electrodynamics, Ann Physics, 1967, 42, 347–351.10.1016/0003-4916(67)90076-0Search in Google Scholar

[8] Winston E., Uniqueness of solutions of state dependent delay differential equations, J Math Anal Appl, 1974, 47, 620–625.10.1016/0022-247X(74)90013-4Search in Google Scholar

[9] Cooke K.L., Asymptotic theory for the delay-differential equation u_(t)=-au(t -r(u(t))), J Math Anal Appl, 1967, 19, 160–173.10.1016/0022-247X(67)90029-7Search in Google Scholar

[10] Nussbaum R.D., Periodic solutions of some nonlinear autonomous functional differential equations, Ann Mat Pura Appl, 1974, 101, 263–306.10.1007/BF02417109Search in Google Scholar

[11] Alt W., Some periodicity criteria for functional differential equations, Manuscripta Math, 1978, 23, 295–318.10.1007/BF01171755Search in Google Scholar

[12] Mallet-Paret J., Nussbaum R.D., Paraskevopoulos P. Periodic solutions for functional differential equations with multiple state-dependent time lags, Topol. Methods Nonlinear Anal, 1994, 3, 101–16210.12775/TMNA.1994.006Search in Google Scholar

[13] Krisztin T., An unstable manifold near a hyperbolic equilibrium for a class of differential equations with state-dependent delay, Discrete Contin Dyn Syst, 2003, 9, 993–102810.3934/dcds.2003.9.993Search in Google Scholar

[14] Sieber J., Finding periodic orbits in state-dependent delay differential equations as roots of algebraic equations, Discrete Contin Dyn Syst Ser A, 2012, 32, 2607–265110.3934/dcds.2012.32.2607Search in Google Scholar

[15] Hu Q., Wu J., Global Hopf bifurcation for differential equations with state-dependent delay, J Differ Equ, 2010, 248, 2081–284010.1016/j.jde.2010.03.020Search in Google Scholar

[16] Hartung F., Differentiability of solutions with respect to the initial data in differential equations with state-dependent delay, J Dyn Differ Equ, 2011, 23, 843–88410.1007/s10884-011-9218-1Search in Google Scholar

[17] Arino O., Hadeler K.P., Hbid M.L. Existence of periodic solutions for delay differential equations with state-dependent delay, J Differ Equ, 1998, 144, 263–30110.1006/jdeq.1997.3378Search in Google Scholar

[18] Kuang Y., Smith H.L. Slowly oscillating periodic solutions of autonomous state-dependent delay differential equations, Nonlinear Anal Theory Methods Appl., 1992, 19, 855–87210.1016/0362-546X(92)90055-JSearch in Google Scholar

[19] Mallet-Paret J., Nussbaum R.D., Boundary layer phenomena for differential-delay equations with state-dependent time-lags: I, Arch Ration Mech Anal, 1992, 120, 99–14610.1007/BF00418497Search in Google Scholar

[20] Mallet-Paret J., Nussbaum R.D., Boundary layer phenomena for differential-delay equations with state-dependent time-lags: II, J Reine Angew Math, 1996, 477, 129–19710.1007/BF00418497Search in Google Scholar

[21] Mallet-Paret J., Nussbaum R.D., Boundary layer phenomena for differential-delay equations with state-dependent time-lags: III, J Differ Equ, 2003, 189, 640–69210.1016/S0022-0396(02)00088-8Search in Google Scholar

[22] Mallet-Paret J., Nussbaum R.D. Superstability and rigorous asymptotics in singularly perturbed state-dependent delay-differential equations, J Differ Equ, 2011, 250, 4037–4084.10.1016/j.jde.2010.10.024Search in Google Scholar

[23] Magal P., Arino O. Existence of periodic solutions for a state-dependent delay differential equation, J Differ Equ, 2000, 165, 61–95.10.1006/jdeq.1999.3759Search in Google Scholar

[24] Krisztin T., Arino O., The 2-dimensional attractor of a differential equation with state-dependent delay, J Dyn Differ Equ, 2001, 13, 453–522.10.1023/A:1016635223074Search in Google Scholar

[25] Kennedy B., Multiple periodic solutions of an equation with state-dependent delay, J Dyn Differ Equ, 2011, 26, 1–31.10.1007/s10884-011-9205-6Search in Google Scholar

[26] Stumpf E., On a differential equation with state-dependent delay: a global center-unstable manifold connecting an equilibrium and a periodic orbit, J Dyn Differ Equ, 2012, 24, 197–24810.1007/s10884-012-9245-6Search in Google Scholar

[27] Walther H.-O., A periodic solution of a differential equation with state-dependent delay, J Differ Equ, 2008, 244, 1910–1945.10.1016/j.jde.2008.02.001Search in Google Scholar

