Home Physical Sciences Polyfluoroalkylated 2-ethoxymethylene- 3-oxo esters: synthesis and chemical properties overview
Article Publicly Available

Polyfluoroalkylated 2-ethoxymethylene- 3-oxo esters: synthesis and chemical properties overview

  • Victor I. Saloutin EMAIL logo , Yulia S. Kudyakova , Marina V. Goryaeva , Yanina V. Burgart and Oleg N. Chupakhin
Published/Copyright: May 16, 2017

Abstract

The review focuses on the synthesis and chemical properties of polyfluoroalkylated 2-ethoxymethylene-3-oxo esters. The scope and peculiarities of their use as organic reagents in reactions with various N-, C-, O-, mono- and dinucleophiles are discussed in detail. The high reactivity of such derivatives is employed in the construction of enaminoketone, arene and heterocycle frameworks. Particular attention is paid to applications of these building blocks as chemicals for fine organic synthesis, bioactive compounds and metal complexes synthesis.

Introduction

The introduction of fluorine-containing substituents into organic structures can significantly modify their physical, chemical and biological properties [1]. Therefore, nowadays approximately 20% of recently developed pharmaceuticals including the blockbuster drugs Prozac (Fluoxetine), Lipitor (Atorvastatin), Celebrex (Celecoxib), Levofloxacin, and up to 30% of agrochemicals contain fluorine [1], [2], [3], [4]. Fluorine substituents become extremely popular motif in drug design enhancing their bioavailability, lipophilicity, solubility as well as hydrolytic and metabolic stabilities [5], [6]. Fluorine is also an important tool in the development of advanced materials, including nano-sized ones with exceptional magnetic, luminescent, optical and catalytic properties [7], [8], [9]. The substitution of hydrogen on fluorine atoms in molecules leads to the higher thermal and oxidative stability, low polarity, weak intermolecular interactions, a high volatility and a small surface tension compared to non-fluorinated analogues [10], [11].

The importance of fluorinated groups (such as CF3, C2F5, HCF2, CF3S, etc.) in the structures of organic compounds in pharmaceuticals, agrochemicals and materials has prompted the development of methods of fluorinated moiety incorporation into molecular frameworks as well as the elaboration of fluorinated reagents. For instance, the direct construction of C–CF3 bond with fluorinated precursors is one of the ultimate goals in this field. Despite the significant advantages of such approach, the commonly used fluorinated agents are very expensive and the regioselectivity of the C–H fluoroalkylation process remains a challenging task [12], [13]. From this point of view, the consistent construction of different fluorinated organic structures from simple and highly available multifunctional compounds bearing fluoroalkylated group (so called “building blocks”) is one of the hot topic of modern organic synthesis. In this context, fluorinated 1,3-dicarbonyl compounds and their derivatives are attractive starting materials. Being highly reactive these compounds are used in the preparation of a wide range of five- or six-membered heterocycles and aliphatic derivatives.

α-Functionalization of fluorinated 3-oxopropionates is one of the promising approaches to extend their application scope. The chemistry of such derivatives are partially mentioned in a number of reviews concerning fluorinated building blocks with 1,3-dielectrophilic nature [4], [14], [15]. This review presents a comprehensive survey of 2-ethoxymethylene derivatives of fluorinated 3-oxo esters and summarizes the data on their preparation, chemical properties and synthetic applicability.

Synthesis of polyfluoroalkylated 2-ethoxymethylene-3-oxo esters

General approach to polyfluoroalkylated 2-ethoxymethylene-3-oxo esters 2 is based on the condensation of commercially available fluorinated 3-oxoesters 1 with triethyl orthoformate (Scheme 1) [16], [17], [18], [19], [20], [21], [22], [23], [24], [25], [26], [27], [28], [29], [30], [31]. Fluorinated β-ketoesters 1 are highly reactive CH-acids which form 2-ethoxymethylene derivatives 2 in satisfactory isolated yields without the usage of catalysts. This two-component reaction can be realized by the heating 3-oxo esters 1 with four-fold excess of triethyl orthoformate under simultaneous removal of liberated ethanol by distillation [16]. Recently it was found that under condensation of ethyl 4,4,4-trifluoroacetoacetate 1 with CH(OEt)3 the formation of diethyl 2-ethoxy-6-CF3-2H-pyran-3,5-dicarboxylate 3 as a by-product takes place thereby reducing the yield of target 2-ethoxymethylene derivative 2 [17]. In work [18] the high conversion of ethyl 4-chloro-4,4-difluoro-3-oxobutanoate 1 with quantative yield (97%) of its 2-ethoxymethylene derivative 2 (RF=CClF2) was achieved by using catalytic amount of triethylamine. However, the most described in literature and widely used method is three-component condensation of esters 1 with triethyl orthoformate in the presence of acetic anhydride resulting in target compounds with up to quantative yields [19], [20], [21], [22], [23], [24], [25], [26], [27], [28], [29], [30], [31]. It should be noted that there is no data on the preparation of fluorinated 2-ethoxyalkylidene-3-oxo esters. In contrast to CH(OEt)3, no product formation from the reaction of fluorinated acetoacetates with MeC(OEt)3 was observed [32].

Scheme 1: 
          Polyfluoroalkylated 2-ethoxymethylene-3-oxo esters preparation.
Scheme 1:

Polyfluoroalkylated 2-ethoxymethylene-3-oxo esters preparation.

