Home Physical Sciences Ferrocene-derived P,N ligands: synthesis and application in enantioselective catalysis
Article Publicly Available

Ferrocene-derived P,N ligands: synthesis and application in enantioselective catalysis

  • Timothy Noël

    Timothy Noël was born in Aalst, Belgium. He obtained an MSc degree (Industrial Chemical Engineering) from the KaHo Sint-Lieven in 2004. In 2009, he obtained his PhD at the University of Ghent, with Professor Johan Van der Eycken (Department of Organic Chemistry). He then moved to Massachusetts Institute of Technology as a Fulbright Postdoctoral Fellow with Professor Stephen L. Buchwald (Department of Chemistry), where he worked on flow chemistry (MIT-Novartis Center for Continuous Manufacturing). In 2012, he accepted a position as Assistant Professor in the group of Professor Volker Hessel at Eindhoven University of Technology. In 2011, Dr. Noël received an Incentive Award for Young Researchers from the Comité de Gestion du Bulletin des Sociétés Chimiques Belges. In 2012, he received a prestigious Veni award from the Dutch Government (NWO). His research interests are focused on flow chemistry, organic synthetic chemistry and catalysis.

    EMAIL logo
    and Johan Van der Eycken

    Johan Van der Eycken is Professor of Organic Chemistry and Head of the Laboratory for Organic and Bioorganic Synthesis (LOBOS) at Ghent University (UGent), Belgium. He obtained his PhD degree in 1986 from Ghent University, for research devoted to the total synthesis of podophyllotoxin and epipodophyllotoxin with Professor Maurits Vandewalle as promoter. In 1986, he performed a postdoctoral stay with Professor Manfred Schneider (Bergische Universität, Wuppertal, Germany) on the use of lipases in asymmetric synthesis. In 1987, he was appointed as a Lecturer at Ghent University, where he was promoted to Assistant Professor in 1991. In 1992, he became Full Professor at the same university. His main research topics are asymmetric synthesis mediated by transition metal catalysts and enzymes, total synthesis of complex biologically active compounds, and solid phase synthesis of peptidomimetics and small organic molecules as privileged scaffolds for drug discovery.

    EMAIL logo
Published/Copyright: June 11, 2013
Become an author with De Gruyter Brill

Abstract

Due to their unique steric and electronic properties, air-stability and modular structure, chiral hybrid P,N-ferrocenyl ligands play a prominent role in the field of asymmetric catalysis. This report aims to give a concise introduction to the syntheses of chiral hybrid P,N-ferrocenyl ligands and presents an overview of their application in enantioselective catalysis. This review is of special interest to chemists working on ligand design and asymmetric catalysis, as well as to the broader organic and inorganic community.

1 Introduction

Since its serendipitous discovery in 1951, [1–4] research towards ferrocene-containing compounds has received a lot of attention [2–7]. The general structure of ferrocene consists of two cyclopentadienyl rings which are bound on opposite sides of a central iron atom in a η5-fashion. As a result, a so called sandwich complex is formed.

For various reasons, hybrid P,N-ferrocenyl ligands have found widespread use in asymmetric catalysis. First, ferrocenyl phosphanes are extremely stable towards oxidation and therefore are easy to handle. Second, 1,2-disubstituted ferrocene ligands can be obtained in two enantiomeric forms (Figure 1). These enantiomers possess planar chirality and are specified by the stereodescriptors Sp and Rp following the rules introduced by Schlögl [8]. The substituted cyclopentadienyl ring is monitored from the opposite site of the iron atom. The priority of the substituents is then attributed according to the Cahn-Ingold-Prelog rules. A clockwise or anticlockwise sequence of the groups results in, respectively, an Rp or Spconfiguration. There exists also a second procedure to assign the enantiomers leading to the opposite planar chiral descriptors [9]. Throughout this review, we will use the first nomenclature. Third, it is also possible to put substituents on two different cyclopentadienyl rings, a so-called 1,1′-disubstitution (Figure 2). In this case, the ligand possesses no planar chirality. However, upon complexation of the ligand with a metal, axial chirality is obtained due to a restricted rotation of the two cyclopentadienyl rings. Fourth, the combination of a soft phosphorous atom and a hard nitrogen atom leads, in many cases, to very efficient ligands [10, 11].

Figure 1 1,2-Disubstituted ferrocenes possessing planar chirality.
Figure 1

1,2-Disubstituted ferrocenes possessing planar chirality.

Figure 2 1,1′-Disubstituted ferrocenes possessing axial chirality upon complexation.
Figure 2

1,1′-Disubstituted ferrocenes possessing axial chirality upon complexation.

Numerous reviews have highlighted the synthesis and applications of ferrocene-based ligands in the past [12–17]. With this review, we wish to give a focused and up-to-date summary of the synthetic routes towards chiral hybrid P,N-ferrocenyl ligands and an overview of the applications of these ligands in enantioselective catalysis.

Enantioselective catalysis can be considered as “Green” since it allows the introduction of a chiral stereocenter in large amounts of prochiral substrates, by utilizing only a limited amount of valuable catalyst [18, 19]. As such, classical stoichiometric methodologies which create a lot of waste are circumvented, e.g., the use of chiral auxiliaries or the separation of two enantiomers via a resolution step.

2 General synthetic routes

2.1 Synthetic routes towards chiral 1,1′-disubstituted P,N-ferrocenes

The synthesis of 1,1′-disubstituted P,N-ferrocenyl ligands is less common, because it is difficult to avoid both competing 1,2-substitutions and symmetrical substitutions. However, several methods have been developed to obtain these 1,1′ unsymmetrically disubstituted ferrocenes.

The synthesis of chiral 1-oxazolinyl-1′-(diphenylphosphino)ferrocenes 5 starts from a controlled 1,1′-dilithiation of ferrocene by n-BuLi in the presence of the chelating tetramethylethylenediamine (TMEDA) (Scheme 1) [20, 21]. This product 1 is transformed into the corresponding 1,1′-dibromoferrocene 2. Via a selective lithium-halogen exchange, only one of the two bromines is lithiated and hence differentiation is possible, leading eventually to 1-bromo-1′-(2-oxazolinyl)-ferrocene 4. A second lithium-halogen exchange, followed by a reaction with chlorodiphenylphosphane leads to the corresponding chiral hybrid oxazolinyl-ferrocenylphosphane ligand 5.

Scheme 1 Synthesis of chiral 1-(2-oxazolinyl)-1′-(diphenylphosphino)ferrocenes 5 via selective lithium-halogen exchange.
Scheme 1

Synthesis of chiral 1-(2-oxazolinyl)-1′-(diphenylphosphino)ferrocenes 5 via selective lithium-halogen exchange.

