Home Mathematics Quantifying the quality of configurational causal models
Article Open Access

Quantifying the quality of configurational causal models

  • Michael Baumgartner EMAIL logo and Christoph Falk
Published/Copyright: July 25, 2024

Abstract

There is a growing number of studies benchmarking the performance of configurational comparative methods (CCMs) of causal data analysis. A core benchmark criterion used in these studies is a dichotomous (i.e., non-quantitative) correctness criterion, which measures whether all causal claims entailed by a model are true of the data-generating causal structure or not. To date, Arel-Bundock [The double bind of Qualitative Comparative Analysis] is the only one who has proposed a measure quantifying correctness. That measure, however, as this study argues, is problematic because it tends to overcount errors in models. Moreover, we show that all available correctness measures are unsuited to assess relations of indirect causation. We therefore introduce a new correctness measure that adequately quantifies errors and does justice to indirect causation. We also offer a new completeness measure quantifying the informativeness of CCM models. Together, these new measures broaden and sharpen the resources for CCM benchmarking.

MSC 2010: 62D20; 03A10

1 Introduction

Configurational comparative methods (CCMs) constitute a family of methods of causal learning that track causal complexity by grouping multiple causes into bundles (conjunctions) that only become operative when all of their components are properly co-instantiated and by placing these bundles on alternative (disjunctive) causal paths that can bring about corresponding outcomes independently of one another. CCMs are custom-built to deal with causal structures featuring complex interactions, threshold effects, equifinality, or component causation, which tend to pose challenges for standard methods (e.g., Bayes nets methods or regression methods) because these structures often violate linearity and feature causes and effects that are not correlated in the data, giving rise to violations of causal faithfulness [1]. To this end, CCMs trace causation as defined by modern regularity theories of causation – which define causation in terms of Boolean difference-making and, unlike most other theories, do not entail that pairwise correlation is necessary for causation (cf. [2,3]).

The two main members of the CCM family are Qualitative Comparative Analysis (QCA; [4,5]) and Coincidence Analysis (CNA; [6,7]). They differ in various aspects, e.g., in search targets and implemented algorithms, or in domains of applicability [8]. While QCA has been widely used in the social and political sciences, in business administration, or in management, CNA has seen a significant uptick in applications in public health in recent years.

Accompanying the increasing dispersion of CCMs, there is a growing body of literature benchmarking the performance of QCA and CNA (e.g., [816]). These benchmarking studies conduct inverse searches by, first, (randomly) building data-generating structures – ground truths – second, simulating data from those structures featuring various deficiencies such as noise or fragmentation, and third, processing the data with CCMs to measure the degree to which the produced outputs comply with different quality criteria. One such criterion used in many studies (but not all, cf. [12]) is a dichotomous correctness criterion, which classifies a model as correct if all of its causal implications correspond to causal properties of the ground truth, meaning if it is a submodel of the ground truth, and as incorrect otherwise [11]. That is, a correct model is a model that does not commit a false positive error. But CCM models may have numerous causal implications: they can identify an array of causes, group these causes conjunctively and disjunctively, and they may feature multiple outcomes, for each of which they exhibit disjunctions of conjunctions of causes. Accordingly, only checking whether a model is a submodel of the ground truth amounts to a coarse-grained benchmark. Models that are not submodels of the ground truth can be further compared with respect to how many false implications they have. After all, a model with many true implications and one false positive error is still preferable over a model with many such errors. Hence, measuring correctness not just dichotomously but quantitatively is a natural further development of CCM benchmarking.

However, as this study will show, adequately quantifying errors in CCM models is an intricate problem. The only solution proposed so far is Arel-Bundock’s [9] wrongness measure, which counts implications of a model in terms of the number of its submodels and then quantifies wrongness as the proportion of its submodels that are not also submodels of the ground truth. In the first part of this study, we will argue that this approach is inadequate because it tends to disproportionally overcount errors. In addition, it will be shown that the notion of a submodel, which is at the heart of much of CCM benchmarking to date, is only suited to assess the correctness of models exclusively making claims about relations of direct causation, but it cannot handle models expressing indirect causation. In consequence, both the standard dichotomous correctness measure and Arel-Bundock’s wrongness measure are prone to misjudge the quality of CCM models when the ground truth is a causal chain.

The second part of the study sets out to rectify these shortcomings. In general terms, correctness of a model relative to a ground truth is the ratio of causal information contained in the model that is true of the ground truth. The problems of overcounting errors and of indirect causation show that the sets of submodels do not adequately measure that information content. As an alternative, we introduce the notion of a causal exposition, which, in a nutshell, refers to a list of all types of all causal ascriptions, including ascriptions of direct and indirect relevance, made by models and ground truths. These causal expositions can then be intersected and the correctness of the model quantified in terms of the ratio of the complexity of these intersections to the complexity of the model’s causal exposition.

Correctness is not the only quality measure, as it exclusively rewards error avoidance and is insensitive to a model’s informativeness. Benchmarking studies – in many methodological traditions – therefore, complement correctness (a.k.a. precision) by a completeness (a.k.a. recall) criterion measuring how much of the ground truth is revealed by a model, i.e., how informative a model is [1720]. In CCM benchmarking, different completeness criteria are in use, some dichotomous, and some quantitative [911,15]. But they typically rely on the notion of a submodel that gives rise to problems when the ground truth is a causal chain. For that reason, we complement our new correctness criterion by an analogous new completeness criterion, which quantifies completeness with exclusive recourse to the tools developed in this study. To quantify a model’s overall quality, we then aggregate its correctness and completeness using the F β -measure, which is standard in classification theory and machine learning [17]. All new measures and tests are implemented as explicit R functions, which are available in the study’s supplementary material (https://github.com/m-baum/quantifyQuality), which moreover provides a script that allows for replicating all calculations of the article.

2 Basics of CCMs

To learn structures featuring causal complexity from data, CCMs draw on the so-called (M)INUS theory of causation [2,3,21], which is especially suited for the analysis of complexity dimensions that give rise to linearity and faithfulness violations.[1] Contrary to most other theories of causation, the (M)INUS theory does not define causation with recourse to a pairwise dependence between causes and effects. Rather, it defines the relation of causal relevance (i.e., type-level causation) between a factor A taking some value α , A = α , and a factor B taking a value β , B = β , in terms of A = α being a Boolean difference-maker of B = β , which, roughly put, amounts to A = α being part of a complex but redundancy-free Boolean function accounting for B = β [2].

Factors in such Boolean functions can either be crisp-set (binary), taking two possible values 0 and 1, fuzzy-set, taking real values from the unit interval [ 0 , 1 ] , or multi-value, taking an open (but finite) number of non-negative integers as possible values. For simplicity, we subsequently focus on crisp-set factors, which allows for abbreviating the “Factor = value” notation. As is conventional in Boolean algebra, we will use “ A ” as shorthand for A = 1 and “ a ” for A = 0 .[2] The (M)INUS theory borrows much of its formal machinery from Boolean algebra, in particular, the operations of negation, ¬ A (expressing “ NOT A = 1 ”), conjunction, A B (“ A = 1 AND B = 1 ”), disjunction, A + B (“ A = 1  OR  B = 1 ”), implication, A B (“ IF A = 1 , THEN B = 1 ”), and equivalence A B (“ A = 1  IF, AND ONLY IF,  B = 1 ”).[3] In case of crisp-set (and multi-value) factors, Boolean operations are given a rendering in classical logic, which we do not reiterate here (e.g., [23] for a canonical introduction). Based on the implication operator, the notions of sufficiency and necessity are defined, which are the two core dependence relations exploited by the (M)INUS theory: a conjunction A C E , e.g., is sufficient for B iff (i.e., if, and only if) A C E B (i.e., whenever A AND C AND E are true, B is true); and a disjunction A + C + E is necessary for B iff B A + C + E (i.e., whenever B is true, A OR C OR E is true).

Most sufficiency and necessity relations do not reflect causation, but some of them do, namely, the ones that are rigorously freed of redundancies. As shown by Baumgartner and Falk [2], there exists a tight connection between difference-making and redundancy-freeness: A is a Boolean difference-maker of B iff A is a non-redundant part of a minimally sufficient condition Φ 1 (e.g., A Z 1 Z n ) of B , such that Φ 1 , in turn, is a non-redundant part of a minimally necessary condition Φ 1 + Φ 2 + + Φ n of B – where sufficient and necessary conditions are said to be minimal iff they do not have proper parts that are, respectively, sufficient and necessary on their own. Correspondingly, CCMs infer minimally necessary disjunctions of minimally sufficient conditions of scrutinized outcomes in DNF,[4] so-called atomic MINUS-formulas, from data, which represent causal structures with one outcome. Such one-outcome structures can then be combined to complex MINUS-formulas representing multi-outcome structures.[5] (1) is an atomic and (2) a complex exemplar:

(1) A b + c D E ,

(2) ( H K + I A ) ( A b + c D E ) .

When causally interpreted, (1) entails that A and b jointly cause E on one path and that c and D jointly cause E on another path. The same also follows from a causal interpretation of (2), but (2) additionally entails that H K and I are two alternative direct causes of A , making them indirect causes of E .

