Abstract
Nitrogen-rich porous materials have outstanding gas sorption and separation capacity. Using cage amines in the synthesis of metal–organic frameworks is a simple approach for generating the free nitrogen donor centers within the channels of porous materials without the post-synthetic modification. 1,4-Diazabicyclo[2.2.2]octane has a linear arrangement of nitrogen centers and can be used as a linear linker for the design of porous MOF materials. Urotropine has four nitrogen atoms and can act as a tetrahedral four-connected, pyramidal three-connected or bent two-connected linker. Such a diversity of coordination possibilities enriches the structural chemistry of MOFs and allows obtaining the frameworks with unique secondary building units and topology. The presence of cage amines in the structure affects the sorption characteristics of the materials. They demonstrate high selectivity to CO2 and can participate as a heterogeneous base catalyst in the organic reactions. Besides that the cage-amine based metal–organic frameworks demonstrate photoluminescent properties and can be used as nanoreactors for photochemical transformations. These compounds are also an important object of thermodynamic studies helping us better understand the nature of host–guest interaction in the supramolecular systems.
Introduction
Metal-organic frameworks are an important class of modern porous materials and represent a particular structural and functional variety [1], [2]. They are built from metal centers of different geometries and polytopic organic ligands. MOF materials have high specific surface area in comparison to other inorganic and organic porous solids and show excellent gas sorption and separation characteristics [3], [4]. The synergy of metallic and organic blocks in MOFs leads to interesting catalytic [5], [6], magnetic [7], [8] and luminescent activity [9], [10]. The permanent porosity of many MOFs is not only important for gas sorption applications but can be effectively implemented in the drug delivery [11]. MOFs are found to be useful for chromatography and other analytical applications [12], [13]. They may play an important role in the biomedicine in the future [14].
Despite of some enthusiastic claims in the literature that the synthesis of MOFs is highly controllable and can be modulated simply by varying the organic ligands [15], the real experimental practice is much more complicated. Numerous parameters affect the formation of a desirable product. This includes the temperature and the heat rate, the pressure, the properties of the solvent, acidity of the reaction media, the humidity, mechanical treatment of the reaction mixture (sonication, stirring) etc. However, we cannot ignore the important role of the ligand geometry and functionality in the formation of the framework. It is difficult, if not impossible to foresee the exact structure of the resulting compound, but we can still predict certain functional characteristics of this material. For example, employing the ligand with aliphatic nitrogen lone-pair centers we can expect the high selectivity of the resulting framework towards gasses with high adsorption strength, like CO2. Indeed, the direct structural observations of adsorbed carbon dioxide in [Zn2(atz)2(ox)] (atz=3-amino-1,2,4-triazole, ox2−=oxalate), the results of chemical calculations indicate the strong interactions between CO2 and ligand’s NH2 fragment [16]. MOFs with aliphatic nitrogen also demonstrate catalytic activity in the Michael, transesterification [17] and Knoevenagel reactions [18]. Because of that MOFs with nitrogen-rich ligands are intensively investigated [19].
However, the number of porous MOFs with non-coordinated aliphatic nitrogen atoms is limited [20], [21], [22], [23], [24] since such centres tend to bind to metal centres during assembly of the framework material. Post-synthetic modification is another approach to introduce free Lewis basic centres, but this tends to reduce the porosity of the material. Also, in certain cases post-synthetic modification leads to the loss of structural integrity of the material and has a negative impact on the adsorption selectivity of the porous material and its effectiveness in molecular separations.
In this review we describe an original and simple approach for generating the free nitrogen donor centers within the channels of porous materials without the post-synthetic modification. This strategy is based on the use of aliphatic cage amines, namely diazabicyclooctane and hexamethylenetetramine (urotropine). 1,4-Diazabicyclo[2.2.2]octane has a linear arrangement of nitrogen centers and can be used as a linear linker for the design of porous MOF materials. Urotropine has four nitrogen atoms. Depending on the number of nitrogen atoms which participate in the coordination, it can act as a tetrahedral four-connected, pyramidal three-connected or bent two-connected linker [25]. Such a diversity of coordination possibilities enriches the structural chemistry of MOFs, while the non-coordinated nitrogen atoms may act as sorption or catalytic centers.
First we consider the family of MOF material [Zn2(bdc)2(dabco)] (bdc2−=1,4-benzenedicarboxylate, dabco=1,4-diazabicyclo[2.2.2]octane) and its derivatives. This particular diazobicyclooctane-based MOF materials have prominent sorption characteristics. Then we are going to draw an attention to the structural chemistry of urotropine-based MOFs and describe their functional properties.
Structural chemistry of [Zn2(bdc)2(dabco)]
The crystals [Zn2(bdc)2(dabco)]·4DMF·0.5H2O (1·4DMF·0.5H2O) can be obtained by heating the mixture of zinc nitrate hexahydrate, H2bdc and dabco in DMF [26]. This compound has a framework structure (Fig. 1a). The binuclear secondary building units {Zn2(COO)4} are united through bdc2− units to form the square-grid layers. The layers are connected to each other through dabco ligands forming the 3D structure with square-like pores. The framework belongs to pcu topology and has no interpenetration. It is interesting enough, that the terephthalic fragments bdc2− in the as-synthesized form are quite strongly bent, even though the bdc2− is generally considered to be a rigid ligand. The dabco bridging ligands are disordered in two orientations in the structure. The free-space of the framework is occupied by solvent guest molecules.
![Fig. 1:
(a) The view along fourfold axis of the metal–organic framework [Zn2(bdc)2(dabco)]·4DMF·0.5H2O (1·4DMF·0.5H2O); (b) Space-filling representation of evacuated framework [Zn2(bdc)2(dabco)] (1), view along the fourfold axis.](/document/doi/10.1515/pac-2016-1206/asset/graphic/j_pac-2016-1206_fig_015.jpg)
(a) The view along fourfold axis of the metal–organic framework [Zn2(bdc)2(dabco)]·4DMF·0.5H2O (1·4DMF·0.5H2O); (b) Space-filling representation of evacuated framework [Zn2(bdc)2(dabco)] (1), view along the fourfold axis.
According to the thermogravimetric analysis, the compound loses the guest molecules between 100°C and 200°C and start to decompose at 300°C. An activated sample obtained by heating the as-synthesized compound [Zn2(bdc)2(dabco)]·4DMF·0.5H2O at 100°C in vacuum retains its crystallinity and can be analyzed by the single-crystal diffraction methods. Like in the as-synthesized compound, the structure of the activated framework [Zn2(bdc)2(dabco)] (1) has disordered dabco ligands lying on the second-order crystallographic axes. The structure of activated material does not differ much from the as-synthesized form (Fig. 1b). However, the bridging terephthalate fragments are unbent in the activated material. The framework has tetragonal channels of 7.5×7.5 Å. The channels are connected to each other through transversal windows of 3.5×4 Å.
Dabco ligand plays an important structural role: its relatively small geometrical size causes the formation of a framework with small pores, but on the other hand it prevents the interpenetration. Nevertheless, the framework is highly porous having 62% of solvent accessible volume.
The straightening of the bridging terephthalate ligands in the structure of activated [Zn2(bdc)2(dabco)] results in a considerable increase of Zn2…Zn2 distances (10.93 Å) in the {Zn2(bdc)2} layers in comparison to as-synthesized form (10.65 Å). The unit cell specific volume increases from 1091.8 Å3 for [Zn2(bdc)2(dabco)]·4DMF·0.5H2O to 1147.6 Å3 for [Zn2(bdc)2(dabco)]. These structural changes are fully reversible and may occur in several cycles of solvent introduction/removal.
