Abstract
Objectives
The aim of this study was to investigate differences in academic achievement between two groups of students who were taught the same course online within the nursing program but through two different teaching strategies and to examine the students’ attitudes towards flipped classroom.
Methods
Online lectures using Zoom was given to teach a course regarding the immune system and another course was taught the same subject in flipped classroom approach using video lectures followed by seminars. Academic achievement were compared between the groups, and perspectives on flipped classroom were investigated using a questionnaire.
Results
The main findings were that participation in flipped classroom seminars had a positive effect on academic achievement (OR 2.3 (CI [1.001–5.1]), and that students preferred the flipped classroom approach over traditional lectures.
Conclusions
This study suggests that a student centered teaching strategy like flipped classroom is an effective way to increase the students’ engagement and academic achievements.
Early in the COVID-19 outbreak during the spring of 2020, universities all over the world were forced to move from on-campus to online education (Smalley 2020). This placed high demands on students, teachers, and the pedagogy used (Coyne, Ballard, & Blader, 2020; Madhavanprabhakaran, Francis, John, & Rawajfah, 2021). A large proportion of the teaching staff were unfamiliar with online teaching and not comfortable with it. Due to the short period of adjustment, the immediate solution was often to use the same pedagogical approach as on campus but delivered via a video conferencing tool such as Zoom or Microsoft Teams. This method of teaching, regardless of setting, is rather teacher centered, allowing the students to take a passive role. It is desirable to have a method of teaching in which students are more active, and it has been shown that such an approach improves academic achievement (Lelean & Edwards, 2020; Youhasan, Chen, Lyndon, & Henning, 2021).
One way to achieve more student-centered teaching is to use the flipped classroom approach. A common model in the flipped classroom is the three-component model with pre-class, in-class, and post-class activities (Youhasan et al., 2021). Students are exposed to asynchronous knowledge transfer prior to their classroom attendance through various media, such as text or other written materials, and audio and/or video-recorded materials. This encourages students to be more active earlier in the course. The benefit of pre-work is that it allows students to engage with the material as needed, based on their individual pace of learning. In class, students participate in interactive activities, such as small-group discussions and case scenarios, in order to apply the concepts they learned. In this way, the instructor spends the synchronous classroom time focusing on higher-level applications of knowledge and problem solving, facilitating academic excellence, and stimulating the development of critical and independent thinking, thus preparing students for the future workplace context. Post-class, the students discuss newly learnt concepts, perform self-assessments, and identify issues that are still unclear in order to bring these to the next in-class activity. In this way, post-class and pre-class merge into each other (Barbour & Schuessler, 2019; Youhasan et al., 2021).
Flipped classroom strategies are built on the well-established principles of active learning. These include students learning from, and supporting one another, in collaborative assignments and projects (Hamdan, McKnight, McKnight, & Arfstrom, 2013), and receiving immediate feedback from both peers and teachers (McLaughlin et al., 2013).
Bloom’s taxonomy, as originally conceived, is a relevant framework when describing the flipped classroom strategy (Bloom, 1956). Bloom’s (1956) taxonomy provides suggestions for six different levels of theoretical knowledge in a hierarchical scale often depicted as a pyramid from knowledge through to evaluation. When viewing flipped classrooms through the lens of Bloom’s taxonomy, it is easy to see that the lower levels of learning can be performed outside the classroom through the pre-class activities. These activities are often focused on transmission of information whereby students work at their own pace and on their own schedule. The in-class activities should then require greater critical reasoning wherein students are expected to apply and analyze the information, with the support of both peers and the teacher. These are more complex cognitive activities according to Bloom (1956). The higher level of learning aligns with constructivist theory, which argued that learning is a socially interactive process and best performed within the learner´s zone of proximal development (ZPD) (Vygotsky, 1978). The ZPD is defined as “the distance between the actual developmental level as determined by independent problem solving, and the level of potential development as determined through problem solving under adult guidance, or in collaboration with more capable peers” (Vygotsky, 1978). In other words, students are challenged to learn along with others just outside their own knowledge zone. In the flipped classroom, students will be faced with problems in-class that are just above their level of knowledge, understanding that the lower levels of knowledge were acquired during the pre-class activities. In this way, students assimilate the knowledge as their own. If it is discovered during the in-class or post-class activities that students do not reach the higher levels in Bloom’s taxonomy, they can return to the pre-class activities and construct their understandings more broadly.
The flipped classroom model is not a new approach to the delivery of course material. There is evolving evidence about its use in nursing education and the specific content for which it best facilitates learning, compared to other health disciplines (Sharma, Lau, Doherty, & Harbutt, 2015).
From a pedagogical perspective, the way the flipped classroom is introduced is important because many students are unfamiliar with this strategy. Most students seem to be Flip Resisters, who must be identified and engaged in the change to a flipped classroom (McNally et al., 2017). Often, students must learn how to become active learners. However, successful transition to using the flipped classroom strategy is possible. Hew and Lo (2018) conducted a meta-analysis regarding health professions’ education and showed improvements in learner performance, as well as a preference for the flipped classroom approach over traditional classroom lectures.
Previous qualitative literature regarding the flipped classroom approach has shown that, when considering the benefits to student learning, three themes emerge during analysis of the evaluation data: student engagement, flexibility in learning, and student ownership of learning (Hamdan et al., 2013). Students who prepared for class ahead of time were more engaged in class activities and discussions. This level of engagement is typically not seen in traditional lecture format courses. Furthermore, the flipped classroom approach offers flexibility in that students can schedule their online coursework to best fit their schedules. However, student challenges with flipped classroom were also identified, such as discomfort with the move away from traditional lectures and the large amount of pre-class preparation (Hamdan et al., 2013). In other research, students also expressed difficulty and dissatisfaction with the poor quality and/or ineffectiveness of recorded faculty lectures (Youhasan et al., 2021). But students’ perceptions of learning enhancement can also change during a course. Their preconceived notion may be that the flipped classroom approach is not rewarding, but once they have gone through it, they realize that it had a positive effect on their learning (McLaughlin et al., 2013).
