Startseite Synthesis, characteristic fragmentation patterns, and antibacterial activity of new azo compounds from the coupling reaction of diazobenzothiazole ions and acetaminophen
Artikel Open Access

Synthesis, characteristic fragmentation patterns, and antibacterial activity of new azo compounds from the coupling reaction of diazobenzothiazole ions and acetaminophen

  • Joseph Tsemeugne EMAIL logo , Pamela Kemda Nangmo , Pierre Mkounga , Jean De Dieu Tamokou , Iréne Chinda Kengne , Giles Edwards , Emmanuel Fondjo Sopbué und Augustin Ephrem Nkengfack
Veröffentlicht/Copyright: 1. Oktober 2021

Abstract

In this study, a series of azobenzothiazole dyes 4 were synthesized via diazotization of substituted benzothiazole derivatives followed by azo coupling with acetaminophen. The chemical structures of all synthesized compounds were confirmed using analytical data and spectroscopic techniques, including UV-visible, IR, mass spectra, and 1H- and 13C-NMR. The in situ formed diazobenzothiazole ions regiospecifically react with acetaminophen derivatives in the Hollemann-guided electrophilic aromatic substitution mechanism. The regio-orientations were established, on the one hand, by a rigorous interpretation of 1H-NMR spectra and, on the other hand, by the characteristic fragmentation patterns observed on the electrospray mass spectra. In the cases of 4a and 4b, multisubstitutions occurred. The antimicrobial activity of compound 4, along with all the starting materials, was investigated on Pseudomonas aeruginosa PA01, Staphylococcus aureus 18, Escherichia coli 64R, and S. aureus ATCC 25923. The results showed that this skeletal framework exhibited marked potency as antibacterial agents. The most active antibacterial agent against both targeted organisms was compound 4a′.

1 Introduction

In most of our societies, pain and discomfort are often treated with analgesics drugs [1]. Analgesics are also widely used to treat dysphoric moods and sleep disturbances [2]. It is now established that there is a link between rates of the use of pain relievers and certain psychiatric illnesses such as depressive symptoms, alcohol, nicotine, and caffeine consumption [3]. However, the most common side effects associated with the consumption of analgesic drugs are gastrointestinal disorders [4]. Inhibition of prostaglandin formation in the stomach by most pain-relieving drugs can lead to inflammation, injury, and a stomach ulcer [5]. One of the advantages of acetaminophen is that it does not cause gastrointestinal problems like most other nonsteroidal anti-inflammatory drugs [1,6], and this is due to acetaminophen’s low affinity for cyclooxygenase (COX). However, like most drugs, acetaminophen has several side effects, the most important of which is liver damage, often even at therapeutic doses [7,8]. Acetaminophen, a nonsteroidal anti-inflammatory drug, could follow some transformations like binding it to the benzothiazole ring to improve its nephrotoxicity. Benzothiazoles are aromatic heterocycles known for their anti-inflammatory [9,10,11], antibacterial [12], antifungal [13], antiviral [14], and antidiabetic [15] activities. To continue our search to find a better combination of pharmacophores within diazo molecules for pharmaceutical applications [16,17,18,19,20], we prepared a series of diazobenzothiazole ions, which were copulated with acetaminophen.

2 Results and discussion

2.1 Chemistry

The synthetic strategies adopted for the synthesis of the target compounds are depicted in Scheme 1. The structures of 4 were established based on their elemental analyses and spectral data.

Scheme 1 
                  Sequence of reactions leading to compounds 4 synthesis.
Scheme 1

Sequence of reactions leading to compounds 4 synthesis.

Diazotisation of 2-aminobenzothiazole 1 in strong acids yields diazonium salts 2, which undergo coupling reactions with acetaminophen 3 (Scheme 1).

The electronic transition of UV-visible spectra in methanol gave rise to wavelength (λ max) ranging from 272 to 515 nm. The first wavelength (λ max) for all the compounds was found between 272 and 276 nm as a result of π → π* transition of the compounds, indicating the presence of C═C atypical to benzene nucleus. The other wavelength of the benzenoid region (i.e., between 436 and 486 nm) was dole out as a result of n → π* transition and extended conjugation contributed by the C═C and the conjugative linkage performed by the N═N group. An incomparably strong bathochromic shift occurred in compound 4d that resulted in the wavelength at far visible region of light at λ max of 515 nm (log ε = 3.26) was due to the presence of an auxochrome (–Cl) in the skeletal framework of compound 4d, which improved the color deepening attribute by delocalization of the lone pair of electron present on the chlorine atom [21,22].

The infrared spectra of synthesized dyes 4 showed between 3,300 and 3,200 cm−1 a complex broad absorption band that may be assigned to the combined stretching bands of the phenolic O–H group and H2O molecule. The infrared spectra of compounds 4 also showed absorption bands due to the stretching vibrations of C═C of aromatic and Ar C–H bending vibration at 1,599–1,525 cm−1 and 889–631 cm−1, respectively. The FT-IR spectra also showed a band at 1,496–1,405 cm–1 assigned to the N═N group of the azo dyes and a band at 1,260–1,256 cm–1 assigned to the C–S of benzothiazole molecule [23].

The reaction of the diazonium salt solution 2a with 3 gave the two coupling products: 4a and 4a′ (Scheme 1). Compound 4a was obtained as brown powder melting between 262 and 264°C and crystallizing with seven H2O molecules. The presence of two characteristic doublets at δ H = 7.11 (d, J = 8.8 Hz, H-5′) and δ H = 7.49 (d, J = 8.8 Hz, H-6′) on the 1H-NMR spectrum of compound 4a suggests that the coupling reaction took place at the 2′ and 3′ position of paracetamol ring system in agreement with recent findings [16]. On the 1H-NMR spectrum, besides the set of five multiplets appearing between 8.49 and 7.03 ppm attributable to the ten aromatic protons, two broad D2O-exchangeable signals were observed around 10.00 and 2.50 ppm and assigned to the H2O and OH protons, respectively.

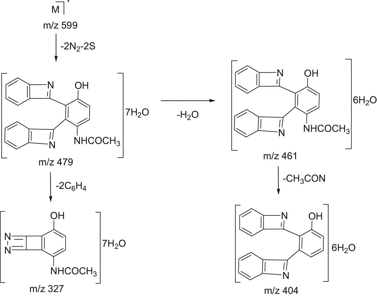
Further supporting evidences were obtained from the elemental analysis and the electrospray mass spectra, which confirmed the molecular mass to be 599, with relevant ion fragments at m/z = 598 (M+˙ – H), 581 (M+˙ – H2O), 565 (M+˙ – H2O – CH4), 539 (M+˙ – CH3CONH2 – H), 508 (M+˙ – H – 5H2O), 507 (M+˙ – 2H2O – 2N2), 465 (M+˙ – C7H5NS), and 313 (M+˙ – H2O – 2C7H4NS). The ion fragment at m/z = 479 (M+˙ – 2N2 – 2S), 461 (M+˙ – 2N2 – 2S – H2O), 404 (M+˙ – 2N2 – 2S – H2O – CH3CON), and 327 (M+˙ – 2N2 – 2S – 2C6H4) was assigned as in Scheme 2, confirming the aforementioned structural hypothesis.

