Home Physical Sciences Biomacromolecules as green corrosion inhibitors: a review based on mild steel corrosion in acidic media
Article Open Access

Biomacromolecules as green corrosion inhibitors: a review based on mild steel corrosion in acidic media

  • Mohd Talha

    Dr. Mohd Talha received his Ph.D. from Indian Institute of Technology (BHU), Varanasi, India. Afterwards, he worked as a post-doctoral fellow at SW Petroleum University Chengdu, China (2017–2019). He is currently working as head, Department of Chemistry, Government Mahatma Gandhi P.G. College, Kharsia, Raigarh (Chhattisgarh) India. His research interests include corrosion protection of biomaterials, biocompatible coatings, and corrosion inhibition. He has received several academic awards including a very prestigious, “The Sichuan Thousand Talent Award” for young scientists in 2019.

    ORCID logo EMAIL logo
Published/Copyright: December 9, 2024

Abstract

Green corrosion inhibitors are produced from economical and renewable sources and concurrently offer high inhibition efficiency and very low negative effects on environment. Various naturally occurring biomacromolecules are employed as corrosion inhibitors for steels. In contrast to small molecule corrosion inhibitors, polymers possess superior film-forming abilities and multifunctional chemistries that have the potential to enhance protective barrier characteristics greatly. Moreover, the biomacromolecules have many sites of attachment which further enhance their inhibition ability. This featured article is dedicated to summarizing the inhibition performance of biomacromolecules to mitigate mild steel corrosion in acidic media. It began by describing the green corrosion inhibitors and the advantages of using biomacromolecules as inhibitors. All naturally occurring macromolecules such as such as carbohydrates, proteins, and nucleic acids, have been focused as inhibitors for mild steel in acidic media with their inhibition action. The factors affecting inhibition efficiency like temperature, inhibitor concentration, exposure time, etc. are also discussed. In the last, the synergistic effect of other ions with macromolecules in corrosion inhibition was also taken into consideration. This review offers insightful observations into the development of biomacromolecules as green corrosion inhibitors.

1 Introduction

Mild steel (MS) is used an assembly material in an extensive range of applications, including industrial plants, river crossing bridges, multi-story buildings, offshore platforms, etc. (Wang et al. 2020). When these materials come into contact with acidic conditions, they sustain considerable corrosion damage. Preventing corrosion is crucial for the industrial use of such materials. The use of inhibitors during the essential treatments of metallic materials has shown encouraging outcomes to reduce the corrosion reactions and the related metal damage. Corrosion inhibition is one of the significant methods for preventing corrosion; it has been used extensively in many different industries and has the benefits of being economical, highly effective, and easily feasible (Finšgar and Jackson 2014; Singh et al. 2016; Yıldız 2015; Zarrouk et al. 2015). Inhibitors can lessen corrosion by passivation the surface of the metal because of formation a film that protects it from the corrosive environment. The choice of inhibitors is determined by several crucial factors and the toxicity of the inhibitor is one of the important variables. Green chemistry has drawn a lot of interest last decade because of the growing need to reduce environmental pollution and its detrimental effects on human health (Bozell and Petersen 2010; Lichtenthaler and Peters 2004). Because of this, efforts in the field of corrosion inhibition also aim to develop green corrosion inhibitors (GCI) (Popoola 2019; Miralrio and V´azquez 2020; Salleh et al. 2021). Plant extracts, ionic liquids, and pharmaceutical drugs are some typical sources of GCI. Synthetic inhibitors are also frequently used as eco-friendly inhibitors. Plant extracts and oils from plants are the chief source of the extensive variety of GCI found in a variety of acidic conditions because of their adaptable chemical, biological, and physical characteristics. Additional benefits of using plants as a source of inhibitors include their biodegradability, economical, and wide accessibility. Usually, plants are an abundant source of naturally occurring chemical compounds that can be simply harvested at a minimal cost and with no harm to the environment. By adhering to the surface of metal and forming a bond with it, organic molecules inhibit corrosion (Ekere et al. 2019). The inhibition property of organic compounds against corrosion is usually owing to the presence of hetero atoms like N, O, S, and P. These atoms serve as centres for adsorption that connect the metal surface (accepting electron) and the inhibitor (donating electron) (Abdulmajid et al. 2019; Guedes et al. 2019; Shivakumar et al. 2017; Shahmoradi et al. 2020). Significant advancements have been made in various classes of GCI over the last 10 years.

Biomacromolecules are large cellular components abundantly obtained naturally and are responsible for varieties of essential functions for the growth and survival of living organisms. They have very high molecular weight of about 800–1,000 Da and complex structures. They are biological polymers of different simple or monomeric units (Dhara and Nayak 2022). As is well known, in contrast to other organic inhibitors, the biological macromolecule includes more polar groups with coordination centres and is also an environmentally friendly material. Biomolecules with adequate such centres may exhibit enhanced adsorption on metal/steel surfaces. The surface of the metal could be covered with a dense film of biomacromolecules and greatly reduce the amount of corrosion inhibitor.

This review puts together the current progress in the area of biomacromolecules as corrosion inhibitors followed by a detailed discussion on the synergistic effect of other ions with biomacromolecules. This review addresses on various classes of natural biomacromolecules as GCI, particularly for MS in acidic media and covers essential corrosion inhibitors of almost every class with inhibition mechanisms. The previous few years had a fast boost in research on the anticorrosive effect of biomacromolecules. There is few review articles published recently about corrosion inhibition of steel and other metals by biomacromolecules in different media (Chauhan et al. 2021; Huang et al. 2022; Ibrahimi et al. 2020; Shahini et al. 2021; Umoren and Eduok 2016). But those articles are specific only for particular inhibitors and most of the articles mentioned corrosion inhibition of many metals in various media. However, a comprehensive review of the inhibition effect of many biomacromolecules in one place is still lacking. Hence, the purpose of this review is to cover this gap and sum up the importance of such macromolecules as corrosion inhibitors for MS in acidic media. The inhibition by their derivatives is beyond the scope of this review. However, the present review article describes almost all types of biomacromolecules as inhibitors for MS corrosion in an acidic medium. This featured review was started by unfolding the significance of biomacromolecules as corrosion inhibitors mentioning almost all types of inhibitors in the related area with their inhibition performance. Next, factors affecting inhibition performance were discussed. A discussion about the synergistic effect of biomacromolecules with other ions was then provided.

2 Classification of inhibitors

Depending on whether their primary effect is to delay the cathodic or anodic reaction of the corrosion process, or both, corrosion inhibitors can be categorized as cathodic, anodic, or mixed type. Consequently, they cause a shift of the corrosion potential of the inhibited metal toward either the cathodic or the anodic directions respectively or they substantially leave the metal corrosion potential more or less unchanged. The inhibition of anodic or cathodic corrosion reactions can be because of the decrease of the active surface area of a metal and/or to a change of the activation energy of the oxidation or reduction process in corrosion. The combination of cathodic and anodic corrosion inhibitors frequently determines improved protection and allows reducing the inhibitor concentration (Monticelli 2018; Richardson 2009). These inhibitors are known as mixed inhibitors because they impede both the anodic and cathodic processes that contribute to corrosion (Bastidas et al. 2000). They are usually film forming compounds that cause the formation of precipitates on the surface blocking both anodic and cathodic sites indirectly. GCIs can also be further classified into two categories; Natural GCI and Synthetic GCIs. Natural GCIs are the inhibitors derived from natural sources such as plant extracts, natural polymers (carbohydrate proteins etc.) while synthetic are ionic liquids, synthetic polymers etc. (Alrefaee et al. 2021). Corrosion inhibitors are briefly classified as illustrated in Figure 1.

Figure 1: 
Classification of corrosion.
Figure 1:

Classification of corrosion.

3 Why green inhibitors?

Conventionally used organic/inorganic inhibitors have hazardous impacts on living organisms. Therefore, aims to phase out toxic chemicals, and alternative corrosion inhibitors, which may be non-toxic, biodegradable, acceptable for the environment, and commercially viable have been sought for a few decades (Rajan et al. 2017). Natural inhibitors are currently the subject of most research since they are readily available, inexpensive, biodegradable, and environmentally benign (Vorobyova et al. 2023). Many environmentally benign substitutes including natural polymers, Arabic gums, carbohydrates, amino acids, etc. and their derivative are being thoroughly researched as an alternate to harmful corrosion inhibitors (Annand et al. 1965; Arthur et al. 2013; Khademian et al. 2020; Umoren and Eduok 2016; Verma et al. 2017; Yadav et al. 2021). Eco-friendly corrosion formulations, which include inhibitors and coatings, are chemicals that satisfy the essential threshold for the production of fewer hazardous substances and their usage processes are guided by sustainable chemistry to ensure that there are no adverse effects on the environment or human health, either directly or indirectly.

4 Concepts of natural and synthetic green corrosion inhibitors

There are two kinds of these inhibitors: synthetic and natural. Synthetic inhibitors are compounds created by humans, whereas natural inhibitors derived from plants and animals. Both kinds of inhibitors have been extensively studied over the years, and their effectiveness at controlling corrosion has been recognized in several studies (Alvarez et al. 2023; El-Enin et al. 2015). The use of plant and animal extracts to prevent corrosion has been the primary focus of studies on natural inhibitors. The mechanism of action of natural inhibitors has been recognized to their ability to form protective films on the surface of the metal, which prevent corrosion. Furthermore, it has been discovered that natural inhibitors contain antioxidants that can counteract the damaging effects of corrosive chemicals on metals (Fouda et al. 2014). Research on synthetic inhibitors has focused on the design and synthesis of new chemicals that are effectively control corrosion. Synthetic inhibitors have been found to be more effective at controlling corrosion compared to natural inhibitors, chiefly because of their higher solubility in corrosive environments. But, synthetic inhibitors also pose environmental and health risks, which have led to concerns over their broad usage (Khan et al. 2022). Recent years have seen a notable increase in interest in natural corrosion inhibitors because of their sustainable, cost-effective, and environmentally beneficial qualities. Originating from diverse natural sources, including plants, animals, and microorganisms, they have demonstrated exceptional corrosion inhibition capabilities in different environments (Al-Amiery et al. 2023; Sharma et al. 2024).

5 Biomacromolecules as green corrosion inhibitors

Because organic corrosion inhibitors contain heteroatoms, they are typically favored to inorganic ones for controlling the dissolution of metals in aqueous conditions. Owing to their capacity to form protective layers on metal surfaces and check the entry of corrosive chemicals, these biopolymers can be employed in various applications, including corrosion inhibition. Biopolymers are effective corrosion inhibitors due to their ability to adhere to metal surfaces and form protective layers that obstruct the electrochemical processes that cause corrosion (Shahini et al. 2021). Biopolymers have the ability to engage with metal surfaces via hydrogen bonds, electrostatic forces, and other molecular interactions, thereby blocking the penetration of corrosive chemicals. Due to their distinct chemical nature, some biopolymers also have inherent corrosion-inhibiting qualities.

Over the past ten years, there has been a significant increase in attention to this class of compounds along with their derivatives due to their presence in nature and the ability to meet environmental necessities for safe product application with good potential of corrosion inhibition and negligibly small or zero pollution threat. Furthermore, biopolymers are non-bioaccumulative and biodegradable, in contrast to synthetic polymers. Common biomacromolecules include polysaccharides (cellulose, starch, chitosan, etc.), polypeptides, nucleic acids (DNA & RNA), lignin, etc. An environmentally benign biomolecule would be chosen due to environmental regulations and growing ecological consciousness. The structure of biopolymers contains nitrogen and oxygen atoms, which renders them biodegradable. On account of the increasing ecological awareness and environmental regulations, it would be preferable to employ environmentally friendly biopolymers. In the next section, the details about various biomacromolecules as corrosion inhibitors will be discussed with their inhibition aspect in an acidic medium.

5.1 Advantages of using biomacromolecules as corrosion inhibitors

Since polymers have several reaction centers that aid in the formation of complexes with metal ions, they are chosen as inhibitors over simple organic molecules (Umoren and Eduok 2016). When it comes to corrosion inhibition, macromolecules are a group of chemically stable, biodegradable, and environmentally benign inhibitors with exclusive inhibitory potential and mechanistic approaches to protect metal surfaces and bulk (Raja et al. 2013). Those derived from natural sources, like plants, are thought to be inexpensive, renewable, and easily accessible substitutes with vital and active components that cause corrosion inhibition (Rahim et al. 2008). As is well known, compared to other organic inhibitors, the biological macromolecule has not only more polar groups with coordination atoms but also more environmentally friendly material. Biomacromolecules with adequate coordination atoms may exhibit enhanced adsorption on the surface of metal/steel. The surface of the metal can be covered with a dense film of macromolecule and the quantity of inhibitor can be extensively lowered (Hu et al. 2017). The majority of the biomacromolecules have comparatively high molecular mass compounds with distinct colloidal properties. These complexes essentially cover the surface of the metals in aqueous conditions, providing the necessary protection against ions and molecules that can cause corrosion. Heteroatoms (N, S, and O) are found in the majority of biomacromolecules, such as amino acids, and they make excellent adsorption sites on target metal surfaces. These polymeric molecules have pi electrons and lone pairs of electrons, which facilitates inhibitor-metal electron transfer and the creation of bonds whose strength depends on the polarizability of the electron-donating group (Umoren and Eduok 2016). The different biomacromolecules as corrosion inhibitors are as follows:

5.2 Carbohydrates

Carbohydrates are the most abundant compounds in the biological world, which make up over 50 % of the dry weight of all biomass on earth. This special group of polymers has been extensively reported as a corrosion inhibitor because of its vast functional groups and capacity to form complexes with metal ions at the surface. The efficiency of carbohydrates as inhibitors differ depending on their class, molecular weights, cyclic rings, availability of bond-forming groups (like sulphonic acid groups), and plenty of adsorption sites (like heteroatoms) (Rajendran et al. 2005). The ability of these biopolymers to diminish corrosion on a metal surface also depends on how well their moieties adhere to the metal surface, either through chemical bonds or physical forces. Numerous carbohydrate-based organic compounds that limit corrosion, such as glucose, starch, cellulose, pectin, chitosan, etc., have emerged as promising corrosion inhibitors. In the acidic corrosive solution, the high molecular weight polymeric backbone offers substantial metal surface coverage. There are various forms of carbohydrates found in nature. Some of them as corrosion inhibitors are discussed here:

5.2.1 Chitosan

Glucosamine and N-acetyl glucosamine units with 1–4 linkages combine to form the linear polysaccharide known as chitosan (Fekry and Mohamed 2010). It is a natural sugar that comes from the outer skeleton of crustaceans. It is produced at an estimated amount of one billion tons per year from the waste of seafood (Hussein et al. 2013). The hydroxyl and amino groups in chitosan are thought to be responsible for its anticorrosive properties. The presence of these functional groups and hetero atoms endorses the inhibitor’s adsorption on the surface, which reduces corrosion (El Mouaden et al. 2020). Chitosan is not soluble in water and organic solvents but it is soluble in somewhat acidic aqueous medium having pH < 6.5 (Filion et al. 2007; Qin et al. 2006). Recently, various efforts have been made to improve the aqueous phase solubility of the chitosan like a chemical modification to increase the number of more polar substituents including –CONH2, –COOR, –NO2, and –CN etc. in the chemical structure of the chitosan (Negm et al. 2020; Pokhrel and Yadav 2019). These polar substituents notably improve the solubility of chemically tailored chitosan in aqueous solution, hence improving its solubility in the aqueous phase. Moreover, the solubility of chitosan in acidic solutions can also be enhanced by acid-catalyzed hydrolysis of the amide group. Chitosan is commonly used in pure, functionalized, and composite forms to inhibit steel against corrosive media. Chitosan is an appropriate polysaccharide for application as an effective inhibitor for metallic substrates (Ashassi-Sorkhabi and Kazempour 2020). Because it is polymeric nature, pure chitosan shows good anticorrosive activity and offers good protection once it has adsorbed on a metal surface. Good film-forming ability and superior adhesion to the metal surface allow chitosan to be coated on metals to provide a protective barrier (Ashassi-Sorkhabi and Kazempour 2020). Several polar substituents found in chitosan improve both its solubility in the solution and its capacity to interact with the surface of the metal. Certain polar substituents of chitosan, like the hydroxyl and amino groups, are protonated in aqueous solutions and become charged or cationic, as illustrated in Figure 2 (Verma and Quraishi 2021). Conversely, the accumulation of electrolyte molecule counter ions at the positively charged surface of metal causes the metal surface to become negatively charged. Figure 3 depicts the physisorption and chemisorption of the chitosan molecule (Rabizadeh and Asl 2019a). Despite being less soluble, chitosan is frequently utilized as an aqueous phase corrosion inhibitor for steel in acidic medium and other corrosive media (Baran et al. 2015; Rabizadeh and Asl 2019a; Umoren et al. 2013). Chitosan chiefly becomes successful in such solutions by adhering to the metallic surface. Umoren et al. (2013) have examined the function of synthetically-derived chitosan in 0.1 M HCl for MS corrosion inhibition using chemical, electrochemical, and surface analytical methods. It was verified that corrosion inhibition increased with chitosan content, with IE values of more than 90 % at low concentrations of biopolymer. Polarization behavior demonstrated a mixed-type of inhibition and can delay both anodic and cathodic reactions. The formation of a layer at the substrate’s surface was identified as the reason for the suppression of steel corrosion. Rbaa et al. (2021) produced the chitosan oligosaccharide macromolecule, a biodegradable inhibitor that was utilized to control MS corrosion in a 1.0 M HCl solution. 97 % of the IE was obtained at a concentration of 10−3 M. The application of chitosan and its derivatives has gained considerable attention and has been broadly researched in the fields of anti-corrosion properties and antibacterial applications. The inherent limitations of chitosan can be significantly improved through chemical modification or synergistic action, improving its biological and physicochemical properties to meet more demanding application requirements and a wider range of applications (Dou et al. 2024; Verma et al. 2021).

Figure 2: 
Solubility of chitosan in aqueous acidic solution (Verma and Quraishi 2021, reproduced with permission from Elsevier).
Figure 2:

Solubility of chitosan in aqueous acidic solution (Verma and Quraishi 2021, reproduced with permission from Elsevier).

Figure 3: 
Schematic of the interactions between chitosan and mild steel in hydrochloric acid solution (Rabizadeh and Asl 2019a, reproduced with permission from Elsevier).
Figure 3:

Schematic of the interactions between chitosan and mild steel in hydrochloric acid solution (Rabizadeh and Asl 2019a, reproduced with permission from Elsevier).

5.2.2 Lignin

Biopolymer lignin has an aromatic three-dimensional structure. It is economical, a byproduct of making paper pulp, and the most common biopolymer after cellulose. Because it is readily available, environmentally benign, and has excellent performance at inhibiting corrosion, lignin is a good option for applications involving coatings (Dastpak et al. 2020) and as corrosion inhibitors (El-Deeb et al. 2018; Othman et al. 2019; Yahya et al. 2019). By adsorbing on the surface of the metals, lignin’s carboxyl, methyl, and hydroxyl groups play a crucial role in preventing corrosion (Gao et al. 2019; Hussin et al. 2015). Due to its adsorption limit the corrosive agent reach to the surface and reduced the corrosion rate in contrast to its absence (Huang et al. 2022). About the polarization curves, lignin addition was found to decrease the anodic and cathodic current values. Nevertheless, it has been noted that in certain instances, the cathodic current was mostly affected by substances like alkaline lignin and lignin recovered from black liquor (Shivakumar et al. 2017).

It was examined the use of lignin extract from Chromolaena odorata as an inhibitor at various temperatures. The maximum efficiency was attained at 303 K, when the concentration of lignin reached 3,000 mg/L in NaCl solution, and a range of temperatures from 303 to 343 K was used to analyze. However, regardless of the inhibitor’s presence or absence, raising the temperature enhanced the corrosion rate (Muzaki et al. 2019). This finding was also achieved for the Lignin that was extracted from the same plant in an acidic medium; however, the efficiency enhanced as the temperature rose to 323 K, and again rise the temperature decreased the IE (Nwosu and Muzakir 2016). At high temp, the inhibitor was unable to make bonds and adsorb on the surface due to the rapid moment of lignin molecules; instead, it desorbed from the surface (Abu-Dalo et al. 2016; Ren et al. 2008; Yahya et al. 2015). This reduced the inhibitor’s efficiency and accelerated the rate of corrosion. Yahya et al. (2015) demonstrated that physisorption was the major contributor to the inhibition mechanism of carbon steel using lignin.

5.2.3 Inulin

Inulin is a component of the polysaccharide group recognized as fructans, which could be extracted from bananas, onion, garlic, and chicory (Charitha and Rao 2018; Gowraraju et al. 2017). Inulin is being employed in the food and pharmaceutical industries as a replacement for fat or sugar. From a structural perspective, fructans that consist of linear glucosyl-α(1 → 2)-(fructosyl) n -β(2 → 1) polymers with a polymerization degree with a range from 3 to 60 are commonly referred to as inulins. Although chicory inulins have been discovered to contain less branching (1–2%), plant inulins are typically linear, with an average degree of polymerization of 6–12 (Mudannayake et al. 2022).

When compared to the blank surface, the presence of inulin in the sulfuric acid produced a more protective layer on the steel surface with reduced corrosion (Gowraraju et al. 2017). The WL results indicated that raising the inulin concentration enhanced the IE for the steel surface in the HCl solution. Nevertheless, this trend reached a plateau at high concentrations peaked at high doses (Ajayi et al. 2016). Similarly, because of the inhibitor’s physisorption, the IE dropped with temperature when inulin is used as an inhibitor in the H2SO4 solution for the steel surface (Gowraraju et al. 2017).

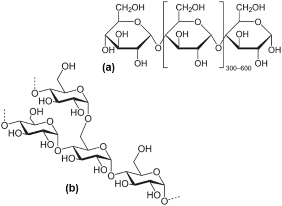
5.2.4 Starch

A complex polymer of carbohydrates, starch is made up of many glucose units joined by glycosidic linkages. Depending on the source from which it comes, starch often contains different fractions by mass of amylose (linear and helical) and amylopectin (branched) molecules. (Brown and Poon 2005). This tasteless, white polysaccharide is insoluble in alcohol and cold water but sparingly soluble in hot water. Because of its lesser solubility and surface adhesion strength, molecular starch is not widely used as a corrosion inhibitor. Some reports on its use for metal inhibition in acidic and neutral conditions have been based on chemical or physical modification to enhance the material’s anti-corrosion properties. Many strategies have been explored to improve starch’s water solubility. The chemical structure of the starch molecule is revealed in Figure 4 (Umoren and Eduok 2016). The ability of starch to inhibit corrosion is due to its exclusive molecular structures; possessing hydroxyl groups rich in electrons that can form coordinate bonds with iron by filling its empty or partially occupied orbitals in ferrous substrates, thus inhibiting corrosion (Umoren and Eduok 2016). In 0.1 M H2SO4 solution, starch was tested for MS corrosion, and at 500 mg L−1 conc. of starch, 66.21 % IE was observed (Mobin et al. 2011). The inhibitory ability was further improved by the addition of surfactant, which worked as a synergistic agent. Thamer et al. (2022) synthesized starch nanocrystals via acid hydrolysis and examined their corrosion inhibition for MS corrosion in 1 M HCl. The highest IE was obtained at 67 % at 0.5 g L−1 concentration of nanocrystal (Thamer et al. 2022). Sushmitha and Rao developed a physical blend of pectin and starch (Sushmitha and Rao 2019). They observed that MS in 1 M HCl can be protected against corrosion by using such a blend. The corrosion IE was reached up to 74 % when the temperature was restricted to 30 °C. Anyiam et al. (2020a) customized sweet potato starch extract by subjecting it to an alkaline treatment with NaOH. They then examined its inhibition ability to suppress corrosion of MS at 0.25 M H2SO4 using gravimetric and PD methods. The results indicated that the alkaline treated starch was more successful than the unmodified starch at inhibiting corrosion, with an IE as high as 84.2 %. In the meantime, KI might work in concert with other substances to strengthen the inhibition effect. Additionally, they changed starch by extrusion, and the results showed that at concentrations as low as 0.7 g L−1 in 1.0 M HCl solution, the modified starch can provide IE up to 64 % (Anyiam et al. 2020b). To prepare starch-based inhibitors, grafting starch with different types of water-soluble monomers is another option (Hou et al. 2022).

Figure 4: 
Chemical structure of starch molecule: (a) amylose, (b) amylopectin (Umoren and Eduok 2016, reproduced with permission from Elsevier).
Figure 4:

Chemical structure of starch molecule: (a) amylose, (b) amylopectin (Umoren and Eduok 2016, reproduced with permission from Elsevier).

5.2.5 Cellulose

It exists in the most abundant amount as compared to other biopolymers in nature. Approximately one-third of the tissues found in plants are made up of cellulose (Morán et al. 2008). It is a linear homopolysaccharide composed of β-1,4-linked d-glucopyranoside units with a degree of polymerization of about 10,000. Because cellulose and lignin are found in pistachio, its extract can have an inhibitory impact for the steel surfaces in HCl solution. The findings showed that larger diameter Nyquist plots were associated with rising inhibitor concentration, and the maximum R ct was achieved when the inhibitor concentration reached 800 ppm in the solution after 6-h immersion (Shahmoradi et al. 2020). Applications for cellulose in industry and biology are numerous and varied. However, due to its poor solubility in the majority of polar electrolytes, its application in pure form as the anticorrosive substance is rare. On the other hand, its derivatives are frequently employed as coating phase inhibitors or as corrosion inhibitors in aqueous electrolytes (Bayol et al. 2008; Solomon et al. 2010; Umoren et al. 2018). They function as efficient inhibitors by adhering to the metal’s surface and creating a corrosion-inhibitive barrier by binding using their –OH groups (Verma et al. 2024a).

5.2.6 Pectin

Fruits contain a complex set of heteropolysaccharides called pectin. It is found in large amounts in the cell walls of terrestrial non-woody plants. Pectin is frequently extracted from apples and citrus and utilized in the food industry as thickening and gelling agents, and stabilizers in various confectionaries and drinks (Sakai et al. 1993). Pectin is a potential candidate molecule for corrosion and scale inhibition in various environments because it has –COOH and –COOR functional groups on its backbone of carbohydrate moiety (Chauhan et al. 2012). Umoren et al. (2015) explored the anticorrosion activity of commercial pectin obtained from apples for X60 pipeline steel in HCl by means of chemical and electrochemical techniques. The results reported that the corrosion IE depended on both temperature and pectin concentration; greater temperatures and pectin concentrations produced higher IE. It was found that 79 % IE was obtained at 1,000 ppm of pectin. Pectin inhibits both anodic and cathodic reactions, but primarily cathodic ones, according to PD analysis. A multi-step acid extraction process for pectin from fresh lemon peel has been reported by Fiori-Bimbi et al. (2015). Using chemical and electrochemical methods, this pectin extract was evaluated for anticorrosion performance of MS in 1.0 M HCl. It was discovered that the addition of pectin reduced MS corrosion, and this trend also persisted as the temperature rose. According to the Tafel data, the pectin behaves as a mixed-type inhibitor. UV spectroscopy examination verified that the geometric blocking action of chemisorbed pectin-Fe2+ type complexes/species at the metal/solution interface was the cause of the pectin inhibition. Using WL, PD, and EIS techniques, pectin obtained from Opuntia cladodes has also been used to reduce MS corrosion in 1.0 M HCl (Saidia et al. 2015). The concentration of pectin correlated with an increase in corrosion inhibition. This pectin functioned as a mixed type inhibitor, with a maximum IE of 96 % obtained at 35 °C when 1g L−1 of pectin was present.