Another specific approach, is the ring opening with phenyllithium of the strained 1-phenyl-1-phospha-[1]-ferrocenophane 6, which can be obtained from the corresponding 1,1′-dilithiated ferrocene 1 (Scheme 2) [22–25]. When this compound is now reacted with N,N-dimethylformamide, the corresponding phosphane ferrocenecarbaldehyde 8 is formed. Subsequently, this compound can be condensed with a chiral hydrazine, for example (S)-1-amino-2-(methoxymethyl)-pyrrolidine (SAMP) 9 leading to chiral hybrid phosphane, hydrazone ligand 10 [26].

Scheme 2 Synthesis of chiral hybrid phosphane, hydrazone ligand 10 via a ring opening with phenyllithium of the strained 1-phenyl-1-phospha-[1]-ferrocenophane 6.
Scheme 2

Synthesis of chiral hybrid phosphane, hydrazone ligand 10 via a ring opening with phenyllithium of the strained 1-phenyl-1-phospha-[1]-ferrocenophane 6.

Finally, the use of N-methylpiperazine as a directing group leads to selective lithiation of the 1′-position (Scheme 3) [27]. Hereby, ferrocenecarbaldehyde 11 is reacted with the lithium salt of N-methylpiperazine, to give an aminal as a temporary protecting and directing group. Subsequent treatment with t-BuLi results in selective lithiation of the 1′-position. A similar directed lithiation of the 1′-position has also been observed with a Boc-protected 1-ferrocenylethylamine [28].

Scheme 3 Selective lithiation of the 1′-position.
Scheme 3

Selective lithiation of the 1′-position.

2.2 Synthetic routes towards chiral 1,2- disubstituted P,N-ferrocenes

The preparation of chiral 1,2-disubstituted P,N-ferrocenes is typically achieved via diastereoselective ortho-lithiation, followed by quenching with an appropriate electrophile. This method was first demonstrated by Ugi with the lithiation of chiral [1-(N,N-dimethylamino)ethyl]ferrocene (12), also called Ugi’s amine [29]. High diastereoselectivity is provided as a result of the sterical repulsion between the methyl substituent and the ferrocene moiety in the unfavored diastereomer (Scheme 4).

Scheme 4 Synthesis of 1,2-disubstituted P,N-ferrocenes via a diastereoselective ortho-lithiation.
Scheme 4

Synthesis of 1,2-disubstituted P,N-ferrocenes via a diastereoselective ortho-lithiation.

Another remarkable feature is that nucleophilic displacement reactions at the α-position proceed with complete retention of configuration [30]. This is due to the stabilization of the carbenium ion via an overlap with an iron lone pair (13A). Consequently, free rotation around the bond between the ferrocenyl group and the side chain is prohibited, and the nucleophile attacks from the less hindered face. This leads to a conservation of the stereochemistry at the α-center.

Since the original work of Ugi, several other chiral ortho-directing groups have been developed, such as sulfoxides [31], acetals [32, 33], sulfoximines [34], hydrazones [35, 36], pyrrolidines [37], imidazolines [38], azepines [39], O-methylephedrine derivatives [40], alcohols [41], phosphine oxides [42] and oxazophospholidines [43]. In addition, oxazolines have been shown by various groups to be excellent ortho­-directing groups [44–47]. The origin of diastereoselection is shown in Figure 3. Due to steric hindrance from the ferrocene moiety, n-BuLi has to approach from the upper side of the ferrocene. This implies that the substituent on the oxazoline moiety has to point downwards in order to avoid sterical repulsion with the incoming n-BuLi molecule. Access towards the other diastereomer with opposite planar chirality is provided via introduction of a temporary protecting group, followed by lithiation and functionalization of the less favored position (Scheme 5) [46].

Figure 3 The origin of diastereoselection with an oxazoline as an ortho-directing group.
Figure 3

The origin of diastereoselection with an oxazoline as an ortho-directing group.

Scheme 5 Synthesis of the diastereomer with the opposite planar chirality.
Scheme 5

Synthesis of the diastereomer with the opposite planar chirality.

In sharp contrast with these chiral ortho-directing groups, the introduction of planar chirality, with enantiomerically pure bases, is less common. Mostly, low to moderate enantioselectivities were reported [48, 49]. An interesting exception, is the use of an n-BuLi/(-)-sparteine adduct in the ortho-lithiation of ferrocenylamide 18 (Scheme 6) [50]. Excellent enantioselectivities (up to 99% ee) were obtained.

Scheme 6 Enantioselective ortho-lithiation.
Scheme 6

Enantioselective ortho-lithiation.

3 Catalytic applications

3.1 Enantioselective allylic substitution reactions

The enantioselective allylic substitution reaction has proven to be an excellent reaction for chiral hybrid P,N ligands. This can be attributed to the higher trans-effect of the phosphorus, as compared to the nitrogen, resulting in an electronic differentiation of the two allylic termini in the transition state complex. It has been shown that the attack of the nucleophile happens at the allylic terminus trans to phosphorus [51, 52]. It is beyond the scope of this review to cover all chiral hybrid P,N ferrocene ligands used in enantioselective allylic substitutions. We will focus our attention on the role of planar chirality in 1,1′,2′-substituted and 1,2-disubstituted P,N-ferrocenyl ligands and the influence of the nitrogen donor.

Hou et al. studied the role of planar chirality in 1,1′,2′-substituted P,N-ferrocenyl ligands (Scheme 7) [53, 54]. Ligand 22 demonstrated high enantioselectivity in the allylic substitution reaction of 1,3-diphenyl-2-propenyl acetate (20) with dimethyl malonate. Introduction of planar chirality into this 1,1′-disubstituted system had a very pronounced effect on the reaction outcome. Remarkably, the presence of this third substituent not only influenced greatly the enantioselectivity, but also induced a chirality switch.

Scheme 7 The role of planar chirality in 1,1′,2′-substituted P,N-ferrocenyl ligands.
Scheme 7

The role of planar chirality in 1,1′,2′-substituted P,N-ferrocenyl ligands.

Ligands lacking the central chirality on the oxazoline moiety (e.g., 25) still provide good enantioselectivity. This indicates that planar chirality plays a decisive role in the chiral induction. Based on X-ray structures and NMR studies, an explanation for these remarkable results was provided. It was shown that planar chirality influences the ratio of the two rotamers due to sterical interactions (Scheme 8).

