Abstract
CaFeO2Cl is a unique exception in the family of the iron oxyhalides. Its crystal structure is not related to the Ruddlesden-Popper phases as known for the other members, but contains layers of edge-sharing FeO2/2O3/3 pyramids without Fe–Cl contacts. The iron atoms form a distorted honeycomb substructure. Magnetization measurements on single crystals show an unexpected weak anisotropy and indicate antiferromagnetic ordering of the iron magnetic moments already at room temperature. 57Fe Mössbauer spectra confirm the trivalent oxidation state of iron and the presence of magnetic order. DFT calculations using the LDA + U approach support a Mott-insulating antiferromagnetic ground state and indicate a Néel-type ordered antiferromagnetic state in the honeycomb layer. The band gap from optical measurements is 1.3 eV and agrees with the red-brown colour as well as with the theoretical calculations.
1 Introduction
The search for new layered materials produced various mixed anion compounds [1], [2], such as oxide carbonates [3], oxide borates [4] and oxide halides [5], [6]. Especially layered oxyhalides represent a promising field for studies of new materials with various properties [7], such as superconductors [8], frustrated magnets [9], or possible two-dimensional magnetism challenging the Mermin-Wagner theorem [10]. The research also led to an awaking interest in oxyhalides as high-TC multiferroics [11], and especially in high-Tc materials, resulting in several copper oxide halide superconductors [12], [13], [14], [15].
Iron oxyhalides with alkaline earth cations have been reported with different structure types, among them AE2FeO3X (AE=Ca, Sr, X=F, Cl, Br) and Sr3Fe2O5Cl2. These derivatives of the tetragonal K2NiF4-type or Ruddlesden-Popper phases [16], [17] contain layers or double layers of Fe(O, X)6 octahedra with the halides X at the apical positions. Neutron scattering experiments revealed antiferromagnetic ordering with magnetic moments orientated parallel to the layers, e.g. G-type antiferromagnetism in Sr3Fe2O5Cl2 [18]. Belonging to this class of layered transition metal halides, monoclinic CaFeO2Cl [19], [20] is exceptional because the structure contains no octahedra but consists of layers of edge-sharing FeO2/2O3/3 square pyramids separated by CaCl sheets; no Fe–Cl contacts occur (Fig. 1). The iron atoms form a distorted honeycomb substructure on the ab plane.

Crystal structure of monoclinic CaFeO2Cl. Left: Unit cell with the layers of FeO2/2O3/3 square pyramids (red polyhedra) emphasized. Right: Distorted honeycomb substructure of the Fe atoms.
In spite of the exceptional crystal structure, the physical properties of CaFeO2Cl are currently unknown. We have optimized the synthesis procedure given in the literature [19] and achieved samples with purities above 90%. In this paper, we report results of magnetic and optical measurements, along with quantum chemical calculations. We show that CaFeO2Cl is an antiferromagnetic Mott insulator and propose a probable magnetic ordering pattern.
2 Experimental
2.1 Synthesis
CaFeO2Cl was synthesized by a modified procedure of the protocol reported by J. Ackermann [19]. The starting materials Fe2O3 (Alfa Aesar, 99.99%), and CaCl2 (Abcr, 99.99%), were mixed in a ratio 1:100 and ground in an agate mortar in air. The samples were prepared in alumina crucibles under air by heating to 850°C for 12 h, then cooled to 350°C for 5 h, and finally cooled to room temperature (step 1). After grounding the samples obtained in step one, the procedure from step one was repeated with a slower cooling rate of 20 K h−1 (step 2). Washing the product several times with distilled water removed all excess CaCl2. The resulting samples were dried under vacuum and stored under argon. This approach yielded a polycrystalline red-brown powder with brown plate-like single crystals. The samples contained the desired product CaFeO2Cl and some unreacted Fe2O3. Through this optimized synthesis, yields of up to 92% were achieved.