Chemical properties of polyfluoroalkylated 2-ethoxymethylene-3-oxo esters

The molecule of polyfluoroalkylated 2-ethoxymethylene-3-oxo ester has three carbon electrophilic centers, i.e. two non-equivalent carbonyl groups and the methylene carbon atom. Due to the presence of β-alkoxyenone scaffold both reactions of addition-elimination with different mono-nucleophilic reagents at the activated C=C bond and 1,3-(hetero)cyclization with dinucleophiles are possible for these objects.

Synthesis of 2-aminomethylene-3-fluoroalkyl-3-oxo esters

As a result of condensation of polyfluoroalkylated 2-ethoxymethylene-3-oxo esters 2 with aliphatic, aromatic and heterocyclic primary and secondary amines the series of 2-aminomethylene derivatives 4–6 were obtained (Scheme 2) [16], [33], [34], [35]. Reactions occur under mild conditions in good yields with regiospecific substitution of ethoxy group at the methylene carbon atom by the action of N-nucleophiles. 2-(Arylamino)methylidene-3-oxo-esters 3 can also be synthesized by three-component reaction from corresponding fluorinated acetoacetates 1, CH(OEt)3 and aromatic amines [16].

Scheme 2: 
            Reactions with amines.
Scheme 2:

Reactions with amines.

(Het)aryl diamines react with 2-ethoxymethylene precursors 2 to give, depending on the reactant ratio, both mono- and bis-condensation products 7–12 (Scheme 3) [36], [37], [38], [39]. However, in case of 4,5-diaminopyrimidine the reaction proceeds only with the participation of more nucleophilic amino group of the heterocycle to give mono-substituted derivatives 12. Aliphatic diamines form solely bis-condensation products 9 even under using equimolar ratios of reactants as a result of their higher reactivity compared with (het)aryl ones.

Scheme 3: 
            Reactions with (het)aryl and aliphatic diamines.
Scheme 3:

Reactions with (het)aryl and aliphatic diamines.

NH2-functionalized RF-2-aminomethylene derivatives of β-ketoesters 7 can be further modified: (i) condensation with another molecule of ester 2 yields non-symmetrical bis-esters 13 possessing two different fluoroalkyl substituents; (ii) reactions with mono- and dialdehydes results in a series of Schiff bases 14–16 (Scheme 4) [36], [40], [41], [42].

Scheme 4: 
            NH2-functionalization of RF-2-aminomethylene derivatives 7.
Scheme 4:

NH2-functionalization of RF-2-aminomethylene derivatives 7.

It is worth noting that the general property of all described 2-aminomethylene-3-fluoroalkyl-3-oxo esters is their ability to isomerize under dissolution. Thus, in solid form they exist as E-isomers, and in solutions – as a mixture of Z- and E-forms. The spectral characteristics to assign Z- and E-isomers were identified [16]. These substrates represent an example of push-pool tautomeric system in which the rotation barrier around the double C=C bond is significantly reduced because of delocalization thereby providing the appearance of Z-isomers in solution.

Synthesis of heterocyclic compounds

Five-membered heterocycles

The condensation of ethyl 2-ethoxymethylene-4,4,4-trifluoro-3-oxobutanoate with hydrazine yields CF3-pyrazole 17 as a result of binucleophile heterocyclization with β-ethoxyenone fragment (Scheme 5) [21], [27], [43].

Scheme 5: 
              Interaction with hydrazine.
Scheme 5:

Interaction with hydrazine.

The synthetic approach to 5-(polyfluoroalkyl)pyrazole derivatives 18 was established based on the reactions of different (het)aryl hydrazines with 2-ethoxymethylene 3-(polyfluoroalkyl)-3-oxo propionates 2 (Scheme 6) [44], [45], [46], [47], [48], [49], [50], [51]. The regioisomeric structure of pyrazoles can be unambiguously identified based on X-ray and 1H, 19F, 13C NMR data. The NMR characteristics for determination of 3- or 5-(trifluoromethyl)pyrazoles are summarized on Fig. 1 [21], [46], [52]. However, the lack of spectral data (based only on 1H NMR spectra) led to incorrect identification of substituted pyrazoles structures synthesized by the condensation of CF3- and CF2H-substituted 2-ethoxymethylene 3-oxo esters 2 with 3-chloro-2-hydrazinyl pyridine [53], [54]. In work [55] the authors provided the description of 13C NMR spectra of heterocycles without multiplicity and spin-spin coupling constants of carbon signals. Based on these data the choice of 5-(trifluoromethyl)pyrazoles is not obvious.

Scheme 6: 
              The synthesis of 5-(fluoroalkyl)pyrazole derivatives.
Scheme 6:

The synthesis of 5-(fluoroalkyl)pyrazole derivatives.

Fig. 1: 
              NMR characteristics of regioisomeric (trifluoromethyl)pyrazoles.
Fig. 1:

NMR characteristics of regioisomeric (trifluoromethyl)pyrazoles.

In case of methyl hydrazine the reaction with ethyl 4-chloro-2-(ethoxymethylene)-4,4-difluoro-3-oxobutanoate 2 resulted in the mixture of regioisomeric products 19 and 20 with predominant formation of 3-(fluoroalkyl)pyrazole 19 (Scheme 7) [18]. But only difluoromethylated pyrazole 21 was isolated in high yield from the condensation of HCF2-containing β-ethoxyenone with methyl hydrazine [56].