Adsorption properties of [Zn2(bdc)2(dabco)] and its analogs
The experiments on sorption of nitrogen and hydrogen gasses at low pressures and 77 K further confirm the permanent porosity of [Zn2(bdc)2(dabco)]. Its BET surface area is 1450 m2 g−1. The nitrogen sorption isotherm is fully reversible and belongs to the I type, which is typical for microporous materials. The data demonstrate the high saturation rate of the framework with nitrogen. Meanwhile the hydrogen sorption isotherm at 77 K shows no saturation even at 1 atm. The maximal measured uptake at 1 atm and 77 K is 226 mL g−1, that corresponds to 2 wt.% of hydrogen.
Furthermore, the sorption of methane was studied in details [27]. The sorption/desorption isotherms were collected at pressure up to 35 atm. The isotherms are reversible and belong to type I. The maximal methane uptake at the room temperature (296 K) is 137 mL mL−1 (12.2 wt.%) and corresponds to 4.4 molecules of methane per formula unit of [Zn2(bdc)2(dabco)]. The methane uptake is comparable to the values obtained for other MOFs and exceeds those for zeolites and activated carbon materials. For example, two isostructural compounds [Cu2(bdc)2(dabco)] and [Co2(bdc)2(dabco)] have close values of methane uptake (153 and 140 mL mL−1 correspondingly) [28], [29]. The saturation at 198 K is achieved at 220 mL mL−1 and corresponds to 6.7 molecules of CH4 per formula unit of [Zn2(bdc)2(dabco)]. From the variable-temperature data it was possible to calculate the methane heat of adsorption using the Clausius-Clapeiron equation. It makes 26 kJ mol−1 and exceeds the methane heat of adsorption calculated for inorganic sorbents [30], [31], but is close enough to the values obtained for other porous MOF materials [32], [33], [34].
The positions of the methane adsorption sites in [Zn2(bdc)2(dabco)] were investigated by the single-crystal X-ray diffraction technique. The activated crystal of [Zn2(bdc)2(dabco)] was sealed in a glass capillary filled with methane at 77 K. The diffraction was obtained using the synchrotron irradiation at 90 K. According to the obtained data (Fig. 2), the methane molecules are localized in three distinct centers (further denoted as A, B and C). The A centers lay on the reflection plane close to metallic centers {Zn2(COO)4}. If we consider the pores in [Zn2(bdc)2(dabco)] as a slightly distorted cube, containing eight vertexes {Zn2(COO)4}, eight edges of bdc2− and four edges of dabco ligands, this imaginary box will accommodate eight A centers. The methane molecules in B centers are located on the reflection planes between dabco and bdc2− ligands. Each pore contains 4 such centers. The third sorption site is located in the center of the pore. The intramolecular distances between the methane molecules in the A centers are 4.29 and 5.30 Å. The A and B centers are located pretty close to each other (A…B distance is 3.83 Å) and therefore probably cannot be occupied simultaneously. Thus, the structure was refined in the assumption of 0.5 occupancy of A and B sorption sites. We can interpret this as a formation of a superstructure of the guest methane molecules, where one half of all accessible pores have fully occupied A centers, while the rest half of the pores contain fully occupied B centers. The occupancy of the C center was refined as 0.69.
![Fig. 2:
(a) X-ray crystal structure of [Zn2(bdc)2(dabco)]·6.69CH4 (1·6.69CH4) with three methane sorption sites (A, B, and C) along the c axis, (b) side view of the framework along the b axis, (c) sorption sites A, (d) sorption sites B, (site A=orange, site B=green, site C=purple).](/document/doi/10.1515/pac-2016-1206/asset/graphic/j_pac-2016-1206_fig_016.jpg)
(a) X-ray crystal structure of [Zn2(bdc)2(dabco)]·6.69CH4 (1·6.69CH4) with three methane sorption sites (A, B, and C) along the c axis, (b) side view of the framework along the b axis, (c) sorption sites A, (d) sorption sites B, (site A=orange, site B=green, site C=purple).
These crystallographical data on the site occupancy have however the direct experimental confirmation. Indeed, according to the occupancies information, the total maximal amount of sorpted methane per formula unit in [Zn2(bdc)2(dabco)] should be 0.5·8+0.5·8+0.69=6.69. This value coincides with the data from the saturated methane sorption isotherm recorded at 198 K. The maximal uptake according to sorption data is 6.8 CH4 molecules per formula unit of [Zn2(bdc)2(dabco)].
The methane molecules in A interact with oxygen atoms of the binuclear fragments {Zn2(COO)4} (distance CH4…O=3.74 Å) and with an aromatic system of bdc2− (distance {C6H4}…CH4=3.33 Å). It is Van-der-Waals contacts. The methane molecules in B centers also form non-valent contacts with bdc2− rings (CH4…{C6H4}=3.99 Å). The methane molecules in the C center do not interact with the framework, but they have weak contacts with neighboring A and B centers (distances A…C=4.02 Å and B…C=3.91 Å).
The study of gas sorption in MOFs using the accurate single-crystal X-ray diffraction technique has a fundamental importance for understanding the gas adsorption. They are especially important because there are still only a few works on the crystallographic study of the gas adsorption in MOFs in the literature today [35], [36], [37].
[Zn2(bdc)2(dabco)] offers a unique opportunity to determine the influence of the internal surface functionalization on the MOF sorption properties. We obtained a number of ZBU analogs employing the functionalized terephthalate ligands [38].
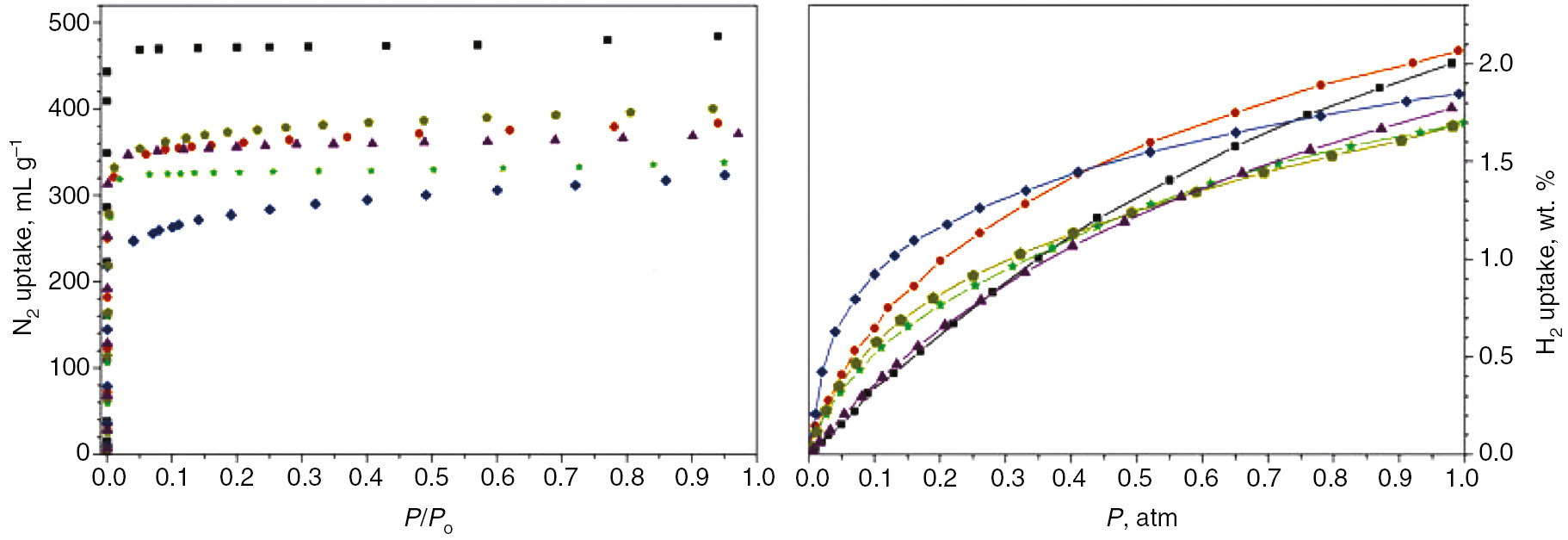
All the obtained compounds have the similar composition [Zn2(xdc)2(dabco)] (xdc2−=Me4bdc2−, ½Me4bdc2−+½bdc2−, Ph-bdc2−, F4bdc2−), similar framework topology and are permanently porous. Together with [Zn2(bdc)2(dabco)] they form one family of isoreticular frameworks. We investigated the sorption of nitrogen and hydrogen to compare it with the characteristics of parent framework [Zn2(bdc)2(dabco)]. The experimental data are summarized in Table 1.
