Home Medicine Blood cell changes in complement activation-related pseudoallergy
Article Publicly Available

Blood cell changes in complement activation-related pseudoallergy

  • Zsófia Patkó

    Zsófia Patkó, MD, PhD is working as a resident doctor at the Department of Nuclear Diagnostics and Therapy at Borsod County University Hospital, Miskolc, Hungary. She graduated in 2004 at the Semmelweis University, Budapest. During her PhD studies she did research work at Albert Ludwigs University, Germany and the Military Hospital Budapest, Hungary. She received her PhD in 2013 at Semmelweis University in the field of leukocyte-platelet interactions. She is interested in the interactions of nanoparticles with the immune system and circulating blood elements.

    EMAIL logo
    and János Szebeni

    János Szebeni, MD, PhD, DSc, MedHabil, immunologist, director of the Nanomedicine Research and Education Center at Semmelweis University, Budapest, Hungary. He is also founder and CEO of a contract research SME “SeroScience”, and full Professor of (Immune) Biology at Miskolc University, Hungary. He has held various guest professor and scientific positions in Hungary and abroad, mostly in the USA where he lived for 22 years. His research on various themes in hematology, membrane biology and immunology resulted more than 100 scientific papers (citations: >4550, H index: 35), 14 book chapters, two granted patents, a book entitled “The Complement System: Novel Roles in Health and Disease” (Kluwer, 2004). Three fields stand out where he has been most active: artificial blood, liposomes and the complement system. His original works led to the “CARPA” concept, i.e. that complement activation underlies numerous drug-induced (pseudo)allergic (anaphylactoid) reactions.

Published/Copyright: June 10, 2015
Become an author with De Gruyter Brill

Abstract

The characteristic physiological changes in complement (C) activation-related pseudoallergy (CARPA) include thrombocytopenia, leukocytosis and leukopenia with or without compensatory leukocytosis. In the background of these phenomena it is known that anaphylatoxins, the triggers of CARPA, can activate white blood cells (WBCs) and platelets, and that this activation can lead to the binding of these cells to each other and also to capillary endothelial cells, entailing microthrombus formation and circulatory blockage mainly in the pulmonary and coronary microcirculation. These changes are key contributors to the hemodynamic alterations in CARPA, and can lead to anaphylactic shock. The goal of this review was to catalogue the blood cell changes in man and different animals undergoing CARPA and focus on some details of the molecular and cellular interactions among anaphylatoxins, other C activation byproducts, platelets, WBCs (mainly monocytes), macrophages and endothelial cells and these cells’ secretory products during CARPA. By discussing the inhibitors of different steps of the complex interplay between reaction mediators and cell surface receptors, the review might help in identifying possible novel drugs candidates against CARPA.

Introduction

Complement activation-related pseudoallergy (CARPA), as the name implies, is a non-Ig-E-mediated (pseudo-allergic) hypersensitivity reaction (HSR) that is triggered by C activation, or C activation plays a major contributing role. CARPA is best known in the context of nanotoxicity, since nanomedicines, i.e. particulate drugs and agents in the nano (10−9–10−6 m) size range often cause such reactions. As reviewed earlier (1–8), and also discussed in other papers of this issue, the phenomenon represents an immune barrier to the clinical use of many promising nanomedicines. In essence, CARPA may be perceived as a biological stress on blood that arises as a consequence of the similarity of nanomedicines to viruses, between which the immune system cannot make difference (8). The entailing acute inflammatory reaction may have triple harms via 1) causing rapid clearance of the drug and, hence, reducing or eliminating its efficacy; 2) causing an acute illness in the host whose most severe manifestation is anaphylaxis; and 3) leading to immunogenicity, which turns drugs into vaccines and thus abolishes their therapeutic use (9, 10).

The symptoms of CARPA include haematological changes, namely thrombocytopenia, leukocytosis and leukopenia with or without compensatory leukocytosis. This review focuses only on these changes highlighting what is known about their mechanism and what is not. A clear vision in this regard will help formulating the right questions in future research in this field. The particular processes analysed and questions addressed are 1) the effects of anaphylatoxins on blood cells; 2) homo- and heteroaggregate formation between WBC and platelets resulting in microthrombi; and 3) adhesion of the latter to endothelial cells and sequestration in the lung and other organs and 4) the vicious cycle of the above processes leading to circulatory shock. An additional goal of the review is to point to a possible, yet unclarified positive feedback mechanism whereby C activation is exacerbated during CARPA due to activated platelet-induced additional C activation.

Blood cell changes in CARPA: human and animal data

Human studies

The best know HSRs whose pathomechanism is likely to involve CARPA are triggered by anticancer drugs administered in micellar solvents, like Taxol or Taxotere, liposomal drugs, like Doxil and AmBisome and radio-contrast agents, like iodine-containing contrast media. Clinical reports on haematological changes caused by the above drugs often list thrombocytopenia and leukopenia, but usually these changes represent cytotoxic, rather than the immune reactogenic effect of the drugs. However in the case of radiocontrast media, early association of leukopenia has been attributed to the immune reactivity of the contrast agent (11, 12).

Studies in pigs

Figure 1A and B show the platelet and WBC changes observed in pigs that were treated with bolus injection of large multilamellar liposomes (MLV) (13). The figure shows 10%–30% drop of plateletsandWBC counts within 30 min after injection in six of eight animals. It is also seen that the individual variation of changes is substantial. Further studies in pigs analysing blood cell changes during long-term infusion of PEGylated small unilamellar liposomes (SUV) showed initial leukopenia followed by leukocytosis, i.e. typical roller-coaster pattern of anaphylatoxin-induced WBC changes (14–16).

Figure 1: Liposome-induced changes in platelet (A) and white blood cell (WBC, B) counts in pigs. Cell counts were determined before injection of MLV and at different times thereafter, as indicated. Different symbols designate individual pigs. Figure reproduced from (13) with permission.
Figure 1:

Liposome-induced changes in platelet (A) and white blood cell (WBC, B) counts in pigs. Cell counts were determined before injection of MLV and at different times thereafter, as indicated. Different symbols designate individual pigs. Figure reproduced from (13) with permission.

Studies in rats

Liposomes and other C activators cause CARPA in rats, too, which phenomenon was first described and analyzed in detail by Rabinovici et al. in a series of studies starting in the late 1980s (17–19). They injected liposome-encapsulated hemoglobin (LEH), a red cell substitute, along with appropriate controls, in conscious, normovolemic or exsanguinated rats and studied the hemodynamic and haematological consequences of treatment. LEH, as well as the carrier liposomes, caused thrombocytopenia, whose extent depended on the mode of LEH administration, namely, a 10% top load (17), 50% exchange transfusion (18) and 10% top load with lyophilized LEH (19) led to 60, 40 and 24% thrombocytopenia, respectively. Also in rats the above thrombocytopenia was associated with a rise, rather than drop of WBC count (17–19).