5.3 Proteins and amino acids

The capacity of natural proteins to prevent metal corrosion in harsh conditions has drawn the attention of several researchers. In this context, zein, which is a corn protein, was utilized to inhibit MS corrosion in an acidic solution (Roy and Sukul 2015). A mussel adhesive protein extracted from Mytilus edulis was also investigated to reduce the corrosion of carbon steel and other metallic substrates (Zhang et al. 2011). Casein is a natural protein usually present in milk (Coulon et al. 1998). Applications of this protein in the paint, food, plastics, and medical industries have long been recognized (Dalgleish 2011). Rabizadeh and Asl (2019b) demonstrated the effect of casein on the corrosion inhibition of MS in an acidic solution. They found a good inhibition effect at 298 K but raising the temperature decreased the IE. The inhibition is because of the adsorption of casein on the surface of MS. Farag et al. (2018) used shrimp waste protein as a corrosion inhibitor for carbon steel in 1.0 M HCl applying various electrochemical techniques and found a good inhibition effect. They showed that the Cl ions specifically adsorb on the surface of metal due to the low degree of hydration and produce plenty of negative charge on the metal surface during the primary stage of the inhibition mechanism in HCl solution via electrostatic attraction as shown in Figure 5a (Farag et al. 2018). Positively charged particle attachment to the metal surface is encouraged by this condition (Farag et al. 2015). Adsorption to the negative side becomes noticeably easier the protein molecules may be protonated through different groups integrated into the amino acids of the protein. The second stage involves chemical cooperation between the empty d-orbitals of iron on the surface of carbon steel and the electron donor particles in the inhibitor molecules as shown in Figure 5b (Farag et al. 2018). This shows that the existence of electron-releasing groups in the amino acids incorporated in the protein structure is what causes the inhibition efficiency of shrimp waste protein. Elqars et al. (2021) studied the corrosion inhibition of MS in 1 mol L−1 HCl with expired egg whites using WL and electrochemical methods. The findings demonstrated that an egg white concentration of 800 mg L−1 produced the maximum corrosion IE of 90 %. Colloidal organometallic complexes are the result of interactions between molecules and metal surfaces via protonation. Furthermore, protein denaturation can also form a film on the surface of the metal, which delays the corrosion process of metal, thus inhibiting corrosion (Talha et al. 2019). Plant and animal proteins come from a broader variety of sources. Metal corrosion can be efficiently decreased by adjusting protein concentration, size, medium, protein–protein interaction, and protein surface interaction (surface charge). Currently, more research is necessary to understand the mechanism underlying protein corrosion inhibition.

Figure 5: 
Schematic mechanism for (a) physical adsorption and (b) chemical adsorption of RSWP on the carbon steel in 1 M HCl (Farag et al. 2018).
Figure 5:

Schematic mechanism for (a) physical adsorption and (b) chemical adsorption of RSWP on the carbon steel in 1 M HCl (Farag et al. 2018).

Amino acids are the organic compounds that combine to form proteins; hence they are referred to as the building blocks of protein. The majority of amino acids have a high solubility in aqueous solutions, making it easier to use them to inhibit corrosion. By doing this, the amount of co-solvent that is needed to increase solubility in aqueous corrosion systems can be reduced (Finšgar and Jackson 2014). In addition, they are inexpensive and easily produced at high purity. Amino acids can be classified based upon their molecular structure into various classes, for instance heterocyclic amino acids, aromatics, W-Amides, linear aliphatic, sulfur-containing, anionic/cationic etc. (Ibrahimi et al. 2020). These amino acids have a strong ability to suppress corrosion because they contain heteroatoms and conjugated π-electron systems in their molecular structure. The superior adsorption qualities of electronic elements or groups are the primary reason for the usage of amino acids as inhibitors. Thus, the majority of amino acids have promising effects on inhibiting corrosion. For iron metal using WL method, EIS and polarization measurements, Zerfaoui et al. (2004) was investigated the result of the addition of five amino acids in citric acid media; namely glycine, arginine, leucine, aspartic acid, and methionine. They found that methionine is the most effective inhibitor and that the pH of the solution had an impact on its inhibitory effect. The IE reached to 90 % at pH 5. Furthermore, the compounds under examination are cathodic type inhibitors, as indicated by the polarization measurements. Ashassi-Sorkhabi and Asghari (2008) examined the impact of hydrodynamic circumstances on the effectiveness of inhibition of methionine for MS corrosion in sulfuric acid solution. Notable findings included the discovery that, in blank solution, the surface grows nobler with increasing rotation speed. At higher rotation rates, a rise in efficiency was found and rotations at modest speed had no obvious effect. In another investigation, the typical electrochemical techniques were used to investigate the inhibitory effect of cysteine, tryptophan, histidine, and serine on the corrosion of MS in molar HCl solution (de-aerated condition). The theoretical results were then used to support the findings. The MD simulation data demonstrated that these molecules can adsorb on the surface of iron via the heteroatoms and heterocyclic ring and tryptophan’s high binding energy values can account for its maximum IE (Fu et al. 2010a). In a separate study, Khaled and El-Sherik (2013), Khaled and Sherik (2013) used two intelligence algorithms – artificial neural networks (ANN) and genetic function approximation (GFA) – to perform a regression analysis and find a nonlinear relationship between various types of quantum descriptor and attained corrosion IE of 28 amino acids in 1.0 M HCl solution for iron. These investigations confirmed the involvement of several molecular structural parameters in the inhibitory effect of amino acid compounds, as well as the complicity of the inhibition phenomena. Fu et al. (2010a) demonstrated the IE of various amino acids using electrochemical and computational analysis of MS in 1.0 M HCl. They found that l-tryptophan shows highest IE of 96.3 %. They also determined the order of the E interaction from the MD simulations and agreed with that of the IE. l-tryptophan was also examined for low carbon steel in 1.0 M HCl, with 92.7 % IE at 298 K, and maintained 67.3 % at 328 K (Fu et al. 2010b). Since it is eminent that the presence of heteroatoms or heterocycles imparts an improved IE, the imidazole and indole groups in the structural backbone were responsible for the high efficiencies of l-histidine and l-tryptophan. Nine amino acids, namely cysteine (88.17 %), serine (76.04 %), aminobutyric acid (70.03 %), threonine (67.24 %), alanine (58.33 %), valine (52.12 %), tryptophan (91.32 %), phenylalanine (Phe 87.21 %), and tyrosine (82.44 %), were examined through experimental and computational methods (Eddy 2011). Global reactivity parameters that were obtained from quantum chemical calculations of PM6, PM3, AM1, RM1, and MNDO theoretical levels supported the experimental results and offered a strong correlation.

Additionally, Cang et al. (2012) investigated the suppression of MS corrosion by l-cysteine (Cys) in 0.5 M H2SO4 and 1.0 M HCl. They found the IE values 85.01 and 90.4 % respectively. Two methods of doing MD investigations were used to model the two acidic systems: Fe (110) + Cl + Cys and Fe (110) + SO4 2− + Cys. The inhibitor was adsorbed in both systems after forming a layer of the electrolyte anion which had previously been pre-adsorbed on the Fe plane. The inhibitor adsorbed vertically on the metallic surface, according to MD simulation, and the difference in IE was explained by the adsorption of Cl ions, which have a higher negative interaction energy than SO4 2− ions for the Fe + electrolyte anion + Cys system. Organic compounds containing S and N atoms were found to have improved corrosion prevention characteristics as demonstrated by Abd El Aal et al. (2013). Studies have demonstrated the presence of a sulfhydryl group in cysteine. The hydrogen ions on the sulfhydryl group have the ability to ionize in aqueous solution, and when their negative ions mix with metal ions, they form a complex protective layer. This firm protective layer stops additional eroding of the metal (Abd El Aal et al. 2013). Because amino acids contain heteroatoms like N and O, the lone pair of electrons forms coordination complexes with the metal, result in delaying the corrosion of the metal (Hamadi et al. 2018). In addition, functional groups present on amino acids can be utilized to perform the chemical functionalization of the amino acids to create better inhibitors or even to bind two amino acids together. The specific type of amino acid, its quantity, and the environmental conditions can affect the corrosion inhibition ability of amino acid-based inhibitors. A number of amino acids have shown promising results in terms of inhibiting corrosion on particular metal substrates (Verma et al. 2024b).

5.4 Deoxyribonucleic acid (DNA)

DNA mitigates corrosion without having an adverse long-term impact on the environment or metallic materials. Currently, there aren’t many published literatures on the application of novel DNA as a metallic surface bio-macromolecule inhibitor. Hu et al. (2017) first time demonstrated DNA as corrosion inhibitor in 1.0 M HCl solution for carbon steel using WL and electrochemical corrosion analysis and obtained IE was 91.9 %. It was established that a self-produced molecular-film is a cause of the chemisorption of DNA inhibitor on the steel’s surface. The goal of the theoretical study’s data collection was to validate the known association between molecular structure of DNA and IE. Furthermore, their investigation’s findings demonstrated that DNA is a mixed-type corrosion inhibitor. This kind of inhibitor dominates cathodic hydrogen evolution reactions as well as anodic metal dissolution.

Karn et al. (2017) examined the separation of microorganisms from the sample of corroded carbon steel that was reserved in sea water for approx two years. Enzymatic activity was detected about both corrosion stimulation and corrosion inhibition when the isolated microbe was employed for experimental biofilm growth on surface of carbon steel. 16S rRNA gene sequencing was used to characterize five strains (DS1, DS2, DS3, DS4, and DS5). The sequences were compared to the accessible DNA groups in Gene Bank. The electrochemical findings verified that the protective effect factor of DS2 was 0.89, whereas the microbially influenced corrosion-factors of DS1, DS3, DS4, and DS5 strains were statistically noteworthy of 5.46, 8.51, 2.36, and 1.04. Agboola et al. (2019a) examined the use of the DNA extracted from calf thymus gland (CTGDNA) as a protecting layer for stainless steel in acidic solution. At 10 °C and 20 mg L−1, the maximum CTGDNA IE was achieved. SEM micrographs demonstrate how CTGDNA bio-macromolecules were adsorbed on surface of stainless steel. Additionally, the IE enhanced with rise in the concentration of the corrosive media. Furthermore, it was shown that the demonstration of the Tafel polarization of the DNA inhibitors at varying concentrations correctly inferred mixed-type inhibitors. Using gravimetric analysis and PD methods, Agboola et al. (Agboola et al. 2019b) investigated the corrosion inhibition of MS in an acidic medium utilizing multiple quantities of DNA from Manihot esculenta leaf (cassava leaf) (MELDNA) at different temperatures. The researchers noticed that the MELDNA IE enhanced with DNA concentration. The maximum IE (74.2 %) was attained at 10 °C for 20 mg L−1 of DNA.

The mechanism of inhibition of DNA molecule on carbon steel is described by Hu et al. (2017). Based on the corrosion prevention mechanism of DNA molecules, an adsorption model was offered to provide additional details as shown in Figure 6 (Hu et al. 2017). It is evident that without the addition of a DNA inhibitor in a corrosive media, the carbon steel surface is covered by water molecules, H+ ions, and Cl ions. When DNA is present, the molecules of the DNA adsorb on the surface of metal and dispel the H+ ions, Cl ions, and water molecules from the surface. The lone pair of heteroatoms (N, O) and the d-orbitals of the surface iron atoms (donation) interacted to form the inhibitor film. Furthermore, due to the unique properties of DNA, including its massive molecular weight, numerous polar groups, and lengthy molecular chain, the DNA was able to firmly adsorb and cover uniformly on the surface of carbon steel, successfully isolating the steel from corrosive media.

Figure 6: 
Schematic representation of the inhibition mechanism for DNA inhibitor (Hu et al. 2017, reproduced with permission from Elsevier).
Figure 6:

Schematic representation of the inhibition mechanism for DNA inhibitor (Hu et al. 2017, reproduced with permission from Elsevier).

The main problem with DNA is the extraction of DNA, particularly from plant, is highly tedious and the use of DNA as GCI have the limitation concerning the volume of production on large industrial scales, as a result, the economics of DNA inhibitors must be considered before being used in industries. Thus, biomacromolecules play an important role in corrosion inhibition of MS in acidic media. Table 1 demonstrates the summary of research on the corrosion inhibition of biomacromolecules on different steels in acidic medium.

Table 1:

Summary of research on the corrosion inhibition performance of biomacromolecules on different mild steels in acidic medium.

