Startseite Faster approximation to multivariate functions by combined Bernstein-Taylor operators
Artikel Open Access

Faster approximation to multivariate functions by combined Bernstein-Taylor operators

  • Oktay Duman EMAIL logo
Veröffentlicht/Copyright: 26. Mai 2025
Veröffentlichen auch Sie bei De Gruyter Brill

Abstract

In this article, we incorporate multivariate Taylor polynomials into the definition of the Bernstein operators to get a faster approximation to multivariate functions by these combined operators. We also give various numerical simulations including graphical illustrations and error estimations. Our results improve not only the linear approximation by classical Bernstein polynomials but also the nonlinear approximation obtained by max-product operations.

MSC 2010: 41A10; 41A25; 41A58

1 Introduction

The approximation of multivariate functions using Bernstein polynomials is a well-established topic. In this article, we focus on enhancing the rate of approximation by modifying Bernstein polynomials with the help of Taylor polynomials. The initial idea in this direction was introduced by Kirov [1] for the approximation of univariate functions. In this article, we first extend Kirov’s approach to the multivariate case, developing a framework to approximate multivariate functions more effectively. Second, we apply the same method to the nonlinear Bernstein operators modified using max-product operations. These modifications also lead to improved approximation results compared to the classical case. Our findings are supported by graphical representations and numerical values, which illustrate the superiority of the proposed modifications over the classical Bernstein operators.

In the classical approximation theory, one of the most effective known methods for (uniformly) approximating a multivariate function f that is continuous over the unit hypercube K is to use Bernstein polynomials B n ( f ) given by

(1.1) B n ( f ; x ) k = 0 n p n , k ( x ) f ( x k , n )

for n N and x = ( x 1 , , x m ) K = [ 0 , 1 ] m , where x k , n k n and p n , k ( x ) i = 1 m n k i x i k i ( 1 x i ) n k i for k = ( k 1 , , k m ) with k i { 0 , , n } ( i = 1 , , m ) . In (1.1), the symbol k = 0 n denotes the multi-summation k 1 = 0 n k m = 0 n . There are many references in the literature on Bernstein polynomials and their variants [212]. Also, especially for the univariate version of (1.1), denoted by B n ( f ) , we recommend the pioneering book by Lorentz [13]. Let us note that multivariate Bernstein polynomials can also be defined on the simplex domain S = { x = ( x 1 , , x m ) [ 0 , 1 ] m : x 1 + x 2 + x m 1 } , which is a subset of the unit hypercube [ 0 , 1 ] m . However, to broaden the scope of approximation in this article, we considered the definition given in (1.1) instead.

It is well known that the rate of convergence for approximation to continuous functions by Bernstein polynomials is of order 1 n . For the univariate case, we know from Lorentz that (see page 22 of [13]), if f belongs to the Lipschitz class Lip 1 , then B n ( f ; x ) f ( x ) C n for some positive constant C . It is interesting to note that this last estimate for Bernstein polynomials cannot be improved by assuming the existence of the second or higher derivatives of f . The main objective of this article is to increase this rate of convergence by modifying (1.1). For this purpose, we will incorporate multivariate Taylor polynomials into (1.1) and show that the approximation of functions by these combined operators is faster than Bernstein polynomials.

As usual, for a given r N 0 N { 0 } , C r ( K ) denotes the family of functions f : K R having continuous r th order partial derivatives. We also consider the next notation:

u = u 1 + + u m , u ! = u 1 ! u m ! , x u = x 1 u 1 x m u m , u f = 1 u 1 m u m = u f x 1 u 1 x m u m , u r .

With this terminology, the combined Bernstein-Taylor operators are defined by

(1.2) B n [ r ] ( f ; x ) k = 0 n p n , k ( x ) u r u f ( x k , n ) u ! ( x x k , n ) u

for f C r ( K ) . It is easy to check that if r = 0 , then (1.2) reduces to (1.1), that is, B n [ 0 ] = B n . It should be noted that the univariate version of (1.2) was first examined by Kirov [1]. However, to the best of our knowledge, the multidimensional version of such a work has not been studied yet. The difficulty is probably due to the complexity of higher order partial derivatives of functions of several variables. In this article, we will overcome this difficulty by exploiting the properties of multivariate Taylor polynomials and operators (1.2). We will then show that the newly constructed combined operators exhibit superior approximation properties compared to the classical Bernstein polynomials (see Theorem 2.1 and Remark 2.1 in the next section).

