Abstract
Polycrystalline samples of La- and Lu-agardite with the composition RECu6(OH)6(AsO4)3 · n H2O (RE = La, Lu; n≈3) have been prepared and the structure of the products was determined by X-ray powder diffraction studies. The characterization has been complemented by Raman and UV/Vis spectroscopic, magnetic and TGA investigations. DFT calculations support the conclusions drawn from the experiments. The arsenates RECu6(OH)6(AsO4)3 · n H2O (RE = La, Lu; n≈3) are isostructural with the mineral mixite and crystallize with a hexagonal structure which contains ribbons of edge-sharing [CuO5] square-pyramids extending along the hexagonal axis. They are interconnected via (AsO4)3− groups to form hexagonal tubes of about 10 Å inner diameter. Such zeolite-like tubes host water molecules, which can be reversibly removed at moderate temperatures (T≈100°C). Like in mixite and YCu6(OH)6(AsO4)3 · 3 H2O, the Cu2+ cations in RECu6(OH)6(AsO4)3 · n H2O (RE = La, Lu; n≈3) exhibit low-dimensional antiferromagnetic properties, which are subject to changes in the Cu–O–Cu bond lengths and angles due to the lanthanide contraction.
1 Introduction
Stimulated by the discovery of high-Tc superconductivity in oxocuprates, low-dimensional quantum antiferromagnets have attracted particular attention in the last three decades [1]. Despite extensive research, the coupling mechanism of high-Tc superconductors is still disputed. Especially, it is still controversial how and to what extent magnetic excitations of the two-dimensional cuprate layers play a role for high-Tc superconductors [2], [3]. Another interesting aspect of low-dimensional quantum magnets, possibly intimately connected to the problem of high-Tc superconductivity, is that instead of attaining a long-range ordered magnetic ground state the systems may condense into a spin liquid, i.e. a state where spin disorder is preserved still at lowest temperatures [4]. Numerous low-dimensional magnetic systems have been experimentally examined in the search for spin-liquid characteristics. Recently, several Cu2+ containing natural minerals like azurite, malachite, green and black dioptase, to name a few, came into the focus of the research for spin liquids [5]. The immediate advantage of natural minerals is that very often large and well-grown crystals are cheaply available. However, natural minerals quite often contain the magnetic entities in several different crystallographic environments hampering an unambiguous characterization, e.g. of the magnetic and thermal bulk properties. In addition, such minerals contain crystal water molecules or also hydroxyl groups with hydrogen bonds leaving an assignment of the relevant spin exchange pathways sometimes highly burdensome [6], [7], [8]. Over the last decade, density functional (DFT) calculations of spin exchange paths have made significant progress allowing a better understanding of the spin structure [9]. However, DFT calculations often rely on crystal structure data, which frequently remain only tentative, particularly at low temperatures and with respect to positions of the lighter atoms like O or H.
Recently, we have reported on the investigation of the structural, magnetic, and vibrational properties of the Cu2+ mineral mixite, (Bi,Ca)Cu6(OH)6(AsO4)3·3 H2O, which we compared with artificially prepared mixite and YCu6(OH)6(AsO4)3·3 H2O, where trivalent Bi3+ is replaced by Y3+ [10]. Mixite and YCu6(OH)6(AsO4)3·3 H2O crystallize in the space group P63/m (no. 176) with a ‘zeolite-type’ structure (Fig. 1). Tri-capped trigonal prisms [REO9] (with six oxygen atoms from arsenate anions and three hydroxide groups; see Figs. 1 and 4) and square-pyramidal [CuO5] groups (three oxygen atoms from arsenate anions and two hydroxide groups; see Figs. 1 and 6) together with the arsenate groups form a honeycomb arrangement of tubes of about 10 Å inner diameter propagating along the hexagonal axis [11], [12], [13], [14]. These tubes are containing up to three, highly disordered water molecules, apparently without immediate coordination to the Cu2+ ions. The water molecules can easily be removed in a diffusion controlled process by heating the compounds to moderate temperatures (T≈100°C). However, this dehydration is reversible [13]. As members of the mixite group, agardites in which the trivalent cation position is substituted by Al, form a series of natural minerals [15]. Natural agardite specimens generally represent solid solutions either at the trivalent metal atom site or through a replacement of As atoms by P atoms. Frost et al. [16] have synthesized and investigated the series RECu6(OH)6(AsO4)3·3 H2O (RE=La, Ce, Pr, Sm, Eu) by IR spectroscopy and determined the lattice parameters by X-ray powder diffraction. They reported a firm linear correlation of the lattice parameter a on the ionic radii of the RE elements with a variation from Y to La of about 1.1%. The dependence of the c lattice parameters on the ionic radii was less clearly pronounced.

Crystal structure of the compounds RECu6(OH)6(AsO4)3·n H2O (RE=La, Y, Lu; n≈3). Cu, As, and RE atoms are depicted by green, yellow, and grey spheres, respectively. Oxygen atoms of arsenate, hydroxide, and water are distinguished (see color code). Hydrogen atoms are not shown. A unit cell is outlined.
In our previous publication, we have focused on the magnetic properties of natural and synthetic mixite and of YCu6(OH)6(AsO4)3·3 H2O with respect to possible low-dimensional magnetic behavior of the Cu2+ species [10]. It turned out that the magnetic properties of mixite and YCu6(OH)6(AsO4)3·3 H2O can be well described by a one-dimensional spin S=1/2 Heisenberg behavior with alternating spin exchange of up to ~kB·200 K for mixite and ~kB·130 K for YCu6(OH)6(AsO4)3·3 H2O. Long-range magnetic ordering was not found down to temperatures of 0.5 K. These experimental findings have been supported by DFT calculations. Here, we report on the continuation of this research and address the structural, vibrational, and magnetic properties of LaCu6(OH)6(AsO4)3·3 H2O and LuCu6(OH)6(AsO4)3·3 H2O. La and Lu span the full RE series with a significant contraction of the RE ionic radius. The concomitant contraction of the unit cell opens the opportunity to study the magnetic behavior of an isotypic series of compounds as a function of bond lengths and angles. The significant reduction of the spin exchange parameters by reducing the RE ionic radius which emerged already from the comparison of the magnetic properties of mixite and YCu6(OH)6(AsO4)3·3 H2O is affirmed for RECu6(OH)6(AsO4)3·3 H2O (RE=La, Lu). RECu6(OH)6(AsO4)3·3 H2O (RE=La, Lu) are both found to be isotypic to mixite. Experiments to prepare ScCu6(OH)6(AsO4)3·3 H2O using a comparable synthesis procedures and conditions have not been not successful.