Scheme 8 Sterical interactions in 1,1′,2′-substituted P,N-ferrocenyl ligands.
Scheme 8

Sterical interactions in 1,1′,2′-substituted P,N-ferrocenyl ligands.

The role of planar chirality in 1,2-disubstituted P,N-ferrocenyl ligands was studied by Hou et al. [55] The influence of the planar chirality was less pronounced than in the case of 1,1′,2′-substituted ligands, as shown in Scheme 9. With ligand 29, lacking the central chirality in the oxazoline moiety, a lower enantioselectivity and a chirality switch were observed. Despite the fact that the central chirality was, in this case, the most dominant parameter, it was shown that a matching of the central and planar chirality was especially crucial in allylic amination reactions.

Scheme 9 The role of planar chirality in 1,2-disubstituted P,N-ferrocenyl ligands.
Scheme 9

The role of planar chirality in 1,2-disubstituted P,N-ferrocenyl ligands.

Recently, Hou et al. reported a method where they use ketone enolates as nucleophiles for the allylic alkylation of cinnamyl tert-butoxycarbonyl carbonate (Scheme 10) [56–58]. As a result, two chiral centers were constructed in excellent regio-, diastereo- and enantioselectivity. Key for these results was the use of a 1,1′ – substituted P,N-ferrocenyl ligand (33) with chirality on the phosphorus.

Scheme 10 Palladium-catalyzed enantioselective allylic alkylation with acyl silanes.
Scheme 10

Palladium-catalyzed enantioselective allylic alkylation with acyl silanes.

Noël and Van der Eycken have developed the imidate/phosphane based ferrocenyl ligand 42 as a new type of P,N-ferrocenyl ligand [59, 60]. These ligands showed very high enantioselectivities in the allylic alkylation of the linear sterically hindered substrate 20, with a wide variety of carbon nucleophiles (Scheme 11). In addition, good enantioselectivities were obtained in the allylic alkylation of linear sterically unhindered substrate 34 and cyclic substrates 36–38, demonstrating that this catalyst system has a broad substrate scope. It was also shown that the results depended strongly on the choice of the appropriate N,O-bis(trimethylsilyl)acetamide (BSA)-activator. A comparison with several related nitrogen donor ligands, like 43 and 44, revealed that the presence of the imidate nitrogen donor [61, 62] is required for both the high enantioselectivities as the broad substrate scope.

Scheme 11 The use of imidate/phosphane based ferrocenyl ligands in enantioselective allylic alkylation reactions.
Scheme 11

The use of imidate/phosphane based ferrocenyl ligands in enantioselective allylic alkylation reactions.

Zheng et al. synthesized several ferrocenylphosphane-based heterocyclic ligands and examined the influence of the heterocycle moiety on the catalytic reaction (Scheme 12) [63]. It was shown that the efficiency of the enantioselective allylic alkylation reaction of 1,3-diphenyl-propenyl pivalate (45) was strongly dependent on the number of heterocyclic nitrogen atoms. The most efficient ligand (48) contained a triazine moiety.

Scheme 12 The influence of the heterocyclic moiety on the catalyst performance.
Scheme 12

The influence of the heterocyclic moiety on the catalyst performance.

3.2 Enantioselective Heck reactions

The Heck reaction is one of the most important C-C bond forming reactions and has been used in the synthesis of several natural products [64]. Heck reactions can be performed both in an inter- as well as in an intramolecular fashion, providing many opportunities for enantioselective catalysis. Design of a ligand that can induce high enantioselectivities in both inter- and intramolecular Heck reaction is a huge challenge.

1,1′-Disubstituted oxazoline, phosphane ligand 51, was evaluated in the intermolecular enantioselective Heck reaction of dihydrofuran 49 and phenyl triflate (Scheme 13). With these substrates, a good enantioselectivity (76.5% ee) and reactivity (80% yield in 8 h) was obtained [65]. Introduction of planar chirality led to some remarkable results. The use of ligand (S, Sp)-52 resulted in a higher selectivity and the opposite stereochemistry. With ligand (S, Rp)-53 an excellent enantioselectivity of 92.1% ee was obtained.

Scheme 13 The role of planar chirality in the enantioselective Heck reaction with 1,1′,2′-substituted P,N-ferrocenyl ligands.
Scheme 13

The role of planar chirality in the enantioselective Heck reaction with 1,1′,2′-substituted P,N-ferrocenyl ligands.

Guiry et al. investigated 1,2-disubstituted P,N-ferrocenyl ligand 27 in this intermolecular Heck reaction of dihydrofuran 49 and phenyl triflate [66]. Despite the fact that excellent enantioselectivities (up to 99% ee) were observed, rather poor yields (52% yield) were obtained even after 14 days of reaction.

Intramolecular Heck reactions have been evaluated too. However, most of the time, moderate conversions and enantioselectivities were obtained [67, 68].

3.3 Enantioselective hydrogenation reactions

Catalytic enantioselective hydrogenation reactions of unsaturated compounds are one of the most reliable methods used to synthesize enantiopure compounds. Many research efforts are devoted to the development of new and improved hydrogenation catalyst systems. This is due to the fact, that for some substrate classes, the development of enantioselective catalyst systems is quite challenging [69].

Zhou et al. used ligands 27, 28 and 56 in the iridium-catalyzed hydrogenation of quinolines (54) and studied the role of planar chirality in this reaction (Scheme 14) [70]. It was shown that the best result was obtained with ligand (S,Sp)-27. With ligand 56, lacking the planar chirality, a significantly lower enantioselectivity was obtained. Since the absolute configuration of the product was in all cases R, it can be assumed that the steric course of the reaction is mainly controlled by the central chirality on the oxazoline ring.

Scheme 14 Enantioselective hydrogenation of 2-methylquinoline.
Scheme 14

Enantioselective hydrogenation of 2-methylquinoline.

A small library of imidate/phosphane based ferrocenyl ligands was screened in the iridium(I)-catalyzed hydrogenation of unfunctionalized olefins 57 [71]. These substrates are considered as challenging substrates, since they do not have a polar coordinating group which can coordinate to the complex to provide high enantioselectivities [72, 73]. The best results were obtained with ligand 59; up to 99% for substrate 57b (Scheme 15).

Ligand 27 also proved to be effective in the ruthenium-catalyzed hydrogenation of aryl ketones. High enantioselectivities (up to 99% ee) were obtained with excellent turnover numbers (TON, up to 50,000) [74, 75]. In sharp contrast with the catalyst system of Noyori, [76] these complexes contain no N-H group, suggesting a mechanism with a classical C=O coordination-insertion of H2.