Another important aspect of this work is that we will also obtain similar results for nonlinear Bernstein operators. Recall that if we replace the sum operation in (1.1) by the max operation , then we get the max-product (nonlinear) Bernstein operators given by

(1.3) B n [ M ] ( f ; x ) k = 0 n p n , k ( x ) f ( x k , n ) k = 0 n p n , k ( x )

for x [ 0 , 1 ] m , where k = 0 n k 1 = 0 n k m = 0 n . The univariate version of (1.3), denoted by B n [ M ] , was studied by Bede et al. [7], while the bivariate case was examined in [8]. Then, we know from [7,8] that the rate of convergence to positive and continuous functions by these max-product operators is again of order 1 n and, for arbitrary f , this order of approximation cannot be improved. Also, for many subclasses of functions, one can find the order 1 n , which is better than the order of approximation by the linear Bernstein operators (see, for instance, [7,8]). We should note here that the positivity condition of functions is due to the following fact, which is essential in the approximation:

f ( x ) = k = 0 n p n , k ( x ) f ( x ) k = 0 n p n , k ( x )

holds for f ( x ) 0 since p n , k ( x ) 0 for all x [ 0 , 1 ] m . Now let C * r ( K ) denote the class of the functions f : K R + = [ 0 , ) having continuous r th-order partial derivatives. Note that for functions of this class, even though f is itself positive, its partial derivatives do not have to be positive on K . Then, by using again multivariate Taylor polynomials, we modify the max-product Bernstein operators as follows:

(1.4) B n [ r , M ] ( f ; x ) k = 0 n p n , k ( x ) u r u f ( x k , n ) u ! ( x x k , n ) u k = 0 n p n , k ( x )

for f C * r ( K ) . In this case, we will show that these combined operators can also achieve faster approximation than the operators B n [ M ] .

2 Approximation by combined Bernstein-Taylor operators in (1.2) and (1.4)

Let m N be given and consider the moment function defined by

φ x ( t ) t x m = ( t 1 x 1 ) 2 + ( t 2 x 2 ) 2 + + ( t m x m ) 2

for t = ( t 1 , t 2 , , t m ) K . Then, we first need the next lemma.

Lemma 2.1

For α > 0 , x K and n N , we have

B n [ 0 ] ( φ x α ; x ) = B n ( φ x α ; x ) D n α 2 ,

where the positive constant D depends only on m and α .

Proof

We observe from (1.1) that

B n ( φ x α ; x ) = k = 0 n p n , k ( x ) x x k , n m α k = 0 n p n , k ( x ) i = 1 m x i k i n α m α k = 0 n p n , k ( x ) i = 1 m x i k i n α = m α i = 1 m B n ( φ x i α ; x i ) ,

where B n denotes the univariate Bernstein polynomial as stated earlier. On the other hand, we may write from page 15 of [13] that

B n ( φ x i α ; x i ) A α n α 2 ( i = 1 , , m )

holds for a constant A α depending only on α . Now by combining these results and letting D m α + 1 A α , the proof is completed.□

In our recent paper [14], using the concept of modulus of continuity ω ( h , δ ) , δ > 0 , of a continuous function h on K defined by

ω ( h , δ ) sup { h ( t ) h ( x ) : t x m < δ , x , t K } ,

we have also proved the next lemma.

Lemma 2.2

[14] For m , r N , b , x K , δ > 0 and f C r ( K ) , we have

f ( x ) u r u f ( b ) u ! ( x b ) u M x b m r 1 + x b m δ u = r ω ( u f , δ ) ,

for some M > 0 depending only upon m and r.

Now using the supremum norm on K , we present our first approximation theorem.

Theorem 2.1

Let m N and r N 0 be given. Then, for every n N and f C r ( K ) , we have

(2.1) B n [ r ] ( f ) f C u = r ω u f , 1 n ( r + 1 ) 2 ,

where the positive constant C depends only upon m and r. Then, for every f C r ( K ) , (2.1) implies the uniform convergence of B n [ r ] ( f ; x ) to f on K .

Proof

We first observe that the result is clear for r = 0 . Now let r N . For a given x K and a function f C r ( K ) , we may write from (1.2) that

B n [ r ] ( f ; x ) f ( x ) k = 0 n p n , k ( x ) f ( x ) u r u f ( x k , n ) u ! ( x x k , n ) u

holds. Letting b = x k , n in Lemma 2.2, we obtain the inequality

B n [ r ] ( f ; x ) f ( x ) M ( u = r ω ( u f , δ ) ) k = 0 n p n , k ( x ) x x k , n m r 1 + x x k , n m δ

for some M > 0 . Then, we obtain

B n [ r ] ( f ; x ) f ( x ) M ( u = r ω ( u f , δ ) ) B n ( φ x r ; x ) + 1 δ B n ( φ x r + 1 ; x ) .