2.2 X-ray diffraction and structure refinement
The powder X-ray patterns were obtained with a STOE Stadi-P diffractometer (MoKα1 radiation) equipped with a STOE Mythen 1k detector. Rietveld refinement were done with Topas [21]. Single-crystal diffraction data was recorded with a STOE IPDS-I diffractometer at room temperature using MoKα1 radiation (λ=0.71069 Å). Reflection intensity integration, data reductions, and multi-scan absorption corrections were performed with Apex2 [22] and Sadabs [23]. The structure was solved with Jana2006 [24] and refined with the Shelxl crystallographic software package [25].
CCDC 1957141 contains the supplementary crystallographic data for this paper. These data can be obtained free of charge from The Cambridge Crystallographic Data Centre via www.ccdc.cam.ac.uk/data_request/cif.
2.3 Magnetic measurements
Magnetic measurements with CaFeO2Cl single crystals were carried out with a vibrating sample magnetometer (VSM) option in a Quantum Design Physical-Property-Measurement-System (PPMS-9). Crystals were selected manually from the samples, aligned parallel to the ab crystal plane of CaFeO2Cl in a parquet-like pattern and glued with low temperature varnish. Magnetization measurements were carried out with the ab crystal plane parallel and perpendicular to the magnetic field.
2.4 Electronic structure DFT calculations
Electronic structure calculations were performed using the Vienna ab initio simulation package (Vasp) [26], [27] which is based on density functional theory (DFT) and plane wave basis sets. Projector-augmented waves (PAW) [28] were used and contributions of correlation and exchange were treated in the generalized-gradient approximation (GGA) [29]. The strongly correlated Fe 3d states were corrected using the LDA+U method in the rotationally invariant approach by Dudarev et al. [30].
2.5 Optical measurements
Diffuse reflectance spectra were measured with powder samples on a UV/Vis Jasco V-650 spectrophotometer (200–800 nm). The spectra were converted to absorption spectra based on the Kubelka-Munk [31] theory to determine the optical band gap.
2.6 Mössbauer spectroscopic measurements
A 57Co source in a Rh matrix was used for the 57Fe Mössbauer spectroscopic investigation of CaFeO2Cl. The measurement was performed in a continuous-flow cryostat system (Janis Research Co LLC). The usual transmission geometry was used. The source was kept at room temperature while the sample was cooled to T=6 K. The optimal absorber thickness was calculated according to the work of Long et al. [32]. The sample was placed in a thin-walled PMMA container and diluted with potassium chloride for a complete distribution of the sample within the container volume. Fitting of the experimental data was performed with the WinNormos for Igor6 program package [33].
3 Results
3.1 Synthesis and crystal structure
CaFeO2Cl was synthesized in a CaCl2 flux in an open system from Fe2O3 as a red-brown, moisture and air stable product. Single-crystal X-ray diffraction data confirmed the structure in the monoclinic centrosymmetric space group C2/m (No. 12) with the lattice parameters a=9.969(2), b=3.811(8), c=8.735(17) Å and β=103.62(3)°. The single-crystal X-ray data was used to refine the powder X-ray pattern (Fig. 2). The Rietveld fit yielded CaFeO2Cl as the main component (ca. 92 wt.%) with Fe2O3 as impurity.

X-ray powder pattern (MoKα1) of the CaFeO2Cl sample (blue) with Rietveld fit (red) and difference line (grey line).
Figure 1 shows the crystal structure of CaFeO2Cl. Layers of edge sharing FeO2/2O3/3 polyhedra alternate with regions of CaCl. The FeO5 pyramid is slightly distorted with four different Fe–O distances ranging from 1.89 to 2.00 Å. The Addison τ parameter (τ=(β–α)/60; α, β=largest bond angles) [34] of 0.1 confirms the square pyramidal coordination. Calcium has three oxygen and four chlorine neighbours. The iron substructure is a planar but slightly elongated honeycomb net with Fe–Fe distances of 2.743 and 2.959 Å.
