Abstract
The new efficient and environmentally safe methods for preparation of various classes of organic and organoelement compounds, including organonickel sigma-complexes and organophosphorus compounds bearing P–C bonds have been created using the electrochemical methods. The synthetic application of the elaborated techniques towards the process of formation of new carbon-carbon, carbon-metal and carbon-phosphorus bonds are discussed. The mechanisms of the proposed processes and the nature of the formed in the overall electrochemical process intermediates are disclosed. The elaborated methods operated in the principals of “green chemistry” can be considered as an efficient alternative to some classical methods for preparation of active catalysts, biologically active molecules and new polynuclear complexes displaying practically useful properties.
Introduction
The development of new industrially applicable synthetic methods for preparation of organoelement compounds and functional materials is one of the key tasks of the modern chemical science [1], [2]. The application of the electrochemical techniques is a highly efficient alternative to classical synthetic procedures due to relatively cheap and the most convenient type of ‘green’ energy [3], [4], [5]. The use of the electron as an “universal” and “inexhaustible” reagent is the main advantage of the electrochemical techniques applied for preparation of chemical compounds of different classes [3]. Moreover, the electrochemical synthesis is one of the easiest and cheapest way to organometallic species which can be used as high efficient catalysts for different reactions including homo- and cross-coupling of organic substrates, oligomerization and polymerization processes [6], [7], [8], [9].
Synthesis, electrochemical properties and synthetic application of organonickel sigma-complexes
Organonickel sigma-complexes can be characterized as key intermediates of catalytic processes involving nickel complexes, including homo- and cross-coupling of organic halides, halogenated phosphorus and catalytic oligomerization of ethylene [6], [7], [8], [9]. The preparation of organometallic sigma-complexes usually involves the Grignard reagents and require, as a rule, ecologically dangerous and flammable conditions [9], [10], [11]. In some cases this creates some limitations for industrial application of the laboratory elaborated technology.
In general, the processes of the preparation of organonickel complexes involve two types of the reactions. First one proceeds without formation of new metal-carbon like ligand exchange reactions, reactions of some other sigma-bond in the molecule, and the reactions where the formation of new metal-carbon bond takes place [9], [10]. Below we can briefly consider the main principles of these approaches.
Synthesis
Ligand exchange reactions
The ligand exchange reaction is the simplest way to organonickel complexes. Usually this reaction is used for changing the ligand environment in the complex structure. This procedure can be easily performed by using stronger coordinating ligand which can substitute the weaker one. Thus it is clear that in this case the synthetic possibilities are limited by the nature and the coordination properties of the applied ligands [12].
Organometallic reagents
The reaction of organomagnesium or organolithium reagents with nickel halides is the major synthetic direction to organometallic sigma-complexes. One of the methods of realizing this process is using a ligand exchange reaction to get the organometallic compound. This is due to the accessibility and easy synthesis of lithium, magnesium or aluminum organic reagents. Usually the reaction of the formation of nickel–carbon bond carries out by using of the Grignard reagents followed by the ligand exchange reaction [9], [10], [13]. The stable organonickel complexes formed by phosphine and α-diimine ligands, bearing sigma-bonded aromatic group can be easily obtained by this procedure involving tertiary phosphines and diimine derivatives and the ligands [14].
The using of organolithium reagents leads to the formation of organonickel complexes with alkyl substituents containing two Ni–C sigma-bonds. However, these complexes are stable only at low temperatures and due to this reason their application is limited. Recently Yamamoto has described the synthesis of organonickel complexes from [Ni(acac)2], where acac=acetylacetone, and alkyl-aluminum in the presence of tertiary phosphines [15].
Thus, the obtaining of organonickel complexes with one, two and more Ni–C sigma bonds is possible using organometallic reagents. The limitation of this method is the reactivity of the ligand bonded to nickel center with used organometallic reagents and the nature of the substituents in the organic fragment. The detailed mechanism of these processes has been described in the review [16].
Oxidative addition
The reactions of oxidative addition involving nickel (0) complexes are the most common processes for preparation of organonickel species [9], [10]. By analogy to the Grignard reagents, nickel (0) species capable to activate carbon-halogen bond forming oxidative addition products with new metal-carbon sigma-bond. The oxidation degree of the metal centre is changed to the positive values that shows of its oxidation. Thus the terminology oxidative addition is mainly related to the metal as the metal loses, as a rule, two electrons.
First examples of the oxidative addition reactions of the organic halides to nickel (0) complexes have been described by Jones et al. [17]. The formation of biaryls takes place in these conditions. The use of the nickel (0) complexes allows also to get access to the derivatives of dihalogenated compounds [18]. Concerning the mechanism of the oxidative addition, here two types have been proposed. The first one involves three-center addition and SN2 substitution. The second one can be characterized as multistage process involving paramagnetic intermediates. Thus high selectivity in the reaction with polyhalides allows concluding that the mechanism of the process is an analog to the known nucleophilic aromatic substitution. However, the formation of paramagnetic nickel (I) complexes and the products formed in a radical way in reaction of some aryl halides with nickel (0) complexes supposes a possibility of the second type process.
It should be noted that the synthesis of organonickel complexes by oxidative addition also can be performed by insertion to the carbon-element bond. Thus, in the desulphurisation of dibenzothiophene, the formation of organonickel complexes is realized by the reaction of [Ni(bpy)(COD)], where COD=cyclooctadiene-1,5 with sulfur-containing substrate [19]. The use of Raney nickel is a typical example of the oxidative addition to the С–S and С–O bonds of aromatic esters [20] and epoxides [21], [22].
The experimental results allow concluding that the rate of the oxidative addition reaction is the function of the nature of the halogen and organic group. It is strongly decreased from C–I>C–Br>C–Cl to C–F. Only some nickel (0) complexes stabilized by sigma-donor ligands, as trialkylphosphines, hydrides can be involved in the reactions of oxidative addition with С–F derivatives bearing sp2 and even sp3 hybridized carbon atoms. Thus, special attention is currently devoted to the elaboration of the new processes for activation of relatively inert C–F and C–CN bonds. The recent examples involve activation of C–F bond in tertafluorobenzenes [23].
As a variant of the oxidative addition reaction, the processes where the generation of nickel (0) complexes takes place in situ by the reductive elimination of two alkyl substituents from the coordination sphere of nickel complex can be considered. The first example of this reaction was published by Yamamoto [24], where the reaction of [Ni(CH3)2(bpy)] complex with chlorobenzene leads to organonickel complex [NiCl(Ph)(bpy)]. The process accompanies by the dimerization of the methyl groups and formation of ethane. The high reactive coordinatively unsaturated monochelate [Ni0(bpy)] complex can react with chlorobenzene via activation of C–Cl bond and formation of organonickel complex [NiCl(Ph)(bpy)]. The heating of the [NiCl(Ph)(bpy)] complex in the protic media leads to quantitative formation of benzene and chlorobenzene.
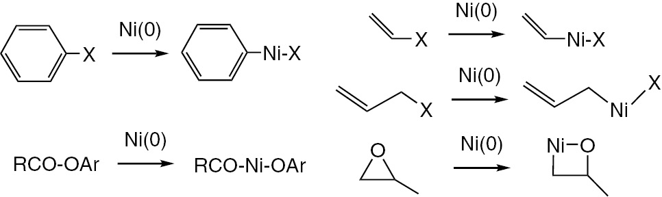
According to Tamaru [10], main possible oxidative addition reactions to ordinary chemical bonds leading to organonickel complexes can be presented as follows (Fig. 1).
![Fig. 1:
Main types of the oxidative addition reactions used for preparation of organonickel complexes. From ref [10].](/document/doi/10.1515/pac-2017-0202/asset/graphic/j_pac-2017-0202_fig_006.jpg)
Main types of the oxidative addition reactions used for preparation of organonickel complexes. From ref [10].
