Home Physical Sciences Deposition behavior of TiB2 by microwave heating chemical vapor deposition (CVD)
Article Open Access

Deposition behavior of TiB2 by microwave heating chemical vapor deposition (CVD)

  • Shuaidan Lu

    Shuaidan Lu is a PhD student at Northeastern University, China. His primary research interests include microwave energy application, metallurgy and material preparation technology. He currently carries out research on the preparation of TiB2 by microwave heating chemical vapor deposition.

    , Shuchen Sun

    Shuchen Sun is an Associate Professor and a Master’s supervisor at Northeastern University. His research interests include the metallurgy and application of rare earth, the preparation and application of borides, and bulk metallic glass.

    EMAIL logo
    , Xiaoxiao Huang

    Xiaoxiao Huang is a PhD student at Northeastern University, China. He currently carries out research on the preparation of TiB2 by chemical vapor deposition method (CVD), arc furnace carbon thermal reduction and self-propagating high-temperature synthesis (SHS).

    , Ganfeng Tu

    Ganfeng Tu is a PhD supervisor at Northeastern University, and mainly engages in the metallurgy and application of rare earth, the preparation and application of borides, and the comprehensive utilization of metallurgical resources.

    , Xiaoping Zhu

    Xiaoping Zhu is a PhD student at Northeastern University, China. His primary research interests include the metallurgy processing of rare earth, the electrolysis processes of preparing rare earth metal and alloys.

    and Kuanhe Li

    Kuanhe Li is a Master student at Northeastern University, China. His main research subject is the preparation of TiB2 by chemical vapor deposition method (CVD).

Published/Copyright: May 20, 2015
Become an author with De Gruyter Brill

Abstract

Microwave heating chemical vapor deposition (CVD) is used to deposit titanium diboride (TiB2) films on graphite substrate using a gas mixture of TiCl4, BCl3, H2 and Ar. The influences of microwave power and the growth rate of TiB2 are studied by using X-ray diffraction, field emission scanning electron microscopy (FESEM) and energy dispersive spectrometer (EDS). In the range of experimental conditions, the TiB2 film’s micro-hardness evaluated by using a computer controlled micro-hardness tester increases with increasing deposition temperature and microwave power. The grain size and the growth rate of TiB2 film are also improved with increasing microwave power at a fixed gas flow ratio of TiCl4 and BCl3, and the bulk TiB2 is obtained at a higher hardness.

1 Introduction

Titanium diboride (TiB2) has a number of superior performances, such as a high hardness, high melting point, excellent anticorrosive characteristics, low bulk resistivity and good wear resistance. These excellent performances make TiB2 a promising candidate for extensive applications in aerospace facilities, military field, industrial production and our daily life [1].

At the same time, there is increasing interest in the green process of preparing materials on account of the environmental protection needs as well as the demand of industrial development [2–4]. As a green process, microwave energy supply method can selectively transfer the required energy to the reaction molecules or atoms by the means of dialectic loss of the material themselves. Jones, Lelyveld, Mavrofidis, Kingman and Miles [5] concluded that microwave heating offers a number of advantages over conventional heating such as: non-contact heating, energy transfer, no heat transfer, rapid heating, material selective heating, volumetric heating, quick start-up and stopping, heating starting from the interior of the material body, higher level of safety and automation, and no waste gas. Thus, a lot of research has been conducted in the fields of pre-treatment [6, 7], drying [8, 9], roasting [10, 11], reduction [12] and the leaching strengthening of the processes by microwave energy [13, 14].

In this paper, the microwave heating chemical vapor deposition (CVD) process of TiB2 according to eq. (1) will be described:

(1)TiCl4+2BCl3+5H2=TiB2+10HCl (1)

The microwave heats the graphite substrate locally which induces a surface reaction. Results of the growth rate as a function of the temperature and the microwave power will be presented. As will be shown, under the fixed gas flow ratio of TiCl4 and BCl3, the deposition temperature and vacuum degree, that the growth rates and the morphologies depend to a large extent on the microwave power. The deposition processes using different microwave powers were performed on graphite substrate under the same conditions of temperature, reagent concentration and vacuum, while X-ray diffraction (XRD) and microstructure will be presented.