Self-assessment is a common post-class activity and has been shown to have a positive impact on students’ academic achievements and can be designed as different tests whereby students test their knowledge in a given area (Ćukušić, Garača, & Jadrić, 2014; Utz & Matthew, 2018). In order for self-assessments to have a positive effect, it is important that they be designed to constructively align with the course learning objectives. In this way, students can readily see the benefits of doing the self-assessments, be guided to the achieve course goals, and plan for them (Biggs, 2014). Constructive alignment is a principle where learning activities are linked to intended learning outcomes. This is important in all teaching, not just the flipped classroom.
A common form of self-assessment is the use of quizzes, with which students can test their knowledge. These can be handed out at specific times or be available whenever students decide to complete the quiz. Quizzes that relate to the learning objectives serve as an aid to enable students to assess and take greater responsibility for their own learning, and also improve their academic performance (Ćukušić et al., 2014; Papanthymou & Darra, 2018).
Based on previous research, the flipped classroom and the opportunity for self-assessments can be successful strategies to accomplish student-centered teaching (Hew & Lo, 2018; Utz & Matthew, 2018). However, this is sparsely researched in nursing education (Sharma et al., 2015). In the current study, the researchers tried to close this knowledge gap by comparing two different strategies for teaching online using the flipped classroom. The existing research in nursing education mainly uses quantitative methods to evaluate efficiency (Chung, Lai, & Hwang, 2019; Youhasan et al., 2021). In this research, a mixed-method strategy was used, where the students’ summative examination data were analyzed quantitatively and their experiences and attitudes were analyzed qualitatively through open-ended questions. Uniquely, this study also had strong control groups as the students’ academic results in the intervention group were not only compared with former students’ results but also with themselves, meaning, that they were their own controls. We also considered the students’ previous results in related courses. The hypothesis for this research was that when students are exposed to flipped classroom, they will become better prepared and therefore their academic achievements will be enhanced compared to when exposed to traditional lectures.
Methods
Context
The module examined in this study took place during the second semester of a nursing program at undergraduate level taught at a mid-size university in Sweden during the COVID-19 pandemic 2020. The nursing program as a whole is mostly assessed on competence and practical skills. However, the students in this study were still completing their basic education in medical science and were assessed according to the course learning outcomes. They just completed the program’s first short clinical practice, however, most students had not yet reached the level where they were able to integrate medical science knowledge with nursing theory and clinical practice.
Study design
Approval to conduct the study was received from the Karlstad University’s Institutional Review Board (No: HNT 2019/801). Two different course iterations were included in the study, the spring and fall semesters of 2020, with 104 and 103 students, respectively. One teacher gave lectures in microbiology and, in parallel, another teacher gave lectures regarding the immune system.
The first strategy during the shift to online teaching during the spring of 2020 was to move traditional lectures onto Zoom for the whole course module. The module ended with a summative digital exam covering the immune system and microbiology, which was studied simultaneously. Students completing the whole module served as a control group in this study.
During the fall semester of 2020, the parts of the course regarding the immune system were changed to a flipped classroom approach. The activities regarding the immune system were divided into two major blocks: (1) immunology and (2) asthma and allergy. Before the module started, the students were informed of the upcoming events and what was expected of them during different learning activities. Before their seminars, students were supposed to watch instructional videos prepared by the teacher, however, there was no control that the students had done this pre-class activity. During the seminars, the students were randomly divided into groups and sent to Zoom breakout rooms to work with detailed learning outcomes and investigate case-based problems. The teacher was available during these group sessions. After the group seminars, there was a whole-course seminar on Zoom where the block was summarized and uncertainties were followed up, giving the whole group the same information. During these whole-course seminars, the teacher took a passive role, letting the students take an active teaching-learning role. The number of attending students at each activity was noted.
After the seminars, students had the opportunity to self-assess their learning process regarding the immune system using a summative online quiz, which could be taken as many times as desired. The activities regarding the immune system using the flipped classroom approach constituted the intervention in this study.
In parallel with the flipped classroom approach, students also attended traditional lectures in microbiology given through Zoom in the same manner as during the spring semester. The lectures in microbiology served as adjustment variable. The summative digital exams concluding this module were also given in the same manner as during the spring semester.
To clarify, there were two sets of control groups in this study. First, the entire spring iteration was when all teaching took place through traditional lectures using Zoom. Second, in the fall iteration, the microbiology content was provided through lectures using Zoom. The students in the fall iteration were also exposed to the intervention through the flipped classroom approach regarding the immune system. These students thus constituted their own controls, but they were also compared to the spring iteration which were only subjected to the control procedure entirely through traditional lectures. The course structure for both iterations is in Figure 1.

Illustration of the course structure for both iterations.
Data collection and questionnaire
An online questionnaire was distributed, inviting the students during the spring and fall semesters of the second year of the nursing program. There were 104 and 103 students respectively with a mean age of 26.9 years. Data were collected between December 3, 2020 and January 13, 2021. In total, 59 students participated. The questionnaire included 10 questions about reasons for not attending seminars, the level of pre-seminar preparation, the preferred form of teaching, and estimates of how the form of teaching had affected their study results. Most students (85%) were women. The questionnaire also included five questions where students could choose from a list of options as well as write their experiences about the flipped classroom in general and the courses specifically. Questions followed a similar format.
Dependent variable
Academic achievement
The average scores from the digital exams were expressed as percentages of the maximum. The total results for the exam were compared, as well as those for the two different subjects (microbiology and the immune system), both between semesters and within the same semester. The averages were normalized against the control (microbiology), which was set to 100 for an easier comparison between the semesters.
Independent variables
Seminar attendance
The students were placed in one of three groups, based on their presence at the four seminars, 3–4 occasions, 1–2 occasions, or no occasions.
Quizzes
The use and impact of the online self-assessment quizzes about the immune system were analyzed with regard to the number of students using them, the average number of attempts, and the distribution of attempts over time.
Adjustment variables
Pre-intervention comparison
To investigate whether there were any differences between the two courses with regard to academic achievements before the modules on microbiology and the immune system, all medical science grades from the previous semester were used from the respective courses. Both microbiology and the immune system form part of the overall subject of medical science, so examining all grades in this subject from the previous semester would provide a good idea of the students’ general level in the subject before the investigated modules started.