Scheme 7: 
              Reaction with methyl hydrazine.
Scheme 7:

Reaction with methyl hydrazine.

Sanfilippo et al. described the preparation of fluorinated pyrazole derivative via the interaction of thiosemicarbazide with ethyl 2-(ethoxymethylene)-4,4,4-trifluoro-3-oxobutanoate 2 [29]. Later the result of this condensation was revised by Donohue and co-authors [57]. Based on 19F, 13C NMR data the formation of corresponding pyrazoline 22 as a sole product was proved (Scheme 8). The stability of such hydrated heterocycles can be attributed to the formation of strong intramolecular hydrogen bonds between heteroatoms of N-substituent and the hydroxyl group adjacent to CF3 [52].

Scheme 8: 
              Reaction with thiosemicarbazide.
Scheme 8:

Reaction with thiosemicarbazide.

Six-membered heterocycles

The pyrimidine synthesis based on the condensation of 2-ethoxymethylene derivatives 2 with urea or guanidine was described (Scheme 9) [20], [58], [59]. The interaction of urea with β-ethoxyenone was shown to proceed via the subsequent formation of open-chain derivatives 24 with the further intramolecular cyclization to give pyrimidine framework [58]. In contrast to earlier described synthesis [20] the trifluoromethyl analog was isolated as a stable tetrahydropyrimidine 25 and only heptafluoropropyl-substituted derivative underwent the dehydration to give 26 [58]. The unexpected one-pot preparation of fluorinated 2-azidopyrimidines 27 was observed from the condensation of fluoroalkylated 2-ethoxymethylene 3-oxo esters 2 with 5-aminotetrazole under reflux in 2,2,2-trifluoroethanol (Scheme 9) [59], [60]. Carrying out the same reaction in 1,4-dioxane in the presence of sodium acetate led to a mixture of pyrimidine derivatives 23 and 28 as a result of azide group transformations.

Scheme 9: 
              Synthesis of fluoroalkylated pyrimidines.
Scheme 9:

Synthesis of fluoroalkylated pyrimidines.

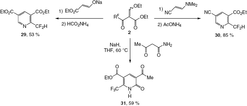
The addition-elimination reaction of ethyl 2-ethoxymethylene difluoroacetoacetate 2 with enamine and enolate followed by the heterocyclization in the presence of ammonium salts resulted in pyridine derivatives 29, 30 in moderate to good yields (Scheme 10) [28], [61]. One-pot synthesis of trifluoromethylated pyridine-2(1H)-one derivative 31 was achieved by the condensation of appropriate fluorinated β-ethoxyenone with acetoacetamide under the action of NaH [62].

Scheme 10: 
              Synthesis of fluoroalkylated pyridines.
Scheme 10:

Synthesis of fluoroalkylated pyridines.

From trifluoromethyl-substituted 2-ethoxymethylene β-oxo ester 2, the 2H-pyran-2-ones 32 were obtained in high yields under the action of N-acylglycines in the presence of acetic anhydride (Scheme 11) [63].

Scheme 11: 
              Synthesis of trifluoroalkylated 2H-pyran-2-ones.
Scheme 11:

Synthesis of trifluoroalkylated 2H-pyran-2-ones.

Condensed heterocycles

Fluorinated ethoxycarbonyl-substituted ethoxyenones 2 react with aminoazoles to give dihydroazolo[1,5-a]pyrimidines 33, 35, 37 (Scheme 12) [64], [65]. Dihydrotriazolo[1,5-a]pyrimidines 33 and dihydropyrazolo[1,5-a]pyrimidines 35 can be further dehydrated in acetic acid under reflux to yield compounds 34 and 36, respectively. It should be noted that the common feature of all synthesized polyfluoroalkylated dihydroazolo[1,5-a]pyrimidines 33, 35 and 37 is their ability to exist as a mixture of two isomers under dissolution. Thus, the formation of open-chain isomers 33′, 35′, 37′ was observed as a result of the opening of pyrimidine ring at C7–N8 bond.

Scheme 12: 
              Synthesis of fluoroalkylated azolo[1,5-a]pyrimidine derivatives.
Scheme 12:

Synthesis of fluoroalkylated azolo[1,5-a]pyrimidine derivatives.

The reaction of fluorinated 2-ethoxymethylene ketoesters with 3-amino-5-hydroxypyrazole in THF or DMF resulted in fluoroalkylated dihydropyrazolo[1,5-a]pyrimidines 38 (Scheme 13) [66]. These compounds are easily transformed into heterocycles 39 under acid conditions. However, pyrazolo[3,4-b]pyridines 40 were unexpectedly isolated as a major products after the crystallization of 38 in ethanol. Authors of this work note that revealed recyclization is specific property of polyfluoroalkylated derivatives while such transformation for non-fluorinated analogues is not reported.

Scheme 13: 
              Synthesis of fluoroalkylated pyrazolo[1,5-a]pyrimidines and pyrazolo[3,4-b]pyridines.
Scheme 13:

Synthesis of fluoroalkylated pyrazolo[1,5-a]pyrimidines and pyrazolo[3,4-b]pyridines.