Scheme 2 
                  Significant HRESI-MS fragmentation patterns of compound 4a.
Scheme 2

Significant HRESI-MS fragmentation patterns of compound 4a.

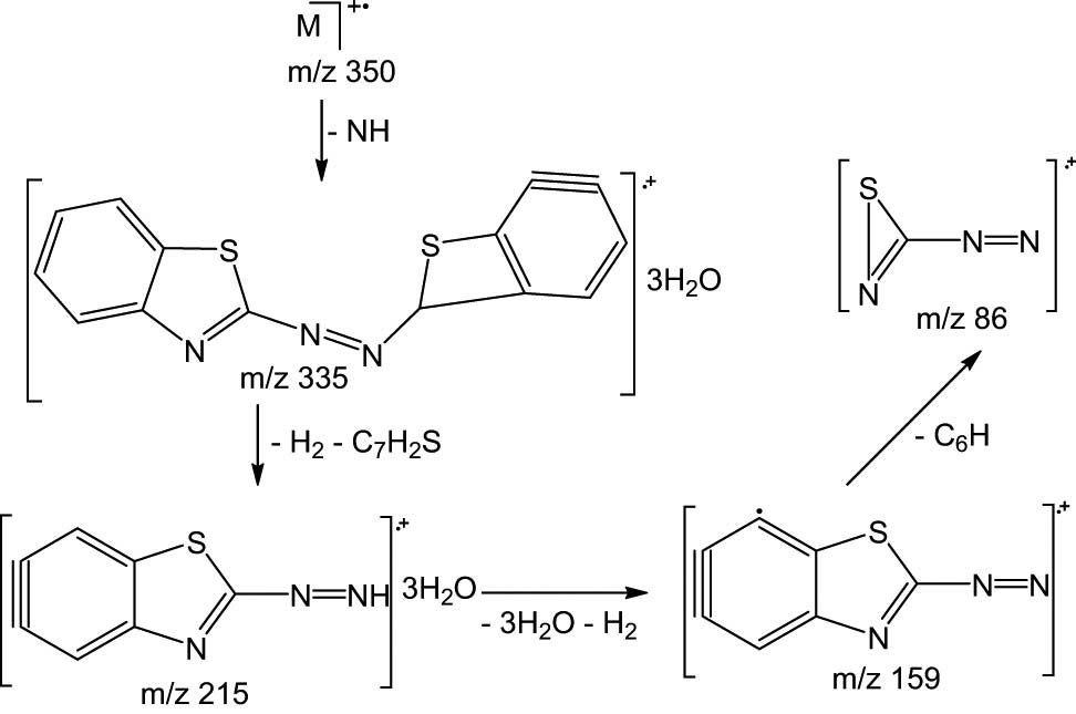
The azo-structures 4a′, which was a byproduct from the reaction of diazobenzothiazole 1a with acetaminophen, was reported earlier by other authors (but without water crystallites) resulting from the oxidation of 2-aminobenzothiazole 1a by sodium hypochlorite [24,25]. Compound 4a′ was obtained as a dark red powder; its elemental analysis and HREIMS experiments enabled us to establish its gross formula to be C14H14N4O3S2, showing that the coupling product crystallized with three molecules of H2O. These results agreed with the IR experiment, which exhibited a large band in the higher frequency region around 3,273 cm−1 due to the hydroxyl groups of H2O.

The electrospray mass spectra showed the molecular ion peak at m/z 350 corresponding to (M+˙ – H). The following characteristic ion fragments were rationalized as follows at m/z = 335 (M+˙ – NH), 316 (M+˙ – H2S), 299 (M+˙ – H2O – HS), 273 (M+˙ – H – C6H4), and 204 (M+˙ – 3H2O – N2 –2S). The ion fragments at m/z = 215 (M+˙ – NH3 – C7H2S), 159 (M+˙ – NH3 – 3H2O – C7H4S), and 86 (M+˙ – NH3 – 3H2O – C13H5S) were assigned as in Scheme 3, confirming the aforementioned structural hypothesis.

Scheme 3 
                  Significant HRESI-MS fragmentation patterns of compound 4a′.
Scheme 3

Significant HRESI-MS fragmentation patterns of compound 4a′.

We also studied the surface H2O exchange behaviors of compounds 4a′ by primary alcohols using electrospray ionization mass spectrometry (ESI-MS) [26,27]. Methanol was used as a model primary alcohol for the analysis. As clearly proven by peaks at m/z = 328, 300, 176, and 148 surface of azobenzothiazole dye 4a′ is fully exchanged by methanol within 1 min to give various peaks (M+˙ – 3H2O + MeOH), (M+˙ – 3H2O – N2 + ′MeOH), (M+˙ – 3H2O – 2C6H4 + MeOH), and (M+˙ – 3H2O – 2C6H4 – N2 + MeOH), respectively.

The 1H-NMR spectrum of compound 4a′ exhibits in the range 8.15–7.55 ppm a series of signals corresponding to the eight aromatic protons. The 13C (1H)-NMR experiment exhibited exactly seven signals, among which a downfield signal at 198.6 ppm is assigned to C-2 and C-2′ carbon of benzothiazole.

The reaction of diazotized 2b with 3 gave the coupling products 4b and 4b′ (Scheme 1). It should be pointed out that compound 4b′ was formed in the same manner as compound 4a′. This compound resulting from the in situ deaminated [28,29] intermediate product 2b′ probably underwent coupling with the diazobenzothiazole ion 2b to yield compound 4b′ (Scheme 4).

Scheme 4 
                  Reaction sequence to compounds 4b′.
Scheme 4

Reaction sequence to compounds 4b′.

Compound 4b′ was obtained as brown powder with a melting point of 182–184°C. The elemental analysis and the electrospray mass spectra experiments were used to establish the gross formula as C18H22N4O11S4, showing that the coupling product crystallized with two molecules of H2SO4 and one molecule of H2O. These results were confirmed by the IR experiment, which exhibited a large band in the higher frequency region around 3,275 cm−1, resulting from the combined stretching frequencies of the hydroxyl groups of H2SO4 and H2O.

The HRESI-MS showed the molecular ion (M+ + H) peak at m/z 599. The following characteristic ion fragments were rationalized as follows at m/z = 583 (M+˙ – CH3), 569 (M+˙ – CH3CH2), 549 (M+˙ + H – H2O – S), 535 (M+˙ – H2O – C2H5O), 410 (M+˙ – H2SO4 – 2C2H5O), 400 (M+˙ – 2H2SO4 – H2), 357 (M+ + H˙ – H2O – 2H2SO4 – N2), and 283 (M+˙ + H – 2H2SO4 – C8H8O).

The 1H-NMR spectrum of compound 4b′ shows two signals at δ 1.23 and 4.13, and three multiplets at δ 8.01, 7.91, and δ 7.09, respectively, attributable to the protons CH3 and CH2 of the ethoxy group and protons’ sets (H-4 and H-4′), (H-7 and H-7′), and (H-5 and H-5′) of the benzothiazole.

