Abstract
Pre-Exposure Prophylaxis (PrEP) is a drug that, as demonstrated in clinical trials, when taken makes the user virtually immune to HIV. This has led to numerous countries making the drug available, but little is known about the population level effects of PrEP. Using panel data from 40 European countries I study the effect of countries adopting WHO recommendations to make PrEP available to citizens. I demonstrate that PrEP availability leads to around 15–20 % fewer new HIV infections. My results indicate that PrEP can be an effective tool in reducing HIV incidence.
Acknowledgments
I thank Christopher Carpenter, Gilbert Gonzales, Michelle Marcus, Benjamin Harrell, Nathaniel Tran, and two anonymous reviewers for helpful comments on an earlier draft.
Goodman-bacon decompositions.
| Weight | Average DD | |
|---|---|---|
| Earlier treated versus later control | 0.295 | −0.121 |
| Later treated versus earlier control | 0.032 | 0.005 |
| Treated versus never treated | 0.673 | −0.156 |
-
Notes: See Table 2.
The effect of PrEP availability on HIV, driven by a single country?
| (1) | (2) | (3) | (4) | (5) | |
|---|---|---|---|---|---|
| Excluding Albania | Excluding Austria | Excluding Belgium | Excluding Croatia | Excluding Czech Republic | |
| PrEP available x post | −0.157** | −0.159** | −0.155** | −0.157** | −0.152** |
| (0.066) | (0.067) | (0.067) | (0.066) | (0.067) | |
| (6) | (7) | (8) | (9) | (10) | |
| Excluding Denmark | Excluding Estonia | Excluding Finland | Excluding France | Excluding Georgia | |
| PrEP available x post | −0.155** | −0.156** | −0.162** | −0.163** | −0.156** |
| (0.067) | (0.066) | (0.066) | (0.068) | (0.067) | |
| (11) | (12) | (13) | (14) | (15) | |
| Excluding Germany | Excluding Iceland | Excluding Ireland | Excluding Israel | Excluding Italy | |
| PrEP available x post | −0.158** | −0.167** | −0.124* | −0.132** | −0.160** |
| (0.067) | (0.068) | (0.065) | (0.064) | (0.066) | |
| (16) | (17) | (18) | (19) | (20) | |
| Excluding Kazakhstan | Excluding Moldova | Excluding Netherlands | Excluding Norway | Excluding Portugal | |
| PrEP available x post | −0.185*** | −0.160** | −0.139** | −0.173** | −0.180*** |
| (0.062) | (0.066) | (0.065) | (0.067) | (0.062) | |
| (21) | (22) | (23) | (24) | (25) | |
| Excluding Serbia | Excluding Spain | Excluding Sweden | Excluding Switzerland | Excluding Ukraine | |
| PrEP available x post | −0.158** | −0.130** | −0.155** | −0.146** | −0.170** |
| (0.066) | (0.064) | (0.068) | (0.066) | (0.064) |
-
Notes: See Table 2. Standard errors in parentheses: ***p < 0.01, **p < 0.05, *p < 0.1.
The effect of PrEP availability on HIV incidence.
| (1) | |
|---|---|
| Poisson | |
| PrEP available x post | −0.199*** |
| (0.076) | |
| Country and year FE | ✓ |
| Country level controls | ✓ |
| Law controls | ✓ |
-
Notes: See Table 2. Standard errors in parentheses: ***p < 0.01, **p < 0.05, *p < 0.1.