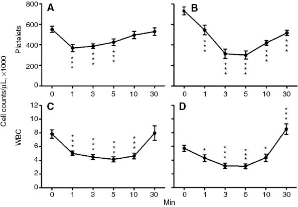
Consistent with the above reports 20 years ago, the rat studies in our laboratory using zymosan and liposomal amphotericin B (AmBisome) as reaction inducers, led to 30 and 60% drop in platelet counts between 1 and 3 min after i.v. injection of zymosan (Figure 2A) and AmBisome (Figure 2B), respectively. Also, we observed 50% leukopenia with zymosan (Figure 2C) and 20% leukopenia with AmBisome (Figure 2D), with the WBC counts reaching minimum around 4–5 min. In case of AmBisome, the WBC started to rise over baseline after 10 min (Figure 2D), implying the start of reactive leukocytosis (20). This study confirmed the huge difference between rats and pigs in sensitivity to reactogenic liposomes, as the reactogenic doses in these experiments were 100–1000-fold higher than that reported for pigs (20).

Figure 2: Hematologic effects of iv. bolus administration of zymosan (A, C), and AmBisome (B, D) in rats. Values shown are mean±SE (n=8 rats in each group). *, **, ***: p<0.05, 0.01, 0.001 vs. the time 0 value. The zymosan and AmBisome doses were 10 and 22 mg/kg, normalized to phospholipid amount in case of AmBisome. The figure was modified from Ref. (20) with permission.
Figure 2:

Hematologic effects of iv. bolus administration of zymosan (A, C), and AmBisome (B, D) in rats. Values shown are mean±SE (n=8 rats in each group). *, **, ***: p<0.05, 0.01, 0.001 vs. the time 0 value. The zymosan and AmBisome doses were 10 and 22 mg/kg, normalized to phospholipid amount in case of AmBisome. The figure was modified from Ref. (20) with permission.

Regarding the destiny of platelets during thrombocytopenia in rats, Phillips et al isolated and labeled rat platelets with 111In, then re-infused the cells into the same animal (21). Fifteen minutes later the animals were infused with a 10% top load of LEH, as well as carrier liposomes or free bovine Hb. LEH, but not the controls, caused a transient 50% decrease in 111In platelet activity 2–5 min postinfusion, which returned to baseline levels by 15 min. Tracing of labeled platelets with a gamma scintigraphic camera showed them to be sequestered in the lungs and liver (21).

The causes and consequences of blood cell changes in CARPA

The role of anaphylatoxins in cell changes

Figures 3 and 4 place the blood cells changes in the complex scheme of CARPA. Figure 3 illustrates that the anaphylatoxins C3a and C5a stimulate mast cells, basophil leukocytes, secretory macrophages, WBC and platelets via their anaphylatoxin receptors to secrete a broad array of vasoactive and inflammatory mediators. These “allergomedins” (2, 3) then act on autonomic effector cells, e.g. smooth muscle cells and endothelial cells causing the circulatory and respiratory changes listed in the rightmost part of the figure.

Figure 3: The CARPA cascade. The hypothetical scheme, sketched on the basis of collective information in Refs. (2–4, 22–27), illustrates the steps and interactions among cells and reaction mediators. AR, anaphylatoxin receptors; Mast C, mast cells; sMF, secretory macrophages; WBC, white blood cells; PL, platelets; EC, endothelial cells; SMC, smooth muscle cells. Figure reproduced from (8) with permission.
Figure 3:

The CARPA cascade. The hypothetical scheme, sketched on the basis of collective information in Refs. (2–4, 22–27), illustrates the steps and interactions among cells and reaction mediators. AR, anaphylatoxin receptors; Mast C, mast cells; sMF, secretory macrophages; WBC, white blood cells; PL, platelets; EC, endothelial cells; SMC, smooth muscle cells. Figure reproduced from (8) with permission.

Figure 4: Inter-relations among the different abnormalities during CARPA, leading to clinical symptoms. Hypothetical scheme delineated on the basis of collective information in Refs. (2–4, 22–27). The physiological changes and clinical symptoms are boxed with yellow and red background, respectively. Figure reproduced from (8) with permission.
Figure 4:

Inter-relations among the different abnormalities during CARPA, leading to clinical symptoms. Hypothetical scheme delineated on the basis of collective information in Refs. (2–4, 22–27). The physiological changes and clinical symptoms are boxed with yellow and red background, respectively. Figure reproduced from (8) with permission.

The fact that that the above listed cells express anaphylatoxin receptors, and that these receptors mediate rapid and massive functional changes have been known and studied for a long time (22–27). Particularly important evidence in this regard is the concentration-dependent, saturable binding of C5a to monocytes/macrophages and neutrophils, leading to myeloperoxidase release, which is an index of degranulation, i.e. release of multiple vasoactive substances (28). Nonmyeloid cells that express anaphylatoxin receptors include endothelial and epithelial cells and smooth muscle cells, responding to anaphylatoxin binding with increased permeability and contraction, respectively (22, 23).

In addition to the above data, there is ample direct experimental evidence for the causal role of anaphylatoxins in CARPA and associated blood cell changes. One such evidence is the inhibitory effect of an anti-porcine C5a antibody (GS1) (29) on liposome-induced porcine CARPA (13), and another one is the prevention of LEH-induced thrombocytopenia in rats by decomplementing the animals (30). The latter experiment showed that in C-depleted rats the platelet counts did not change following injection of LEH, while in control rats 40% thrombocytopenia developed within 4 min after treatment. This was followed by gradual return of platelet counts to normal levels over 60 min. The drop in circulating platelets was correlated with a rapid redistribution of 111In-platelets from the circulation to the lungs and liver, whereas C-depleted rats showed no sequestration of platelets into these organs.

Figure 4 extends Figure 3 inasmuch as it illustrates the complex interactions among blood cells and circulatory and respiratory changes that underlie the clinical symptoms of CARPA. These include, in order of increasing severity: headache, chills, fever, tachycardia, pruritus, rash, flushing, hypotension, hypertension, shortness of breath, apnea, facial swelling, chest pain, back pain, tightness in the chest and throat, arrhythmias, bradyarrhythmia, cyanosis, syncope, anaphylactic shock, myocardial infarction, cardiac arrest, death (2–4). The blood cell changes in the middle of the scheme play an important contributing role to the physiologial changes (22–27).