Sorption characteristics of the [Zn2(xdc)2(dabco)] family.
| Compound | Surface area (BET), m2 g–1 | Pore volume, mL g–1 | N2 uptake, molecules per formula unit | H2 uptake, molecules per formula unit |
|---|---|---|---|---|
| [Zn2(bdc)2(dabco)] (1) | 1450 | 0.75 | 12.3 | 5.7 |
| [Zn2(bdc)(Me4bdc)(dabco)] | 1100 | 0.59 | 10.7 | 6.5 |
| [Zn2(Me4bdc)2(dabco)] | 920 | 0.50 | 9.9 | 6.2 |
| [Zn2(Ph-bdc)2(dabco)] | 1000 | 0.52 | 10.1 | 5.7 |
| [Zn2(F4bdc)2(dabco)] | 1070 | 0.57 | 11.9 | 6.3 |
All compounds become saturated with nitrogen in the low-pressure region up to 0.1 atm, and this is characteristic for microporous materials. The accessible pore volume varies from 0.50 mL g−1 for [Zn2(Me4bdc)2(dabco)] to 0.75 mL g−1 for [Zn2(bdc)2(dabco)], these values still overcome the corresponding characteristics of microporous zeolites (0.05–0.25 mL g−1). The specific BET surface area of the compounds varies from 920 m2 g−1 to 1450 m2 g−1. The introduction of the functional groups into the framework leads to some shrinking of the pores. Theoretically this should decrease the sorption characteristics of the compounds. However, the calculations show, that the decrease in the pore size and the specific surface area does not strongly effect on the nitrogen uptake. Furthermore, 1, the most porous compound in the family, sorbs the lesser amount of nitrogen in comparison to the denser frameworks.
These data show the functionalization can significantly increase the interaction potential between the gas molecules and the framework. The hydrogen adsorption plots of [Zn2(xdc)2(dabco)] have pronounced unsaturated profile, which is typical for porous materials. The reason for that is too big difference between the temperature of the sorption experiments (77 K) and actual very low boiling point of hydrogen (28.3 K). The slope of isotherms in the low-pressure area (Fig. 3) is related to Henry constant of adsorption. Thus the different slopes of isotherms observed for compounds indicate different binding constants of H2 with the surface. Using the Langmuir model the corresponding constants were calculated. Indeed the functionalization of [Zn2(bdc)2(dabco)] enhances the framework affinity to H2 in the low-pressure area. The methyl functional groups in [Zn2(Me4bdc)2(dabco)] have the most strong effect observed in the family. However, these binding sites play an important role only in the low-pressure area. At higher pressure (up to 10 atm) the hydrogen sorption depends more on the surface area of the materials, hence at low temperature (77 K) the hydrogen molecules form the monolayer with no regard to the binding strength with the surface. Extrapolating the hydrogen sorption isotherms to the higher pressure region, we can expect the higher values of the specific maximal uptake for more “open” (more porous) members of the family [(Zn2(bdc)2(dabco)] and [Zn2(F4bdc)2(dabco)].
![Fig. 3:
N2 (left) and H2 (right) adsorption isotherms of [Zn2(bdc)2(dabco)] (), [Zn2(Me4bdc)2(dabco)] (), [Zn2(bdc)(Me4bdc)(dabco)] (), [Zn2(ph-bdc)2(dabco)] (), [Zn2(F4bdc)2(dabco)] (), recorded at 77 K.](/document/doi/10.1515/pac-2016-1206/asset/graphic/j_pac-2016-1206_fig_023.jpg)
N2 (left) and H2 (right) adsorption isotherms of [Zn2(bdc)2(dabco)] (
), [Zn2(Me4bdc)2(dabco)] (
), [Zn2(bdc)(Me4bdc)(dabco)] (
), [Zn2(ph-bdc)2(dabco)] (
), [Zn2(F4bdc)2(dabco)] (
), recorded at 77 K.
On the other hand, the monolayer physisorption of hydrogen gas cannot be reached at room temperature even at about 100 atm pressure. Thus, under these conditions an effective hydrogen sorbent should have more binding sites, because the sorption energetics plays the crucial role prior to the formation of monolayers. In summary, this comparative study of the influence of functional groups on the hydrogen sorption is an important step towards understanding the hydrogen sorption in MOFs. The practical aspect of this research may help us to create the hydrogen solid-state accumulators in the future.
Benzene sorption in ZBU
[Zn2(bdc)2(dabco)] (1) can form various inclusion compounds as well. Treating the crystals of 1 with benzene results in the formation of compound 1·2C6H6. Its structure was determined by the single-crystal X-ray diffraction method. It is interesting to note, the introduction of benzene molecules results in some distortion of the host framework (Fig. 4). The initial square grid of the terephthalate layers {Zn2(bdc)2} becomes rhombic. Such a structural distortion does not affect the Zn2…Zn2 distances in the framework.
![Fig. 4:
The structures of [Zn2(bdc)2(dabco)]·4DMF·0.5H2O (left), [Zn2(bdc)2(dabco)] (center) and [Zn2(bdc)2(dabco)]·2C6H6 (right).](/document/doi/10.1515/pac-2016-1206/asset/graphic/j_pac-2016-1206_fig_024.jpg)
The structures of [Zn2(bdc)2(dabco)]·4DMF·0.5H2O (left), [Zn2(bdc)2(dabco)] (center) and [Zn2(bdc)2(dabco)]·2C6H6 (right).
Additionally, we studied the thermodynamics of the benzene sorption/desorption process in [Zn2(bdc)2(dabco)]. The benzene sorption isotherms were collected in the temperature range 25–90°C [39]. The maximum benzene content at room temperature from these data corresponds to the empirical formula [Zn2(bdc)2(dabco)]·3.8C6H6. However, the value of maximal uptake strongly depends on the sample pre-history, especially on the thoroughness of DMF removal from the initial substance. The average heat of sorption of 1 mol of gaseous benzene is –52.0 kJ/(mol of [Zn2(bdc)2(dabco)]) for the composition range from [Zn2(bdc)2(dabco)] to [Zn2(bdc)2(dabco)]·3.8C6H6 and –32.7 kJ/(mol of [Zn2(bdc)2(dabco)]·2.36C6H6) for the composition range from [Zn2(bdc)2(dabco)]·2.36C6H6 to [Zn2(bdc)2(dabco)]·3.8C6H6. From these experiments it is possible to estimate the heat of benzene sorption by coordination polymer [Zn2(bdc)2(dabco)] up to the composition [Zn2(bdc)2(dabco)]·2.36C6H6. The average heat of sorption of 1 mol of gaseous benzene for this composition range is 63.8 kJ/(mol [Zn2(bdc)2(dabco)]·2.36C6H6). The provided data bring evidence that benzene molecules are markedly nonequivalent in terms of the binding strength with the framework indicating the presence of several sorption sites in the framework.