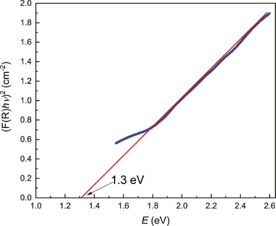
3.2 Optical properties
Figure 3 shows the results of an optical reflection measurement of the CaFeO2Cl powder (λ=500–800 nm). Because weak signals in absorbance spectra are enhanced in reflected spectra, reflectance spectra in absorbance units cannot be compared directly. Analyzing reflection spectra using the Kubelka-Munk function makes them similar to absorbance spectra and allows the determination of the band gap energy Eg [31].

Band gap calculation using the Kubelka-Munk function.
R∞ is the diffuse reflectance of an infinitely thick sample, K(λ) is the absorption coefficient and s(λ) is the scattering coefficient. The band gap is determined by the extrapolation from the linear portion of the plot of [F(R∞)hν]2 against hν (Tauc plot). The estimated band gap is 1.3 eV (Fig. 3), which is consistent with the red-brown color of CaFeO2Cl.
3.3 Magnetism
Selected plate-like single crystals of CaFeO2Cl were arranged parallel on the sample holder in order to measure the magnetization in fields applied either perpendicular (⊥) or parallel (//) to the layers. Note that the crystals were not aligned along the directions perpendicular to the layers. Figure 4 shows magnetization isotherms at temperatures between 5 and 305 K.

Magnetization isotherms of CaFeO2Cl between T=5 and 305 K with fields aligned perpendicular (top) and parallel to the FeO2 layers (bottom). (fu=formula unit; 1 kOe=7.96×104 A m−1)
The magnetization increases linearly with the field strength but remains below 0.05 μB per formula unit CaFeO2Cl, which indicates that the magnetic moments of the Fe3+ ions (S=5/2) are antiferromagnetically ordered in the considered temperature range (5–300 K). The magnetization increases at lower temperatures, which is contrary to the expected either constant values if the field is perpendicular or a decrease if it is parallel to the magnetization direction (easy axis) of an antiferromagnet [35]. Given that the magnetization remains very small even at low temperatures, the increase may be the result of traces of paramagnetic impurities. The anisotropy of the magnetization is relatively small with respect to the layered crystal structure. Assuming that the paramagnetic contributions (from impurities) are isotropic, we find that the magnetization at T=5 K is about 25% higher if the field is parallel to the FeO2/2O3/3 layers. This indicates that the alignment of the magnetic moments, or easy axis, should be perpendicular to the layers.
3.4 Mössbauer spectroscopy
The 57Fe spectrum of polycrystalline CaFeO2Cl at T=6 K is shown in Fig. 5. The corresponding fitting parameters for the most reliable fit are listed in Table 1. Figure 5 shows two different fitting approaches. Two overlapping sextet signals are visible in the recorded spectrum. The less intense one corresponds to the by-product Fe2O3 and the other one to CaFeO2Cl. The top spectrum of Fig. 5 shows a fit with two regular sextets, the bottom one a fitting with a full Hamiltonian. No impurity phases other than Fe2O3 can be observed in the experimental spectrum, in accordance with the PXRD data. It is clearly apparent that the fit for the top spectrum is slightly off-centered from the normal sextet splitting. The full Hamiltonian fit with the inclusion of the parameter θ, which describes the angle between the direction of the magnetic hyperfine field and the tensor of the electrical field gradient, gives a more satisfactory fitting. Similar results have recently been reported for the brownmillerite phase Sr2Fe2O5 [36].

Experimental (black dots) and simulated (colored lines) 57Fe Mössbauer spectra of CaFeO2Cl at T=6 K. Top: CaFeO2Cl signal fitted with a sextet model; bottom: CaFeO2Cl fitted with a complete Hamiltonian.