Platelet changes and interactions during CARPA

Figures 3 and 4 show, among many interactions, that the cascade of cellular and molecular interactions involved in CARPA includes platelet-leukocyte aggregation leading to the formation of leukothrombi, platelet-leuko microemboli, whose pulmonary sequestration can cause circulatory blockade in the lung. These cell transitions and migrations explain their depletion in blood, i.e. the pan-species leuko- and thrombocytopenia discussed above. The next sections provide molecular details of these changes.

Platelets: the mimosa of blood cells

Just like mimosas, platelets are known to be very fragile cells that sensitively and rapidly respond to changes in their milieu. Besides their fundamental role in coagulation, they actively participate in inflammatory reactions and in the pathogenesis of prominent diseases, like hypertension (31–33), hypercholesterolemia with atherosclerosis (34), thrombosis, asthma (35, 36), complications of diabetes (37, 38) angina pectoris, myocardial infarction and stroke (39). Platelet activation may occur as a consequence of various stimuli, e.g. high shear, physical activity, alterations of the endocrine and homeostatic milieu. Figure 5 shows that the activation of platelets results in shape and surface changes that greatly expand the surface of these cells interacting with each other as well as with endothelium and circulating leukocytes. In addition, stimulated platelets release several soluble mediators, including PF4, PDGF, IL-1β, tissue factor and CD40L.

Figure 5: Electron micrographs of resting (A) and activated platelets (B). Figure downloaded from http://vet.uga.edu/ivcvm/courses/VPAT5200/01_circulation/hemostasis/hemostasis03.html.
Figure 5:

Electron micrographs of resting (A) and activated platelets (B). Figure downloaded from http://vet.uga.edu/ivcvm/courses/VPAT5200/01_circulation/hemostasis/hemostasis03.html.

Platelet-complement interactions

Recent studies have shown that platelets also interact with the C cascade, bridging the coagulation and immune systems. However, importantly, resting platelets do not express anaphylatoxin receptors (28, 40), only activated platelets do it. Along this line, Patzelt et al have shown that the expression of anaphylatoxin-receptors on platelets strongly correlated with their state of activation, measured by the expression of activation markers P-selectin and SDF-1 (40). On the other hand, activated platelets not only express anaphylatoxin receptors, but many other molecules that themselves activate C, and therefore accelerate C action. Thus, activated platelets have an intrinsic capacity to activate C, both the classical and alternative pathways. This has been shown when activated platelets were exposed to normal plasma or serum, and C activation was proportional to the extent of platelet activation and depended on the activator (41–45). Platelets can activate C via different mechanisms, which have been proven for both adherent and circulating platelets in suspension. In these C activations P selectin, receptor for the globular head of C1q (gC1qR/p33) and chondroitin sulfate were shown to play key roles (43). What is known about these platelet surface molecules?

P-selectin is a well-known adhesive protein of the platelet mediating interactions with P-selectin glycoprotein ligand-1 (PSGL-1) on the vascular endothelium and leukocytes. P-selectin is stored in the alpha granules of the platelet and translocated to the surface membrane rapidly upon activation, therefore its expression is a classical marker of platelet activity. P-selectin contains 9 C binding domains, one of which has been identified as a C3b binding site. Ligation of P-selectin leads to C3b deposition, C3a generation, and C5b-9 formation and was shown to be sufficient to activate the C cascade without any further stimuli. Besides P-selectin, alpha granules also contain C1 inhibitor and factor D that cleaves factor B to its active form. Therefore, when P-selectin is presented on the surface of platelets, C activation via the classical pathway becomes restricted and the alternative pathway becomes dominant (43, 46).

The receptor for the globular head of C1q (gC1qR) is expressed on the surface of adherent platelets and platelet microparticles. Collagen binding induces enhanced surface expression of the receptor, while other agonists fail to exhibit such function. The gC1qR molecule contributes to in situ classical pathway C activation (43, 47), but it also has been shown to interact not only with C1q but also with a variety of structurally distinct ligands, such as proteins of the blood coagulation system [high molecular weight (HMW) kininogen, factor XII].

Chondroitin sulfate has been shown to be stored in platelet alpha granula and gets exposed on the surface of platelets rapidly in response to a variety of agonists, including ADP, collagen, adrenalin and thrombin. As other glucosaminoglycans, chondroitin sulfate facilitates the binding of soluble proteins on the surface. C1q has been shown to bind to chondroitin sulfate in high amounts, while C activation was abolished in the absence of C1q. Following activation with thrombin receptor activating peptide (TRAP), chondroitin sulfate is expressed and C1q, C4, C3 and C9 are bound to the platelet surface (48). As it has been demonstrated recently, C4BP and factor H also bind to platelet chondroitin sulfate-A. The chondroitin sulfate present in the alpha granules of platelets is fully sulfated (48). In a clinical observation, injection of an over-sulfated form of chondroitin sulfate caused fatal anaphlyactoid reaction by activating both the C and the contact systems (49).

Activation of surface adherent, as well as circulating platelets can be triggered by agonists or shear (44). When platelets are activated, C1q, C3b, C4 and C5-9 are deposited on their surface. However, C activation is strictly regulated on platelets, therefore, binding of C elements on the platelet surface does not always result in activation. Platelet activation and consequent C activation may participate in several physiological and pathophysiological processes. Shear induces platelet activation and, in turn, C activation via the classical pathway. Activation of platelets by platelet agonists induces C activation mainly by the alternative pathway. This may result from the mechanism of platelet activation when it results in alpha granule release, which contains C1 inhibitor reducing the classical pathway activation. In this process, weak agonists such as ADP were found to induce less, and thrombin to induce more intense activation of the C cascade.

As a consequence of platelet mediated C activation, activation of the clotting cascade can lead to the generation of C3a and C5a. Beside further activation of platelet functions in a positive feedback cycle, these anaphylatoxins invite leukocytes to the site of platelet activation and activate them (50). This activation may result in the induction of inflammatory pathways as well as formation of heteroaggregates which further enhances the functions of leukocytes and platelets. In the studies of Yin et al. (43), platelet mediated C activation was associated with generation of physiologically relevant levels of inflammatory peptides, C4a, C3a and C5a which support recruitment of leukocytes and increase vascular permeability (46).