Adjusting for academic achievement
In order to adjust for students’ level of academic achievement, we chose their previous grades from another course (pathophysiology). This course was chosen because it was the most recent course the students had completed in medical science and because it contained the students’ first contact with the immune system. A student who did well on this previous course was likely to have the qualifications to do well in the course in this study. The total exam grades were used, as well as the individual grades in both microbiology and the immune system for both course iterations. We explored the proportion of missing data for each study variable and patterns of this missing data. However, there were no missing values.
Analysis
Logistic regression analysis was used to analyze the correlation between the exam grades in the fall iteration with the number of seminars attended in immunology, asthma, and allergy, i.e., correlation between activity in the flipped classroom and the outcome. In order for the students to benefit from the complete flipped classroom approach, participation in the seminars was an important parameter to investigate. To compensate for the fact that different students can be at different levels before the intervention the model was adjusted for the previous grades in pathophysiology. Logistic regression was also used to analyze the correlation between pathophysiology and the immune system, as well as the respondents’ estimate of the flipped classroom’s impact on their exam result and amount of time invested. The exam scores between these groups were compared using the 2-sided Student’s t-test, and the Mann–Whitney U test was used to compare grades from the previous semester between the courses before the intervention.
The quizzes constituted the main post-class activity in this flipped classroom approach. In order to provide an idea of the effect of the quizzes on academic achievement, the average exam scores of students who made no quiz attempts were compared with those of students who made at least one attempt by using the 2-sided Student’s t-test. The major post-class activity consisted of quizzes, and logistic regression was used to analyze the correlation between exam grades and the number of quiz attempts, both with and without adjusting for previous grades. Logistic regression was also used to analyze the correlation between the number of quiz attempts and attendance at the seminars.
The limit of statistical significance was set at p≤0.05 for all correlations and tests of significance. SPSS (Statistical Package for the Social Sciences) version 26 was used for statistical analyses.
The qualitative data included comments from the open-ended questions on the questionnaire and were analyzed together, using an inductive thematic analysis approach, and the six steps suggested by Braun and Clarke (2006). Thematic analysis is a qualitative method of analysis with the aim of finding common themes among the respondents’ answers. The results were analyzed on a semantic level. In a first step, data were read and re-read, making notes by hand. In a second step, all open-ended questions were coded by the second author. In a third step, themes were conceptualized based on the data and on the research question. A theme, according to Braun and Clarke (2006) seizes something important in the data, following the research question, representing some kind of meaning within the data. Fourth, the themes and codes were reviewed and discussed with the first author by the researchers to reach consensus. In a fifth step, themes were named, and these directed the overall story of the analysis.
Results
Seminar participation
At the four seminars during the fall iteration of the course on immunology, asthma, and allergy, the whole-course seminars were more popular than the group seminars, as seen in Table 1. Attendance also decreased overall from the first occasion regarding immunology to the second occasion regarding asthma and allergy.
Number of students attending the various seminars in the flipped classroom approach.
| Number of students present | Immunology, n (%) | Asthma and allergy, n (%) |
|---|---|---|
| Group seminars | 29 (28.2%) | 16 (15.5%) |
| Whole course seminars | 32 (31.1%) | 20 (19.4%) |
The students were divided into three groups, with 13 (12.6%) students having participated in three or four seminars, 27 (26.2%) in one or two seminars, and 63 (61.2%) not participating in any. During the three lectures on microbiology, there were approximately 80, 40 and 20 students attending, respectively.
Academic achievements
Pre-intervention comparison
The academic achievements in medical science between courses were compared. The Mann–Whitney U test showed a statistically significant difference between the courses, with the spring course (control group) having an average throughput of 61.7%, and the fall course (intervention group) having 59.4%.
Overall exam scores
When the exam scores were compared between the two course iterations using Student’s t-test, the spring iteration scored significantly higher than the fall iteration, 71.3 and 64.9% respectively (p=0.007) (see Table 2). When the results were divided into subjects, no statistically significant difference was seen between the iterations for the immune system (p=0.3). Microbiology, on the other hand, resulted in a significantly higher exam score for the spring iteration (p=0.001). All scores were normalized to the control (Microbiology) which was set to 100 for easier comparisons.
Comparison of the exam results between the two course iterations.
| % Exam score | Normalized | |||||
|---|---|---|---|---|---|---|
| Subject | Total | Immune system | Microbiology | Total | Immune system | Microbiology |
| Spring | 71.3* | 74.0 | 67.6* | 105.5 | 109.5 | 100 |
| Fall | 64.9* | 71.2 | 59.4* | 109.3 | 119.9 | 100 |
-
*p≤0.05 between spring and fall. The grey cells show the intervention, all other cells are control groups.