Of course, as deterministic dependencies are rare in (messy) real-life data, strictly sufficient and necessary conditions for an outcome often do not exist. In order to nonetheless distill causal information from such data, CCMs approximate deterministic dependency structures by suitably fitting their models to the data. The two core fit measures used for that purpose are consistency and coverage (for formal definitions, see [24]).[6] Consistency measures the degree to which the behavior of an outcome obeys a corresponding sufficiency or necessity relationship or a whole model; coverage measures the degree to which a sufficiency or necessity relationship or a whole model accounts for the behavior of the corresponding outcome. What counts as acceptable scores on these fit parameters (with values in the unit interval) is defined in thresholds that can either be set by the analyst prior to the analysis or chosen through the robustness protocol recently introduced by Parkkinen and Baumgartner [15]. They determine how closely a dependence in the data must approximate the deterministic ideal in order to pass as one of sufficiency or necessity.

Given their embedding in the (M)INUS theory, CCMs – unlike standard methods – do not infer their outputs from associations (e.g., effect sizes) observed in the data as a whole, rather they exploit difference-making evidence at the level of individual cases (units of observations) in the data. For example, if two cases σ i and σ j coincide in all measured factors except for A and B, such that σ i features A and B and σ j features a and b , this is evidence – assuming the homogeneity of the unmeasured causal background (for details, see [7]) – that there exists a context, viz. the one of σ i and σ j , in which A makes a difference to B . It follows that A must be part of some conjunction causally relevant for B .

In order to establish, along these lines, that A and C jointly or alternatively cause B , all four logically possible configurations of A and C , namely, A C , A c , a C , and a c , must be observed in combination with corresponding values of B. In general, the amount of different configurations needed to unambiguously group causes conjunctively or disjunctively increases exponentially with the number of exogenous factors in the analysis. It follows that unambiguously and completely uncovering causal structures by means of CCMs poses very high demands on data diversity; ideally, the behavior patterns of outcomes are observed under all logically possible configurations of exogenous factors. But CCMs are often applied in discovery contexts where such high data diversity is not given. Hence, as CCMs are designed to find all models that equally fit the data, CCM analyses tend to be affected by model ambiguity, meaning that they generate more than one model. Moreover, these models typically are incomplete, i.e., they only represent proper parts of data-generating structures.

This has ramifications for the interpretation of CCM models. First, if multiple models m 1 to m n are inferred from data, the latter underdetermine their own causal modeling, i.e., based on the evidence in the data alone, all of m 1 to m n are equally good candidates for being truthful representations of the data-generating structure. Therefore, a CCM output consisting of multiple models is to be interpreted disjunctively: m 1 or m 2 or …or m n is true; but the data are insufficient to determine which one(s) exactly.

Second, a model as (1), inferred from data, must be interpreted to be open for later expansions, i.e., it must be read with implicit placeholders for additional conjuncts X i , disjuncts Y i , and other CCM models Ψ i [3, p. 66]:

(3) ( A b X 1 + c D X 2 + Y 1 E ) ( Ψ 1 ) .

So the fact that, say, G does not appear in model (1) does not entail that G is causally irrelevant to E ; it merely means that the data from which (1) was inferred do not contain evidence for the causal relevance of G . By contrast, (1) is committed to all its ascriptions of causal relevance as well as all its ascriptions of conjunctive and disjunctive grouping being true of the complete causal structure regulating the behavior of E – whichever that might be. In other words, the set of causal ascriptions made by a model inferred from data shall be a subset of the causal ascriptions made by the model representing the complete ground truth. In an attempt to define a precise criterion determining when such a subset relation obtains, Baumgartner and Thiem [11] introduced the notion of a submodel (we generalize the original definition here):

Submodel. A CCM model m i is a submodel of another CCM model m j iff

  1. if m i is an atomic MINUS-formula Ω Z , there exists an atomic MINUS-formula Γ Z in m j such that either Γ = Ω or Γ can be transformed into Ω by mere elimination of conjuncts or disjuncts;

  2. if m i is a complex MINUS-formula, all atomic MINUS-formulas in m i have counterparts in m j for which (i) is satisfied.

For example, A B C is a submodel of A B D C and of A B + D C because A B D and A B + D can be transformed into A B merely by eliminating conjuncts or disjuncts, but not of A + B C because A + B cannot be transformed into A B in that way.

If m i is a submodel of m j , m j is called a supermodel of m i . The submodel relation is reflexive: every model is a submodel (and supermodel) of itself. Put differently, if m i and m j are submodels of one another, then m i and m j are identical. Although the submodel relation, strictly speaking, can only be said to obtain between CCM models, we will subsequently also say, for convenience, that a model m i is a submodel of the ground truth (instead of m i being a submodel of the model representing the ground truth).

3 Assessing model quality by submodel criteria

3.1 State-of-the-art in CCM benchmarking

Even though the output of a CCM inferred from limitedly diverse data often contains more than one model and even though these models cannot be expected to reflect the complete ground truth, the output as a whole can and should be expected to truthfully reflect the data-generating structure. This is satisfied if at least one output model m i is a submodel of the model representing the complete ground truth. Against that backdrop, the following is a qualitative correctness criterion frequently used in CCM benchmarking (e.g., [7,8,10,11,15,16]):[7]

Qualitative correctness (LCR). A model m is a correct representation of a ground truth Δ iff m is a submodel of Δ .

While being important in current CCM benchmarking, (LCR) is clearly insufficient to assess the overall quality of models. For one, (LCR) does not take model complexity or informativeness into account. Models can be very sparse or very complex submodels of the ground truth, yet equally satisfy (LCR). Hence, correctness needs to be complemented by a completeness criterion suitably rewarding informativeness.[8] There are various completeness criteria on offer, some qualitative [7], some quantitative [9,10,15,16], but they all measure completeness by drawing on the submodel relation.

Another reason why (LCR) does not suffice for assessing model quality is that it is merely qualitative, meaning it can only be passed or not. As a result, (LCR) cannot capture important differences. To illustrate, let Δ 1 be the ground truth and let models (4) and (5) be inferred from data simulated from that ground truth in a benchmark test:

(Δ 1) A b + c D E ,

(4) A B + D E ,

(5) A B D E .

As neither (4) nor (5) are submodels of Δ 1 , they are both incorrect according to (LCR). But there is a clear sense in which (4) is not equally incorrect as (5). While (4) correctly entails that A and D are causally relevant and places these causes in alternative disjuncts, it erroneously ascribes causal relevance to B (instead of b ). (5) makes that same mistake and, in addition, erroneously combines D conjunctively with A . That is, (5) commits one error more than (4). It should count as a worse representation of Δ 1 than (4). However, (LCR), being a mere qualitative criterion, is insensitive to such differences in number of errors.

To date, Arel-Bundock [9] is the only one who has proposed a measure that is sensitive to such differences by expressing correctness quantitatively. Strictly speaking, Arel-Bundock does not define a measure for model correctness but for model wrongness: “I measure the level of wrongness by counting the proportion of solution submodels that are not submodels of the truth” [9, p. 7]. But to adjust this proposal to our preferred terminology (which is also standard in the benchmarking literature), we transform Arel-Bundock’s wrongness measure into a quantitative correctness measure (by negating it):

Quantitative correctness (NCR). The correctness of a model m for a ground truth Δ is the proportion of m ’s submodels that are also submodels of Δ .

To illustrate, we apply (NCR) to models (4) and (5). Table 1 lists all submodels of (4) and (5), respectively, and indicates whether they are submodels of the ground truth Δ 1 . Three of the seven submodels of (4) are also submodels of Δ 1 , yielding a (NCR)-score of 0.43. With only two of its seven submodels being submodels of Δ 1 , (5) gets a (NCR)-score of 0.29. That these scores are below 1 and above 0 reflects the fact that neither (4) nor (5) are fully correct representations of Δ 1 while still making some true claims. Furthermore, (4) receives a higher score than (5) because it makes less errors. On the face of it, (NCR) thus seems to capture exactly those differences that (LCR) is insensitive to. However, the next two sections will show that (NCR) does not adequately score model correctness in all cases.

Table 1

All submodels of models (4) and (5), respectively, with marks indicating whether a submodel is also a submodel of the ground truth Δ 1 and resulting (NCR)-scores

A B + D E sub ( Δ 1 ) A B D E sub ( Δ 1 )
A E A E
B E B E
D E D E
A B E A B E
A + D E A D E
B + D E B D E
A B + D E A B D E
3 7 = 0.43 2 7 = 0.29

3.2 Problem of overcounting errors

The first problem of (NCR) is best introduced with another concrete example. Thus, let Δ 2 be the ground truth and let models (6)–(8) be inferred from data simulated from Δ 2 :

(Δ 2) A b D F + a B C D E ,

(6) A + C + D E ,

(7) A b + C + D E ,

(8) A b F + C + D E .

The important feature of candidate models (6)–(8) is that they all contain the same error: instead of adding D to the first or second disjunct, they place D into a third disjunct, thus, claiming that D brings about E independently of the other factors. Apart from that mistake, all other causal claims entailed by (6)–(8) are true of Δ 2 . More specifically, the difference between (6) and (7) is that the latter truthfully identifies A b as a cause of E , while in the former b is not part of the first disjunct. That is, (7) makes the same mistake as (6) and contains more true information. Analogously, (8) features the same error as (7) (and (6)) in combination with the true conjunctive addition of F to A b .