Platelet activation by complement

Complement elements interact with circulating platelets, resulting in platelet activation and enhanced coagulation, linking thereby inflammatory and thrombotic events (46). Some elements of the C cascade were shown to be able to activate resting platelets or interact with other platelet-challenging factors. Ligation of C1q receptor leads to platelet activation and elevated surface P-selectin expression. Sublytic concentration of the terminal complex (C5b-9) results in platelet activation by inducing transient membrane depolarisation, granule secretion and generation of platelet microparticles (51–53) as well as translocation of phosphatidylserine to the outer membrane leaflet, enhancing thereby platelet procoagulant activity (53, 54). C3 and C5b-9 have been shown to potentiate thrombin-induced platelet secretion and aggregation. The potent anaphylatoxin, C3a also induces platelet activation and aggregation (55). Platelet microparticles (PMP) can express 50- to 100-fold higher procoagulant activity compared to activated platelets (56). They present glycoproteins Ib, IIb/IIIa, and P-selectin on the surface membrane ready to interact with leukocytes and the vascular endothelium, enhancing thereby vascular inflammation (57–59). Platelet microparticles support in situ C activation via the classical and alternative pathways. Similarly to platelets, PMP express C regulatory proteins on their surface, e.g. C1 inhibitor (C1-INH), as well as CD55 and CD59 (43). C3b and C5b-9 deposition was also observed on PMP (43). Certain bacteria have been shown to be able to activate platelets by a C and antibody dependent mechanism (60) where C proteins and fibrinogen binding of Gp IIb/IIIa were needed for platelet activation.

Leukocyte-platelet aggregation

Leukocytes and platelets are known to interact dynamically in a variety of physiological and pathophysiological processes. Monocyte-platelet aggregates are very sensitive markers of platelet activation; leukocyte-platelet heteroaggregation occurs in a variety of diseases from mild homeostatic changes to acute life-threatening events. Elevated heteroaggregate levels were found in a series of abnormal conditions resulting platelet activation, e.g. high shear, endocrine disorders, diabetes, atherosclerosis, hypertension etc. Platelet activation, however, also results in C activation, as discussed earlier. In spite of the similar mechanism and pathophysiology of these functions, the link between C activation and leukocyte-platelet aggregation has not been intensely studied.

Activated platelets are prone to form heteroaggregates with leukocytes, mainly monocytes. Therefore, elevation of heteroaggregates can be measured in a variety of diseases when platelets become activated. Moreover, formation of platelet-monocyte aggregates has been shown to be a more sensitive marker of platelet activation than platelet surface P-selectin.

Platelets attach to monocytes in a two-step process, which is mediated by selectins and integrins. As a first step, P-selectin is connected to the leukocyte PSGL-1, which connection is then stabilized by the ligation of the leukocyte integrin Mac-1. On the platelet, the membrane receptor called GPIba (GP-Ib) has been shown to interact with Mac-1. Platelet integrin GpIIb/IIIa also contributes to the stabilization of the complex by Mac-1, when fibrinogen or other ligands, e.g. CD40L are present. This is very similar to the formation of platelet-platelet aggregates when GpIIb/IIIa receptors are connected via fibrinogen. These adhesive interactions result directly in the activation of the participating cells by signal transduction pathways, as it is shown for Mac-1, and, secondly, it allows an enhanced paracrine communication between the cells. Platelets and leukocytes release a series of soluble inflammatory and thrombogenic mediators following the ligation of the participating receptors. As shown in Figure 6, platelet-monocyte heteroaggregation enhances cytokine and prostanoid production by monocytes, as well as their adhesiveness to the vascular endothelium. Moreover, attachment of platelets to monocytes induces CD16 up-regulation on CD14+CD16– monocytes resulting in a fenotype change and a higher pro-inflammatory activity.

Figure 6: Platelet-monocyte adhesive interactions and inflammatory reactions following complement triggered activation. Platelet-monocyte heteroaggregation is initiated by the ligation of P-selectin to PSGL-1 on monocytes. As a result integrin Mac-1 gets upregulated, and inflammatory mediators are released. Monocyte-platelet complex is then stabilized by Mac-1 which interacts with GpIb and GpIIbIIIa on the platelet. Stabilization via GpIIb/IIIA and Mac-1 needs a soluble ligand present in the plasma or originating from the activated platelet such as fibrinogen or CD40L. CD40L also further increases inflammatory reactions of the monocyte.
Figure 6:

Platelet-monocyte adhesive interactions and inflammatory reactions following complement triggered activation. Platelet-monocyte heteroaggregation is initiated by the ligation of P-selectin to PSGL-1 on monocytes. As a result integrin Mac-1 gets upregulated, and inflammatory mediators are released. Monocyte-platelet complex is then stabilized by Mac-1 which interacts with GpIb and GpIIbIIIa on the platelet. Stabilization via GpIIb/IIIA and Mac-1 needs a soluble ligand present in the plasma or originating from the activated platelet such as fibrinogen or CD40L. CD40L also further increases inflammatory reactions of the monocyte.

Complement activation and leukocyte-platelet interactions

As delineated above, the result of leukocyte-platelet binding is subsequent activation of the participating cells, release of soluble mediators, elevation and activation of surface adhesion molecules and acceleration of thrombotic and inflammatory processes. The soluble mediators originating from activated platelets and leukocytes, as well as the shape change of adherent platelets may contribute to C activation.

Platelets and leukocytes communicate intensively via C activation

P-selectin alone was able to activate the C system, which may be due to its C binding ability. C3b deposition has been observed on platelets upon activation and P-selectin has been identified as a C3b receptor. P-selectin also mediated platelet adhesion to immobilized C3b under flow. This represents a possibility of interaction between the leukocytes (via Mac-1) and the platelet, however, so far P-selectin has been considered to play role in the firm adhesion and Mac-1 in the stabilization of the complex. Moreover, ligation of C3b on platelet P-selectin results in enhanced complement activation and C3a generation with consequent leukocyte activation. C3a also induces platelet activation and aggregation. In addition, sublitic concentrations of C5b-9 result in platelet activation, membrane depolarisation, granule secretion, formation of procoagulant microparticles and phosphatidylserine translocation in the membrane (61). Similarly, an activator function has been assigned to C5b-9 when endothelial cells were exposed to C. These cells defend themselves by exocytosing the attacked membrane portion. Taken together, C activation and its byproducts provide non-contact cross-talk between leukocytes, platelets and endothelial cells via several routes and mechanisms.