2 Experimental
Polycrystalline powders of RECu6(OH)6(AsO4)3·n H2O (RE=La, Y, Lu; n≈3) were prepared following protocols described in the literature [13], [17]. Stoichiometric mixtures of RE(NO3)3·m H2O (3.5<m<6), Cu(NO3)2·2.5 H2O and Na2HAsO4·7 H2O were dissolved in demineralized water and the products precipitated with dilute NaOH solution (c=1 m). The precipitates were repeatedly washed with demineralized water and dried. X-ray diffraction patterns collected on such powders revealed a diffuse broad background but no coherent Bragg reflections. In order to improve their crystallinity, the precipitates were stirred into 10 mL demineralized water, and the slurry filled into a Teflon-lined stainless steel autoclave and heated to 175°C for 2 days. Adjusting the pH to ~8.5 before the autoclave treatment gave the best results and only small amounts of impurity phases were formed.
Non-isothermal dehydration of the samples was carried out in a Netzsch STA 449 F5-Jupiter TG setup with heating rates of 2 K min−1 in a flowing 20 mL min−1 Ar atmosphere.
Powder X-ray diffraction patterns were collected at room temperature with a Stadi-P powder diffractometer (Fa. STOE & Cie GmbH, Darmstadt, Germany), using MoKα1 radiation (λ=0.7093187 Å). The samples were sealed in 0.3 mm outer diameter quartz glass capillaries and the patterns were collected in the range 5≤2θ≤65°. The diffraction patterns were refined using the FullProf software package using a Voigt profile function (NPR=7) [18]. All positional and displacement parameters were refined with the constraint that displacement parameters of alike elements were assumed to be identical. The oxygen positional parameters were consistent with those given by Mereiter and Preisinger [12]. The Raman spectra were measured at room temperature with a Jobin Yvon Type V 010 LabRAM single grating spectrometer (spectral resolution ~1 cm−1) using linearly polarized laser light of 532 nm wavelength. The power of the laser was typically less than 1 mW in order to avoid decomposition of the sample at the laser spot. The laser beam was focused to a 10 μm spot on the top surface of the sample using a microscope. Optical reflectance spectra were recorded at room temperature from 200 nm to 3000 nm of a polycrystalline sample diluted with BaSO4 in a mass ratio 1:1 covering the NIR and the UV/Vis range using a modified CARY17 spectrophotometer. The spectrometer is equipped with an integrating sphere and was operated in the single-beam mode using BaSO4 as a white reflectance standard. Magnetic properties were studied with a SQUID Magnetometer (MPMS7XL, Quantum Design, San Diego, CA, USA).
3 Results and discussion
3.1 Thermogravimetric investigation
Figure 2 displays the results of the thermogravimetric (TGA) measurements collected on artificial samples of mixite and on RECu6(OH)6(AsO4)3·n H2O (RE=La, Lu; n≈3) in comparison with a TG trace reported by Miletich et al. for artificial mixite [13]. The weight loss induced by raising the temperature revealed four distinct steps, an initial weight decrease (~3%) at about 26°C, a second ridge at about 93°C, a third and somewhat broader step between 390 and 510°C and a final weight decrease above 800°C (~3%). The very first step close to room temperature was not seen in Miletich’s measurements, and we ascribe it to some residual moist in our samples. The second and third step at 90±30 and 450±60°C are characterized by weight losses between 4.5 and 3%, respectively, and have also been observed by Miletich et al. [13] and assigned to the complete depletion of the water molecules (‘zeolitic’ water, expected 4.6% for n≈3) and to irreversible thermal decomposition of the samples, probably with the loss of H2O from the OH− ions. The fourth step centered at about 870°C may be assigned to evaporation of decomposition products.
![Fig. 2: (solid lines) TGA traces of synthetic mixite BiCu6(OH)6(AsO4)3·n H2O (n≈3), (preparation see ref. [10], La-and Lu-agardite (RECu6(OH)6(AsO4)3·n H2O (RE=La, Lu; n≈3) (green and red, respectively) compared to a TGA trace collected by Miletich et al. [13] on synthetic mixite (blue). The latter trace has been downshifted by 3%, and the temperature scale has been upshifted by 35°C. The blue dotted curve represents Miletich’s original data.](/document/doi/10.1515/znb-2019-0189/asset/graphic/j_znb-2019-0189_fig_002.jpg)
(solid lines) TGA traces of synthetic mixite BiCu6(OH)6(AsO4)3·n H2O (n≈3), (preparation see ref. [10], La-and Lu-agardite (RECu6(OH)6(AsO4)3·n H2O (RE=La, Lu; n≈3) (green and red, respectively) compared to a TGA trace collected by Miletich et al. [13] on synthetic mixite (blue). The latter trace has been downshifted by 3%, and the temperature scale has been upshifted by 35°C. The blue dotted curve represents Miletich’s original data.
3.2 Powder X-ray diffraction
Figure 3 summarizes the X-ray diffraction patterns of RECu6(OH)6(AsO4)3·3 H2O (RE=La, Y, Lu) together with results of Rietveld refinements starting from the atom positional parameters listed by Mereiter and Preisinger [12]. For YCu6(OH)6(AsO4)3·3 H2O the Rietveld refinement assured phase purity, whereas for RECu6(OH)6(AsO4)3·3 H2O (RE=La, Lu) small impurity Bragg reflections were detected. These could be attributed to CuO (space group C2/c; ref. [19] (5.1% weight fraction)) for RE=La and CuO (1.9% weight fraction) together with LuAsO4 (ZrSiO4 structure type; ref. [20] (11.5% weight fraction)) for RE=Lu.