Ligand 27 was found to be the ligand of choice in the iridium-catalyzed enantioselective hydrogenation of α,β-unsaturated amides, furnishing amides with an α-chiral center in excellent enantioselectivities (up to 98% ee) [77]. The authors concluded that the presence of a hydrogen on the amide nitrogen was required for obtaining high selectivities.

Also in ruthenium-catalyzed transfer hydrogenations of aryl ketones, oxazolinyl-ferrocenylphosphane ligands proved to be effective. Enantioselectivities of >95% ee were usually obtained using i-PrOH as a hydrogen donor [78–82].

Scheme 15 Enantioselective hydrogenation of unfunctionalized olefines.
Scheme 15

Enantioselective hydrogenation of unfunctionalized olefines.

3.4 Enantioselective hydrosilylation reactions

The rhodium-catalyzed hydrosilylation followed by hydrolysis of the silyl ether, is a practical alternative for the enantioselective hydrogenation of ketones. Hayashi et al. reported the use of mixed imino/phosphane ferrocenyl ligands in enantioselective rhodium-catalyzed asymmetric hydrosilylation of ketones with diphenylsilane [83]. Enantioselectivities of up to 90% ee were obtained.

Excellent enantioselectivities for this transformation were reported by Fu et al. using planar chiral ligand 62 (Scheme 16) [84]. It was shown that the enantioselectivity is highly dependent on the proper choice of the silane. Enantioselectivities up to 98% ee were obtained with MesPhSiH2for acetophenone as a model substrate. Several other aryl alkyl ketones and dialkyl ketones were subjected to the enantioselective hydrosilylation and, in almost all cases, enantioselectivities of >99% ee were obtained.

Scheme 16 Enantioselective hydrosilylation of ketones.
Scheme 16

Enantioselective hydrosilylation of ketones.

3.5 Enantioselective [3+2] cycloadditions

1,3-Dipolar cycloadditions are useful reactions for synthesizing five-membered heterocycles. Fu et al. demonstrated that P,N-phosphaferrocenyl ligands 67 and 68 are excellent ligands for the copper-catalyzed [3+2] cycloaddition of azomethine imines 63 and alkynes (Scheme 17) [85]. Enantioselectivities up to 96% ee were obtained. Using a ligand with the opposite planar chirality resulted in a significant decrease in ee.

Scheme 17 Cu-catalyzed [3+2] asymmetric cycloadditions of terminal alkynes with azomethine imines.
Scheme 17

Cu-catalyzed [3+2] asymmetric cycloadditions of terminal alkynes with azomethine imines.

In an extension of this method, it has been shown that the same catalyst system is also effective in the kinetic resolution of racemic azomethine imines rac-65 (Scheme 17) [86]. As a result, a wide variety of enantioenriched 1,3-dipoles 65 could be isolated. Subsequent reaction with dipolarophiles provides functionalized pyrazolidinones.

The Cu(I)-catalyzed reaction of nitrones with terminal alkynes results in the formation of β-lactams. This reaction is also called the Kinugasa reaction [87]. The first step involves a 1,3-dipolar cycloaddition with an in situ generated copper(I) acetylide. Hence, a five-membered ring intermediate is formed. Subsequent rearrangement results in the formation of the β-lactam. Fu et al. developed an enantioselective intramolecular version of this Kinugasa reaction [88]. With planar chiral phosphaferrocenyl-oxazoline ligands 69 and 70, good to excellent enantioselectivities (85–91% ee) were obtained (Scheme 18).

Scheme 18 Catalytic enantioselective synthesis of β-lactams through an intramolecular Kinugasa reaction.
Scheme 18

Catalytic enantioselective synthesis of β-lactams through an intramolecular Kinugasa reaction.

A chiral oxazolinyl-ferrocenylphosphane complex with AgOAc catalyzed the enantioselective cycloaddition of an N-metalated azomethine ylide with electron-deficient alkenes, leading to endo-pyrrolidines in excellent enantioselectivities (88–98% ee) [89]. Interestingly, when copper(I) complexes of chiral oxazolinyl-ferrocenylphosphane ligands were used, the pyrrolidine products were obtained with a high exo-selectivity and excellent enantioselectivity (84–98% ee) [90].

Using the same copper source and a similar ligand, Hou et al. developed a 1,3-dipolar cycloaddition of nitroalkenes 73 with N-metalated azomethine ylides derived from 74 (Scheme 19) [91]. Variations on the nature of the aryl group on the phosphorus atom resulted in a dramatic change of the endo/exo selectivity: electron-rich phosphanes (76) promoted the formation of the exo-adduct as the sole product, while electron poor phosphanes (77) afforded mainly the endo-adduct.

Scheme 19 Cu-catalyzed asymmetric 1,3-dipolar cycloaddition of azomethine ylides: influence of the nature of the P-aryl substituent on the phosphorus atom.
Scheme 19

Cu-catalyzed asymmetric 1,3-dipolar cycloaddition of azomethine ylides: influence of the nature of the P-aryl substituent on the phosphorus atom.

3.6 Miscellaneous reactions

Schmalz et al. introduced planar chirality in meso-(arene)chromium complexes via an enantioselective methoxycarbonylation (Scheme 20) [92–94]. Although low to moderate yields of 79 were obtained, the induced enantioselectivity was up to 95% ee with a chiral pyrrolidinoethyl-ferrocenylphosphane ligand 81.

In addition, chiral hybrid P,N-ferrocenyl ligands also effectively introduce axial chirality. In the presence of N,N-dimethyl-1-[2-(diphenylphosphino)ferrocenyl]ethylamine (13, ppfa) as a ligand, a C2-symmetrical binaphthalene was obtained in very good enantioselectivity (up to 85% ee) via an enantioselective Suzuki cross-coupling [95, 96].

Scheme 20 Introduction of planar chirality via a catalytic enantioselective methoxycarbonylation.
Scheme 20

Introduction of planar chirality via a catalytic enantioselective methoxycarbonylation.

The Cu(OTf)2-catalyzed addition of diethylzinc to imines in the presence of ppfa 13 as chiral ligand, resulted in good enantioselectivities (86–92% ee) [97].

Togni et al. demonstrated that pyrazolylethyl-ferrocenylphosphane ligands 85 were effective in rhodium-catalyzed hydroboration reactions (Scheme 21) [98]. A maximum of 95.6% ee was obtained, albeit with a moderate regioselectivity (branched 83 /linear 84, 79:21). Similar results were obtained by Knochel et al. with a (2-quinolyl)-ferrocenylmethylphosphane ligand [99].