Mechanism of pulmonary hypertension in CARPA

Figure 7 illustrates the steps that lead to pulmonary hypertension, at least in pigs (7), based on the discussed multiple interactions among anaphylatoxins, PIM (pulmonary intravascular macrophage) cells, WBC, platelets, and endothelial cells. The anaphylatoxins formed during C activation (only C5a shown) activate the PIM cells, monocytes and PMN, activated platelets and endothelial cells, resulting the formation of leukocyte-platelet aggregates, which then nucleate microtrombus formation. Anaphylatoxin activation of endothelial cells leads to increased capillary permeability, allowing direct access of smooth muscle cells (SMC) to TXA2, a highly potent vasoconstrictor via causing SMC contraction. Microthrombus formation, together with vasoconstriction, lead to circulatory blockage, and, hence, pulmonary hypertension. Importantly, PIM cells are also activated by direct binding of C activating nanoparticles, e.g. of liposomes to these cells via their pattern recognition receptors, providing a second or “double hit” on these cells to stimulate their degranulation and secretion TXA2 (7).

Figure 7: Molecular and cellular interactions underlying the pulmonary hypertension observed in CARPA. The steps are described in the text. SMC, smooth muscle cells; Mon, monocytes; PL, platelets; aPL, Activated platelets; C5aR, C5a receptor; L-PL aggr, leukocyte-platelet aggregates, PRR, patter recognition receptors, Lip, liposomes (Doxil).
Figure 7:

Molecular and cellular interactions underlying the pulmonary hypertension observed in CARPA. The steps are described in the text. SMC, smooth muscle cells; Mon, monocytes; PL, platelets; aPL, Activated platelets; C5aR, C5a receptor; L-PL aggr, leukocyte-platelet aggregates, PRR, patter recognition receptors, Lip, liposomes (Doxil).

In addition to CARPA-associated pulmonary hypertension, clinical studies have shown that pathologic conditions with excessive C activation (depleted negative regulators e.g. PNH or HUS) are characterised by thrombosis and platelet hyper-reactivity.

Platelet microparticles

Platelet microparticles (PMP) are released to the circulation following platelet activation. Microparticles exhibit similar activities, and even exceed those exhibited by platelets. PMP can express 50- to 100 fold higher procoagulant activity compared to activated platelets (56). Complement activation occurs in the presence of microparticles and is mediated by the same mechanisms as found for platelets (43). Similarly to platelets, platelet microparticles express gC1qR, C1 inhibitor, CD55 and CD59 on their surfaces. In situ C activation may also contribute to the clearance of activated platelets and platelet microparticles from the circulation, via deposition of C1q and generation of cell surface associated C3b (62).

Relationship between platelet and complement activation disease

It was demonstrated that in patients with elevated cardiovascular risk or enhanced atherosclerosis C elements (C5a) are elevated (63). As shown earlier, in these cases platelets are more activated and elevated monocyte-platelet aggregates (MPA) were measured. As activated platelets not only alter the C functions but at the same time they interact with leukocytes, it would be interesting to study the effect of C elements on leukocyte-platelet aggregate formation, and in turn, the alterations of cell functions following C mediated activation.

Complement and monocyte-platelet aggregates

Despite data suggesting parallel functions of platelet-leukocyte interactions and C activation, the role of leukocyte-platelet aggregate formation in anaphylactoid reactions is not clear. Namely, pulmonary hypertension is one of the life-threatening side effects of excessive C activation. In anaphylactoid reactions, obstruction of pulmonary vessels by immune precipitates and aggregates of PMN leukocytes and platelets was observed. It also has been stated that (the second, protracted phase of) anaphylactoid reactions are less intense in leukopenic animals (64). The hypotension observed during anaphylaxis was also more marked in normal than in leukopenic animals.

The administration of C1q inhibitor not only inhibited C, but also leukocyte and platelet activation in a pig to human transplantation model (65). C1q INH also binds to E-and P-selectins and interferes with leukocyte adhesion. Leukocytes and platelets are activated also when pig kidney is perfused with human blood. In this experiment C system was activated and significant leukocyte and platelet activation was observed. Administration of C1-INH/C1 inhibition significantly reduced leukocyte and platelet aggregation (65).

Figure 8 shows that C elements activate platelets and leukocytes which is followed by the interaction of these cells. Activated platelets attach to leukocytes, and this interaction enhances prothorombotic and proinflammatory processes. Soluble mediators derived from this interaction, such as fibrinogen and CD40L stabilize heteroaggregates by ligation of the fibrinogen receptors of both cell types while leukocyte and platelet activation amplify C activation. These processes also lead to the liberation of proinflammatory and prothrombotic mediators and expression of adhesion molecules: P-selectin, GpIIb/IIIa, Mac-1-heteroaggregate formation.

Figure 8: Scheme of interactions between leukocytes, platelets and C proteins.
Figure 8:

Scheme of interactions between leukocytes, platelets and C proteins.

Activation of the C system has been associated with prelesional stages of atherosclerosis and the progression of the disease. Complement elements are deposited in atherosclerotic lesions (66). In endothel C5b-9 promotes the secretion of vWF and elevated expression of P-selectin, E-selectin, intracellular adhesion molecules (ICAM), TF, MCP-1, IL-b, and IL-8 promoting leukocyte adhesion. Complement is also activated in ischaemia-reperfusion injury (67).

Leukocyte and platelet counts in anaphylaxis

In anaphylaxis leukocyte-platelet aggregates are rapidly cleared from circulation primarily because their entrapment in the pulmonary circulation (64). Consequently, interruption of leukocyte-platelet interactions may have important therapeutic consequences to prevent complications of anaphylactoid reactions. One of these possibilities is the administration of GpIIb/IIIa inhibitor abciximab as it not only inhibits the fibrinogen receptor of platelets but also affects Mac-1, thereby (possibly) preventing the stabilization of leukocyte-platelet aggregates.

Summary and outlook

CARPA has traditionally been prevented or inhibited by nonspecific interventions, such as stopping or slowing the infusion, and/or administration of steroids, antihistamines and anti-inflammatory drugs (1-3). By highlighting the various molecular and cellular interactions involved in the process (each of which has specific inhibitors, some are already in the clinics), this review opens opportunity for considering and testing new and specific pharmacological inhibitors of CARPA.


Corresponding author: Zsófia Patkó, MD, PhD, Department of Nuclear Medicine, Borsod County University Hospital, Miskolc, Hungary, E-mail:

About the authors

Zsófia Patkó

Zsófia Patkó, MD, PhD is working as a resident doctor at the Department of Nuclear Diagnostics and Therapy at Borsod County University Hospital, Miskolc, Hungary. She graduated in 2004 at the Semmelweis University, Budapest. During her PhD studies she did research work at Albert Ludwigs University, Germany and the Military Hospital Budapest, Hungary. She received her PhD in 2013 at Semmelweis University in the field of leukocyte-platelet interactions. She is interested in the interactions of nanoparticles with the immune system and circulating blood elements.