X-ray diffraction patterns of RECu6(OH)6(AsO4)3·n H2O (RE=La, Y, Lu; n≈3), from top to bottom. The red dots mark the measured counts, the (blue) solid lines the results of the Rietveld refinement. The (black) solid lines underneath represent the differences between measured and calculated patterns. The vertical bars mark the Bragg angles of the reflections used to simulate the pattern. The (blue) bars relate to the phases RECu6(OH)6(AsO4)3·n H2O (RE=La, Y, Lu; n≈3); the green and red vertical bars mark the Bragg positions of CuO and LuAsO4 impurity phases, respectively (for more details see text). The insets display the high-angle regions in an enlarged scale.
Tables 1 and 2 compile the lattice parameters and the positional parameters of the Cu and As atoms, at Wyckoff position 12i and 6h, respectively. The RE atoms reside in a tri-capped trigonal prism with a 6+3 oxygen coordination (see Fig. 4) at Wyckoff position 2d with coordinates 2/3, 1/3, 3/4. The lattice parameters and the cell volumes exhibit a continuous decrease from La via Y to Lu, following the decrease of the ionic radii of the RE ions. Whereas for the a lattice parameter a clear linear dependence on the ionic radius [21] is observed, c deviates noticeably from a linear dependence for small ionic radii, i.e. for LuCu6(OH)6(AsO4)3·3 H2O (see Fig. 5).
Lattice parameters and cell volumes of RECu6(OH)6(AsO4)3·3 H2O (RE=La, Y, Lu).
| RE | a (Å) | c (Å) | Vcell (Å3) |
|---|---|---|---|
| La | 13.7069(1) | 5.9545(1) | 968.853(15) |
| Y | 13.5313(2) | 5.8818(1) | 932.65(2) |
| Lu | 13.5058(2) | 5.8608(1) | 925.82(3) |
Refined atom positions of the atoms Cu and As in RECu6(OH)6(AsO4)3·3 H2O (RE=La, Y, Lu).
| RE | xCu | yCu | zCu | xAs | yAs | zAs |
|---|---|---|---|---|---|---|
| La | 0.41109(12) | 0.09920(12) | 0.5005(3) | 0.6540(2) | 0.14602(19) | 1/4 |
| Y | 0.4102(2) | 0.09434(18) | 0.4993(6) | 0.6529(3) | 0.1519(3) | 1/4 |
| Lu | 0.41164(17) | 0.09685(17) | 0.5022(4) | 0.6558(3) | 0.1531(2) | 1/4 |
Cu and As occupy the Wyckoff position 6h in the space group P63/m (no. 176). The RE atoms are at special Wyckoff position 2d (2/3, 1/3, 3/4).

Tri-capped trigonal-prismatic coordination of the RE atoms by oxygen atoms in RECu6(OH)6(AsO4)3·3 H2O (RE=La, Y, Lu). The red and blue spheres represent the oxygen atoms, the RE atom is shown by the light grey sphere. The RE atoms occupy the Wyckoff site 2d with coordinates 2/3, 1/3, 3/4.
![Fig. 5: Lattice parameters of RECu6(OH)6(AsO4)3·3 H2O (RE=La, Y, Lu) as a function of the ionic radii of the RE ions in a nine-fold coordination (ionic radii from ref. [21]).](/document/doi/10.1515/znb-2019-0189/asset/graphic/j_znb-2019-0189_fig_005.jpg)
Lattice parameters of RECu6(OH)6(AsO4)3·3 H2O (RE=La, Y, Lu) as a function of the ionic radii of the RE ions in a nine-fold coordination (ionic radii from ref. [21]).
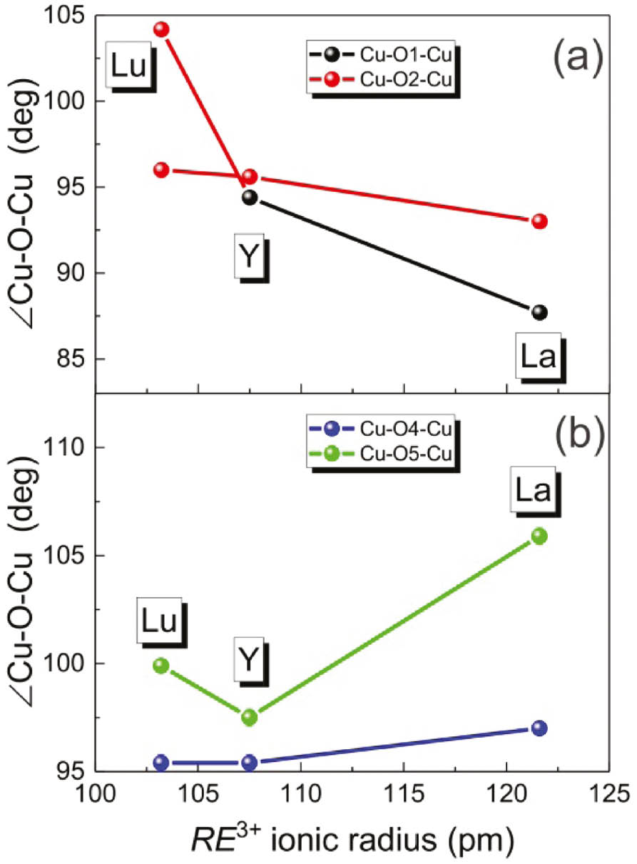
Since for the sign and magnitude of the spin exchange in and between the chains of edge-sharing square-pyramids [CuO5] not only the interatomic distances but also the angles ∠(Cu, O, Cu) (definition see Fig. 6) are relevant, these are compiled in Fig. 7 as a function of the RE ionic radii.

Chain of edge-sharing CuO5 square-pyramids with the (AsO4)3− groups attached to oxygen atoms O1, O2, and O3, as indicated. Due to the 63 screw symmetry operation, the As atoms (Wyckoff site 6h, zAs=1/4) are connected only to every second oxygen atom along the chains. Cu, As, O, and O (of OH) atoms are depicted by green, yellow, red and blue spheres.

Angles ∠(Cu, O, Cu) as a function of the ionic radii of the RE3+ cations in a nine-fold coordination. O1 and O2 atoms connect to (AsO4)3−, O4 and O5 atoms to OH−. The oxygen atom labels are defined in Fig. 6.