Now Lemma 2.1 implies that

B n [ r ] ( f ; x ) f ( x ) D M ( u = r ω ( u f , δ ) ) 1 n r 2 + 1 δ n ( r + 1 ) 2

holds for some constant D . Combining the aforementioned estimates and taking δ δ n = 1 n ( r + 1 ) 2 and C 2 D M the proof follows.□

Remark 2.1

From Theorem 2.1 if u f is Lipschitz continuous, then we obtain the next result:

B n [ r ] ( f ) f = O 1 n ( r + 1 ) 2 .

This clearly shows that approximation to functions by our combined operators B n [ r ] is faster than the classical Bernstein polynomials B n . In the next section, we will present various numerical simulations that support this point.

Remark 2.2

By a simple translation in Theorem 2.1, we can also take any hyperrectangle H [ a 1 , b 1 ] × × [ a m , b m ] instead of K = [ 0 , 1 ] m . Then, considering the nodes

x k , n H = a 1 + ( b 1 a 1 ) k 1 n , , a m + ( b m a m ) k m n ,

the corresponding combined Bersntein-Taylor operators become

B n [ r ] , H ( f ; x ) k = 0 n p n , k H ( x ) u r u f ( x k , n H ) u ! ( x x k , n H ) u ,

where

p n , k H ( x ) i = 1 m 1 ( a i b i ) n n k i x i k i ( b i x i ) n k i

for k = ( k 1 , , k m ) with k i { 0 , , n } ( i = 1 , , m ) .

Now, we focus on the approximation by the combined operators B n [ r , M ] in (1.4). We first need the next lemma.

Lemma 2.3

For α > 0 , x K , and n N , we have

B n [ 0 , M ] ( φ x α ; x ) = B n [ M ] ( φ x α ; x ) D n α 2 ,

where the positive constant D depends only upon m and α .

Proof

As in the proof of Lemma 2.1, we may write that

B n [ M ] ( φ x α ; x ) m α i = 1 m B n [ M ] ( φ x i α ; x i ) ,

where B n [ M ] denotes the univariate max-product Bernstein operator as stated before. We know from [7] that the inequality

B n [ M ] ( φ x i ; x i ) 6 ( n + 1 ) 1 2

is satisfied for each i = 1 , , m . Now, following the same steps as in [7], but just substituting φ x i α for φ x i , we arrive directly at the following inequality:

B n [ M ] ( φ x i α ; x i ) 6 α n α 2 ( i = 1 , , m ) .

Now combining the above results and also taking D m α + 1 6 α , the proof is completed.□

Then, we obtain the following result.

Theorem 2.2

Let m N and r N 0 . For every n N and f C * r ( K ) , we obtain

B n [ r , M ] ( f ) f C u = r ω u f , 1 n ( r + 1 ) 2 ,

for some C > 0 . Furthermore, if u f ( u = r ) is Lipschitz continuous on K , we obtain

B n [ r , M ] ( f ) f = O 1 n ( r + 1 ) 2 .

Proof

The case of r = 0 is clear. Let r N , x K and f C r ( K ) be given. Then, by using the fundamental properties of max-product operations [8] and also considering the similar steps as in the proof of Theorem 2.1, Lemma 2.2 implies, for every δ > 0 , that the inequality

B n [ r , M ] ( f ; x ) f ( x ) M ( u = r ω ( u f , δ ) ) B n [ M ] ( φ x r ; x ) + 1 δ B n ( φ x r + 1 ; x ) .

holds for some M > 0 . Now, from Lemma 2.3, we obtain

B n [ r , M ] ( f ; x ) f ( x ) D M ( u = r ω ( u f , δ ) ) 1 n r 2 + 1 δ n ( r + 1 ) 2

for some positive constant D . Therefore, taking δ δ n = 1 n ( r + 1 ) 2 and C 2 D M , the first part of the proof is completed. The remaining part of the proof is already straightforward.□

3 Numerical simulations

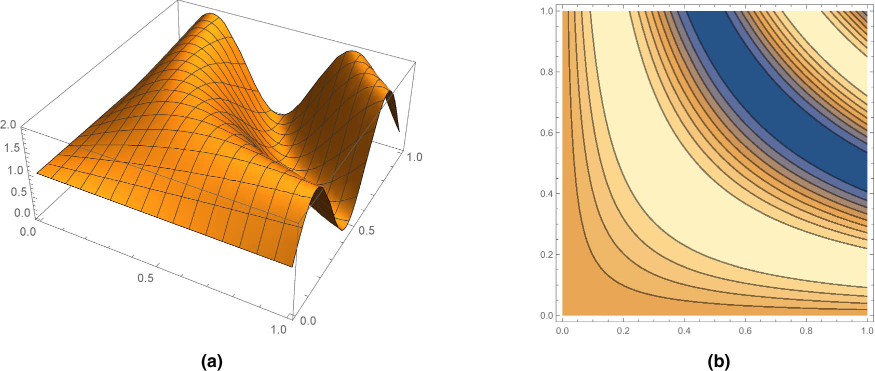
In this section, we give some numerical simulations of Theorems 2.1 and 2.2. Now let m = 2 . Then, as a target function, we first consider the next function:

(3.1) f ( x ) sin 25 x 1 2 2 + 25 y 1 2 2

for x = ( x , y ) K. In Figure 1, we show both the 3D graph of this function and its level curves. Note that larger values are shown in lighter color. Since f C 2 ( K ) , Theorem 2.1 implies that B n [ r ] ( f ) is uniformly convergent f on K for each r N 0 , which is illustrated in Figure 2 for r = 0 , 1, 2 and n = 5 , 10, 15, respectively. In Figure 3, we also show the level curves of this approximation for the same values of r and n .

Figure 1 
               Graph of the target function 
                     
                        
                        
                           f
                        
                        f
                     
                   given by (3.1): (a) 3D plot and (b) level curves.
Figure 1

Graph of the target function f given by (3.1): (a) 3D plot and (b) level curves.

Figure 2 
               Approximation to 
                     
                        
                        
                           f
                        
                        f
                     
                   by 
                     
                        
                        
                           
                              
                                 B
                              
                              
                                 n
                              
                              
                                 
                                    [
                                    
                                       r
                                    
                                    ]
                                 
                              
                           
                           
                              
                                 (
                              
                              
                                 f
                              
                              )
                           
                        
                        {{\mathbb{B}}}_{n}^{\left[r]}(f)
                     
                  : (a) 
                     
                        
                        
                           r
                           =
                           0
                        
                        r=0
                     
                   and 
                     
                        
                        
                           n
                           =
                           5
                        
                        n=5
                     
                  , 10, 15, respectively, (b) 
                     
                        
                        
                           r
                           =
                           1
                        
                        r=1
                     
                   and 
                     
                        
                        
                           n
                           =
                           5
                        
                        n=5
                     
                  , 10, 15, respectively, and (c) 
                     
                        
                        
                           r
                           =
                           2
                        
                        r=2
                     
                   and 
                     
                        
                        
                           n
                           =
                           5
                        
                        n=5
                     
                  , 10, 15, respectively.
Figure 2

Approximation to f by B n [ r ] ( f ) : (a) r = 0 and n = 5 , 10, 15, respectively, (b) r = 1 and n = 5 , 10, 15, respectively, and (c) r = 2 and n = 5 , 10, 15, respectively.

Figure 3 
               Level curves in the approximation to 
                     
                        
                        
                           f
                        
                        f
                     
                   by 
                     
                        
                        
                           
                              
                                 B
                              
                              
                                 n
                              
                              
                                 
                                    [
                                    
                                       r
                                    
                                    ]
                                 
                              
                           
                           
                              
                                 (
                              
                              
                                 f
                              
                              )
                           
                        
                        {{\mathbb{B}}}_{n}^{\left[r]}(f)
                     
                  : (a) 
                     
                        
                        
                           r
                           =
                           0
                        
                        r=0
                     
                   and 
                     
                        
                        
                           n
                           =
                           5
                        
                        n=5
                     
                  , 10, 15 respectively, (b) 
                     
                        
                        
                           r
                           =
                           1
                        
                        r=1
                     
                   and 
                     
                        
                        
                           n
                           =
                           5
                        
                        n=5
                     
                  , 10, 15, respectively, and (c) 
                     
                        
                        
                           r
                           =
                           2
                        
                        r=2
                     
                   and 
                     
                        
                        
                           n
                           =
                           5
                        
                        n=5
                     
                  , 10, 15, respectively.
Figure 3

Level curves in the approximation to f by B n [ r ] ( f ) : (a) r = 0 and n = 5 , 10, 15 respectively, (b) r = 1 and n = 5 , 10, 15, respectively, and (c) r = 2 and n = 5 , 10, 15, respectively.

Now it is also possible to calculate numerically the errors in this approximation. By using the absolute error e j [ r ] B n [ r ] ( f ) f at the n e = 30 × 30 regular grid points of K , we can evaluate the following pointwise errors:

e mean [ r ] 1 n e j = 1 n e e j [ r ] (the mean error), e m s [ r ] 1 n e j = 1 n e e j [ r ] 2 (the mean square error)

for the values of r = 0 , 2 and n = 20 , 40, 80, respectively. Then, we can check from Table 1 that approximation by the combined operators is better than the classical Bernstein polynomials.