Scheme 21 Catalytic enantioselective hydroboration of styrene with catecholborane.
Scheme 21

Catalytic enantioselective hydroboration of styrene with catecholborane.

A chiral oxazolinyl-ferrocenylphosphane ligand (ent76) was used in a nickel-catalyzed enantioselective intramolecular arylcyanation reaction (Scheme 22) [100, 101]. The intermediate product 87 had an enantioselectivity of 96% ee and was further used in the synthesis of (-)-esermethole 88.

Scheme 22 Catalytic enantioselective intramolecular arylcyanation and its application in the synthesis or (-)-esermethole.
Scheme 22

Catalytic enantioselective intramolecular arylcyanation and its application in the synthesis or (-)-esermethole.

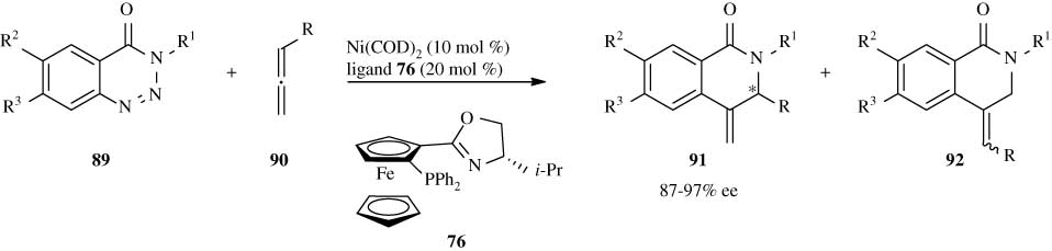
The same ligand proved to be excellent in a nickel-catalyzed enantioselective annulation reaction of N-aryl-1,2,3-benzotriazin-4(3H)-ones 89 with allenes 90 (Scheme 23) [102]. The chiral oxazolinyl-ferrocenylphosphane ligand (76) gave both excellent regio- and enantioselectivities (87–97% ee). The same catalyst system appeared to be also useful for the enantioselective [2+2+2] cycloaddition of isocyanates and allenes [103].

Scheme 23 Catalytic enantioselective annulation reaction of N-aryl-1,2,3-benzotriazin-4(3H)-ones 89 with allenes 90.
Scheme 23

Catalytic enantioselective annulation reaction of N-aryl-1,2,3-benzotriazin-4(3H)-ones 89 with allenes 90.

4 Conclusions

In this review, we presented an introduction to the synthesis of ferrocene-derived P,N-ligands and compiled a selection of the most important enantioselective transformations in which these ligands were used.

Due to their unique steric and electronic properties, air stability and modular structure, chiral hybrid P,N-ferrocenyl ligands have evolved in recent years as exceptional ligands, capable of addressing a wide range of enantioselective reactions. We believe that these ligands should be part of each chiral ligand kit for the initial screening of ligands for any new enantioselective reaction. Recently, continuous-flow microreactors have received a significant amount of interest to facilitate rapid screening of chiral catalysts [104, 105].

Although, a significant amount of research has been done, progress is not without challenges. Much time has been devoted to the synthesis of this valuable ligand class. Due to its modular structure, a rapid diversification of the ligand is possible, and consequently, many P,N ligands bearing the ferrocene moiety have been synthesized. This gives the impression that for almost every enantioselective reaction, a good ligand is available. In fact, this is not the case. Reactions that generate chiral centers are constantly appearing in the literature and the demand for new and improved chiral catalysts with new reactivities increases. We are convinced that chiral hybrid P,N-ferrocenyl ligands will play further a central role in the discovery of new enantioselective reactions.


Corresponding authors: Timothy Noël, Micro Flow Chemistry and Process Technology, Department of Chemical Engineering and Chemistry, Eindhoven University of Technology, Den Dolech 2, 5612 AZ Eindhoven, The Netherlands; and Johan Van der Eycken, Laboratory for Organic and Bioorganic Synthesis, Department of Organic Chemistry, Ghent University, Krijgslaan 281 (S.4), B-9000, Ghent, Belgium

About the authors

Timothy Noël

Timothy Noël was born in Aalst, Belgium. He obtained an MSc degree (Industrial Chemical Engineering) from the KaHo Sint-Lieven in 2004. In 2009, he obtained his PhD at the University of Ghent, with Professor Johan Van der Eycken (Department of Organic Chemistry). He then moved to Massachusetts Institute of Technology as a Fulbright Postdoctoral Fellow with Professor Stephen L. Buchwald (Department of Chemistry), where he worked on flow chemistry (MIT-Novartis Center for Continuous Manufacturing). In 2012, he accepted a position as Assistant Professor in the group of Professor Volker Hessel at Eindhoven University of Technology. In 2011, Dr. Noël received an Incentive Award for Young Researchers from the Comité de Gestion du Bulletin des Sociétés Chimiques Belges. In 2012, he received a prestigious Veni award from the Dutch Government (NWO). His research interests are focused on flow chemistry, organic synthetic chemistry and catalysis.

Johan Van der Eycken

Johan Van der Eycken is Professor of Organic Chemistry and Head of the Laboratory for Organic and Bioorganic Synthesis (LOBOS) at Ghent University (UGent), Belgium. He obtained his PhD degree in 1986 from Ghent University, for research devoted to the total synthesis of podophyllotoxin and epipodophyllotoxin with Professor Maurits Vandewalle as promoter. In 1986, he performed a postdoctoral stay with Professor Manfred Schneider (Bergische Universität, Wuppertal, Germany) on the use of lipases in asymmetric synthesis. In 1987, he was appointed as a Lecturer at Ghent University, where he was promoted to Assistant Professor in 1991. In 1992, he became Full Professor at the same university. His main research topics are asymmetric synthesis mediated by transition metal catalysts and enzymes, total synthesis of complex biologically active compounds, and solid phase synthesis of peptidomimetics and small organic molecules as privileged scaffolds for drug discovery.

Johan Van der Eycken wished to thank Ghent University for financial support. Timothy Noël would like to acknowledge financial support from the Dutch Science Foundation for a VENI Grant (Number 12464) and from the European Union for a Marie Curie CIG Grant.