Fitting parameters of the 6 K 57Fe Mössbauer spectroscopic measurements of CaFeO2Cl.
| δ (mm s−1) | ΔEQ (mm s−1) | Γ (mm s−1) | Bhf (T) | θ (deg) | Area (%) | |
|---|---|---|---|---|---|---|
| CaFeO2Cl | 0.30(1) | –0.97(1) | 0.337(3) | 42.6(1) | 39.9(2) | 82(1) |
| Fe2O3 | 0.37(1) | 0.37(1) | 0.287(12) | 52.6(1) | – | 18(1) |
δ, isomer shift; ΔEQ, quadrupole splitting; Γ, experimental line width; Bhf, magnetic hyperfine field; θ, tensor between the principle axis of the electrical field gradient and the direction of the magnetic hyperfine field.
The isomer shift of 0.30 mm s−1 indicates iron in the oxidation state +3 as can be expected from the empirical formula. This is in agreement with a large collection of 57Fe data of iron oxides compiled by Menil [37]. The square pyramidal coordination of Fe(III) is rare; however, our 57Fe Mössbauer spectroscopic data is in good agreement with the series of iron substituted chromates RETiCr1−xFexO5 [38].
The slightly negative quadrupole splitting of –0.97 mm s−1 results from the asymmetric coordination environment of the iron site (distorted square pyramid). Full magnetic hyperfine field splitting is observed with a field of 42.6 T. The parameter θ mentioned above leads to the conclusion that the magnetic moments are aligned along a preferred crystallographic direction.
3.5 DFT calculations
The electronic band structure was calculated using the VASP package. Due to the actually unknown magnetic structure, the total energies of different trial magnetic ordering patterns were compared in order to identify a probable magnetic state. The primitive unit cell of CaFeO2Cl contains four iron positions. The trial magnetic structures were either ferromagnetic (FM ↑↑↑↑), or antiferromagnetic (AF1 ↑↓↑↓; AF2 ↑↓↓↑; AF3 ↑↑↓↓). The calculations have revealed that AF1 is the most stable configuration, followed by AF2 (+0.1 eV), AF3 (+0.36 eV) and FM (+0.4 eV). AF1 corresponds to a Néel-type magnetic structure where all moments of the iron atoms within the honeycomb layer are alternating spin up and down as shown in Fig. 6.

Most stable trial AF magnetic structure in the honeycomb Fe layer of CaFeO2Cl. Filled and open circles mark spin up and down, respectively.
The spin-polarized band structure shown in Fig. 7 was calculated using this model of the antiferromagnetic ordering and the LDA+U approach with a Ueff (= U–J; J=0) of 4 eV in order to account for the strongly correlated Fe-3d states. The calculated band gap Eg occurs between the O-2p valence bands and Fe-3d conduction bands. Eg correlates linearly with the Ueff parameter and results in 1.96 eV for U=4 eV and 1.59 eV for U=3 eV. The calculated ordered magnetic moment of 4.2–4.3 μB per Fe atom is smaller than the expected 5 μB per Fe atom for the S=5/2 state. This may have its origin in the special magnetic properties of the honeycomb substructure with only three neighbors. It has been shown that the magnetization in a threefold connected S=1/2 system is reduced by a factor of 0.87 compared to the square lattice [39]. A reduced ordered magnetic moment of 2.3 μB has also been found in the S=3/2 antiferromagnetic honeycomb lattice of Li2MnO3 [40].

Spin polarized LDA+U band structure of antiferromagnetic CaFeO2Cl.