Compound 4b was obtained as red powder melting at 197–199°C and crystallizing with six H2O molecules. Further supporting evidence was obtained from the elemental analysis and the HREIMS, which confirmed the molecular mass to be 1,490, with relevant ion fragments at m/z = 1,453 (M+˙ – H–2H2O), 1,428 (M+˙ – HO – C2H5O), 1,404 (M+˙ – 3H2O – S), 1,379 (M+˙ – 3H2O – CH3CON), 1,353 (M+ – H˙ – 6H2O – N2), 1,323 (M+˙ – 6H2O – CH3CONH2), 1,293 (M+˙ – HO – 4C2H5O), and 1,238 (M+˙ – 4H2O – 4C2H5O).

The 13C-NMR spectrum of compound 4b exhibited 59 carbon signals instead of 62 as required by the molecular formula. That could be explained by overlapping the signals of three methyl substituents of the ethoxy group at δ C 19.9 ppm and carbon C-2″ and C-2vi at δ C 178.3 ppm due to their magnetic and chemical equivalence. The assignment of 1H- and 13C(1H)-NMR data for compound 4b was done by comparison with the simulated values (Table 1).

Table 1

Comparison of 1H- and 13C(1H)-NMR data of 4b with the simulated values

δ H in ppm (multiplicity, J in Hz) δ C in ppm
N° (H, C) Simulated values Experimental values Simulated values Experimental values
2, 2″, 2″′, 2iv, 2v, 2vi 166.4; 166.4; 160.4; 160.4; 160.4; 160.4 178.3; 178.3; 174.5; 173.7; 173.4; 173.2
3a, 3a″, 3a″′, 3aiv, 3av, 3avi 151.1; 151.1; 151.1; 151.1; 150.9; 150.9 152.0; 152.0; 151.0; 150.1; 157.2; 156.9
4a, 4a″, 4a″′, 4aiv, 4av, 4avi 136.5; 136.1; 131.8; 131.8; 131.8; 131.8; 137.4; 137.3; 130.4; 128.7; 128.0; 127.8
4, 4″, 4″′, 4iv, 4v, 4vi 8.36 (d, 1H, J = 0.4, H-4), 7.50 (dd, 1H, J = 7.8 and 0.4, H-4″), 7.53 (dd, 1H, J = 7.7 and 0.4, H-4″′), 7.51 (dd, 1H, J = 7.8 and 0.4, H-4iv), 8.34 (d, 1H, J = 0.4, H-4v), 7.49 (dd, 1H, J = 7.8 and 0.4, H-4vi), 7.58 (s, 1H, H-4), 7.65 (d, 2H, J = 8.8, H-4″ and H-4vi), 7.91 (d, 1H, J = 9.2, H-4″′), 8.11 (d, 1H, J = 2.8, H-4iv), 7.61 (s, 1H, H-4v) 110.0; 110.0; 105.5; 105.5; 105.5; 105.5; 111.7; 111.4; 110.8; 110.2; 105.9; 109.9
5, 5″, 5″′, 5iv, 5v, 5vi 6.99 (dd, 1H, J = 7.8 and 1.4, H-5″), 7.15 (dd, 1H, J = 7.7 and 1.4, H-5″′), 7.12 (dd, 1H, J = 7.8 and 1.4, H-5iv), 6.98 (dd, 1H, J = 7.8 and 1.4, H-5vi) 7.09 (dd, 2H, J = 8.8, H-5″ and H-5vi), 7.16 (dd, 2H, J = 9.2 and 2.8, H-5″′ and H-5iv) 155.8; 155.8; 155.8; 155.8; 145.8; 145.8 163.6; 163.3; 161.8; 161.7; 161.4; 158.5
6, 6″, 6″′, 6iv, 6v, 6vi 115.5; 115.5; 115.5; 115.5; 133.6; 133.6 122.1; 121.7; 121.4; 123.5; 141.1; 140.9
7, 7″, 7″′, 7iv, 7v, 7vi 7.43 (d, 1H, J = 0.4, H-7), 7.37 (dd, 1H, J = 1.4 and 0.4, H-7″), 7.55 (dd, 1H, J = 1.4 and 0.4, H-7″′), 7.52 (dd, 1H, J = 1.4 and 0.4, H-7iv), 7.38 (d, 1H, J = 0.4, H-7v), 7.36 (dd, 1H, J = 1.4 and 0.4, H-7vi) 8.00 (s, 1H, H-7), 7.68 (d, 1H, J = 3.6, H-7″), 7.71 (d, 1H, J = 2, H-7″′), 7.15 (d, 1H, J = 2.4, H-7iv), 8.02 (s, 1H, H-7v), 7.62 (d, 1H, J = 6.4, H-7vi) 124.3; 124.3; 103.4; 103.4; 118.1; 118.1 123.9; 123.8; 120.9; 120.7; 117.2; 113.4
1′ 130.7 133.1
2′ 147.9 143.6
3′ 140.5 141.8
4′ 140.5 141.5
5′ 135.5 136.9
6′ 130.7 130.4
CO 168.7 199.1
CH 3 CO 2.15 (s, 3H) 2.52 (s, 3H) 24.0 29.0
OCH 2 CH3 4.49; 4.47; 4.34; 4.30; 4.54; 4.62 4.18; 4.16; 4.14; 4.12; 4.11; 4.10 63.7 74.9; 71.1; 70.7; 69.1; 69.0; 68.9
OCH2 CH 3 1.29; 1.29; 1.29; 1.29; 1.32; 1.31 1.58; 1.40; 1.38; 1.36; 1.35 14.7 20.0; 19.9; 19.8; 19.7
NH 10.66
OH 3.27

Based on the comparison of the full width at half maximum (FWHM) of protons H-7, H-7vi, H-7, and H-7 of compounds 4a, 4b, 4c, and 4d (1.80 kHz for 4a, 0.99 kHz for 4b, 1.31 kHz for 4c, and 0.50 kHz for 4d), respectively, it could be concluded that there is a stronger π–π stacking interaction between molecules in 4a sample than in 4c, 4b, and 4d samples. Stronger π–π stacking interaction between molecules will lead to stronger 1H–1H dipolar couplings as well as the increase of anisotropic bulk magnetic susceptibility (ABMS), both of which will lead to the broadening of aromatic proton peaks [30].

We also calculated the values of the full width at half maximum (FWHM) of protons H-7 for compounds 4a′ and 4b′. The full width at half maximum of 4a′, which is of the order of 0.89 kHz, is greater than that of 4b′, which is of the order of 0.50 kHz.

The structures of compounds 4c and 4d were assigned based on their analytical and spectral data by following similar reasoning as earlier.

3 Antimicrobial activity

Benzothiazole 1, acetaminophen 3, and azo products 4 exhibited different degrees of antibacterial activities against the tested bacteria (Table 2).