Association between seminar participation and exam score
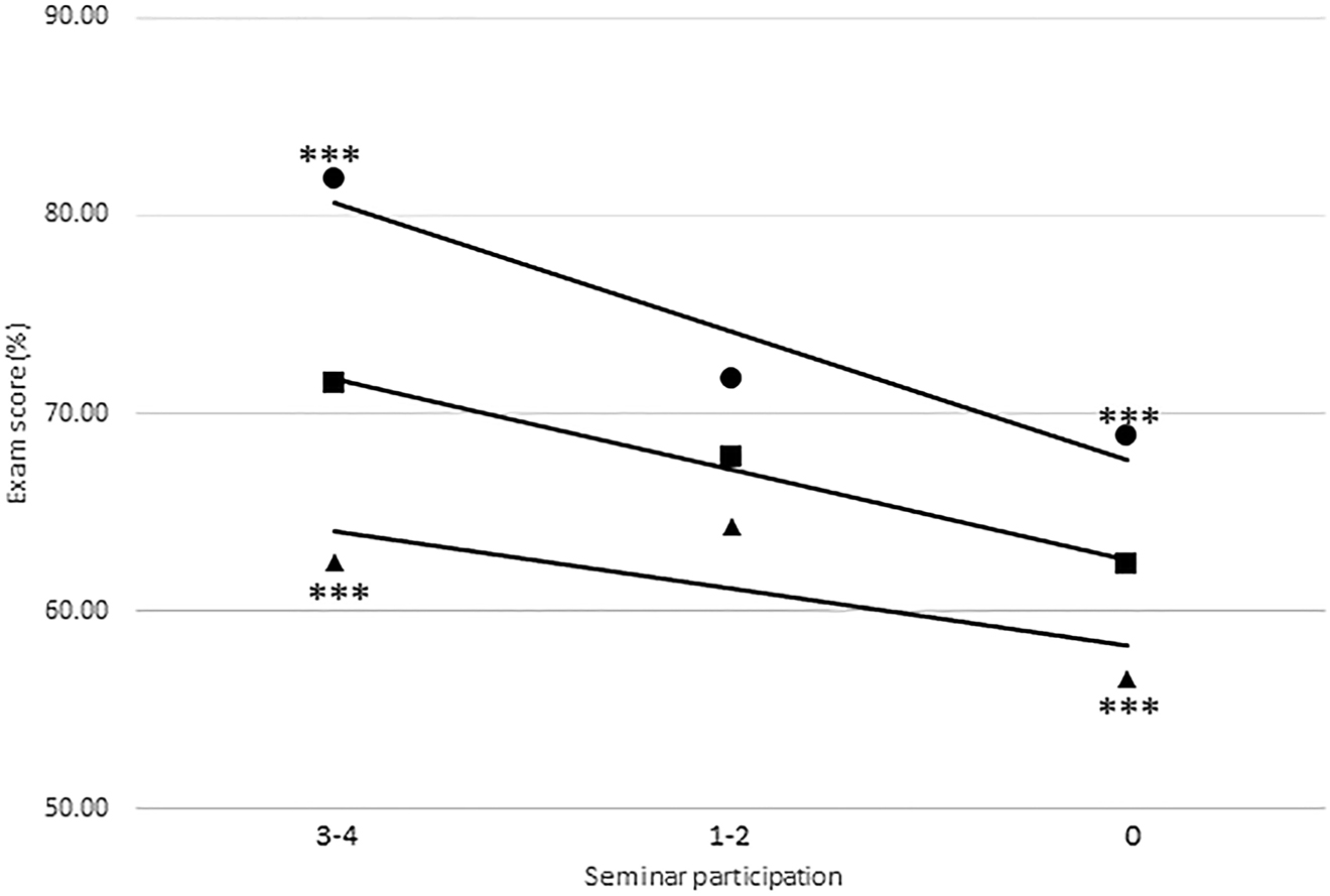
Higher seminar participation resulted in higher average exam scores, 71.5 and 62.3% respectively, although not statistically significant using Student’s t-test (p=0.08) for the highest and lowest participation groups. This pattern is also seen when the subjects were reported separately. The immune system seminars consistently resulted in higher exam scores than the microbiology lectures, shown in Figure 2. The more seminars the students attended, the greater the difference in exam scores between the subjects, 81.8 and 62.4% (p<0.000) for the immune system and microbiology respectively for the highest participation groups, and 68.8 and 56.7% (p<0.000) respectively for lowest participation.

Exam score related to the number of seminars attended. Total score (■), immunology (●) and microbiology (▲). ***p≤0.001 between the immune system and microbiology.
Effect of seminar participation on exam grade
When analyzing the correlation between exam grades and participation in the seminars using logistic regression, the total grade pass with distinction for the exam in the fall iteration was explained by participation in the seminars, shown in Table 3. However, the effect disappeared when the previous course grade in pathophysiology was taken into account. On the other hand, the grade pass was explained by participation in the seminars (OR 2.3 (CI [1.001–5.1])), i.e. 2.3 more likely to pass than fail if you participate) when adjusting for the previous course grade. The previous course grade in pathophysiology had the greatest effect on the grade for both pass and pass with distinction (OR 4.2 (CI [1.77–9.95])) and 20.0 (CI [3.53–112.91])), respectively). As seen in Table 3, the adjusted OR is bigger than the crude OR, but this was probably the result of random variations and small samples.
Fall iteration. Odds ratio (OR) and confidence intervals (CI) for exam grade correlated with seminar participation, adjusted for course grade in pathophysiology in the previous semester.
| Grade | OR | C.I. | ||
|---|---|---|---|---|
| Total grade | ||||
| Crude | Pass | 2.1 | 1.0–4.5 | |
| Pwd | 3.0* | 1.1–8.7 | ||
| Adjusted | Pass | 2.3* | 1.0–5.1 | |
| Pwd | 2.9 | 0.9–9.5 | ||
| Immune system | ||||
| Crude | Pass | 1.4 | 0.6–3.2 | |
| Pwd | 2.5* | 1.1–5.9 | ||
| Adjusted | Pass | 1.5 | 0.6–3.7 | |
| Pwd | 2.8* | 1.1–7.0 | ||
-
*p≤0.05. Pwd, pass with distinction.
Effects of quiz attempts on exam score and grade
The voluntary quiz regarding the immune system was used by 42 students. Of these, 17 took it several times in quick succession just before the exam and 14 took it only once. The average number of attempts was 2.3. When comparing exam scores between the students who did not use the quiz with those who made at least one attempt using Student’s t-test, the scores were 60.8 and 71.2% respectively (p<0.000).
When comparing the grades on the exam with the number of quiz attempts, the crude OR was 1.9 (CI [1.06–3.43]) and 3.6 (CI [1.67–7.67]) for pass and pass with distinction, and 1.9 (CI [1.03–3.42]) and 3.8 (CI [1.64–8.85]) when adjusted for the grade attained in an earlier course. When also adjusting for participation in the seminars, the OR was 1.7 (CI [0.94–3.139]) and 3.5 (CI [1.49–8.11]) for pass and pass with distinction, respectively. No correlation was seen between the number of quiz attempts and the number of seminars attended.
Descriptive results from the questionnaire
The respondents preferred to watch video lectures, followed by teacher-led seminars (48%) or group seminars (39%), in contrast to classic lectures online, which only eight (14%) respondents preferred. As seen in Table 4, a majority of the respondents who attended at least one seminar (78%) stated that the seminars were rewarding. Furthermore, 73% of the respondents stated that they felt relatively or very confident before the exam regarding both the immune system and asthma and allergy, whereas 51% felt relatively or very confident regarding microbiology.
Number of students stating their experience of the seminars and their feeling of confidence before the exam in the fall iteration.
| Immunology n (%) |
Asthma and allergy n (%) |
Microbiology n (%) |
|
|---|---|---|---|
| Seminar was rewarding | 25 (54.3) | 20 (43.5) | |
| Good seminar atmosphere | 25 (54.3) | 19 (41.3) | |
| Dared to talk in seminar | 21 (45.7) | 14 (30.4) | |
| Did not dare to talk in seminar | 3 (6.5) | 3 (6.5) | |
| Very confident before exam | 14 (23.7) | 15 (25.4) | 9 (15.3) |
| Confident before exam | 29 (49.2) | 28 (47.5) | 21 (35.6) |
-
If a respondent did not attend seminars, answers were not allowed in the questionnaire on row 1–4, which resulted in a maximum number of 46. For row 5–6, the maximum number is 59.