Steel Inhibitor Medium/parameters Corrosion analysis method Outcomes References
IE/PE (%) Other findings
MS Lignin 0.5 M H2SO4/RT WL, EIS, PD, SEM 95 Very high concentrations of lignin may result in an increased competency between the lignin molecules and adsorption sites, leading to an inefficient adsorption, and thereby causing a reduction in inhibition activity Shivakumar et al. (2017)
X80 carbon steel DNA 1 M HCl Gravimetric tests, PD, SEM, XPS, QCC 91.9 Chemisorption of DNA on the carbon steel surface, DNA molecules were able to provide a large number of electrons to the d-orbital of transition metal atoms Hu et al. (2017)
MS Chitosan 0.1 M HCl/298 K & 328 WL, PD, EIS, AFM 92.1 Increasing the concentration of chitosan from 0.3 to 1.8 mM effectively decreased the weight loss and the corrosion rate of MS. Increasing temperature from 298 to 328 K deteriorated the corrosion inhibition effects Rabizadeh and Asl (2019a)
MS Chitosan 0.1 M HCl/303, 333 & 343 K Gravimetric, PD, EIS, SEM 96 Inhibition efficiency increases with rise in temperature up to 96 % at 333 K and then drops to 93 % at 343 K, chitosan functions as a mixed type inhibitor Umoren et al. (2013)
MS COS-g-Glu 1 M HCl/298 K Gravimetric, EIS, PD, SEM, AFM 97.6 Langmuir model demonstrates that an only function involving chemisorption happens at steel/solution interface Rbaa et al. (2021)
Carbon steel Lignin 1 M HCl/303–343 K WL 75 At higher temperatures of 60 and 70 °C, the IE decreased Yahya et al. (2015)
MS Starch/starch + surfactants additives 0.1 M H2SO4/30–60 °C WL, PD 66.21 The IE of starch significantly improved in presence of both the surfactants Mobin et al. (2011)
MS Cellulose & lignin from pistachio nut 1 M HCl/RT EIS, PD, SEM, AFM 92 Shahmoradi et al. (2020)
X60 pipeline steel Pectin 0.5 M HCl/25 & 60 °C WL, EIS, PD, SEM, DFT 78.7 Inhibition efficiency increased with increase in pectin concentration and temperature Umoren et al. (2015)
MS Pectin 1 M HCl/288 to 318 WL, PD, EIS, SEM 94.2 Spectroscopic analysis points to a reasonable possibility of formation of a complex between pectin and Fe2+ ions Fiori-Bimbi et al. (2015)
MS Pectin from Opuntia ficus indica 1 M HCl/308 K WL, EIS, PD, SEM 98.3 Saidia et al. (2015)
Iron Various amino acids Citric acid Gravimetric tests, EIS, PD 96 Methionine is the best inhibitor with highest IE and the IE decreases with increase in temperature Zerfaoui et al. (2004)
MS l-methionine 0.1 M H2SO4 EIS, PD 66.5 Corrosion parameters were dependent on the electrode rotation rate. I.E. increased with higher rotation speed Ashassi-Sorkhabi and Asghari (2008)
MS l-cysteine, l-histidine, l-tryptophan & l-serine 1 M HCl/25 °C EIS, PD, MD 96.3 The order of inhibition efficiency of these inhibitors follows the sequence: l-tryptophan > l-histidine > l-cysteine > l-serine Fu et al. (2010a)
Low carbon steel L-tryptophan 1 M HCl/298 & 328 K WL, PD, DFT 92.7 & 67.3 L-tryptophan acts as cathodic-type inhibitor Fu et al. (2010b)
MS l-cysteine 1 M HCl and 0.5 M H2SO4 EIS, MD simulation 90.40 & 85.01 The molecular dynamics simulation results reveal that cysteine molecules adsorb on the metal surface in the vertical manner with the adsorption of the electrolyte anions, and the higher negative interaction energy is obtained in the case of adsorption of chloride ions Cang et al. (2012)
MS Casein 0.1 M HCl/298 to 343 K WL, EIS, PD, AFM 96.41 Casein adsorbs on the surface of the metal through both physical and chemical adsorption processes Rabizadeh and Asl (2019b)
Carbon steel Shrimp waste protein 1 M HCl/RT EIS, PD, SEM 95.1 The corrosion inhibition is due to the presence of donor atoms in the amino acids included in the protein structure Farag et al. (2018)
Carbon steel Chicken egg-white 1 M HCl/298 to 328 K WL, EIS, PD, SEM 90 Adsorption of the expired egg-white extract was spontaneous with physisorption and chemisorption Elqars et al. (2021)
SS DNA 1–2.5 M HCl/10–70 °C Gravimetric, PD, SEM 75.79 The CTGDNA has good inhibition effect for the corrosion of 3CR12 stainless steel in 1 M HCl solutions of corrosive media at 10 °C with 20 mg/L inhibitor concentration Agboola et al. (2019a)
MS DNA 1 M HCl/10 to 70 °C Gravimetric, LPR, SEM 74.2 Agboola et al. (2019b)
MS Chitosan/chitosan + KI 1 M sulfamic acid Gravimetric tests, PDP, EIS, SEM AFM 90 Chitosan shows synergistic effect with KI Gupta et al. (2018)
MS Cysteine 0.5 M H2SO4 PD, EIS, SEM, AFM 86 Özcan (2008)
Iron Ala, Cys, S-MCys 1.0 M HCl/298 K EFM, ICP-AES, DFT 94.2 Ala inhibit the acid corrosion of iron cathodically, while Cys and S-MCys behave as mixed-type inhibitors. The best protection was obtained for amino acids containing S atom Amin et al. (2010)
Steel l-arginine 1.0 M HCl/298 K Gravimetric tests, EIS, PDP, EFM 70.5 Khaled and Abdel-Shafi (2013c)
Low carbon steel Methionine/methionine + KI 0.5 M H2SO4/303 K EIS, PD 71.1 KI synergistically increased the efficiency of methionine Oguzie et al. (2007)
MS Cysteine 0.5 M H2SO4/298 K EIS, PD, DFT Cysteine molecules acted by accumulating at the metal/solution interface Özcan et al. (2008)
Carbon steel Chitosan/maltodextrin 1 M HCl/298–328 K WL, PD, EIS 92.5 & 73.15 IE lowered with rising temperature. The inhibition efficiency of chitosan was found to higher than that of maltodextrin Abdallah et al. (2020)
Carbon steel Methionine and proline PCM solution/298 K EIS, polarization, FESEM, MD 94.3 The Cl ion is the key factor and the NH4FePO4·nH2O, Fe2O3 are the main corrosion products of steel corrosion in PCMs solution Zhang et al. (2016)
Low carbon steel Glycine, threonine, phenylalanine, glutamic acid 0.5 M HCl PD 74.8 with glutamic acid Makarenko et al. (2011)
St37 steel Chitosan/chitosan + KI 15 % H2SO4/25–60 °C WL, PD, EIS, DEIS, SEM, EDS 92 The inhibition efficiency of chitosan decreases with increasing temperature, while that of the chitosan-iodide combination increases with a rise in temperature Solomon et al. (2017)
Carbon steel Chitosan from Archachatina marginata 1 M HCl/303, 313, 323 and 333 K WL, thermometric methods 93.2 The inhibition activity of chitosan on plain carbon steel was determined to be a physisorption mechanism Okoronkwo et al. (2015)
Reinforcing steel Dextrin and inulin 1.0 M HCl/288–318 K WL, EIS, PD, SEM 85 & 93 The IE of the tested polymeric compounds were improved by increasing their doses while reducing with rising temperature Toghan and Fawzy (2023)
Carbon steel Protein waste extract Various conc. of HCl/298–318 K EIS, PD, AFM, XPS 96.2 Protein waste extract contains 17 different types of amino acids that can effectively adsorb onto the metal and inhibit the corrosion reaction of steel in an acidic environment Wang et al. (2023)
  1. MS, mild steel; RT, room temperature; WL, weight loss; EIS, electrochemical impedance spectroscopy; PD, potentiodynamic polarization; SEM, scanning electron microscopy; EDS, energy dispersive X-ray spectroscopy; COS-g-Glu, chitosan oligosaccharide macromolecule carrying a glucose moiety; QCC, quantum chemical calculations; DFT, density functional theory; SAMs, self assembly membranes; EFM, electrochemical frequency modulation; ICP-AES, inductively coupled plasma atomic emission spectrometry; Ala, alanine; Cys, cysteine; S-MCys, S-methyl cysteine; MD, molecular dynamics; LPR, linear polarization; PCM, phase change materials; FESEM, field emission scanning electron microscope; DEIS, dynamic electrochemical impedance spectroscopy; SS, stainless steel.

6 Challenges in using biomacromoleclues as corrosion inhibitors

The selection of a suitable green corrosion inhibitor depends on a variety of factors, for instance, the metal to be protected, the environment in which it will be used, and the specific corrosion challenges. Green corrosion inhibitors are a step toward sustainable and responsible corrosion prevention measures, helping to protect the environment and public health by taking the place of hazardous alternatives. Biomacromolecules have revealed promising results in laboratory studies as corrosion inhibitors for different metals. However, despite their immense potential, several issues need to be resolved before biopolymers can be widely used to prevent corrosion. Variations in biopolymer composition, supply, and extraction methods can lead to irregularities in performance. Therefore, to achieve accurate and repeatable findings, biopolymer formulations and testing procedures must be standardized. Furthermore, for the practical application of biopolymer-based coatings and inhibitors, it is essential to comprehend their long-term stability and endurance. More research is required to establish how well biomacromolecules work in various environmental settings and how well they work with various coating techniques (Verma et al. 2024c).

7 Factors affecting the inhibition ability

The complicated phe of corrosion inhibition is influenced by several variables, including the interaction between different competing effects (Sheir et al. 1994). The important factors which effects IE are listed in Figure 7. Some important factors are discussed as follows:

Figure 7: 
Factors affecting inhibition efficiency.
Figure 7:

Factors affecting inhibition efficiency.

7.1 Temperature

Temperature has a significant impact in the growth of corrosion reactions of metal in acid condition and usually, rising temperatures lead to rising corrosion rates (Abdallah 2004; Popova 2007). The decrease in ability of the inhibitor to prevent corrosion is ascribed to a rise in the desorption of adsorbed inhibitors from the surface of metallic material, which is facilitated by an rise in the kinetic energy of the inhibitor molecules brought on by an increase in the electrolytic temperature (Verma et al. 2016). According to certain investigations, an inhibitor adsorbs chemically or physically onto the metal surface at normal temperature to create a protective layer. At elevated temperatures, on the other hand, the chemisorption mechanism becomes more prominent and its rate increases linearly with the ambient temperature. This leads to an increase in the formation rate of a protective film, which in turn improves corrosion inhibition (Wei et al. 2020). Using weight loss tests (500 and 1,000 ppm concentration of pectin), Umoren et al. (2015) showed the effect of temperature on inhibition of X60 steel with pectin at 25 and 60 °C. Figure 8 shows that IE enhanced with the rise in concentration and temperature (Umoren et al. 2015). For example, at 25 °C, the values of IE got for 500 and 1,000 ppm pectin concentration were 62.9 and 84.3 %, correspondingly. As the temperature was elevated to 60 °C, the IE was enhanced to 94.0 and 98.2 %, respectively. However, the kind of inhibitor adsorption has a notable impact on temperature. For example, physisorption increases the rate of corrosion as the temperature of the solution rises, but chemisorption has the opposite effect (Okafor et al. 2009; Ramesh and Adhikari 2009).

Figure 8: 
Effect of temperature on corrosion rate and inhibition efficiency for X60 steel in 0.5 M HCl in the absence and presence of 500 and 1,000 ppm of pectin at 24 h immersion (Umoren et al. 2015, reproduced with permission from Elsevier).
Figure 8:

Effect of temperature on corrosion rate and inhibition efficiency for X60 steel in 0.5 M HCl in the absence and presence of 500 and 1,000 ppm of pectin at 24 h immersion (Umoren et al. 2015, reproduced with permission from Elsevier).

7.2 Inhibitor concentration

Increasing the concentration of the inhibitors would enhance the surface coverage of metal which eventually improve the protection efficacy of the organic inhibitors (Ketrane et al. 2009). Nevertheless, an additional increase in concentration does not affect the corrosion inhibition once a certain limit has been exceeded. This limit is influenced by several variables, including temperature, inhibitor type, and electrolyte type. Inhibitors often adsorb on the metal surface in flat or horizontal orientations at the beginning of the adsorption process, increasing surface coverage and, consequently, the IE. Nevertheless, after reaching an optimum limit, an additional rise in the concentration of inhibitor leads to inter-molecular repulsion. This leads to the inhibitor molecules adsorbing vertically or non-planarly on the metal surface, which has no appreciable benefit in the IE (Cen et al. 2019). Actually, few reports established that rise in the concentration of the inhibitors ahead of the optimum limit caused a reduction in the IE (Alhaffar et al. 2018). The surface coverage would not significantly increase upon increasing the inhibitor concentration beyond the optimal level.

7.3 Exposure time

The period for which the metal remains in contact with the corrosive fluid/media is also among significant factors that decide the IE of the inhibitor. Regarding the stability of GI, the correlation between exposure duration and IE offers important insights. These two parameters, usually, have an inverse correlation (Nair 2017; Rathi and Trikha Kumar 2017; Verma et al. 2019). The time of the immersion can be a determining factor in corrosion prevention. On one hand, Cysteine exhibited a dual effect on the corrosion of galvanized steel, acting as a corrosion accelerator at long immersion times and as an inhibitor at short exposure times, as reported by Shkirskiy (2015), Shkirskiy et al. (2015). On the other hand, some amino acids, like alanine, have demonstrated an increase in their IE with longer exposure times (Hamed et al. 2012). Such observations can be explained by the stability/instability of adsorbed film of amino acid on the surface of the metal and its propensity to react with metallic ions in solution.

7.4 Structure of inhibitor

An inhibitor’s structure is another important consideration. The structure of the inhibitor controls its hydrophobicity, electrostatic and steric effects, covalent bonding, polarity, and other factors that affect the IE. In general, inhibitors with planar geometry that contain electron-releasing groups, such as –OH, –NH2, and –OCH3, are more efficient than those that withdrawing agents, like –NO2 and –CN groups with non-planar geometry. The capacity of natural polymers to suppress corrosion is linked to the functional groups listed above, which are found in heterocyclic components like flavonoids and alkaloids (Wei et al. 2020).

7.5 Other factors

The adsorption of an inhibitor is affected by a number of parameters, including the molecular structure of the inhibitor and the surface charge of the adsorbent in an acidic environment (for mild steel) (Rabizadeh and Asl 2019a). The performance of inhibition can also be impacted by hydrodynamic conditions, such as a stagnant or dynamic solution. In general, two opposing effects for hydrodynamic conditions that affect its IE can be identified in the presence of an inhibitor.

First, the flow can enhance the inhibition ability by increasing the mass transfer of inhibitor molecules toward the metal surface (Ashassi-Sorkhabi and Asghari 2010). Second, the maximum shear stress brought on by flow speed may cause desorption of adsorbed inhibitor molecules from the metal surface, which would reduce the effectiveness of inhibition (Abdel-Fatah et al. 2014). Except this solution pH, the chemical nature of the metal, additives, and surface condition of the metal can also be important considerations while evaluating IE.