4 Conclusion
CaFeO2Cl was obtained in an open system synthesis from Fe2O3 in a CaCl2 flux. The single-crystal and powder X-ray data confirm the layered crystal structure with five-fold coordinated iron as described earlier. Magnetic measurements with orientated single crystals indicate that the magnetic moments at the iron atoms are antiferromagnetically ordered at room temperature and suggest that the magnetic easy axis is perpendicular to the layers. 57Fe Mössbauer spectra confirm the trivalent oxidation state of iron and the magnetic ordering showing full magnetic hyperfine splitting with a field of 42.6 T at 6 K. CaFeO2Cl is a Mott insulator with an optical band gap of ~1.3 eV. DFT electronic band structure calculations using the LDA+U approach confirm the measured properties and suggest that the magnetic ordering pattern is of Néel-type within a honeycomb-like layer of iron atoms.
Dedicated to: Professor Arndt Simon on the occasion of his 80th birthday.
References
[1] M. T. Weller, C. S. Knee, J. Mater. Chem.2001, 11, 701–712.10.1039/b009457iSuche in Google Scholar
[2] G. M. Veith, M. Greenblatt, M. Croft, J. B. Goodenough, Mater. Res. Bull.2001, 36, 1521–1530.10.1016/S0025-5408(01)00610-9Suche in Google Scholar
[3] K. Yamaura, Q. Huang, J. W. Lynn, R. W. Erwin, R. J. Cava, J. Solid State Chem.2000, 152, 374–380.10.1006/jssc.2000.8665Suche in Google Scholar
[4] D. Pelloquin, M. Hervieu, C. Michel, N. Nguyen, B. Raveau, J. Solid State Chem.1997, 134, 395–408.10.1006/jssc.1997.7612Suche in Google Scholar
[5] W. Leib, Hk. Müller-Buschbaum, Z. Anorg. Allg. Chem.1984, 518, 115–119.10.1002/zaac.19845181111Suche in Google Scholar
[6] J. Huang, R.-D. Hoffmann, A. W. Sleight, Mater. Res. Bull.1990, 25, 1085–1090.10.1016/0025-5408(90)90137-QSuche in Google Scholar
[7] M. Ai-Mamouri, P. P. Edwards, C. Greaves, M. Slaski, Nature1994, 369, 382.10.1038/369382a0Suche in Google Scholar
[8] S. Adachi, T. Tatsuki, T. Tamura, K. Tanabe, Chem. Mater.1998, 10, 2860–2869.10.1021/cm980235ySuche in Google Scholar
[9] A. A. Tsirlin, H. Rosner, Phys. Rev. B: Condens. Matter.2009, 79, 214416.10.1103/PhysRevB.79.214416Suche in Google Scholar
[10] N. D. Mermin, H. Wagner, Phys. Rev. Lett.1966, 17, 1133–1136.10.1103/PhysRevLett.17.1133Suche in Google Scholar
[11] L. Zhao, M. T. Fernández-Díaz, L. H. Tjeng, A. C. Komarek, Sci. Adv.2016, 2, e1600353.10.1126/sciadv.1600353Suche in Google Scholar
[12] S. M. Loureiro, C. Felser, Q. Huang, R. J. Cava, Chem. Mater.2000, 12, 3181–3185.10.1021/cm000410mSuche in Google Scholar
[13] N. D. Zhigadlo, J. Karpinski, S. Weyeneth, R. Khasanov, S. Katrych, P. Wägli, H. Keller, J. Phys. Conf. Ser.2008, 97, 012121.10.1088/1742-6596/97/1/012121Suche in Google Scholar
[14] X. J. Wu, C. Q. Jin, P. Laffez, T. Tatsuki, T. Tamura, S. Adachi, H. Yamauchi, N. Koshizuka, Physica C1996, 258, 143–152.10.1016/0921-4534(95)00801-2Suche in Google Scholar
[15] Q. Q. Liu, X. M. Qin, Y. Yu, F. Y. Li, C. Dong, C. Q. Jin, Physica C2005, 420, 23–29.10.1016/j.physc.2004.12.015Suche in Google Scholar
[16] S. N. Ruddlesden, P. Popper, Acta Crystallogr.1957, 10, 538–539.10.1107/S0365110X57001929Suche in Google Scholar