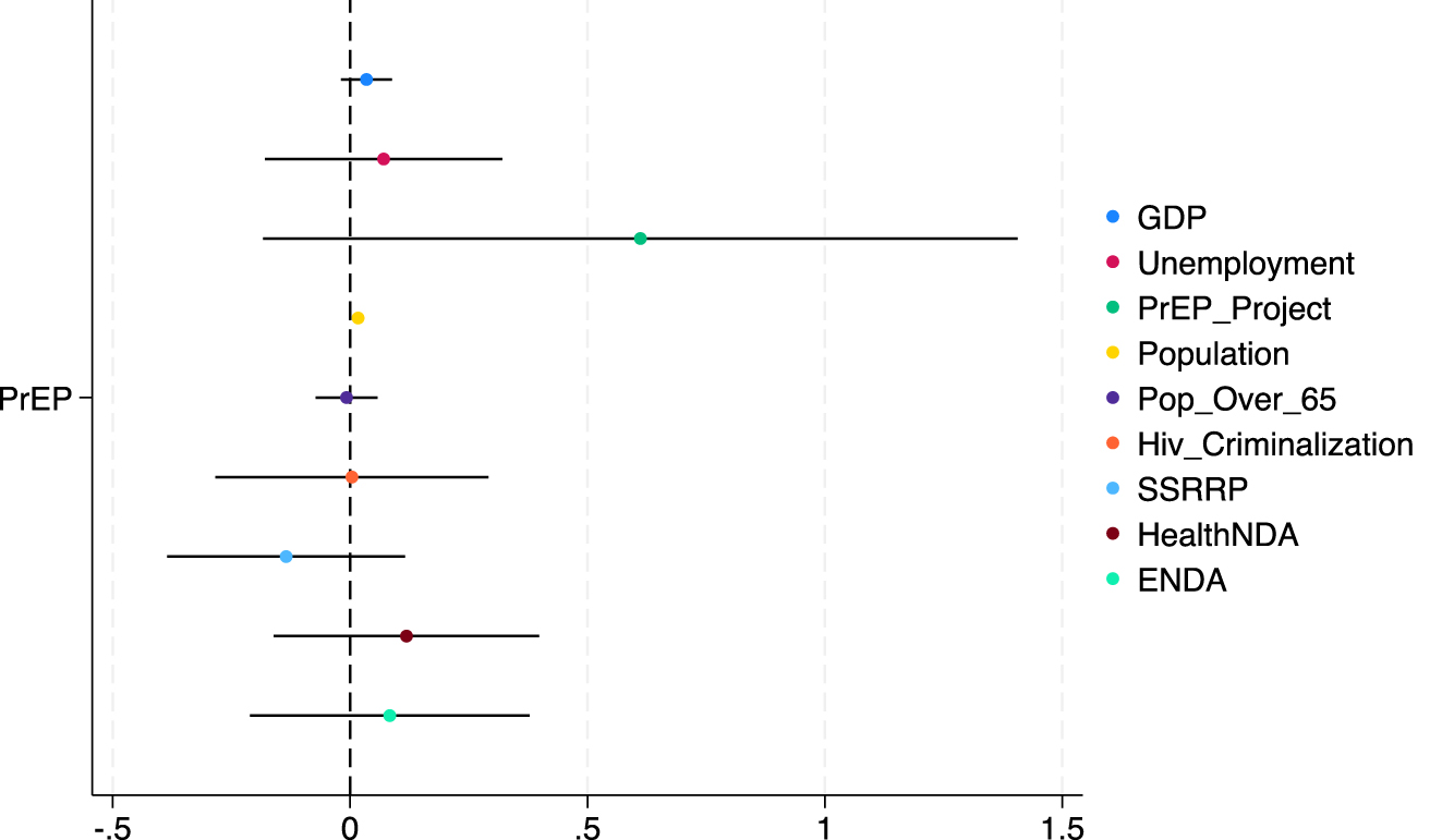
Compositional balance. Notes: Outcome variables are standardized to have a mean of zero and a standard deviation of one to aid comparability. Each plot is a separate difference in difference specification and each specification includes controls for the other covariates as well as both state and year fixed effects. Bars denote 95 % confidence intervals.

Event study model without PrEP clinical trial or implementation project. Notes: Data come from the Institute of health metrics and evaluation global burden of disease database (2005–2019). This figure overlays the event-study plots constructed using two different estimators: TWFE model, estimated (in black) and a Sun and Abraham model (in blue). The omitted period is t–1 and event periods are binned at t–5 or earlier. The event study is unbalanced due to data limitations. Countries treated in 2016 are represented in all event periods, countries treated in later years are unrepresented in later periods. The model includes the same covariates as Figure 1, except from the PrEP clinical trial or implementation project variable given its economic significance in Figure A1. Bars represent 95 % confidence intervals.