Clearly, an adequate correctness measure must not punish models (7) and (8) for containing more true elements than (6) while committing the same error as (6). More generally, an adequate correctness measure should respect the following model expansion principle (MEP):

Model Expansion Principle (MEP). Expanding a model by truthfully located elements from the ground truth cannot reduce correctness.

(NCR), however, does not respect (MEP). It assigns the highest correctness score to (6) and the lowest to (8). Model (6) has a total of seven submodels, six of which are also submodels of Δ 2 , yielding an (NCR)-score of 6 7 = 0.86 , whereas (7) and (8) only reach (NCR)-scores of 12 15 = 0.80 and 24 31 = 0.77 , respectively.[9] The reason for this inadequate scoring, in a nutshell, is that (NCR) counts both true and false claims made by models multiple times, in a possibly disproportional manner, which leads to an overcounting of false claims, i.e., of errors in case of models (7) and (8).

To bring this out more clearly, we take a closer look at (7). Table 2 lists all of (7)’s 15 submodels. The truthful submodels, i.e., the ones that are submodels of Δ 2 , are in the left half of the table, the false ones in the right. For each submodel, the table indicates whether it is also a submodel of (6). The first thing to highlight is the tendency of (NCR) to count false and true claims made by (7) and its submodels multiple times. For instance, according to Δ 2 , it is false to say, as does sm 15 , that C and D are parts of alternative causes of E , rather they are causally relevant in conjunction. This entails that submodels sm 13 and sm 14 are also false, as they result from sm 15 by mere elimination of a conjunct. The error contained in sm 13 and sm 14 is the same as the error in sm 15 . Analogously, given that sm 11 is a submodel of Δ 2 , and thus only makes true causal claims, it follows that all submodels of sm 11 , as sm 7 to sm 9 , are also submodels of Δ 2 , and thus true of Δ 2 . That is, models sm 7 to sm 9 do not reveal any truths about Δ 2 not revealed by sm 11 . Although many submodels of (7) commit the same errors or reveal the same truths, (NCR) counts all of them separately in its correctness calculation.

Table 2

The 15 submodels of (7) with indications of whether they are submodels of (6) and Δ 2 as well

# A b + C + D E sub(6) sub ( Δ 2 ) # A b + C + D E sub(6) sub ( Δ 2 )
sm 1 A E sm 13 A + C + D E
sm 2 C E sm 14 b + C + D E
sm 3 D E sm 15 A b + C + D E
sm 4 A + C E
sm 5 A + D E
sm 6 C + D E
sm 7 b E
sm 8 A b E
sm 9 b + C E
sm 10 b + D E
sm 11 A b + C E
sm 12 A b + D E

Now, observe what proportions of true and false submodels are added when model (6) is expanded to (7). Model (6) has seven submodels, which are also marked in Table 2. Six of these submodels are true, one is false. When b is truthfully integrated into (6) to yield model (7), six true and two false submodels are added to the count. That is, the proportion of false submodels increases by a factor of 3 1 = 3 , whereas the proportion of true submodels only multiplies by 12 6 = 2 . In other words, even though (7) results from (6) by integrating true elements only, disproportionally more false than true submodels are thereby introduced. The same happens when (7) is further expanded to (8). It follows that measuring correctness in terms of proportions of true submodels, as done by (NCR), cannot possibly do justice to (MEP).

We take this to show that not only (NCR) does not adequately quantify model correctness but any attempt to quantify correctness based on proportions of true or false submodels faces a risk of miscounting errors, because those proportions can be twisted under model expansion and thus are not guaranteed to respect (MEP).

3.3 Problem of indirect causation

To date, CCM benchmarking has predominantly focused on QCA’s or CNA’s success in recovering single-outcome models, i.e., atomic MINUS-formulas. Correspondingly, both (LCR) and (NCR) are custom-built for correctness assessment in single-outcome recovery. This section argues that (LCR) and (NCR) are in fact inadequate when the data are generated by multi-outcome structures with causally related outcomes, i.e., by causal chains. In a nutshell, the reason is that models leaving out intermediate links on causal paths to an ultimate outcome may be perfectly correct without being a submodel of the ground truth or even containing such a submodel.

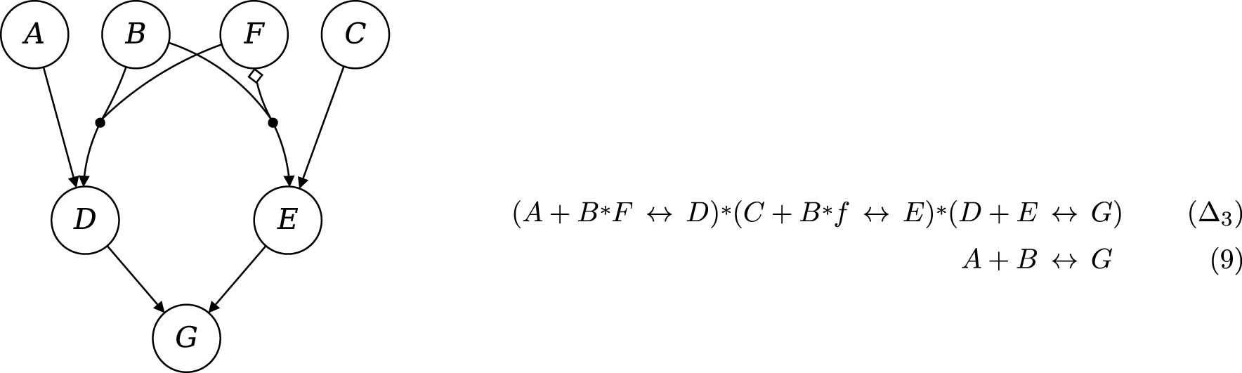
To see this, consider the causal chains in the hypergraph of Figure 1. This graph has two non-standard elements that require introduction: arrows merged by “•” symbolize conjunctive relevance, and “◇” expresses that the negation of the factor at the tail of the arrow is relevant. Another notable feature of that structure, which will become important in Section 4.1, is the switching factor F: its positive value F determines that the impact of B on G is transmitted via D and its negative value f causes that impact to be mediated by E (for more details see [2]). The complex MINUS-formula in Δ 3 expresses that switching structure. Let us assume that Δ 3 is the ground truth used to simulate data in some benchmark test in which the examined method returns model (9). When causally interpreted, (9) claims that A and B are causally relevant for G and that they are parts of alternative causes producing G independently of one another. Both of these claims are indeed true of Δ 3 , according to which A and B are alternative causes of D and D is a cause of G , making A and B indirect alternative causes of G . Model (9) is just incomplete. It leaves out the middle link mediating the causal influence of A and B to G – as well as numerous other causes of G . But, as we have seen before, incompleteness does not make a model incorrect.

Figure 1 
                  A causal chain with switching factor F, the corresponding complex MINUS-formula 
                        
                           
                           
                              
                                 
                                    Δ
                                 
                                 
                                    3
                                 
                              
                           
                           {\Delta }_{3}
                        
                     , and a candidate model (9). Arrows merged by “•” symbolize conjunctive relevance and “◇” expresses that the negation of the factor at the tail of the arrow is relevant.
Figure 1

A causal chain with switching factor F, the corresponding complex MINUS-formula Δ 3 , and a candidate model (9). Arrows merged by “•” symbolize conjunctive relevance and “◇” expresses that the negation of the factor at the tail of the arrow is relevant.

One might be inclined to respond that, despite making numerous true claims about Δ 3 , (9) also falsely claims that A and B are direct causes of G , where in truth they are indirect causes. This response presupposes that there is an objective fact of the matter as to whether a cause – in truth – directly or indirectly brings about its effect. In light of the (widely assumed) continuity of spacetime, however, it is possible to interpolate (suitably defined) intermediate factors on virtually any causal path between two factors. Only extremely fine-grained models representing causal structures on the level of objectively fundamental particles – if such exist at all – , could conceivably trace direct causation. Such a view would entail that all macro-level models are incorrect (to some degree) because they represent causal dependencies as direct, which in fact are mediated by intermediate links.

To avoid that consequence, it is standard to view the distinction between direct and indirect causation as inherently relative to the factors contained in a given model [26,27]. That means that a causal relation can be truthfully represented as a direct one in a first model and as an indirect one in a second. Relative to the factors in model (9), A and B are indeed direct causes of G , because D and E are not contained in (9). But as D and E are contained in Δ 3 , the relevance of A and B for G becomes mediated and thus indirect. But Δ 3 might likewise be expandable by further intermediate links, whereby relations represented as direct ones in Δ 3 would be turned into indirect ones. There is no need to stipulate that Δ 3 is an objectively fundamental representation of a causal structure; rather, it truthfully depicts a segment of reality relative to a set of factors suited for that purpose. But the same segment might also be truthfully represented on another level of granularity using other factors.[10]

Against that backdrop, model (9) is incomplete but does not commit an error. An adequate correctness measure should thus reward it with a maximal score. However, both (LCR) and (NCR) fail to do so. The only atomic MINUS-formula for outcome G (i.e., the outcome of (9)) contained in Δ 3 is this one:

(10) D + E G .