3.3 Raman scattering
Frost et al. [16], [17], [22], [23] have extensively used Raman spectroscopy to characterize mixite samples from various mineralogical origins and proposed a first assignment of the various characteristic bands (see also the discussion in ref. [10]). One focus of this discussion was to identify the possible formation of protonated (HAsO4)2− and (H2AsO4)− arsenate anions whose stretching vibrations can be identified by broad sideband at the high energy shoulder of the (AsO4)3− Raman bands centered between 800 and 900 cm−1.
Figure 8 shows a comparison of the room temperature Raman spectra of RECu6(OH)6(AsO4)3·3 H2O (RE=La, Lu) in comparison with the spectrum for YCu6(OH)6(AsO4)3·3 H2O which has already been reported in ref. [10]. The inset displays the energy range where (OH)− stretching vibrations are expected. Qualitatively, the spectra for RECu6(OH)6(AsO4)3·3 H2O (RE=La, Y, Lu) are very similar indicating the same structure type in support of our X-ray structure determination. Some modes are more pronounced due to intricacies to focus the laser spot on the polycrystalline particles. Quantitatively there are slight shifts, e.g. for the pronounced mode just below 500 cm−1, which have been assigned to AsO4 bending vibrations. From La to Lu the strongest band is up-shifted from 474 to 488 cm−1, which parallels the decreasing lattice parameters on going from La to Lu. For LuCu6(OH)6(AsO4)3·3 H2O, it appears that the band starts to split into two overlapping modes. Similarly, the modes near 900 cm−1, which have been attributed to stretching vibrations of the (AsO4)3− group, exhibit an up-shift from 871 to 876 cm−1, for La and Lu, respectively. Some extra splitting is discerned, e.g. of the 876 cm−1 mode of the LuCu6(OH)6(AsO4)3·3 H2O spectrum. The OH− stretching vibrations centered at ~3500 cm−1 are broad but well resolved for La and Lu. The Y and Lu compounds exhibit a slight downshift of about 15–20 cm−1.

Raman spectra of RECu6(OH)6(AsO4)3·3 H2O (RE=La, Y, Lu) collected at room temperature. The spectra of RECu6(OH)6(AsO4)3·3 H2O (RE=La, Y) have been up-shifted for clarity.
3.4 UV/Vis spectroscopy and AOM
The powder reflectance spectrum of LaCu6(OH)6(AsO4)3·3 H2O in the NIR/UV/Vis range shows two bands at
![Fig. 9: Powder reflectance spectrum of LaCu6(OH)6(AsO4)3·3 H2O. Black vertical bars mark the ligand field transition energies for the square-pyramidal [CuIIO5] chromophore, obtained from AOM calculations. We show the Kubelka-Munk relation, K/S=(1−Rf)2/(2Rf), where Rf=I(LaCu6(OH)6(AsO4)3·3 H2O)/I(BaSO4). I(LaCu6(OH)6(AsO4)3·3 H2O) and I(BaSO4) are the reflected light intensities of the sample and the BaSO4 used as white standard, respectively [24]. The inset displays the NIR spectrum given by the (black) solid line. For comparison we also show the spectrum for LaCu6(OH)6(AsO4)3·3 H2O reported by Frost et al. (blue solid line) [16].](/document/doi/10.1515/znb-2019-0189/asset/graphic/j_znb-2019-0189_fig_009.jpg)
Powder reflectance spectrum of LaCu6(OH)6(AsO4)3·3 H2O. Black vertical bars mark the ligand field transition energies for the square-pyramidal [CuIIO5] chromophore, obtained from AOM calculations. We show the Kubelka-Munk relation, K/S=(1−Rf)2/(2Rf), where Rf=I(LaCu6(OH)6(AsO4)3·3 H2O)/I(BaSO4). I(LaCu6(OH)6(AsO4)3·3 H2O) and I(BaSO4) are the reflected light intensities of the sample and the BaSO4 used as white standard, respectively [24]. The inset displays the NIR spectrum given by the (black) solid line. For comparison we also show the spectrum for LaCu6(OH)6(AsO4)3·3 H2O reported by Frost et al. (blue solid line) [16].
For the chromophore [CuIIO5], strong radial and angular distortions of its ligand field are expected. For a better understanding of the correlation between the geometric distortion of the chromophore and its d-electron energies, calculations within the framework of the angular overlap model (AOM) [25], [26], [27] were performed. An advantage of this model is its ability to use the actual geometry of the chromophores, as determined from the crystal structure analysis. Thus, instead of using global parameters, like 10Dq or Δo, one σ and two π interactions for each ligand (in total 15 bonding parameters for a square-pyramidal chromophore) with the five 3d orbitals of the central cation are used for the fitting between calculated and observed transition energies. The decomposition of the global ligand field parameter (10Dq or Δo) permits also accounting for the effects of the second coordination sphere, e.g. anisotropic π bonding of ligands [28]. In addition, mixing between the 4s and 3d orbitals of copper (d–s mixing [27], [29]) is taken into account using the eds parametrization in the program CAMMAG [30], [31]. To reduce the number of independent bonding parameters, constraints on the parameters were introduced. Thus, for the energy eσ(CuII–O), proportionality to the distance d(Cu–O)−5.0 is assumed [32]. In general, the energy of eπ is set to one quarter of the corresponding energy eσ in the case of an ‘undisturbed’ π interaction [27], [28]. In the case of the particular bonding situation encountered in LaCu6(OH)6(AsO4)3·3 H2O, with all oxygen atoms coordinating to Cu2+ in the pyramidal plane showing c.n.(O2−)=3 (Fig. 6) a reduction of π bonding has been assumed. This is in line with the AOM parametrization for chains of edge-sharing [MIIIO6] octahedra e.g. in phosphates MPO4 (CrVO4 structure type; M=Ti, V, Cr) [33], [34], [35]. Thus, eπ,x, the π interaction within the plane (Cu,O,Cu), was set to zero, while for the π interaction perpendicular to this plane eπ,y=1/4 eσ was used.