Urotropine-based MOFs. Role of urotropine in the design of MOFs
The use of the urotropine as an auxiliary ligand could significantly diversify the possible geometries of the resulting frameworks since it can act as a mono-, di-, tri- or even a tetratopic ligand. On the other hand it is a relatively strong organic base and its introduction in the reaction mixture can affect the acidity of the media. Thus urotropine can act not only as a ligand but as a mediator in the synthesis of MOFs. The following examples illustrate this double role of the urotropine in the chemistry of metal-organic frameworks.
Heating the mixture of Cd(NO3)2·4H2O, 2,5-furandicarboxylic acid and urotropine (the reagents were taken in 4:6:1 ratio) in DMF yields colorless crystals of 2D-MOF [Cd2(dmf)3(fdc)2] (2) [40]. This layered coordination polymer is built from binuclear {Cd2(dmf)3(COO)4} fragments united by fdc2− ligands (Fig. 5). The 2D sheets are densely packed forming a double-layered structure. The urotropine did not present in the structure neither as a ligand nor as a guest molecule, but the synthesis cannot be reproduced in the absence of urotropine.
![Fig. 5:
The layer (left) and the packing of the double layers (right) in the structure of [Cd2(dmf)3(fdc)2] (2).](/document/doi/10.1515/pac-2016-1206/asset/graphic/j_pac-2016-1206_fig_025.jpg)
The layer (left) and the packing of the double layers (right) in the structure of [Cd2(dmf)3(fdc)2] (2).
Urotropine acts as a modulator in the synthesis of another layered coordination polymer [Zn2(Nmp)2 (tdc)2]·2NMP·0.5H2O (3) [41]. The structure is constructed from the paddle-wheel secondary building blocks {Zn2(Nmp)2(COO)4} united by tdc2− fragments (Fig. 6). The layers have square windows with dimensions 6×6 Å. The interlayer space is filled with NMP and water molecules. However, the use of DMF instead of NMP in this reaction yields to completely different product [Zn6(H2O)3(dmf)6(ur)2(tdc)6]·4H2O (4) [42]. This framework contains a unique binuclear secondary building unit {Zn2(dmf)(μ2-H2O)(μ2-RCOO)2(RCOO)2} (Fig. 7). This SBU has been never reported to occur in synthetic 3D frameworks, but there are few examples of molecular complexes with the same coordination mode [43]. Being united together by urotropine (acting as 3-topic linkers) and tdc2− ligands, these SBUs form a 3D network containing small voids with trapped disordered water (four guest water molecules per formula unit). The framework topology can be described as a binodal (3,6-c) net. The reaction of Cd(NO3)2·4H2O, H2 tdc and ur under the same conditions yields the isostructural cadmium analog of formula [Cd6(H2O)3(dmf)6(ur)2(tdc)6]·2H2O.
![Fig. 6:
The structure of the secondary building unit (left) and the structure of the layer (right) in compound [Zn2(Nmp)2(tdc)2]· 2NMP·0.5H2O (3).](/document/doi/10.1515/pac-2016-1206/asset/graphic/j_pac-2016-1206_fig_026.jpg)
The structure of the secondary building unit (left) and the structure of the layer (right) in compound [Zn2(Nmp)2(tdc)2]· 2NMP·0.5H2O (3).
![Fig. 7:
The structure of [Zn6(H2O)3(dmf)6(ur)2(tdc)6]·4H2O (4): the secondary building unit (left) and the fragment of the framework (right).](/document/doi/10.1515/pac-2016-1206/asset/graphic/j_pac-2016-1206_fig_027.jpg)
The structure of [Zn6(H2O)3(dmf)6(ur)2(tdc)6]·4H2O (4): the secondary building unit (left) and the fragment of the framework (right).
Thus urotropine can act as a modulator and as a ligand in the same system, depending on solvent which was used in the reaction. The possible reason for this may lay in the nature of electrostatic interactions between the ligands and solvent molecules during the process of self-assembly of the coordination polymers.
Synthesis, structure and step-by-step activation of [Zn4(dmf)(ur)2(ndc)4]·5DMF·H2O
Urotropine is not simply a bridging ligand. It has nitrogen lone-pair centers, which can act as active sites for gas sorption and catalysis. Thus the permanently porous urotropine-containing MOFs are especially interesting for the development of effective gas storage and separation techniques. The influence of urotropine nitrogen centers on the MOFs functional properties can be demonstrated by the example of two porous coordination polymers: biporous [Zn4(dmf)(ur)2(ndc)4] (ndc2−=2,6-naphtalenedicarboxylate) and microporous [Zn11(H2O)2(ur)4(bpdc)11] (bpdc2−=4,4′-byphenildicarboxylate).
The colorless prismatic crystals of [Zn4(dmf)(ur)2(ndc)4]·5DMF·H2O (5·5DMF·H2O) were obtained by heating the equimolar mixture of Zn(NO3)2·6H2O, 2,6-naphtalenedicarboxylic acid and urotropine in DMF at 100°C for 3 days [44]. According to the single-crystal X-ray diffraction data, the structure of compound 5 contains a framework built from binuclear secondary building units of two types connected by linker ligands of urotropine and ndc2− (Fig. 8a,b).
![Fig. 8:
The structure of two secondary building units in [Zn4(dmf)(ur)2(ndc)4] (5) (a); view of the framework along c axis (b) and a detailed representation of α- and β-channels (c).](/document/doi/10.1515/pac-2016-1206/asset/graphic/j_pac-2016-1206_fig_028.jpg)
The structure of two secondary building units in [Zn4(dmf)(ur)2(ndc)4] (5) (a); view of the framework along c axis (b) and a detailed representation of α- and β-channels (c).
The framework contains a system of non-intersecting channels of two types (Fig. 8c). The larger α-channels with the size of 9.5×11 Å are hexagonal in cross-section and have basic nature since their walls contain non-coordinated nitrogen centers of the urotropine ligands. On the contrary, the smaller β-channels (4×5 Å) have only Zn2+ Lewis acidic centers. Their internal space is fully occupied by DMF molecules coordinated to Zn atoms. Treating as-synthesized form 5·5DMF·H2O with dichloromethane for 3 days with subsequent heating in the dynamic vacuum leads to compound 5 with empty α-channels yet occupied β-channels. The nitrogen sorption experiments and PXRD confirmed its permanent porosity. The calculated BET surface area was found to be 820 m2 g−1.
The common solvent-exchange or thermal activation techniques are not suitable for the direct removal of coordinated dmf molecules from the β-channels. Meanwhile, compound 5 reacts with the acetone solution of sulfur nitride forming an orange crystalline inclusion compound [Zn4(S4N4)(ur)2(ndc)4]·xMe2CO. The single-crystal X-ray analysis reveals S4N4 molecules selectively substitute DMF ligands in β-channels. There are only electrostatic interactions between S4N4 molecules and the walls of the β-channels (Fig. 9), thus they are labile enough and can be substituted for acetone at a higher temperature (50°C). Its activation in a dynamic vacuum for 12 h leads to the fully activated metal–organic framework 5′ [Zn4(ur)2(ndc)4], which has empty α- and β-channels. Alike compound 5 coordination polymer 5′ is permanently porous, and demonstrates an increased surface area (111 m2 g−1, BET) in comparison to 5 (820 m2 g−1). Thus the full activation of the framework 5 is a rare example of step-by-step activation of the MOF material mediated by S4N4 molecules.