8 Synergistic effect of biomacromolecules with other ions

The corrosion IE could be further enhanced by the addition of cationic or anionic species with inhibitors which not only increases the efficiency but also reduces the concentration of the inhibitor (Shamnamol et al. 2021). Methionine (Met), an amino acid that contains sulfur, was found to be able to suppress the corrosion of MS in a sulfuric media containing iodide ions by Oguzie et al. (2007). AFM and the PD technique were employed in this investigation. The findings show that Met suppressed the corrosion reaction by an adsorption mechanism, and that adding modest levels of KI significantly enhanced the IE. In his research, Morad (2005) examined the impact of adding certain ions, specifically F, Cl, and Fe3+, on the effectiveness of certain amino acids having S atoms in preventing MS corrosion in 40 % phosphoric acid solution. The finding of electrochemical investigation indicates that the nature and binding of the added ions determine whether they have synergistic or antagonistic properties. For example, binary mixtures of F or Cl with Cys or Met demonstrated superior anti-corrosion ability, on the contrary to those having Fe3+ ions or ternary mixture ions and an amino acid.

El-Deab (2011) has also reported on the beneficial influence of Cu2+ ion on corrosion inhibition by Cys in de-aerated H2SO4. The IE was attained to 95 % with 5 mM of Cys + 25 µM of Cu2+ ions combination. This superior ability was linked to the development of the Cu(I)-Cys complex and/or the Cys self-assembly monolayer above the surface of iron as confirmed by XPS analysis. Gowri et al. (2013) examined the effects of glutamic acid (Glu-A) with Zn2+ ions on the corrosion of carbon steel in naturally occurring Indian seawater. In this instance, a maximum synergistic effect between applied amino acid and Zn2+ ions was obtained, and the IE enhanced from 35 % at 200 ppm of Glu-A to 87 % with the addition of little quantity of Zn+2 (25 ppm). In similar study, the IE of l-arginine-Zn2+ system in corrosion control of carbon steel in seawater has been estimated. A combined effect of l-arginine and Zn2+ was observed (Gowri et al. 2014). Since chitosan at 200 + 5 ppm KI shows a maximum IE of 91.68 %, the inhibitory capacity of chitosan was synergistically boosted in the presence of 5 ppm KI. PD analysis indicates that the addition of chitosan, particularly with KI, significantly altered the anodic and cathodic Tafel slopes of the polarization curves. According to this research, chitosan may inhibit both cathodic and anodic Tafel processes. It can also function as a mixed type corrosion inhibitor with or without KI (Gupta et al. 2018). Brindha et al. (2015) have recently evaluated the combined effect of starch and 2,6-diphenyl-3-methylpiperidin-4-one (DPMP) for MS employing chemical and electrochemical techniques in 1.0 N HCl. It was discovered that the increasing concentration of these compounds decreased the rate of steel corrosion, and both the compounds synergistically limited the corrosion of steel by combined molecular adsorption at the metal surface. Using WL and PD techniques, starch in combined effect with cetyltrimethyl ammonium bromide and sodium dodecyl sulfate has been examined for MS corrosion in 0.1 M H2SO4 (Mobin et al. 2011). These starch-surfactant combinations behave as mixed type inhibitors with predominantly anodic inhibition, according to PD results, and they demonstrated 66.21 % IE at 30 °C with only 200 ppm starch. Using chemical and electrochemical methods, Prabakaran et al. (2015) have demonstrated the synergistic effect of pectin with propyl phosphonic acid (PA) and Zn2+ ions for carbon steel in a neutral medium. The occurrence of pectin in this research improved the inhibition effect of the secondary components (PA and Zn2+ additives). The optimum pectin concentration was found using the WL technique, which also demonstrated how the synergistic effects of PA and Zn2+ enhanced pectin’s ability to prevent corrosion.

9 Conclusions and future perspectives

In the last decade, extensive research has been done in an effort to develop novel methods to reduce the risk of typical toxic inhibitors. With the importance of green corrosion inhibitors, biomacromolecules have proven to be excellent inhibitors in acidic medium. They are a safe, environmentally friendly, and widely accessible substitute for other organic inhibitors that have the potential to be harmful. This review encloses the collection of advancement in the inhibition of mild steel corrosion using green pure biomacromolecules found in the literature. Numerous biomacromolecules, namely carbohydrates (lignin, chitosan, inulin, cellulose, etc.), proteins, amino acids, and DNA were described. Some of them were not mentioned in other reviews, and some reviews only described a specific one. However, this study explored almost all naturally occurring biopolymers and their recent development as corrosion inhibitors. They are polymeric and offer superior surface covering and protection, which makes them effective corrosion inhibitors for mild steel in acidic environments. Anticorrosive application of some biopolymers has few limitations because of their insolubility in the aqueous electrolytes. Most of them are soluble in acidic medium and chemical modification can be made to increase their solubility in aqueous medium. Despite suffering from some drawbacks, the application of green inhibitors is a step forward in the eco-friendly and economical protection of steel. Given the inherent qualities of these biomacromolecules like better film forming agents, many possible points of attachment, and highly adaptable derivatization, they have a huge potential to surpass the potential of small molecule inhibitors while working at low concentration. Moreover, to enhance further the IE of the inhibitor, the synergistic effect with other ions reported in the literature was also taken into consideration.

Nowadays, applications of many new inhibitors in corrosion protection are being investigated. However, the use of green inhibitors remains a greatly safer and environmentally benign alternative. More research is required at high temperature inhibition as well as in a neutral medium. Synergistic effect with other ions is also lacking with many biomacromolecules and needs to be considered in near future.

Abbreviations

AFM

Atomic force microscopy

Cys

Cysteine

DNA

Deoxyribonucleic acid

EIS

Electrochemical impedance spectroscopy

GCI

Green corrosion inhibitors

IE

Inhibition efficiency

Met

Methionine

MIC

Microbially influenced corrosion

MS

Mild steel

MD

Molecular dynamics

PD

Potentiodynamic polarization

RSWP

Recovery shrimp waste protein

RNA

Ribonucleic acid

SEM

Scanning electron microscopy

WL

Weight loss

XPS

X-ray photoelectron spectroscopy


Corresponding author: Mohd Talha, Department of Chemistry, Faculty of Science, Government Mahatma Gandhi Post Graduate College, Kharsia, Raigarh 496661, Chhattisgarh, India, E-mail:

About the author

Mohd Talha

Dr. Mohd Talha received his Ph.D. from Indian Institute of Technology (BHU), Varanasi, India. Afterwards, he worked as a post-doctoral fellow at SW Petroleum University Chengdu, China (2017–2019). He is currently working as head, Department of Chemistry, Government Mahatma Gandhi P.G. College, Kharsia, Raigarh (Chhattisgarh) India. His research interests include corrosion protection of biomaterials, biocompatible coatings, and corrosion inhibition. He has received several academic awards including a very prestigious, “The Sichuan Thousand Talent Award” for young scientists in 2019.

  1. Research ethics: Not applicable.

  2. Informed consent: Not applicable.

  3. Author contributions: The author has accepted responsibility for the entire content of this manuscript and approved its submission.

  4. Use of Large Language Models, AI and Machine Learning Tools: None declared.

  5. Conflict of interest: The author states no conflict of interest.

  6. Research funding: None declared.

  7. Data availability: Not applicable.

References

Abd El Aal, E.E., Abd El Wanees, S., Farouk, A., and Abd El Haleem, S.M. (2013). Factors affecting the corrosion behaviour of aluminium in acid solutions. II. Inorganic additives as corrosion inhibitors for Al in HCl solutions. Corros. Sci. 68: 14–24, https://doi.org/10.1016/j.corsci.2012.09.038.Search in Google Scholar

Abdallah, M. (2004). Antibacterial drugs as corrosion inhibitors for corrosion of aluminium in hydrochloric solution. Corrosion Sci. 46: 1981–1996, https://doi.org/10.1016/j.corsci.2003.09.031.Search in Google Scholar

Abdallah, M., Fawzy, A., and Hawsawi, H. (2020). Maltodextrin and chitosan polymers as inhibitors for the corrosion of carbon steel in 1.0 M hydrochloric acid. Int. J. Electrochem. Sci. 15: 5650–5663, https://doi.org/10.20964/2020.06.82.Search in Google Scholar

Abdel-Fatah, H.T.M., Abdel-Samad, H.S., Hassan, A.A.M., and El-Sehiety, H.E.E. (2014). Effect of variation of the structure of amino acids on inhibition of the corrosion of low-alloy steel in ammoniated citric acid solutions. Res. Chem. Intermed. 40: 1675–1690, https://doi.org/10.1007/s11164-013-1073-8.Search in Google Scholar

Abdulmajid, A., Hamidon, T.S., Rahim, A.A., and Hussin, M.H. (2019). Tamarind shell tannin extracts as green corrosion inhibitors of mild steel in hydrochloric acid medium. Mater. Res. Express 6: 106579, https://doi.org/10.1088/2053-1591/ab3b87.Search in Google Scholar

Abu-Dalo, M.A., Al-Rawashdeh, N.A.F., and Mutlaq, A.A. (2016). Green approach to corrosion inhibition of mild steel by lignin sulfonate in acidic media. J. Iron Steel Res. Int. 23: 722–732, https://doi.org/10.1016/S1006-706X(16)30112-1.Search in Google Scholar

Agboola, O., Achile, F., Fayomi, S.O., Sanni, S.E., Abatan, O., Sadiku, E.R., Popoola, P., Mubiayi, M.P., Akinlabi, E.T., Makhatha, M.E, et al.. (2019a). Adsorptive performance mechanism of the DNA of calf thymus gland (CTG DNA) on 3CR12 stainless steel as corrosion inhibitor in acidic medium. J. Bio Tribo-Corros. 5: 52, https://doi.org/10.1007/s40735-019-0245-5.Search in Google Scholar

Agboola, O., Adedoyin, T., Sanni, S.E., Fayomi, S.O., Omonidgbehin, E.A., Adegboye, B.E., Ayoola, A., Omodara, O., Ayeni, A.O., Popoola, P, et al.. (2019b). Evaluation of DNA from Manihot esculenta leaf (Cassava leaf) as corrosion inhibitor on mild steel in acidic environment. Anal. Bioanal. Electrochem. 11: 1304–1328.Search in Google Scholar

Ajayi, O., Everitt, N.M., and Voisey, K.T. (2016). Evaluation of inulin and Aloe vera as green corrosion inhibitors for mild steel in 15 % HCl. Eur. Fed. Corros. Congr.: 11–15.Search in Google Scholar

Al-Amiery, A.A., Wan Isahak, W.N.R., and Al-Azzawi, W.K. (2023). Corrosion inhibitors: natural and synthetic organic inhibitors. Lubricants 11: 174, https://doi.org/10.3390/lubricants11040174.Search in Google Scholar

Alhaffar, M.T., Umoren, S.A., Obot, I.B., and Ali, S.A. (2018). Isoxazolidine derivatives as corrosion inhibitors for low carbon steel in HCl solution: experimental, theoretical and effect of KI studies. RSC Adv. 8: 1764–1777, https://doi.org/10.1039/C7RA11549K.Search in Google Scholar PubMed PubMed Central

Alrefaee, S.H., Rhee, K.Y., Verma, C., Quraishi, M.A., and Ebenso, E.E. (2021). Challenges and advantages of using plant extract as inhibitors in modern corrosion inhibition systems: recent advancements. J. Mol. Liq. 321: 114666, https://doi.org/10.1016/j.molliq.2020.114666.Search in Google Scholar

Alvarez, L.X., de Rincón, O.T., Escribano, J., and Troconis, B.C.R. (2023). Organic compounds as corrosion inhibitors for reinforced concrete: a review. Corros. Rev. 41: 617–634, https://doi.org/10.1515/corrrev-2023-0017.Search in Google Scholar

Amin, M.A., Khaled, K.F., Mohsen, Q., and Arida, H.A. (2010). A study of the inhibition of iron corrosion in HCl solutions by some amino acids. Corros. Sci. 52: 1684–1695, https://doi.org/10.1016/j.corsci.2010.01.019.Search in Google Scholar

Annand, R., Hurd, R., and Hackerman, N. (1965). Adsorption of monomeric and polymeric amino corrosion inhibitors on steel. J. Electrochem. Soc. 112: 138, https://doi.org/10.1149/1.2423482.Search in Google Scholar

Anyiam, C.K., Ogbobe, O., Oguzie, E.E., and Madufor, I.C. (2020a) Synergistic study of modified sweet potato starch and KI for corrosion protection of mild steel in acidic media. J. Bio- Tribo-Corros. 6: 70. https://doi.org/10.1007/s40735-020-00362-x.Search in Google Scholar

Anyiam, C.K., Ogbobe, O., Oguzie, E.E., Madufor, I.C., Nwanonenyi, S.C., Onuegbu, G.C., Obasi, H.C., and Chidiebere, M.A. (2020b). Corrosion inhibition of galvanized steel in hydrochloric acid medium by a physically modified starch. SN Appl. Sci. 2: 520, https://doi.org/10.1007/s42452-020-2322-2.Search in Google Scholar

Arthur, D.E., Jonathan, A., Ameh, P.O., and Anya, C. (2013). A review on the assessment of polymeric materials used as corrosion inhibitor of metals and alloys. Int. J. Ind. Chem. 4: 2, https://doi.org/10.1186/2228-5547-4-2.Search in Google Scholar

Ashassi-Sorkhabi, H. and Asghari, E. (2008). Effect of hydrodynamic conditions on the inhibition performance of L-methionine as a “green” inhibitor. Electrochim. Acta 54: 162–167, https://doi.org/10.1016/j.electacta.2008.08.024.Search in Google Scholar

Ashassi-Sorkhabi, H. and Asghari, E. (2010). Electrochemical corrosion behavior of Al7075 rotating disc electrode in neutral solution containing L-glutamine as a green inhibitor. J. Appl. Electrochem. 40: 631–637, https://doi.org/10.1007/s10800-009-0038-5.Search in Google Scholar