Inter-electronic repulsion is introduced into the AOM calculations via the Racah parameters B and C, and spin-orbit coupling by ξ. For the angular overlap modelling the free ion ratio C0/B0=3.8 (Cu2+) was used and retained during the calculations [27]. Covalent contributions to the Cu–O interaction in the chromophore were considered by the nephelauxetic ratio β [β=B/B0; B0(Cu2+)=1240 cm−1] [27]. The spin-orbit coupling parameter ξ was also assumed to be reduced relative to the free ion value ξ0(Cu2+)=830 cm−1 by the nephelauxetix ratio β.
For the AOM calculations a modified version of the program CAMMAG [30], [31], [36] was employed. Best fit AOM parameters for the optical spectrum of LaCu6(OH)6(AsO4)3·3 H2O are B=992 cm−1 (β=0.80), C=3770 cm−1, ζ=664 cm−1, eσ(Cu–O)~d(Cu–O)−5.0, and eσ(Cu–O)max=7200 cm−1 (for O3). Using a Stevens orbital reduction parameter of k=0.8 [27], [37] leads to an effective magnetic moment of μ=1.87 μB and to the components gx=2.05, gy=2.12, and gz=2.27 (gave=2.15) of the g-tensor for the [CuIIO5] chromophore corresponding to a Curie constant of 0.44 cm3 K mol−1, in agreement with the experimental observation (see Table 3).
Spin exchange parameters of RECu6(OH)6(AsO4)3·3 H2O obtained from fits to eq. (1) and Curie-Weiss temperature θCW from fits of eq. (2) to the high-temperature susceptibilities.
| RE | JA (K) | α | θCW (K) | Ref. | C (cm3 K per mol Cu) |
|---|---|---|---|---|---|
| La | 213(3) | 0.56(2) | –202(3) | This work | 0.448(3) |
| Y | 128(1) | 0.76(1) | –97(1) | [10] | 0.393(2) |
| Lu | – | – | –92(1) | This work | 0.415(3) |
| Nat. mixite | 206(2) | 0.52(1) | –176(2) | [10] | 0.488(5) |
3.5 Magnetic properties
In our preceding investigations on mixite and YCu6(OH)6(AsO4)3·3 H2O we have found that the magnetic properties are essentially characterized by low dimensional antiferromagnetic quantum magnetism [10]. In a first approach we could model the magnetic susceptibilities of the Cu2+ cations (3d9 electronic configuration) by the susceptibility of a spin S=1/2 Heisenberg chain with alternating antiferromagnetic spin exchange along the chains summarized in the Hamiltonian [38] eq. (1).
At first sight this model does not fully correspond to the crystal structure but gained support from DFT calculations of the spin exchange pathways. The DFT calculations identified as the dominant exchange pathways an antiferromagnetic coupling along the ribbon chains (Fig. 6) to every other neighbor. The spin exchange in a six-membered ring in the ab plane was found to be also antiferromagnetic but by about a factor of six smaller. The spin exchange model, according to the DFT results with the two dominant pathways, is sketched in Fig. 10. Identifying in eq. (1) JA with J2 and JB with 2×J4 one expects an alternation parameter α of the order of ~0.3, consistent with the experimental findings of ~0.5 for mixite [10].
![Fig. 10: Cu six-membered rings in RECu6(OH)6(AsO4)3·3 H2O with the dominant spin exchange parameters indicated. Spin exchange labels according to ref. [10].](/document/doi/10.1515/znb-2019-0189/asset/graphic/j_znb-2019-0189_fig_010.jpg)
Cu six-membered rings in RECu6(OH)6(AsO4)3·3 H2O with the dominant spin exchange parameters indicated. Spin exchange labels according to ref. [10].
Good agreement of the magnetic susceptibility with that of an antiferromagnetic Heisenberg S=1/2 chain with alternating exchange coupling is also found for LaCu6(OH)6(AsO4)3·3 H2O as shown in Fig. 11a. Whereas the magnetic susceptibilities of LaCu6(OH)6(AsO4)3·3 H2O and YCu6(OH)6(AsO4)3·3 H2O can be rather well fitted with the alternating chain model, the magnetic susceptibility of LuCu6(OH)6(AsO4)3·3 H2O shares some similarities with those of mixite, and RECu6(OH)6(AsO4)3·3 H2O (La, Y) but cannot be fitted to the alternating exchange Heisenberg chain model eq. (1). However, a trend that immediately becomes apparent from the experimental data is the decrease of the magnitude of the overall antiferromagnetic spin exchange on going from LaCu6(OH)6(AsO4)3·3 H2O to LuCu6(OH)6(AsO4)3·3 H2O. This is already signaled by the downshift of the broad short range order maximum and also by the decrease of the Curie-Weiss temperature (see Table 3) obtained from a fit of the high temperature susceptibilities (175≤T≤300 K) to the Curie-Weiss law eq. (2),
![Fig. 11: Magnetic susceptibilities of compounds RECu6(OH)6(AsO4)3·3 H2O corrected for a temperature independent contribution and a Curie tail at low temperatures due to single-ion magnetic species. The (red) solid lines in case of La and Y represents a fit with a spin S=1/2 Heisenberg chain with alternating antiferromagnetic spin exchange according to eq. (1) with parameters listed in Table 3. The (red) solid line in (c) represents the susceptibility of a spin S=1/2 Heisenberg chain with uniform nearest-neighbor antiferromagnetic spin exchange of 50 K calculated according to ref. [38]. The insets display the inverse susceptibility together with a fit of the Curie-Weiss law eq. (2) to the data for T>175 K. The fitted parameters are listed in Table 3.](/document/doi/10.1515/znb-2019-0189/asset/graphic/j_znb-2019-0189_fig_011.jpg)
Magnetic susceptibilities of compounds RECu6(OH)6(AsO4)3·3 H2O corrected for a temperature independent contribution and a Curie tail at low temperatures due to single-ion magnetic species. The (red) solid lines in case of La and Y represents a fit with a spin S=1/2 Heisenberg chain with alternating antiferromagnetic spin exchange according to eq. (1) with parameters listed in Table 3. The (red) solid line in (c) represents the susceptibility of a spin S=1/2 Heisenberg chain with uniform nearest-neighbor antiferromagnetic spin exchange of 50 K calculated according to ref. [38]. The insets display the inverse susceptibility together with a fit of the Curie-Weiss law eq. (2) to the data for T>175 K. The fitted parameters are listed in Table 3.
where C is the Curie constant and χ0 is a temperature-independent contribution that takes care of the diamagnetism of the closed electron shells and of the van Vleck paramagnetism. Compared to LaCu6(OH)6(AsO4)3·3 H2O the temperatures of the susceptibility maximum of YCu6(OH)6(AsO4)3·3 H2O and LuCu6(OH)6(AsO4)3·3 H2O decrease by a factor of two and five, respectively. The Curie-Weiss temperatures, which are a measure of the sum of the spin exchange with the neighboring magnetic partners, drop by a factor of two.