2 Materials and methods

The equipment is self-made and its schematic diagram is shown in Figure 1. It is composed of a gas supply system, a microwave heating system, a temperature control system, a vacuum system and a tail gas treatment device. TiB2 films are deposited on a high purity graphite substrate by microwave heating CVD using a gas mixture of TiCl4, BCl3, H2 and Ar. Ar is used as the carrier gas for the TiCl4. The gas lines are heated with heating tape to avoid the condensation of the reagent gases on the way. The gases are mixed in a gas distributor by passing multistage baffles, and then piped into the vacuum chamber through a gas distributor. A microwave with a 2.45 GHz frequency is generated by magnetron and radiates out into the vacuum chamber through a waveguide tube. The graphite substrate is heated by the microwave radiation and the temperature is measured by the thermocouple. Off-gases are removed through a suction arrangement full with metal filing.

Figure 1: Schematic diagram of the microwave heating CVD system.
Figure 1:

Schematic diagram of the microwave heating CVD system.

The base pressure is <5×10-6 mTorr, while the deposition is carried out at 70 mTorr. The deposition temperature and microwave power range from 800 to 1000°C and from 800 to 1500 W, respectively. Table 1 summarizes the deposition conditions.

Table 1

Deposition conditions of TiB2 films by microwave heating CVD.

SubstrateGraphite
Deposition temperature800°C, 900°C, 1000°C
Vacuum degree70 mTorr
Flow rate of TiCl41–4 sccm
Flow rate of BCl33–10 sccm
Flow rate of H20.3 m3/h
Flow rate of Ar0.3 m3/h
Microwave power800–1500 W

The TiB2 films are characterized using X-ray diffraction (XRD) (X′ Pert Pro, PANalytical Corporation). Moreover, the microstructures are analyzed by field emission scanning electron microscopy (FESEM) and EDS (Ultra Plus, Zeiss Company). The micro-hardness is evaluated from the loading/unloading curves measured using a computer controlled micro-hardness tester (Fischerscope H100).

3 Results and discussion

As shown in Figure 2, under the fixed conditions of vacuum degree, temperature and boron-hydrogen-chlorine ratio, the TiB2 films deposited at different microwave power have different XRD patterns. The comparison of width values at half maximum of the diffraction peaks for all the crystallized films indicates that the smaller grain size comes from the film deposited at lower microwave power. Figure 3A–D display the micrographs of the TiB2 films deposited at different microwave powers. As shown in Figure 3A–D, the grain size of the TiB2 film deposited at low microwave power is 0.5–1 μm, while the high power gets a size of 1–2 μm.

Figure 2: XRD patterns of TiB2 films deposited at 800 and 1500 W of power (70 mTorr, 900°C and TiCl4/BCl3=1/2).
Figure 2:

XRD patterns of TiB2 films deposited at 800 and 1500 W of power (70 mTorr, 900°C and TiCl4/BCl3=1/2).

Figure 3: SEM micrographs of TiB2 films. (A, B) and (C, D) are the microstructure of TiB2 films deposited at 800 and 1500 W of power, respectively.
Figure 3:

SEM micrographs of TiB2 films. (A, B) and (C, D) are the microstructure of TiB2 films deposited at 800 and 1500 W of power, respectively.

Figure 3A and B displays that the film deposited at 800 W of power has a (surface) morphology of granular structure with uneven grain sizes and most of these grains are about 0.5 μm in size, which is probably caused by insufficient energy supplied for the deposition reaction. Meanwhile, Figure 3C and D shows that the film deposited at 1500 W of power has a (surface) morphology of granular structure with uniform grain sizes of about 1 μm. It is related closely to the nucleation and crystal growth of TiB2, which is improved with the increasing of microwave power.