Ashassi-Sorkhabi, H. and Kazempour, A. (2020). Chitosan, its derivatives and composites with superior potentials for the corrosion protection of steel alloys: a comprehensive review. Carbohydr. Polym. 237: 116110, https://doi.org/10.1016/j.carbpol.2020.116110.Search in Google Scholar PubMed

Baran, T., Mentes, A., and Arslan, H. (2015). Synthesis and characterization of water soluble O-carboxymethyl chitosan Schiff bases and Cu (II) complexes. Int. J. Biol. Macromol. 72: 94–103, https://doi.org/10.1016/j.ijbiomac.2014.07.029.Search in Google Scholar PubMed

Bastidas, J.M., Polo, J.L., Cano, E., and Torres, C.L. (2000). Trybutylamine as corrosion inhibitor for mild steel in hydrochloric acid. J. Mater. Sci. 35: 2637–2642, https://doi.org/10.1023/A:1004773903987.10.1023/A:1004773903987Search in Google Scholar

Bayol, E., Gürten, A.A., Dursun, M., and Kayakirilmaz, K. (2008). Adsorption behavior and inhibition corrosion effect of sodium carboxymethyl cellulose on mild steel in acidic medium. Acta Phys.-Chim. Sin. 24: 2236–2243, https://doi.org/10.1016/S1872-1508(08)60085-6.Search in Google Scholar

Bozell, J.J. and Petersen, G.R. (2010). Technology development for the production of biobased products from biorefinery carbohydrates—the US Department of Energy’s “Top 10” revisited. Green Chem. 12: 539–554, https://doi.org/10.1039/B922014C.Search in Google Scholar

Brindha, T., Mallika, J., and Sathyanarayana, M.V. (2015). Synergistic effect between starch and substituted piperidin-4-one on the corrosion inhibition of mild steel in acidic medium. J. Mater. Environ. Sci. 6: 191–200.Search in Google Scholar

Brown, W.H. and Poon, T. (2005). Introduction to organic chemistry, 3rd ed. Wiley, Hoboken, NJ. ISBN 0-471-44451-0.Search in Google Scholar

Cang, H., Fei, Z., Shi, W., and Xu, Q. (2012). Experimental and theoretical study for corrosion inhibition of mild steel by L-cysteine. Int. J. Electrochem. Sci. 7: 10121–10131, https://doi.org/10.1016/S1452-3981(23)16263-8.Search in Google Scholar

Cen, H., Chen, Z., and Guo, X. (2019). N, S co-doped carbon dots as effective corrosion inhibitor for carbon steel in CO2-saturated 3.5% NaCl solution. J. Taiwan Inst. Chem. Eng. 99: 224–238, https://doi.org/10.1016/j.jtice.2019.02.036.Search in Google Scholar

Charitha, B.P. and Rao, P. (2018). Environmentally benign green inhibitor to attenuate acid corrosion of 6061aluminum-15%(v) SiC(P) composite. J. Ind. Eng. Chem. 58: 357–368, https://doi.org/10.1016/j.jiec.2017.09.049.Search in Google Scholar

Chauhan, K., Kumar, R., Kumar, M., Sharma, P., and Chauhan, G.S. (2012). Modified pectin-based polymers as green antiscalants for calcium sulfate scale inhibition. Desalination 30: 31–37, https://doi.org/10.1016/j.desal.2012.07.042.Search in Google Scholar

Chauhan, D.S., Quraishi, M.A., Srivastava, V., Haque, J., and Ibrahimi, B. El (2021). Virgin and chemically functionalized amino acids as green corrosion inhibitors: influence of molecular structure through experimental and in silico studies. J. Mol. Struct. 1226: 129259, https://doi.org/10.1016/j.molstruc.2020.129259.Search in Google Scholar

Coulon, J.B., Hurtaud, C., Remond, B., and Veite, R. (1998). Factors contributing to variation in the proportion of casein in cows’ milk true protein: a review of recent INRA experiments. J. Dairy Res. 65: 375–387, https://doi.org/10.1017/s0022029998002866.Search in Google Scholar PubMed

Dalgleish, D.G. (2011). On the structural models of bovine casein micelles—review and possible improvements. Soft. Matter 7: 2265–2272, https://doi.org/10.1039/C0SM00806K.Search in Google Scholar

Dastpak, A., Hannula, P.M., Lundström, M., and Wilson, B.P. (2020). A sustainable two-layer lignin-anodized composite coating for the corrosion protection of high-strength low-alloy steel. Prog. Org. Coatings. 148: 105866, https://doi.org/10.1016/j.porgcoat.2020.105866.Search in Google Scholar

Dhara, A.K. and Nayak, A.K. (2022). Biological macromolecules: sources, properties, and functions. In: Biological macromolecules. Academic Press, Hoboken, NJ, pp. 3–22.10.1016/B978-0-323-85759-8.00005-1Search in Google Scholar

Dou, X., Fan, N., Yang, J., Zhang, Z., Wu, B., Wei, X., Shi, S., Zhang, W., and Feng, Y. (2024). Research progress on chitosan and its derivatives in the fields of corrosion inhibition and antimicrobial activity. Environ. Sci. Pollut. Res. 31: 30353–30369, https://doi.org/10.1007/s11356-024-33351-5.Search in Google Scholar PubMed

Eddy, N.O. (2011). Experimental and theoretical studies on some amino acids and their potential activity as inhibitors for the corrosion of mild steel, part 2. J. Adv. Res. 2: 35–47, https://doi.org/10.1016/j.jare.2010.08.005.Search in Google Scholar

Ekere, I., Agboola, O., and Eshorane Sanni, S. (2019). DNA from plant leaf extracts: a review for emerging and promising novel green corrosion inhibitors. J. Phys. Conf. Ser. 1378, https://doi.org/10.1088/1742-6596/1378/2/022049.Search in Google Scholar

El Mouaden, K., Chauhan, D.S., Quraishi, M.A., and Bazzi, L. (2020). Thiocarbohydrazide-crosslinked chitosan as a bioinspired corrosion inhibitor for protection of stainless steel in 3.5% NaCl. Sustain. Chem. Pharm. 15: 100213, https://doi.org/10.1016/j.scp.2020.100213.Search in Google Scholar

El-Deab, M.S. (2011). Interaction of cysteine and copper ions on the surface of iron: EIS, polarization and XPS study. Mater. Chem. Phys. 129: 223–227, https://doi.org/10.1016/j.matchemphys.2011.03.083.Search in Google Scholar

El-Deeb, M.M., Ads, E.N., and Humaidi, J.R. (2018). Evaluation of the modified extracted lignin from wheat straw as corrosion inhibitors for aluminum in alkaline solution. Int. J. Electrochem. Sci. 13: 4123–4138, https://doi.org/10.20964/2018.05.49.Search in Google Scholar

El-Enin, S.A.A., Abo, S.A., and Amin, A. (2015). Review of corrosion inhibitors for industrial applications. Int. J. Eng. Res. Rev. 3: 127–145.Search in Google Scholar

Elqars, E., Guennoun, M., Ouarhach, A., Houssini, N.S., Elhafdi, M., Essadki, A., Ait chaoui, M., and Nbigui, T. (2021). Expired chicken egg-white extract’s adsorption behavior as a corrosion inhibitor for carbon steel in 1M HCl. J. Chem., 2021: 1–12. Article ID 3416092, https://doi.org/10.1155/2021/3416092.Search in Google Scholar

Farag, A.A., Migahed, M.A., and Al-Sabagh, A.M. (2015). Adsorption and inhibition behavior of a novel Schiff base on carbon steel corrosion in acid media. Egypt. J. Pet. 24: 307–315, https://doi.org/10.1016/j.ejpe.2015.07.001.Search in Google Scholar

Farag, A.A., Ismail, A.S., and Migahed, M.A. (2018). Environmental-friendly shrimp waste protein corrosion inhibitor for carbon steel in 1 M HCl solution. Egypt. J. Pet. 27: 1187–1194, https://doi.org/10.1016/j.ejpe.2018.05.001.Search in Google Scholar

Fekry, A.M. and Mohamed, R.R. (2010). Acetyl thiourea chitosan as an eco-friendly inhibitor for mild steel in sulphuric acid medium. Electrochim. Acta 55: 1933–1939, https://doi.org/10.1016/j.electacta.2009.11.011.Search in Google Scholar

Filion, D., Lavertu, M., and Buschmann, M.D. (2007). Ionization and solubility of chitosan solutions related to thermosensitive chitosan/glycerol-phosphate systems. Biomacromolecules 8: 3224–3234, https://doi.org/10.1021/bm700520m.Search in Google Scholar PubMed

Finšgar, M. and Jackson, J. (2014). Application of corrosion inhibitors for steels in acidic media for the oil and gas industry: a review. Corros. Sci. 86: 17–41, https://doi.org/10.1016/j.corsci.2014.04.044.Search in Google Scholar

Fiori-Bimbi, M.V., Alvarez, P.E., Vaca, H., and Gervasi, C.A. (2015). Corrosion inhibition of mild steel in HCL solution by pectin. Corros. Sci. 92: 192–199, https://doi.org/10.1016/j.corsci.2014.12.002.Search in Google Scholar

Fouda, A.E.S., Nazeer, A.A., El-Khateeb, A.Y., and Fakih, M. (2014). Cinnamon plant extract as corrosion inhibitor for steel used in waste water treatment plants and its biological effect on Escherichia coli. J. Korean Chem. Soc. 58: 359–365, https://doi.org/10.5012/jkcs.2014.58.4.359.Search in Google Scholar

Fu, J.J., Li, S.G., Wang, Y., Cao, L.H., and Lu, L.D. (2010a). Computational and electrochemical studies of some amino acid compounds as corrosion inhibitors for mild steel in hydrochloric acid solution. J. Mater. Sci. 45: 6255–6265, https://doi.org/10.1007/s10853-010-4720-0.Search in Google Scholar

Fu, J.J., Li, S.N., Cao, L.H., Wang, Y., Yan, L.H., and Lu, L.D. (2010b). L-tryptophan as green corrosion inhibitor for low carbon steel in hydrochloric acid solution. J. Mater. Sci. 45: 979–986, https://doi.org/10.1007/s10853-009-4028-0.Search in Google Scholar

Gao, C., Wang, S., Dong, X., Liu, K., Zhao, X., and Kong, F. (2019). Construction of a novel lignin-based quaternary ammonium material with excellent corrosion resistant behavior and its application for corrosion protection. Materials (Basel) 12: 1776, https://doi.org/10.3390/ma12111776.Search in Google Scholar PubMed PubMed Central

Gowraraju, N.D., Jagadeesan, S., Ayyasamy, K., Olasunkanmi, L.O., Ebenso, E.E., and Subramanian, C. (2017). Adsorption characteristics of Iota-carrageenan and Inulin biopolymers as potential corrosion inhibitors at mild steel/sulphuric acid interface. J. Mol. Liq. 232: 9–19, https://doi.org/10.1016/j.molliq.2017.02.054.Search in Google Scholar

Gowri, S., Sathiyabama, J., and Rajendran, S. (2013). The inhibitive effect of glutamic acid on the corrosion of carbon steel in sea water. Int. J. Chem. Tech. Res. 5: 347–352.Search in Google Scholar

Gowri, S., Sathiyabama, J., and Rajendran, S. (2014). Corrosion inhibition effect of carbon steel in sea water by L-arginine-Zn2+ system. Int. J. Chem. Eng., Article ID 607209 https://doi.org/10.1155/2014/607209.Search in Google Scholar

Guedes, L.A.L., Bacca, K.G., Lopes, N.F., and da Costa, E.M. (2019). Tannin of Acacia mearnsii as green corrosion inhibitor for AA7075-T6 alluminum alloy in acidic medium. Mater. Corros. 70: 1288–1297, https://doi.org/10.1002/maco.201810667.Search in Google Scholar

Gupta, N.K., Joshi, P.G., Srivastava, V., and Quraishi, M.A. (2018). Chitosan: a macromolecule as green Corrosion Inhibitor for mild steel in sulfamic acid useful for sugar industry. Int. J. Biol. Macromol. 106: 704–711, https://doi.org/10.1016/j.ijbiomac.2017.08.064.Search in Google Scholar PubMed

Hamadi, L., Mansouri, S., Oulmi, K., and Kareche, A. (2018). The use of amino acids as corrosion inhibitors for metals: a review. Egypt. J. Pet. 27: 1157–1165, https://doi.org/10.1016/j.ejpe.2018.04.004.Search in Google Scholar

Hamed, E., El-Rehim, S.S.A., El-Shahat, M.F., and Shaltot, A.M. (2012). Corrosion inhibition of nickel in H2SO4 solution by alanine. Mater. Sci. Eng. B 177: 441–448, https://doi.org/10.1016/j.mseb.2012.01.016.Search in Google Scholar

Hou, D., Yang, W., and Dong, S. (2022). Corrosion inhibition of carbon steel in acid solution by starch-AA-CS terpolymer. Chem. Ind. Eng. 39: 100–107.Search in Google Scholar

Hu, K., Zhuang, J., Ding, J., Ma, Z., Wang, F., Zeng, X. (2017) Influence of biomacromolecule DNA corrosion inhibitor on carbon steel. Corr. Sci. 125:68–76. https://doi.org/10.1016/j.corsci.2017.06.004.Search in Google Scholar

Huang, L., Chen, W.Q., Wang, S.S., Zhao, Q., Li, H.J., and Wu, Y.C. (2022). Starch, cellulose and plant extracts as green inhibitors of metal corrosion: a review. Environ. Chem. Lett. 20: 3235–3264, https://doi.org/10.1007/s10311-022-01400-5.Search in Google Scholar