As already observed for mixite, heat capacity measurements on RECu6(OH)6(AsO4)3·3 H2O (RE=La, Y) showed no indication of an anomaly characteristic for long-range magnetic order [10], [39].
4 Discussion and conclusion
We have prepared polycrystalline samples of two new members of the mixite/agardite mineral family with composition RECu6(OH)6(AsO4)3·3 H2O (RE=La, Lu), determined their crystal structures and investigated the desorption of crystal water, their vibrational spectra and their magnetic properties. Compounds of the type RECu6(OH)6(AsO4)3·3 H2O (RE=La, Lu) are isostructural with the minerals mixite/agardite. The lattice parameters follow the lanthanide contraction leading associated with small up-shifts of Raman modes. Most pronounced, however, is the influence of the unit cell size on the magnetic properties. Like mixite and YCu6(OH)6(AsO4)3·3 H2O, compounds RECu6(OH)6(AsO4)3·3 H2O (RE=La, Lu) behave as low-dimensional antiferromagnetic spin S=1/2 antiferromagnetic quantum magnets with no indication of long range ordering.
Despite the reduced interatomic Cu–Cu distances for YCu6(OH)6(AsO4)3·3 H2O and LuCu6(OH)6(AsO4)3·3 H2O compared to mixite and LaCu6(OH)6(AsO4)3·3 H2O, the spin exchange decreases substantially, which we ascribe to the modified ∠(Cu, O, Cu) bonding angles. For smaller RE3+ ionic radii the angles decrease for the O atoms which are constituents of the (AsO4)3− groups, whereas they increase for those O atoms not coordinated to an As atom. ∠(Cu, O, Cu) bond angles are decisive for the spin exchange as has been exemplarily demonstrated by Hay, Thibeault, and Hoffmann for pairs of Cu atoms bridged by an OH− ion [40]. Especially, ∠(Cu, O, Cu) bond angles close to 90° are very critical for the magnitude and sign of the spin exchange [41] with a transition from weak ferromagnetic to antiferromagnetic spin exchange close to ~97°. From the crystal structure, the similarity of the magnetic behavior to that of an alternating chain it is not immediately evident since Cu–O–Cu spin exchange principally could take place also via the hydroxide oxygen atoms. The applicability of the alternating chain model was indicated by DFT calculations, and can be reasoned as a consequence of the different bond angles [10], [39]. A complex interplay of the angle dependence and magnetic frustration due to a competition of ferro- and antiferromagnetic exchange may be the reason why the magnetic properties of LuCu6(OH)6(AsO4)3·3 H2O do not correspond to those of mixite and RECu6(OH)6(AsO4)3·3 H2O (RE=La, Y). Repeated experiments to synthesize ScCu6(OH)6(AsO4)3·3 H2O were not successful, so far, likely due to the small ionic size of the Sc3+ cations.
Dedicated to: Professor Dr. rer. nat. Dr. h.c. mult. Arndt Simon on the occasion of his 80th birthday.
Acknowledgements
We thank G. Siegle for measuring the heat capacities and S. Bette for collecting the TGA data.
References
[1] J. G. Bednorz, K. A. Müller, Z. Phys. B1986, 64, 189–193.10.1007/BF01303701Suche in Google Scholar
[2] B. Keimer, S. A. Kivelson, M. R. Norman, S. Uchida, J. Zaanen, Nature2015, 518, 179–186.10.1038/nature14165Suche in Google Scholar PubMed
[3] A. Bussmann-Holder, A. Simon, H. Keller, A. R. Bishop, Europhys. Lett.2013, 101, 47004-1–47004-6.10.1209/0295-5075/101/47004Suche in Google Scholar
[4] L. Savary, L. Balents, Rep. Prog. Phys.2017, 80, 016502-1–016502-–55.10.1088/0034-4885/80/1/016502Suche in Google Scholar
[5] D. S. Inosov, Adv. Phys.2018, 67, 149–252.10.1080/00018732.2018.1571986Suche in Google Scholar
[6] S. Bette, R. K. Kremer, G. Eggert, C. C. Tang, R. E. Dinnebier, Dalton Trans.2017, 46, 14847–14858.10.1039/C7DT03288ASuche in Google Scholar
[7] S. Bette, R. K. Kremer, G. Eggert, R. E. Dinnebier, Dalton Trans.2018, 47, 8209–8220.10.1039/C8DT01758ASuche in Google Scholar
[8] S. Bette, A. Costes, R. K. Kremer, G. Eggert, C. C. Tang, R. E. Dinnebier, Z. Anorg. Allg. Chem.2019, 645, 988–997.10.1002/zaac.201900125Suche in Google Scholar
[9] H. J. Xiang, C. Lee, H.-J. Koo, X. G. Gong, M.-H. Whangbo, Dalton Trans. 2013, 42, 823–853.10.1039/C2DT31662ESuche in Google Scholar
[10] A. Golubev, E. Brücher, A. Schulz, R. K. Kremer, F. X. Schmidt, E. E. Gordon, M.-H. Whangbo, Z. Anorg. Allg. Chem.2018, 644, 1782–1790.10.1002/zaac.201800344Suche in Google Scholar
[11] A. Schrauf, Z. Kristallogr.1880, 4, 277–285.10.1524/zkri.1880.4.1.277Suche in Google Scholar
[12] K. Mereiter, A. Preisinger, Anz. Österr. Akad. Wiss. Math.-Naturwiss1986, 123, 79–81.Suche in Google Scholar
[13] R. Miletich, J. Zemann, M. Nowak, Phys. Chem. Miner.1997, 24, 411–422.10.1007/s002690050055Suche in Google Scholar
[14] A. Aruga, I. Nakai, Acta Crystallogr.1985, C41, 161–163.10.1107/S0108270185005029Suche in Google Scholar
[15] T. Fehr, R. Hochleitner, LAPIS1984, 9, 22–37.Suche in Google Scholar