[17] S. N. Ruddlesden, P. Popper, Acta Crystallogr.1958, 11, 54–55.10.1107/S0365110X58000128Suche in Google Scholar
[18] C. S. Knee, M. A. L. Field, M. T. Weller, Solid State Sci.2004, 6, 443–450.10.1016/j.solidstatesciences.2004.03.002Suche in Google Scholar
[19] J. F. Ackerman, J. Solid State Chem.1991, 92, 496–513.10.1016/0022-4596(91)90356-MSuche in Google Scholar
[20] E. Parthé, S. Hu, J. Solid State Chem.2003, 174, 165–166.10.1016/S0022-4596(03)00194-4Suche in Google Scholar
[21] A. Coelho, Topas-Academic (version 4.1), Coelho Software, Brisbane (Australia) 2007.Suche in Google Scholar
[22] Apex2, Bruker AXS Inc., Madison, WI (USA) 2007.Suche in Google Scholar
[23] G. M. Sheldrick, Sadabs (version 2012/1), Bruker AXS Inc., Madison, WI (USA) 2001.Suche in Google Scholar
[24] V. Petříček, M. Dušek, L. Palatinus, Jana2006, The Crystallographic Computing System, Institute of Physics, Academy of Sciences of the Czech Republic, Prague (Czech Republic) 2006.Suche in Google Scholar
[25] G. Sheldrick, Acta Crystallogr.2008, A64, 112–122.10.1107/S0108767307043930Suche in Google Scholar
[26] G. Kresse, J. Furthmüller, Comput. Mat. Sci.1996, 6, 15–50.10.1016/0927-0256(96)00008-0Suche in Google Scholar
[27] G. Kresse, D. Joubert, Phys. Rev. B1999, 59, 1758–1775.10.1103/PhysRevB.59.1758Suche in Google Scholar
[28] P. E. Blöchl, Phys. Rev. B1994, 50, 17953–17979.10.1103/PhysRevB.50.17953Suche in Google Scholar
[29] J. P. Perdew, K. Burke, M. Ernzerhof, Phys. Rev. Lett.1996, 77, 3865–3868.10.1103/PhysRevLett.77.3865Suche in Google Scholar
[30] S. L. Dudarev, G. A. Botton, S. Y. Savrasov, C. J. Humphreys, A. P. Sutton, Phys. Rev. B1998, 57, 1505–1509.10.1103/PhysRevB.57.1505Suche in Google Scholar
[31] P. Kubelka, F. Munk, Z. Tech. Phys.1931, 12, 593.Suche in Google Scholar
[32] G. J. Long, T. E. Cranshaw, G. Longworth, Moessbauer Eff. Ref. Data J.1983, 6, 42.Suche in Google Scholar
[33] R. A. Brand, WinNormos for Igor6 (version for Igor 6.2 or above: 22/02/2017), Universität Duisburg, Duisburg (Germany) 2017.Suche in Google Scholar
[34] A. W. Addison, T. N. Rao, J. Reedijk, J. van Rijn, G. C. Verschoor, J. Chem. Soc., Dalton Trans.1984, 1349–1356.10.1039/DT9840001349Suche in Google Scholar
[35] T. Nagamiya, K. Yosida, R. Kubo, Adv. Phys.1955, 4, 1–112.10.1080/00018735500101154Suche in Google Scholar
[36] J. C. Waerenborgh, E. V. Tsipis, J. E. Auckett, C. D. Ling, V. V. Kharton, J. Solid State Chem.2013, 205, 5–9.10.1016/j.jssc.2013.06.030Suche in Google Scholar
[37] F. Menil, J. Phys. Chem. Solids.1985, 46, 763–789.10.1016/0022-3697(85)90001-0Suche in Google Scholar
[38] P. J. Schurer, A. H. Morrish, Phys. Rev. B1977, 16, 951–959.10.1103/PhysRevB.16.951Suche in Google Scholar
[39] R. F. Bishop, P. H. Y. Li, O. Götze, J. Richter, C. E. Campbell, Phys. Rev. B2015, 92, 224434.10.1103/PhysRevB.92.224434Suche in Google Scholar
[40] S. Lee, S. Choi, J. Kim, H. Sim, C. Won, S. Lee, S. A. Kim, N. Hur, J.-G. Park, J. Phys.: Condens. Matter2012, 24, 456004.10.1088/0953-8984/24/45/456004Suche in Google Scholar PubMed