It should be noted that oxidative addition reactions also available for unsaturated compounds. During this interaction the decomposition of the π-bond and formation of two new Ni–C bonds take place. The oxidative addition can be realized by the π-bonds of different molecules leading to formation of new cyclic organometallic compounds. The first example was described more than 60 years ago in the reaction of cyclooctatetraene formation in the reaction of acetylene tetramerization (Reppe synthesis) [25]. The other unsaturated organic substrates such as alkynes and dienes are capable to react with carbon mono- and dioxide, aldehydes, ketones and imines with formation of cyclic products with Ni–C sigma-bonds [26], [27], [28].
Electrochemical synthesis
As a variant of the oxidative addition reaction, the electrochemical methods have been applied for preparation of organonickel complexes by reaction of electrochemically generated in situ highly reactive nickel (0) complexes in the presence of ortho-substituted aromatic bromides [29], [30], [31]. Recently, we have shown that diimine organonickel σ-aryl complexes [NiBr(aryl)(N–N)] (N–N=2,2′-bipyridine, 1,10-phenanthroline) bearing ortho-substituents in the σ-bonded aromatic ring can be efficiently synthesized using electrochemical techniques, either in a single electrochemical cell with a sacrificial nickel anode [30], [31], or in an electrochemical cell supplied with a diaphragm for separation of the anodic and cathodic compartments [29]. The mechanism of the overall process involves cathodic in situ electrochemical generation of the highly reactive nickel (0) complex [Ni0(bpy)] followed by oxidative addition of ortho-substituted aryl bromides (arylBr), while the anode material (Mg, Zn, Ni, or Al) is oxidized (Scheme 1). For stabilization of the electrochemically generated nickel (0) complex, two equivalents of 2,2′-bipyridine are required. Thus, the complexes [NiBr2(bpy)2] has been used as the starting reagent for this synthesis.

Electrochemical synthesis of organonickel σ-aryl complexes.
The use of the sacrificial anodes in electrochemical processes allows to increase the efficiency of the electrolysis and to simplify the electrolyser construction, namely to exclude some technical difficulties caused by the use of the diaphragm [32], [33], [34]. Moreover, this technique allows to exclude the anodic oxidation of electrochemically formed nickel (0) complexes and generation of the oxidants such as molecular bromine and peroxides capable to oxidize both formed reduced nickel complex and the organonickel species. The sacrificial anode nature has a crucial influence on the efficiency of electrochemical synthesis of organonickel sigma-complexes [30]. The highest yields of organonickel sigma-complexes were obtained in undivided electrochemical cell supplied with sacrificial nickel anode [35].
In this case, the anodically generated cations are the source of nickel ions for the formation of organonickel complexes, since they are able to form complexes with bpy in solution and take part in the electroreduction process followed by the formation of desirable organonickel species. Thus, 2,2′-bipyridine and aromatic bromide are the main consumable reagents, excepting the electrochemically soluble nickel anode, in the electrochemical preparation of organonickel complexes. The reaction undergoes the catalytic cycle with complete absence of the side products (Scheme 2).

Electrochemical synthesis of organonickel complexes with sacrificial nickel anode.
Various organonickel complexes of type [NiBr(aryl)(bpy)], where aryl=Xyl (2,6-dimethylpenyl), Mes (2,4,6-trimethylphenyl) and Tipp (2,4,6-triisopropylphenyl) have been synthesized using this method. Recent example includes the preparation of sterically hindered organonickel sigma-complex [NiBr(Tchp)(bpy)], where Tchp=2,4,6-tricyclohexylphenyl, bearing bulky substituents in the aromatic ring which is difficult to produce by classical synthetic procedure (Fig. 2) [36].
![Fig. 2:
Molecular structure of organonickel complex bromo[2,2′ -bipyridine-2,4,6-tricyclohexylphenylnickel] with 50% thermal ellipsoids. Hydrogen atoms have been omitted for clarity.](/document/doi/10.1515/pac-2017-0202/asset/graphic/j_pac-2017-0202_fig_009.jpg)
Molecular structure of organonickel complex bromo[2,2′ -bipyridine-2,4,6-tricyclohexylphenylnickel] with 50% thermal ellipsoids. Hydrogen atoms have been omitted for clarity.
According to the X-ray data the nickel centre to be coordinated in a distorted square-planar environment by a chelating bpy ligand and a mesityl-group and a bromo-ligand are in a cis arrangement. According to the X-ray crystal structure analysis the aromatic ring is perpendicular to the N,N,Ni plane, apparently due to steric interaction of the ortho-substituents of the aromatic group with the cis bromo ligand and the ortho hydrogen atom of bpy [14], [29].
Alternatively, the related organonickel complex bearing unsubstituted phenanthroline ligand [NiBr(Mes)(phen)] was successfully synthesized using a modified electrochemical procedure in a single electrochemical cell supplied with a sacrificial nickel anode [37]. Although the yield of organonickel sigma-complex [NiBr(Mes)(phen)] in the electrochemical process is little bit less than in case of the classical ligand exchange reaction, this method seems more convenient, because allows direct access to this specie starting from the binary nickel salt without preparation of flammable Grignard reagents or unstable [Ni(COD)2] complex [38].
The synthesis of organonickel complexes of the type [NiBr(aryl)(N−N)], where aryl=2,4,6-trimethylphenyl and N−N=α-diimine ligand, was recently described by Klein et al. [39], [40], [41], [42]. But they use classic chemical synthesis procedure and the number of complexes that can be obtained using this method are limited due to possibility to use only Mes as a sigma–bonded aromatic fragment.
Electrochemical properties
The use of the electrochemical analytical methods allowed investigating the processes of the electrochemical reduction of organonickel complexes. The first experiments of the detailed study of the electron transfer in the organonickel α-diimine complexes have been performed by Klein et al. [43], [44], [45]. The experiments were limited to organonickel complexes of type [NiBr(Mes)(N–N)], where N–N=diimine ligand. It was established that the electron transfer to the nickel diimine complexes results in formation of the radial anion where the electronic density is mainly located on the diimine ligand [46], [47]. Later the electrochemical properties of the organonickel sigma complex [NiBr(Mes)(bpy)] were investigated [45]. It was established that stabilization of the electrochemically formed radical anion [NiBr(Mes)(bpy)]˙− proceeds by reaction of bromide-anion elimination with formation of coordinatively unsaturated radical [Ni(Mes)(bpy)]˙ complex. Thus, for the series of the organonickel complexes of type [NiBr(Mes)(N–N)], where N–N=α-diimine ligand, the following mechanism of electroreduction has been proposed (Scheme 3) [45].
![Scheme 3:
Electrochemical reactions of organonickel complex [NiBr(Mes)(bpy)]. From ref [45].](/document/doi/10.1515/pac-2017-0202/asset/graphic/j_pac-2017-0202_fig_010.jpg)
Electrochemical reactions of organonickel complex [NiBr(Mes)(bpy)]. From ref [45].
According to the postulated mechanism, after the first electron transfer the bromo-anion is eliminated from the coordination sphere. The coordinatively unsaturated species can be stabilized by the solvent coordination (С2) or by dimerization process (С2′). The dimerization reaction leads to the formation of NiI–NiI bond and results in binuclear nickel complexes. The reactions of such type are well known in the literature [48], [49], [50], [51], [52]. For example the formation of the dimers RuI–RuI or Re0–Re0 in the electroreduction processes of corresponding [(bpy)RuII(CO)2X2] and [(L)Re(CO)3X] (L=bpy phen; X=Cl or CN) complexes. Both examples can be attributed to the formal d7–d7 system. As the examples of d9–d9 systems, the dimer Pd1–Pd1 - [(phen)(MeCN)Pd–Pd(MeCN)(phen)]2+, obtained from comproportionation of PdII and Pd0 is known.