![Fig. 9:
The spatial arrangement of S4N4 molecules within β-channels in [Zn4(S4N4)(ur)2(ndc)4]·xMe2CO. The shortest intermolecular contacts (Å) are marked by dotted lines.](/document/doi/10.1515/pac-2016-1206/asset/graphic/j_pac-2016-1206_fig_029.jpg)
The spatial arrangement of S4N4 molecules within β-channels in [Zn4(S4N4)(ur)2(ndc)4]·xMe2CO. The shortest intermolecular contacts (Å) are marked by dotted lines.
The unique biporous nature of framework 5′ and the remarkable difference in the host affinity between the α- and β-channels was demonstrated by the highly selective separation of S4N4 and benzene. The saturation of fully activated compound 5′ with 0.05 M S4N4 solution in benzene resulted in the formation of orange crystals, their structure was determined by the single-crystal X-ray crystallography. Each component of the S4N4–C6H6 mixture is accommodated in the particular compartment of the biporous structure. The β-channels selectively absorb S4N4 molecules from the mixture, while the benzene molecules fill exclusively the α-channels.
Synthesis and structure of [Zn11(H2O)2(ur)4(bpdc)11]
Microporous coordination polymer [Zn11(H2O)2(ur)4(bpdc)11] (6) was obtained under similar conditions to the synthesis of 1, but using 4,4′-biphenyldicarboxylic acid, instead of H2ndc [45].
According to the single-crystal X-ray diffraction data, compound 6 has a framework structure, built from trinuclear {Zn3(COO)6}, binuclear {Zn2(COO)4} and mononuclear {Zn(H2O)(COO)2} secondary building units connected by organic linkers. It contains a system of intersected channels with characteristic aperture 7×9 Å, which are filled with solvent guest molecules in the as-synthesized form (Fig. 10). The guest-free sample was prepared by soaking the as-synthesized crystals in cyclohexane with the following heating in the dynamic vacuum.
![Fig. 10:
The structure of trinuclear (a), dinuclear (b) and mononuclear (c) secondary building blocks in [Zn11(H2O)2(ur)4(bpdc)11] (6) and the view of the framework along b axis (d).](/document/doi/10.1515/pac-2016-1206/asset/graphic/j_pac-2016-1206_fig_030.jpg)
The structure of trinuclear (a), dinuclear (b) and mononuclear (c) secondary building blocks in [Zn11(H2O)2(ur)4(bpdc)11] (6) and the view of the framework along b axis (d).
The permanent porosity of compound 6 was demonstrated by the nitrogen sorption experiments. The calculated BET surface area made up 550 m2 g−1.
Selective gas sorption by urotropine-containing MOFs
The internal surface of the channels in the activated materials 5 and 6 is decorated with non-coordinated N-atoms of urotropine ligand. These lone-pair centers can enhance the affinity of the frameworks towards gasses with high adsorption strength (acetylene or CO2). In order to check this hypothesis, we recorded sorption/desorption isotherms of CO, CO2, and C2H2 at two temperatures (298 and 273 K) for both metal-organic coordination polymers (Fig. 11).
![Fig. 11:
Sorption and desorption isotherms of CO (blue), CO2 (orange) and C2H2 (green) by compounds 1 (a) and 2 (b) recorded at 273 K (top) and 298 K (bottom). IAST simulations for binary gas mixtures A–B, where A=C2H2, B=CO2 (red) and A=CO2, B=CO (blue), for compounds [Zn4(dmf)(ur)2(ndc)4] (5) (c), and [Zn11(H2O)2(ur)4(bpdc)11] (6) (d) at 273 K (dashed) and 298 K (solid). Ptotal=1 bar.](/document/doi/10.1515/pac-2016-1206/asset/graphic/j_pac-2016-1206_fig_031.jpg)
Sorption and desorption isotherms of CO (blue), CO2 (orange) and C2H2 (green) by compounds 1 (a) and 2 (b) recorded at 273 K (top) and 298 K (bottom). IAST simulations for binary gas mixtures A–B, where A=C2H2, B=CO2 (red) and A=CO2, B=CO (blue), for compounds [Zn4(dmf)(ur)2(ndc)4] (5) (c), and [Zn11(H2O)2(ur)4(bpdc)11] (6) (d) at 273 K (dashed) and 298 K (solid). Ptotal=1 bar.
Both compounds show significantly lower affinity to CO, in comparison to CO2 and C2H2. For the quantitative characterization of the framework’s selectivity towards above-named gasses we calculated selectivity factors (SF) from the Henry constants ratios (Table 2).
Selectivity factors (SF) for separation of the binary mixture by compounds 5 and 6.
| Compound | Temperature | SF for CO2 over CO | SF for C2H2 over CO2 |
|---|---|---|---|
| 5 | 273 K 298 K |
14.9 11.4 |
2.0 2.0 |
| 6 | 273 K 298 K |
32.9 16.3 |
1.1 1.7 |
According to these data both compounds show good sorption selectivity for carbon dioxide in CO2–CO gas pair and for acetylene in C2H2–CO2 gas pair. Moreover, compound 6 demonstrates one of the highest selectivity to CO2 over CO reported for microporous materials.
To model the sorption of binary gas mixtures (CO2/CO and C2H2/CO2) we used an ideal adsorbed solution theory (IAST). The characteristic r-shaped lines for CO2 adsorption (blue lines on Fig. 11c,d) indicate high efficiency for carbon dioxide uptake from CO2/CO mixtures. For example, a 20% CO2 content of the blast furnace exhaust gas can be captured with 95% efficiency using porous compound 2 under ambient conditions (298 K, 1 atm).
The crucial role of nitrogen adsorption sites in the framework selectivity was proved by the DFT calculations as well. In the case of C2H2 and CO2 it was found that the excess charge was localized on the N-atoms of the urotropine fragment (Fig. 12). On the contrary, in case of CO the charge density isosurface shows only charge redistribution in the adsorbed CO molecule indicating pure van der Waals interaction between N-centers of the framework and guest gas molecules. The results of calculations are in agreement with the observed experimental data for 5 and rationalize the experimentally obtained heats of CO2 and C2H2 adsorption in 5 and the observed independence of the heat of adsorption of CO with gas loading. Since 6 demonstrates similar sorption behavior, one can assume its selectivity for CO2 and C2H2 over CO has the same physical and chemical basis.
![Fig. 12:
View of charge density isosurfaces for the interactions of (a) C2H2, (b) CO2 and (c) CO with the urotropine linker in [Zn4(dmf)(ur)2(ndc)4] (5) for the most favorable intermolecular interactions. Red represents an accumulation of electron density and blue a depletion of electron density.](/document/doi/10.1515/pac-2016-1206/asset/graphic/j_pac-2016-1206_fig_032.jpg)
View of charge density isosurfaces for the interactions of (a) C2H2, (b) CO2 and (c) CO with the urotropine linker in [Zn4(dmf)(ur)2(ndc)4] (5) for the most favorable intermolecular interactions. Red represents an accumulation of electron density and blue a depletion of electron density.
Catalytic properties of [Zn4(dmf)(ur)2(ndc)4]
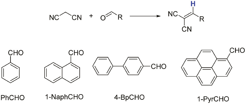
The nitrogen atoms located on the internal surfaces of compound 5 can act as centers for basic catalysis [46]. Thus, along with the outstanding sorption characteristics compound 5 demonstrates catalytic activity in the reaction of Knoevenagel condensation between some aromatic aldehydes and malononitrile:
The reaction rate was controlled by the checking the NMR spectra of the aliquots from the reaction mixture.