Table 1

Pointwise errors in the approximation

(a) The mean errors
n e mean [ 0 ] e mean [ 2 ]
20 0.4210173 0.3787726
40 0.2767969 0.2054019
80 0.1609748 0.0779949
(b) The mean sequare errors
n e m s [ 0 ] e m s [ 2 ]
20 0.4749271 0.4220906
40 0.3152598 0.2344957
80 0.1855133 0.0918319

Finally, to observe the approximation in Theorem 2.2, we choose the following target function g , which is indicated in Figure 4:

(3.2) g ( x ) 1 + sin ( 10 x y )

for x = ( x , y ) K = [ 0 , 1 ] 2 . Since g C * 2 ( K ) , Theorem 2.2 gives that B n [ r , M ] ( g ) is uniformly convergent to g on K . This is illustrated in Figures 5 and 6 for r = 0 , 1, 2 and n = 5 , 10, 15, respectively.

Figure 4 
               Graph of the target function 
                     
                        
                        
                           g
                        
                        g
                     
                   given by (3.2): (a) 3D plot and (b) level curves.
Figure 4

Graph of the target function g given by (3.2): (a) 3D plot and (b) level curves.

Figure 5 
               Approximation to 
                     
                        
                        
                           g
                        
                        g
                     
                   by 
                     
                        
                        
                           
                              
                                 B
                              
                              
                                 n
                              
                              
                                 
                                    [
                                    
                                       r
                                       ,
                                       M
                                    
                                    ]
                                 
                              
                           
                           
                              (
                              
                                 g
                              
                              )
                           
                        
                        {{\mathbb{B}}}_{n}^{\left[r,M]}\left(g)
                     
                  : (a) 
                     
                        
                        
                           r
                           =
                           0
                        
                        r=0
                     
                   and 
                     
                        
                        
                           n
                           =
                           5
                        
                        n=5
                     
                  , 10, 15, respectively, (b) 
                     
                        
                        
                           r
                           =
                           1
                        
                        r=1
                     
                   and 
                     
                        
                        
                           n
                           =
                           5
                        
                        n=5
                     
                  , 10, 15, respectively, and (c) 
                     
                        
                        
                           r
                           =
                           2
                        
                        r=2
                     
                   and 
                     
                        
                        
                           n
                           =
                           5
                        
                        n=5
                     
                  , 10, 15, respectively.
Figure 5

Approximation to g by B n [ r , M ] ( g ) : (a) r = 0 and n = 5 , 10, 15, respectively, (b) r = 1 and n = 5 , 10, 15, respectively, and (c) r = 2 and n = 5 , 10, 15, respectively.

Figure 6 
               Level curves in the approximation to 
                     
                        
                        
                           g
                        
                        g
                     
                   by 
                     
                        
                        
                           
                              
                                 B
                              
                              
                                 n
                              
                              
                                 
                                    [
                                    
                                       r
                                       ,
                                       M
                                    
                                    ]
                                 
                              
                           
                           
                              (
                              
                                 g
                              
                              )
                           
                        
                        {{\mathbb{B}}}_{n}^{\left[r,M]}\left(g)
                     
                  : (a) 
                     
                        
                        
                           r
                           =
                           0
                        
                        r=0
                     
                   and 
                     
                        
                        
                           n
                           =
                           5
                        
                        n=5
                     
                  , 10, 15, respectively, (b) 
                     
                        
                        
                           r
                           =
                           1
                        
                        r=1
                     
                   and 
                     
                        
                        
                           n
                           =
                           5
                        
                        n=5
                     
                  , 10, 15, respectively, and (c) 
                     
                        
                        
                           r
                           =
                           2
                        
                        r=2
                     
                   and 
                     
                        
                        
                           n
                           =
                           5
                        
                        n=5
                     
                  , 10, 15, respectively.
Figure 6

Level curves in the approximation to g by B n [ r , M ] ( g ) : (a) r = 0 and n = 5 , 10, 15, respectively, (b) r = 1 and n = 5 , 10, 15, respectively, and (c) r = 2 and n = 5 , 10, 15, respectively.

4 Concluding remarks

By using multivariate Taylor polynomials, we have modified the classical Bernstein polynomial and its nonlinear version based on max-product operations. These modifications enable us to obtain more efficient approximation results than (linear and nonlinear) Bernstein operators.

It is important to note that while this modification significantly improves the approximation speed, it also introduces additional computational complexity depending on the choice of the Taylor polynomial with degree r . Our results indicate that even for small values of r , a substantial improvement in convergence can be achieved with a reasonable computational cost. However, as r increases, the additional computational burden may become more significant. A detailed analysis of this trade-off, particularly regarding the practical implementation of the proposed approach, is an important topic for future research.