János Szebeni

János Szebeni, MD, PhD, DSc, MedHabil, immunologist, director of the Nanomedicine Research and Education Center at Semmelweis University, Budapest, Hungary. He is also founder and CEO of a contract research SME “SeroScience”, and full Professor of (Immune) Biology at Miskolc University, Hungary. He has held various guest professor and scientific positions in Hungary and abroad, mostly in the USA where he lived for 22 years. His research on various themes in hematology, membrane biology and immunology resulted more than 100 scientific papers (citations: >4550, H index: 35), 14 book chapters, two granted patents, a book entitled “The Complement System: Novel Roles in Health and Disease” (Kluwer, 2004). Three fields stand out where he has been most active: artificial blood, liposomes and the complement system. His original works led to the “CARPA” concept, i.e. that complement activation underlies numerous drug-induced (pseudo)allergic (anaphylactoid) reactions.

Acknowledgments

We acknowledge the financial support to the Nanomedicine Research and Education Center at Semmelweis University from Gedeon Richter NyRT and EU FP7 projects No: 309820 (NanoAthero), 310337 (CosmoPhos), 602923 (TheraGlio) and 281035 (TransInt).

References

1. Szebeni J. Complement activation-related pseudoallergy caused by liposomes, micellar carriers of intravenous drugs and radiocontrast agents. Crit Rev Ther Drug Carr Syst 2001;18:567–606.10.1615/CritRevTherDrugCarrierSyst.v18.i6.50Search in Google Scholar

2. Szebeni J. Complement activation-related pseudoallergy: mechanism of anaphylactoid reactions to drug carriers and radiocontrast agents. In: Szebeni J, editor. The complement system: novel roles in health and disease. Boston: Kluwer, 2004:399–440.Search in Google Scholar

3. Szebeni J. Complement activation-related pseudoallergy: a new class of drug-induced immune toxicity. Toxicology 2005;216:106–21.10.1016/j.tox.2005.07.023Search in Google Scholar PubMed

4. Szebeni J, Alving CR, Rosivall L, Bünger R, Baranyi L, Bedöcs P, et al. Animal models of complement-mediated hypersensitivity reactions to liposomes and other lipid-based nanoparticles. J Liposome Res 2007;17:107–17.10.1080/08982100701375118Search in Google Scholar PubMed

5. Szebeni J, Muggia F, Gabizon G, Barenholz Y. Activation of complement by therapeutic liposomes and other lipid excipient-based therapeutic products: prediction and prevention. Adv Drug Deliv Rev 2011;63:1020–30.10.1016/j.addr.2011.06.017Search in Google Scholar PubMed

6. Szebeni J. Hemocompatibility testing for nanomedicines and biologicals: predictive assays for complement mediated infusion reactions. Eur J Nanomed 2012;5:33–53.10.1515/ejnm-2012-0002Search in Google Scholar

7. Szebeni J, Bedocs P, Csukas D, Rosivall L, Bunger R, Urbanics R. A porcine model of complement-mediated infusion reactions to drug carrier nanosystems and other medicines. Adv Drug Deliv Rev 2012;64:1706–16.10.1016/j.addr.2012.07.005Search in Google Scholar PubMed

8. Szebeni J. Complement activation-related pseudoallergy: a stress reaction in blood triggered by nanomedicines and biologicals. Mol Immunol 2014;61:163–73.10.1016/j.molimm.2014.06.038Search in Google Scholar PubMed

9. Szebeni J, Jiskoot W. Immunological issues with nanomedicines: immunogenicity, hypersensitivity, accelerated clearance and immune suppression. In: Torchillin V, editor. Handbook of nanobiomedical research. Singapore: World Scientific, 2014:45–73.Search in Google Scholar

10. Szebeni J. Complement activation by nanomaterials. In: Fadeel B, editor. Handbook of safety assessment of nanomaterials: from toxicological testing to personalized medicine. Pan Stanford Publishing Pte. Ltd., 2015:281–310.Search in Google Scholar

11. Meth MJ, Maibach HI. Current understanding of contrast media reactions and implications for clinical management. Drug Saf 2006;29:133–41.10.2165/00002018-200629020-00003Search in Google Scholar PubMed

12. Kovoor ET, Morgan G. Severe transient leukopenia following hysterosalpingography. Gynecol Obstet Invest 2010;69:190–2.10.1159/000268087Search in Google Scholar PubMed

13. Szebeni J, Fontana JL, Wassef NM, Mongan PD, Morse DS, Dobbins DE, et al. Hemodynamic changes induced by liposomes and liposome-encapsulated hemoglobin in pigs: a model for pseudoallergic cardiopulmonary reactions to liposomes. Role of complement and inhibition by soluble CR1 and anti-C5a antibody. Circulation 1999;99:2302–9.10.1161/01.CIR.99.17.2302Search in Google Scholar

14. Hugli TE. The structural basis for anaphylatoxin and chemotactic functions of C3a, C4a, and C5a. Crit Rev Immunol 1981;1:321–66.Search in Google Scholar

15. Hugli TE, Marceau F. Effects of the C5a anaphylatoxin and its relationship to cyclo-oxygenase metabolites in rabbit vascular strips. Br J Pharmacol 1985;84:725–33.10.1111/j.1476-5381.1985.tb16155.xSearch in Google Scholar

16. Ember JA, Sanderson SD, Hugli TE, Morgan EL. Induction of interleukin-8 synthesis from monocytes by human C5a anaphylatoxin. Am J Pathol 1994;144:393–403.Search in Google Scholar

17. Rabinovici R, Rudolph AS, Feuerstein G. Characterization of hemodynamic, hematologic and biochemical responses to administration of liposome-encapsulated hemoglobin in the conscious, freely moving rat. Circ Shock 1989;29:115–32.Search in Google Scholar

18. Rabinovici R, Rudolph AS, Ligler FS, Smith III EF, Feuerstein G. Biological responses to exchange transfusion with liposome-encapsulated hemoglobin. Circ Shock 1992;37:124–33.Search in Google Scholar

19. Rabinovici R, Rudolph AS, Vernick J, Feuerstein G. Lyophilized liposome-encapsulated hemoglobin: evaluation of hemodynamic, biochemical, and hematologic responses. Crit Care Med 1994;22:480–5.10.1097/00003246-199403000-00019Search in Google Scholar

20. Dézsi L, Fülöp T, Mészáros T, Szénási G, Urbanics R, Vázsonyi C, et al. Features of complement activation-related pseudoallergy to liposomes with different surface charge and PEGylation: comparison of the porcine and rat responses. J Control Release 2014;195:2–10.10.1016/j.jconrel.2014.08.009Search in Google Scholar