©2020 Walter de Gruyter GmbH, Berlin/Boston
Artikel in diesem Heft
- Frontmatter
- In this Issue
- Laudatio/Preface
- Arndt Simon zum 80. Geburtstag gewidmet
- Research Articles
- High-temperature superconductors: underlying physics and applications
- Chemical resistance and chemical capacitance
- Investigations of the optical and electronic effects of silicon and indium co-doping on ZnO thin films deposited by spray pyrolysis
- Electrochemical synthesis of transition metal oxide nitrides with ε-TaN, δ-NbN and γ′-Mo2N structure type in a molten salt system
- Preferred selenium incorporation and unexpected interlayer bonding in the layered structure of Sb2Te3−xSex
- BOX A-type monopyrrolic heterocycles modified via the Suzuki-Miyaura cross-coupling reaction
- Cooperative activation of azides by an Al/N-based active Lewis pair – unexpected insertion of nitrogen atoms into C–Si bonds and formation of AlCN3 heterocycles
- Squares of gold atoms and linear infinite chains of Cd atoms as building units in the intermetallic phases REAu4Cd2 (RE=La–Nd, Sm) with YbAl4Mo2-type structure
- Synthesis and characterization of K5Sn2OF11
- Li vs. Zn substitution in Li17Si4 – Li17–ε–δZnεSi4 connecting the structures of Li21Si5 and Li17Si4
- Cs2Zn(CN)4: a first example of a non-cyano spinel of composition A2M(CN)4 with A=alkali metal and M=group 12 metal
- Magnetic and electronic properties of CaFeO2Cl
- A spatially separated [KBr6]5− anion in the cyanido-bridged uranium(IV) compound [U2(CN)3(NH3)14]5+[KBr6]5−·NH3
- Crystal structures of the tetrachloridoaluminates(III) of rubidium(I), silver(I), and lead(II)
- A new theoretical model for hexagonal ice, Ih(d), from first principles investigations
- Structural characterization and Raman spectrum of Cs[OCN]
- New cation-disordered quaternary selenides Tl2Ga2TtSe6 (Tt=Ge, Sn)
- The UV-phosphor strontium fluorooxoborate Sr[B5O7F3]:Eu
- Extending the knowledge on the quaternary rare earth nickel aluminum germanides of the RENiAl4Ge2 series (RE=Y, Sm, Gd–Tm, Lu) – structural, magnetic and NMR-spectroscopic investigations
- Structural diversity in Cd(NCS)2-3-cyanopyridine coordination compounds: synthesis, crystal structures and thermal properties
- Cation-anion pairs of niobium clusters of the type [Nb6Cl12(RCN)6][Nb6Cl18] (R=Et, nPr, iPr) with nitrile ligands RCN forming stabilizing inter-ionic contacts
- “Flat/steep band model” for superconductors containing Bi square nets
- La- and Lu-agardite – preparation, crystal structure, vibrational and magnetic properties
- A series of new layered lithium europium(II) oxoniobates(V) and -tantalates(V)
- The untypical high-pressure Zintl phase SrGe6
- A new ternary silicide GdFe1−xSi2 (x=0.32): preparation, crystal and electronic structure
- Lanthanide orthothiophosphates revisited: single-crystal X-ray, Raman, and DFT studies of TmPS4 and YbPS4
- A hexaniobate expanded by six [Hg(cyclam)]2+ complexes via Hg–O bonds yields a positively charged polyoxoniobate cluster
- Preliminary communication
- A hexaniobate expanded by six [Hg(cyclam)]2+ complexes via Hg–O bonds yields a positively charged polyoxoniobate cluster