But (9) is neither itself a submodel of (10), and thereby of Δ 3 , nor does it contain a submodel that would be a submodel of (10), i.e., of Δ 3 . It follows that (9) does not pass (LCR) and that it receives an (NCR)-score of 0 3 = 0 .

4 A new approach to correctness assessment

In the most general terms, correctness of a model m relative to a ground truth Δ is the ratio of causal information contained in m that is true of Δ to the totality of causal information contained in m . In other words, it is the ratio of true positives entailed by m to the sum of true positives and false positives entailed by m – which is also known as precision in many fields [17,20]. The problems of overcounting errors and of indirect causation show that sets of submodels of m and Δ are not reliable indicators of the information content, or the amounts of true and false positives, relevant for correctness assessments. As an alternative, we propose to identify that content by unpacking all different types of causal ascriptions implied by MINUS-formulas in what we will call causal expositions. The causal expositions of m and Δ can then be intersected and the correctness of m quantified in terms of the ratio of the complexity of these intersections to the complexity of the causal exposition of m . The remainder of this section renders that basic idea more precise.

4.1 Building causal expositions

MINUS-formulas contain four types of causal information: ascriptions of causal relevance (i) to individual factor values (or literals), (ii) to conjunctions, (iii) to disjunctions, and (iv) sequential orderings of causal relations in causal paths. For brevity, we refer to these types as literal, conjunctive, disjunctive, and sequential ascriptions, respectively. To illustrate, reconsider Δ 3 , which represents the switching structure in Figure 1:

(Δ 3) ( A + B F D ) ( C + B f E ) ( D + E G ) .

Among many others, Δ 3 makes the literal ascription that A is causally relevant to G , the conjunctive ascription that B F is relevant to D , the disjunctive ascription that D + E is relevant to G , or the sequential ascription that there exists a causal path from A via D to G , expressible as ordered sequence A , D , G . We call the compilation of all causal information contained in a MINUS-formula its causal exposition:

Causal exposition. The causal exposition of a MINUS-formula m is the list of all literal, conjunctive, disjunctive, and sequential ascriptions entailed by m .

One lesson to learn from the problem of indirect causation is that causal expositions cannot simply be read off the syntax of a MINUS-formula (or of its submodels), because MINUS-formulas only represent direct causation (relative to the factors in the formula) and lack a syntactic expression of indirect causation. But information about indirect causation, and thus causal expositions, can be recovered from MINUS-formulas by syntactic transformations standard in Boolean algebra.

Viewed as a mere Boolean expression, the first atomic MINUS-formula in Δ 3 , viz. A + B F D , states that A + B F and D are equivalent, which entails that they are substitutable for one another without breach of Boolean dependence relations of sufficiency and necessity. This substitutability principle allows for replacing D in the third atomic formula in Δ 3 , viz. in D + E G , by A + B F .

(11) A + B F + E G

(11) is automatically in DNF. In other examples, additional transformations – for instance, factoring out – may be required to bring expressions resulting from such substitutions into DNF; but any Boolean expression can easily be brought into DNF. The substitutability principle ensures that if D + E G truthfully expresses Boolean dependence relations, then so does (11). But the principle does not guarantee that the expression resulting from the substitution remains redundancy-free and thus causally interpretable. And indeed, (11) contains a redundancy: in the set of all configurations compatible with Δ 3 , i.e., in so-called ideal data (i.e., noise-free and unfragmented data) generated from Δ 3 , F does not make a difference to G . The factor F is a mere switch in Δ 3 ; its positive value F determines that the causal impact of B is transmitted via D to G and its negative value f causes that impact to be mediated by E ; but whichever value F takes, B itself is sufficient for G .[11] Hence, B F in (11) is only sufficient for G but not minimally so.

If we additionally minimize sufficient and necessary conditions in (11) relative to ideal data on Δ 3 (e.g., by means of Quine–McCluskey optimization [28]), we obtain this expression:

(12) A + B + E G

(12) has the form of an atomic MINUS-formula. As it results from syntactic transformations of Δ 3 , it can be seen as representing relations of indirect causation entailed by Δ 3 . It states that A and B are causally relevant for G , which, relative to the set of factors in Δ 3 , amounts to indirect relevance. For brevity, we call it an indirect MINUS-formula relative to Δ 3 . Indirect MINUS-formulas are recoverable from complex MINUS-formulas by substitution of equivalents, DNF transformation, if needed, and Boolean minimization.

Two further indirect MINUS-formulas can be recovered from Δ 3 in the same way. (13) is built by substituting C + B f for E in D + E G , and (14) is the result of replacing both D and E by their equivalents in Δ 3 and subsequent minimization:

(13) B + C + D G ,

(14) A + B + C G .

(12), (13), and (14) are all the indirect MINUS-formulas recoverable from Δ 3 . We will call the union of all atomic (direct) MINUS-formulas in Δ 3 and all indirect MINUS-formulas recoverable from it the chain-expansion of Δ 3 . But before we can explicitly define that notion, we have to consider the case where the complex MINUS-formula to be chain-expanded is not a ground truth but a model inferred from data.

Hence, suppose that the following multi-outcome model is inferred from data simulated from ground truth Δ 3 :

(15) ( A + B F D ) ( D + E G ) .

If we substitute D in D + E G by its equivalent A + B F and then minimize relative to ideal data on (15), we do not end up with (12) but with (11). That is, if indirect MINUS-formulas are recovered from (15) through Boolean minimization relative to ideal data on (15), F appears to make a difference to G because F is no switching factor in (15). However, (15) is not inferred from ideal data generated from itself but from data simulated from Δ 3 , and according to Δ 3 , F does not make a difference to G . That means that the data from which (15) is inferred do not contain evidence for the indirect relevance of F for E . It would therefore not be adequate to recover an indirect relevance ascription from (15) for which there is no evidential basis in the discovery context of that model. We thus submit that when indirect causation is recovered from models inferred from data, Boolean minimization should be conducted relative to that actual data and not, as in case of chain-expanding ground truths, relative to ideal data. In sum, the following is our definition of the notion of a chain-expansion:

Chain-expansion. The chain-expansion of a MINUS-formula m is the union of the atomic (direct) MINUS-formulas contained in m and the indirect MINUS-formulas recoverable from m by substitution of equivalents, DNF transformation, and Boolean minimization, either relative to the data from which m is inferred or, if m is not inferred from data, relative to ideal data on m .

The important feature of chain-expansions for quantifying model quality is that they syntactically represent all types of causal ascriptions entailed by a MINUS-formula m . The literal, conjunctive, and disjunctive ascriptions of m for an outcome Z are simply the sets of all factor values and all maximally long conjunctions and disjunctions – freed of duplicates – that appear on the left-hand side of “ ” in the atomic MINUS-formulas for Z in m ’s chain-expansion. The sequential ascriptions for outcome Z are the maximally long ordered sequences of factor values X 1 , , X n satisfying the following path-rule: for all X i and X j with i < j in X 1 , , X n , there is a MINUS-formula in m ’s chain-expansion with X i on the left-hand side and X j on the right-hand side of “ ”, and Z is the last element of the sequence (i.e., X n = Z ).

Table 3 lists the chain-expansion of Δ 3 in the left-most column and the causal exposition, subdivided by outcomes, in the other columns. The literal ascriptions for each outcome in Δ 3 can be recovered from the chain-expansion by removing conjunctors “ ”, disjunctors “ + ”, and duplicates from the expressions on the left-hand side of “ ”. The conjunctive ascriptions are obtained by removing “ + ” and duplicates, and the disjunctive ascriptions are simply the expressions on the left-hand side of “ ”. Note that, in case of outcome G , conjunctive ascriptions are identical to literal ones because none of G ’s MINUS-formulas actually features a conjunctor, and a single factor value formally counts as a trivial conjunction (and disjunction). Finally, sequential ascriptions are built by combining as many factor values as possible from the literal ascriptions following the path-rule for every outcome. In case of outcome G , this amounts to combining the factor values on the left-hand sides of D ’s and E ’s MINUS-formulas with D and E and adding G if, and only if, the first element of the sequence also appears on the left-hand side of a MINUS-formula of G .

Table 3

Chain-expansion and causal exposition of ground truth Δ 3

Chain-expansion Causal exposition
Literals Conjunctions Disjunctions Sequences
A + B F D D : { A , B , F } { A , B F } { A + B F } { F , D , B , D , A , D }
C + B f E E : { C , B , f } { C , B f } { C + B f } { f , E , B , E , C , E }
D + E G G : { A , B , D , C , E } { A , B , D , C , E } { D + E , { A , D , G ,
A + B + E G A + B + E , B , D , G ,
B + C + D G B + C + D , B , E , G ,
A + B + C G A + B + C } C , E , G }

4.2 Intersecting causal expositions

To quantify the correctness of a model m relative to a ground truth Δ , we propose to intersect the literal, conjunctive, disjunctive, and sequential ascriptions rendered transparent by the causal expositions of m and Δ . The ratios of the complexities of these intersections to the complexities of m ’s literal, conjunctive, disjunctive, and sequential ascriptions then yield measures for literal, conjunctive, disjunctive, and sequential correctness.