[16] R. L. Frost, A. R. McKinnon, P. A. Williams, K. A. Erickson, M. L. Weier, P. Leverett, N. Jb. Miner. Abh.2005, 181, 11–19.10.1127/0077-7757/2005/0181-0006Suche in Google Scholar
[17] R. L. Frost, M. Weier, W. Martens, Spectrochim. Acta A2006, 63, 685–689.10.1016/j.saa.2005.06.019Suche in Google Scholar
[18] J. Rodríguez-Carvajal, Phys. B1993, 192, 55–69.10.1016/0921-4526(93)90108-ISuche in Google Scholar
[19] S. Asbrink, L. J. Norrby, Acta Crystallogr.1970, B26, 8–15.10.1107/S0567740870001838Suche in Google Scholar
[20] G. Lohmueller, G. Schmidt, B. Deppisch, V. Gramlich, C. Scheringer, Acta Crystallogr.1973, B29, 141–142.10.1107/S0567740873002098Suche in Google Scholar
[21] The ionic radii for RE3+ in a nine-fold coordination have been taken from http://abulafia.mt.ic.ac.uk/shannon/ptable.php (accessed November 2019; data taken from R. D. Shannon, Acta Crystallogr.1976, A32, 751–767).Suche in Google Scholar
[22] R. L. Frost, M. Weier, W. Martens, L. Duong, Miner. Mag.2005, 69, 169–177.10.1180/0026461056920244Suche in Google Scholar
[23] R. L. Frost, J. Čejka, J. Sejkora, J. Plášil, S. Bahfenne, S. J. Palmer, J. Raman Spectros.2010, 41, 566–570.10.1002/jrs.2454Suche in Google Scholar
[24] G. Kortüm, Reflexionsspektroskopie, Springer-Verlag, Berlin, 1969.10.1007/978-3-662-29788-9Suche in Google Scholar
[25] C. K. Jørgensen, R. Pappalardo, H. H. Schmidtke, J. Chem. Phys.1963, 39, 1422–1430.10.1063/1.1734458Suche in Google Scholar
[26] D. E. Richardson, J. Chem. Educ.1993, 70, 372–380.10.1021/ed070p372Suche in Google Scholar
[27] B. N. Figgis, M. A. Hitchman, Ligand Field Theory and its Applications, Wiley-VCH, New York, 2000.Suche in Google Scholar
[28] D. Reinen, M. Atanasov, S. L. Lee, Coord. Chem. Rev.1998, 175, 91–158.10.1016/S0010-8545(98)00181-7Suche in Google Scholar
[29] M. J. Riley, Inorg. Chim. Acta1998, 268, 55–62.10.1016/S0020-1693(97)05719-8Suche in Google Scholar
[30] D. A. Cruse, J. E. Davies, M. Gerloch, J. H. Harding, D. J. Mackey, R. F. McMeeking, CAMMAG, a FORTRAN program, Cambridge, 1980.Suche in Google Scholar
[31] M. Gerloch, Magnetism and Ligand-Field Analysis, Cambridge University Press, Cambridge, 1983.Suche in Google Scholar
[32] M. Bermejo, L. Pueyo, J. Chem. Phys.1983, 78, 854–857.10.1063/1.444786Suche in Google Scholar
[33] R. Glaum, M. A. Hitchman, Aust. J. Chem.1996, 49, 1221–1228.10.1071/CH9961221Suche in Google Scholar
[34] R. Glaum, Neue Untersuchungen an wasserfreien Phosphaten der Übergangsmetalle (in German), Habilitation Thesis, University of Gießen, Gießen, 1999. URL: http://geb.uni-giessen.de/geb/volltexte/1999/124/ (accessed November 2019).Suche in Google Scholar
[35] R. Glaum, H. Thauern, Inorg. Chem.2007, 46, 2057–2066.10.1021/ic061481bSuche in Google Scholar PubMed
[36] M. Riley, CAMMAG for PC (version 4.0), University of Queensland, St.Lucia (Australia) 1997.Suche in Google Scholar
[37] K. W. H. Stevens, Proc. R. Soc. Lond. Ser. A1953, 219, 542–555.10.1098/rspa.1953.0166Suche in Google Scholar
[38] D. C. Johnston, R. K. Kremer, M. Troyer, X. Wang, A. Klümper, L Bud’ko, A. F. Panchula, P. C. Canfield, Phys. Rev. B2000, 61, 9558–9606.10.1103/PhysRevB.61.9558Suche in Google Scholar
[39] A. Golubev, Dissertation, in preparation, Universität Stuttgart, Stuttgart (2020).Suche in Google Scholar
[40] P. J. Hay, J. C. Thibeault, R. Hoffmann, J. Am. Chem. Soc.1975, 97, 4884–4899.10.1021/ja00850a018Suche in Google Scholar
[41] J. B. Goodenough, Magnetism and the Chemical Bond, Interscience Publishers, New York, London, 1963.Suche in Google Scholar
©2020 Walter de Gruyter GmbH, Berlin/Boston
Artikel in diesem Heft
- Frontmatter
- In this Issue
- Laudatio/Preface
- Arndt Simon zum 80. Geburtstag gewidmet
- Research Articles
- High-temperature superconductors: underlying physics and applications
- Chemical resistance and chemical capacitance
- Investigations of the optical and electronic effects of silicon and indium co-doping on ZnO thin films deposited by spray pyrolysis
- Electrochemical synthesis of transition metal oxide nitrides with ε-TaN, δ-NbN and γ′-Mo2N structure type in a molten salt system
- Preferred selenium incorporation and unexpected interlayer bonding in the layered structure of Sb2Te3−xSex
- BOX A-type monopyrrolic heterocycles modified via the Suzuki-Miyaura cross-coupling reaction
- Cooperative activation of azides by an Al/N-based active Lewis pair – unexpected insertion of nitrogen atoms into C–Si bonds and formation of AlCN3 heterocycles
- Squares of gold atoms and linear infinite chains of Cd atoms as building units in the intermetallic phases REAu4Cd2 (RE=La–Nd, Sm) with YbAl4Mo2-type structure
- Synthesis and characterization of K5Sn2OF11
- Li vs. Zn substitution in Li17Si4 – Li17–ε–δZnεSi4 connecting the structures of Li21Si5 and Li17Si4
- Cs2Zn(CN)4: a first example of a non-cyano spinel of composition A2M(CN)4 with A=alkali metal and M=group 12 metal