We should also note that, so far, such modifications have been focused more on Shepard operators by using not only Taylor polynomials but also Bernoulli, Lidstone, and Hermite polynomials [1418]. Therefore, it will be interesting to develop Bernstein operators with these polynomials in future research. In addition, further investigations into optimizing the balance between computational complexity and convergence rate could enhance the practical applicability of the proposed method.



Acknowledgements

The author would like to express his gratitude to the reviewers for their insightful comments and suggestions, which have improved the clarity and impact of this work.

  1. Funding information: Author states no funding involved.

  2. Author contributions: The author confirms the sole responsibility for the conception of the study, presented results and manuscript preparation.

  3. Conflict of interest: Prof. Oktay Duman is a member of the Editorial Board of the journal Demonstratio Mathematica, but was not involved in the review process of this article.

  4. Ethical approval: The conducted research is not related to either human or animals use.

  5. Data availability statement: Not applicable.

References

[1] G. H. Kirov, A generalization of the Bernstein polynomials, Math. Balkanica (N.S.) 6 (1992), no. 2, 147–153, http://www.math.bas.bg/infres/MathBalk/MB-06/MB-06-147-153.pdf. Suche in Google Scholar

[2] U. Abel, V. Gupta, and R. N. Mohapatra, Local approximation by a variant of Bernstein-Durrmeyer operators, Nonlinear Anal. 68 (2008), no. 11, 3372–3381, DOI: https://doi.org/10.1016/j.na.2007.03.026. 10.1016/j.na.2007.03.026Suche in Google Scholar

[3] A. J. Adell and D. Cárdenas-Morales, Stochastic Bernstein polynomials: uniform convergence in probability with rates, Adv. Comput. Math. 46 (2020), no. 2, Paper No. 16, 10pp, DOI: https://doi.org/10.1007/s10444-020-09770-6. 10.1007/s10444-020-09770-6Suche in Google Scholar

[4] F. Altomare and M. Campiti, Korovkin-Type Approximation Theory and its Applications, De Gruyter Studies in Mathematics, vol. 17, Walter de Gruyter and Co., Berlin, 1994. 10.1515/9783110884586Suche in Google Scholar

[5] G. A. Anastassiou and S. G. Gal, Approximation Theory, Birkhäuser Boston, Inc., Boston, MA, 2000. 10.1007/978-1-4612-1360-4Suche in Google Scholar

[6] C. Bardaro, P. L. Butzer, R. L. Stens, and G. Vinti, Convergence in variation and rates of approximation for Bernstein-type polynomials and singular convolution integrals, Analysis 23 (2003), no. 4, 299–340, DOI: https://doi.org/10.1524/anly.2003.23.4.299. 10.1524/anly.2003.23.4.299Suche in Google Scholar

[7] B. Bede, L. Coroianu, and S. G. Gal, Approximation and shape preserving properties of the Bernstein operator of max-product kind, Int. J. Math. Math. Sci. 2009 (2009), no. 1, 590589, DOI: https://doi.org/10.1155/2009/590589. 10.1155/2009/590589Suche in Google Scholar

[8] B. Bede, L. Coroianu, and S. G. Gal, Approximation by Max-Product Type Operators, Springer, Cham, 2016. 10.1007/978-3-319-34189-7Suche in Google Scholar

[9] M. Campiti and I. Raşa, Extrapolation properties of multivariate Bernstein polynomials, Mediterr. J. Math. 16 (2019), no. 5, 109, DOI: https://doi.org/10.1007/s00009-019-1392-0. 10.1007/s00009-019-1392-0Suche in Google Scholar

[10] D. Cárdenas-Morales, M. Jiménez-Pozo, and F. J. Munnnnoz-Delgado, Some remarks on Hölder approximation by Bernstein polynomials, Appl. Math. Lett. 19 (2006), no. 10, 1118–1121, DOI: https://doi.org/10.1016/j.aml.2005.11.024. 10.1016/j.aml.2005.11.024Suche in Google Scholar

[11] N. I. Mahmudov, Approximation by Bernstein-Durrmeyer-type operators in compact disks, Appl. Math. Lett. 24 (2011), no. 7, 1231–1238, DOI: https://doi.org/10.1016/j.aml.2011.02.014. 10.1016/j.aml.2011.02.014Suche in Google Scholar

[12] S. Ostrovska, q-Bernstein polynomials and their iterates, J. Approx. Theory 123 (2003), no. 2, 232–255, DOI: https://doi.org/10.1016/S0021-9045(03)00104-7. 10.1016/S0021-9045(03)00104-7Suche in Google Scholar

