Abstract
The oxidative stress is considered to be involved in the pathogenesis of many diseases. The antioxidative defense system in the living organism regulates the toxic impact of ROS and there is strong evidence that the antioxidants prevent some pathologies including cancer. The specific chemical properties of metal-based drugs impart innovative pharmacological profiles to this type of therapeutic agents, most likely in relation to novel biomolecular mechanisms. This review will focus on a novel approach to design polyfunctional metal-based physiollogically active compounds with opposed modes of action – prooxidant metal center and antioxidant 2,6-dialkylphenol group. The synthesis and anti/prooxidant activity and cytotoxicity studies of novel organometallic/coordination compounds (ferrocenes, complexes with di-(2-picolyl)amine ligand, porphyrins, pyridines, thiols, carboxylates) based on either biogenic metals (Fe, Mn, Co, Cu, Zn, Ni) or exogenic metals (Sn, Au, Rh) are presented and discussed. The results allow us to conclude that combining in one molecule a redox active metal center and cytoprotective functional organic moiety with antioxidative function is a promising way to rational metallodrug design in modern medicinal chemistry.
Introduction
In the last decades, there has been an explosive interest in synthesis and biological applications of metal complexes based on biologically active ligands because of their key role in clinical therapy. Transition metals are particularly suitable for this purpose because they can adopt a wide variety of coordination numbers, geometries and oxidation states in comparison with other main group elements. One of the characteristics of metals is their potential to undergo redox processes, as determined by their redox potentials. Especially, transition metal ions are usually able to switch between several oxidation states. The combination of two redox active moieties (metal ion and redox active organic ligand) in a molecule of the complex is a promising approach to find the novel therapeutic agents capable of interacting with toxic reactive biological species through different mechanisms [1], [2]. One of the promising ways of the modulation of organic pharmacophore activity is the introduction of metal in antioxidant molecules (Scheme 1).

The possible way to modulate the organic pharmacophore activity.
The oxidative stress is associated with the abnormal level of reactive oxygen species (ROS). These highly reactive intermediates of biological oxidation processes interact with such intracellular structures as proteins, nucleic acids, lipids, membranes, and mitochondria and cause the oxidative damage to biomolecules with consequent injury to cells. It is well known that the mechanism of carcinogenesis is a complex process which includes many steps and leads a normal cell to a precancerous and then to a cancerous state [3], [4]. ROS are proposed to be involved in all the steps of carcinogenesis [5]. There is strong evidence that the antioxidants prevent carcinogenesis [6]. For instance, a protective effect of ascorbic acid (vitamin C), α-tocopherol (vitamin E) and vitamin K was observed in various types of cancer development [7], [8], [9].
The antioxidant defense system in the living organism regulates the toxic impact of ROS and prevents the cellular components damage [10]. Several mechanisms of antioxidants action are known depending on the interaction of antioxidative agents with various ROS: a dismutation of superoxide radical-anion, scavenging of hydroxyl radical, interaction either with peroxyl radicals of lipids or lipid hydroperoxides breaking down the chain radical process of lipid peroxidation. Therefore, there is a strong need of antioxidant therapy for oxidative stress induced cancer. A variety of organic synthetic antioxidants – 2,6-dialkylphenols – with various substituents in para-position of aromatic ring are widely used as biomimetics of α- tocopherol [11]. The organic derivatives of hindered 2,6-dialkylphenols are considered as synthetic antioxidants and models of vitamin E. Metal complexes bearing antioxidative groups of 2,6-di-tert-butylphenols act as polyfunctional antioxidants, anti-inflammatory agents, and scavengers for reactive oxygen species which makes them promising agents in cancer prevention and/or therapy.
The approach based on the modification of phenolic antioxidants via the incorporation of metal in their molecules seems to be a promising one (Scheme 2). The modulation of metal complexes activity may proceed by two ways: (1) if metal is biogenic (“organism friendly”) it may improve the activity of organic pharmacophore due to redox properties and stabilization of radical intermediates responsible for the antioxidant activity; (2) if metal is exogenic (toxic agent – “xenobiotic”) the organic ligand may lower the toxicity of potential cytotoxic agents against normal cells due to their antioxidant activity.

The mutual influence of organic ligand and metal center upon compound activity.
For example, organotin complexes with heterocyclic thioamides demonstrate high anticancer and cytotoxic activity which was correlated with their lipoxygenase inhibitory activity [12], [13], [14]. The complexes of tri-n-butyltin(IV) and triphenyltin(IV) with 2-thiobarbituric acid were found to exhibit higher cytotoxic activity than that of cisplatin against cancer cells, in the case of human breast adenocarcinoma cells (MCF-7, ER positive), and their IC50 values were 272- and 179-fold lower than that of cisplatin, respectively [15], [16]. It is suggested that the antiproliferative activity of organotin complexes correlates with their interaction with protein –SH groups [17] The use of polyfunctional ligands combining both the antioxidant 2,6-di-tert-butylphenol and chelating groups for complexation of organotin compounds is a possible way to lower their non-specific toxicity.