[28] Cooke K., Huang W., On the problem of linearization for state-dependent delay differential equations, Proc Am Math Soc, 1996, 124, 1417–1426.10.1090/S0002-9939-96-03437-5Search in Google Scholar

[29] Chueshov I., Rezounenko A., Dynamics of second order in time evolution equations with state-dependent delay, Nonlinear Analysis, 2015, 126–149.10.1016/j.na.2015.04.013Search in Google Scholar

[30] Rezounenko A., On time transformations for differential equations with state-dependent delay, Cent. Eur. J. Math., 2014, 12(2), 298-307.10.2478/s11533-013-0341-6Search in Google Scholar

[31] Otrocol D., Ilea V., Ulam stability for a delay differential equation, Cent. Eur. J. Math., 2013, 11(7), 1296-1303.10.2478/s11533-013-0233-9Search in Google Scholar

[32] Walther H.-O., Topics in Delay Differential Equation, Jahresber Dtsch Math-Ver, 2014, 116, 87–114.10.1365/s13291-014-0086-6Search in Google Scholar

[33] Neimark J.I., D-subdivision and spaces of quasi-polynomials (in Russian), Prikl Mat Mekh, 1949, 13, 349–380.Search in Google Scholar

[34] Elsgolts L.E., Norkin S.B. Introduction to the Theory and Application of Differential Equations with Deviating Arguments, Academic Press, London, 1973.Search in Google Scholar

[35] Insperger T., Stépán G., Semi-Discretization Stability and Engineering Applications for Time-Delay Systems, Springer, Newyork, 2011.10.1007/978-1-4614-0335-7Search in Google Scholar

[36] Kolmanovskii V.B., Nosov V.R., Stability of Functional Differential Equations, Academic Press, London, 1986.Search in Google Scholar

[37] Krall A.M. Stability Techniques for Continuous Linear Systems, Gordon and Breach, Newyork, 1967.Search in Google Scholar

[38] Diekmann O., Gils S.A. van, Lunel S.M.V., Walther H.-O. Delay Equations, Functional, Complex and Nonlinear Analysis, Springer, New York, 1995.10.1007/978-1-4612-4206-2Search in Google Scholar

[39] Rekasius Z., A stability test for systems with delays, Proc of joint Autom Contr Conf San Francisco, 1980.Search in Google Scholar

[40] Thowsen A., An analytic stability test for class of time-delay system, IEEE Trans. Autom. Control, 1981, 26(3), 735–736.10.1109/TAC.1981.1102694Search in Google Scholar

[41] Hertz J.D., Jury E., Zeheb E., Simplified analytic stability test for systems with commensurate time delays, IEE Proc Part D, 1984, 131, 52–56.10.1049/ip-d.1984.0008Search in Google Scholar

[42] Olgaç N., Sipahi R., An exact method for the stability analysis of time-delayed linear time-invariant (LTI) systems, IEEE Trans. Autom. Control, (2002), 47(5), 793–797.10.1109/TAC.2002.1000275Search in Google Scholar

[43] Sipahi R., Olgaç N., A unique methodology for the stability robustness of multiple time delay systems, Syst Control Lett, 2006, 55(10), 819–825.10.1016/j.sysconle.2006.03.010Search in Google Scholar

Received: 2016-3-21
Accepted: 2016-5-30
Published Online: 2016-6-23
Published in Print: 2016-1-1

© 2016 Erman and Demir, published by De Gruyter Open

This work is licensed under the Creative Commons Attribution-NonCommercial-NoDerivatives 3.0 License.