The result of fluorinated ethoxyenones 2 condensation with 2-aminobenzimidazole depends on the reaction conditions (Scheme 14) [67], [68]. Thus, the hydrated derivatives 41 and benzoannulated imidazolo[1,2-a]pyrimidines 42 were isolated by using DMF as a reaction media at ambient conditions. In case of other organic solvents the reaction proceeded less selectively with four fluorinated heterocyclic products 41–44 formation. The low regioselectivity of this process can be referred to the simultaneous realization of two possible intramolecular cyclizations of proposed intermediate A (paths a and b).

Scheme 14: 
              Reaction with 2-aminobenzimidazole.
Scheme 14:

Reaction with 2-aminobenzimidazole.

Synthesis of aromatic compounds

The reaction of functional enamines with fluorinated 2-ethoxymethylene 3-oxoesters 2 resulted in substituted arene 45, 47, 48 formation (Scheme 15) [69]. Another possibility to construct aromatic scaffold 46 includes the cyclization of CF3-ethoxyenone 2 with 1,3-bis(silyloxy)-1,3-butadiene in the presence of TiCl [22].

Scheme 15: 
            The reactions with C-nucleophiles.
Scheme 15:

The reactions with C-nucleophiles.

Other reactions

It was shown that the reaction of 2-ethoxymethylene-3-oxobutanoate with water at room temperature yields 2-hydroxymethylene derivative 49 (Scheme 16) [70]. In case of diethyl 2-ethoxymethylene malonate the unexpected synthesis of triethyl 1,3,5-benzenetricarboxylate 50 was observed (Scheme 16) [71]. Unlike non-fluorinated analogues the interaction of fluoroalkylated 2-ethoxymethylene 1,3-dicarbonyl compounds 2 with water results in the formation of low-weight products mixture [71]. Probably, the decomposition of alkoxyenone structure under aqueous conditions can be caused by electron-withdrawing properties of trifluoromethyl group leading to enhanced electrophilicity of trifluoroacetyl moiety of 2-ethoxymethylene 3-oxoesters. On this account the detrifluoroacetylation process of 2-functionalized 1,3-dicarbonyl compounds, such as difluoro(fluoro)- or hydroxyimino- derivatives was also observed [72], [73].

Scheme 16: 
            Interaction with water.
Scheme 16:

Interaction with water.

Applications of fluoroalkylated 2-ethoxymethylene-3-oxo esters and its derivatives

2-Ethoxymethylene derivatives of fluorinated acetoacetates represent the widely used building blocks for a construction of heterocyclic frameworks which are particularly interesting in medical and agrochemical fields. The presence of ethoxycarbonyl moiety capable of the further modification is one of the advantages of these fluorinated ethoxyenones. A number of substituted heterocycles with amide or carboxylic acid functionalities based on 2-ethoxymethylene derivatives of fluorinated 3-oxo esters was described (Fig. 2) [20], [28], [45], [47], [74]. It should be mentioned that in some cases the carboxamide group at the 5-position of pyrimidine derivative plays a crucial role for biological activity [20].

Fig. 2: 
          Examples of biologically active compounds based on 2-ethoxymethylene derivatives of fluorinated acetoacetates.
Fig. 2:

Examples of biologically active compounds based on 2-ethoxymethylene derivatives of fluorinated acetoacetates.

For example, ethyl 3-(difluoromethyl)-1-methyl-1H-pyrazole-4-carboxylate 51 is a key building block in the synthesis of fungicides such as Sedaxane, Fluxapyroxad, Bixafen, etc. (Fig. 3) [18]. The scalable and cost-competitive synthetic approach to pyrazole 51 based on the catalytic hydrodechlorination of above mentioned compound 19 (Scheme 7) is reported.

Fig. 3: 
          Developed fluorinated fungicides.
Fig. 3:

Developed fluorinated fungicides.

On the other hand, the use of fluorinated β-aminoenketones in the synthesis of transition metal complexes is well documented [35], [36], [38], [39], [40], [42]. Fluorinated 2-alkylaminomethylene-1,3-ketoesters were successfully applied in the series of novel metal-organic complexes 52–57 preparation (Fig. 4). The coordination of metal ion with oxygen atoms of fluoroacyl group rather than ethoxycarbonyl one is the general structural characteristic for all synthesized complexes determined based on X-ray analysis data. It was shown that copper complexes 56 are efficient catalysts of the radical addition of perfluoroalkyl iodides to some alkenes and alkynes to give partially fluorinated hydrocarbons in good yields [75].

Fig. 4: 
          Examples of transition metal complexes.
Fig. 4:

Examples of transition metal complexes.

Dimethylamino group in 2-aminomethylene derivative of C3F7-substituted 3-oxo ester 4 can be selectively alkylated with methyl iodide to give quaternary ammonium salts 58 in quantitative yields (Scheme 17). This water-soluble enaminoketones can act as surfactants during cadmium and zinc sulfides synthesis in an aqueous media with controlled particle size [33]. Also it was demonstrated that obtained quaternary ammonium salts can be efficient corrosion inhibitors of steel in highly acidic media [34].

Scheme 17: 
          Synthesis of water-soluble quaternary ammonium salts.
Scheme 17:

Synthesis of water-soluble quaternary ammonium salts.