In this paper, the results of our studies in this direction during the last decade are presented. Firstly, the data obtained for complexes with biogenic metals (Fe, Mn, Cu, Zn, Co, Ni) are considered. Secondly, the properties of compounds with exogenic metals (Sn, Au, Rh) are discussed. Third section is dedicated to synthesis and studies of novel 2,6-dialkylphenols which may be used as ligands with antioxidative properties and chelating agents for complexation of toxic metal compounds.
Biogenic metals (Fe, Mn, Cu, Zn, Ni, Co)
Ferrocene derivatives
The novel N-(3,5-di-tert-butyl-4-hydroxyphenyl) iminomethylferrocene 1 and N-(3,5-di-tert-butyl-4-hydroxybenzyl) iminomethylferrocene 2 have been synthesized and characterized [18] and the antioxidative activity of ferrocenes 1–3 and 1a–3a (Scheme 3) bearing either 2,6-di-tert-butylphenol or phenyl groups has been compared using various methods: DPPH (1,1-diphenyl-2-picrylhydrazyl) test, the in vitro study of the impact on lipid peroxidation in rat brain homogenate and on some characteristics of rat liver mitochondria [19]. The results of DPPH assay show that the activity depends strongly upon the presence of phenolic group but is improved by the influence of ferrocenyl fragment. The activity of compound 1 was 88.4% higher than the activity of a known antioxidant 2,6-di-tert-butyl-4-methylphenol (BHT) but the activity of ferrocene 1a was almost negligible. Moreover, at this concentration some pro-oxidatant effect of compounds 1a and 2a could be observed. This fact might be associated with the influence of iron center in the molecules of ferrocenes that participates in redox processes and therefore promotes the peroxidation. The data obtained demonstrated that the compounds with 2,6-di-tert-butylphenol moiety are significantly more active than the corresponding phenyl analogues in the in vitro study of lipid peroxidation in rat brain homogenate.

Structures of ferrocene derivatives.
Ferrocenes 1–3 illustrate an example in which one structural moiety is expected to modulate the effect of another [18]. The results for compounds 1 and 2, 3 differ significantly due to the decrease of conjugation in the molecules containing either CH2 or CO groups in linkers. This leads to the decrease of metal influence on the stability of free radicals formed. On the other hand, the role of phenol in the oxidation of ferrocene is the reduction of initially formed ferrocenium cation and therefore is associated with the intramolecular electron transfer from the phenol moiety to iron center.
Ferrocene 1 performs a promising behavior as an antioxidant with IC50 value 3.7±1.0 μM, and inhibits the calcium-dependent swelling of mitochondria. It was shown that at concentration 0.1 mM ferrocenes 1 and 2 slightly depolarize the mitochondria (up to 25%). On the other hand, these compounds inhibit the calcium-dependent swelling of mitochondria and this effect could not be the consequence of the depolarization only. These results allow to propose the potential cytoprotective (neuroprotective) effect of ditopic compounds containing antioxidant 2,6-di-tert-butylphenol group and redox active ferrocene fragment.
These results were compared with the data obtained by novel electrochemical approach for the evaluation of antioxidant activity based on the kinetic of phenolic hydrogen atom transfer reaction on the DPPH monitoring by cyclic voltammetry (CVA) [20]. The voltammogram of DPPH in the anodic region shows two one electron reversible waves, corresponding to the oxidation and reduction of the radical. For the given surface of the electrode and speed of potential sweep, the proportions of currents in the peak of oxidation or reduction of DPPH is determined only by the ratio of concentrations: I/I0=C/C0, where I0 is the current at the initial concentration of DPPH (C0), I is the current at the concentration of DPPH in the given moment of time (C). In the presence of antioxidant, the drop of current value in both peaks is observed (Fig. 1). Consequently, if the I value is known for some given concentration of DPPH and a decrease of this value can be tracked with time, a kinetic curve of concentrations of DPPH versus time can be plotted. In order to assess the activity quantitatively the parameter AntiOxidant Efficiency (AOE) numerically equal to the percentage of DPPH reacted: AOE=(1–Cfin./C0) 100%, where C0 – initial concentration of DPPH, Cfin – final concentration corresponding to the time the kinetic curve receive the plateau. This method is advantageous before spectrophotometrical DPPH test because can be applied to compounds with absorption band in the region of adsorption band of 1,1′-diphenyl-2-picrylhydrazyl itself (such as ferrocenes). Antioxidant properties of ferrocene derivatives 1–10 were studied as well as their redox properties. It was shown that the anodic oxidation of the compounds 1 and 2 proceeds in three steps, that suggests a possibility of intramolecular proton-coupled electron transfer process.

The change of DPPH voltammetry curve in the presence of BHT.
These conjugates of ferrocene and 2,6-di-tert-butylphenol demonstrate highest antioxidant activity (Table 1).