The perception of the respondents was that they succeeded better in the exam due to the set-up with films and seminars, but also that they needed to invest more time studying in this scenario compared to classic lectures, 37 (80%) and 30 (65%) students, respectively. No correlation was seen between the respondents’ estimate of the flipped classroom’s impact on their exam result and invested time using logistic regression.
As seen in Table 5, most respondents stated that they were prepared or very prepared before the seminars. The major reason for not attending the seminars was that they thought the recorded lectures were enough. Of the respondents, 29 (49%) and 30 (51%) of them had watched all the video lectures at least once before the seminars in immunology and asthma and allergy, respectively.
Number of students stating their attendance at different activities and their estimation of their level of preparation in the fall iteration.
| Immunology | Astdma and allergy | |||||||
| Total | Well prep. | Some prep. | Not prep. | Well prep. | Some prep. | Not prep. | ||
| Total | 13 | 32 | 2 | 14 | 31 | 1 | ||
|
|
||||||||
| Immunology | ||||||||
| Group seminar | 38 | 11 | 26 | 1 | ||||
| Whole class | 34 | 10 | 23 | 1 | ||||
| Did not attend | Work | 5 | 3 | 5 | 3 | |||
| Do not like group | 7 | 4 | 6 | 3 | ||||
| Video lecture enough | 19 | 8 | 17 | 7 | ||||
| Other | 0 | 0 | 0 | 0 | ||||
| Asthma and allergy | ||||||||
| Group seminar | 27 | 9 | 18 | 0 | ||||
| Whole class | 27 | 8 | 19 | 0 | ||||
| Did not attend | Work | 7 | 3 | 6 | 4 | |||
| Do not like group | 7 | 4 | 6 | 3 | ||||
| Video lecture enough | 17 | 8 | 15 | 7 | ||||
| Other | 2 | 2 | 0 | 0 | ||||
-
The respondents may have filled in several answer options in the questionnaire, which means that the totals are not a summation of a row or a column.
Pros and cons with recorded films
It emerged that the recorded films in the flipped classroom approach was mostly appreciated by students and viewed as a pedagogical way of enhancing learning: “I think this approach, when it comes to distance education, is absolutely superb, recorded lectures are something I learn a lot from.” Another student wrote: “During live lectures on Zoom, I usually don’t have time to listen and take notes and ask questions.” However, the negative aspects of the recorded film in the flipped classroom approach were the lack of opportunities to ask the teacher questions directly, to get concepts explained, and just “talk to the teacher”. Additionally, the lack of social interaction was mentioned. It appeared that life situations, such as having small children, also affected students’ perspectives on the flipped classroom approach. Having the opportunity to view lectures later, pause them, and view them more than once was especially liked by students who were parents.
Group seminars – most benefit for the weak?
The students’ opinions of group seminars were partly dependent on previous experience. Group work in general can be difficult for teachers to administer because there might be students who do not do their work or feel very insecure about explaining and talking in front of others. One aspect that emerged was “for me, it felt like I became some kind of extra teacher for the others I got to work with”. Some chose not to participate for this reason. It was, however, a good thing to be required to explain something (a concept, a mechanism) to others.
Discussion
The COVID-19 pandemic forced higher education teachers to quickly switch from traditional lectures on campus to online education. This study aimed to demonstrate the differences between two strategies employed in this adjustment process by examining both the effects on nursing students’ academic achievements and their experiences of the different strategies. This approach is somewhat unusual as most research in nursing education examines either the academic achievement or the students’ experiences while both aspects were considered herein (Chung, Lai, and Hwang 2019; Youhasan et al. 2021).
The hypothesis for this study was that the flipped classroom strategy would provide better academic achievements compared to traditional lectures. Based on the results, the hypothesis was valid, but a number of issues to reflect upon remain.
No statistically significant difference was seen in the exam results between the two iterations regarding the immune system, although it was during this module that the flipped classroom was used. This suggests, at a first glance, that the strategy did not have any effect. However, the exam results for the other part, microbiology, which served as a control group, were significantly lower during the intervention in the fall semester. Despite this, the results for the immune-system exam were maintained during the fall and did not differ from the spring iteration. This suggests that the flipped classroom strategy had an effect, resulting in a maintained result in the immune-system exam. This might be easier to understand when reviewing the normalized exam results in Table 2, where it is clear that the intervention resulted in a higher normalized score than the control group immune system.
To investigate whether the iterations differed regarding academic achievements even before the intervention, all grades regarding medical science from the previous semester were compared. If the researchers had guessed in advance, the spring course (control) should have succeeded better than the fall course (intervention) in the investigated modules, but this was not the case. Rather, opposite occurred.
Regardless of the reason for the difference in exam scores between the two iterations, it was clear that the scores for the immune-system exam were positively correlated with the number of seminars attended. The more seminars attended, the greater the difference between the different modules, as well as the greater positive effect on the course grade, even after adjusting for grades in a previous course, which is coherent with the constructivist theory where one learns in a social context (Vygotsky 1978). The questionnaire showed that the students estimated that they spent more time on their studies when following the flipped classroom strategy compared to traditional lectures, which has been previously reported (Herrero and Quiroga 2020; Simpson and Richards 2015). This increase in invested time has been shown to be the main reason for a negative attitude to the flipped classroom strategy (Betihavas et al. 2016; Herrero and Quiroga 2020; Hew and Lo 2018). However, in the current study, there was no correlation between students’ estimate of invested time and their perception of how they succeeded in the examination. Whether it was the seminars themselves or the greater amount of time spent on their studies that had the positive effects on their academic achievements may not matter. What mattered was that the flipped classroom strategy had positive effects, regardless of the reason.