A careful study of the electron transfer to organonickel complex formed by unsubstituted 1,10-phenanthroline [NiBr(Mes)(phen)] has been recently published [37]. The question concerning the bonded nature of the formed radical anion of phen was clarified by performing of the macroscale electroreduction of organonickel complex [NiBr(Mes)(phen)] in EPR-electrochemical cell in wide range of the temperatures. It was found that the electrochemical behavior of [NiBr(Mes)(phen)] (Fig. 3, Scheme 4) is very similar to the electrochemical behavior of the related α-diimine complexes [43], [44], [45].
![Fig. 3:
Cyclic voltammogram of [NiBr(Mes)(phen)] recorded at the first scan at constant potential scan rate 50 mV s−1 from 0.00 V to −2.00 V then to +0.80 V and back to 0.00 V (red-curve) and from 0.00 V to +0.80 V then to −2.00 V and back to 0.00 V (blue-curve). Peak potentials are referred to Ag/AgNO3, 0.01 M in CH3CN reference electrode.](/document/doi/10.1515/pac-2017-0202/asset/graphic/j_pac-2017-0202_fig_011.jpg)
Cyclic voltammogram of [NiBr(Mes)(phen)] recorded at the first scan at constant potential scan rate 50 mV s−1 from 0.00 V to −2.00 V then to +0.80 V and back to 0.00 V (red-curve) and from 0.00 V to +0.80 V then to −2.00 V and back to 0.00 V (blue-curve). Peak potentials are referred to Ag/AgNO3, 0.01 M in CH3CN reference electrode.
![Scheme 4:
Electrochemical formation of coordinatively unsaturated [Ni(Mes)(phen)] complexes.](/document/doi/10.1515/pac-2017-0202/asset/graphic/j_pac-2017-0202_fig_012.jpg)
Electrochemical formation of coordinatively unsaturated [Ni(Mes)(phen)] complexes.
Very recently the electrochemical properties of some cationic organonickel complexes with terpyridine ligands have been investigated [53]. It was established that organonickel complexes [(R′terpy)Ni(aryl))]X, where R′terpy=alkylsubstituted 2,2′;6′,2″- terpyridyle, aryl=2,6-dimethylphenyl (Xyl) or 2,4,6-trimethylphenyl (Mes); X=Br or PF6, capable to be reversibly reduced with the electron transfer to the π-orbitals of the nitrogen ligand as the oxidation is the nickel centred process and proceeds irreversibly.
We have, therefore, investigated the electroreduction of organonickel complex [NiBr(Mes)(phen)] in an electrochemical EPR flat cell supplied with a sacrificial Al anode as an auxiliary electrode and a Pt cathode. Applying a cathodic potential (Ew.e.=−0.65 V vs. Ag/Ag+) did not give any color change of the solution, but resulted in an EPR signal of the 1,10-phenanthroline radical anion phen˙− [53], [54] coordinated at nickel (g=2.000) (Fig. 4). This process is realized at the potentials of peak C1 (Fig. 3) and nicely fits with previously published data for related α-diimine complexes [43], [45]. The simulated spectrum was obtained for a hyperfine coupling of two groups of two hydrogens (aH=0.27 mT and aH=0.38 mT) and of two nitrogens (aN=0.32 mT).
![Fig. 4:
Experimental (solid-curve) and simulated (dashed-curve) EPR spectra of the electrochemically generated phen˙− coordinated at nickel in [Ni(Mes)(phen˙−)].](/document/doi/10.1515/pac-2017-0202/asset/graphic/j_pac-2017-0202_fig_013.jpg)
Experimental (solid-curve) and simulated (dashed-curve) EPR spectra of the electrochemically generated phen˙− coordinated at nickel in [Ni(Mes)(phen˙−)].
In order to confirm the formation of the coordinated phenanthroline radical anion, the free phenanthroline radical anion was also generated electrochemically by applying a constant current to a solution containing 1,10-phenanthroline using the same electrochemical EPR cell (Scheme 5). Tetrabutylammonium cations of supporting electrolyte play a role of the counter ions in the present case. The color of the solution changed to violet and an EPR signal (g=2.003) was observed (Fig. 5).

Electrochemical formation of radical anion of 1,10-phenanthroline.

EPR spectrum of electrochemically generated free phen˙− (solid-curve) (at 293 K). Dashed curve: simulated EPR spectrum.
The EPR spectrum was simulated with a hyperfine interaction of two nitrogens (aN=0.39 mT), two times two hydrogens (aH=0.275 mT and aH=0.105 mT) and a line width of 0.05 mT. The experimental spectrum is in good agreement with the simulation, but is less resolved (Fig. 5). Due to the fact, that the radical anions were produced by electrochemical reduction at a rather high current density we do not have a homogenous concentration of the radicals. In the vicinity of the electrode the concentration is higher than at a larger distance to the electrode surface. Therefore the part close to the electrode surface will experience a larger broadening by dipolar interaction and electron spin exchange also the pH can vary in the electrolyte. The coupling constants are different from those given in the literature, where they were obtained for ion pairs with potassium [54]. The spectrum in [54] was simulated with two aN=0.28 mT, two aH=0.041 mT, two aH=0.360 mT, two aH=0.280 mT and one aH=0.041 mT.
The formation of such a coordinatively unsaturated complex may explain the increased reactivity of organonickel sigma-complexes in electrocatalytic processes. The free coordination site at the nickel centre allows coordination of a substrate initiating a new catalytic cycle leading to the coupling product.
Synthetic application
To study the reactivity of these type of complexes the reactions of these compounds with some organic substrates (nitriles, phenylphosphine, white phosphorus) have been performed. The obtained results allow to use this electrochemical method to design different organoelement compounds.
Catalytic ethylene oligomerisation
It was found that electrochemically obtained organonickel sigma-complexes demonstrates high catalytic activity in the ethylene oligomerization process (leading to the formation of linear alpha-olefins of C4–C12) fractions, which is higher than the catalytic activity of the related Brookhart-type diimine catalysts [55], [56].
To convert the organonickel sigma-complex to a catalytic active compound complex must be activated. Traditional method for activation of organonickel sigma-complexes is using of methylalumoxane (MAO), reagent for the decoordination of bromide from the coordination sphere of the nickel complex and creation of a vacant place for monomer (ethylene) coordination. We have elaborated a new convenient method for activation of these compounds. This method based on the electrochemical reduction or oxidation of organonickel sigma-complexes is capable to produce coordinatively unsaturated forms of the complex: radical [Ni(aryl)(bpy)]˙ and cationic complex [Ni(aryl)(bpy)]+, respectively [30].
Reactions with nitriles
It was found that active form of complex [NiBr(Mes)(bpy)] can convert nitriles (acetonitrile, acetonitrile-d3, propionitrile, chloroacetonitrile, benzonitrile) into corresponding imines containing aromatic moiety from the initial organonickel sigma-complex (Scheme 6). For the activation of the complex a little amount of DMF or boron trifluoride diethyl etherate (BF3·Et2O) was used. It was established previously [57] that DMF molecules are capable to substitute the bromide anion in the coordination sphere of organonickel sigma-complexes with the formation of cationic complexes which, in turn, can undergo the reaction of ligand exchange with the molecules of nitrile. This result is of interest because the use of DMF as a solvent for the reaction of imines production can allow one to optimize the whole process with the transition of the conditions to one-pot synthesis. This is because the electrochemical generation of organonickel sigma-complexes is also successfully carried out in DMF [30], [31], [36]. In this case the isolation and purification in the intermediate steps is not required. The use of boron trifluoride diethyl etherate (BF3·Et2O) allows one to perform the reaction of imines production in nonpolar organic solvents such as benzene, facilitating their separation due to the precipitation of inorganic nickel complexes.