Table 2

Antimicrobial activity (MIC and MMC in µg/mL) of synthesized compounds as well as reference antimicrobial drugs

Compounds Inhibition parameters Pseudomonas aeruginosa PA01 Staphylococcus aureus 18 Escherichia coli 64R Staphylococcus aureus ATCC 25923
1a MIC 128 >256 >256 >256
MMC >256
MMC/MIC
1b MIC 64 128 64 64
MMC >256 >256 >256 >256
MMC/MIC
1c MIC 128 >256 >256 >256
MMC >256
MMC/MIC
1d MIC >256 >256 >256 >256
MMC
MMC/MIC
3 MIC >256 >256 >256 >256
MMC
MMC/MIC
4a MIC 16 32 32 16
MMC 64 128 128 64
MMC/MIC 4 4 4 4
4b MIC 8 64 32 16
MMC 32 128 128 64
MMC/MIC 4 2 4 4
4c MIC 8 64 32 32
MMC 64 >256 >256 >256
MMC/MIC 8
4d MIC 16 64 32 32
MMC >256 >256 >256 >256
MMC/MIC
4a′ MIC 4 16 8 4
MMC 32 128 64 32
MMC/MIC 8 8 8 8
4b′ MIC 16 64 32 32
MMC >256 >256 >256 >256
MMC/MIC
Ciprofloxacin MIC 32 16 16 8
MMC 64 32 16 8
MMC/MIC 2 2 1 1

—: not determined; MIC: minimum inhibitory concentration; MBC: minimum bactericidal concentration.

Compounds 1d and 3 did not show any antibacterial activity on all the tested microorganisms. Compounds 1a and 1c were active only against Pseudomonas aeruginosa PA01. Optimization of compound 1a by substitution of the benzene part of the benzothiazole ring at position 5 with a hydrophobic group (5-ethoxy-) resulted in improved antibacterial activities of compound 1b against P. aeruginosa, E. coli, and S. aureus compared with the 5-methoxy group (compound 1c) or to unsubstituted benzothiazole (compound 1a). Similar to our finding, a previous study has demonstrated that derivatives with 5-chloro, 5-propyl, 5-ethoxy, 5-bromo, and 5-trifluoromethyl groups at position 5 of the benzothiazole ring improved antibacterial activities against S. aureus, while the polar 5-OH substituent showed drastically decreased activity [31]. Benzothiazole 1b and reaction product 4 displayed antibacterial activities against all the tested bacteria. The antibacterial activities of reaction products are sometimes equal to or greater than those of ciprofloxacin used as a reference antibiotic. Overall, compound 4a′ was the most active, followed in a decreasing order by compounds 4b, 4a, 4c, 4d, 4b′, and 1b. Differences in the antibacterial activities of compounds 4 may be due to the nature of the substituents on the phenyl ring of the benzothiazole backbone. The lowest MIC value (4 μg/mL) corresponding to the greatest antibacterial activity was obtained with compound 4a′ against P. aeruginosa PA01 and Staphylococcus aureus ATCC 25923, while the lowest value of MBC (32 μg/mL) was recorded with compound 4a′ against P. aeruginosa PA01 and S. aureus ATCC 25923 as well as with compound 4b against P. aeruginosa PA01. The highest MBC value (128 μg/mL) was recorded with 4a and 4b against S. aureus 18 and Escherichia coli 64 R and with 4a′ on S. aureus 18. S. aureus 18 and E. coli 64 R were the most resistant bacteria, whereas P. aeruginosa PA01 and S. aureus ATCC 25923 were the most sensitive organisms. Compounds 1b, 4c, 4d, 4a′, and 4b′ (MBC/CMI >4) showed bacteriostatic activities on the sensitive bacteria, while compounds 4a and 4b showed bactericidal effects on all the tested bacteria. Several benzothiazole-based compounds have shown promising activities against several Gram-positive and Gram-negative bacteria and also against Mycobacterium tuberculosis [31]. It was found that their modes of antibacterial action are due to the inhibition of enzymes that are important for essential processes in the bacterial cells, such as cell wall synthesis, cell division, and DNA replication, or are important for different biosynthetic pathways of essential compounds in bacterial cells, such as the biosynthesis of histidine and biotin [32]. Therefore, we assume that the modes of antibacterial action of our compounds might be similar to those of analogous compounds already described in the literature.

4 Conclusion

This investigation proposes a useful method for the synthesis of heterocyclic azo dyes incorporating moieties of acetaminophen, which is an analgesic pharmacophore. Compounds 4 exhibited good antibacterial activity against all bacterial strains due to the presence of benzothiazole backbone and N═N group in the same molecular structural frame. A more extensive study is needed to confirm the preliminary results and to assess anti-inflammatory activity of this series of compounds.

5 Experimental

5.1 General information

Melting points were determined on a Buchii melting point apparatus. The thin layer chromatography (TLCs) was carried out on Eastman Chromatogram Silica Gel Sheets (13,181; 6,060) with fluorescent indicators. A mixture of hexane and ethyl acetate (4:6) was used as the eluent and iodine was used for the visualization of the chromatograms. The IR spectra were measured with a Fourier transform infrared spectrometer JASCO FT/IR-4100 and a Perkin Elmer FT-IR 2000 spectrometer. The UV spectra were recorded with a Beckman U-640 Spectrophotometer using samples’ solutions of concentration 5 × 10−5 mol/L. Combustion analyses were carried out with a Euro EA CHNSO analyzer from Hekatech Company, and the results were found to be in good agreement (±0.3%) with the calculated values. Positive ion electrospray mass spectra were recorded on a Waters Xevo TQD tandem quadrupole mass spectrometry system running in an MS scan mode, and 1 min of acquired spectra was combined and centroided. 1H-NMR spectra were recorded in DMSO-d 6 with a 400 MHz spectrometer RMN Bruker Advance 400. 13C-NMR spectra were recorded in DMSO-d 6 with a 100 MHz spectrometer RMN Bruker Advance 400. Tetramethylsilane (TMS) was used as the internal reference. Simulated 1H- and 13C(1H)-NMR-spectra were performed using http://www.nmrdb.org/spectral simulation software.

5.2 Preparation of the reagents and starting materials

All the reagents mentioned in this study were purchased from Aldrich and Fluka and were used without further purification.

5.3 Preparation of diazonium salt solution

In a similar manner as described earlier [20], dried sodium nitrite (0.69 g, 10 mmol) was slowly added over a period of 30 min to concentrated sulfuric acid (10 mL) with occasional stirring. The solution was cooled to 0–5°C. Compound 1 was dissolved in DMSO (10 mL) and cooled to 0–5°C. The nitrosyl sulfuric acid solution was added to the solution of 1, and the temperature was maintained between 0 and 5°C. The clear diazonium salt solution thus obtained consisting of the in situ-formed intermediate 2 was used immediately in the coupling reactions.

5.4 General procedure for the preparation of the coupling products 4a–d

Acetaminophen (1.51 g, 10 mmol) 3 was dissolved in DMSO (10 mL) and then cooled in an ice bath at 0–5°C. The previously prepared diazonium solution of 2 was added dropwise over 1 h, and then 15 mL of sodium acetate solution (10%) was added to the mixture. The pH of the mixtures ranged from 9 to 11. The solid precipitate was collected on a filter and crystallized from methanol to give the title compound.