References
Bertrand, M., E. Duflo, and S. Mullainathan. 2004. “How Much Should We Trust Differences-In-Differences Estimates?” Quarterly Journal of Economics 119 (1): 249–75. https://doi.org/10.1162/003355304772839588.Suche in Google Scholar
CDC. 2022a. PrEP Effectiveness. Also available at: https://www.cdc.gov/hiv/basics/prep/prep-effectiveness.html.Suche in Google Scholar
CDC. 2022b. HIV Cost-Effectiveness. Also available at: https://www.cdc.gov/hiv/programresources/guidance/costeffectiveness/index.html#:∼:text=Currently%2C%20the%20lifetime%20treatment%20cost,than%20%24379%2C668%20per%20infection%20averted.Suche in Google Scholar
Estcourt, C., A. Yeung, R. Nandwani, D. Goldberg, B. Cullen, N. Steedman, L. Wallace, and S. Hutchinson. 2021. “Population-level Effectiveness of a National HIV Preexposure Prophylaxis Programme in MSM.” AIDS 35 (4): 665–73, https://doi.org/10.1097/QAD.0000000000002790.Suche in Google Scholar
Goodman-Bacon, A. 2021. “Difference-in-differences with Variation in Treatment Timing.” Journal of Econometrics 225 (2): 254–77. https://doi.org/10.1016/j.jeconom.2021.03.014.Suche in Google Scholar
Grulich, A. E., F. Jin, B. R. Bavinton, B. Yeung, M. A. Hammoud, J. Amin, G. Cabrera, S. Clackett, E. Ogilvie, S. Vaccher, T. Vickers, A. McNulty, D. J. Smith, N. J. Dharan, C. Selvey, C. Power, K. Price, I. Zablotska, D. A. Baker, M. Bloch, K. Brown, C. J. Carmody, A. Carr, D. Chanisheff, N. Doong, R. Finlayson, D. A. Lewis, J. Lusk, S. Martin, C. Ooi, P. Read, N. Ryder, D. Smith, C. T. Meng Soo, D. J. Templeton, E. Vlahakis, and R. Guy. 2021. “Long-term Protection from HIV Infection with Oral HIV Pre-exposure Prophylaxis in Gay and Bisexual Men: Findings from the Expanded and Extended EPIC-NSW Prospective Implementation Study.” The Lancet HIV 8 (8): e486–94, https://doi.org/10.1016/S2352-3018(21)00074-6.Suche in Google Scholar
Johnson, K. A., N. A. Hessol, R. Kohn, T. Q. Nguyen, E. S. Mara, L. Mara, L. Hsu, S. Scheer, and S. E. Cohen. 2019. “HIV Seroconversion in the Era of Pharmacologic Prevention: A Case–Control Study at a San Francisco STD Clinic.” JAIDS Journal of Acquired Immune Deficiency Syndromes 82 (2): 159–65, https://doi.org/10.1097/QAI.0000000000002107.Suche in Google Scholar
O Murchu, E., L. Marshall, C. Teljeur, P. Harrington, C. Hayes, P. Moran, and M. Ryan. 2022. “Oral Pre-exposure Prophylaxis (PrEP) to Prevent HIV: A Systematic Review and Meta-Analysis of Clinical Effectiveness, Safety, Adherence and Risk Compensation in All Populations.” BMJ Open 12 (5): e048478, https://doi.org/10.1136/bmjopen-2020-048478.Suche in Google Scholar
Our World in Data. 2023. HIV/ AIDS. https://ourworldindata.org/hiv-aids (acccessed July 18, 2023).Suche in Google Scholar
Pagkas-Bather, J., C. M. Khosropour, M. R. Golden, C. Thibault, and J. C. Dombrowski. 2021. “Population-Level Effectiveness of HIV Pre-exposure Prophylaxis Among MSM and Transgender Persons with Bacterial Sexually Transmitted Infections.” JAIDS Journal of Acquired Immune Deficiency Syndromes 87 (2): 769–75, https://doi.org/10.1097/QAI.0000000000002646.Suche in Google Scholar
Schaefer, R., H-M. A. Schmidt, G. Ravasi, A. Mozalevskis, B. B. Rewari, F. Lule, K. Yeboue, A. Brink, N. M. Konath, M. Sharma, N. Seguy, J. Hermez, A. S. Alaama, N. Ishikawa, B. D. Nguimfack, D. Low-Beer, R. Baggaley, and S. Dalal. 2021. “Adoption of Guidelines on and Use of Oral Pre-exposure Prophylaxis: A Global Summary and Forecasting Study.” The Lancet HIV 8 (8): e502–10, https://doi.org/10.1016/S2352-3018(21)00127-2.Suche in Google Scholar