The values of antioxidant activity (AOE) determined by the electrochemical method as (%) of DPPH quenched in reaction with ferrocene derivatives 1–10.a
| Compound | 1 | 2 | 3 | 4 | 5 | 6 | 7 | 8 | 9 | 10 |
|---|---|---|---|---|---|---|---|---|---|---|
| AOEb | 74 | 61 | 37 | 8 | 6 | 56 | 64 | 47 | 44 | 5 |
-
aCompounds 1a, 2a, 3a do not demonstrate any antioxidative activity.
-
bAOE=(1–Ifin./I0)100=(1–Cfin./C0) 100 (%), C0, initial concentration of DPPH; Cfin, final concentration (time of reaction with DPPH 20 min).
The study of antioxidant properties and inhibitory activity in protein glycation has been performed for a series of ferrocenes:
2,6-di-tert-butyl-4-[N-(4-pyridyl)iminomethyl]phenol 11,
2,6-di-tert-butyl-4-[N-(3-pyridylmethyl)iminomethyl]phenol 11a and
N-(3,5-di-tert-butyl-4-hydroxyphenyl)iminomethylferrocene 12 [21].
Antioxidant activity of the compounds 11–13 was evaluated using the ABTS method in a model reaction based on the ability of antioxidants to reduce the stable radical-cation of 2,2-azino-bis(3-ethylbenzthiazoline-6-sulphonic acid) (ABTS+˙). Antioxidant activity of ferrocene derivative 12 was shown to be sufficiently higher than that of the compounds 11 and 11a. Based on the data obtained in comparison with aminoguanidine which is an effective protein glycation inhibitor it was established that the introduction of ferrocenyl moiety into 2,6-di-tert-butylphenol results in a dramatic increase in the inhibitory activity in protein glycation exceeding that for aminoguanidine. It should be noted that activity of compound 2 in terms of the IC50 values (21.1±1.2 μM) also exceeds the activity of the reference antioxidant Trolox (54.2±3.7 μM) in 4.3 times.
Such a significant increase in activity of the ferrocenyl derivative 2 may results from intramolecular redox processes in the phenoxy radical, which is responsible for the display of antioxidant properties.
The toxicological index LD50, effective concentration IC50 for the antiglycating activity, as well as conditional therapeutic index being the ratio of the LD50 index and antiglycating activity IC50 values were calculated. The data allows to suggest that the compound 2 (7.49) ranks below aminoguanidine in the value of therapeutic index, however, it significantly exceeds aminoguanidine in the toxicological index LD50 (866.7 and 562.6 mg·kg−1 for 2 and aminoguanidine, respectively).
Thus, the approach proposed based on introducing the ferrocenyl moiety into an antioxidant molecule of 2,6-di-tert-butylphenol, may be of interest in terms of designing potent protein glycation inhibitors and, therefore, searching for novel drug substances for the therapy of conditions which pathogenesis involves the non-enzymatic glycation.
4-Ferrocenyl-2-fluorophenylboronic acid 13 [22] can obviously serve as a convenient reagent for the design of fluorine-containing ferrocene derivatives, potential markers for electrochemical detection of biological objects. Such markers are important in the development of new methods for immunoanalysis with electrochemical detection, which at present is the issue in a growing number of publications.
Complexes with di-(2-picolyl)amine ligand
Ferrocenylmethylbis(2-pyridylmethyl)amine 14 (Scheme 4) was used as the ligand L to prepare Zn complex 14a [23]. Using the molecular docking, the possible ways of interaction of compound 14 with enzyme lipoxygenase (LOX IB) were analyzed. A mode of binding was proposed in which the structure of complex 14 was sterically complementary to the pre-dominantly hydrophobic cavity of the enzyme active site; hence, this compound can be regarded as a potential lipoxygenase inhibitor. The effect of ferrocene derivatives 14 and 14a on the activity of the LOX IB toward the oxidation of the linoleic acid as a substrate was studied. It is noteworthy that the compound 14 showed no noticeable inhibition of the lipoxygenase activity; however, the compound 14a demonstrated high activity. The inhibiting action of 14a is caused apparently by the direct binding of the metal complex to the enzyme; the compound can be classified as a redox inactive lipoxygenase inhibitor.

Structures of complexes with di-(2-picolyl)amine ligand.
A series of Zn, Mn, Fe, Co, Cu and Ni complexes ([MX2L], X=Cl, OAc) of the di-(2-picolyl)amine ligand L 15–15e and 16a–e with an antioxidant 2,6-di-tert-butylphenol pendant (Scheme 4) were synthesized and characterized by elemental analysis, IR, multinuclear NMR spectroscopy, MALDI-TOF mass spectrometry, and the molecular structures of [ZnCl2L] and [MnCl2L] were established by X-ray crystallography [24].