5.4.1 N-(3-(Benzo[d]thiazol-2-yldiazenyl)-2-(benzo[d]thiazol-2-yldiazenyl)-4-hydroxyphenyl) acetamide heptahydrate (4a)

Compound 4a was obtained in 31% yield as brown powder; m.p. 262–264°C (dec); 1H-NMR (DMSO-d 6, 400 MHz): δ 8.45 (d, 1H, J = 2.4, H-7″), 8.14 (dd, 1H, J = 2.8 and 8.4, H-7), 8.05 (d, 1H, J = 8.4, H-4), 7.68 (ddd, 1H, J = 2.4, 6.8 and 9.2, H-5″), 7.65 (ddd, 1H, J = 2.4, 6.4 and 8.8, H-5), 7.61 (d, 1H, J = 7.6, H-6), 7.58 (ddd, 1H, J = 8.0, 6.4 and 1.6, H-6″), 7.54 (dd, 1H, J = 8.4 and 1.2, H-4″), 7.49 (d, 1H, J = 8.8, H-6’), 7.11 (d, 1H, J = 8.8, H-5’), 2.5 (s, 3H, COCH3); 13C-NMR (DMSO-d 6, 100 MHz): δ 175.5 (CO), 168.1 (C-2 and C-2′), 153.9 (C-4′), 152.2 (C-3a and C-3a″), 138.4 (C-2′ and C-3′), 133.8 (C-4a and C-4a″), 132.1 (C-1′), 128.6 (C-6), 127.4 (C-6″), 126.9 (C-5 and C-5″), 124.2 (C-4 and C-4″), 122.9 (C-7″), 122.0 (C-7), 118.9 (C-6′), 107.8 (C-5′), 23.8 (CH3); UV-Vis λ max (DMSO) (log ε): 221 (3.82), 267 (4.05), 322 (4.03), 340 (4.05), 376 (4.06), 384 (4.05), 413(3.98), 428 (3.94), 442 (3.91), 507 (3.68) nm; IR (KBr) ν max: 3,269 (O–H), 2,916–2,847 (Ar C–H), 1,663 (C═O), 1,528 (C═C), 1,496–1,433 (N═N), 1,312 (C–S), 1,239 (C–O), 881–645 (Ar def C═N str thiazole) cm−1; ms: (ESI+) m/z (%) 581 (2), 508 (2), 507 (14), 447(80), 449 (53), 342 (75), 309 (82), 281 (75), 147 (45), 133 (100), 98 (3); anal. calcd for C22H27N7O8S2: C, 45.43; H, 4.68; N, 16.86; S, 11.02. Found: C, 45.39; H, 4.68; N, 16.87; S, 11.03. Rf = 0.54.

5.4.2 1,2-Bis(benzo[d]thiazol-2-yl)diazene trihydrate (4a′)

Compound 4a′ was obtained in 11% as dark red powder; m.p. ≥360°C (dec) {Lit. m.p. 295°C, [24]}; 1H-NMR (DMSO-d 6, 400 MHz): δ 8.15 (d, 2H, J = 2.4, H-7 and H-7′), 7.62 (ddd, 2H, J = 8.8, 7.8 and 1.6, H-4 and H-4′), 7.55 (ddd, 2H, J = 7.8, 8.8 and 1.6, H-6 and H-6′), 7.66 (d, 2H, J = 2.4, H-5 and H-5′); 13C-NMR (DMSO-d 6, 100 MHz): δ 198.6 (C-2 and C-2′), 153.9 (C-4a and C-4a′), 132.1 (C-3a and C-3a′), 124.5 (C-5 and C-5’), 120.7 (C-6 and C-6′), 118.9 (C-7 and C-7′); 105.4 (C-4 and C-4′); UV-Vis λ max (DMSO) (log ε): 219 (3.83), 229 (3.82), 266 (4.01), 284 (3.97), 315 (4.02), 321 (4.02), 344 (4.07), 356 (4.09), 467 (3.78), 492 (3.72) nm; IR (KBr) ν max: 3,273 (O–H), 1,661 (C═N), 1,532 (C═C), 1,498–1,419 (N═N), 888–610 (Ar def C═N str thiazole) cm−1; ms: (ESI+) m/z (%) 349 (8), 335 (3), 291 (13), 299 (6), 233 (34), 175 (41), 116 (61), 73 (74), 57 (100); anal. calcd for C14H14N4O3S2: C, 47.99; H, 4.03; N, 15.99; S, 18.30. Found: C, 47.97; H, 3.99; N, 15.97; S, 18.32. Rf = 0.69.

5.4.3 N-(2-(6-Ethoxy-5-((6-ethoxybenzo[d]thiazol-2-yl)diazenyl)benzo[d]thiazol-2-yl)diazenyl)-3-((6-ethoxy-5-((6-ethoxybenzo[d]thiazol-2-yl)diazenyl)benzo[d]thiazol-2-yl)diazenyl)-5,6-bis((6-ethoxybenzo[d]thiazol-2-yl)diazenyl)-4-hydroxyphenyl)acetamide hexahydrate (4b)

Compound 4b was obtained in 47% yield as red powder; m.p. 197–199°C (dec); 1H-NMR (DMSO-d 6, 400 MHz): δ 8.11 (d, 1H, J = 2.8, H-4iv), 8.00 (s, 1H, H-7), 8.02 (s, 1H, H-7v), 7.91 (d, 1H, J = 9.2, H-4″′), 7.71 (d, 1H, J = 2.0, H-7″′), 7.68 (d, 1H, J = 3.6, H-7″), 7.65 (d, 2H, J = 8.8, H-4″ and H-4vi), 7.62 (d, 1H, J = 6.4, H-7vi), 7.61 (s, 1H, H-4v), 7.58 (s, 1H, H-4), 7.16 (dd, 2H, J = 9.2 and 2.8, H-5″′ and H-5iv), 7.15 (d, 1H, J = 2.4, H-7iv), 7.09 (d, 2H, J = 8.8, H-5″ and H-5vi), 4.18, 4.16, 4.14, 4.12, 4.11, 4.10, 4.08 (OCH 2 CH3); 1.58, 1.40, 1.38, 1.36, 1.35 (OCH2 CH 3 ); 2.05 (s, 3H, COCH3); 13C-NMR (DMSO-d 6, 100 MHz): δ (see Table 1); UV-Vis λ max (DMSO) (log ε): 211 (4.45), 214 (4.47), 229 (4.51), 238 (4.51), 258 (4.53), 2.69 (4.65), 279 (4.57), 309 (4.54), 364 (4.58), 378 (4.56), 416 (4.62) nm; IR (KBr) ν max: 3,281 (O–H), 2,980–2,933 (ArC–H), 1,657 (C═O), 1,599 (C═N), 1,556 (C═C), 1,488–1,456 (N═N), 1,263 (C–S), 1,211 (C–O), 899–519 (Ar def C═N str thiazole) cm−1; ms: (ESI+) m/z (%) 1,492 (9), 1,453 (9), 1,428 (17), 1,404 (17), 1,379 (15), 1,353 (18), 1,323 (16), 1,293 (11), 1,238 (17), 955 (32), 728 (69), 659 (71), 549 (72), 486 (52); anal. calcd for C62H63N19O14S6: C, 49.96; H, 4.26; N, 17.85; S, 12.90. Found: C, 49.98; H, 4.28; N, 17.81; S, 12.88. Rf = 0.39.