References

[1] Kealy TJ, Pauson PL. Nature 1951, 168, 1039–1040.10.1038/1681039b0Search in Google Scholar

[2] Miller SA, Tebboth JA, Tremaine JF J. Chem. Soc. 1952, 632–635.10.1039/jr9520000632Search in Google Scholar

[3] Wilkinson G, Rosenblum M, Whiting MC, Woodward RB. J. Am. Chem. Soc. 1952, 74, 2125–2126.Search in Google Scholar

[4] Fischer EO, Pfab W. Z. Naturforsch. B 1952, 7, 377–379.10.1515/znb-1952-0701Search in Google Scholar

[5] Dai L-X, Hou X-L, Eds., Chiral Ferrocenes in Asymmetric Catalysis: Synthesis and Applications, Wiley-VCH: Weinheim, 2010.10.1002/9783527628841Search in Google Scholar

[6] Štěpnička, P., Ed., Ferrocenes: Ligands, Materials and Biomolecules, Wiley-VCH: Chichester, England; Hoboken, NJ, 2008.10.1002/9780470985663Search in Google Scholar

[7] Togni A, Hayashi T, Eds., Ferrocenes: Homogeneous Catalysis, Organic Synthesis, Materials Science, Wiley-VCH: Weinheim, New York, 1995.10.1002/9783527615599Search in Google Scholar

[8] Bauer K, Falk H, Schlögl K. Angew. Chem. Int. Ed. 1969, 8, 135.Search in Google Scholar

[9] Schlögl K. Top. Stereochem. 1967, 1, 39–91.Search in Google Scholar

[10] Guiry PJ, Saunders CP. Adv. Synth. Catal. 2004, 346, 497–537.Search in Google Scholar

[11] Helmchen G, Pfaltz A. Acc. Chem. Res. 2000, 33, 336–345.Search in Google Scholar

[12] Miyake Y, Nishibayashi Y, Uemura S. Synlett 2008, 1747–1758.10.1055/s-2008-1077903Search in Google Scholar

[13] Sutcliffe OB, Bryce MR. Tetrahedron: Asymmetry 2003, 14, 2297–2325.10.1016/S0957-4166(03)00520-2Search in Google Scholar

[14] Dai L-X, Tu T, You S-L, Deng W-P, Hou X-L. Acc. Chem. Res. 2003, 36, 659–667.Search in Google Scholar

[15] Gomez Arrayas R, Adrio J, Carretero JC. Angew. Chem. Int. Ed. Engl. 2006, 45, 7674–7715.Search in Google Scholar

[16] Flanagan SP, Guiry PJ. J. Organomet. Chem. 2006, 691, 2125–2154.Search in Google Scholar

[17] Atkinson RCJ, Gibson VC, Long NJ. Chem. Soc. Rev. 2004, 33, 313–328.Search in Google Scholar

[18] Sheldon RA, Arends I, Hanefeld U., Eds., Green Chemistry and Catalysis, Wiley-VCH: Weinheim, 2007.10.1002/9783527611003Search in Google Scholar

[19] Walsh PJ, Li H, de Parrodi CA. Chem. Rev. 2007, 107, 2503–2545.Search in Google Scholar

[20] Park J, Quan Z, Lee S, Ahn KH, Cho C-W. J. Organomet. Chem. 1999, 584, 140–146.Search in Google Scholar

[21] Butler IR, Davies RL. Synthesis 1996, 1350–1354.10.1055/s-1996-4394Search in Google Scholar

[22] Štěpnička P, Baše T. Inorg. Chem. Commun. 2001, 4, 682–687.Search in Google Scholar

[23] Seyferth D, Withers HP, Jr. J. Organomet. Chem. 1980, 185, C1–C5.Search in Google Scholar

[24] Seyferth D, Withers HP, Jr. Organometallics 1982, 1, 1275–1282.10.1021/om00070a004Search in Google Scholar

[25] Osborne AG, Whiteley RH, Meads RE. J. Organomet. Chem. 1980, 193, 345–357.Search in Google Scholar

[26] Mino T, Segawa H, Yamashita M. J. Organomet. Chem. 2004, 689, 2833–2836.Search in Google Scholar

[27] Iftime G, Moreau-Bossuet C, Manoury E, Balavoine GGA. Chem. Commun. 1996, 527–528.10.1039/CC9960000527Search in Google Scholar

[28] Chong JM, Hegedus LS. Organometallics 2004, 23, 1010–1014.10.1021/om030468lSearch in Google Scholar

[29] Marquarding D, Klusacek H, Gokel G, Hoffmann P, Ugi I. J. Am. Chem. Soc. 1970, 92, 5389–5393.Search in Google Scholar

[30] Gokel GW, Marquarding D, Ugi IK. J. Org. Chem. 1972, 37, 3052–3058.Search in Google Scholar

[31] Rebiere F, Riant O, Ricard L, Kagan HB. Angew. Chem. Int. Ed. 1993, 32, 568–570.Search in Google Scholar

[32] Riant O, Samuel O, Flessner T, Taudien S, Kagan HB. J. Org. Chem. 1997, 62, 6733–6745.Search in Google Scholar

[33] Riant O, Samuel O, Kagan HB. J. Am. Chem. Soc. 1993, 115, 5835–5836.Search in Google Scholar

[34] Bolm C, Kesselgruber M, Muniz K, Raabe G. Organometallics 2000, 19, 1648–1651.10.1021/om991041aSearch in Google Scholar

[35] Enders D, Peters R, Lochtman R, Runsink J. Eur. J. Org. Chem. 2000, 2839–2850.10.1002/1099-0690(200008)2000:16<2839::AID-EJOC2839>3.0.CO;2-QSearch in Google Scholar

[36] Enders D, Peters R, Lochtman R, Raabe G. Angew. Chem. Int. Ed. 1999, 38, 2421–2423.Search in Google Scholar

[37] Farrell A, Goddart R, Guiry PJ. J. Org. Chem. 2002, 67, 4209–4217.Search in Google Scholar

[38] Peters R, Fischer DF. Org. Lett. 2005, 7, 4137–4140.Search in Google Scholar

[39] Widhalm M, Mereiter K, Bourghida M. Tetrahedron: Asymmetry 1998, 9, 2983–2986.10.1016/S0957-4166(98)00328-0Search in Google Scholar

[40] Xiao L, Kitzler R, Weissensteiner W. J. Org. Chem. 2001, 66, 8912–8919.Search in Google Scholar

[41] Ueberbacher BJ, Griengl H, Weber H. Chem. Commun. 2008, 3287–3289.10.1039/b807895eSearch in Google Scholar

[42] Nettekoven U, Widhalm M, Kamer PCJ, Van Leeuwen PWNM, Mereiter K, Lutz M, Spek A. Organometallics 2000, 19, 2299–2309.10.1021/om991013sSearch in Google Scholar