To make that concrete, assume that the following model is inferred from data generated by ground truth Δ 3 .

(16) ( A B D ) ( D + B C G ) .

Model (16), which contains no information about outcome E , makes two false claims about Δ 3 : first, it erroneously places A and B in the same conjunctive cause of D , and second, B and C appear in the same conjunctive cause of G , which in truth are alternative indirect causes of G . But all literal ascriptions and the placement of D in a separate disjunct leading to G are true of Δ 3 . To quantify the correctness of (16), we first chain-expand that model by replacing D in the atomic MINUS-formula of G by A B and then build its causal exposition. The result is in Table 4.

Table 4

Chain-expansion and causal exposition of model (16)

Chain-expansion Causal exposition
Literals Conjunctions Disjunctions Sequences
A B D D : { A , B } { A B } { A B } { B , D , A , D }
D + B C G G : { A , B , C , D } { D , B C , A B } { D + B C , A B + B C } { A , D , G , B , D , G , B , G , C , G }
A B + B C G

Intersecting the literal, conjunctive, and disjunctive ascriptions of (16) and Δ 3 (cf. Table 3) for each outcome is straightforward. The literal intersection is the set of factor values contained in the literal ascriptions of both (16) and Δ 3 . The conjunctive intersection is the set of all conjunctions with a maximal amount of conjuncts that can be reached from the conjunctive ascriptions of both (16) and Δ 3 by mere elimination of conjuncts. For example, the (trivial) conjunction B can be reached from (16)’s conjunctive ascription A B for outcome D by elimination of A as well as from Δ 3 ’s conjunctive ascription B F for the same outcome by elimination of F , and there are no conjunctions reachable in that manner with more conjuncts, meaning that B has a maximal amount of conjuncts. The disjunctive intersection is the set of all disjunctions with a maximal amount of disjuncts that can be reached from the disjunctive ascriptions of both (16) and Δ 3 by elimination of disjuncts and conjuncts. For example, the disjunctive ascription D + B can be reached by elimination of C from (16)’s disjunctive ascription D + B C for outcome G as well as from Δ 3 ’s disjunctive ascription B + C + D for the same outcome, and there are no longer disjunctions reachable in that manner. Table 5 lists all intersections of (16) and Δ 3 . As can easily be seen from that table, conjunctive and disjunctive intersections tend to contain multiple elements; i.e., multiple conjunctions and disjunctions with maximal amounts of conjuncts and disjuncts can be reached from both (16) and Δ 3 .

Table 5

Intersections and correctness scoring for model (16) relative to ground truth Δ 3

Out. Model (16) Ground truth Δ 3 Intersection Ratio Weight Correctness
lit. D : { A , B } { A , B , F } { A , B } 2 2 2 6
E : { C , B , f } 1
G : { A , B , C , D } { A , B , C , D , E } { A , B , C , D } 4 4 4 6
conj. D : { A B } { A , B F } { A , B } 1 2 2 7
E : { C , B f } 0.57
G : { D , B C , A B } { D , B , A , C , E } { D , B , A , C , E } 3 5 5 7
dis. D : { A B } { A + B F } { A , B } 1 2 2 9
E : { C + B f } 0.56
G : { D + B C , A B + B C } { C + E , A + B + E , B + C + D , A + B + C } { D + B , D + C , A + B , A + C , B + C } 4 7 7 9
seq. D : { B , D , A , D } { F , D , B , D , A , D } { B , D , A , D } 2 2 2 6
E : { f , E , B , E , C , E }
G : { A , D , G , B , D , G , B , G , C , G } { A , D , G , B , D , G ) , B , E , G , C , E , G } { A , D , G , B , D , G , B , G , C , G } 4 4 4 6 1
Overall correctness (Corr): 6 28 1 + 7 28 0.57 + 9 28 0.56 + 6 28 1 = 0.75

Factor values in bold indicate the expressions used for calculating the correctness ratios. “ E ” represents the removal of E in order to harmonize the factor sets of (16) and Δ 3 .

As the difference between direct and indirect causal relevance is relative to a set of modeled factors, the correctness of the sequential ascriptions of a model must be assessed relative to its set of factors. This, in turn, requires that the sequential ascriptions of the corresponding ground truth be pruned to the model’s factor set before intersecting. More concretely, model (16) is correct to entail that B is a direct cause of G , despite B being an indirect cause of G in Δ 3 . The reason is that (16) does not feature the factor E , which is the intermediate link between B and G in Δ 3 , meaning that relative to the factors in (16) B indeed is a direct cause of G . Hence, before intersecting sequential ascriptions, factor E must be removed from the sequential ascriptions of Δ 3 , which is represented by “ E ” in Table 5. After such harmonizing, the sequential intersection of (16) and Δ 3 simply comes down to the set of sequential ascriptions made by both (16) and Δ 3 .

4.3 Quantifying correctness

An intersection expresses the amount of causal information of a particular type shared by the model and ground truth, in other words, it expresses the causal claims made by the model that are true of the ground truth, i.e., the model’s true positives. As correctness is a measure for the ratio of true information in a model, the next step toward putting a number on the correctness of (16), is to quantify the complexities of intersections and corresponding ascriptions. For literals, conjunctions, and disjunctions we quantify complexities in terms of numbers of factor values. For instance, the set { A , B } of (16)’s literal ascriptions for outcome D has complexity 2 because it contains two factor values; or the set { D + B C , A B + B C } of its disjunctive ascriptions for outcome G has complexity 7 because it contains seven factor values. The ratio of true information, then, is the ratio of factor values in these ascriptions that have counterparts in the corresponding intersections. Thus, since all factor values in { A , B } have counterparts in the literal intersection (see the first row of Table 5), the correctness ratio of { A , B } is 2 2 . By contrast, the disjunctive ascriptions for outcome G are not completely represented in the disjunctive intersection (row 9 of Table 5). The first disjunction D + B C can be paired with either D + B or D + C in the corresponding intersection, and since both of the latter have equal complexity, it does not matter which of them is chosen as counterpart. The same holds for the second disjunction A B + B C : it can be paired with either A + B or A + C or B + C in the intersection. Whichever elements of the intersection are chosen as counterparts, a total of four of the seven factor values in the set of disjunctive ascriptions for outcome G have counterparts in the corresponding intersection, yielding a correctness ratio of 4 7 . In Table 5, the factor values used for calculating the correctness ratios are highlighted in bold.

For sequences, we aim to avoid unnecessary double-counting by quantifying complexities not in terms of the number of factor values but in terms of the number of paths. That is, correctness ratios for the sequential ascriptions of a model are ratios of the model’s paths that are contained in the sequential intersection with the ground truth. For example, as both paths in the set of sequential ascriptions { B , D , A , D } for outcome D are also contained in the sequential intersection for that outcome, that set receives a correctness ratio of 2 2 .

The next step to a correctness quantification of (16) consists in aggregating these correctness ratios of the component ascriptions. We choose a weighted mean for that purpose, where weights are the complexity shares of component ascriptions. For literal, conjunctive, and disjunctive correctness, weights are calculated based on the number of factor values in a corresponding ascription. In the case of sequential correctness, they are based on the number of paths. For instance, for both outcomes combined, the conjunctive ascriptions of (16) have a total complexity of seven factor values, with two pertaining to outcome D and five to outcome G . That is, the weights for the component ascriptions { A B } and { D , B C , A B } are 2 7 and 5 7 , respectively. Weighing the components’ ratios by these weights yields a conjunctive correctness score of 0.57. Or, the sequential ascription of (16) contains a total of six paths, with two leading to outcome D and four to outcome G , resulting in the weights 2 6 and 4 6 , respectively, and an overall sequential correctness score of 1. Table 5 provides an overview of all weights and resulting correctness scores.

Finally, the four correctness scores must be aggregated into one overall score, which we again do with a weighted mean. The weights are based on the complexity shares of a model’s whole causal exposition covered by a corresponding correctness score. The total complexity of the causal exposition is the sum of the complexities of the four types of causal ascriptions. For model (16), it is 6 + 7 + 9 + 6 = 28 , resulting in the weights indicated in the bottom row of Table 5. Overall, the correctness score of model (16) relative to ground truth Δ 3 is 0.75.

Here, then, is our quantitative correctness measure in condensed form. Let m be a CCM model inferred from data generated from a ground truth Δ . Let l O i ( m ) , c O i ( m ) , d O i ( m ) , and s O i ( m ) be m ’s literal, conjunctive, disjunctive, and sequential ascriptions for outcome O i , i = 1 , . . . , n , and analogously for l O i ( Δ ) , c O i ( Δ ) , d O i ( Δ ) , and s O i ( Δ ) . Moreover, let denote the complexity of the enclosed expression, and let w O i x , x { l , c , d , s } , be the weight associated with the corresponding causal ascriptions of the i th outcome O i . Then, literal, conjunctive, disjunctive, and sequential correctness, ( Corr l ), ( Corr c ), ( Corr d ), and ( Corr s ) are defined as follows:

Corr l = i = 1 n l O i ( m ) l O i ( Δ ) l O i ( m ) w O i l , Corr c = i = 1 n c O i ( m ) c O i ( Δ ) c O i ( m ) w O i c , Corr d = i = 1 n d O i ( m ) d O i ( Δ ) d O i ( m ) w O i d , Corr s = i = 1 n s O i ( m ) s O i ( Δ ) s O i ( m ) w O i s .