The SEM micrographs and EDS results of deposited films at 800 W and 1500 W of microwave power are shown in Figures 4 and 5, respectively. As shown in Figures 4 and 5, the thickness of the film deposited at 800 W for 1 h has reached 15 μm, while the film deposited at 1500 W has achieved 22 μm thickness, which revealed that the growth rate is improved with the microwave power. The X-ray EDS mappings show that the boron and titanium in deposited films have the same location. The EDS patterns shown in Figure 4 and the results of spot 1 in Table 2 provide evidence of an excess of boron (B) in the film deposited at a low microwave power. As the microwave power is increased, the B/Ti ratio of spot 2 shown in Table 2 approached the stoichiometric value of 2. Boron rich TiBx (XN2) films are deposited at a low microwave power, because insufficient energy was supplied for the reaction. The enhanced ion density and ion mobility at high microwave power produced stoichiometric TiB2 films.

Figure 4: SEM micrograph and the EDS results of TiB2 film (70 mTorr, 900°C, TiCl4/BCl3=1/2, 800 W, 1 h).
Figure 4:

SEM micrograph and the EDS results of TiB2 film (70 mTorr, 900°C, TiCl4/BCl3=1/2, 800 W, 1 h).

Figure 5: SEM micrograph and the EDS results of TiB2 film (70 mTorr, 900°C, TiCl4/BCl3=1/2, 1500 W, 1 h).
Figure 5:

SEM micrograph and the EDS results of TiB2 film (70 mTorr, 900°C, TiCl4/BCl3=1/2, 1500 W, 1 h).

Table 2

The EDS analysis results of different regions of samples in Figures 4 and 5.

Spot no.Elementwt.%at.%B/Ti atom ratio
1B38.9073.532.78
Ti61.1026.47
2B325567.802.11
Ti67.4532.20

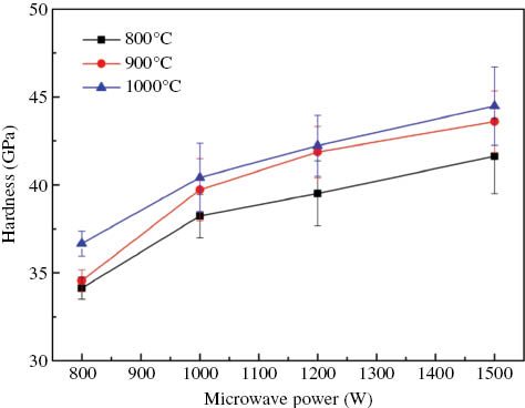
Figure 6 shows that the micro-hardness of the TiB2 films increases with increasing deposition temperature and microwave power in the range of the experimental conditions. The highest hardness is obtained for the bulk TiB2 because of a strong bonding between graphitic B-layers along the c-axis [15, 16].

Figure 6: Hardness of TiB2 films deposited at the various microwave power (70 mTorr, TiCl4/BCl3=1/2, 1 h).
Figure 6:

Hardness of TiB2 films deposited at the various microwave power (70 mTorr, TiCl4/BCl3=1/2, 1 h).

4 Conclusion

TiB2 films with superior mechanical properties could be prepared using microwave heating CVD. The film hardness was determined by the deposition temperature, the microwave power and the gas flow ratio of TiCl4/BCl3. With a fixed TiCl4/BCl3 gas flow ratio, the grain size and the growth rate of TiB2 films are improved with increasing microwave power, and the bulk TiB2 has the highest hardness.


Corresponding author: Shuchen Sun, School of Materials and Metallurgy, Northeastern University, Shenyang, Liaoning 110819, China, e-mail:

About the authors

Shuaidan Lu

Shuaidan Lu is a PhD student at Northeastern University, China. His primary research interests include microwave energy application, metallurgy and material preparation technology. He currently carries out research on the preparation of TiB2 by microwave heating chemical vapor deposition.

Shuchen Sun

Shuchen Sun is an Associate Professor and a Master’s supervisor at Northeastern University. His research interests include the metallurgy and application of rare earth, the preparation and application of borides, and bulk metallic glass.