The metal complexes 15–15e and 16a–e could be described as polytopic agents since their molecules possess both organic antioxidant phenol groups capable of hydrogen atom transfer and a transition metal center that is capable of electron transfer. The chemical oxidation of complexes with a 2,6-di-tert-butylphenol fragment to the phenoxyl radicals was studied by means of ESR method. The ESR spectra of radicals with g-factors 2.0030÷2.0049 are multiplets corresponding to the coupling of the unpaired electron with two equivalent meta-protons of the phenoxyl ring, protons of CH2 and amine N atom. The absence of IET between radical and metal could be explained by the absence of phenol ring conjugation with the bis(2-pyridylmethyl) fragment and metal.
The antioxidant radical scavenging activity of the complexes was measured spectrophotometrically using a DPPH-test and linoleic acid peroxidation. The electron transfer reactions were examined in CUPRAC test and as the inhibition of an enzymatic reaction involving the generation of superoxide radical-anion by xanthine oxidase. The lipoxygenase (LOX 1B) inhibition activity of the studied compounds was evaluated. Whereas the ligand L possess a lowest activity with IC50=79.8±1.9 μM, the activity of metal complexes is two times higher (IC50=29.7÷41.1 μM). All compounds can be considered as potential lipoxygenase inhibitors. The in vitro biological experiments, which were performed by using rat brain homogenate, indicate high antioxidant activity of all the compounds studied. However, it should be noted that the Fe complexes are effective pro-oxidants in tBHP (tert-butylhydroperoxide)-induced lipid peroxidation.
The electrochemical approach to antioxidant activity assay based on the reaction with stable radical DPPH monitored by the rotating disk electrode (RDE) method was applied to antioxidant activity study of 15–15e in [25]. The electrochemical behavior of these compounds was studied by cyclic voltammetry (CV). The antioxidant capacity of the complexes depends strongly upon their redox properties, and the metal nature plays key role. Thus, the Co(II), Zn(II), Ni(II) complexes are less active than free ligand. But the easily oxidized Fe(II) complex 15b shows high antioxidant activity which is comparable with the efficiency of the well-known antioxidant Trolox. In this case the synergetic antioxidant effect is observed due to the presence of an essential organic radical scavenger and redox-active metal. The feasible mechanism of reaction including the reduction of DPPH due to electron transfer from Fe2+ ion was proposed (Scheme 5).

The possible reaction mechanism of 15b with DPPH.
A detailed comparative study of complexes 15a, 15b and 16a, 16b catalytic oxidative performance with H2O2 in tandem with EPR and Low-Temperature UV–vis has been carried out [26]. The [ML(OAc)2] and [MLCl2] catalysts did not show any difference in their catalytic behavior i.e. there is no effect of the labile ligands on the studied catalysis. It was found that the Mn-based catalysts consistently outcompeted the homologous Fe-based catalysts because the last one faces a significantly higher activation barrier than the Mn-based catalyst [i.e. Ea(FeL(OAC)2)=91 KJ/mol, Ea(MnL(OAC)2)=55 kJ/mol]. The data clarify that the main thermodynamic barrier, ultimately determining the overall catalytic performance, of these homologous Mn- and Fe-catalysts is the activation energy for the transient intermediates i.e. MnII to MnIV=O for the Mn-based catalysts and FeII to FeIII-OOH for the Fe-based catalysts. A unified/consistent catalytic thermodynamic concept is discussed, that bears relevance to the catalytic behavior of many non-heme Mn- vs. Fe-oxidation catalysts. Taken altogether one can expect that the pro-oxidant activity of Fe complexes shown in in vitro experiment correlate with data obtained in catalytic experiment.
Metal porhyrins
The novel metal porphyrins 17a–22a (Scheme 6) bearing 2,6-di-tert-butylphenol pendants as antioxidant substituents, and a long chain hydrocarbon palmitoyl group have been synthesized [27]. The oxidation of compounds by PbO2 leads to the formation of the corresponding 2,6-di-tert-butylphenoxyl radicals studied by ESR. The activity of porphyrins in lipid peroxidation has been examined using (1) in vitro lipid peroxidation induced by tBHP in respiring rat liver mitochondria, (2) in vitro lipid peroxidation in liver homogenates of Wistar strain rats, and (3) in a model process of peroxidation of (Z)-octadec-9-enic (oleic) acid as a structural fragment of lipids. The activity of these compounds depends dramatically on the nature of metal and might be changed from antioxidative (M=HH, Mn, Cu, Zn) to indifferent (M=Co), and to pro-oxidative one (M=Fe). The anti- or pro-oxidative action of these compounds may be derived from the concurrence between the involvement of 2,6-di-tert-butylphenol pendants acting as radical scavengers and redox active metal center promoting oxidation processes. The results of this study suggest that the polytopic compounds combining in one molecule 2,6-di-tert-butylphenol pendants, metal, porphyrin ligand, and a palmitoyl group, are membrane active compounds and might be studied in an effort to find novel pharmaceutical agents.

The structures of metal porphyrins with antioxidant moieties.