Hussein, M.H.M., El-Hady, M.F., Shehata, H.A.H., Hegazy, M.A., and Hefni, H.H.H. (2013). Preparation of some eco-friendly corrosion inhibitors having antibacterial activity from sea food waste. J. Surfactants Deterg. 16: 233–242, https://doi.org/10.1007/s11743-012-1395-3.Search in Google Scholar PubMed PubMed Central

Hussin, M.H., Rahim, A.A., Mohamad Ibrahim, M.N., and Brosse, N. (2015). Improved corrosion inhibition of mild steel by chemically modified lignin polymers from Elaeis guineensis agricultural waste. Mater. Chem. Phys. 163: 201–212, https://doi.org/10.1016/j.matchemphys.2015.07.030.Search in Google Scholar

Ibrahimi, B. El, Jmiai, A., Bazzi, L., and Issami, S. El (2020). Amino acids and their derivatives as corrosion inhibitors for metals and alloys. Arab. J. Chem. 13: 740–771, https://doi.org/10.1016/j.arabjc.2017.07.013.Search in Google Scholar

Karn, S.K., Fang, G., and Duan, J. (2017). Bacillus sp. acting as dual role for corrosion induction and corrosion inhibition with carbon steel (CS). Front. Microbiol. 8: 2038, https://doi.org/10.3389/fmicb.2017.02038.Search in Google Scholar PubMed PubMed Central

Ketrane, R., Saidani, B., Gil, O., Leleyter, L., and Baraud, F. (2009). Efficiency of five scale inhibitors on calcium carbonate precipitation from hard water: effect of temperature and concentration. Desalination 249: 1397–1404, https://doi.org/10.1016/j.desal.2009.06.013.Search in Google Scholar

Khademian, E., Salehi, E., Sanaeepur, H., Galiano, F., and Figoli, A. (2020). A systematic review on carbohydrate biopolymers for adsorptive remediation of copper ions from aqueous environments-part A: Classification and modification strategies. Sci. Total Environ. 738: 139829, https://doi.org/10.1016/j.scitotenv.2020.139829.Search in Google Scholar PubMed

Khaled, K.F. and Abdel-Shafi, N.S. (2013). Chemical and electrochemical investigations of L-arginine as corrosion inhibitor for steel in hydrochloric acid solutions. Int. J. Electrochem. Sci. 8: 1409–1421, https://doi.org/10.1016/S1452-3981(23)14107-1.Search in Google Scholar

Khaled, K.F. and El-Sherik, A.M. (2013). Using molecular dynamics simulations and genetic function approximation to model corrosion inhibition of iron in chloride solutions. Int. J. Electrochem. Sci. 8: 10022–10043, https://doi.org/10.1016/S1452-3981(23)13029-X.Search in Google Scholar

Khaled, K.F. and Sherik, A.M. (2013). Using neural networks for corrosion inhibition efficiency prediction during corrosion of steel in chloride solutions. Int. J. Electrochem. Sci. 8: 9918–9935, https://doi.org/10.1016/S1452-3981(23)13022-7.Search in Google Scholar

Khan, M.A.A., Irfan, O.M., Djavanroodi, F., and Asad, M. (2022). Development of sustainable inhibitors for corrosion control. Sustainability 14: 9502, https://doi.org/10.3390/su14159502.Search in Google Scholar

Lichtenthaler, F.W. and Peters, S. (2004). Carbohydrates as green raw materials for the chemical industry. Compt. Rendus Chim. 7: 65–90, https://doi.org/10.1016/j.crci.2004.02.002.Search in Google Scholar

Makarenko, N.V., Kharchenko, U.V., and Zemnukhova, L.A. (2011). Effect of amino acids on corrosion of copper and steel in acid medium. Russ. J. Appl. Chem. 84: 1362–1365, https://doi.org/10.1134/S1070427211080118.Search in Google Scholar

Miralrio, A. and Vázquez, A.E. (2020). Plant extracts as green corrosion inhibitors for different metal surfaces and corrosive media: a review. Processes 8: 942, https://doi.org/10.3390/pr8080942.Search in Google Scholar

Mobin, M., Khan, M.A., and Parveen, M. (2011). Inhibition of mild steel corrosion in acidic medium using starch and surfactants additives. J. Appl. Polym. Sci. 121: 1558–1565, https://doi.org/10.1002/app.33714.Search in Google Scholar

Monticelli, C. (2018) Corrosion inhibitors. In: Encyclopedia of interfacial chemistry-surface science and electrochemistry. Elsevier, Oxford, pp. 164–171.10.1016/B978-0-12-409547-2.13443-2Search in Google Scholar

Morad, M.S. (2005). Effect of amino acids containing sulfur on the corrosion of mild steel in phosphoric acid solutions containing Cl−, F− and Fe3+ ions: behavior under polarization conditions. J. Appl. Electrochem. 35: 889–895, https://doi.org/10.1007/s10800-005-4745-2.Search in Google Scholar

Morán, J.I., Alvarez, V.A., Cyras, V.P., and Vázquez, A. (2008). Extraction of cellulose and preparation of nanocellulose from sisal fibers. Cellulose 15: 149–159, https://doi.org/10.1007/s10570-007-9145-9.Search in Google Scholar

Mudannayake, D.C., Jayasena, D.D., Wimalasiri, K.M.S., Ranadheera, C.S., and Ajlouni, S. (2022). Inulin fructans—food applications and alternative plant sources: a review. Int. J. Food Sci. Technol. 57: 5764–5780, https://doi.org/10.1111/ijfs.15947.Search in Google Scholar

Muzaki, M.M., Nwosu, F.O., and Amusat, S.O. (2019). Mild steel corrosion inhibition in a NaCl solution by lignin extract of chromolaena odorata. Port. Electrochim. Acta. 37: 359–372, https://doi.org/10.4152/pea.201906359.Search in Google Scholar

Nair, R.N. (2017). Green corrosion inhibitors for mild steel in acidic medium. Int. J. Mod. Trends Eng. Res. (IJMTER): 216–221, https://doi.org/10.21884/IJMTER.2017.4405.OQRS0.Search in Google Scholar

Negm, N.A., Hefni, H.H., Abd-Elaal, A.A., Badr, E.A., and Abou Kana, M.T. (2020). Advancement on modification of chitosan biopolymer and its potential applications. Int. J. Biol. Macromol. 152: 681–702, https://doi.org/10.1016/j.ijbiomac.2020.02.196.Search in Google Scholar PubMed

Nwosu, F.O. and Muzakir, M.M. (2016). Thermodynamic and adsorption studies of corrosion inhibition of mild steel using lignin from Siam weed (Chromolaena odorata) in acid medium. J. Mater. Environ. Sci. 7: 1663–1673.Search in Google Scholar

Oguzie, E.E., Li, Y., and Wang, F.H. (2007). Effect of surface nanocrystallization on corrosion and corrosion inhibition of low carbon steel: synergistic effect of methionine and iodide ion. Electrochim. Acta 52: 6988–6996, https://doi.org/10.1016/j.electacta.2007.05.023.Search in Google Scholar

Okafor, P., Liu, X., and Zheng, Y. (2009). Corrosion inhibition of mild steel by ethylamino imidazoline derivative in CO2-saturated solution. Corrosion Sci. 51: 761–768, https://doi.org/10.1016/j.corsci.2009.01.017.Search in Google Scholar

Okoronkwo, A.E., Olusegun, S.T., and Oluwasina, O.O. (2015). The inhibitive action of chitosan extracted from Archachatina marginata shells on the corrosion of plain carbon steel in acid media. Anti-corrosion Methods Mater. 62: 13–18, https://doi.org/10.1108/acmm-10-2013-1307.Search in Google Scholar

Othman, N.K., Yahya, S., and Ismail, M.C. (2019). Corrosion inhibition of steel in 3.5% NaCl by rice straw extract. J. Ind. Eng. Chem. 70: 299–310, https://doi.org/10.1016/j.jiec.2018.10.030.Search in Google Scholar

Özcan, M. (2008). AC impedance measurement of cystine adsorption at mild steel/sulfuric acid interface as corrosion inhibitor. J. Solid State Electrochem. 12: 1653–1661, https://doi.org/10.1007/s10008-008-0551-1.Search in Google Scholar

Özcan, M., Karadağ, F., and Dehri, I. (2008). Interfacial behavior of cysteine between mild steel and sulfuric acid as corrosion inhibitor. Acta Phys.-Chim. Sin. 24: 1387–1392, https://doi.org/10.1016/S1872-1508(08)60059-5.Search in Google Scholar

Pokhrel, S. and Yadav, P.N. (2019). Functionalization of chitosan polymer and their applications. J. Macromol. Sci., Part A 56: 450–475, https://doi.org/10.1080/10601325.2019.1581576.Search in Google Scholar

Popoola, L.T. (2019). Organic green corrosion inhibitors (OGCIs): a critical review. Corros. Rev. 37: 71–102, https://doi.org/10.1515/corrrev-2018-0058.Search in Google Scholar

Popova, A. (2007). Temperature effect on mild steel corrosion in acid media in presence of azoles. Corros. Sci. 49: 2144–2158, https://doi.org/10.1016/j.corsci.2006.10.020.Search in Google Scholar

Prabakaran, M., Ramesh, S., Periasamy, V., and Sreedhar, B. (2015). The corrosion inhibition performance of pectin with propyl phosphonic acid and Zn2+ for corrosion control of carbon steel in aqueous solution. Res. Chem. Intermed. 41: 4649–4671, https://doi.org/10.1007/s11164-014-1558-0.Search in Google Scholar

Qin, C., Li, H., Xiao, Q., Liu, Y., Zhu, J., and Du, Y. (2006). Water-solubility of chitosan and its antimicrobial activity. Carbohydr. Polym. 63: 367–374, https://doi.org/10.1016/j.carbpol.2005.09.023.Search in Google Scholar

Rabizadeh, T. and Asl, S.K. (2019a). Chitosan as a green inhibitor for mild steel corrosion: thermodynamic and electrochemical evaluations. Mater. Corros. 70: 738–748, https://doi.org/10.1002/maco.201810501.Search in Google Scholar

Rabizadeh, T. and Asl, S.K. (2019b). Casein as a natural protein to inhibit the corrosion of mild steel in HCl solution. J. Mol. Liq. 276: 694–704, https://doi.org/10.1016/j.molliq.2018.11.162.Search in Google Scholar

Rahim, A.A., Rocca, E., Steinmetz, E.J., and Kassim, M.J. (2008). Inhibitive action of mangrove tannins and phosphoric acid on pre-rusted steel via electrochemical methods. Corros. Sci. 50: 1546–1550, https://doi.org/10.1016/j.corsci.2008.02.013.Search in Google Scholar

Raja, P.B., Fadaeinasab, M., Qureshi, A.K., Rahim, A.A., Osman, H., Litaudon, M., and Awang, K. (2013). Evaluation of green corrosion inhibition by alkaloid extracts of Ochrosia oppositifolia and Isoreserpiline against mild steel in 1 M HCl medium. Ind. Eng. Chem. Res. 52: 10582–10593, https://doi.org/10.1021/ie401387s.Search in Google Scholar

Rajan, J.P., Shrivastava, R., and Mishra, R.K. (2017). Corrosion inhibition effect of clerodendron colebrookianum walp leaves (phuinam) extract on the acid corrosion of mild steel. Protect. Met. Phys. Chem. Surface 53: 1161–1172, https://doi.org/10.1134/S2070205118010264.Search in Google Scholar

Rajendran, S., Sridevi, S.P., Anthony, N., John, A.A., and Sundearavadivelu, M. (2005). Corrosion behaviour of carbon steel in polyvinyl alcohol. Anti-Corrosive Methods Mater. 52: 102–107, https://doi.org/10.1108/00035590510584816.Search in Google Scholar

Ramesh, S.V. and Adhikari, A.V. (2009). N′-[4-(diethylamino)benzylidine]-3-{[8-(trifluoromethyl)quinolin-4-yl]thio}propano hydrazide) as an effective inhibitor of mild steel corrosion in acid media. Mater. Chem. Phys. 115: 618–627, https://doi.org/10.1016/j.matchemphys.2009.01.024.Search in Google Scholar

Rathi, P. and Trikha Kumar, S. (2017). Plant extracts as green corrosion inhibitors in various corrosive media – a review. World J. Pharm. Pharmceut. Sci. 6: 482–514.10.20959/wjpps20174-8903Search in Google Scholar

Rbaa, M., Benhiba, F., Hssisou, R., Lakhrissi, Y., Lakhrissi, B., Ebn Touhami, M., Warad, I., and Zarrouk, A. (2021). Green synthesis of novel carbohydrate polymer chitosan oligosaccharide grafted on d-glucose derivative as bio-based corrosion inhibitor. J. Mol. Liq. 322: 114549, https://doi.org/10.1016/j.molliq.2020.114549.Search in Google Scholar

Ren, Y., Luo, Y., Zhang, K., Zhu, G., and Tan, X. (2008). Lignin terpolymer for corrosion inhibition of mild steel in 10% hydrochloric acid medium. Corros. Sci. 50: 3147–3153, https://doi.org/10.1016/j.corsci.2008.08.019.Search in Google Scholar

Richardson, T.J.A. (2009). Shreir’s corrosion. Elsevier Science, Spain.Search in Google Scholar

Roy, P. and Sukul, D. (2015). Protein–surfactant aggregate as a potential corosion inhibitor for mild steel in sulphuric acid: zein–SDS system. RSC Adv. 5: 1359–1365, https://doi.org/10.1039/C4RA12821D.Search in Google Scholar

Saidia, N., Elmsellema, H., Ramdania, M., Chetouania, A., Azzaouib, K., Yousfia, F., Aounitia, A., and Hammouti, B. (2015). Using pectin extract as eco-friendly inhibitor for steel corrosion in 1 M HCl media. Der Pharma Chem. 7: 87–94.Search in Google Scholar

Sakai, T., Sakamoto, T., Hallaert, J., and Vandamme, E.J. (1993). Pectin, pectinase, and protopectinase: production, properties, and applications. Adv. App. Microbiol. 39: 213–294, https://doi.org/10.1016/s0065-2164(08)70597-5.Search in Google Scholar PubMed