Conclusions

The reactivity studies of fluorinated 2-ethoxymethylene-3-oxo esters with mono- and bifunctional nucleophiles were covered in this review. Structurally different molecules such as aliphatic or heterocyclic derivatives can be synthesized from the same substrates by convenient methods. Varying the nature of N,N-binucleophile in the condensation reactions with fluorinated alkoxyenones, the five-, six-membered or condensed heterocyclic compounds can be obtained. In some cases the stability of hydrated forms of heterocycles is attributed to the presence of fluoroalkylated group. The one of the advantages of such fluorinated building blocks is the possibility to modify ethoxycarbonyl functional group on the later stages of synthesis to prepare more complex molecules. Employing of fluorinated 2-ethoxymethylene derivatives of 3-oxo esters in heterocyclizations provides hetaromatic compounds perspective for the further C–H functionalization. Thus, the class of represented compounds is very attractive for the further investigations and development in organic synthesis.


Article note

A collection of invited papers based on presentations at the XX Mendeleev Congress on General and Applied Chemistry (Mendeleev XX), held in Ekaterinburg, Russia, September 25–30 2016.


Acknowledgments

The authors gratefully acknowledge Russian Foundation for Basic Research (grant no. 16-33-60048 mol_a_dk) and the State Program for Supporting of Leading Scientific Schools of the Russian Federation (grant no. NSh-8922.2016.3) for financial support.

References

[1] J. Wang, M. Sánchez-Roselló, J. L. Aceña, C. del Pozo, A. E. Sorochinsky, S. Fustero, V. A. Soloshonok, H. Liu. Chem. Rev. 114, 2432 (2014).10.1021/cr4002879Search in Google Scholar PubMed

[2] D. O’Hagan. J. Fluorine Chem. 131, 1071 (2010).10.1016/j.jfluchem.2010.03.003Search in Google Scholar

[3] T. Fujiwara, D. O’Hagan. J. Fluorine Chem. 167, 16 (2014).10.1016/j.jfluchem.2014.06.014Search in Google Scholar

[4] F. Giornal, S. Pazenok, L. Rodefeld, N. Lui, J.-P. Vors, F. R. Leroux. J. Fluorine Chem.152, 2 (2013).10.1016/j.jfluchem.2012.11.008Search in Google Scholar

[5] H.-J. Böhm, D. Banner, S. Bendels, M. Kansy, B. Kuhn, K. Müller, U. Obst-Sander, M. Stahl. ChemBioChem. 5, 637 (2004).10.1002/cbic.200301023Search in Google Scholar PubMed

[6] S. Purser, P. R. Moore, S. Swallow, V. Gouverneur. Chem. Soc. Rev. 37, 320 (2008).10.1039/B610213CSearch in Google Scholar PubMed

[7] R. Berger, G. Resnati, P. Metrangolo, E. Weberd, J Hulliger. Chem. Soc. Rev. 40, 3496 (2011).10.1039/c0cs00221fSearch in Google Scholar PubMed

[8] M. Hird. Chem. Soc. Rev. 36, 2070 (2007).10.1039/b610738aSearch in Google Scholar PubMed

[9] S. Mishra, S. Daniele. Chem. Rev.115, 8379 (2015).10.1021/cr400637cSearch in Google Scholar PubMed

[10] M. P. Krafft, J. G. Riess. Chem. Rev. 109, 1714 (2009).10.1021/cr800260kSearch in Google Scholar PubMed

[11] K. Reichenbächer, H. I. Süss, J. Hulliger. Chem. Soc. Rev. 34, 22 (2005).10.1039/B406892KSearch in Google Scholar PubMed

[12] T. Liang, C. N. Neumann, T. Ritter. Angew. Chem. Int. Ed.52, 8214 (2013).10.1002/anie.201206566Search in Google Scholar PubMed

[13] C. Alonso, E. Martínez de Marigorta, G. Rubiales, F. Palacios. Chem. Rev. 115, 1847 (2015).10.1021/cr500368hSearch in Google Scholar PubMed

[14] S. V. Druzhinin, E. S. Balenkova, V. G. Nenajdenko. Tetrahedron63, 7753 (2007).10.1016/j.tet.2007.04.029Search in Google Scholar

[15] Yu. S. Kudyakova, D. N. Bazhin, M. V. Goryaeva, Ya. V. Burgart, V. I. Saloutin. Russ. Chem. Rev. 83, 120 (2014).10.1070/RC2014v083n02ABEH004388Search in Google Scholar

[16] M. V. Pryadeina, Ya. V. Burgart, V. I. Saloutin, P. A. Slepukhin, O. N. Kazheva, G. V. Shilov, O. A. D’yachenko, O. N. Chupakhin. Russ. J. Org. Chem. 43, 945 (2007).10.1134/S1070428007070019Search in Google Scholar

[17] Yu. S. Kudyakova, D. N. Bazhin, P. A. Slepukhin, Ya. V. Burgart, V. I. Saloutin, V. N. Charushin. Tetrahedron Lett. 58, 744 (2017).10.1016/j.tetlet.2017.01.026Search in Google Scholar

[18] J. Jaunzems, M. Braun. Org. Process Res. Dev. 18, 1055 (2014).10.1021/op500128pSearch in Google Scholar

[19] M. J. Braun, J. Jaunzems, M. Kasubke. Patent WO 2012/025469, Filed 22 August 2011, Issued 1 March 2012.Search in Google Scholar