5.4.4 2,2′-Diazene-1,2-diylbis(5-ethoxy-1,3-benzothiazole) monohydrate (4b′)

Compound 4b′ was obtained in 13% yield as a brown powder; m.p. 182–184°C (dec); 1H-NMR (DMSO-d 6, 400 MHz): δ 8.01 (d, 2H, J = 9.0, H-4 and H-4′), 7.91 (m, 2H, H-7 and H-7′), 7.09 (d, 2H, J = 8.8, H-5 and H-5′), 4.13 (s, 2H, CH 2 CH3), 1.23 (s, 3H, CH2 CH 3 ); 13C-NMR (DMSO-d 6, 100 MHz): δ 198.6 (C-2 and C-2′), 149.9 (C-6 and C-6′), 136.1 (C-3a and C-3a′), 125.2 (C-4a and C-4a′), 122.8 (C-4 and C-4′), 118.2 (C-5 and C-5′), 105.4 (C-7 and C-7′), 63.9 (CH 2 CH3), 14.6 (CH2 CH 3 ); UV-Vis: λ max (DMSO) (log ε): 216 (3.90), 258 (4.01), 271 (4.22), 279 (4.10), 291 (4.04), 314 (4.19), 322 (4.21), 332 (4.16), 352 (4.19), 359 (4.19), 384 (4.03), 429 (4.01) nm; IR (KBr) ν max 3,275 (N–H), 2,979–2,936 (ArC–H), 1,661 (C═N), 1,599 (C═C), 1,488–1,457 (N═N), 1,263 (C–S), 1,228 (C–O), 900–561 (Ar def C═N str thiazole) cm−1; ms: (ESI+) m/z (%) 599 (33), 583 (2), 569 (2), 549 (2), 535 (3), 477 (3), 410 (18), 400 (13), 380 (22), 357 (28), 343 (22), 316 (70), 201 (70); anal. calcd for C18H22N4O11S4: C, 36.12; H, 3.70; N, 9.36; S, 21.42. Found: C, 36.09; H, 3.69; N, 9.34; S, 21.39. Rf = 0.378.

5.4.5 N-(4-Hydroxy-3-((6-methoxybenzo[d]thiazol-2-yl)diazenyl)phenyl)acetamide hexahydrate (4c)

Compound 4c was obtained in 51% yield as brown powder; m.p. 197–199°C (dec); 1H-NMR (DMSO-d 6, 400 MHz): δ 8.11 (d, 1H, J = 2.0, H-2′), 8.02 (d, 1H, J = 9.0, H-4), 7.70 (d, 1H, J = 2.4, H-7), 7.63 (dd, 1H, J = 8.8 and 2.4, H-6′), 7.18 (dd, 1H, J = 8.8 and 2.4, H-5), 7.09 (d, 1H, J = 8.8, H-5′), 3.89 (s, 3H, OCH3), 2.04 (s, 3H, COCH3); 13C-NMR (DMSO-d 6, 100 MHz): δ 173.1 (CO), 168.1 (C-2), 159.1 (C-6), 153.3 (C-3a), 146.8 (C-4′), 138.4 (C-1′), 135.8 (C-3′), 132.0 (C-4a), 127.9 (C-4), 125.1 (C-6′), 118.7 (C-5′), 116.6 (C-5), 108.0 (C-2′), 105.1 (C-7), 55.8 (OCH3), 23.8 (COCH 3 ); UV-Vis λ max (DMSO) (log ε): 227 (4.06), 257 (4.12), 272 (4.26), 290 (4.09), 295 (4.08), 302 (4.12), 325 (4.19), 348 (4.18), 355 (4.19), 399 (4.23), 445 (4.25), 486 (4.22) nm; IR (KBr) ν max: 3,282 (O–H and N–H), 2,941–2,834 (ArC–H), 1,658 (C═O), 1,598 (C═N), 1,555 (C═C), 1,482–1,434 (N═N), 1,264 (C–S), 1,228 (C–O), 910–510 (Ar def C═N str thiazole) cm−1; ms: (ESI+) m/z (%) 448 (11), 429 (11), 409 (42), 385 (10), 316 (100), 300 (22), 281 (19), 216 (70), 202 (14), 192 (21), 150 (70); anal. calcd for C16H26N4O9S: C, 42.66; H, 5.82; N, 12.44; S, 7.12. Found: C, 42.63; H, 5.80; N, 12.41; S, 7.10. Rf = 0.30.

5.4.6 N-(3-((6-Chlorobenzo[d]thiazol-2-yl)diazenyl)-4-hydroxyphenyl)acetamide sulfate (4d)

Compound 4d was obtained in 61% yield as brown powder; m.p. 206–208°C (dec); 1H-NMR (DMSO-d 6, 400 MHz): δ 8.20 (d, 1H, J = 2.8, H-4), 8.11 (d, 1H, J = 8.0, H-7), 7.74 (s, 1H, NH), 7.70 (m, 1H, H-8), 7.67 (m, 1H, H-6), 7.65 (s, 1H, OH), 7.55 (d, 1H, J = 8.0, H-4′), 7.51 (m, 1H, H-3′); 13C-NMR (DMSO-d 6, 100 MHz): δ 198.8 (CO), 168.3 (C-2), 154.3 (C-2′), 150.5 (C-3a), 138.6 (C-4a), 135.7 (C-5′), 131.9 (C-1′), 127.0 (C-5), 126.7 (C-6), 122.1 (C-4 and C-7), 107.7 (C-4′), 105.3 (C-3′), 84.6 (C-6′), 24.0 (COCH 3 ); UV-Vis: λ max (DMSO) (log ε): 216 (3.45), 233 (3.48), 267 (3.75), 287 (3.87), 297 (3.91), 309 (3.93), 343 (3.91), 373 (3.88), 390 (3.81), 402 (3.74), 504 (3.28), 529 (3.15), 557 (2.89) nm; IR (KBr) ν max: 3,292 (O–H), 1,664 (C═O), 1,585 (C═N), 1,525 (C═C), 1,496–1,405 (N═N), 1,256 (C–S), 1,206 (C–O), 882–507 (Ar def C═N str thiazole) cm−1; ms: (ESI+) m/z (%) 442 (1), 425 (1), 409 (8), 381(1), 357 (2), 353 (4), 316 (70), 304 (10), 289 (5), 202 (30), 174 (22), 148 (41); anal. calcd for C15H13ClN4O6S2: C, 40.50; H, 2.95; Cl, 7.97; N, 12.59; S, 14.41. Found: C, 40.52; H, 2.93; N, 12.58; S, 14.38. Rf = 0.73.

6 Biological assay

6.1 Antimicrobial evaluation

6.1.1 Tested microorganisms

The antimicrobial activity was performed against four bacterial and three fungal species. The selected microorganisms were two Gram-positive S. aureus ATCC 25923 and S. aureus 18 and two Gram-negative P. aeruginosa PA01 and E. coli 64R. These microorganisms were taken from our laboratory collection. The bacterial species were grown at 37°C and maintained on a nutrient agar (NA, Conda) slant.