- Magnetic and electronic properties of CaFeO2Cl
- A spatially separated [KBr6]5− anion in the cyanido-bridged uranium(IV) compound [U2(CN)3(NH3)14]5+[KBr6]5−·NH3
- Crystal structures of the tetrachloridoaluminates(III) of rubidium(I), silver(I), and lead(II)
- A new theoretical model for hexagonal ice, Ih(d), from first principles investigations
- Structural characterization and Raman spectrum of Cs[OCN]
- New cation-disordered quaternary selenides Tl2Ga2TtSe6 (Tt=Ge, Sn)
- The UV-phosphor strontium fluorooxoborate Sr[B5O7F3]:Eu
- Extending the knowledge on the quaternary rare earth nickel aluminum germanides of the RENiAl4Ge2 series (RE=Y, Sm, Gd–Tm, Lu) – structural, magnetic and NMR-spectroscopic investigations
- Structural diversity in Cd(NCS)2-3-cyanopyridine coordination compounds: synthesis, crystal structures and thermal properties
- Cation-anion pairs of niobium clusters of the type [Nb6Cl12(RCN)6][Nb6Cl18] (R=Et, nPr, iPr) with nitrile ligands RCN forming stabilizing inter-ionic contacts
- “Flat/steep band model” for superconductors containing Bi square nets
- La- and Lu-agardite – preparation, crystal structure, vibrational and magnetic properties
- A series of new layered lithium europium(II) oxoniobates(V) and -tantalates(V)
- The untypical high-pressure Zintl phase SrGe6
- A new ternary silicide GdFe1−xSi2 (x=0.32): preparation, crystal and electronic structure
- Lanthanide orthothiophosphates revisited: single-crystal X-ray, Raman, and DFT studies of TmPS4 and YbPS4
- A hexaniobate expanded by six [Hg(cyclam)]2+ complexes via Hg–O bonds yields a positively charged polyoxoniobate cluster
- Preliminary communication
- A hexaniobate expanded by six [Hg(cyclam)]2+ complexes via Hg–O bonds yields a positively charged polyoxoniobate cluster
Artikel in diesem Heft
- Frontmatter
- In this Issue
- Laudatio/Preface
- Arndt Simon zum 80. Geburtstag gewidmet
- Research Articles
- High-temperature superconductors: underlying physics and applications
- Chemical resistance and chemical capacitance
- Investigations of the optical and electronic effects of silicon and indium co-doping on ZnO thin films deposited by spray pyrolysis
- Electrochemical synthesis of transition metal oxide nitrides with ε-TaN, δ-NbN and γ′-Mo2N structure type in a molten salt system
- Preferred selenium incorporation and unexpected interlayer bonding in the layered structure of Sb2Te3−xSex
- BOX A-type monopyrrolic heterocycles modified via the Suzuki-Miyaura cross-coupling reaction
- Cooperative activation of azides by an Al/N-based active Lewis pair – unexpected insertion of nitrogen atoms into C–Si bonds and formation of AlCN3 heterocycles
- Squares of gold atoms and linear infinite chains of Cd atoms as building units in the intermetallic phases REAu4Cd2 (RE=La–Nd, Sm) with YbAl4Mo2-type structure
- Synthesis and characterization of K5Sn2OF11
- Li vs. Zn substitution in Li17Si4 – Li17–ε–δZnεSi4 connecting the structures of Li21Si5 and Li17Si4
- Cs2Zn(CN)4: a first example of a non-cyano spinel of composition A2M(CN)4 with A=alkali metal and M=group 12 metal
- Magnetic and electronic properties of CaFeO2Cl
- A spatially separated [KBr6]5− anion in the cyanido-bridged uranium(IV) compound [U2(CN)3(NH3)14]5+[KBr6]5−·NH3
- Crystal structures of the tetrachloridoaluminates(III) of rubidium(I), silver(I), and lead(II)
- A new theoretical model for hexagonal ice, Ih(d), from first principles investigations
- Structural characterization and Raman spectrum of Cs[OCN]
- New cation-disordered quaternary selenides Tl2Ga2TtSe6 (Tt=Ge, Sn)
- The UV-phosphor strontium fluorooxoborate Sr[B5O7F3]:Eu
- Extending the knowledge on the quaternary rare earth nickel aluminum germanides of the RENiAl4Ge2 series (RE=Y, Sm, Gd–Tm, Lu) – structural, magnetic and NMR-spectroscopic investigations
- Structural diversity in Cd(NCS)2-3-cyanopyridine coordination compounds: synthesis, crystal structures and thermal properties
- Cation-anion pairs of niobium clusters of the type [Nb6Cl12(RCN)6][Nb6Cl18] (R=Et, nPr, iPr) with nitrile ligands RCN forming stabilizing inter-ionic contacts
- “Flat/steep band model” for superconductors containing Bi square nets
- La- and Lu-agardite – preparation, crystal structure, vibrational and magnetic properties
- A series of new layered lithium europium(II) oxoniobates(V) and -tantalates(V)
- The untypical high-pressure Zintl phase SrGe6
- A new ternary silicide GdFe1−xSi2 (x=0.32): preparation, crystal and electronic structure
- Lanthanide orthothiophosphates revisited: single-crystal X-ray, Raman, and DFT studies of TmPS4 and YbPS4
- A hexaniobate expanded by six [Hg(cyclam)]2+ complexes via Hg–O bonds yields a positively charged polyoxoniobate cluster
- Preliminary communication
- A hexaniobate expanded by six [Hg(cyclam)]2+ complexes via Hg–O bonds yields a positively charged polyoxoniobate cluster