The students’ attitudes to the flipped classroom strategy were very positive and they preferred pre-recorded video lectures with seminar follow-up over live lectures via Zoom. The main reason for this positive attitude seemed to be the flexibility of having pre-recorded lectures. Students could watch the lectures whenever they wanted, repeatedly, and stop and go review sections completely according to their own needs. Flexibility is often cited as the reason for a positive attitude towards the flipped classroom (Hew and Lo 2018; Simpson and Richards 2015). However, in this study, it was shown that there is a disadvantage with video lectures because the main reason the students gave for not attending seminars was that they thought the video lectures were enough to pass the course.
In addition to the flipped classroom, a self-assessment quiz was introduced as post-class activity, giving students the opportunity to assess their own learning during the fall course. This also had a positive effect on their academic achievements. The 42 students who took the quiz at least once had significantly higher exam scores than the students who did not make any quiz attempts, at 71.2 and 60.8%, respectively. The logistic regression also showed a positive effect of quizzes on the course grade, even after adjusting for grade from a previous course and participation in the seminars. This positive effect of self-assessment has been seen in other studies as well (Choi and Murdock 2020; Utz and Matthew 2018).
The whole-class seminars were more popular than the group seminars and interest in the seminars overall decreased over time. This is in line with previous studies, which show that some students do not persevere, and that they do not want to learn from each other because they do not trust that fellow students know the subject (Critz and Knight 2013; McLaughlin et al., 2013). Also, in the current study, it appears that the group activities were not as much appreciated as the teacher-led seminars, but the reason given was that students do not want to be extra teachers for others. Thus, some students choose not to participate because they felt that their fellow students were not sufficiently prepared before the seminars. This contrasts with constructivism which elevates the social aspect of learning (Vygotsky 1978). Therefore, how the flipped classroom is introduced to students and how it is implemented in the course is important. Students are probably not used to this approach and need to be prepared and convinced of the benefits of flipped classroom. The recommendation is to introduce it step by step to minimize student resistance but also to give sufficient time for teachers to adapt to and learn this new teaching strategy (Barbour & Schuessler, 2019; McNally, 2017).
The students also emphasized that it is good to be required to explain something to someone else. This is one of the main purposes of the intervention approach. Discussions between students who have been given a specific topic is an effective way of increasing the activity level and encouraging student interactions (Arthurs and Kreager 2017). It is also an exercise in shaping one’s language towards the subject’s sociology of language (Keblusek, Giles, and Maass 2017). In other words, students shape their language by trying to formulate themselves to each other, within a given context, in this case, nursing.
The nursing program consists of several different subjects, where nursing theory is the main subject, but medical science is also very important, in both the education and the profession and these are then integrated in clinical practice. Based on course evaluations, many nursing students often perceive that the basic medical sciences in the program are difficult. Thus, and teachers can help them by focusing on student-centered teaching, such as the flipped classroom approach. During the flipped classroom approach students can be interactive and to apply the theories learned into practice, which has shown to be a positive outcome on academic achievement (Youhasan et al. 2021). This approach is not only useful in the COVID-19 context presented in this study, but also when the education returns to campus.
Finally, although students appreciated the flipped classroom approach, and a strategic introduction of the approach may be advocated, teachers must be given time to adapt their teaching and to learn the method (Madhavanprabhakaran et al. 2021). It is often intimidating to engage in this change. It can place higher demands on the teacher during the in-class activities compared to traditional teaching, since the activity is influenced on the students’ level of knowledge and their perception of the pre-class activities. The in-class activities may require a higher degree of teacher flexibility. A clear strategy is required for the implementation of the flipped classroom (Barbour & Schuessler, 2019).
Strengths and limitations
An important strength in this study is that a rigid control group was used, as the students themselves constituted their own controls as they were compared to both themselves and former students. The students were examined at the same time on elements that belonged to both the flipped classroom intervention and the unchanged traditional lecture control. An additional strength is that the study used a mixed method approach, resulting in a better understanding and interpretation of the results using several data collection methods.
Although this study contributes to the scarce literature on flipped classrooms in nursing education, there are some methodological limitations worthy of mention. First, any causal relationships cannot be claimed due to the cross-sectional nature of the data. Second, quite few students responded to the questionnaire, and it might be that some important aspects from non-participating students having other experiences were missed. However, the low participation rate does not affect any association between variables. Third, there is likely to be a selection bias, with students who enjoy the flipped classroom approach more likely to participate in the survey and write comments in the open-ended boxes. Fourth, the qualitative data from the open-ended questions were not in great depth and interviews may have provided more information. These two above mentioned aspects might have influenced the transferability of the results negatively. Finally, there were two different teachers who taught microbiology and the immune system. However, they were the same during the two semesters, so any differences arising from the teachers should have been present in both the control group and intervention group and thus not be the cause of any differences when the groups were compared. Apart from the intervention, the teaching strategies were kept constant during the two semesters. Overall, due to a small sample size the generalizability of the results is limited. However, the results are consistent with previous literature, which show a positive effect of flipped classroom on academic achievement in the nursing program as well as in the education to other health disciplines such as medicine and pharmacy (Lelean and Edwards, 2020; Youhasan et al. 2021).
Conclusion and implications
In conclusion, this study shows that students in the second semester of a nursing program at a basic level, studying via online teaching clearly prefer a flipped classroom strategy over traditional lectures, mainly because video lectures provide flexibility. Although somewhat difficult to interpret, the results indicate that the flipped classroom strategy also has a positive effect on academic achievement. Participation in seminars correlates with both higher exam scores and better course grades. The use of quizzes, which can be implemented regardless of teaching strategy, has a clear correlation with better academic achievement. It was also found that the way of implementing the flipped classroom is important, as an overly forced introduction and unclear strategy can have the opposite effect on students’ attitudes to this teaching approach. These results are not only useful in nursing education but also in other health-related education as the subjects studied are also included in other areas of education in health, medicine and science.
Many teachers have been forced to change their way of teaching during the COVID-19 pandemic and learned to produce materials suitable for both pre-class, in-class and post-class activities. This is a golden opportunity to reflect upon and to manage these experiences as teaching returns to “normal”. All teachers should be urged to reflect upon what they can do to create a more student-centered teaching with more active students.
-
Research funding: None declared.
-
Author contributions: All authors have accepted responsibility for the entire content of this manuscript and approved its submission.
-
Competing interests: Authors state no conflict of interest.
-
Informed consent: Informed consent was obtained from all individuals included in this study.