[20] M. S. S. Palanki, P. E. Erdman, L. M. Gayo-Fung, G. I. Shevlin, R. W. Sullivan, M. J. Suto, M. E. Goldman, L. J. Ransone, B. L. Bennet, A. M. Manning. J. Med. Chem. 43, 3995 (2000).10.1021/jm0001626Search in Google Scholar PubMed

[21] I. I. Gerus, R. X. Mironetz, I. S. Kondratov, A. V. Bezdudny, Y. V. Dmytriv, O. V. Shishkin, V. S. Starova, O. A. Zaporozhets, A. A. Tolmachev, P. K. Mykhailiuk. J. Org. Chem. 77, 47 (2012).10.1021/jo202305cSearch in Google Scholar PubMed

[22] S. Ladzik, M. Lubbe, N. K. Kelzhanova, Z. A. Abilov, H. Feist, P. Langer. J. Fluorine Chem. 136, 38 (2012).10.1016/j.jfluchem.2012.02.002Search in Google Scholar

[23] P. Bach, J. Boström, K. Brickmann, J. J. J. van Giezen, R. Hovland, A. U. Petersson, A. Ray, F. Zetterberg. Bioorg. Med. Chem. Lett. 21, 2877 (2011).10.1016/j.bmcl.2011.03.088Search in Google Scholar PubMed

[24] R. G. Jones. J. Am. Chem. Soc. 73, 3684 (1951).10.1021/ja01152a034Search in Google Scholar

[25] H. Walter. Z. Naturforsch. B.63, 351 (2008).10.1515/znb-2008-0402Search in Google Scholar

[26] Z. Wu, D. Hu, J. Kuang, H. Cai, S. Wu, W. Xue. Molecules17, 14205 (2012).10.3390/molecules171214205Search in Google Scholar PubMed PubMed Central

[27] J. Sun, Y. Zhou. Molecules. 20, 4383 (2015).10.3390/molecules20034383Search in Google Scholar PubMed PubMed Central

[28] M. A. Schiffler, S. Antonysamy, S. N. Bhattachar, K. M. Campanale, S. Chandrasekhar, B. Condon, P. V. Desai, M. J. Fisher, C. Groshong, A. Harvey, M. J. Hickey, N. E. Hughes, S. A. Jones, E. J. Kim, S. L. Kuklish, J. G. Luz, B. H. Norman, R. E. Rathmell, J. R. Rizzo, T. W. Seng, S. J. Thibodeaux, T. A. Woods, J. S. York, X.-P. Yu. J. Med. Chem. 59, 194 (2016).10.1021/acs.jmedchem.5b01249Search in Google Scholar PubMed

[29] P. J. Sanfilippo, M. J. Urbanski, K. N. Beers, A. Eckardt, R. Falotico, M. H. Ginsberg, S. Offord, J. B. Press, J. Tighe, K. Tomko, P. Andrade-Gordon. J. Med. Chem. 38, 34 (1995).10.1021/jm00001a008Search in Google Scholar PubMed

[30] R. M. Kim, E. R. Parmee, C. J. Sinz, O. A. Ziouzina. Patent US 2010/0216764, Filed 24 February 2010, Issued 26 August 2010.Search in Google Scholar

[31] J. Wityak, K. F. McGee, M. P. Conlon, R. H. Song, B. C. Duffy, B. Clayton, M. Lynch, G. Wang, E. Freeman, J. Haber, D. B. Kitchen, D. D. Manning, J. Ismail, Y. Khmelnitsky, P. Michels, J. Webster, M. Irigoyen, M. Luche, M. Hultman, M. Bai, I. D. Kuok, R. Newell, M. Lamers, P. Leonard, D. Yates, K. Matthews, L. Ongeri, S. Clifton, T. Mead, S. Deupree, P. Wheelan, K. Lyons, C. Wilson, A. Kiselyov, L. Toledo-Sherman, M. Beconi, I. Muñoz-Sanjuan, J. Bard, C. Dominguez. J. Med. Chem. 58, 2967 (2015).10.1021/jm5013598Search in Google Scholar PubMed

[32] R. T. Iminov, A. V. Mashkov, I. I. Vyzir, B. A. Chalyk, A. V. Tverdokhlebov, P. K. Mykhailiuk, L. N. Babichenko, A. A. Tolmachev, Y. M. Volovenko, A. Biitseva, O. V. Shishkin, S. V. Shishkina. Eur. J. Org. Chem. 886 (2015).10.1002/ejoc.201403295Search in Google Scholar

[33] D. N. Bazhin, Yu. S. Kudyakova, T. I. Gorbunova, N. S. Kozhevnikova, A. Yu. Suntsov, Ya. V. Burgart, A. A. Rempel’, V. I. Saloutin, O. N. Chupakhin. Russ. J. Org. Chem. 49, 315 (2013).10.1134/S1070428013030019Search in Google Scholar

[34] D. N. Bazhin, Yu. S. Kudyakova, T. I. Gorbunova, Ya. V. Burgart, A. Ya. Zapevalov, V. I. Saloutin. Russ. J. Gen. Chem. 87, 1330 (2013).10.1134/S1070363213070050Search in Google Scholar