[43] Vinci D, Mateus D, Wu S, Hancock F, Steiner A, Xiao J. Org. Lett. 2006, 8, 215–218.Search in Google Scholar

[44] Sammakia T, Latham HA, Schaad DR. J. Org. Chem., 1995, 60, 10–11.10.1021/jo00106a005Search in Google Scholar

[45] Sammakia T, Latham HA. J. Org. Chem., 1995, 60, 6002–6003.10.1021/jo00124a003Search in Google Scholar

[46] Richards CJ, Mulvaney AW. Tetrahedron: Asymmetry 1996, 7, 1419–1430.10.1016/0957-4166(96)00159-0Search in Google Scholar

[47] Bolm C, Muniz K, Seger A, Raabe G, Günther K. J. Org. Chem. 1998, 63, 7860–7867.Search in Google Scholar

[48] Price D, Simpkins NS. Tetrahedron Lett. 1995, 36, 6135–6136.Search in Google Scholar

[49] Nishibayashi Y, Arikawa Y, Ohe K, Uemaru S. J. Org. Chem. 1996, 61, 1171–1174.Search in Google Scholar

[50] Tsukazaki M, Tinkl M, Roglans A, Chapell BJ, Taylor NJ, Snieckus V. J. Am. Chem. Soc. 1996, 118, 685–686.Search in Google Scholar

[51] Tu T, Zhou YG, Hou X-L, Dai L-X, Dong X-C, Yu Y-H, Sun J. Organometallics 2003, 22, 1255–1265.10.1021/om020706xSearch in Google Scholar

[52] Blöchl PE, Togni A. Organometallics 1996, 15, 4125–4132.10.1021/om9603880Search in Google Scholar

[53] Deng W-P, You S-L, Hou X-L, Dai L-X, Yu Y-H, Xia W, Sun J. J. Am. Chem. Soc. 2001, 123, 6508–6509.Search in Google Scholar

[54] Deng W-P, Hou X-L, Dai L-X, Yu Y-H, Xia W. Chem. Commun. 2000, 285–286.10.1039/a909211kSearch in Google Scholar

[55] You S-L, Hou X-L, Dai L-X, Yu Y-H, Xia W. J. Org. Chem. 2002, 67, 4684–4695.Search in Google Scholar

[56] Chen J-P, Ding C-H, Liu W, Hou X-L, Dai L-X. J. Am. Chem. Soc. 2010, 132, 15493–15495.Search in Google Scholar

[57] Liu W, Zhu X-Z, Wan X-L, Hou X-L. J. Am. Chem. Soc. 2009, 131, 8734–8735.Search in Google Scholar

[58] Zheng W-H, Zheng B-H, Zhang Y, Hou X-L. J. Am. Chem. Soc. 2007, 129, 7718–7719.Search in Google Scholar

[59] Noël T, Bert K, Van der Eycken E, Van der Eycken J. Eur. J. Org. Chem. 2010, 4056–4061.10.1002/ejoc.201000238Search in Google Scholar

[60] Noël T, Bert K, Janssens P, Van der Eycken J. In Innovative Catalysis in Organic Synthesis. Oxidation, Hydrogenation, and C-X Bond Forming Reactions, Andersson PG, Ed., Wiley-VCH: Weinheim, 2012 (ISBN 978-3-527-33097-3).Search in Google Scholar

[61] Noël T, Vandyck K, Robeyns K, Van Meervelt L, Van der Eycken J. Tetrahedron 2009, 65, 8879–8884.10.1016/j.tet.2009.08.028Search in Google Scholar

[62] Noël T, Robeyns K, Van Meervelt L, Van der Eycken E, Van der Eycken J. Tetrahedron: Asymmetry 2009, 20, 1962–1968.10.1016/j.tetasy.2009.07.038Search in Google Scholar

[63] Hu X-P, Chen H-L, Zheng Z. Adv. Synth. Catal. 2005, 347, 541–548.Search in Google Scholar

[64] Bräse S, de Meijere A. In Metal-Catalyzed Cross-Coupling Reactions, 2nd ed., de Meijere A, Diederich F, Eds.,Wiley-VCH: Weinheim, 2004, 1, 217–315.10.1002/9783527619535Search in Google Scholar

[65] Deng W-P, Hou X-L, Dai LX, Dong X-W. Chem. Commun. 2000, 1483–1484.10.1039/b003530kSearch in Google Scholar

[66] Kilroy TG, Hennessy AJ, Connolly DJ, Malone YM, Farrell A, Guiry PJ. J. Mol. Catal. A. Chem. 2003, 196, 65–81.Search in Google Scholar

[67] Kiely D, Guiry PJ. J. Organomet. Chem. 2003, 687, 545–561.Search in Google Scholar

[68] Kiely D, Guiry PJ. Tetrahedron Lett. 2003, 44, 7377–7380.Search in Google Scholar

[69] Wills M. Science 2006, 311, 619–620.10.1126/science.1123178Search in Google Scholar PubMed

[70] Lu S-M, Han XW, Zhou YG. Adv. Synth. Catal. 2004, 346, 909–912.Search in Google Scholar

[71] Bert K, Noël T, Kimpe W, Goeman JL, Van der Eycken J. Org. Biomol. Chem. 2012, 10, 8539–8550.Search in Google Scholar

[72] Church TL, Andersson PG. Coord. Chem. Rev. 2008, 252, 513–531.Search in Google Scholar

[73] Cui X, Burgess K. Chem. Rev. 2005, 105, 3272–3296.Search in Google Scholar

[74] Naud F, Malan C, Spindler F, Rüggeberg C, Schmidt AT, Blaser H-U. Adv. Synth. Catal. 2006, 348, 47–50.Search in Google Scholar

[75] Tellers DM, Bio M, Song ZJ, McWilliams JC, Sun Y. Tetrahedron: Asymmetry 2006, 17, 550–553.10.1016/j.tetasy.2005.12.028Search in Google Scholar

[76] Noyori R, Ohkuma T. Angew. Chem. Int. Ed. 2001, 40, 40–73.Search in Google Scholar

[77] Lu W-J, Hou X-L. Adv. Synth. Catal. 2009, 351, 1224–1228.Search in Google Scholar

[78] Onodera G, Nishibayashi Y, Uemura S. Angew. Chem. Int. Ed. 2006, 45, 3819–3822.Search in Google Scholar

[79] Nishibayashi Y, Yamauchi A, Onodera G, Uemura S. J. Org. Chem. 2003, 68, 5875–5880.Search in Google Scholar