Artikel in diesem Heft
- Frontmatter
- In this Issue
- Laudatio/Preface
- Arndt Simon zum 80. Geburtstag gewidmet
- Research Articles
- High-temperature superconductors: underlying physics and applications
- Chemical resistance and chemical capacitance
- Investigations of the optical and electronic effects of silicon and indium co-doping on ZnO thin films deposited by spray pyrolysis
- Electrochemical synthesis of transition metal oxide nitrides with ε-TaN, δ-NbN and γ′-Mo2N structure type in a molten salt system
- Preferred selenium incorporation and unexpected interlayer bonding in the layered structure of Sb2Te3−xSex
- BOX A-type monopyrrolic heterocycles modified via the Suzuki-Miyaura cross-coupling reaction
- Cooperative activation of azides by an Al/N-based active Lewis pair – unexpected insertion of nitrogen atoms into C–Si bonds and formation of AlCN3 heterocycles
- Squares of gold atoms and linear infinite chains of Cd atoms as building units in the intermetallic phases REAu4Cd2 (RE=La–Nd, Sm) with YbAl4Mo2-type structure
- Synthesis and characterization of K5Sn2OF11
- Li vs. Zn substitution in Li17Si4 – Li17–ε–δZnεSi4 connecting the structures of Li21Si5 and Li17Si4
- Cs2Zn(CN)4: a first example of a non-cyano spinel of composition A2M(CN)4 with A=alkali metal and M=group 12 metal
- Magnetic and electronic properties of CaFeO2Cl
- A spatially separated [KBr6]5− anion in the cyanido-bridged uranium(IV) compound [U2(CN)3(NH3)14]5+[KBr6]5−·NH3
- Crystal structures of the tetrachloridoaluminates(III) of rubidium(I), silver(I), and lead(II)
- A new theoretical model for hexagonal ice, Ih(d), from first principles investigations
- Structural characterization and Raman spectrum of Cs[OCN]
- New cation-disordered quaternary selenides Tl2Ga2TtSe6 (Tt=Ge, Sn)
- The UV-phosphor strontium fluorooxoborate Sr[B5O7F3]:Eu
- Extending the knowledge on the quaternary rare earth nickel aluminum germanides of the RENiAl4Ge2 series (RE=Y, Sm, Gd–Tm, Lu) – structural, magnetic and NMR-spectroscopic investigations
- Structural diversity in Cd(NCS)2-3-cyanopyridine coordination compounds: synthesis, crystal structures and thermal properties
- Cation-anion pairs of niobium clusters of the type [Nb6Cl12(RCN)6][Nb6Cl18] (R=Et, nPr, iPr) with nitrile ligands RCN forming stabilizing inter-ionic contacts
- “Flat/steep band model” for superconductors containing Bi square nets
- La- and Lu-agardite – preparation, crystal structure, vibrational and magnetic properties
- A series of new layered lithium europium(II) oxoniobates(V) and -tantalates(V)
- The untypical high-pressure Zintl phase SrGe6
- A new ternary silicide GdFe1−xSi2 (x=0.32): preparation, crystal and electronic structure
- Lanthanide orthothiophosphates revisited: single-crystal X-ray, Raman, and DFT studies of TmPS4 and YbPS4
- A hexaniobate expanded by six [Hg(cyclam)]2+ complexes via Hg–O bonds yields a positively charged polyoxoniobate cluster
- Preliminary communication
- A hexaniobate expanded by six [Hg(cyclam)]2+ complexes via Hg–O bonds yields a positively charged polyoxoniobate cluster