Home Medicine Die neue RiliBÄK – Anmerkungen des Referenzinstitutes für Bioanalytik (RfB)
Article Publicly Available

Die neue RiliBÄK – Anmerkungen des Referenzinstitutes für Bioanalytik (RfB)

  • Rolf Kruse and Wolf-Jochen Geilenkeuser EMAIL logo
Published/Copyright: March 6, 2015

Mit der nun vorliegenden Version der „RiliBÄK“ ist ein wichtiges Ziel erreicht, regelt sie jetzt doch umfassend den gesamten Bereich der Qualitätskontrolle im medizinischen Labor. Konkret sind hier die wesentlichen Bereiche zu nennen, die im Vergleich zu früheren Versionen nun Eingang in die Richtlinie gefunden haben. Dazu gehört der Ausbau zu einem QM-System durch den neuen Teil A sowie die Berücksichtigung der, in einem umfassenden Sinne, qualitativen Untersuchungen. Bei der Vielzahl der potentiellen Untersuchungen ist man bezüglich der in den Anlagen genannten Pflichtanalyte für die externe QK beim bewährten Tracer-Konzept geblieben.

Aus Sicht eines Ringversuchsveranstalters ist es sicherlich richtig und wichtig, auch auf folgenden Sachverhalt hinzuweisen:

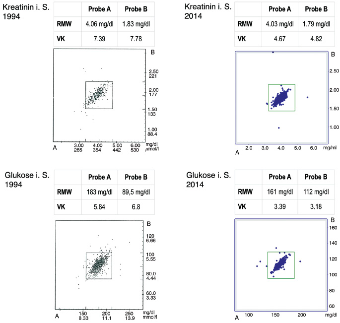
Die Daten, die in der externen Qualitätskontrolle erhoben werden, liefern nicht zu unterschätzende Informationen über den aktuellen Stand der Analytik. Wenn man heutige RV-Ergebnisse mit denen von vor 20 Jahren vergleicht, stellt man fest, dass die Analytik erhebliche Fortschritte gemacht hat. Dazu hat die externe Qualitätskontrolle sicherlich einen wichtigen Beitrag geleistet und insbesondere mit dem Konzept der Referenzmethodenwerte die Richtigkeit von Analysenergebnisse deutlich verbessert. Dazu 2 recht typische Beispiele:

Das RfB hat mit mehreren Umfragen unter seinen Teilnehmern bzgl. der internen Qualitätskontrolle langfristig den Prozess der Festlegung geeigneter Grenzen für die quantitativen Laboratoriumsuntersuchungen begleitet, sowie vor deren Einsatz solche Grenzen anhand alter Ringversuchsdaten validiert. Mit den aktuellen, praxisnahen Grenzen ist das System allgemein akzeptiert und sollte kein Labor vor grössere Probleme stellen.

Die aktuelle Richtlinie regelt nun auch erstmals den Bereich der qualitativen Bestimmungen bzgl. der externen Qualitätskontrolle. Durch die vom RfB nun auch auf diesem Gebiet durchgeführten Ringversuche erwarten wir auch hier eine Verbesserung der Analytik, die in einzelnen Bereichen noch nicht den gewünschten Standard erreicht hat.

Die nun verfügbare englischsprachige Version der RiliBÄK macht es nun Interessenten aus dem nicht-deutschsprachigen Raum und den internationalen Kooperationspartnern des RfB leichter möglich, Einblick in das deutsche Qualitäts-Sicherungs-System zu erhalten.


Korrespondenz: Wolf-Jochen Geilenkeuser, Stellvertretender Leiter der Ringversuchsorganisation des RfB, Friesdorfer Str. 153, 53175 Bonn, Deutschland, E-Mail:

Online erschienen: 2015-3-6
Erschienen im Druck: 2015-3-1

©2015 by De Gruyter

Downloaded on 27.12.2025 from https://www.degruyterbrill.com/document/doi/10.1515/labmed-2015-0011/html
Scroll to top button