-
Ethical approval: The research related to human use has complied with all the relevant national regulations, institutional policies, and in accordance with the tenets of the Helsinki Declaration, and has been approved by the authors’ Institutional Review Board or equivalent committee (Karlstad University no: HNT 2019/801).
References
Arthurs, L. A., & Kreager, B. Z. (2017). An integrative review of in-class activities that enable active learning in college science classroom settings. International Journal of Science Education, 39(15), 2073–2091. https://doi.org/10.1080/09500693.2017.1363925.Search in Google Scholar
Barbour, C., & Schuessler, J. B. (2019). A preliminary framework to guide implementation of the flipped classroom method in nursing education. Nurse Education in Practice, 34, 36–42. https://doi.org/10.1016/j.nepr.2018.11.001.Search in Google Scholar PubMed
Betihavas, V., Bridgman, H., Kornhaber, R., & Cross, M. (2016). The evidence for ‘flipping out’: A systematic review of the flipped classroom in nursing education. Nurse Education Today, 38, 15–21. https://doi.org/10.1016/j.nedt.2015.12.010.Search in Google Scholar PubMed
Biggs, J. (2014). Constructive alignment in university teaching. HERDSA Review of Higher Education, 1, 5–22.Search in Google Scholar
Bloom, B. S. (1956). Taxonomy of educational objectives: The Classification of educational goals. New York: Longmans, Green and Co Ltd.Search in Google Scholar
Braun, V., & Clarke, V. (2006). Using thematic analysis in psychology. Qualitative Research in Psychology, 3(2), 77–101. https://doi.org/10.1191/1478088706qp063oa.Search in Google Scholar
Choi, M., & Murdock, M. E. (2020). The effect of online formative self-assessment on academic performance of chiropractic students. World Journal of Educational Research, 7(1), 52. https://doi.org/10.22158/wjer.v7n1p52.Search in Google Scholar
Chung, C.-J., Lai, C.-L., & Hwang, G.-J. (2019). Roles and research trends of flipped classrooms in nursing education: A review of academic publications from 2010 to 2017. Interactive Learning Environments, 29, 1–22. https://doi.org/10.1080/10494820.2019.1619589.Search in Google Scholar
Coyne, C., Ballard, J. D., & Blader, I. J. (2020). Recommendations for future university pandemic responses: What the first COVID-19 shutdown taught us. PLOS Biology, 18(8), e3000889. https://doi.org/10.1371/journal.pbio.3000889.Search in Google Scholar PubMed PubMed Central
Critz, C. M., & Knight, D. (2013). Using the flipped classroom in graduate nursing education. Nurse Educator, 38(5), 210–213. https://doi.org/10.1097/nne.0b013e3182a0e56a.Search in Google Scholar PubMed
Ćukušić, M., Garača, Ž., & Jadrić, M. (2014). Online self-assessment and students’ success in higher education institutions. Computers & Education, 72, 100–109. https://doi.org/10.1016/j.compedu.2013.10.018.Search in Google Scholar
Hamdan, N., McKnight, P., McKnight, K., & Arfstrom, M. K. (2013). A review of flipped learning (pp. 1–21). Flipped Learning Network.Search in Google Scholar
Herrero, J. I., & Quiroga, J. (2020). Flipped classroom improves results in pathophysiology learning: Results of a nonrandomized controlled study. Advances in Physiology Education, 44(3), 370–375. https://doi.org/10.1152/advan.00153.2019.Search in Google Scholar PubMed
Hew, K. F., & Lo, C. K. (2018). Flipped classroom improves student learning in health professions education: A meta-analysis. BMC Medical Education, 18(1), 1–12. https://doi.org/10.1186/s12909-018-1144-z.Search in Google Scholar PubMed PubMed Central
Keblusek, L., Giles, H., & Maass, A. (2017). Communication and group life: How language and symbols shape intergroup relations. Group Processes & Intergroup Relations, 20(5), 632–643. https://doi.org/10.1177/1368430217708864.Search in Google Scholar
Lelean, H., & Edwards, F. (2020). The impact of flipped classrooms in nurse education. Waikato Journal of Education, 25(1), 146–157. https://doi.org/10.15663/wje.v25i0.735.Search in Google Scholar
Madhavanprabhakaran, G., Francis, F., John, S. E., & Al Rawajfah, O. (2021). COVID-19 pandemic and remote teaching: Transition and transformation in nursing education. International Journal of Nursing Education Scholarship, 18(1), 1–9. https://doi.org/10.1515/ijnes-2020-0082.Search in Google Scholar PubMed
McLaughlin, J. E., Griffin, L. M., Esserman, D. A., Davidson, C. A., Glatt, D. M., Roth, M. T., . . . Mumper, R. J. (2013). Pharmacy student engagement, performance, and perception in a flipped satellite classroom. American Journal of Pharmaceutical Education, 77(9), 196. https://doi.org/10.5688/ajpe779196.Search in Google Scholar PubMed PubMed Central
McNally, B., Chipperfield, J., Dorsett, P., Del Fabbro, L., Frommolt, V., Goetz, S., . . . Rung, A. (2017). Flipped classroom experiences: Student preferences and flip strategy in a higher education context. Higher Education, 73(2), 281–298. https://doi.org/10.1007/s10734-016-0014-z.Search in Google Scholar
Papanthymou, A., & Darra, M. (2018). Student self-assessment in higher education: The international experience and the Greek example. World Journal of Education, 8(6), 130. https://doi.org/10.5430/wje.v8n6p130.Search in Google Scholar
Sharma, N., Lau, C. S., Doherty, I., & Harbutt, D. (2015). How we flipped the medical classroom. Medical Teacher, 37(4), 327–330. https://doi.org/10.3109/0142159x.2014.923821.Search in Google Scholar
Simpson, V., & Richards, E. (2015). Flipping the classroom to teach population health: Increasing the relevance. Nurse Education in Practice, 15(3), 162–167. https://doi.org/10.1016/j.nepr.2014.12.001.Search in Google Scholar PubMed
Smalley, A. (2020). Higher education Responses to Coronavirus (COVID-19). National Conference of State Legislatures. Retrieved from https://www.ncsl.org/research/education/higher-education-responses-to-coronavirus-covid-19.aspx [Accessed 26 Feb 2021].Search in Google Scholar
Utz, J. C. B., & Matthew, L. (2018). Voluntary web-based self-assessment quiz use is associated with improved exam performance, especially for learners with low prior knowledge. HAPS Educator, 22(3), 129–135. https://doi.org/10.21692/haps.2018.021.Search in Google Scholar
Vygotsky, L. (1978). In M. Cole, V. Jolm-Steiner, S. Scribner, & E. Souberman (Eds.), Mind in Society: Development of Higher Psychological Processes. Cambridge, Massachusetts; London, England: Harvard University Press.Search in Google Scholar
Youhasan, P., Chen, Y., Lyndon, M., & Henning, M. A. (2021). Exploring the pedagogical design features of the flipped classroom in undergraduate nursing education: A systematic review. BMC Nursing, 20(50), 1–13. https://doi.org/10.1186/s12912-021-00555-w.Search in Google Scholar PubMed PubMed Central
Supplementary Material
The online version of this article offers supplementary material (https://doi.org/10.1515/ijnes-2021-0119).