![Scheme 6:
Reaction of organonickel sigma-complexes [NiBr(Mes)(bpy)] with nitriles.](/document/doi/10.1515/pac-2017-0202/asset/graphic/j_pac-2017-0202_fig_016.jpg)
Reaction of organonickel sigma-complexes [NiBr(Mes)(bpy)] with nitriles.
The formation of imines in the solution was proved by gas chromatography-mass spectrometry. The behavior and characteristic fragmentation processes in the conditions of gas chromatography analysis for the obtained imines have been investigated.
Reactions with organic phosphines
In the reaction of complex [NiBr(Mes)(bpy)] with phenylphosphine (PhPH2) the obtaining of diarylphosphine mesitylphenylphosphine have been fixed [58]. It was found that this interaction leads to the formation of new carbon-phosphorus bond involving mesityl fragment of starting organonickel sigma-complex. The method avoids using phosphorus chloroderivatives (Scheme 7).
![Scheme 7:
Reaction of organonickel sigma-complexes [NiBr(Mes)(bpy)] with phenylphosphine.](/document/doi/10.1515/pac-2017-0202/asset/graphic/j_pac-2017-0202_fig_017.jpg)
Reaction of organonickel sigma-complexes [NiBr(Mes)(bpy)] with phenylphosphine.
The traditional methods for synthesis of organophosphorus compounds bearing P–C bonds involve the reactions of phosphorus chlorides with the Grignard reagents. These procedures require, as a rule, to use very low-stable and flammable chemical reagents and ecologically unsafe conditions [59], [60]. This creates some limitations in the large-scale production of some organophosphorus derivatives from the viewpoint of environmental safety. The search for new highly effective synthetic methods and procedures, which operate in chlorine free conditions, is a key strategic direction in the development of organophosphorus chemistry. The elaborated method avoids using phosphorus chloroderivatives.
The obtained results are one of the first examples of the use of electrochemically generated organonickel sigma-complexes as substrates in organic synthesis. These results expand the range of possibilities for the synthetic application of organometallic compounds of this type.
Electrochemical phosphorylation
Development of novel technologies for synthesis of inorganic and organophosphorus compounds (OPCs), is a key task of the modern chemistry of phosphorus [61], [62]. In this key elemental (white) phosphorus is a main source for the preparation of various OPCs [62], [63], [64]. The traditional methods for synthesis of organophosphorus compounds bearing P–C bonds involve the reactions of phosphorus chlorides with the Grignard reagents. This technology is energy consuming and ecologically dangerous because of the evolution of toxic substances (HCl, POCl3, PCl5, and others) during the process. Elemental (white) phosphorus is an electrochemically active compound. The electrochemical reduction of white phosphorus can be used as the main appropriate method for in situ generation of phosphine PH3.
Organic halides
We have found that it is possible to obtain the arylation (or alkylation) products of white phosphorus in the presence of electrochemically generated Ni0 complexes [65]. Then we tried to find the influence of the sacrificial anode nature on the mechanism of electrochemical arylation and alkylation of white phosphorus [66]. It was found that the use of the zinc anode results in the products with tricoordinated phosphorus, viz., triorganylphosphines, the reaction on the aluminum anode affords triorganylphosphine oxides, and the presence of Mg2+ ions in the reaction mixture provides the transformation of white phosphorus into cyclic phosphines (PhP)5. And we can say that white phosphorus can be involved in the reaction with alkyl and aryl halides under conditions of cyclic regeneration of metallocomplex catalyst at the electrode. After that we have found the possibility of electrocatalytic eco-efficient methods to transform white phosphorus into the esters of phosphoric, phosphorous and phosphonic acids, tertiary phosphines and other organophosphorus compounds [67].
Ketones
Electrochemically generated from P4 phosphine oxide Н3РО reacts with ketones in mild conditions with the formation of mono- or bis-(oxyalkyl)phosphine oxides [68]. The products of the reactions have different thermodynamic stabilities which can be explained by decomposition reaction. According to literature data, decomposition of the products proceeds with the elimination of ketone, like in case of (α-oxy)isopropyldiphenylphosphine oxide [69].
The interaction of H3PO with several ketones (acetone, methylethylketone, methyl-n-propylketone) was found to give selective formation of mono- or bis-(oxyalkyl)phosphine oxides (Scheme 8) [68]. The ratio of the products of mono- and diattachment depends on the bulkiness of alkyl substituent at carbon atom of the used in the reaction ketone. Reaction of H3PO with acetone gave the best results by the selectivity of reaction, where only the product of di-attachment of ketone to P–H bonds of phosphine oxide (secondary phosphine oxide) was formed. The use of methylethylketone or methyl-propylketone gives products of both mono- and di-attachment of ketone (primary and secondary phosphine oxides).

The interaction of H3PO, electrochemically formed from P4, with ketones.
Phosphine oxide
We have proved the generation of phosphine oxide in solution by simple electrochemical methods based on a two-step process involving first the electroreduction of white phosphorus to PH3 in an acidic water/ethanol mixture at a lead electrode, followed by PH3 oxidation at the zinc anode yielding H3PO in about 70% maximum yield [70]. H3PO is the first defined compound of phosphorus in the −1 oxidation state. But this compound disproportionates to PH3 and H3PO2 even at low temperature. We have trapped it by ruthenium complexes (Scheme 9). The formation of these complexes confirmed that the electrogenerated phosphine oxide may be trapped before the disproportionation of phosphine oxide.
![Scheme 9:
Synthesis of [CpRu(TPPMS)2{H2P(OH)}]PF6 and [CpRu(PTA)(CH3CN){H2P(OH)}]PF6 from H3PO trapping.](/document/doi/10.1515/pac-2017-0202/asset/graphic/j_pac-2017-0202_fig_019.jpg)
Synthesis of [CpRu(TPPMS)2{H2P(OH)}]PF6 and [CpRu(PTA)(CH3CN){H2P(OH)}]PF6 from H3PO trapping.
Later [71] we have investigated the effect of a sacrificial anode material on the electrochemical generation of phosphine oxide. We have found that the nature of the metal anode has a key effect on the electrochemical generation of phosphine oxide. Thus, H3PO can also be easily generated in an undivided electrochemical cell supplied with sacrificial aluminum and tin anodes. It may be the result of coordination and stabilization of phosphine oxide to anodically generated Al3+ and Sn2+ cations. The formation of H3PO is a very complicated process and it has not been completely understood. In [72] and [73] we have put together some electrochemical reactions of elemental (white) phosphorus and phosphine oxide PH3 and showed the main topics in his area for that moment.
Organonickel sigma-complexes
We decide to combine two main directions of our investigation (electrochemically synthesized organonickel sigma-complexes and elemental (white) phosphorus chemistry) [74]. It was study of interaction between electrochemically activated sigma-complexes and white phosphorus. The arylphosphinic acids ArP(O)(OH)H formed by hydrolysis of organic nickel phosphides are the major reaction products of the overall process. This suggests that white phosphorus tetrahedron undergoes opening to form a P–C bond.
In [75] we showed the possibility of electrochemical generation of P42− dianion from white phosphorus, which was detected in solution by 31P NMR spectroscopy, in an undivided cell equipped with a sacrificial metal anode (Al, Co, Nb, Sn). It was shown that anodically generated cations Al3+, Co2+, Nb3+ and Sn2+ can efficiently stabilize electrochemically generated P42− dianion preventing its fast protonation in acidic ethanol/water solution. But we have not obtained the P42− dianion in the electrolysis cell with Cd, Fe, Mg, Ni, and Zn anodes which can also be used in the electrochemical processes involving white phosphorus. Phosphine PH3 was the main product in these cases. The efficiency of electrochemical preparation of P42− can be increased using organic mediators capable of homogeneous reduction of P4 in the solution.