Aggregating these measures yields the following measure for overall correctness:

Correctness (Corr). The overall correctness of m for Δ is the weighted mean of m ’s ( Corr l ), ( Corr c ), ( Corr d ), and ( Corr s ) scores, or formally, where w x are the corresponding weights:

Corr ( m , Δ ) = x { l , c , d , s } Corr x w x .

An isolated (Corr)-score as 0.75 for (16) is not very informative; it merely says that (16) is neither entirely correct nor entirely incorrect. How (in)correct it is becomes clear only if its correctness score is compared with the scores of other models inferred from the same data. Table 6a thus lists the (Corr)-scores of further model candidates assumed to be inferred from the same data simulated from Δ 3 as (16).[12] The first model, m 1 , coincides with (16), except that it does not include D as cause of G . By leaving out D , m 1 leaves out a correct alternative cause of G . Contrary to (16), though, m 1 is not a chain, meaning that A B , to which (16) erroneously ascribes causal relevance for both D and G , is not entailed to be causally relevant for G by m 1 , which thereby avoids a false conjunctive ascription. Overall, m 1 receives the same (Corr)-score as (16). In model m 2 , the incorrect conjunction A B of (16) is replaced by a correct disjunction A + B D , and model m 3 even gets B + C G right. Correspondingly, the (Corr)-score of m 2 is higher than (16)’s and lower than m 3 ’s. As m 3 contains no error, it receives a perfect (Corr)-score. Likewise, m 4 , which was used to illustrate the problem of indirect causation in Section 3.3, is error-free and scores perfectly. The same holds for m 5 , because it is true that A and B are direct causes of G relative to the set { A , B , E , G } . That is not true for model m 6 , which additionally contains the link D mediating the causal impact of A and B on G in the ground truth Δ 3 . It follows that m 6 erroneously entails that A and B are direct causes of G and alternatives to D relative to the set { A , B , D , E , G } . Model m 6 reaches a disjunctive correctness of 0.75 and a sequential correctness of 0.5, which, with the perfect literal and conjunctive scores, aggregate to 0.81. Finally, while m 6 makes no incorrect literal and conjunctive ascriptions, m 7 , by falsely ascribing causal relevance for G to F , commits errors in all types of ascriptions. Correspondingly, its (Corr)-score is the lowest.

Table 6

(a) contains additional CCM models and their (Corr)-scores relative to Δ 3 to be contrasted with (16) and its score and (b) exhibits the (Corr)-scores of models (6)–(8) for ground truth Δ 2

(a) (b)
# Model (Corr)-score # Model (Corr)-score
m 1 ( A B D ) ( B C G ) 0.75 Δ 2 A b D F + a B C D E
m 2 ( A + B D ) ( B C G ) 0.88 (6) A + C + D E 0.92
m 3 ( A + B F D ) ( B + C G ) 1 (7) A b + C + D E 0.94
m 4 A + B G 1 (8) A b F + C + D E 0.95
m 5 A + B + E G 1
m 6 A + B + E + D G 0.81
m 7 A + B + E + D + F G 0.65

Finally, Table 6b exhibits the (Corr)-scores of the examples demonstrating the shortcomings of (NCR) in Section 3.2. Model (8) has the highest and (6) the lowest score. That is, contrary to (NCR), (Corr) does not punish (8) for containing more true information than (6), while committing the same mistake as (6). This result generalizes. Adding truthfully located elements from the ground truth to a model increases the complexities of the literal, conjunctive, disjunctive, and sequential intersections and of the model’s corresponding causal ascriptions by the same amount, meaning that numerators and denominators of ( Corr l ), ( Corr c ), ( Corr d ), and ( Corr s ) increase by the same amount as well. Hence, truthfully expanding models while keeping errors constant increases the (Corr)-score or keeps it constant. By contrast, adding errors to a model while keeping the true information constant only increases the complexities of a model’s causal ascriptions but not of their intersections with the ground truth’s causal ascriptions. In consequence, the numerators of ( Corr l ), ( Corr c ), ( Corr d ), and ( Corr s ) stay the same and the denominators increase, inducing the (Corr)-score to drop or to stay at the minimum of 0. In sum, (Corr) does neither overcount false nor true information in models. It does justice to the (MEP).

5 Completeness

Table 6a also shows that correctness cannot be the only measure of model quality. Models m 3 , m 4 , and m 5 are all error-free and thus receive (Corr)-scores of 1 each, but they obviously differ in how much detail about the ground truth they reveal. The quality of a model does not only depend on error avoidance, which is what correctness measures, but also on the model’s informativeness. To measure that quality aspect, correctness must be complemented by another measure called completeness, or recall in many fields [17,20]. As indicated in Section 1, there are various completeness measures in use in CCM benchmarking, but they all rely on contrasting submodel sets of models and ground truths. This approach inevitably leads to the problem of indirect causation. For that reason, we now proceed to pair our correctness measure with a completeness measure that builds on the tools developed in this study.

In the most general terms, completeness of a model m relative to a ground truth Δ is the ratio of causal information contained in Δ that is revealed by m to the totality of causal information contained in Δ . As in the case of correctness, we propose to break the causal information in m and Δ down into literal, conjunctive, disjunctive, and sequential ascriptions, as rendered transparent in causal expositions of m and Δ , respectively. The amount of literal ascriptions of Δ for Outcome O j , l O j ( Δ ) , that is revealed by m is cashed out in terms of the ratio of the complexity of the intersection between l O j ( m ) and l O j ( Δ ) to the complexity of l O j ( Δ ) – and analogously for the other types of ascriptions. These ratios are then aggregated for each of the m outcomes in Δ to literal, conjunctive, disjunctive, and sequential correctness measures, ( Comp l ), ( Comp c ), ( Comp d ), and ( Comp s ), using a weighted mean with weights, v O j x , x { l , c , d , s } , corresponding to the complexity share of l O j ( Δ ) , c O j ( Δ ) , d O j ( Δ ) , and s O j ( Δ ) :

Comp l = j = 1 m l O j ( m ) l O j ( Δ ) l O j ( Δ ) v O j l , Comp c = j = 1 m c O j ( m ) c O j ( Δ ) c O j ( Δ ) v O j c , Comp d = j = 1 m d O j ( m ) d O j ( Δ ) d O j ( Δ ) v O j d , Comp s = j = 1 m s O j ( m ) s O j ( Δ ) s O j ( Δ ) v O j s .

( Comp l ), ( Comp c ), ( Comp d ), and ( Comp s ) are formulated in parallel to the corresponding correctness measures. The only difference is that denominators in the latter feature complexities of m ’s causal ascriptions, while completeness measures contain complexities of Δ ’s ascriptions in the denominators. We aggregate ( Comp l ), ( Comp c ), ( Comp d ), and ( Comp s ) into an overall completeness measure using a weighted mean where the weights, v x , correspond to the complexity shares of Δ ’s whole causal exposition covered by a corresponding completeness measure.

Completeness (Comp). The overall completeness of m for Δ is the weighted mean of m ’s ( Comp l ), ( Comp c ), ( Comp d ), and ( Comp s ) scores, or formally, where v x are the corresponding weights:

Comp ( m , Δ ) = x { l , c , d , s } Comp x v x .

To illustrate, we reconsider model (16) from Section 6 and calculate its (Comp)-score relative to ground truth Δ 3 . Table 7 reiterates the relevant causal ascriptions from Table 5, but now the ascriptions of Δ 3 are the point of reference and we determine how many of them are reproduced by (16), which are the ones in the intersection. This requires that as many causal ascriptions of Δ 3 as possible are covered by causal ascriptions of (16); and since the former are more numerous than the latter, some ascriptions of Δ 3 may be covered by the same ascription of (16). But each ascription of Δ 3 may only be covered by one ascription of (16). Sometimes the intersections contain multiple elements that can be chosen as counterparts of the elements of Δ 3 ’s causal ascriptions. The ones that enter the completeness calculations in Table 7 are highlighted in bold.

Table 7

Intersections and completeness scoring for model (16) relative to ground truth Δ 3

Out Ground truth Δ 3 Model (16) Intersection Ratio Weight Completeness
lit. D : { A , B , F } { A , B } { A , B } 2 3 3 11
E : { C , B , f } 0 3 3 11 0.55
G : { A , B , C , D , E } { A , B , C , D } { A , B , C , D } 4 5 5 11
conj. D : { A , B F } { A B } { A , B } 2 3 3 11
E : { C , B f } 0 3 3 11 0.55
G : { D , B , A , C , E } { D , B C , A B } { D , B , A , C , E } 4 5 5 11
dis. D : { A + B F } { A B } { A , B } 1 3 3 17
E : { C + B f } 0 3 3 17 0.47
G : { C + E , A + B + E , B + C + D , A + B + C } { D + B C , A B + B C } { D + B , D + C , A + B , A + C , B + C } 7 11 11 17
seq. D : { F , D , B , D , A , D } { B , D , A , D } { B , D , A , D } 2 3 3 10 0.4
E : { f , E , B , E , C , E } 0 3 3 10
G : { A , D , G , B , D , G , B , E , G , C , E , G } { A , D , G , B , D , G , B , G ) , C , G } { A , D , G , B , D , G , B , G , C , G } 2 4 4 10
Overall completeness (Comp): 11 49 0.55 + 11 49 0.55 + 17 49 0.47 + 10 49 0.4 = 0.49

Bold indicates the expressions used for calculating the completeness ratios.