The electrochemical behavior of metal porphyrins 17–22 and 17a–22a was studied and their antioxidative activity was evaluated using an electrochemical DPPH-test monitored by CVA [28]. Depending on the nature of metal porphyrins various numbers of reversible or irreversible peaks in anodic range of potentials appears which can be attributed to ligand or metal-centered oxidation. It was shown that antioxidative activity of compounds 17–22 and 17a–22a depends strongly on the nature of metal and the presence of palmitoyl moiety in the molecule (Table 2).
The values of antioxidant activity determined by the electrochemical method as (%) of DPPH quenched in reaction with porphyrins 17–22a.
| Compound | 17/17a | 18/18a | 19/19a | 20/20a | 21/21a | 22/22a |
|---|---|---|---|---|---|---|
| AOEa | 77/53 | 84/39 | 68/42 | 71/46 | 48/28 | 51/44 |
-
aAOE=(1–Ifin./I0) 100=(1–Cfin./C0) 100 (%), C0, initial concentration of DPPH; Cfin, final concentration time of reaction with DPPH 20 min.
As it can be seen in Table 2 in all the cases the presence of palmitoyl group decreases the antioxidant efficiency (AOE). It may relate to steric hindrances which arises at the DPPH reaction with these compounds. Nevertheless, porphyrins 17–22 and 17a–22a exhibit activity significantly higher than this of a known antioxidant 2,6-di-tert-butyl-4-methylphenol (BHT) and therefore should be considered as promising antioxidants.
The comparative study of redox characteristics and antioxidant activity of porphyrins with bulky 2,6-dialkylphenol groups 17, 17a and 17b was carried out [29] using CVA. It was demonstrated that the activity of porphyrins changes along the series 17b<17a<17. It should also be noted that the antioxidant activity of compounds under study correlates with their redox properties: compounds oxidized at more anodic potentials react with DPPH at a slower rate. Noteworthy is the fact that the activity of porphyrins 17–17b is clearly superior to the activity of corresponding phenols I (BHT) and II (2,6-diisobornylphenol), even in the case where the concentration of I and II exceeds the corresponding porphyrins concentration four-fold. It can be assumed that the antioxidant activity of 17–17b is due not only to the combined effect of four phenol substituents but also to the presence of the porphyrin macrocycle in the molecule.
The complexes of biogenic metals 18b–22b based on meso-tetra(3,5-diisobornyl-4-hydroxyphenyl)porphyrin 17b were synthesized and characterized [30]. The electrochemical behavior and antioxidant activity of complexes was studied using CVA and rotating disk electrode (RDE) techniques. It was shown that the efficiency of the metal complexes 18b–22b is practically the same order as that of free base porphyrin 17b. However, the Zn complex demonstrates significantly higher antioxidant activity. The results demonstrate that porphyrin macrocycle can directly affect the antioxidant properties of 2,6-diisobornylphenol.
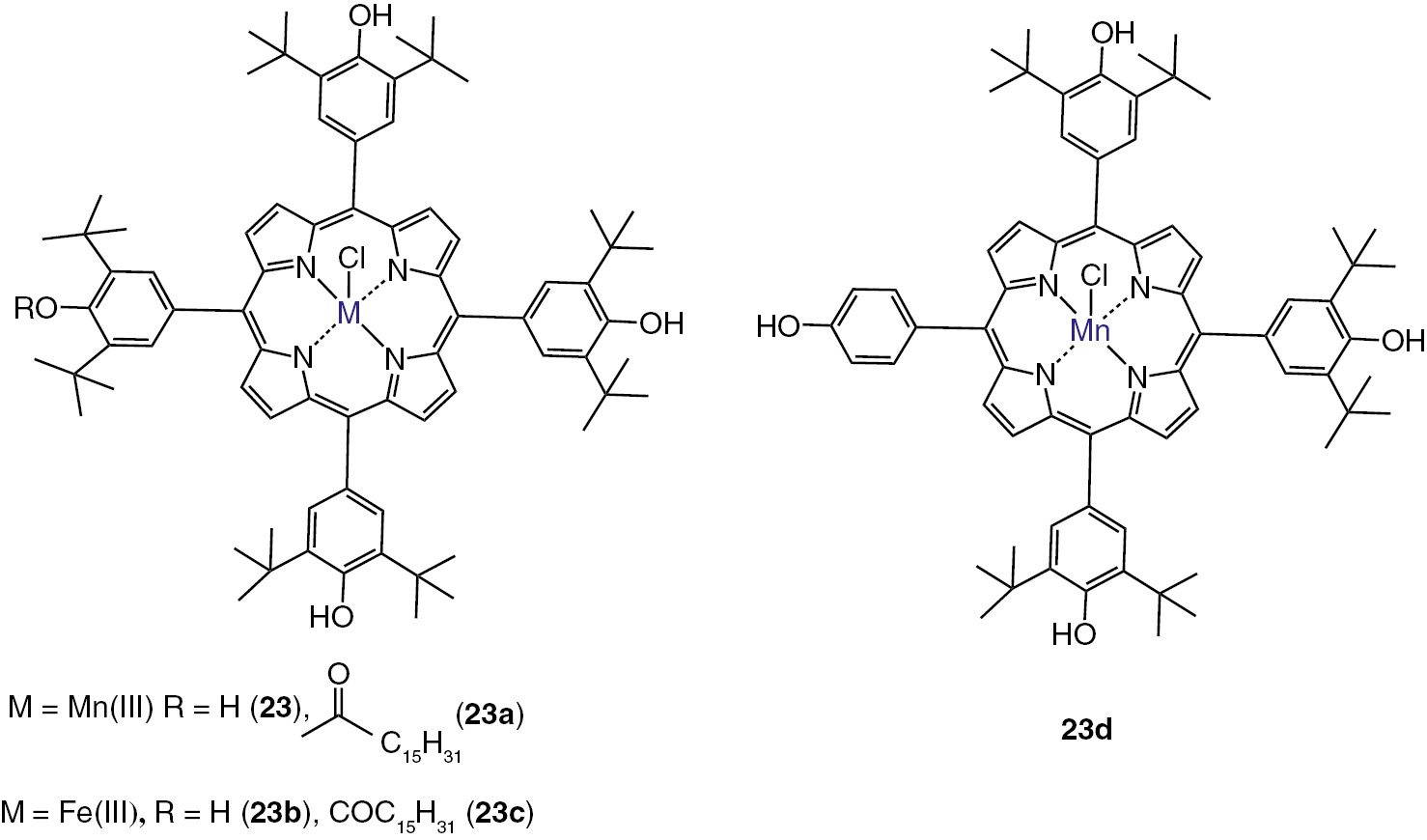