Synthesis of dinuclear complexes
Transition metal complexes containing two or more interconnected metal coordination centers are of high practical interest for different areas of applied chemistry, molecular biology and pharmacology [76], [77], [78], [79], [80], [81]. Presently bi- and polynuclear complexes formed by bridging {μ-O2CR}− (R=H, Alk, Ar) ligands are the most studied systems [79]. However, very restricted number of polynuclear transition metals complexes containing in its structure {μ-O2PR2}− bridging fragments is currently known [79], [82]. It should be noted that the creation of new types of materials based on polynuclear compounds with organic phosphorus derivatives as the bridging ligands are of high particular interest due to the fact that electronic properties of carbon and phosphorus atoms are different. In this regard, the development of new methods for the synthesis and investigation of the properties of bi- and polynuclear species formed by bridging {μ-O2PR2}− fragments are very important from the view point of the creation of magnetically active materials [82], [83] and new active catalysts for biological processes [84]. Indeed binuclear complexes of nickel, zinc, cobalt and manganese were found to be important intermediates in biological systems which catalyze the hydrolysis of a range of peptide and phosphate ester bonds via formation of {μ-O2PR2}− bridged derivatives [85]. These species play a central role in biological processes of oxidative phosphorylation [86], [87], oxidative decarboxylation [88], and energy transduction [89], [90], [91]. Recent examples include the use of binuclear nickel (II) complexes as high efficient antibacterial reagents capable for cleavage of DNA [92].
From the viewpoint of materials chemistry, organic–inorganic hybrids are an important class of compounds in advanced materials design [93], [94], [95], [96], [97], [98]. Some nickel diphosphonates [99] and nickel pyrophosphates [100] showed antiferromagnetic properties and slow relaxation behavior. As a variant of polymetallic nickel complexes with {μ-O2PR2}− bridges, some nickel phosphonate–carboxylate cages bearing twelve nickel centres were synthesized [101]. Interestingly, a number of pentacoordinate nickel (II) complexes doubly bridged by phosphate ester or phosphinate ligands were synthesized and investigated [102].
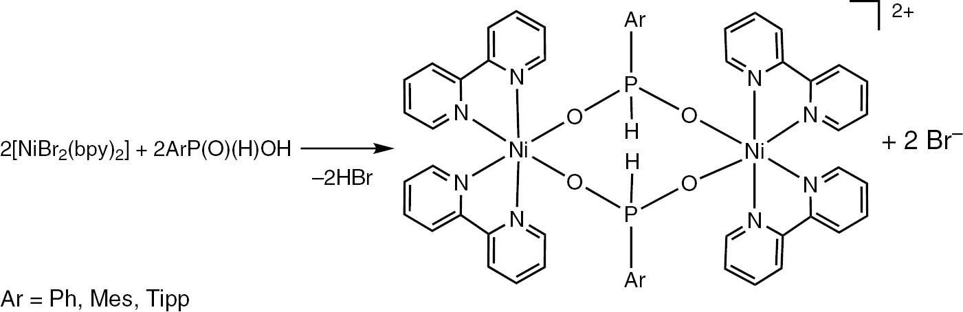
It should be noted that in the reaction of element (white) phosphorus with organonickel complexes the formed insoluble organic nickel phosphides can be easily hydrolyzed by acidic water solutions forming organic phosphinic acids bearing a P–C bond (Scheme 10).

The formation of arylphosphinic acids by the reaction of acidic hydrolysis of organic nickel phosphides.
Thus, in case of organonickel sigma-bonded complexes the corresponding arylphosphinic acids were obtained in the moderate yields (up to 64% by initial nickel complex) [74]. These arylphosphinic acids are capable to react with the starting form of the nickel electrocatalyst. This reaction leads to the formation of new dinuclear nickel (II) complexes which display an electron interaction between two nickel centres, that is very interesting from the view point of magnetic chemistry (Scheme 11) [103].
![Scheme 11:
The formation of new dinuclear nickel complexes [Ni2(μ-O2P(H)Ar)2(bpy)4]2+ by the reaction of arylphosphinic acids with nickel catalyst.](/document/doi/10.1515/pac-2017-0202/asset/graphic/j_pac-2017-0202_fig_021.jpg)
The formation of new dinuclear nickel complexes [Ni2(μ-O2P(H)Ar)2(bpy)4]2+ by the reaction of arylphosphinic acids with nickel catalyst.
The detailed information about organonickel mono- and dinuclear complexes including their electrochemical synthesis structure and catalytic activity can be found in recently published review [104].
Conclusions
Thus, the application of the electrochemical techniques towards preparation of organoelement compounds and practically useful materials like new active catalysts, biologically active organophosphorus compounds and dinuclear transition metal complexes displaying magnetic properties can be considered as a new tool for modern synthetic chemistry allowing to create new synthetic procedures operated in ecologically and environmentally safe conditions. These processes operating on the principles of “green chemistry” are also very important from the view point of possible modernisation of the current industrial technology and will improve the environmental situation over the world.
Article note
A collection of invited papers based on presentations at the XX Mendeleev Congress on General and Applied Chemistry (Mendeleev XX), held in Ekaterinburg, Russia, September 25–30 2016.
Acknowledgements
This work is financially supported by the Russian Science Foundation (project 14-13-01122) and the common program of the Russian Foundation for Basic Research and the Government of the Republic of Tatarstan (project 15-43-02667).