Articles in the same Issue

  1. Regular Article
  2. A metric graph satisfying w41=1 that cannot be lifted to a curve satisfying dim(W41)=1
  3. Regular Article
  4. On the Riemann-Hilbert problem in multiply connected domains
  5. Regular Article
  6. Hamilton cycles in almost distance-hereditary graphs
  7. Regular Article
  8. Locally adequate semigroup algebras
  9. Regular Article
  10. Parabolic oblique derivative problem with discontinuous coefficients in generalized weighted Morrey spaces
  11. Corrigendum
  12. Corrigendum to: parabolic oblique derivative problem with discontinuous coefficients in generalized weighted Morrey spaces
  13. Regular Article
  14. Some new bounds of the minimum eigenvalue for the Hadamard product of an M-matrix and an inverse M-matrix
  15. Regular Article
  16. Integral inequalities involving generalized Erdélyi-Kober fractional integral operators
  17. Regular Article
  18. Results on the deficiencies of some differential-difference polynomials of meromorphic functions
  19. Regular Article
  20. General numerical radius inequalities for matrices of operators
  21. Regular Article
  22. The best uniform quadratic approximation of circular arcs with high accuracy
  23. Regular Article
  24. Multiple gcd-closed sets and determinants of matrices associated with arithmetic functions
  25. Regular Article
  26. A note on the rate of convergence for Chebyshev-Lobatto and Radau systems
  27. Regular Article
  28. On the weakly(α, ψ, ξ)-contractive condition for multi-valued operators in metric spaces and related fixed point results
  29. Regular Article
  30. Existence of a common solution for a system of nonlinear integral equations via fixed point methods in b-metric spaces
  31. Regular Article
  32. Bounds for the Z-eigenpair of general nonnegative tensors
  33. Regular Article
  34. Subsymmetry and asymmetry models for multiway square contingency tables with ordered categories
  35. Regular Article
  36. End-regular and End-orthodox generalized lexicographic products of bipartite graphs
  37. Regular Article
  38. Refinement of the Jensen integral inequality
  39. Regular Article
  40. New iterative codes for 𝓗-tensors and an application
  41. Regular Article
  42. A result for O2-convergence to be topological in posets
  43. Regular Article
  44. A fixed point approach to the Mittag-Leffler-Hyers-Ulam stability of a fractional integral equation
  45. Regular Article
  46. Uncertainty orders on the sublinear expectation space
  47. Regular Article
  48. Generalized derivations of Lie triple systems
  49. Regular Article
  50. The BV solution of the parabolic equation with degeneracy on the boundary
  51. Regular Article
  52. Malliavin method for optimal investment in financial markets with memory
  53. Regular Article
  54. Parabolic sublinear operators with rough kernel generated by parabolic calderön-zygmund operators and parabolic local campanato space estimates for their commutators on the parabolic generalized local morrey spaces
  55. Regular Article
  56. On annihilators in BL-algebras
  57. Regular Article
  58. On derivations of quantales
  59. Regular Article
  60. On the closed subfields of Q¯~p
  61. Regular Article
  62. A class of tridiagonal operators associated to some subshifts
  63. Regular Article
  64. Some notes to existence and stability of the positive periodic solutions for a delayed nonlinear differential equations
  65. Regular Article
  66. Weighted fractional differential equations with infinite delay in Banach spaces
  67. Regular Article
  68. Laplace-Stieltjes transform of the system mean lifetime via geometric process model
  69. Regular Article
  70. Various limit theorems for ratios from the uniform distribution
  71. Regular Article
  72. On α-almost Artinian modules
  73. Regular Article
  74. Limit theorems for the weights and the degrees in anN-interactions random graph model
  75. Regular Article
  76. An analysis on the stability of a state dependent delay differential equation
  77. Regular Article
  78. The hybrid mean value of Dedekind sums and two-term exponential sums
  79. Regular Article
  80. New modification of Maheshwari’s method with optimal eighth order convergence for solving nonlinear equations
  81. Regular Article
  82. On the concept of general solution for impulsive differential equations of fractional-order q ∈ (2,3)
  83. Regular Article
  84. A Riesz representation theory for completely regular Hausdorff spaces and its applications
  85. Regular Article
  86. Oscillation of impulsive conformable fractional differential equations
  87. Regular Article
  88. Dynamics of doubly stochastic quadratic operators on a finite-dimensional simplex
  89. Regular Article
  90. Homoclinic solutions of 2nth-order difference equations containing both advance and retardation
  91. Regular Article
  92. When do L-fuzzy ideals of a ring generate a distributive lattice?
  93. Regular Article
  94. Fully degenerate poly-Bernoulli numbers and polynomials
  95. Commentary
  96. Commentary to: Generalized derivations of Lie triple systems
  97. Regular Article
  98. Simple sufficient conditions for starlikeness and convexity for meromorphic functions
  99. Regular Article
  100. Global stability analysis and control of leptospirosis
  101. Regular Article
  102. Random attractors for stochastic two-compartment Gray-Scott equations with a multiplicative noise
  103. Regular Article
  104. The fuzzy metric space based on fuzzy measure
  105. Regular Article
  106. A classification of low dimensional multiplicative Hom-Lie superalgebras
  107. Regular Article
  108. Structures of W(2.2) Lie conformal algebra
  109. Regular Article
  110. On the number of spanning trees, the Laplacian eigenvalues, and the Laplacian Estrada index of subdivided-line graphs
  111. Regular Article
  112. Parabolic Marcinkiewicz integrals on product spaces and extrapolation