Salleh, S.Z., Yusoff, A.H., Zakaria, S.K., Taib, M.A.A., Seman, A.A., Masri, M.N., Mohamad, M., Mamat, S., Sobri, S.A., Ali, A., et al.. (2021). Plant extracts as green corrosion inhibitor for ferrous metal alloys: a review. J. Clean. Prod. 304: 127030, https://doi.org/10.1016/j.jclepro.2021.127030.Search in Google Scholar

Shahini, M.H., Ramezanzadeh, B., and Mohammadloo, H.E. (2021). Recent advances in biopolymers/carbohydrate polymers as effective corrosion inhibitive macro-molecules: a review study from experimental and theoretical views. J. Mol. Liq. 325: 115110, https://doi.org/10.1016/j.molliq.2020.115110.Search in Google Scholar

Shahmoradi, A.R., Talebibahmanbigloo, N., Javidparvar, A.A., Bahlakeh, G., and Ramezanzadeh, B. (2020). Studying the adsorption/inhibition impact of the cellulose and lignin compounds extracted from agricultural waste on the mild steel corrosion in HCl solution. J. Mol. Liq. 304: 112751, https://doi.org/10.1016/j.molliq.2020.112751.Search in Google Scholar

Shamnamol, G.K., Jacob, J.M., Rugma, P., and Raj, J.R.A. (2021). Synergistic effect of salts on the corrosion inhibitive action of plant extract: a review. J. Adhes. Sci. Technol. 35: 133–163, https://doi.org/10.1080/01694243.2020.1797336.Search in Google Scholar

Sharma, S., Solanki, A.S., and Sharma, S.K. (2024). Anticorrosive action of eco-friendly plant extracts on mild steel in different concentrations of hydrochloric acid. Corros. Rev. 42: 185–201, https://doi.org/10.1515/corrrev-2023-0053.Search in Google Scholar

Sheir, L.L., Jarman, R.A., and Burstein, G.T. (1994). Corrosion. Butter-worth-Heinemann, Great Britain.Search in Google Scholar

Shivakumar, M., Dharmaprakash, M.S., Manjappa, S., and Nagashree, K.L. (2017). Corrosion inhibition performance of lignin extracted from black liquor on mild steel in 0.5 m H2SO4 acidic media. Port. Electrochim. Acta. 35: 351–359, https://doi.org/10.4152/pea.201706351.Search in Google Scholar

Shkirskiy, V. (2015). Corrosion inhibition of galvanized steel by LDH – inhibitor hybrids: mechanisms of inhibitor release and corrosion reaction. University of Paris et Marie Curie-Paris VI, Hoboken, NJ.Search in Google Scholar

Shkirskiy, V., Keil, P., Hintze-Brueningb, H., Leroux, F., Brisset, F., Oglea, K., and Volovitch, P. (2015). The effects of L-cysteine on the inhibition and accelerated dissolution processes of zinc metal. Corros. Sci. 100: 101–112, https://doi.org/10.1016/j.corsci.2015.07.010.Search in Google Scholar

Singh, A.K., Mohapatra, S., and Pani, B. (2016). Corrosion inhibition effect of aloe vera gel: gravimetric and electrochemical study. J. Ind. Eng. Chem. 33: 288–297, https://doi.org/10.1016/j.jiec.2015.10.014.Search in Google Scholar

Solomon, M.M., Umoren, S.A., Udosoro, I.I., and Udoh, A.P. (2010). Inhibitive and adsorption behaviour of carboxymethyl cellulose on mild steel corrosion in sulphuric acid solution. Corros. Sci. 52: 1317–1325, https://doi.org/10.1016/j.corsci.2009.11.041.Search in Google Scholar

Solomon, M.M., Gerengi, H., Kaya, T., Kaya, E., and Umoren, S.A. (2017). Synergistic inhibition of St37 steel corrosion in 15% H2SO4 solution by chitosan and iodide ion additives. Cellulose 24: 931–950, https://doi.org/10.1007/s10570-016-1128-2.Search in Google Scholar

Sushmitha, Y. and Rao, P. (2019). Material conservation and surface coating enhancement with starch-pectin biopolymer blend: a way towards green. Surf. Interfaces 16: 67–75, https://doi.org/10.1016/j.surfin.2019.04.011.Search in Google Scholar

Talha, M., Ma, Y., Kumar, P., Lin, Y., and Singh, A. (2019). Role of protein adsorption in the bio corrosion of metallic implants – a review. Colloids Surf. B Biointerfaces 176: 494–506, https://doi.org/10.1016/j.colsurfb.2019.01.038.Search in Google Scholar PubMed

Thamer, A.N., Kadham, L.H., and Alwaan, I.M. (2022). Preparation and characteristics of starch nanocrystals as corrosion inhibitor: experimental and theoretical studies. Asian J. Chem. 34: 2854–2864, https://doi.org/10.14233/ajchem.2022.23944.Search in Google Scholar

Toghan, A. and Fawzy, A. (2023). Unraveling the adsorption mechanism and anti-corrosion functionality of dextrin and inulin as eco-friendly biopolymers for the corrosion of reinforced steel in 1.0 M HCl: a thermodynamic and kinetic approach. Polymers 15: 3144, https://doi.org/10.3390/polym15143144.Search in Google Scholar PubMed PubMed Central

Umoren, S.A. and Eduok, U.M. (2016). Application carbohydrate polymers as corrosion inhibitors for metal substrates in different media: a review. Carbohydrate Polym. 140: 314–341, https://doi.org/10.1016/j.carbpol.2015.12.038.Search in Google Scholar PubMed

Umoren, S.A., Banera, M.J., Alonso-Garcia, T., Gervasi, C.A., and Mirífico, M.V. (2013). Inhibition of mild steel corrosion in HCl solution using chitosan. Cellulose 20: 2529–2545, https://doi.org/10.1007/s10570-013-0021-5.Search in Google Scholar

Umoren, S.A., Obot, I.B., Madhankumar, A., and Gasem, Z.M. (2015). Performance evaluation of pectin as ecofriendly corrosion inhibitor for X60 pipeline steel in acid medium: experimental and theoretical approaches. Carbohydrate Polym. 124: 280–291, https://doi.org/10.1016/j.carbpol.2015.02.036.Search in Google Scholar PubMed

Umoren, S.A., AlAhmary, A.A., Gasem, Z.M., and Solomon, M.M. (2018). Evaluation of chitosan and carboxymethyl cellulose as ecofriendly corrosion inhibitors for steel. Int. J. Biol. Macromol. 117: 1017–1028, https://doi.org/10.1016/j.ijbiomac.2018.06.014.Search in Google Scholar PubMed

Verma, C. and Quraishi, M.A. (2021). Chelation capability of chitosan and chitosan derivatives: recent developments in sustainable corrosion inhibition and metal decontamination applications. Curr. Res. Green Sustain. Chem. 4: 100184, https://doi.org/10.1016/j.crgsc.2021.100184.Search in Google Scholar

Verma, C., Olasunkanmi, L.O., Obot, I., Ebenso, E.E., and Quraishi, M.A. (2016). 2,4-Diamino-5-(phenylthio)-5 H-chromeno [2, 3-b] pyridine-3-carbonitriles as green and corrosion inhibitors: gravimetric, electrochemical, surface morphology and theoretical studies. RSC Adv. 6: 53933–53948, https://doi.org/10.1039/C6RA04900A.Search in Google Scholar

Verma, C., Ebenso, E.E., and Quraishi, M.A. (2017). Ionic liquids as green and sustainable corrosion inhibitors for metals and alloys: an overview. J. Mol. Liq. 233: 403–414, https://doi.org/10.1016/j.molliq.2017.02.111.Search in Google Scholar

Verma, C., Haque, J., Quraishi, M.A., and Ebenso, E.E. (2019). Aqueous phase environmental friendly organic corrosion inhibitors derived from one step multicomponent reactions : a review. J. Mol. Liq. 275: 18–40, https://doi.org/10.1016/j.molliq.2018.11.040.Search in Google Scholar

Verma, C., Quraishi, M.A., Alfantazi, A., and Rhee, K.Y. (2021). Corrosion inhibition potential of chitosan based Schiff bases: design, performance and applications. Int. J. Biol. Macromol. 184: 135–143, https://doi.org/10.1016/j.ijbiomac.2021.06.049.Search in Google Scholar PubMed

Verma, C., Singh, V., and AlFantazi, A. (2024a). Cellulose, cellulose derivatives and cellulose composites in sustainable corrosion protection: challenges and opportunities. Phys. Chem. Chem. Phys. 26: 11217–11242, https://doi.org/10.1039/D3CP06057H.Search in Google Scholar

Verma, C., Al-Moubaraki, A.H., Alfantazi, A., and Rhee, K.Y. (2024b). Heterocyclic amino acids-based green and sustainable corrosion inhibitors: adsorption, bonding and corrosion control. J. Clean. Prod. 446: 141186, https://doi.org/10.1016/j.jclepro.2024.141186.Search in Google Scholar

Verma, C., Chauhan, D.S., Aslam, R., Banerjee, P., Aslam, J., Quadri, T.W., Zehra, S., Verma, D.K., Quraishi, M.A., Dubey, S, et al.. (2024c). Principles and theories of green chemistry for corrosion science and engineering: design and application. Green Chem. 26: 4270–4357, https://doi.org/10.1039/D3GC05207A.Search in Google Scholar

Vorobyova, V., Skiba, M., and Gnatko, E. (2023). Agri-food wastes extract as sustainable-green inhibitors corrosion of steel in sodium chloride solution: a close look at the mechanism of inhibiting action. S. Afr. J. Chem. Eng. 43: 273–295, https://doi.org/10.1016/j.sajce.2022.11.004.Search in Google Scholar

Wang, X., Chen, J.G., Su, G.F., Cui, C., and Li, H.Y. (2020). Application of electromagnetism method to characterize the degradation behavior in structural mild steel within the elastic range. Constr. Build. Mater. 241: 118011, https://doi.org/10.1016/j.conbuildmat.2020.118011.Search in Google Scholar

Wang, Q., Zhang, Q., Zheng, H., Liu, L., Wu, X., Zhao, C., Zhou, X., Sun, Y., Yan, Z., and Li, X. (2023). Insight into anti-corrosion behavior of protein extract as eco-friendly corrosion inhibitor. Sustain. Chem. Pharm. 34: 101177, https://doi.org/10.1016/j.scp.2023.101177.Search in Google Scholar

Wei, H., Heidarshenas, B., Zhou, L., Hussain, G., Li, Q., and Ken) Ostrikov, K. (2020). Green inhibitors for steel corrosion in acidic environment: state-of-art. Mater. Today Sustain. 10: 100044, https://doi.org/10.1016/j.mtsust.2020.100044.Search in Google Scholar

Yadav, M., Goel, G., Hatton, F.L., Bhagat, M., Mehta, S.K., Mishra, R.K., and Bhojak, N. (2021). A review on biomass-derived materials and their applications as corrosion inhibitors, catalysts, food and drug delivery agents. Curr. Res. Green Sustain. Chem. 4: 100153, https://doi.org/10.1016/j.crgsc.2021.100153.Search in Google Scholar

Yahya, S., Othman, N.K., Daud, A.R., Jalar, A., and Ismail, R. (2015). The influence of temperature on the inhibition of carbon steel corrosion in acidic lignin. Anti-Corrosion Methods Mater. 62: 301–306, https://doi.org/10.1108/ACMM-01-2014-1339.Search in Google Scholar

Yahya, S., Othman, N.K., and Ismail, M.C. (2019). Corrosion inhibition of steel in multiple flow loop under 3.5% NaCl in the presence of rice straw extracts, lignin and ethylene glycol. Eng. Fail. Anal. 100: 365–380, https://doi.org/10.1016/j.engfailanal.2019.02.036.Search in Google Scholar

Yıldız, Y. (2015). An electrochemical and theoretical evaluation of 4,6-diamino-2-pyrimidinethiol as a corrosion inhibitor for mild steel in HCl solutions. Corros. Sci. 90: 544–553, https://doi.org/10.1016/j.corsci.2014.10.047.Search in Google Scholar

Zarrouk, A., Hammouti, B., Lakhlifi, T., Traisnel, M., Vezin, H., and Bentiss, F. (2015). New 1H-pyrrole-2,5-dione derivatives as efficient organic inhibitors of carbon steel corrosion in hydrochloric acid medium: electrochemical, XPS and DFT studies. Corros. Sci. 90: 572–584, https://doi.org/10.1016/j.corsci.2014.10.052.Search in Google Scholar

Zerfaoui, M., Oudda, H., Hammouti, B., Kertit, S., and Benkaddour, M. (2004). Inhibition of corrosion of iron in citric acid media by amino acids. Prog. Org. Coat. 51: 134–138, https://doi.org/10.1016/j.porgcoat.2004.05.005.Search in Google Scholar

Zhang, F., Pan, J., and Claesson, P.M. (2011). Electrochemical and AFM studies of mussel adhesive protein (Mefp-1) as corrosion inhibitor for carbon steel. Electrochim. Acta 56: 1636–1645, https://doi.org/10.1016/j.electacta.2010.10.033.Search in Google Scholar

Zhang, Z., Tian, N., Zhang, W., Huang, X., Ruan, L., and Wu, L. (2016). Inhibition of carbon steel corrosion in phase-change-materials solution by methionine and proline. Corros. Sci. 111: 675–689, https://doi.org/10.1016/j.corsci.2016.06.005.Search in Google Scholar

Received: 2024-05-24
Accepted: 2024-09-10
Published Online: 2024-12-09

© 2024 the author(s), published by De Gruyter, Berlin/Boston

This work is licensed under the Creative Commons Attribution 4.0 International License.

Downloaded on 31.12.2025 from https://www.degruyterbrill.com/document/doi/10.1515/corrrev-2024-0067/html
Scroll to top button