References
[1] G. P. Chiusoli, P. M. Maitlis (Eds.), Metal-Catalysis in Industrial Organic Processes, The Royal Society of Chemistry, Cambridge (2006).10.1039/9781847555328Search in Google Scholar
[2] D. E. C. Corbridge (Ed.), Phosphorus: An Outline of its Chemistry, Biochemistry and Technology, 5 ed., Studies in Inorganic Chemistry, #20, Elsevier, Amsterdam (1995).Search in Google Scholar
[3] H. Lund. J. Electrochem. Soc. 149, S21 (2002).10.1149/1.1462037Search in Google Scholar
[4] J. Y. Nedelec, J. Perichon, M. Troupel. Topics in Current Chemistry, E. Steckhan (Ed.), vol. 185, p. 141. Berlin-Heidelberg, Springer (1997).Search in Google Scholar
[5] J. Ludvik, D. H. Evans, D. L. Lichtenberger. Organometallics. 33, 4513 (2014).10.1021/om5008709Search in Google Scholar
[6] D. G. Tuck. Molecular Electrochemistry of Inorganic, Bioinorganic, and Organometallic Compounds, A. J. L. Pombeiro, J. A. McCleverty (Eds.), vol. 385, p. 15. Kluwer Academic Publishers, Dordrecht (1993).10.1007/978-94-011-1628-2_2Search in Google Scholar
[7] Y. H. Budnikova, J. Perichon, D. G. Yakhvarov, Y. M. Kargin, O. G. Sinyashin. J. Organomet. Chem.630, 185 (2001).10.1016/S0022-328X(01)00813-0Search in Google Scholar
[8] D. G. Yakhvarov, Yu. G. Budnikova, O. G. Sinyashin. Russ. J. Electrochem.39, 1261 (2003).10.1023/B:RUEL.0000003456.78545.0dSearch in Google Scholar
[9] J. Cámpora. Comprehensive Organometallic Chemistry III, R. H. Crabtree, D. M. P. Mingos (Eds.), vol. 8, p. 27. Elsevier, Oxford (2007).10.1016/B0-08-045047-4/00100-XSearch in Google Scholar
[10] Y. Tamaru. Modern Organonickel Chemistry, p. 327. Wiley_VCH Verlag GmbH & Co. KGaA, Weinheim (2005).10.1002/3527604847Search in Google Scholar
[11] J. M. Coronas, G. Muller, M. Rocamora, C. Miravitlles, X. Solans. J. Chem. Soc., Dalton Trans. 2333 (1985).10.1039/DT9850002333Search in Google Scholar
[12] N. D. Staudaher, R. M. Stolley, J. Louie. Chem. Commun.50, 15577 (2014).10.1039/C4CC07590KSearch in Google Scholar PubMed PubMed Central
[13] A. K. Smith. Nickel-carbon σ-bonded complexes in comprehensive organometallic chemistry, 1st ed., chapter 2, G. Wilkinson, F. G. A. Stone, E. Abel (Eds.), p. 29, Pergamon, Oxford (1982).Search in Google Scholar
[14] A. Klein. Z. Anorg. Allg. Chem. 627, 645 (2001).10.1002/1521-3749(200104)627:4<645::AID-ZAAC645>3.0.CO;2-TSearch in Google Scholar
[15] T. Yamamoto, M. Takamatsu, A. Yamamoto. Bull. Chem. Soc. Jap. 55, 325 (1982).10.1246/bcsj.55.325Search in Google Scholar
[16] K. Osakada, T. Yamamoto. Coord. Chem. Rev.198, 379 (2000).10.1016/S0010-8545(99)00210-6Search in Google Scholar
[17] M. F. Semmelhack, P. M. Helquist, L. D. Jones. J. Am. Chem. Soc.93, 5908 (1971).10.1021/ja00751a062Search in Google Scholar
[18] Y.-J. Kim, R. Sato, T. Maruyama, K. Osakada, T. Yamamoto. Dalton Trans.6, 943 (1994).10.1039/dt9940000943Search in Google Scholar
[19] J. Eisch, L. E. Hallenbeck, K. I. Han. J. Org. Chem.48, 2963 (1983).10.1021/jo00166a005Search in Google Scholar
[20] S. Komiya, Y. Akai, K. Tanaka, T. Yamamoto, A. Yamamoto. Organometallics. 4, 1130 (1985).10.1021/om00125a033Search in Google Scholar
[21] K. M. Miller, T. Luanphaisarnnont, C. Molinaro, T. F. Jamison. J. Am. Chem. Soc. 126, 4130 (2004).10.1021/ja0491735Search in Google Scholar
[22] E. A. Colby, K. C. O’Brien, T. F. Jamison. J. Am. Chem. Soc.126, 998 (2004).10.1021/ja039716vSearch in Google Scholar
[23] M. E. Doster, A. Johnson. Angew. Chem. Int. Ed.48, 2185 (2009).10.1002/anie.200806048Search in Google Scholar
[24] M. Uchino, A. Yamamoto, S. Ikeda. J. Organomet. Chem.24, 63 (1970).10.1016/S0022-328X(00)91565-1Search in Google Scholar
[25] W. Reppe, O. Schichting, K. Klager, T. Toepel. Lieb. Ann. Chem.560, 1 (1948).10.1002/jlac.19485600102Search in Google Scholar
[26] G. M. Mahandru, G. Liu, J. Montgomery. J. Am. Chem. Soc.126, 3698 (2004).10.1021/ja049644nSearch in Google Scholar
[27] M. Kimura, A. Ezoe, S. Tanaka, Y. Tamaru. Angew. Chem. Int. Ed. 40, 3600 (2001).10.1002/1521-3773(20011001)40:19<3600::AID-ANIE3600>3.0.CO;2-NSearch in Google Scholar
[28] S. J. Patel, T. F. Jamison. Angew. Chem. Int. Ed. 42, 1364 (2003).10.1002/anie.200390349Search in Google Scholar
[29] D. G. Yakhvarov, D. I. Tazeev, O. G. Sinyashin, G. Giambastiani, C. Bianchini, A. M. Segarra, P. Lonnecke, E. Hey-Hawkins. Polyhedron. 25, 1607 (2006).10.1016/j.poly.2005.10.032Search in Google Scholar
[30] D. G. Yakhvarov, E. A. Trofimova, I. Kh. Rizvanov, O. S. Fomina, O. G. Sinyashin. Russ. J. Electrochem. 47, 1100 (2011).10.1134/S1023193511100247Search in Google Scholar
[31] D. G. Yakhvarov, Yu. S. Ganushevich, E. A. Trofimova, O. G. Sinyashin. Russian Pat. No. 2396375 (2010).Search in Google Scholar
[32] J. Y. Nedelec, H. Ait-Haddou-Mouloud, J. C. Folest, J. Perichon. J. Org. Chem. 53, 4720 (1988).10.1021/jo00255a011Search in Google Scholar
[33] C. Saboureau, M. Troupel, J. Perichon. J. Appl. Electrochem. 20, 97 (1990).10.1007/BF01012477Search in Google Scholar
[34] J. Chaussard, J. C. Folest, J. Y. Nedelec, J. Perichon, S. Sibille, M. Troupel. Synth. 1990, 369 (1990).10.1055/s-1990-26880Search in Google Scholar
[35] D. G. Yakhvarov, E. A. Trofimova, O. G. Sinyashin. Russian Pat. No. 85903 (2009).Search in Google Scholar
[36] I. F. Sakhapov, Z. N. Gafurov, V. M. Babaev, I. Kh. Rizvanov, A. B. Dobrynin, D. B. Krivolapov, Kh. R. Khayarov, O. G. Sinyashin, D. G. Yakhvarov. Mendeleev Commun.26, 131 (2016).10.1016/j.mencom.2016.03.016Search in Google Scholar
[37] D. G. Yakhvarov, A. Petr, V. Kataev, B. Büchner, S. Gómez-Ruiz, E. Hey-Hawkins, S. V. Kvashennikova, Y. S. Ganushevich, V. I. Morozov, O. G. Sinyashin. J. Organomet. Chem. 750, 59 (2014).10.1016/j.jorganchem.2013.11.003Search in Google Scholar
[38] D. J. Krysan, P. B. Mackenzie. J. Org. Chem. 55, 4229 (1990).10.1021/jo00300a057Search in Google Scholar
[39] C. Biewer, C. Hamacher, A. Kaiser, N. Vogt, A. Sandleben, M. T. Chin, S. Yu, D. A. Vicic, A. Klein. Inorg. Chem. 55, 12716 (2016).10.1021/acs.inorgchem.6b01874Search in Google Scholar PubMed
[40] C. Hamacher, N. Hurkes, A. Kaiser, A. Klein. Z. Anorg. Allg. Chem.633, 2711 (2007).10.1002/zaac.200700250Search in Google Scholar