Following this protocol, we could achieve 95% conversion after 9 h using activated compound 5 (10 mol.% of 5, 40°C). Based on the assumption that all non-coordinated nitrogen atoms of urotropine act as catalytically active sites, we determined the turnover frequency of the catalyst (N) for these reaction conditions. It is 2.4 and indicates the catalytic reaction. The reaction yield depends strongly on the temperature and amount of the catalyst. The reaction yield at room temperature with 5 mol.% of 5 is only 17% after 24 h. In the presence of 10 mol.% of 5 the yield attains 29% after 24 h. The turnover frequency of the catalyst in these cases is, however, smaller than 1. This means compound 5 participates as a stoichiometric reagent or the catalytic sites are rapidly blocked by the reaction products under these conditions.
Compound 5 is a size-selective catalyst. While the reaction rates of PhCHO, 1-NaphCHO, 4-BpCHO, and 1-PyrCHO reaction with malononitrile are equally high in the homogeneous conditions, we observed totally different situation under heterogeneous conditions using [Zn4(dmf)(ur)2(ndc)4] as a catalyst. The highest yield can be achieved in the reaction with benzaldehyde. At the same time, the yields of the reactions with other three larger aldehydes are comparable and significantly lower than that in the case of PhCHO. It is most likely that the dimensions of benzaldehyde molecules allow the compound to diffuse easily to the channels of the coordination polymer [Zn4(dmf)(ur)2(ndc)4] and to interact with the basic sites of nitrogen, whereas the diffusion of 1-NaphCHO, 4-BpCHO, and 1-PyrCHO is more difficult and the catalytic reaction occurs on the external surface of [Zn4(dmf)(ur)2(ndc)4] crystals.
The heterogeneous nature of catalysis in all experiments was proved by the filtration test. The stability of the catalyst was controlled by PXRD.
Some aspects of [Zn4(dmf)(ur)2(ndc)4] host-guest chemistry
Inclusion compounds of aromatics. The luminescent behavior
The capacious α-channels within the framework 5 are able to accommodate much larger molecules than CO2 or acetylene. It forms the inclusion compounds with various organic and organometallic compounds, such as benzene, nitrobenzene, toluene, ferrocene, trans-stilbene and photoactive diarylethene derivatives. The inclusion compounds can be obtained either by simple mixing the crystals of 5 with liquid aromatic substances (benzene, toluene, nitrobenzene) or by heating the mixture of solid substances. In most cases, the products retained their crystallinity and it was possible to structurally characterize the obtained adducts.
While investigating the photoluminescent properties of compound 1 and its host-guest adducts we discovered interesting guest-dependent alterations in the luminescence intensity (Fig. 13). Compound 1 itself demonstrates strong blue emission with broad maximum at λ=430 nm (λex=370 nm). The formation of the host-guest systems with benzene, ferrocene and nitrobenzene did not change the peak’s position but dramatically affected its intensity. After the immersion of the guest-free framework into the liquid benzene and formation of 1·6C6H6, the luminescence intensity increased, whereas the formation of the inclusion compounds with ferrocene 1·4Fe(Cp)4 or nitrobenzene 1·2.5C6H5NO2 causes practically full luminescence quenching. Such a behavior makes compound 1 a promising candidate for sensor applications of nitroaromatic and poisonous organometallic compounds.
![Fig. 13:
Solid-state luminescence spectra of compound [Zn4(dmf)(ur)2(ndc)4] (5) and its adducts with benzene, ferrocene and nitrobenzene.](/document/doi/10.1515/pac-2016-1206/asset/graphic/j_pac-2016-1206_fig_034.jpg)
Solid-state luminescence spectra of compound [Zn4(dmf)(ur)2(ndc)4] (5) and its adducts with benzene, ferrocene and nitrobenzene.
Thermal properties of the inclusion compounds
Several inclusion compounds of framework 5 including the as-synthesized form [Zn4(dmf)(ur)2(ndc)4]· 5DMF·H2O were analyzed by thermogravimetry methods to study their kinetic stability.
The DTG curve of the DMF removal from the as-synthesized form [Zn4(dmf)(ur)2(ndc)4]·5DMF·H2O is monotonous, but the detailed analysis of the experimental data indicated multistage decomposition process [47]. It includes two consecutive stages. At the first step the compound loses water and DMF molecules forming an intermediate phase [Zn4(dmf)(ur)2(ndc)4]·2DMF. At the second step this kinetically hindered phase transforms into guest-free framework [Zn4(dmf)(ur)2(ndc)4]. The single crystals of the as-synthesized form transform with elastic deformation into the single crystals of the framework without destruction of the matrix structure.
The thermal decomposition of benzene (5·6C6H6) and toluene (5·4C6H5CH3) inclusion compounds has a similar mechanism and includes two consecutive reactions. The intermediates [Zn4(dmf)(ur)2(ndc)4]·5.1C6H6 and [Zn4(dmf)(ur)2(ndc)4]·3C6H5CH3 are kinetically hindered phases [48]. The inclusion compound with benzene is more stable than the compound with toluene. One might suppose the inverse relation between molar masses (78.11 and 92.14 g mol−1), the boiling points (80 and 110°C) and the evaporation heats (33.85 and 37.99 kJ mol−1). The lesser stability of the toluene inclusion compound may relate to the geometrical shape of the toluene molecules. Toluene molecules are bulkier than benzene, at the same time they have a lower point symmetry. This may result in the weaker intermolecular bonds between the toluene molecules and the intrinsic surfaces of the framework. These data are another proof that the kinetic stability of the inclusion compounds does not depend on the thermodynamic parameters of the evaporation (temperature Tvap and heat ∆Hvap) of the guest molecules.
In addition to thermogravimetric data, the benzene sorption was analyzed by the methods of chemical thermodynamics [49]. According to isopiestic experiments, the maximal benzene uptake is 7 C6H6 molecules per formula unit, what is higher than the result obtained from the single-crystal X-ray diffraction experiments (six benzene molecules per formula unit). While investigating the desorption process in the series of inclusion compounds [Zn4(dmf)(ur)2(ndc)4]·xC6H6·yH2O, it was possible to determine two types of desorption processes, since their thermodynamic characteristics were significantly changed with the temperature. For instance, the enthalpy of H2O desorption in the temperature interval 316–345 K makes 47.7±2.0 kJ mol−1, while in the temperature interval of 337–384 K it is 19.04±1.3 kJ mol−1. This may indicate the presence of at least two different sorption sites on the internal surface of the MOF material [49].
Inclusion compounds with photoactive molecules
Contrary to the case of benzene or nitrobenzene, the luminescent spectrum of the trans-stilbene (trans-st) inclusion compound 5·3 trans-st differs from both solid-state spectra of pristine trans-stilbene and compound 5, which indicates the significant interaction between the framework and the guest molecules [50] (Fig. 14).
![Fig. 14:
Solid-state luminescence spectra of trans-stilbene, compound [Zn4(dmf)(ur)2(ndc)4] (5) and its adduct with trans-stilbene.](/document/doi/10.1515/pac-2016-1206/asset/graphic/j_pac-2016-1206_fig_035.jpg)
Solid-state luminescence spectra of trans-stilbene, compound [Zn4(dmf)(ur)2(ndc)4] (5) and its adduct with trans-stilbene.
The inclusion compound 5·3 trans-st was obtained by heating the mixture of 5 and 10-fold excess of trans-stilbene in an evacuated ampoule for 24 h at 105°C. The orange crystals of the obtained adduct were washed with acetonitrile and analyzed by the X-ray single-crystal technique. According to the structural data, there are 3 trans-stilbene molecules per formula unit of 5.
Since trans-stilbene is a well-known photoactive molecule, it was interesting for us to investigate, how the interactions between the framework and the incapsulated trans-stilbene affect its photochemical behavior. The solid-state photochemical reaction was controlled by the UV spectroscopy. In much the same way as the pristine trans-stilbene, only a decrease of the absorbance in the range of 260–340 nm during the reaction was observed, which indicates the trans-to-cis isomerization of the incapsulated stilbene. The quantum yield of the isomerization was found to be 0.2, which is in order of magnitude higher than for pristine trans-stilbene (ϕ=0.008). Therefore the different spatial arrangement of the stilbene molecules within the channels of the framework 5 promotes the photochemical reaction, which makes compound 5 to be an effective photochemical reactor at a molecular level.