Like correctness scores, completeness scores are easiest to interpret when contrasting multiple models inferred from the same data. For that reason, let us compare the (Comp)-score of (16) with the scores of the models in Table 8, all of which are assumed to be inferred from the same data simulated from Δ 3 and the first seven of which were already evaluated for correctness in Table 6a.[13] That comparison highlights two important features of (Comp). First, (Comp) is sensitive to the differences in informativeness to which (Corr) is insensitive. While models m 3 , m 4 , and m 5 are error-free and thus obtain perfect (Corr)-scores, they differ in informativeness, which is reflected in their differing (Comp)-scores. Second, contrary to (Corr), (Comp) does not punish for errors in models. To see this, compare models m 6 and m 7 : the latter contains one error more than the former, yet they both score the same on (Comp). Or, contrast models m 8 and m 9 : the former is error-free while the latter falsely ascribes causal relevance to H and K , still they both receive perfect (Comp)-scores because they contain all the causal information in Δ 3 .

Table 8

Additional CCM models and their (Comp)-scores relative to Δ 3 to be contrasted with (16) and its score

# Model (Comp)-score
m 1 ( A B D ) ( B C G ) 0.29
m 2 ( A + B D ) ( B C G ) 0.31
m 3 ( A + B F D ) ( B + C G ) 0.43
m 4 A + B G 0.18
m 5 A + B + E G 0.29
m 6 A + B + E + D G 0.40
m 7 A + B + E + D + F G 0.40
m 8 ( A + B F D ) ( B f + C E ) ( D + E G ) 1
m 9 ( A + B F + H D ) ( B f + C + K E ) ( D + E G ) 1

6 Aggregating correctness and completeness

In order to assess the overall quality of models in CCM benchmarking, correctness and completeness scores need to be suitably aggregated. Ideally, both scores are 1. In that case, the ground truth is correctly and completely recovered, meaning that the inferred model is identical to the ground truth. It is uncontroversial that this is the optimal result of a benchmark test. It means that the tested method successfully recovers the very structure used to simulate the data. Unfortunately, this ideal scenario often does not occur when the data are non-ideal, i.e., when they feature fragmentation or noise. We cannot expect a method to find the complete ground truth if the evidence in the data is incomplete, and we cannot expect a method to avoid mistakes entirely if some of the evidence is not faithful to the ground truth. But of course, even in non-ideal data scenarios we want the quality of the models to be as high as possible. Methods outputting models of higher quality, on average, are preferable to methods with lower quality outputs. Hence, we need an account of overall model quality that suitably aggregates (Corr)- and (Comp)-scores.

Unfortunately, it is not uncontroversial among CCM methodologists how correctness and completeness should be aggregated. Hasebrouck and Thomann [29] distinguish between two approaches for evaluating models: the SI-approach prioritizes the substantive interpretability of models and the RF-approach prioritizes the redundancy-freeness of the models. According to the SI-approach, the consistency (footnote 6) of each disjunct in a model should be as high as possible, even if a disjunct contains conjuncts that are not causes of the outcome. The idea is that each disjunct should constitute a complete recipe – possibly with redundant ingredients – to actualize the outcome. By contrast, the RF-approach demands that each disjunct in a model be exclusively composed of true causes of the outcome, even if the disjunct as a whole does not reach optimal consistency and is only an incomplete recipe for the outcome. It follows that the SI-approach puts more weight on completeness, whereas the RF-approach takes correctness to be more important. A majority of representatives of the QCA method adhere to the SI-approach, while a minority (i.e., those that advocate so-called parsimonious QCA solutions) and all representatives of the CNA method adhere to the RF-approach.

We do not want to take a stance, here, on whether correctness or completeness should be preferred when measuring overall model quality. An aggregation that is standard in binary classification and that can easily accommodate either preference is a weighted harmonic mean with a positive real weight β , the so-called F β -score [30]:

Overall quality. Let m be a CCM model inferred from data generated from a ground truth Δ . The overall quality of m for Δ is

F β = ( 1 + β 2 ) Corr ( m , Δ ) Comp ( m , Δ ) ( β 2 Corr ( m , Δ ) ) + Comp ( m , Δ ) .

By assigning a value to β , any prioritization of correctness and completeness can be obtained: the completeness of m relative to Δ , Comp ( m , Δ ) , is β times as important as the correctness Corr ( m , Δ ) . For example, at β = 2 , completeness is twice as important as correctness, and at β = 0.5 , completeness is half as important as correctness. At β = 1 , F β reduces to the harmonic mean of correctness and completeness.

The harmonic mean is preferred over the arithmetic mean because, contrary to the latter, it requires that a high-quality model strike a balance between correctness and completeness. More specifically, if correctness and completeness scores are balanced at moderate values, the harmonic mean is higher than if the two scores are at opposite extremes, whereas the arithmetic mean is insensitive to such imbalances.

To illustrate F β -aggregations of (Corr) and (Comp), Table 9 exhibits the F β -scores of model (16) relative to Δ 3 at β = 0.5 and β = 2 , respectively, and contrasts them with the corresponding scores of the other model candidates considered in the previous section. Regardless of the value assigned to β , the best model is m 8 , which is identical to the ground truth Δ 3 . Beyond that clear winner, however, Table 9 shows that different β values not only change the absolute quality scores but also the relative quality ranking among the models. At β = 0.5 , the second best model is m 3 , followed by m 9 and (16). At β = 2 , the second best model is m 9 , followed by (16) and m 3 .

Table 9

Comparing the overall quality of model (16) relative to ground truth Δ 3 with the quality of other models inferred from the same data at β = 0.5 and β = 2

# Model Corr Comp F 0.5 F 2
(16) ( A B D ) ( D + B C G ) 0.75 0.49 0.68 0.53
m 1 ( A B D ) ( B C G ) 0.75 0.29 0.57 0.33
m 2 ( A + B D ) ( B C G ) 0.88 0.31 0.64 0.35
m 3 ( A + B F D ) ( B + C G ) 1 0.43 0.79 0.48
m 4 A + B G 1 0.18 0.53 0.22
m 5 A + B + E G 1 0.29 0.67 0.34
m 6 A + B + E + D G 0.81 0.40 0.67 0.45
m 7 A + B + E + D + F G 0.65 0.40 0.58 0.43
m 8 ( A + B F D ) ( B f + C E ) ( D + E G ) 1 1 1 1
m 9 ( A + B F + H D ) ( B f + C + K E ) ( D + E G ) 0.73 1 0.77 0.93

This demonstrates that the relative importance assigned to (Corr) and (Comp) in a CCM benchmark test may have a great influence on the results. Any such test must hence be accompanied by an argument justifying the chosen β . For example, if a test aims to scrutinize a method’s reliability in recovering (M)INUS causes from fragmented and noisy data, false positives must be punished more than incomplete ground truth recovery, meaning that β should be lower than 1. By contrast, if a test wants to determine how successfully a method recovers recipes for the outcome, possibly including redundant ingredients, incomplete ground truth recovery should be punished more than false positives, meaning that β should be higher than 1.

7 Conclusion

This study developed quantitative correctness (precision) and completeness (recall) measures, (Corr) and (Comp), to be used in benchmarking of CCMs as QCA or CNA. Contrary to the benchmarking criteria currently employed, these new measures do not rely on comparing sets of submodels of candidate models and ground truths. Instead, (Corr) and (Comp), first, unpack the different types of causal ascriptions implied by models and ground truths in causal expositions, second, intersect those expositions, and third, quantify correctness and completeness in terms of the complexities of these intersections. In this manner, (Corr) and (Comp) avoid the problems of overcounting errors and of indirect causation, which affect current benchmarking criteria. The study concludes by accounting for overall model quality in terms of a weighted harmonic mean of (Corr) and (Comp). That account is easily fine-tuned to accommodate any preference ordering of correctness and completeness that may be relevant in a given benchmarking context. Taken jointly, these new measures not only avoid problems of current benchmarking criteria, but they broaden and sharpen the resources for CCM benchmarking more generally.

Acknowledgement

We are grateful to Luna de Souter and Veli-Pekka Parkkinen for extended discussions and their helpful comments on an earlier draft. Moreover, we thank Roel Rutten, Adrian Dusa, the audience at 9th International QCA Expert Workshop, and three anonymous referees.

  1. Funding information: The research behind this study was supported by the Toppforsk program of the University of Bergen and the Trond Mohn Foundation (Grant number 811866) and by the Norwegian Research Council (Project number 326215).

  2. Author contributions: Both authors contributed equally.

  3. Conflict of interest: The authors have no potential conflicts of interest with respect to the research, authorship, and/or publication of this article.