[41] A. Klein, A. Kaiser, W. Wielandt, F. Belaj, E. Wendel, H. Bertagnolli, S. Zalis. Inorg. Chem.47, 11324 (2008).10.1021/ic8007365Search in Google Scholar PubMed
[42] A. Klein, N. Hurkesa, A. Kaisera, W. Wielandt. Z. Anorg. Allg. Chem.633, 1659 (2007).10.1002/zaac.200700082Search in Google Scholar
[43] A. Klein, Y. H. Budnikova, O. G. Sinyashin. J. Organomet. Chem. 692, 3156 (2007).10.1016/j.jorganchem.2007.01.021Search in Google Scholar
[44] Yu. H. Budnikova. Usp. Khim. 71, 153 (2002).10.2307/43630419Search in Google Scholar
[45] A. Klein, A. Kaiser, B. Sarkar, M. Wanner, J. Fiedler. Eur. J. Inorg. Chem. 2007, 965 (2007).10.1002/ejic.200600865Search in Google Scholar
[46] M. P. Feth, A. Klein, H. Bertagnolli. Eur. J. Inorg. Chem. 5, 839 (2003).10.1002/ejic.200390114Search in Google Scholar
[47] A. Klein, M. P. Feth, H. Bertagnolli, S. Zális. Eur. J. Inorg. Chem. 2004, 2784 (2004).10.1002/ejic.200300956Search in Google Scholar
[48] S. Chardon-Noblat, A. Deronzier, R. Ziessel. Collect. Czech. Chem. Commun. 66, 207 (2001).10.1135/cccc20010207Search in Google Scholar
[49] S. Chardon-Noblat, A. Deronzier, F. Hartl, J. Slageren, T. Mahabiersing. Eur. J. Inorg. Chem. 2001, 613 (2001).10.1002/1099-0682(200103)2001:3<613::AID-EJIC613>3.0.CO;2-ESearch in Google Scholar
[50] S. Chardon-Noblat, G. H. Cripps, A. Deronzier, J. S. Field, S. Gouws, R. Haines, F. Southway. Organometallics.20, 1668 (2001).10.1021/om0010518Search in Google Scholar
[51] S. Chardon-Noblat, A. Deronzier, R. Ziessel, D. Zsoldos. Inorg. Chem.36, 5384 (1997).10.1021/ic9701975Search in Google Scholar
[52] F. Paolucci, M. Marcaccio, C. Paradisi, S. Roffia, C. A. Bignozzi, C. Amatore. J. Phys. Chem. 102, 4759 (1998).10.1021/jp980659fSearch in Google Scholar
[53] C. Hamacher, N. Hurkes, A. Kaiser, A. Klein, A. Schüren. Inorg. Chem. 48, 9947 (2009).10.1021/ic900753rSearch in Google Scholar
[54] W. Kaim. J. Am. Chem. Soc. 104, 3833 (1982).10.1021/ja00378a010Search in Google Scholar
[55] C. M. Killian, L. K. Johnson, M. Brookhart. Organometallics. 16, 2005 (1997).10.1021/om961057qSearch in Google Scholar
[56] C. M. Killian, D. J. Tempel, L. K. Johnson, M. Brookhart. J. Am. Chem. Soc. 118, 11664 (1996).10.1021/ja962516hSearch in Google Scholar
[57] I. F. Sakhapov, Z. N. Gafurov, V. M. Babaev, V. A. Kurmaz, R. R. Mukhametbareev, I. Kh. Rizvanov, O. G. Sinyashin, D. G. Yakhvarov. Russ. J. Electrochem. (Engl. Transl.).51, 1061 (2015).10.1134/S1023193515110142Search in Google Scholar
[58] Z. N. Gafurov, L. I. Musin, I. F. Sakhapov, V. M. Babaev, E. I. Musina, A. A. Karasik, O. G. Sinyashin, D. G. Yakhvarov. Phosphorus Sulfur Silicon Relat. Elem. 191, 1475 (2016).10.1080/10426507.2016.1212045Search in Google Scholar
[59] K. Esfandiarfard, S. Ott, A. Orthaber. Phosphorus, Sulfur Silicon Relat. Elem. 190, 816 (2015).10.1080/10426507.2014.984030Search in Google Scholar
[60] B. Qu, C. H. Senanayake, W. Tang, X. Wei, N. K. Yee. International Patent WO2011/56737 A1 (2011).Search in Google Scholar
[61] Technology Vision 2020. The U.S. Chemical Industry, The American Chemical Society, Washington (1996).Search in Google Scholar
[62] V. A. Milyukov, Yu. H. Budnikova, O. G. Sinyashin. Russ. Chem. Rev.74, 781 (2005).10.1070/RC2005v074n09ABEH001182Search in Google Scholar
[63] F. Mathey. Angew. Chem. Int. Ed.42, 1578 (2003).10.1002/anie.200200557Search in Google Scholar PubMed
[64] F. Mathey. Angew. Chem. Int. Ed.26, 275 (1987).10.1002/anie.198702753Search in Google Scholar
[65] Yu. G. Budnikova, D. G. Yakhvarov, Yu. M. Kargin. Mendeleev Commun.7, 67 (1997).10.1070/MC1997v007n02ABEH000709Search in Google Scholar
[66] D. G. Yakhvarov, Yu. H. Budnikova, D. I. Tazeev, O. G. Sinyashin. Russ. Chem. Bull. Int. Ed.51, 2059 (2002).10.1023/A:1021611926712Search in Google Scholar
[67] Yu. G. Budnikova, D. G. Yakhvarov, O. G. Sinyashin. J. Organomet. Chem.690, 2416 (2005).10.1016/j.jorganchem.2004.11.008Search in Google Scholar
[68] E. V. Gorbachuk, E. K. Badeeva, V. M. Babaev, I. Kh. Rizvanov, R. G. Zinnatullin, P. O. Pavlov, Kh. R. Khayarov, D. G. Yakhvarov. Russ. Chem. Bull., Int. Ed.65, 1289 (2016).10.1007/s11172-016-1450-8Search in Google Scholar
[69] K. Issleib, B. Walther. J. Organomet. Chem. 22, 375 (1970).10.1016/S0022-328X(00)86056-8Search in Google Scholar
[70] D. Yakhvarov, M. Caporali, L. Gonsalvi, Sh. Latypov, V. Mirabello, I. Rizvanov, O. Sinyashin, P. Stoppioni, M. Peruzzini. Angew. Chem. Int. Ed. 50, 5370 (2011).10.1002/anie.201100822Search in Google Scholar
[71] E. V. Gorbachuk, K. R. Khayarov, O. G. Sinyashin, D. G. Yakhvarov. Mendeleev Commun.24, 334 (2014).10.1016/j.mencom.2014.11.005Search in Google Scholar
[72] D. G. Yakhvarov, E. V. Gorbachuk, R. M. Kagirov, O. G. Sinyashin. Russ. Chem. Bull. Int. Ed.61, 1300 (2012).10.1007/s11172-012-0176-5Search in Google Scholar
[73] D. G. Yakhvarov, E. V. Gorbachuk, O. G. Sinyashin. Eur. J. Inorg. Chem.2013, 4709 (2013).10.1002/ejic.201300845Search in Google Scholar
[74] D. G. Yakhvarov, S. V. Kvashennikova, O. G. Sinyashin. Russ. Chem. Bull. Int. Ed. 62, 2472 (2013).10.1007/s11172-013-0358-9Search in Google Scholar
[75] D. G. Yakhvarov, E. V. Gorbachuk, Kh. R. Khayarov, V. I. Morozov, I. Kh. Rizvanov, O. G. Sinyashin. Russ. Chem. Bull. Int. Ed. 63, 2423 (2014).10.1007/s11172-014-0757-6Search in Google Scholar
[76] S. Noro, S. Kitagawa, M. Kondo, K. Seki. Angew. Chem. Int. Ed. Engl. 39, 2081 (2000).10.1002/1521-3773(20000616)39:12<2081::AID-ANIE2081>3.0.CO;2-ASearch in Google Scholar
[77] B. Kesanli, Y. Cui, M. Smith, E. Bittner, B. Bockrath, W. Lin. Angew. Chem. Int. Ed. Engl. 44, 72 (2005).10.1002/anie.200461214Search in Google Scholar
[78] H. C. Zhou, J. R. Long, O. M. Yaghi. Chem. Rev. 112, 673 (2012).10.1021/cr300014xSearch in Google Scholar
[79] M. O’Keeffe, O. M. Yaghi. Chem. Rev. 112, 675 (2012).10.1021/cr200205jSearch in Google Scholar
[80] N. Stock, S. Biswas. Chem. Rev. 112, 933 (2012).10.1021/cr200304eSearch in Google Scholar
[81] J.-P. Zhang, Y.-B. Zhang, J.-B. Lin, X.-M. Chen. Chem. Rev. 112, 1001 (2012).10.1021/cr200139gSearch in Google Scholar
[82] K. J. Gagnon, H. P. Perry, A. Clearfield. Chem. Rev. 112, 1034 (2012).10.1021/cr2002257Search in Google Scholar
[83] W. Zhang, R.-G. Xiong. Chem. Rev. 112, 1163 (2012).10.1021/cr200174wSearch in Google Scholar