21. Phillips WT, Klipper R, Fresne D, Rudolph AS, Javors M, Goins B. Platelet reactivity with liposome-encapsulated hemoglobin in the rat. Exp Hematol 1997;25:1347–56.Search in Google Scholar

22. Klos A, Tenner AJ, Johswich KO, Ager RR, Reis ES, Köhl J. The role of the anaphylatoxins in health and disease. Mol Immunol 2009;46:2753–66.10.1016/j.molimm.2009.04.027Search in Google Scholar

23. Klos A, Wende E, Wareham KJ, Monk PN. International union of pharmacology. LXXXVII. complement peptide C5a, C4a, and C3a receptors. Pharmacol Rev 2013;65:500–43.10.1124/pr.111.005223Search in Google Scholar

24. Heideman M, Hugli TE. Anaphylatoxin generation in multisystem organ failure. J Trauma 1984;24:1038–43.10.1097/00005373-198412000-00006Search in Google Scholar

25. Hugli TE. Structure and function of anaphylatoxins. Spring Semin Immunopathol 1984;7:193–219.10.1007/BF01893020Search in Google Scholar

26. Marceau F, Lundberg C, Hugli TE. Effects of anaphylatoxins on circulation. Immunopharmacol 1987;14:67–84.10.1016/0162-3109(87)90031-2Search in Google Scholar

27. Mousli M, Hugli TE, Landry Y, Bronner C. A mechanism of action for anaphylatoxin C3a stimulation of mast cells. J Immunol 1992;148:2456–61.10.4049/jimmunol.148.8.2456Search in Google Scholar

28. Yancey KB, Lawley TJ, Dersookian M, Harvath L. Analysis of the interaction of human C5a and C5a des Arg with human monocytes and neutrophils: flow cytometric and chemotaxis studies. J Invest Dermatol 1989;92:184–9.10.1111/1523-1747.ep12276710Search in Google Scholar PubMed

29. Stahl GL, Behroozi F, Morrissey M. Monoclonal antibody, GS1, functionally inhibits porcine C5a induced neutrophil activation, but not C5b-9 formation. FASEB J 1997;11:A331.Search in Google Scholar

30. Goins B, Phillips WT, Klipper R, Rudolph AS. Role of complement in rats injected with liposome-encapsulated hemoglobin. J Surg Res 1997;68:99–105.10.1006/jsre.1997.5014Search in Google Scholar PubMed

31. Nityanand S, Pande I, Bajpai VK, Singh L, Chandra M, Singh BN. Platelets in essential hypertension. Thrombosis Res 1993;72:447–54.10.1016/0049-3848(93)90245-JSearch in Google Scholar

32. Nadar SK, Blann AD, Lip GY. Plasma and platelet-derived vascular endothelial growth factor and angiopoietin-1 in hypertension: effects of antihypertensive therapy. J Intern Med 2004;256:331–7.10.1111/j.1365-2796.2004.01367.xSearch in Google Scholar PubMed

33. Nadar SK, Blann AD, Kamath S, Beevers DG, Lip GY. Platelet indexes in relation to target organ damage in high-risk hypertensive patients: a substudy of the Anglo-Scandinavian Cardiac Outcomes Trial (ASCOT). J Am Coll Cardiol 2004;44:415–22.10.1016/j.jacc.2004.03.067Search in Google Scholar PubMed

34. Broijersen A, Hamsten A, Eriksson M, Angelin B, Hjemdahl P. Platelet activity in vivo in hyperlipoproteinemia--importance of combined hyperlipidemia. Thromb Haemost 1998;79:268–75.10.1055/s-0037-1615005Search in Google Scholar

35. Tian J, Zhu T, Liu J, Guo Z, Cao X. Platelets promote allergic asthma through the expression of CD154. Cell Mol Immunol 2014 Nov 24. doi: 10.1038/cmi.2014.111. [Epub ahead of print].10.1038/cmi.2014.111Search in Google Scholar PubMed PubMed Central

36. Cattaneo M. The platelet P2 receptors in inflammation. Hamostaseologie 2015;35(2). Epub 2015/01/13.10.5482/HAMO-14-09-0044Search in Google Scholar PubMed

37. Jinchuan Y, Zonggui W, Jinming C, Li L, Xiantao K. Upregulation of CD40--CD40 ligand system in patients with diabetes mellitus. Clin Chim Acta 2004;339:85–90.10.1016/j.cccn.2003.09.007Search in Google Scholar PubMed

38. Lupu C, Manduteanu I, Calb M, Simionescu N, Simionescu M, Ionescu M. Some major plasmalemma proteins of human diabetic platelets are involved in the enhanced platelet adhesion to cultured valvular endothelial cells. Platelets 1993;4:79–84.10.3109/09537109309013200Search in Google Scholar PubMed

39. Nadar SK, Lip GY, Blann AD. Platelet morphology, soluble P selectin and platelet P-selectin in acute ischaemic stroke. The West Birmingham stroke project. Thromb Haemost 2004;92:1342–8.10.1160/TH04-07-0433Search in Google Scholar PubMed

40. Patzelt J, Mueller KA, Breuning S, Karathanos A, Schleicher R, Seizer P, et al. Expression of anaphylatoxin receptors on platelets in patients with coronary heart disease. Atherosclerosis 2015;238:289–95.10.1016/j.atherosclerosis.2014.12.002Search in Google Scholar PubMed

41. Peerschke EI, Yin W, Grigg SE, Ghebrehiwet B. Blood platelets activate the classical pathway of human complement. J Thromb Haemost 2006;4:2035–42.10.1111/j.1538-7836.2006.02065.xSearch in Google Scholar

42. Peerschke EI, Yin W, Ghebrehiwet B. Platelet mediated complement activation. Adv Exp Med Biol 2008;632:81–91.10.1007/978-0-387-78952-1_7Search in Google Scholar

43. Yin W, Ghebrehiwet B, Peerschke EI. Expression of complement components and inhibitors on platelet microparticles. Platelets 2008;19:225–33.10.1080/09537100701777311Search in Google Scholar

44. Peerschke EI, Yin W, Ghebrehiwet B. Complement activation on platelets: implications for vascular inflammation and thrombosis. Mol Immunol 2010;47:2170–5.10.1016/j.molimm.2010.05.009Search in Google Scholar

45. Peerschke EI, Andemariam B, Yin W, Bussel JB. Complement activation on platelets correlates with a decrease in circulating immature platelets in patients with immune thrombocytopenic purpura. Br J Haematol 2010;148:638–45.10.1111/j.1365-2141.2009.07995.xSearch in Google Scholar