6.1.2 Determination of minimum inhibitory concentration (MIC) and minimum bactericidal concentration (MBC)

The antibacterial activity was performed by determining the MICs and MBCs as previously described [33]. MICs of synthesized compounds were determined by broth micro dilution. Each test sample was dissolved in dimethylsulfoxide (DMSO) to give a stock solution. This was serially diluted twofold in Mueller-Hinton broth (MHB) to obtain a concentration range of 512–0.25 μg/mL. Then, 100 µL of each sample concentration was added to respective wells (96-well micro plate) containing 90 µL of MHB and 10 µL of inoculums to give final concentration ranges of 256 to 0.125 μg/mL. The final concentration of microbial suspensions was 106 CFU/mL for bacteria. Dilution of ciprofloxacin (Sigma-Aldrich, Steinheim, Germany) was used as a positive control. Broth with 10 µL of DMSO was used as a negative control. The MIC values of samples were determined by adding 50 μL of a 0.2 mg/mL p-iodonitrotetrazolium violet solution followed by incubation at 37°C for 30 min. Viable microorganisms reduced the yellow dye to pink color. MIC values were defined as the lowest sample concentrations that prevented this change in color, indicating a complete inhibition of bacterial growth [33]. For the determination of MMC values, a portion of liquid (5 μL) from each well that showed no growth of microorganism was plated on Mueller-Hinton agar and incubated at 37°C for 24 h. The lowest concentrations that yielded no growth after this subculturing were taken as the MBC values [33]. All the tests were performed in triplicate.

Acknowledgments

J.T. is grateful to Gilbert Kirsch and Véronique Vaillant for running the NMR spectra.

  1. Funding information: The authors state no funding involved.

  2. Conflict of interest: The authors state no conflict of interest.

  3. Data availability statement: The datasets generated during and/or analyzed during the current study are available from the corresponding author on reasonable request.

References

[1] Abbott FV, Fraser MI. Use and abuse of over-the-counter analgesic agents. J Psychiatry Neurosci. 1998;23(lI):13–34.Suche in Google Scholar

[2] Straube A, Aicher B, Fiebich BL, Haag G. Combined analgesics in (headache) pain therapy: shotgun approach or precise multi-target therapeutics? BMC Neurol. 2011;11(43):1–15.10.1186/1471-2377-11-43Suche in Google Scholar

[3] Anderson BJ. Paracetamol (Acetaminophen): mechanisms of action. Paediatr Anaesth. 2008;18:915–21.10.1111/j.1460-9592.2008.02764.xSuche in Google Scholar

[4] Amornyotin S. Sedative and analgesic drugs for gastrointestinal endoscopic procedure. J Gastroenterol Hepatol Res. 2014;3(7):1133–44.Suche in Google Scholar

[5] Sinha M, Gautam L, Shukla PK, Kaur P, Sharma S, Singh TP. Current perspectives in NSAID-induced gastropathy. Mediators Inflamm. 2013;2013:258209. 11 pages.10.1155/2013/258209Suche in Google Scholar

[6] Bannwarth B. Gastrointestinal safety of paracetamol: is there any cause for concern? Opin Drug Saf. 2004;3(4):269–72.10.1517/14740338.3.4.269Suche in Google Scholar

[7] Yoon E, Babar A, Choudhary M, Kutner M, Pyrsopoulos N. Acetaminophen-induced hepatotoxicity: a comprehensive update. J Clin Transl Hepatol. 2016;4:131–42.10.14218/JCTH.2015.00052Suche in Google Scholar

[8] Fontana RJ. Acute liver failure including acetaminophen overdose. Med Clin N Am. 2008;92:761–94.10.1016/j.mcna.2008.03.005Suche in Google Scholar

[9] Ugwu DI, Okoro UC, Ukoha PO, Gupta A, Okafor SN. Novel anti-inflammatory and analgesic agents: synthesis, molecular docking and in vivo studies. J Enzyme Inhib Med Chem. 2018;33(1):405–15.10.1080/14756366.2018.1426573Suche in Google Scholar

[10] Kamal A, Syed MAH, Mohammed SM. Therapeutic potential of benzothiazoles: a patent review (2010–2014). Expert Opin Ther Pat. 2014;25(3):1–15.10.1517/13543776.2014.999764Suche in Google Scholar

[11] Sharma PC, Sinhmar A, Sharma A, Rajak H, Pathak DP. Medicinal significance of benzothiazole scaffold: an insight view. J Enzyme Inhib Med Chem. 2013;28(2):240–66.10.3109/14756366.2012.720572Suche in Google Scholar

[12] Gaffer HE, Fouda MMG, Khalifa ME. Synthesis of some novel 2-amino-5-arylazothiazole disperse dyes for dyeing polyester fabrics and their antimicrobial activity. Molecules. 2016;21:122–31.10.3390/molecules21010122Suche in Google Scholar

[13] Beuchet P, Varache-Lembège M, Neveu A, Léger JM, Vercauteren J, Larrouture S, et al. New 2-sulfonamidothiazoles substituted at C-4: synthesis of polyoxygenated aryl derivatives and in vitro evaluation of antifungal activity. Eur J Med Chem. 1999;34:773–9.10.1016/S0223-5234(99)00215-9Suche in Google Scholar

[14] Kakade KP. Complex of 2-Amino acetate-6-fluoro benzothiazole with some metal ion, its effect on germination of wheat plant. J Chem Pharm Res. 2013;5(2):299–304.Suche in Google Scholar

[15] Gong Z, Peng Y, Qiu J, Cao A, Wang G, Peng Z. Synthesis, in vitro-glucosidase inhibitory activity and molecular docking studies of novel benzothiazole-triazole derivatives. Molecules. 2017;22(1):1555.10.3390/molecules22091555Suche in Google Scholar PubMed PubMed Central

[16] Djeukoua DKS, Sopbue FE, Tamokou J-D-D, Tsemeugne J, Simon PFW, Tsopmo A, et al. Synthesis, characterization, antimicrobial activities and electrochemical behavior of new phenolic azo dyes from two thienocoumarin amines. Arkivoc. 2019;Part VI:416–30.10.24820/ark.5550190.p010.994Suche in Google Scholar

[17] Tamokou J-D-D, Tsemeugne J, Sopbué FE, Sarkar P, Kuiate J-R, Djintchui AN, et al. Antibacterial and cytotoxic activities and SAR of some azo compounds containing thiophene backbone. Pharmacologia. 2016;7(4):182–92.10.5567/pharmacologia.2016.182.192Suche in Google Scholar

[18] Sopbué FE, Tsemeugne J, Tamokou J-D-D, Djintchui AN, Kuiaté J-R, Sondengam BL. Synthesis and antimicrobial activities of some novel thiophene containing azo compounds. Heterocycl Commun. 2013;19:253–9.10.1515/hc-2013-0096Suche in Google Scholar

[19] Tsemeugne J, Sopbué FE, Tamokou J-D-D, Tonle I, Kengne CI, Djintchui NA, et al. Electrochemical behavior and in-vitro antimicrobial screening of some thienylazoaryls dyes. Chem Cent J. 2017;11(11):119.10.1186/s13065-017-0345-6Suche in Google Scholar PubMed PubMed Central