[84] P. Horcajada, R. Gref, T. Baati, P. K. Allan, G. Maurin, P. Couvreur, G. Ferey, R. E. Morris, C. Serre. Chem. Rev.112, 1232 (2012).10.1021/cr200256vSearch in Google Scholar
[85] D. E. Wilcox. Chem. Rev. 96, 2435 (1996).10.1021/cr950043bSearch in Google Scholar
[86] J. E. Walker. Angew. Chem. Int. Ed. Engl. 37, 2308 (1998).10.1002/(SICI)1521-3773(19980918)37:17<2308::AID-ANIE2308>3.0.CO;2-WSearch in Google Scholar
[87] P. D. Boyer. Angew. Chem. Int. Ed. Engl. 37, 2296 (1998).10.1002/(SICI)1521-3773(19980918)37:17<2296::AID-ANIE2296>3.0.CO;2-WSearch in Google Scholar
[88] P. C. Dorrestein, H. Zhai, S. V. Taylor, F. W. McLafferty, T. P. Begley. Biochemistry. 42, 12430 (2003).10.1021/bi034902zSearch in Google Scholar PubMed
[89] R. L. P. Adams, J. T. Knowler, D. P. Leader. The Biochemistry of Nucleic Acids, 10th ed. Chapman and Hall, New York (1986).10.1007/978-94-009-4103-8Search in Google Scholar
[90] G. M. Blackburn, M. J. Gait. Nucleic Acids in Chemistry and Biology, 2nd ed., Oxford University Press, New York (1996).Search in Google Scholar
[91] J. M. Berg, J. L. Tymoczko, L. Stryer. Biochemistry, 5th ed., W.H. Freeman and Company, New York (2001).Search in Google Scholar
[92] M. N. Patel, S. H. Patel, P. B. Pansuriya. Med. Chem. Res.20, 1371 (2011).10.1007/s00044-010-9486-zSearch in Google Scholar
[93] B. Moulton, M. J. Zaworotko. Chem. Rev. 101, 1629 (2001).10.1021/cr9900432Search in Google Scholar PubMed
[94] S. J. Cantrill, K. S. Chichak, A. J. Peters, J. F. Stoddart. Acc. Chem. Res. 38, 1 (2005).10.1021/ar040226xSearch in Google Scholar PubMed
[95] D. Braga. Chem. Commun. 2751 (2003).10.1039/b306269bSearch in Google Scholar PubMed
[96] S. R. Seidel, P. J. Stang. Acc. Chem. Res. 35, 972 (2002).10.1021/ar010142dSearch in Google Scholar PubMed
[97] M. Fujita, K. Umemoto, M. Yoshizawa, N. Fujita, T. Kusukawa, K. Biradha. Chem. Commun. 509 (2001).10.1039/b008684nSearch in Google Scholar
[98] G. Férey, C. Mellot-Draznieks, C. Serre, F. Millange. Acc. Chem. Res.38, 217 (2005).10.1021/ar040163iSearch in Google Scholar PubMed
[99] D. K. Cao, Y.-Z. Li, L.-M. Zheng. Inorg. Chem.46, 7571 (2007).10.1021/ic701098tSearch in Google Scholar PubMed
[100] O. F. Ikotun, N. G. Armatus, M. Julve, P. E. Kruger, F. Lloret, M. Nieuwenhuyzen, R. P. Doyle. Inorg. Chem. 46, 6668 (2007).10.1021/ic700439aSearch in Google Scholar PubMed
[101] B. A. Breeze, M. Shanmugam, F. Tuna, R. E. P. Winpenny. Chem. Commun. 5185 (2007).10.1039/b711650kSearch in Google Scholar PubMed
[102] M. D. Santana, G. Garcia, A. A. Lozano, G. Lopez, J. Tudela, J. Perez, L. Garcia, L. Lezama, T. Rojo. Chem. Eur. J.10, 1738 (2004).10.1002/chem.200305367Search in Google Scholar PubMed
[103] D. Yakhvarov, E. Trofimova, O. Sinyashin, O. Kataeva, P. Lönnecke, E. Hey-Hawkins, A. Petr, Yu. Krupskaya, V. Kataev, R. Klingeler, B. Büchner. Inorg. Chem. 50, 4553 (2011).10.1021/ic2002546Search in Google Scholar PubMed
[104] D. G. Yakhvarov, A. F. Khusnuriyalova, O. G. Sinyashin. Organometallics. 33, 4574 (2014).10.1021/om500100qSearch in Google Scholar
©2017 IUPAC & De Gruyter. This work is licensed under a Creative Commons Attribution-NonCommercial-NoDerivatives 4.0 International License. For more information, please visit: http://creativecommons.org/licenses/by-nc-nd/4.0/
Articles in the same Issue
- Frontmatter
- In this issue
- Preface
- Research papers from the XXth Mendeleev Congress on General and Applied Chemistry
- Conference papers
- Light-controlled spin-state-switching rearrangements of transition metal complexes with photochromic ligands
- Hypoglycemic potential of cyclic guanidine derivatives
- Non-traditional Ziegler-Natta catalysis in α-olefin transformations: reaction mechanisms and product design
- Perspective tendencies in development of small scale processing of gas resources
- Cage amines in the metal–organic frameworks chemistry
- Hybrid metal complexes with opposed biological modes of action – promising selective drug candidates
- Electrochemical methods for synthesis of organoelement compounds and functional materials
- Monoterpenes as a renewable source of biologically active compounds
- Some new trends in the design of single molecule magnets
- Catalysis in a dispersion medium for the hydrogenation of aromatics and hydrodearomatization in oil refining
- Mesoporous organo-inorganic hybrid materials as hydrogenation catalysts
- Focused design of polypharmacophoric neuroprotective compounds: Conjugates of γ-carbolines with carbazole derivatives and tetrahydrocarbazole
- Nanomaterials for lithium-ion batteries and hydrogen energy
- Nucleophilic C–H functionalization of arenes: a new logic of organic synthesis
- Polyfluoroalkylated 2-ethoxymethylene- 3-oxo esters: synthesis and chemical properties overview
Articles in the same Issue
- Frontmatter
- In this issue
- Preface
- Research papers from the XXth Mendeleev Congress on General and Applied Chemistry
- Conference papers
- Light-controlled spin-state-switching rearrangements of transition metal complexes with photochromic ligands
- Hypoglycemic potential of cyclic guanidine derivatives
- Non-traditional Ziegler-Natta catalysis in α-olefin transformations: reaction mechanisms and product design
- Perspective tendencies in development of small scale processing of gas resources
- Cage amines in the metal–organic frameworks chemistry
- Hybrid metal complexes with opposed biological modes of action – promising selective drug candidates
- Electrochemical methods for synthesis of organoelement compounds and functional materials
- Monoterpenes as a renewable source of biologically active compounds
- Some new trends in the design of single molecule magnets
- Catalysis in a dispersion medium for the hydrogenation of aromatics and hydrodearomatization in oil refining
- Mesoporous organo-inorganic hybrid materials as hydrogenation catalysts
- Focused design of polypharmacophoric neuroprotective compounds: Conjugates of γ-carbolines with carbazole derivatives and tetrahydrocarbazole
- Nanomaterials for lithium-ion batteries and hydrogen energy
- Nucleophilic C–H functionalization of arenes: a new logic of organic synthesis
- Polyfluoroalkylated 2-ethoxymethylene- 3-oxo esters: synthesis and chemical properties overview