Conclusions
Cage amines play an important role in the modular synthesis of metal–organic frameworks. As organic bases, they can act both as mediators in the formation of the certain MOFs and as polytopic ligands. MOFs with cage amine ligands have rich structural chemistry. They have layered or framework structures of various topological types. Porous cage amine-containing MOFs demonstrate good sorption characteristics and can be employed as facile model objects for understanding the mechanism of hydrogen, methane, carbon dioxide, acetylene sorption. Alongside the gas adsorption, these materials are able to form different inclusion compounds. Their structural and physicochemical investigation is not only of the fundamental importance. The formation of certain host-guest systems with these MOFs may affect the photoluminescence properties of the frameworks, this makes cage amine-containing MOFs be prominent candidates for molecular detection.
Article note
A collection of invited papers based on presentations at the XX Mendeleev Congress on General and Applied Chemistry (Mendeleev XX), held in Ekaterinburg, Russia, September 25–30 2016.
Funding source: Russian Science Foundation
Award Identifier / Grant number: 14-23-00013
Funding statement: The authors thank the Russian Science Foundation for the financial support (Grant No. 14-23-00013).
References
[1] M. Schröder, ed. Functional Metal-Organic Frameworks: Gas Storage, Separation and Catalysis. Springer, Berlin, Heidelberg (2010).10.1007/978-3-642-14613-8Search in Google Scholar
[2] H. Furukawa, K. E. Cordova, M. O’Keeffe, O. M. Yaghi. Science. 341, 974 (2013).10.1126/science.1230444Search in Google Scholar
[3] J.-R. Li, R. J. Kuppler, H.-C. Zhou. Chem. Soc. Rev.38, 1477 (2009).10.1039/b802426jSearch in Google Scholar
[4] B. Li, H. Wang, B. Chen. Chem. Asian J.9, 1474 (2014).10.1002/asia.201400031Search in Google Scholar
[5] O. A. Kholdeeva. Catal. Today. 278, 22 (2016).10.1016/j.cattod.2016.06.010Search in Google Scholar
[6] L. Ma, C. Abney, W. Lin. Chem. Soc. Rev.38, 1248 (2009).10.1039/b807083kSearch in Google Scholar
[7] K. Barthelet, J. Marrot, D. Riou, G. Férey. Angew. Chem. Int. Ed.41, 281 (2002).10.1002/1521-3773(20020118)41:2<281::AID-ANIE281>3.0.CO;2-YSearch in Google Scholar
[8] M. Kurmoo. Chem. Soc. Rev.38, 1353 (2009).10.1039/b804757jSearch in Google Scholar
[9] Y. Cui, Y. Yue, G. Qian, B. Chen. Chem. Rev.112, 1126 (2012).10.1021/cr200101dSearch in Google Scholar
[10] M. D. Allendorf, C. A. Bauer, R. K. Bhakta, R. J. T. Houk. Chem. Soc. Rev.38, 1330 (2009).10.1039/b802352mSearch in Google Scholar
[11] R. C. Huxford, J. Della Rocca, W. Lin. Curr. Opin. Chem. Biol.14, 262 (2010).10.1016/j.cbpa.2009.12.012Search in Google Scholar
[12] Z. Gu, C. Yang, N. Chang, X. Yan. Acc. Chem. Res.45, 734 (2012).10.1021/ar2002599Search in Google Scholar PubMed
[13] S. E. Miller, M. H. Teplensky, P. Z. Moghadam, D. Fairen-Jimenez. Interface Focus6, 20160027 (2016).10.1098/rsfs.2016.0027Search in Google Scholar PubMed PubMed Central
[14] M. Giménez-Marqués, T. Hidalgo, C. Serre, P. Horcajada. Coord. Chem. Rev.307, 342 (2016).10.1016/j.ccr.2015.08.008Search in Google Scholar
[15] M. O’Keeffe. Chem. Soc. Rev.38, 1215 (2009).10.1039/b802802hSearch in Google Scholar PubMed
[16] R. Vaidhyanathan, S. S. Iremonger, G. K. H. Shimizu, P. G. Boyd, S. Alavi, T. K. Woo. Science330, 650 (2010).10.1126/science.1194237Search in Google Scholar PubMed
[17] M. Savonnet, S. Aguado, U. Ravon, D. Bazer-Bachi, V. Lecocq, N. Bats, C. Pinel, D. Farrusseng. Green Chem.11, 1729 (2009).10.1039/b915291cSearch in Google Scholar
[18] J. Gascon, U. Aktay, M. Hernandez-Alonso, G. Vanklink, F. Kapteijn. J. Catal.261, 75 (2009).10.1016/j.jcat.2008.11.010Search in Google Scholar
[19] P.-Z. Li, Y. Zhao. Chem. Asian J.8, 1680 (2013).10.1002/asia.201300121Search in Google Scholar PubMed
[20] J. K. Clegg, S. S. Iremonger, M. J. Hayter, P. D. Southon, R. B. Macquart, M. B. Duriska, P. Jensen, P. Turner, K. a Jolliffe, C. J. Kepert, G. V Meehan, L. F. Lindoy. Angew. Chem. Int. Ed.49, 1075 (2010).10.1002/anie.200905497Search in Google Scholar PubMed
[21] J. K. Clegg, L. F. Lindoy, J. C. McMurtrie, D. Schilter. Dalton Trans.25, 3114 (2006).10.1039/B517274HSearch in Google Scholar
[22] S. Zheng, M. Tong, R. Fu, X. Chen, S.-W. Ng. Inorg. Chem.40, 3562 (2001).10.1021/ic001237zSearch in Google Scholar PubMed
[23] Q.-Y. Zhang, K.-F. Ma, H.-P. Xiao, X.-H. Li, Q. Shi. J. Solid State Chem.215, 80 (2014).10.1016/j.jssc.2014.03.026Search in Google Scholar
[24] B. Barszcz, J. Masternak, W. Sawka-Dobrowolska. Dalton Trans.42, 5960 (2013).10.1039/c3dt32987aSearch in Google Scholar PubMed
[25] A. M. Kirillov. Coord. Chem. Rev.255, 1603 (2011).10.1016/j.ccr.2011.01.023Search in Google Scholar
[26] D. N. Dybtsev, H. Chun, K. Kim. Angew. Chemie Int. Ed.43, 5033 (2004).10.1002/anie.200460712Search in Google Scholar PubMed
[27] H. Kim, D. G. Samsonenko, S. Das, G.-H. Kim, H.-S. Lee, D. N. Dybtsev, E. A. Berdonosova, K. Kim. Chem. An Asian J.4, 886 (2009).10.1002/asia.200900020Search in Google Scholar PubMed
[28] H. Wang, J. Getzschmann, I. Senkovska, S. Kaskel. Microporous Mesoporous Mater.116, 653 (2008).10.1016/j.micromeso.2008.05.037Search in Google Scholar
[29] K. Seki, W. Mori. J. Phys. Chem. B106, 1380 (2002).10.1021/jp0130416Search in Google Scholar
[30] Y. He, N. A. Seaton. Langmuir22, 1150 (2006).10.1021/la052237kSearch in Google Scholar PubMed
[31] J. A. Dunne, M. Rao, S. Sircar, R. J. Gorte, A. L. Myers. Langmuir12, 5896 (1996).10.1021/la960496rSearch in Google Scholar
[32] S. Ma, H.-C. Zhou. J. Am. Chem. Soc.128, 11734 (2006).10.1021/ja063538zSearch in Google Scholar PubMed
[33] P. L. Llewellyn, S. Bourrelly, C. Serre, A. Vimont, M. Daturi, L. Hamon, G. De Weireld, J. Chang, D. Hong, Y. K. Hwang, S. H. Jhung. Langmuir18, 7245 (2008).10.1021/la800227xSearch in Google Scholar PubMed
[34] S. Bourrelly, P. L. Llewellyn, C. Serre, F. Millange, T. Loiseau, G. Férey. J. Am. Chem. Soc.127, 13519 (2005).10.1021/ja054668vSearch in Google Scholar PubMed