[35] Yu. S. Kudyakova, M. V. Goryaeva, Ya. V. Burgart, V. I. Saloutin, P. A. Slepukhin. Russ. Chem. Bull. 58, 1241 (2009).10.1007/s11172-009-0161-9Search in Google Scholar

[36] Yu. S. Kudyakova, M. V. Goryaeva, Ya. V. Burgart, P. A. Slepukhin, V. I. Saloutin. Russ. Chem. Bull. 59, 1582 (2010).10.1007/s11172-010-0281-2Search in Google Scholar

[37] Yu. S. Kudyakova, Ya. V. Burgart, V. I. Saloutin. Russ. J. Org. Chem. 50, 846 (2014).10.1134/S1070428014060165Search in Google Scholar

[38] Yu. S. Kudyakova, M. V. Goryaeva, Ya. V. Burgart, V. I. Saloutin. Russ. J. Org. Chem. 46, 1780 (2010).10.1134/S1070428010120031Search in Google Scholar

[39] Yu. S. Kudyakova, M. V. Goryaeva, Ya. V. Burgart, V. I. Saloutin. Russ. J. Org. Chem. 47, 331 (2011).10.1134/S107042801103002XSearch in Google Scholar

[40] Yu. S. Kudyakova, M. V. Goryaeva, Ya. V. Burgart, V. I. Saloutin. Russ. Chem. Bull. 59, 1753 (2010).10.1007/s11172-010-0308-8Search in Google Scholar

[41] Yu. S. Kudyakova, Ya. V. Burgart, P. A. Slepukhin, V. I. Saloutin. Mendeleev Commun. 22, 284 (2012).10.1016/j.mencom.2012.09.020Search in Google Scholar

[42] Yu. S. Kudyakova, Ya. V. Burgart, V. I. Saloutin. Macroheterocycles7, 40 (2014).10.6060/mhc140271kSearch in Google Scholar

[43] S. Guillou, F. J. Bonhomme, M. S. Ermolenko, Y. L. Janin. Tetrahedron67, 8451 (2011).10.1016/j.tet.2011.09.029Search in Google Scholar

[44] J. R. Beck, F. L. Wright. J. Heterocycl. Chem. 24, 739 (1987).10.1002/jhet.5570240338Search in Google Scholar

[45] M. Hagimori, T. Murakami, K. Shimizu, M. Nishida, T. Ohshima, T. Mukai. MedChemComm7, 1003 (2016).10.1039/C6MD00023ASearch in Google Scholar

[46] M. V. Pryadeina, A. B. Denisova, Ya. V. Burgart, V. I. Saloutin. Russ. J. Org. Chem. 44, 1811 (2008).10.1134/S1070428008120166Search in Google Scholar

[47] T. N. Glasnov, K. Groschner, C. O. Kappe. ChemMedChem4, 1816 (2009).10.1002/cmdc.200900304Search in Google Scholar PubMed

[48] D. Obermayer, T. N. Glasnov, C. O. Kappe. J. Org. Chem. 76, 6657 (2011).10.1021/jo2009824Search in Google Scholar PubMed

[49] J. S. Scott, J. deSchoolmeester, E. Kilgour, R. M. Mayers, M. J. Packer, D. Hargreaves, S. Gerhardt, D. J. Ogg, A. Rees, N. Selmi, A. Stocker, J. G. Swales, P. R. O. Whittamore. J. Med. Chem. 55, 10136 (2012).10.1021/jm301252nSearch in Google Scholar PubMed

[50] Y.-T. Zheng, T.-T. Zhang, P.-Y. Wang, Z.-B. Wu, L. Zhou, Y.-Q. Ye, X. Zhou, M. He, S. Yang. Chin. Chem. Lett. 28, 253 (2017).10.1016/j.cclet.2016.06.055Search in Google Scholar

[51] Z.-B. Wu, X. Zhou, Y.-Q. Ye, P.-Y. Wang, S. Yang. Chin. Chem. Lett. 28, 121 (2017).10.1016/j.cclet.2016.06.010Search in Google Scholar

[52] D. N. Bazhin, Yu. S. Kudyakova, G.-V. Röschenthaler, Y. V. Burgart, P. A. Slepukhin, M. L. Isenov, V. I. Saloutin, V. N. Charushin. Eur. J. Org. Chem. 5236 (2015).10.1002/ejoc.201500737Search in Google Scholar

[53] X.-H. Liu, W. Zhao, Z.-H. Shen, J.-H. Xing, J. Yuan, G. Yang, T.-M. Xu, W.-L. Peng. Bioorg. Med. Chem. Lett. 26, 3626 (2016).10.1016/j.bmcl.2016.06.004Search in Google Scholar

[54] W. Zhao, Z.-H. Shen, T.-M. Xu, W.-L. Peng. J. Heterocycl. Chem. DOI: 10.1002/jhet.2753 (2016).10.1002/jhet.2753Search in Google Scholar

[55] Z. Wu, S. Wu, Y. Ye, X. Zhou, P. Wang, W. Xue, D. Hu. J. Heterocycl. Chem. 54, 325 (2017).10.1002/jhet.2587Search in Google Scholar

[56] X.-H. Liu, W. Zhao, Z.-H. Shen, J.-H. Xing, T.-M. Xu, W.-L. Peng. Eur. J. Med. Chem. 125, 881 (2017).10.1016/j.ejmech.2016.10.017Search in Google Scholar