[80] Sammakia T, Stangeland EL. J. Org. Chem. 1997, 62, 6104–6105.Search in Google Scholar

[81] Zirakzadeh A, Schuecker R, Gorgas N, Mereiter K, Spindler F, Weissensteiner W. Organometallics 2012, 31, 4241–4250.10.1021/om300188gSearch in Google Scholar

[82] Schuecker R, Zirakzadeh A, Mereiter K, Spindler F, Weissensteiner W. Organometallics 2011, 30, 4711–4719.10.1021/om200557cSearch in Google Scholar

[83] Hayashi T, Hayashi C, Uozumi Y. Tetrahedron: Asymmetry 1995, 6, 2503–2506.10.1016/0957-4166(95)00326-KSearch in Google Scholar

[84] Tao B, Fu GC. Angew. Chem. Int. Ed. 2002, 41, 3892–3894.Search in Google Scholar

[85] Shintani R, Fu GC. J. Am. Chem. Soc. 2003, 125, 10778–10779.Search in Google Scholar

[86] Suárez A, Downey CW, Fu GC. J. Am. Chem. Soc. 2005, 127, 11244–11245.Search in Google Scholar

[87] Kinugasa M, Hashimoto S. Chem. Commun. 1972, 466–467.10.1039/c39720000466Search in Google Scholar

[88] Shintani R, Fu GC. Angew. Chem. Int. Ed. 2003, 42, 4082–4085.Search in Google Scholar

[89] Zeng W, Zhou Y-G. Org. Lett. 2005, 7, 5055–5058.Search in Google Scholar

[90] Gao W, Zhang X, Raghunath M. Org. Lett. 2005, 7, 4241–4244.Search in Google Scholar

[91] Yan X-X, Peng Q, Zhang Y, Zhang K, Hong W, Hou X-L, Wu Y-D. Angew. Chem. Int. Ed. 2006, 45, 1979–1983.Search in Google Scholar

[92] Gotov B, Schmalz H-G. Org. Lett. 2001, 3, 1753–1756.Search in Google Scholar

[93] Böttcher A, Schmalz H-G. Synlett 2003, 1595–1598.10.1055/s-2003-41417Search in Google Scholar

[94] Schumann H, Kaufmann J, Schmalz H-G, Böttcher A, Gotov B. Synlett 2003, 1783–1788.10.1055/s-2003-41492Search in Google Scholar

[95] Cammidge AN, Crépy KVL. Chem. Commun. 2000, 1723–2724.10.1039/b004513fSearch in Google Scholar

[96] Cammidge AN, Crépy KVL. Tetrahedron 2004, 60, 4377–4386.10.1016/j.tet.2003.11.095Search in Google Scholar

[97] Wang M-C, Liu L-T, Hua Y-Z, Zhang J-S, Shi Y-Y, Wang D-K. Tetrahedron: Asymmetry 2005, 16, 2531–2534.10.1016/j.tetasy.2005.06.005Search in Google Scholar

[98] Schnyder A, Hintermann L, Togni A. Angew. Chem. Int. Ed. 1995, 34, 931–932.Search in Google Scholar

[99] Kloetzing RJ, Lotz M, Knochel P. Tetrahedron: Asymmetry, 2003, 14, 255–264.10.1016/S0957-4166(02)00827-3Search in Google Scholar

[100] Nakao Y, Ebata S, Yada A, Hiyama T, Ikawa M, Ogoshi S. J. Am. Chem. Soc. 2008, 130, 12874–12875.Search in Google Scholar

[101] Hsieh J-C, Ebata Y, Nakao Y, Hiyama T. Synlett 2010, 1709–1711.10.1055/s-0029-1219964Search in Google Scholar

[102] Yamauchi M, Morimoto M, Miura T, Murakami M. J. Am. Chem. Soc. 2010, 132, 54–55.Search in Google Scholar

[103] Miura T, Morimoto M, Murakami M. J. Am. Chem. Soc. 2010, 132, 15836–15838.Search in Google Scholar

[104] Zhao D, Ding K. ACS Catalysis 2013, 3, 928–944.10.1021/cs300830xSearch in Google Scholar

[105] Hessel V, Kralisch D, Kockmann N, Noël T, Wang Q. ChemSusChem 2013, 6, 746–789.10.1002/cssc.201200766Search in Google Scholar PubMed

Received: 2013-4-23
Accepted: 2013-5-15
Published Online: 2013-06-11
Published in Print: 2013-03-01

©2013 by Walter de Gruyter Berlin Boston

Articles in the same Issue

  1. Masthead
  2. Masthead
  3. Graphical abstracts
  4. In this issue
  5. Editorial
  6. Can we plan the future of the next generation: what will John and Mary in 2150 say?
  7. Review
  8. Ferrocene-derived P,N ligands: synthesis and application in enantioselective catalysis
  9. Original articles
  10. Purification and utilization of a formerly incinerated sodium nitrite bearing wastewater stream
  11. Microwave heating and conventionally-heated continuous-flow processing as tools for performing cleaner palladium-catalyzed decarboxylative couplings using oxygen as the oxidant – a proof of principle study
  12. A highly efficient eco-friendly AFO reaction using grinding technique: synthesis of 3-hydroxy-2-phenyl-4H-chromen-4-ones
  13. Experiments with the titanium dioxide-ruthenium tris-bipyridine-nickel cyclam system for the photocatalytic reduction of CO2
  14. People
  15. Krishna Deo Prasad Nigam honored with Humboldt Research Award
  16. Company profile
  17. MONOJO Biotech
  18. Organization profile
  19. ISPT – The Institute for Sustainable Process Technology
  20. Conference announcements
  21. 4th International Congress on Green Process Engineering (GPE-2014; Seville, Spain, April 7–10, 2014)
  22. 5th Nordic Wood Biorefinery Conference (Stockholm, Sweden, March 25–27, 2014)
  23. The 44th IUPAC World Chemistry Congress and the 47th IUPAC General Assembly (Istanbul, Turkey, August 11–16, 2013)
  24. XIth European Congress on Catalysis: 20 Years of Catalysis… and Beyond (Lyon, France, September 1–6, 2013)
  25. AMWC 2013: Advanced Materials World Congress (İzmir, Turkey, September 16–19, 2013)
  26. Kekulé cycle XV, 2013–2014
  27. Conferences 2013–2015
  28. Book reviews
  29. Downstream processing in biotechnology
  30. Catalytic process development for renewable materials
Downloaded on 21.12.2025 from https://www.degruyterbrill.com/document/doi/10.1515/gps-2013-0036/html?lang=en
Scroll to top button