[35] X.-L. Hu, Q.-H. Gong, R.-L. Zhong, X.-L. Wang, C. Qin, H. Wang, J. Li, K.-Z. Shao, Z.-M. Su. Chem. A Eur. J.21, 7238 (2015).10.1002/chem.201406495Search in Google Scholar PubMed
[36] J. Sotelo, C. H. Woodall, D. R. Allan, E. Gregoryanz, R. T. Howie, K. V. Kamenev, M. R. Probert, P. A. Wright, S. A. Moggach. Angew. Chemie Int. Ed.54, 13332 (2015).10.1002/anie.201506250Search in Google Scholar PubMed
[37] E. J. Carrington, I. J. Vitórica-Yrezábal, L. Brammer. Acta Crystallogr. Sect. B Struct. Sci. Cryst. Eng. Mater.70, 404 (2014).10.1107/S2052520614009834Search in Google Scholar PubMed PubMed Central
[38] H. Chun, D. N. Dybtsev, H. Kim, K. Kim. Chem. A Eur. J.11, 3521 (2005).10.1002/chem.200401201Search in Google Scholar PubMed
[39] E. A. Ukraintseva, A. Y. Manakov, D. G. Samsonenko, S. A. Sapchenko, E. Y. Semitut, V. P. Fedin. J. Incl. Phenom. Macrocycl. Chem.77, 205 (2013).10.1007/s10847-012-0234-5Search in Google Scholar
[40] E. S. Saparbaev, S. A. Sapchenko, D. G. Samsonenko, D. N. Dybtsev, V. P. Fedin. Russ. Chem. Bull.64, 613 (2015).10.1007/s11172-015-0907-5Search in Google Scholar
[41] S. A. Sapchenko, E. S. Saparbaev, D. G. Samsonenko, D. N. Dybtsev, V. P. Fedin. Russ. J. Coord. Chem.39, 549 (2013).10.1134/S1070328413080071Search in Google Scholar
[42] S. A. Sapchenko, D. G. Samsonenko, V. P. Fedin. Polyhedron55, 179 (2013).10.1016/j.poly.2013.03.031Search in Google Scholar
[43] D. A. Brown, N. J. Fitzpatrick, H. Müller-Bunz, A. T. Ryan. Inorg. Chem.45, 4497 (2006).10.1021/ic050849mSearch in Google Scholar PubMed
[44] S. A. Sapchenko, D. G. Samsonenko, D. N. Dybtsev, M. S. Melgunov, V. P. Fedin. Dalt. Trans.40, 2196 (2011).10.1039/C0DT00999GSearch in Google Scholar
[45] S. A. Sapchenko, D. N. Dybtsev, D. G. Samsonenko, R. V. Belosludov, V. R. Belosludov, Y. Kawazoe, M. Schröder, V. P. Fedin. Chem. Commun.51, 13918 (2015).10.1039/C5CC05779ESearch in Google Scholar
[46] S. A. Sapchenko, D. N. Dybtsev, V. P. Fedin. Russ. Chem. Bull.63, 2363 (2014).10.1007/s11172-014-0748-7Search in Google Scholar
[47] V. A. Logvinenko, S. A. Sapchenko, V. P. Fedin. J. Therm. Anal. Calorim.123, 697 (2016).10.1007/s10973-015-4923-3Search in Google Scholar
[48] V. A. Logvinenko, S. A. Sapchenko, V. P. Fedin. J. Therm. Anal. Calorim.117, 747 (2014).10.1007/s10973-014-3827-ySearch in Google Scholar
[49] L. N. Zelenina, T. P. Chusova, S. A. Sapchenko, E. A. Ukraintseva, D. G. Samsonenko, V. P. Fedin. J. Chem. Thermodyn.67, 128 (2013).10.1016/j.jct.2013.07.021Search in Google Scholar
[50] V. V. Semionova, E. M. Glebov, V. V. Korolev, S. A. Sapchenko, D. G. Samsonenko, V. P. Fedin. Inorg. Chim. Acta409, 342 (2014).10.1016/j.ica.2013.09.048Search in Google Scholar
©2017 IUPAC & De Gruyter. This work is licensed under a Creative Commons Attribution-NonCommercial-NoDerivatives 4.0 International License. For more information, please visit: http://creativecommons.org/licenses/by-nc-nd/4.0/
Articles in the same Issue
- Frontmatter
- In this issue
- Preface
- Research papers from the XXth Mendeleev Congress on General and Applied Chemistry
- Conference papers
- Light-controlled spin-state-switching rearrangements of transition metal complexes with photochromic ligands
- Hypoglycemic potential of cyclic guanidine derivatives
- Non-traditional Ziegler-Natta catalysis in α-olefin transformations: reaction mechanisms and product design
- Perspective tendencies in development of small scale processing of gas resources
- Cage amines in the metal–organic frameworks chemistry
- Hybrid metal complexes with opposed biological modes of action – promising selective drug candidates
- Electrochemical methods for synthesis of organoelement compounds and functional materials
- Monoterpenes as a renewable source of biologically active compounds
- Some new trends in the design of single molecule magnets
- Catalysis in a dispersion medium for the hydrogenation of aromatics and hydrodearomatization in oil refining
- Mesoporous organo-inorganic hybrid materials as hydrogenation catalysts
- Focused design of polypharmacophoric neuroprotective compounds: Conjugates of γ-carbolines with carbazole derivatives and tetrahydrocarbazole
- Nanomaterials for lithium-ion batteries and hydrogen energy
- Nucleophilic C–H functionalization of arenes: a new logic of organic synthesis
- Polyfluoroalkylated 2-ethoxymethylene- 3-oxo esters: synthesis and chemical properties overview
Articles in the same Issue
- Frontmatter
- In this issue
- Preface
- Research papers from the XXth Mendeleev Congress on General and Applied Chemistry
- Conference papers
- Light-controlled spin-state-switching rearrangements of transition metal complexes with photochromic ligands
- Hypoglycemic potential of cyclic guanidine derivatives
- Non-traditional Ziegler-Natta catalysis in α-olefin transformations: reaction mechanisms and product design
- Perspective tendencies in development of small scale processing of gas resources
- Cage amines in the metal–organic frameworks chemistry
- Hybrid metal complexes with opposed biological modes of action – promising selective drug candidates
- Electrochemical methods for synthesis of organoelement compounds and functional materials
- Monoterpenes as a renewable source of biologically active compounds
- Some new trends in the design of single molecule magnets
- Catalysis in a dispersion medium for the hydrogenation of aromatics and hydrodearomatization in oil refining
- Mesoporous organo-inorganic hybrid materials as hydrogenation catalysts
- Focused design of polypharmacophoric neuroprotective compounds: Conjugates of γ-carbolines with carbazole derivatives and tetrahydrocarbazole
- Nanomaterials for lithium-ion batteries and hydrogen energy
- Nucleophilic C–H functionalization of arenes: a new logic of organic synthesis
- Polyfluoroalkylated 2-ethoxymethylene- 3-oxo esters: synthesis and chemical properties overview