[57] B. A. Donohue, E. L. Michelotti, J. C. Reader, V. Reader, M. Stirling, C. M. Tice. J Comb Chem. 4, 23 (2002).10.1021/cc010035aSearch in Google Scholar

[58] M. V. Goryaeva, Ya. V. Burgart, V. I. Saloutin. Russ. Chem. Bull. 58, 1259 (2009).10.1007/s11172-009-0164-6Search in Google Scholar

[59] M. V. Goryaeva, Ya. V. Burgart, M. A. Ezhikova, M. I. Kodess, V. I. Saloutin. Beilstein J. Org. Chem. 11, 385 (2015).10.3762/bjoc.11.44Search in Google Scholar

[60] M. V. Goryaeva, Ya. V. Burgart, M. A. Ezhikova, M. I. Kodess, V. I. Saloutin. Russ. J. Org. Chem. 51, 992 (2015).10.1134/S1070428015070179Search in Google Scholar

[61] J.-N. Desrosiers, C. B. Kelly, D. R. Fandrick, L. Nummy, S. J. Campbell, X. Wei, M. Sarvestani, H. Lee, A. Sienkiewicz, S. Sanyal, X. Zeng, N. Grinberg, S. Ma, J. J. Song, C. H. Senanayake. Org. Lett. 16, 1724 (2014).10.1021/ol500402eSearch in Google Scholar

[62] L. Mosti, P. Schenone, M. Iester, P. Dorigo, R. M. Gaion, D. Fraccarollo. Eur. J. Med. Chem. 28, 853 (1993).10.1016/0223-5234(93)90037-FSearch in Google Scholar

[63] I. I. Gerus, N. A. Tolmachova, S. I. Vdovenko, R. Fröhlich, G. Haufe. Synthesis 1269 (2005).10.1055/s-2005-865290Search in Google Scholar

[64] M. V. Pryadeina, Ya. V. Burgart, V. I. Saloutin, O. N. Chupakhin. Mendeleev Commun. 18, 276 (2008).10.1016/j.mencom.2008.09.017Search in Google Scholar

[65] M. V. Goryaeva, Ya. V. Burgart, V. I. Saloutin, E. V. Sadchikova, E. N. Ulomskii. Heterocycles78, 435 (2009).10.3987/COM-08-11524Search in Google Scholar

[66] M. V. Goryaeva, Ya. V. Burgart, V. I. Saloutin. J. Fluorine Chem. 147, 15 (2013).10.1016/j.jfluchem.2013.01.005Search in Google Scholar

[67] M. V. Goryaeva, Ya. V. Burgart, V. I. Saloutin, O. N. Chupakhin. Chem. Heterocycl. Compd. 48, 372 (2012).10.1007/s10593-012-1000-8Search in Google Scholar

[68] M. V. Goryaeva, Ya. V. Burgart, V. I. Saloutin. Russ. J. Org. Chem. 46, 432 (2010).10.1134/S1070428010030231Search in Google Scholar

[69] D. M. Volochnyuk, A. N. Kostyuk, D. A. Sibgatulin, A. N. Chernega, A. M. Pinchuk, A. A. Tolmachev. Tetrahedron60, 2361 (2004).10.1016/j.tet.2004.01.010Search in Google Scholar

[70] Yu. S. Kudyakova, D. N. Bazhin, Ya. V. Burgart, V. I. Saloutin. Mendeleev commun. 26, 54 (2016).10.1016/j.mencom.2016.01.021Search in Google Scholar

[71] D. N. Bazhin, Yu. S. Kudyakova, Ya. V. Burgart, V. I. Saloutin. Tetrahedron Lett. 53, 1961 (2012).10.1016/j.tetlet.2012.02.015Search in Google Scholar

[72] D. N. Bazhin, Yu. S. Kudyakova, N. A. Nemytova, Ya. V. Burgart, V. I. Saloutin. J. Fluorine Chem. 186, 28 (2016).10.1016/j.jfluchem.2016.04.009Search in Google Scholar

[73] H. Mei, C. Xie, J. L. Aceña, V. A. Soloshonok, G.-V. Röschenthaler, J. Han. Eur. J. Org. Chem. 6401 (2015).10.1002/ejoc.201500787Search in Google Scholar

[74] N. Kato, M. Oka, T. Murase, M. Yoshida, M. Sakairi, S. Yamashita, Y. Yasuda, A. Yoshikawa, Y. Hayashi, M. Makino, M. Takeda, Y. Mirensha, T. Kakigami. Bioorg. Med. Chem. 19, 7221 (2011).10.1016/j.bmc.2011.09.043Search in Google Scholar PubMed

[75] Yu. S. Kudyakova, D. N. Bazhin, Ya. V. Burgart, V. I. Saloutin, O. N. Chupakhin. Russ. J. Org. Chem. 49, 469 (2013).10.1134/S1070428013030263Search in Google Scholar

Published Online: 2017-05-16
Published in Print: 2017-07-26

©2017 IUPAC & De Gruyter. This work is licensed under a Creative Commons Attribution-NonCommercial-NoDerivatives 4.0 International License. For more information, please visit: http://creativecommons.org/licenses/by-nc-nd/4.0/

Downloaded on 13.12.2025 from https://www.degruyterbrill.com/document/doi/10.1515/pac-2016-1015/html
Scroll to top button