  113. Regular Article
  114. Prime, weakly prime and almost prime elements in multiplication lattice modules
  115. Regular Article
  116. Pochhammer symbol with negative indices. A new rule for the method of brackets
  117. Regular Article
  118. Outcome space range reduction method for global optimization of sum of affine ratios problem
  119. Regular Article
  120. Factorization theorems for strong maps between matroids of arbitrary cardinality
  121. Regular Article
  122. A convergence analysis of SOR iterative methods for linear systems with weak H-matrices
  123. Regular Article
  124. Existence theory for sequential fractional differential equations with anti-periodic type boundary conditions
  125. Regular Article
  126. Some congruences for 3-component multipartitions
  127. Regular Article
  128. Bound for the largest singular value of nonnegative rectangular tensors
  129. Regular Article
  130. Convolutions of harmonic right half-plane mappings
  131. Regular Article
  132. On homological classification of pomonoids by GP-po-flatness of S-posets
  133. Regular Article
  134. On CSQ-normal subgroups of finite groups
  135. Regular Article
  136. The homogeneous balance of undetermined coefficients method and its application
  137. Regular Article
  138. On the saturated numerical semigroups
  139. Regular Article
  140. The Bruhat rank of a binary symmetric staircase pattern
  141. Regular Article
  142. Fixed point theorems for cyclic contractive mappings via altering distance functions in metric-like spaces
  143. Regular Article
  144. Singularities of lightcone pedals of spacelike curves in Lorentz-Minkowski 3-space
  145. Regular Article
  146. An S-type upper bound for the largest singular value of nonnegative rectangular tensors
  147. Regular Article
  148. Fuzzy ideals of ordered semigroups with fuzzy orderings
  149. Regular Article
  150. On meromorphic functions for sharing two sets and three sets in m-punctured complex plane
  151. Regular Article
  152. An incremental approach to obtaining attribute reduction for dynamic decision systems
  153. Regular Article
  154. Very true operators on MTL-algebras
  155. Regular Article
  156. Value distribution of meromorphic solutions of homogeneous and non-homogeneous complex linear differential-difference equations
  157. Regular Article
  158. A class of 3-dimensional almost Kenmotsu manifolds with harmonic curvature tensors
  159. Regular Article
  160. Robust dynamic output feedback fault-tolerant control for Takagi-Sugeno fuzzy systems with interval time-varying delay via improved delay partitioning approach
  161. Regular Article
  162. New bounds for the minimum eigenvalue of M-matrices
  163. Regular Article
  164. Semi-quotient mappings and spaces
  165. Regular Article
  166. Fractional multilinear integrals with rough kernels on generalized weighted Morrey spaces
  167. Regular Article
  168. A family of singular functions and its relation to harmonic fractal analysis and fuzzy logic
  169. Regular Article
  170. Solution to Fredholm integral inclusions via (F, δb)-contractions
  171. Regular Article
  172. An Ulam stability result on quasi-b-metric-like spaces
  173. Regular Article
  174. On the arrowhead-Fibonacci numbers
  175. Regular Article
  176. Rough semigroups and rough fuzzy semigroups based on fuzzy ideals
  177. Regular Article
  178. The general solution of impulsive systems with Riemann-Liouville fractional derivatives
  179. Regular Article
  180. A remark on local fractional calculus and ordinary derivatives
  181. Regular Article
  182. Elastic Sturmian spirals in the Lorentz-Minkowski plane
  183. Topical Issue: Metaheuristics: Methods and Applications
  184. Bias-variance decomposition in Genetic Programming
  185. Topical Issue: Metaheuristics: Methods and Applications
  186. A novel generalized oppositional biogeography-based optimization algorithm: application to peak to average power ratio reduction in OFDM systems
  187. Special Issue on Recent Developments in Differential Equations
  188. Modeling of vibration for functionally graded beams
  189. Special Issue on Recent Developments in Differential Equations
  190. Decomposition of a second-order linear time-varying differential system as the series connection of two first order commutative pairs
  191. Special Issue on Recent Developments in Differential Equations
  192. Differential equations associated with generalized Bell polynomials and their zeros
  193. Special Issue on Recent Developments in Differential Equations
  194. Differential equations for p, q-Touchard polynomials
  195. Special Issue on Recent Developments in Differential Equations
  196. A new approach to nonlinear singular integral operators depending on three parameters
  197. Special Issue on Recent Developments in Differential Equations
  198. Performance and stochastic stability of the adaptive fading extended Kalman filter with the matrix forgetting factor
  199. Special Issue on Recent Developments in Differential Equations
  200. On new characterization of inextensible flows of space-like curves in de Sitter space
  201. Special Issue on Recent Developments in Differential Equations
  202. Convergence theorems for a family of multivalued nonexpansive mappings in hyperbolic spaces
  203. Special Issue on Recent Developments in Differential Equations
  204. Fractional virus epidemic model on financial networks
  205. Special Issue on Recent Developments in Differential Equations
  206. Reductions and conservation laws for BBM and modified BBM equations
  207. Special Issue on Recent Developments in Differential Equations
  208. Extinction of a two species non-autonomous competitive system with Beddington-DeAngelis functional response and the effect of toxic substances
Downloaded on 9.12.2025 from https://www.degruyterbrill.com/document/doi/10.1515/math-2016-0038/html
Scroll to top button