[20] Tsemeugne J, Sopbué FE, Tamokou J-D-D, Rohand T, Djintchui AN, Kuiate J-R, et al. Synthesis, characterization, and antimicrobial activity of a novel trisazo dye from 3-amino-4H-thieno[3,4-c][1]benzopyran-4-one. Int J Med Chem. 2018;2018:9197821. 8 pages.10.1155/2018/9197821Suche in Google Scholar PubMed PubMed Central

[21] Rufchahi EOM, Yousefi H, Mohammadinia M. Synthesis and spectral properties of some azo disperse dyes containing a benzothiazole moiety. J Mol Liq. 2013;188:173–7.10.1016/j.molliq.2013.08.021Suche in Google Scholar

[22] Maliyappa MR, Keshavayya J, Mahanthappa M, Shivaraj Y, Basavarajappa KV. 6-Substituted benzothiazole base dispersed azo dyes having pyrazole moiety: Synthesis, characterization, electrochemical and DFT studies. J Mol Struct. 2020;1199:126959.10.1016/j.molstruc.2019.126959Suche in Google Scholar

[23] Tupys A, Kalembkiewicz J, Ostapiuk Y, Matiichuk V, Tymoshuk O, Nicka EW, et al. Synthesis, structural characterization and thermal studies of a novel reagent 1-[(5-benzyl-1,3-thiazol-2-yl)diazenyl]naphthalene-2-ol. J Therm Anal Calorim. 2017;127:2233–42.10.1007/s10973-016-5784-0Suche in Google Scholar

[24] Kirk W, Johnson JR, Blomquist AT. Spectroscopic studies of keto–enol tautomeric equilibrium of azo dyes. Org Chem. 1943;3:557.10.1021/jo01194a011Suche in Google Scholar

[25] Bhargava PN, Baliga BT. Studies on 2-aminobenzothiazoles. J Indian Chem Soc. 1958;35:807–10.Suche in Google Scholar

[26] Zhao C, Han Y-Z, Dai S, Chen X, Yan J, Zhang W, et al. Microporous cyclic titanium-oxo clusters with labile surface ligands. Angew Chem Int Ed. 2017;56(51):16252–6.10.1002/anie.201709096Suche in Google Scholar PubMed

[27] Eslava S, Papageorgiou AC, Beaumont SK, Kyriakou G, Wright DS, Lambert RM. Synthesis, characterization, and surface tethering of sulfide-functionalized Ti16-oxo-alkoxy cages. Chem Mater. 2010;22(18):5174–8.10.1021/cm101039kSuche in Google Scholar

[28] Doyle MP, Dellaria JF, Siegfried B Jr, Bishop SW. Reductive deamination of arylamines by alkyl nitrites in N,N-dimethylformamide. A direct conversion of arylamines to aromatic hydrocarbons. J Org Chem. 1977;42(34):3494–8.10.1021/jo00442a009Suche in Google Scholar

[29] Kornblum N. Organic Reactions. New York: John Wiley and Sons Inc; 1944.Suche in Google Scholar

[30] Huang J, Ren H, Zhang R, Lidong W, Zhai Y, Meng Q, et al. Supramolecular self-assembly of perylene bisimide based rigid giant tetrahedra. ACS Nano. 2020;14(7):8266–75. 10.1021/acsnano.0c01971.Suche in Google Scholar PubMed

[31] Haydon DJ, Benett JM, Brown D, Collins D, Galbraith G, Lancett P, et al. Creating an antibacterial with in vivo efficacy: synthesis and characterization of potent inhibitors of the bacterial cell division protein FtsZ with improved pharmaceutical properties. J Med Chem. 2010;53:3927–36.10.1021/jm9016366Suche in Google Scholar PubMed PubMed Central

[32] Gjorgjieva M, Tomašič T, Kikelj D, Mašič LP. Benzothiazole-based compounds in antibacterial drug discovery. Curr Med Chem. 2018;25:1–19.10.2174/0929867324666171009103327Suche in Google Scholar PubMed

[33] Nyaa TBL, Tapondjou AL, Barboni L, Tamokou J-D-D, Kuiate J-R, Tane P, et al. NMR assignment and antimicrobial/antioxidant activities of 1-hydroxyeuscaphic acid from the seeds of Butyrospermum parkii. Nat Prod Sci. 2009;15:76–82.Suche in Google Scholar

Received: 2021-04-08
Revised: 2021-08-12
Accepted: 2021-08-18
Published Online: 2021-10-01

© 2021 Joseph Tsemeugne et al., published by De Gruyter

This work is licensed under the Creative Commons Attribution 4.0 International License.

Artikel in diesem Heft

  1. Research Articles
  2. Molecular, Electronic, Nonlinear Optical and Spectroscopic Analysis of Heterocyclic 3-Substituted-4-(3-methyl-2-thienylmethyleneamino)-4,5-dihydro-1H-1,2,4-triazol-5-ones: Experiment and DFT Calculations
  3. Lewis acid / Base-free Strategy for the Synthesis of 2-Arylthio and Selenyl Benzothiazole / Thiazole and Imidazole
  4. Synergistic promoting effect of ball milling and Fe(ii) catalysis for cross-dehydrogenative-coupling of 1,4-benzoxazinones with indoles
  5. Magnetic nanoparticle-supported sulfonic acid as a green catalyst for the one-pot synthesis of 2,4,5-trisubstituted imidazoles and 1,2,4,5-tetrasubstituted imidazoles under solvent-free conditions
  6. Synthesis, characteristic fragmentation patterns, and antibacterial activity of new azo compounds from the coupling reaction of diazobenzothiazole ions and acetaminophen
  7. Para toluenesulfonic acid-catalyzed one-pot, three-component synthesis of benzo[5,6]chromeno[3,2-c]quinoline compounds in aqueous medium
  8. Design and microwave-assisted synthesis of a novel Mannich base and conazole derivatives and their biological assessment
  9. Quantum chemical studies on structural, spectroscopic, nonlinear optical, and thermodynamic properties of the 1,2,4-triazole compound
  10. Design, synthesis, and biological evaluation of phenyl-isoxazole-carboxamide derivatives as anticancer agents
  11. Quantum chemistry study on the promoted reactivity of substituted cyclooctynes in bioorthogonal cycloaddition reactions
  12. Quantum chemical calculations of phenazine-based organic dyes in dye-sensitized solar cells
  13. Rapid Communications
  14. One-pot synthesis of benzofurans via heteroannulation of benzoquinones
  15. Design and development of novel thiazole-sulfonamide derivatives as a protective agent against diabetic cataract in Wistar rats via inhibition of aldose reductase
  16. Review Articles
  17. Organic electrochemistry: Synthesis and functionalization of β-lactams in the twenty-first century
  18. Some applications of deep eutectic solvents in alkylation of heterocyclic compounds: A review of the past 10 years
Heruntergeladen am 10.11.2025 von https://www.degruyterbrill.com/document/doi/10.1515/hc-2020-0127/html
Button zum nach oben scrollen