[13] G. G. Lorentz, Bernstein Polynomials, 2nd ed. AMS Chelsea Pub. Co., New York, 1986. Suche in Google Scholar

[14] O. Duman, Max-product Shepard operators based on multivariable Taylor polynomials, J. Comput. Appl. Math. 437 (2024), 115456, DOI: https://doi.org/10.1016/j.cam.2023.115456. 10.1016/j.cam.2023.115456Suche in Google Scholar

[15] R. Farwig, Rate of convergence of Shepardas global interpolation formula, Math. Comp. 46 (1986), no. 174, 577–590, DOI: https://doi.org/10.2307/2007995. 10.1090/S0025-5718-1986-0829627-0Suche in Google Scholar

[16] R. Caira and F. Dell’Accio, Shepard-Bernoulli operators, Math. Comp. 76 (2007), no. 257, 299–321, DOI: https://doi.org/10.1090/S0025-5718-06-01894-1. 10.1090/S0025-5718-06-01894-1Suche in Google Scholar

[17] R. Caira, F. Dell’Accio, and F. Di Tommaso, On the bivariate Shepard-Lidstone operators, J. Comput. Appl. Math. 236 (2012), no. 7, 1691–1707, DOI: https://doi.org/10.1016/j.cam.2011.10.001. 10.1016/j.cam.2011.10.001Suche in Google Scholar

[18] F. A. Costabile, F. Dell’Accio, and F. Di Tommaso, Enhancing the approximation order of local Shepard operators by Hermite polynomials, Comput. Math. Appl. 64 (2012), no. 11, 3641–3655, DOI: https://doi.org/10.1016/j.camwa.2012.10.004. 10.1016/j.camwa.2012.10.004Suche in Google Scholar

Received: 2024-12-10
Revised: 2025-03-03
Accepted: 2025-04-15
Published Online: 2025-05-26

© 2025 the author(s), published by De Gruyter

This work is licensed under the Creative Commons Attribution 4.0 International License.