Xiaoxiao Huang

Xiaoxiao Huang is a PhD student at Northeastern University, China. He currently carries out research on the preparation of TiB2 by chemical vapor deposition method (CVD), arc furnace carbon thermal reduction and self-propagating high-temperature synthesis (SHS).

Ganfeng Tu

Ganfeng Tu is a PhD supervisor at Northeastern University, and mainly engages in the metallurgy and application of rare earth, the preparation and application of borides, and the comprehensive utilization of metallurgical resources.

Xiaoping Zhu

Xiaoping Zhu is a PhD student at Northeastern University, China. His primary research interests include the metallurgy processing of rare earth, the electrolysis processes of preparing rare earth metal and alloys.

Kuanhe Li

Kuanhe Li is a Master student at Northeastern University, China. His main research subject is the preparation of TiB2 by chemical vapor deposition method (CVD).

References

[1] Elders J, Voorst JDWV. App. Surf. Sci. 1993, 69, 267–271.Search in Google Scholar

[2] Roman M, Matthias K, Christoph K, Cornelia B, Ralf B, Peter AP, Toma NG, Kappe CO. Green Process. Synth. 2012, 1, 281–290.Search in Google Scholar

[3] Zhang LB, Xie F, Li SW, Yin SH, Peng JH, Ju SH. Green Process. Synth. 2015, 1, 3–10.Search in Google Scholar

[4] Li S, Ma A, Yang K, Yin S, Zhang L, Peng J, Chen W, Xie F. Green Process. Synth. 2015, 4, 219–223.Search in Google Scholar

[5] Jones DA, Lelyveld TP, Mavrofidis SD, Kingman SW, Miles NJ. Resour. Conserv. Recy. 2002, 34, 75–90.Search in Google Scholar

[6] Jorjani E, Chapi HG, Khorami MT. Fuel Process. Technol. 2011, 10, 1898–1904.Search in Google Scholar

[7] Swart AJ, Mendonidis P. Int. J. Miner. Process. 2013, 120, 1–7.Search in Google Scholar

[8] Huang M, Peng JH, Yang JJ, Wang JQ. Miner. Eng. 2007, 1, 92–94.Search in Google Scholar

[9] Li Y, Lei Y, Zhang LB, Peng JH, Li CL. T. Nonferr. Metal. Soc. 2011, 1, 202–207.Search in Google Scholar

[10] Lu SD, Xia Y, Huang CY, Wu GQ, Peng JH, Ju SH, Zhang LB. J. Cent. South Univ. 2014, 4, 1290–1295.Search in Google Scholar

[11] Lu SD, Sun SC, Srinivasakannan C, Lv JK, Ju SH, Peng JH, Tu GF. J. Microwave Power E. E. 2014, 1, 61–70.Search in Google Scholar

[12] Guo SH, Li W, Peng JH, Niu H, Huang MY, Zhang LB, Zhang SM, Huang M. Int. J. Miner. Process. 2009, 93, 289–293.Search in Google Scholar

[13] Isabel SSP, Helena MVMS. Hydrometallurgy 2012, 129–130, 19–25.10.1016/j.hydromet.2012.08.008Search in Google Scholar

[14] Hisao H, Aiko S, Haruo H, Kazuo H, Masafumi M, Nick S. J. Hazard. Mater. 2007, 148, 22–28.Search in Google Scholar

[15] Lee SH, Nam KH, Hong SC, Lee JJ. Surf. Coat. Tech. 2007, 201, 5211–5215.Search in Google Scholar

[16] Will G. J. Solid State Chem. 2004, 177, 628.Search in Google Scholar

Received: 2015-3-15
Accepted: 2015-5-1
Published Online: 2015-5-20
Published in Print: 2015-6-1

©2015 by De Gruyter

This article is distributed under the terms of the Creative Commons Attribution Non-Commercial License, which permits unrestricted non-commercial use, distribution, and reproduction in any medium, provided the original work is properly cited.

Downloaded on 30.12.2025 from https://www.degruyterbrill.com/document/doi/10.1515/gps-2015-0020/html
Scroll to top button