A comparative study of the catalytic activity of supported Mn(III) 23 and Fe(III) chlorides of meso-tetrakis(3,5-di-tert-butyl-4-hydroxyphenyl)porphyrin 23b and meso-tetraphenylporphyrin was reported [31]. The metal porphyrins have been immobilized via coordination bond on the surface of two series of imidazole modified silica, imidazole propyl silica (IPS) and imidazole 3-(glycidyloxypropyl) silica (IGOPS). The heterogenised catalysts have been evaluated for hydrocarbon oxidation by sodium periodate. The critical role of 2,6-di-tert-butylphenol groups on the periphery of porphyrin ring in their catalytic activity has been evaluated and pertinent structural and mechanistic aspects are discussed.
A sensitive amperometric sensor for determination of l-histidine was developed using gold electrode modified with Fe(III)-porphyrin 23c bearing three 2,6-di-tert-butylphenol groups and one palmitoyl chain [32]. Two methods of electrode modification were applied: direct chemisorption and embedment into dodecanethiol monolayer. Both types of electrodes were used for detection of l-histidine using Osteryoung square-wave voltammetry. The determination of l-histidine with electrode modified by embedment technique was more precise, in comparison to that obtained by the direct chemisorption. Applicability of gold electrodes modified with Fe(III)-porphyrin for the direct electrochemical determination of l-histidine was demonstrated using the artificial matrix mimicking human serum.
Magnetocaloric effect (MCE) and heat capacity during the magnetization of (5,10,15,20-tetrakis(3,5-di-tert-butyl-4-hydroxyphenyl)porphynato)manganese (III) chloride 23, (5-(4-hydroxyphenyl)-10,15,20- tris(3,5- di-tert-butyl-4-hydroxyphenyl)porphynato)manganese (III) chloride 23a, and (5-(4-palmitoyloxyphenyl)- 10,15,20-tris(3,5-di-tert-butyl-4-hydroxyphenyl)porphynato) manganese (III) chloride 23d (Scheme 7) in their aqueous suspensions were determined by the microcalorimetric method over the temperature range of 278–320 K and in magnetic fields from 0 to 1 T [33]. MCE was positive for all complexes studied, i.e. the magnetic field impression under adiabatic conditions led to an increase in temperature of the complexes suspensions. MCE increased with an increase in the magnetic field induction at all temperatures studied. Dependences of MCE on temperature had weak maxima at 298 K at all magnetic induction values. The disturbance of the intermolecular hydrogen bonding of hydroxyl groups is one of probable reasons for such dependences type. MCE values increased under the palmitoyl substituent incorporation into one of the phenol groups at all temperatures. The heat capacity of the studied complexes rose slightly with temperature growth. Dependences of the heat capacity on temperature showed that the magnetic component of the heat capacity did not appear due to the presence of the manganese atom acting as a paramagnetic center in complexes 23, 23a and 23d. The relation between the complexes structure and their magnetothermal properties was analyzed. It was justified that the changes of magnetothermal properties were caused by electronic substitution effects and, to an even greater degree, by the conditions of intermolecular hydrogen bonds formation in the paramagnetic materials.

The structures of Mn(III), Fe(III) porphyrins with antioxidant moieties.
Exogenic metals
Tin compounds
Organotin compounds belong to a class of super toxicants. The intensive study of organotin compounds had begun after the discovery of their anti-tumor activity by M. Gielen in the 1980s. However, the mechanism of anti-tumour activity is still under investigation.