Artikel in diesem Heft

  1. Research Articles
  2. On approximation by Stancu variant of Bernstein-Durrmeyer-type operators in movable compact disks
  3. Circular n,m-rung orthopair fuzzy sets and their applications in multicriteria decision-making
  4. Grand Triebel-Lizorkin-Morrey spaces
  5. Coefficient estimates and Fekete-Szegö problem for some classes of univalent functions generalized to a complex order
  6. Proofs of two conjectures involving sums of normalized Narayana numbers
  7. On the Laguerre polynomial approximation errors and lower type of entire functions of irregular growth
  8. New convolutions for the Hartley integral transform imbedded in the Banach algebras and convolution-type integral equations
  9. Some inequalities for rational function with prescribed poles and restricted zeros
  10. Lucas difference sequence spaces defined by Orlicz function in 2-normed spaces
  11. Evaluating the efficacy of fuzzy Bayesian networks for financial risk assessment
  12. Fixed point results for contractions of polynomial type
  13. Estimation for spatial semi-functional partial linear regression model with missing response at random
  14. Investigating the controllability of differential systems with nonlinear fractional delays, characterized by the order 0 < η ≤ 1 < ζ ≤ 2
  15. New forms of bilateral inequalities for K-g-frames
  16. Rate of pole detection using Padé approximants to polynomial expansions
  17. Existence results for nonhomogeneous Choquard equation involving p-biharmonic operator and critical growth
  18. Note on the shape-preservation of a new class of Kantorovich-type operators via divided differences
  19. Geršhgorin-type theorems for Z1-eigenvalues of tensors with applications
  20. New topologies derived from the old one via operators
  21. Blow up solutions for two-dimensional semilinear elliptic problem of Liouville type with nonlinear gradient terms
  22. Infinitely many normalized solutions for Schrödinger equations with local sublinear nonlinearity
  23. Nonparametric expectile shortfall regression for functional data
  24. Advancing analytical solutions: Novel wave insights and methodologies for beta fractional Kuralay-II equations
  25. A generalized p-Laplacian problem with parameters
  26. A study of solutions for several classes of systems of complex nonlinear partial differential difference equations in ℂ2
  27. Towards finding equalities involving mixed products of the Moore-Penrose and group inverses by matrix rank methodology
  28. ω -biprojective and ω ¯ -contractible Banach algebras
  29. Coefficient functionals for Sakaguchi-type-Starlike functions subordinated to the three-leaf function
  30. Solutions of several general quadratic partial differential-difference equations in ℂ2
  31. Inequalities for the generalized trigonometric functions with respect to weighted power mean
  32. Optimization of Lagrange problem with higher-order differential inclusion and special boundary-value conditions
  33. Hankel determinants for q-starlike functions connected with q-sine function
  34. System of partial differential hemivariational inequalities involving nonlocal boundary conditions
  35. A new family of multivalent functions defined by certain forms of the quantum integral operator
  36. A matrix approach to compare BLUEs under a linear regression model and its two competing restricted models with applications
  37. Weighted composition operators on bicomplex Lorentz spaces with their characterization and properties
  38. Behavior of spatial curves under different transformations in Euclidean 4-space
  39. Commutators for the maximal and sharp functions with weighted Lipschitz functions on weighted Morrey spaces
  40. A new kind of Durrmeyer-Stancu-type operators
  41. A study of generalized Mittag-Leffler-type function of arbitrary order
  42. On the approximation of Kantorovich-type Szàsz-Charlier operators
  43. Split quaternion Fourier transforms for two-dimensional real invariant field
  44. Quantum injectivity of G-frames in Hilbert spaces
  45. Some results on disjointly weakly compact sets
  46. On Motzkin sequence spaces via q-analog and compact operators
  47. Existence and multiplicity of nontrivial solutions for Schrödinger-Bopp-Podolsky systems with critical nonlinearity in ℝ3
  48. The discriminant of quasi m-boundary singularities
  49. Review Article
  50. Characterization generalized derivations of tensor products of nonassociative algebras
  51. Special Issue on Differential Equations and Numerical Analysis - Part II
  52. Existence and optimal control of Hilfer fractional evolution equations
  53. Persistence of a unique periodic wave train in convecting shallow water fluid
  54. Existence results for critical growth Kohn-Laplace equations with jumping nonlinearities
  55. Monotonicity and oscillation for fractional differential equations with Riemann-Liouville derivatives
  56. Nontrivial solutions for a generalized poly-Laplacian system on finite graphs
  57. Stability and bifurcation analysis of a modified chemostat model
  58. Special Issue on Nonlinear Evolution Equations and Their Applications - Part II
  59. Analytic solutions of a generalized complex multi-dimensional system with fractional order
  60. Extraction of soliton solutions and Painlevé test for fractional Peyrard-Bishop DNA model
  61. Special Issue on Recent Developments in Fixed-Point Theory and Applications - Part II
  62. Some fixed point results with the vector degree of nondensifiability in generalized Banach spaces and application on coupled Caputo fractional delay differential equations
  63. On the sum form functional equation related to diversity index
  64. Special Issue on International E-Conference on Mathematical and Statistical Sciences - Part II
  65. Simpson, midpoint, and trapezoid-type inequalities for multiplicatively s-convex functions
  66. Converses of nabla Pachpatte-type dynamic inequalities on arbitrary time scales
  67. Special Issue on Blow-up Phenomena in Nonlinear Equations of Mathematical Physics - Part II
  68. Energy decay of a coupled system involving a biharmonic Schrödinger equation with an internal fractional damping
  69. Special Issue on Some Integral Inequalities, Integral Equations, and Applications - Part II
  70. Nonlinear heat equation with viscoelastic term: Global existence and blowup in finite time
  71. New Jensen's bounds for HA-convex mappings with applications to Shannon entropy
  72. Special Issue on Approximation Theory and Special Functions 2024 conference
  73. Ulam-type stability for Caputo-type fractional delay differential equations
  74. Faster approximation to multivariate functions by combined Bernstein-Taylor operators
  75. (λ, ψ)-Bernstein-Kantorovich operators
  76. Some special functions and cylindrical diffusion equation on α-time scale
  77. (q, p)-Mixing Bloch maps
  78. Orthogonalizing q-Bernoulli polynomials
  79. On better approximation order for the max-product Meyer-König and Zeller operator
  80. Moment-based approximation for a renewal reward process with generalized gamma-distributed interference of chance
  81. A note on linear compositions of the Mellin convolution operators in the weighted Mellin-Lebesgue spaces
  82. A new perspective on generalized Laguerre polynomials
  83. Global existence of semilinear system of Klein-Gordon equations in anti-de Sitter spacetime
  84. Estimates for Durrmeyer-type exponential sampling series in Mellin-Orlicz spaces
  85. -αβ-statistical relative uniform convergence for double sequences and its applications
  86. Special Issue on Variational Methods and Nonlinear PDEs
  87. A note on mean field type equations
  88. Ground states for fractional Kirchhoff double-phase problem with logarithmic nonlinearity
  89. Solution of nonlinear Langevin equations involving Hilfer-Hadamard fractional order derivatives and variable coefficients
  90. Bifurcation, quasi-periodic, and wave solutions to the fractional model of optical fibers in communication systems
Heruntergeladen am 4.10.2025 von https://www.degruyterbrill.com/document/doi/10.1515/dema-2025-0129/html
Button zum nach oben scrollen