  4. Data availability statement: The datasets generated and analyzed during the current study can be reproduced with the R scripts available at https://github.com/m-baum/quantifyQuality.

References

[1] Spirtes P, Glymour C, Scheines R. Causation, prediction, and search (second edition). Cambridge: MIT Press; 2000. 10.7551/mitpress/1754.001.0001Search in Google Scholar

[2] Baumgartner M, Falk C. Boolean difference-making: a modern regularity theory of causation. British J Philos Sci. 2023;74(1):171–97. 10.1093/bjps/axz047Search in Google Scholar

[3] Mackie JL. The cement of the universe: a study of causation. Oxford: Clarendon Press; 1974. Search in Google Scholar

[4] Ragin CC. The comparative method. Berkeley: University of California Press; 1987. Search in Google Scholar

[5] Rihoux B, Ragin CC (Ed.). Configurational comparative methods: Qualitative Comparative Analysis (QCA) and related techniques. Thousand Oaks: Sage; 2009. 10.4135/9781452226569Search in Google Scholar

[6] Baumgartner M. Uncovering deterministic causal structures: a Boolean approach. Synthese. 2009;170:71–96. 10.1007/s11229-008-9348-0Search in Google Scholar

[7] Baumgartner M, Ambühl M. Causal modeling with multi-value and fuzzy-set Coincidence Analysis. Politic Sci Res Methods. 2020;8(3):526–42. 10.1017/psrm.2018.45Search in Google Scholar

[8] Swiatczak MD. Different algorithms, different models. Quality Quantity. 2022;56:1913–37. 10.1007/s11135-021-01193-9Search in Google Scholar

[9] Arel-Bundock V. The double bind of Qualitative Comparative Analysis. Sociol Methods Res. 2022;51(3):963–82. 10.1177/0049124119882460Search in Google Scholar

[10] Baumgartner M, Falk C. Configurational causal modeling and logic regression. Multivariate Behav Res. 2023;58(2):292–310. 10.1080/00273171.2021.1971510Search in Google Scholar PubMed

[11] Baumgartner M, Thiem A. Often trusted but never (properly) tested: evaluating Qualitative Comparative Analysis. Sociol Methods Res. 2020;49(2):279–311. 10.1177/0049124117701487Search in Google Scholar

[12] Dusa A. Critical tension: sufficiency and parsimony in QCA. Sociol Methods Res. 2022 Nov;51(2):541–65. 10.1177/0049124119882456Search in Google Scholar

[13] Krogslund C, Choi DD, Poertner M. Fuzzy sets on shaky ground: parameter sensitivity and confirmation bias in fsQCA. Politic Anal. 2015;23(1):21–41. 10.1093/pan/mpu016Search in Google Scholar

[14] Lucas SR, Szatrowski A. Qualitative Comparative Analysis in critical perspective. Sociol Methodol. 2014;44(1):1–79. 10.1177/0081175014532763Search in Google Scholar

[15] Parkkinen VP, Baumgartner M. Robustness and model selection in configurational causal modeling. Sociol Methods Res. 2023;52(1):176–208. 10.1177/0049124120986200Search in Google Scholar

[16] Swiatczak MD, Baumgartner M. Data imbalances in Coincidence Analysis: a simulation study. Sociol Methods Res. 2024 March. DOI: https://doi.org/10.1177/00491241241227039. 10.1177/00491241241227039Search in Google Scholar

[17] Cheng L, Guo R, Moraffah R, Sheth P, Candan KS, Liu H. Evaluation methods and measures for causal learning algorithms. IEEE Trans Artif Intel. 2022;3(6):924–43. 10.1109/TAI.2022.3150264Search in Google Scholar

[18] Maier M, Taylor B, Oktay H, Jensen D. Learning causal models of relational domains. Proc AAAI Confer Artif Intell. 2010;24:531–8. DOI: https://doi.org/10.1609/aaai.v24i1.7695.10.1609/aaai.v24i1.7695Search in Google Scholar

[19] Meek C. Causal inference and causal explanation with background knowledge. In Proceedings of the Eleventh Conference on Uncertainty in Artificial Intelligence. 1995. p. 403–10. https://arxiv.org/ftp/arxiv/papers/1302/1302.4972.pdf. Search in Google Scholar

[20] Tabib Mahmoudi F, Samadzadegan F, Reinartz P. Object recognition based on the context aware decision level fusion in multi views imagery. IEEE J Selected Topics Appl Earth Observations Remote Sensing. 2015 Jan;8(1):12–22. 10.1109/JSTARS.2014.2362103Search in Google Scholar

[21] Beirlaen M, Leuridan B, Van De Putte F. A logic for the discovery of deterministic causal regularities. Synthese. 2018;195(1):367–99. 10.1007/s11229-016-1222-xSearch in Google Scholar

[22] Bowran AP. A Boolean algebra: abstract and concrete. London: Macmillan; 1965. 10.1007/978-1-349-00216-0Search in Google Scholar

[23] Lemmon EJ. Beginning logic. London: Chapman & Hall; 1965. Search in Google Scholar

[24] Ragin CC. Set relations in social research: evaluating their consistency and coverage. Political Analysis. 2006;14(3):291–310. 10.1093/pan/mpj019Search in Google Scholar

[25] Baumgartner M. Qualitative Comparative Analysis and robust sufficiency. Quality Quantity. 2022;56:1939–63. 10.1007/s11135-021-01157-zSearch in Google Scholar PubMed PubMed Central

[26] Parkkinen VP. Variable relativity of causation is good. Synthese. 2022;200:194. DOI: https://doi.org/10.1007/s11229-022-03676-0.10.1007/s11229-022-03676-0Search in Google Scholar

[27] Woodward J. Response to Strevens. Philosophy Phenomenol Res. 2008;LXXVII:193–212, 10.1111/j.1933-1592.2008.00181.xSearch in Google Scholar

[28] McCluskey EJ. Minimization of Boolean functions. Bell Syst Tech J. 1956;35:1417–44. 10.1002/j.1538-7305.1956.tb03835.xSearch in Google Scholar

[29] Haesebrouck T, Thomann E. Introduction: causation, inferences, and solution types in configurational comparative methods. Quality Quantity. 2022;56(4):1867–88. 10.1007/s11135-021-01209-4Search in Google Scholar

[30] Chinchor N. Muc-4 evaluation metrics. In Proceedings of the 4th Conference on Message Understanding. 1992 June. p. 22–29. https://aclanthology.org/M92-1002.pdf. 10.3115/1072064.1072067Search in Google Scholar

Received: 2023-05-24
Revised: 2024-01-05
Accepted: 2024-04-12
Published Online: 2024-07-25

© 2024 the author(s), published by De Gruyter

This work is licensed under the Creative Commons Attribution 4.0 International License.

Articles in the same Issue

  1. Research Articles
  2. Evaluating Boolean relationships in Configurational Comparative Methods
  3. Doubly weighted M-estimation for nonrandom assignment and missing outcomes
  4. Regression(s) discontinuity: Using bootstrap aggregation to yield estimates of RD treatment effects
  5. Energy balancing of covariate distributions
  6. A phenomenological account for causality in terms of elementary actions
  7. Nonparametric estimation of conditional incremental effects
  8. Conditional generative adversarial networks for individualized causal mediation analysis
  9. Mediation analyses for the effect of antibodies in vaccination
  10. Sharp bounds for causal effects based on Ding and VanderWeele's sensitivity parameters
  11. Detecting treatment interference under K-nearest-neighbors interference
  12. Bias formulas for violations of proximal identification assumptions in a linear structural equation model
  13. Current philosophical perspectives on drug approval in the real world
  14. Foundations of causal discovery on groups of variables
  15. Improved sensitivity bounds for mediation under unmeasured mediator–outcome confounding
  16. Potential outcomes and decision-theoretic foundations for statistical causality: Response to Richardson and Robins
  17. Quantifying the quality of configurational causal models
  18. Design-based RCT estimators and central limit theorems for baseline subgroup and related analyses
  19. An optimal transport approach to estimating causal effects via nonlinear difference-in-differences
  20. Estimation of network treatment effects with non-ignorable missing confounders
  21. Double machine learning and design in batch adaptive experiments
  22. The functional average treatment effect
  23. An approach to nonparametric inference on the causal dose–response function
  24. Review Article
  25. Comparison of open-source software for producing directed acyclic graphs
  26. Special Issue on Neyman (1923) and its influences on causal inference
  27. Optimal allocation of sample size for randomization-based inference from 2K factorial designs
  28. Direct, indirect, and interaction effects based on principal stratification with a binary mediator
  29. Interactive identification of individuals with positive treatment effect while controlling false discoveries
  30. Neyman meets causal machine learning: Experimental evaluation of individualized treatment rules
  31. From urn models to box models: Making Neyman's (1923) insights accessible
  32. Prospective and retrospective causal inferences based on the potential outcome framework
  33. Causal inference with textual data: A quasi-experimental design assessing the association between author metadata and acceptance among ICLR submissions from 2017 to 2022
  34. Some theoretical foundations for the design and analysis of randomized experiments
Downloaded on 31.12.2025 from https://www.degruyterbrill.com/document/doi/10.1515/jci-2023-0032/html
Scroll to top button