© 2022 Walter de Gruyter GmbH, Berlin/Boston
Articles in the same Issue
- Nurses’ and nurse educators’ experiences of a Pediatric Nursing Continuing Professional Development program in Rwanda
- Literature Reviews
- Measuring academic satisfaction in nursing students: a systematic review of the instruments
- Pediatric practicums in undergraduate nursing programs: an integrative review
- Research Articles
- Nursing educators’ collaboration and professional development: a cross-sectional study
- Ethical tension in nursing education: a challenge for faculty values and beliefs
- Improving practicing nurses’ knowledge and perceptions of older people: a quasi-experimental study
- Embracing diversity: measuring the impact of an international immersion learning experience on nursing students’ cultural beliefs and values
- Lower academic performance and dropout rates among University students with children: a prospective cohort study of nursing students in Bogotá, Colombia
- Supporting the transition to practice: preceptor behaviors that foster a positive student preceptorship experience
- Faculty supportive behaviors and nursing student mental health: a pilot study
- Intention and motivation to pursue higher education among registered nurses and midwives: a cross-sectional study during COVID-19
- An analysis of nursing and medical students’ attitudes towards and knowledge of Alzheimer’s Disease (AD)
- Assessing non-technical skills in undergraduate nursing students: a validation study
- Developing nursing students’ informatics competencies – A Canadian faculty perspective
- A creative approach for undergraduate nursing students to learn anatomy and physiology: a qualitative exploratory study
- Resilience and GRIT among undergraduate nursing students during the COVID 19 pandemic
- The effect of advocacy education of nursing students on attitudes towards disability: a quasi-experimental study
- Knowledge and perceptions of adverse childhood experiences (ACEs) among prelicensure nursing students
- Narrative photography with an expert patient as a method to improve empathy: a satisfaction study with health sciences students
- Self-efficacy beliefs among baccalaureate nursing students – A cross-sectional, comparative study
- Learning on the periphery: a modified Delphi study of a nursing student communities of practice model
- Clinical instruction in mental health nursing: students’ perceptions of best practices
- The experience of novice nurse faculty in Saudi Arabia
- Effective factors and challenges of forming transformational education in the nursing education system: a qualitative study
- Predictors associated with new nursing faculty’s intent to leave nursing academia: teaching preparation in doctoral program, institutional supports, and job satisfaction
- Flipped or traditional online teaching? Two different strategies to handle teaching in nursing education during the COVID-19 pandemic
- Application of the cognitive load theory in prelicensure nursing education: a quantitative measurement focusing on instructional design
- Educational Process, Issue, Trend
- Finding the right balance: student perceptions of using virtual simulation as a community placement
- Virtual patients: an option for future distance midwifery education?
Articles in the same Issue
- Nurses’ and nurse educators’ experiences of a Pediatric Nursing Continuing Professional Development program in Rwanda
- Literature Reviews
- Measuring academic satisfaction in nursing students: a systematic review of the instruments
- Pediatric practicums in undergraduate nursing programs: an integrative review
- Research Articles
- Nursing educators’ collaboration and professional development: a cross-sectional study
- Ethical tension in nursing education: a challenge for faculty values and beliefs
- Improving practicing nurses’ knowledge and perceptions of older people: a quasi-experimental study
- Embracing diversity: measuring the impact of an international immersion learning experience on nursing students’ cultural beliefs and values
- Lower academic performance and dropout rates among University students with children: a prospective cohort study of nursing students in Bogotá, Colombia
- Supporting the transition to practice: preceptor behaviors that foster a positive student preceptorship experience
- Faculty supportive behaviors and nursing student mental health: a pilot study
- Intention and motivation to pursue higher education among registered nurses and midwives: a cross-sectional study during COVID-19
- An analysis of nursing and medical students’ attitudes towards and knowledge of Alzheimer’s Disease (AD)
- Assessing non-technical skills in undergraduate nursing students: a validation study
- Developing nursing students’ informatics competencies – A Canadian faculty perspective
- A creative approach for undergraduate nursing students to learn anatomy and physiology: a qualitative exploratory study
- Resilience and GRIT among undergraduate nursing students during the COVID 19 pandemic
- The effect of advocacy education of nursing students on attitudes towards disability: a quasi-experimental study
- Knowledge and perceptions of adverse childhood experiences (ACEs) among prelicensure nursing students
- Narrative photography with an expert patient as a method to improve empathy: a satisfaction study with health sciences students
- Self-efficacy beliefs among baccalaureate nursing students – A cross-sectional, comparative study
- Learning on the periphery: a modified Delphi study of a nursing student communities of practice model
- Clinical instruction in mental health nursing: students’ perceptions of best practices
- The experience of novice nurse faculty in Saudi Arabia
- Effective factors and challenges of forming transformational education in the nursing education system: a qualitative study
- Predictors associated with new nursing faculty’s intent to leave nursing academia: teaching preparation in doctoral program, institutional supports, and job satisfaction
- Flipped or traditional online teaching? Two different strategies to handle teaching in nursing education during the COVID-19 pandemic
- Application of the cognitive load theory in prelicensure nursing education: a quantitative measurement focusing on instructional design
- Educational Process, Issue, Trend
- Finding the right balance: student perceptions of using virtual simulation as a community placement
- Virtual patients: an option for future distance midwifery education?