46. Del Conde I, Cruz MA, Zhang H, Lopez JA, Afshar-Kharghan V. Platelet activation leads to activation and propagation of the complement system. J Exp Med 2005;201:871–9.10.1084/jem.20041497Search in Google Scholar

47. Peerschke EI, Murphy TK, Ghebrehiwet B. Activation-dependent surface expression of gC1qR/p33 on human blood platelets. Thromb Haemost 2003;89:331–9.10.1055/s-0037-1613450Search in Google Scholar

48. Hamad OA, Nilsson PH, Lasaosa M, Ricklin D, Lambris JD, Nilsson B, et al. Contribution of chondroitin sulfate A to the binding of complement proteins to activated platelets. PLoS One 2010;5:e12889.10.1371/journal.pone.0012889Search in Google Scholar

49. Kishimoto TK, Viswanathan K, Ganguly T, Elankumaran S, Smith S, Pelzer K, et al. Contaminated heparin associated with adverse clinical events and activation of the contact system. N Engl J Med 2008;358:2457–67.10.1056/NEJMoa0803200Search in Google Scholar

50. Fukuoka Y, Hugli TE. Demonstration of a specific C3a receptor on guinea pig platelets. J Immunol 1988;140:3496–501.10.4049/jimmunol.140.10.3496Search in Google Scholar

51. Wiedmer T, Sims PJ. Effect of complement proteins C5b-9 on blood platelets. Evidence for reversible depolarization of membrane potential. J Biol Chem 1985;260:8014–9.10.1016/S0021-9258(17)39556-XSearch in Google Scholar

52. Ando B, Wiedmer T, Hamilton KK, Sims PJ. Complement proteins C5b-9 initiate secretion of platelet storage granules without increased binding of fibrinogen or von Willebrand factor to newly expressed cell surface GPIIb-IIIa. J Biol Chem 1988;263:11907–14.10.1016/S0021-9258(18)37872-4Search in Google Scholar

53. Wiedmer T, Esmon CT, Sims PJ. Complement proteins C5b-9 stimulate procoagulant activity through platelet prothrombinase. Blood 1986;68:875–80.10.1182/blood.V68.4.875.875Search in Google Scholar

54. Wiedmer T, Esmon CT, Sims PJ. On the mechanism by which complement proteins C5b-9 increase platelet prothrombinase activity. J Biol Chem 1986;261:14587–92.10.1016/S0021-9258(18)66911-XSearch in Google Scholar

55. Polley MJ, Nachman RL. Human platelet activation by C3a and C3a des-arg. J Exp Med 1983;158:603–15.10.1084/jem.158.2.603Search in Google Scholar

56. Sinauridze EI, Kireev DA, Popenko NY, Pichugin AV, Panteleev MA, Krymskaya OV, et al. Platelet microparticle membranes have 50- to 100-fold higher specific procoagulant activity than activated platelets. Thromb Haemost 2007;97:425–34.10.1160/TH06-06-0313Search in Google Scholar

57. George JN, Pickett EB, Saucerman S, McEver RP, Kunicki TJ, Kieffer N, et al. Platelet surface glycoproteins. Studies on resting and activated platelets and platelet membrane microparticles in normal subjects, and observations in patients during adult respiratory distress syndrome and cardiac surgery. J Clin Invest 1986;78:340–8.10.1172/JCI112582Search in Google Scholar

58. Martinez MC, Tesse A, Zobairi F, Andriantsitohaina R. Shed membrane microparticles from circulating and vascular cells in regulating vascular function. Am J Physiol Heart Circ Physiol 2005;288:H1004–9.10.1152/ajpheart.00842.2004Search in Google Scholar

59. Barry OP, Pratico D, Savani RC, FitzGerald GA. Modulation of monocyte-endothelial cell interactions by platelet microparticles. J Clin Invest 1998;102:136–44.10.1172/JCI2592Search in Google Scholar

60. Miajlovic H, Loughman A, Brennan M, Cox D, Foster TJ. Both complement- and fibrinogen-dependent mechanisms contribute to platelet aggregation mediated by Staphylococcus aureus clumping factor B. Infect Immun 2007;75:3335–43.10.1128/IAI.01993-06Search in Google Scholar

61. Sims PJ, Rollins SA, Wiedmer T. Regulatory control of complement on blood platelets. Modulation of platelet procoagulant responses by a membrane inhibitor of the C5b-9 complex. J Biol Chem 1989;264:19228–35.10.1016/S0021-9258(19)47291-8Search in Google Scholar

62. Mevorach D, Mascarenhas JO, Gershov D, Elkon KB. Complement-dependent clearance of apoptotic cells by human macrophages. J Exp Med 1998;188:2313–20.10.1084/jem.188.12.2313Search in Google Scholar

63. Speidl WS, Exner M, Amighi J, Kastl SP, Zorn G, Maurer G, et al. Complement component C5a predicts future cardiovascular events in patients with advanced atherosclerosis. Eur Heart J 2005;26:2294–9.10.1093/eurheartj/ehi339Search in Google Scholar

64. Movat HZ, Uriuhara T, Taichman NS, Rowsell HC, Mustard JF. The role of PMN-leucocyte lysosomes in tissue injury, inflammation and hypersensitivity. VI. The participation of the PMN-leucocyte and the blood platelet in systemic aggregate anaphylaxis. Immunology 1968;14:637–48.Search in Google Scholar

65. Fiane AE, Videm V, Johansen HT, Mellbye OJ, Nielsen EW, Mollnes TE. C1-inhibitor attenuates hyperacute rejection and inhibits complement, leukocyte and platelet activation in an ex vivo pig-to-human perfusion model. Immunopharmacology 1999;42:231–43.10.1016/S0162-3109(99)00008-9Search in Google Scholar

66. Seifert PS, Hansson GK. Complement receptors and regulatory proteins in human atherosclerotic lesions. Arteriosclerosis 1989;9:802–11.10.1161/01.ATV.9.6.802Search in Google Scholar

67. Weiser MR, Williams JP, Moore FD, Jr., Kobzik L, Ma M, Hechtman HB, et al. Reperfusion injury of ischemic skeletal muscle is mediated by natural antibody and complement. J Exp Med 1996;183:2343–8.10.1084/jem.183.5.2343Search in Google Scholar PubMed PubMed Central

Received: 2015-4-13
Accepted: 2015-5-19
Published Online: 2015-6-10
Published in Print: 2015-6-1

©2015 by De Gruyter

Downloaded on 28.12.2025 from https://www.degruyterbrill.com/document/doi/10.1515/ejnm-2015-0021/html
Scroll to top button