Sun, L., and S. Abraham. 2021. “Estimating Dynamic Treatment Effects in Event Studies with Heterogeneous Treatment Effects.” Journal of Econometrics 225 (2): 175–99, https://doi.org/10.1016/j.jeconom.2020.09.006.Suche in Google Scholar
Van Epps, P., B. M. Wilson, W. Garner, L. A. Beste, M. M. Maier, and M. E. Ohl. 2019. “Brief Report: Incidence of HIV in a Nationwide Cohort Receiving Pre-exposure Prophylaxis for HIV Prevention.” JAIDS Journal of Acquired Immune Deficiency Syndromes 82 (5): 427–30, https://doi.org/10.1097/QAI.0000000000002186.Suche in Google Scholar
World Health Organization. 2022. Global Data Shows Increasing PrEP Use and Widespread Adoption of WHO PrEP Recommendations. Available at: https://www.who.int/news-room/feature-stories/detail/global-data-shows-increasing-prep-use-and-widespread-adoption-of-who-prep-recommendations.Suche in Google Scholar
© 2023 Walter de Gruyter GmbH, Berlin/Boston
Artikel in diesem Heft
- Frontmatter
- Research Articles
- Strategic Analysis of Petty Corruption with an Entrepreneur and Multiple Bureaucrats
- Environmental Policy in Vertical Markets with Downstream Pollution: Taxes Versus Standards
- The Impact of the CARES Stimulus Payments on COVID-19 Transmission and Mortality
- Reverses in Gender Salary Gaps Among STEM Faculty: Evidence from Mean and Quantile Decompositions
- Downstream Profit Effects of Horizontal Mergers: Horn & Wolinsky and von Ungern-Sternberg Revisited
- The Moderating Role of Decisiveness in the Attraction Effect
- Pension Reform and Improved Employment Protection: Effects on Older Men’s Employment Outcomes
- Relational Voluntary Environmental Agreements with Unverifiable Emissions
- Letters
- Labor Demand Responses to Changing Gas Prices
- Early Childhood Education Attendance and Students’ Later Outcomes in Europe
- The Long-Term Effects of Unilateral Divorce Laws on the Noncognitive Skill of Conscientiousness
- Lab versus Online Experiments: Gender Differences
- Pre-Exposure Prophylaxis and HIV Incidence
- Variants of Gender Bias and Sexual-Orientation Discrimination in Career Development
Artikel in diesem Heft
- Frontmatter
- Research Articles
- Strategic Analysis of Petty Corruption with an Entrepreneur and Multiple Bureaucrats
- Environmental Policy in Vertical Markets with Downstream Pollution: Taxes Versus Standards
- The Impact of the CARES Stimulus Payments on COVID-19 Transmission and Mortality
- Reverses in Gender Salary Gaps Among STEM Faculty: Evidence from Mean and Quantile Decompositions
- Downstream Profit Effects of Horizontal Mergers: Horn & Wolinsky and von Ungern-Sternberg Revisited
- The Moderating Role of Decisiveness in the Attraction Effect
- Pension Reform and Improved Employment Protection: Effects on Older Men’s Employment Outcomes
- Relational Voluntary Environmental Agreements with Unverifiable Emissions
- Letters
- Labor Demand Responses to Changing Gas Prices
- Early Childhood Education Attendance and Students’ Later Outcomes in Europe
- The Long-Term Effects of Unilateral Divorce Laws on the Noncognitive Skill of Conscientiousness
- Lab versus Online Experiments: Gender Differences
- Pre-Exposure Prophylaxis and HIV Incidence
- Variants of Gender Bias and Sexual-Orientation Discrimination in Career Development