Oxidation of a lipid structural fragment, oleic acid, in the presence of RnSnCl4−n and complexes derived from RnSnCl4−n and phosphatidylcholine [OP(O)(OH)OCH2CH2 N+(Me)3, PChol] which is a short-chain analog of phospholipids, namely (R3SnCl)2·PChol (R=Me, Ph), R2SnCl2 PChol (R=Me, Bu), and RSnCl3 PChol (R=Me, Ph) was studied [34]. The organotin complexes RnSnCl4−n themselves are promoters of lipids peroxidation. The complexes (RnSnCl4−n and phosphatidylcholine also act as pro-oxidants, and their promoting effect at a nearly physiological temperature is comparable with that observed for the corresponding organotin compounds RnSnCl4−n. It was shown that in the presence of 2,6-di-tert-butylphenol as antioxidant, the promoting effect of organotin compounds disappears. A possible reaction mechanism and the role of radical species arising from dissociation of the C–Sn bond was discussed.
The in vivo effect of Me3SnCl, free base meso-tetrakis(3,5-di-tert-butyl-4-hydroxyphenyl)porphyrin (R′4PH2) 17 and their equimolar mixture, on the enzymatic activity of catalase, superoxide dismutase, and on the total content of free sulfhydryl groups has been studied in rat liver and kidney [35]. It was demonstrated that the simultaneous treatment of tested animals with the combination of Me3SnCl and R′4PH2 reduced the toxic impact of Me3SnCl. The influence of (CH3)2SnCl2, (C2H5)2SnCl2, and SnCl2 upon the radical chain oxidation of oleic acid as model substrate LH for lipid peroxidation in the simultaneous presence of porphyrins 17 (R′4PH2) and of meso-tetraphenylporphyrin (TPPH2) has been studied [36]. The monitoring of the unsaturated acid peroxidation level has been performed by the determination of the total concentration of isomeric hydroperoxides as well as of the thiobarbituric acid reactive substances (TBARS). The organotin compounds demonstrate pro-oxidative activity. The promoting effect of these compounds decreases in the presence of TPPH2. The free-base porphyrin R″4PH2, containing the antioxidative phenolic moieties (2,6-di-tert-butylphenol), demonstrates the acute inhibitory effect upon the acid’s peroxidation. The analogous results have been achieved when compared with the influence of CH3HgI and HgCl2 upon the oleic acid peroxidation in the presence of porphyrins. This fact points out that meso-tetrakis(3,5-di-tert-butyl-4-hydroxyphenyl)porphyrin 17 shows the activities of both the antioxidant and of the scavenger for metals and might be used as a new antioxidative scavenger preventing lipids peroxidation.
The study of inorganic tin (SnCl2, SnCl4) and methyltin compounds (MeSnCl3, Me2SnCI2, Me3SnCl) effects on the enzymatic activity of alcohol dehydrogenase in the reaction of ethanol oxidation has been carried out [37]. The experimental results of the study show that inorganic tin and methyltin substances induce slight inhibition of the catalytic activity of horse liver alcohol dehydrogenase (ADH), unable to be improved during pre-incubation with the enzyme. The conditions for carrying out the kinetic investigation of the mentioned phenomenon were optimized and as it turned out the mechanism of MeSnCl3 action, as the most effective methyltin inhibitor, is more complex than the proposed interaction of the metal atom with SH-groups of the enzyme protein. It was demonstrated that the tin compounds act in the same manner as methylmercury compounds and might serve as oxidative agents towards the co-enzyme NADH. Kinetic data on MeSnCl3 were calculated. Data acquired on NAD-dependent ADH from horse liver and those regarding NAD-dependent LDH from sturgeon liver were compared.
The effect of the organotin(IV) complexes with 2-mercaptopyrimidine (L) [Me2SnL2] (24), [Bun2SnL2] (25), [Ph2SnL2] (26), and [Ph3SnL] (27) (Scheme 8) on peroxidation of fatty acids (oleic and linoleic) [38] has been observed as a promoting one for complexes 24–27 in the peroxidation of oleic acid. Their effect on the enzymatic peroxidation of linoleic acid with lipoxygenase was compared with that of cisplatin and in vitro cytoxicity against sarcoma cancer cells was determined. The antiproliferative effect of complexes 24–27 was demonstrated.
![Scheme 8:
Formulae of the complexes 24–33. [(C6H5)3Sn(mbzt)] (28) (A; X=S, Y=H), [(C6H5)3Sn(mbzo)] (29) (A; X=O, Y=H), [(C6H5)3Sn (cmbzt)] (30) (A; X=S, Y=Cl), [(C6H5)3Sn(cmbzt)2] (31) (B; R=C6H5-), [(n-C4H9)2Sn(cmbzt)2] (32) (B; R=n-C4H9-) and [(CH3)2Sn(cmbzt)2] (33) (B; R=CH3-).](/document/doi/10.1515/pac-2016-1130/asset/graphic/j_pac-2016-1130_fig_012.jpg)
Formulae of the complexes 24–33. [(C6H5)3Sn(mbzt)] (28) (A; X=S, Y=H), [(C6H5)3Sn(mbzo)] (29) (A; X=O, Y=H), [(C6H5)3Sn (cmbzt)] (30) (A; X=S, Y=Cl), [(C6H5)3Sn(cmbzt)2] (31) (B; R=C6H5-), [(n-C4H9)2Sn(cmbzt)2] (32) (B; R=n-C4H9-) and [(CH3)2Sn(cmbzt)2] (33) (B; R=CH3-).
Novel organotin (IV) complexes 28–33 were used to study their influence on the peroxidation of oleic acid [39].
The influence of complexes 30–33 upon peroxidation of oleic acid showed that the formation of reactive radicals caused the initiation of the chain radical oxidation of the substrate. The influence of complexes 28–33 upon the catalytic peroxidation of linoleic acid by the enzyme lipoxygenase (LOX) was also studied and compared to those of cisplatin. Compounds 28–33 were finally tested for in vitro cytotoxicity against leiomyosarcoma cells from the Wistar rat. These results show the anti-proliferate effects for all complexes. Among tri-organotin complexes 28–30 complex 30 shows the higher cytotoxic activity, while among di-organotin 31–33 derivatives complex 31 exhibits higher cytotoxic activity. Between tri- and di-organotin complexes, both 30 and 31 are found to exhibit almost the same strong cytotoxic activity. The development of organotin therapeutic agents is hampered by their toxicity.
Therefore, the molecular design and search for effective and safe medicinal organotins for chemotherapy is quite important. The polyfunctional ligands combining both antioxidant 2,6-di-tert-butylphenol and chelating groups for complexation were proposed to decrease the non-specific toxicity of organotins.
Four new organotin(IV) complexes (Scheme 9) 34a, b and 35a, b of bis-(2,6-di-tert-butylphenol)tin(IV) dichloride [(tert-Bu-)2(HO-Ph)]2SnCl2 (R2SnCl2 ) with the heterocyclic thioamides 2-mercapto-pyrimidine (PMTH), 2-mercapto-4-methyl-pyrimidine (MPMTH), 2-mercapto-pyridine (PYTH) and 2-mercapto-benzothiazole (MBZTH), have been synthesized and characterized by elemental analysis, 1H-, 13C-, 119Sn-NMR, EPR, FT-IR, Raman and Mössbauer spectroscopic techniques [40]. The crystal and molecular structures of compounds 34a–35b have been determined by X-ray diffraction.

Preparation of 34a–35b compounds.
Compounds 34a–35a were tested for in vitro cytotoxicity against the human breast adenocarcinoma (MCF-7) cell line. Compound 36 exhibits strong cytotoxic activity against MCF-7 cells in nanomolar region (IC50=0.58±0.1 μM).
A novel approach to the design of polyfunctional agents which combines the Sn atom and antioxidants based on 2,6-di-tert-butyl-4-mercaptophenol was proposed [41]. The use of 2,6-di-tert-butyl-4-mercaptophenol as a ligand has aimed at the simplest way of introducing an antioxidant fragment in an effective S-donor ligand which can form stable complexes with Sn and hence could lower the toxicity of potential cytotoxic agents against normal cells. A series of organotin complexes with Sn–S bonds of formulae Me2Sn(SR)2 (36a); Et2Sn(SR)2 (36b); (n-Bu)2Sn(SR)2 (36c); Ph2Sn(SR)2 (36d); R2Sn(SR)2 (36e); Me3SnSR (37a); Ph3SnSR (37b) (R=3,5-di-tert-butyl-4-hydroxyphenyl) were synthesized (Scheme 10) and characterized by elemental analysis, 1H, 13C NMR, and IR. The crystal structures of compounds 36a, 36b, 36e, and 37a were determined by X-ray diffraction analysis. The tetrahedral geometry around the Sn center in the monocrystals of 36a, 36b, 36e, and 37a was confirmed by X-ray crystallography. The high radical scavenging activity of the complexes was confirmed spectrophotometrically in a DPPH-test. The binding affinity of 36a–e, 37a, b and the starting R2SnCl2 (36f) towards tubulin through their interaction with SH groups of proteins was studied. It was found that the hindered organotin complexes could interact with the colchicine site of tubulin, which makes them promising antimitotic drugs (Table 3).

Organotin complexes based on 2,6-di-tert-butyl-4mercaptophenol.
The values of binding activity (I) of organotin compounds towards free tubulin SH- groups.
| Compound | I (%)a | EC50 (μM) |
|---|---|---|
| 36a Me2Sn(SR)2 | 7 | >100 |
| 36b Et2Sn(SR)2 | 5 | >100 |
| 36c (n-Bu)2Sn(SR)2 | 5 | >100 |
| 36d Ph2Sn(SR)2 | 15 | >100 |
| 36e R2Sn(SR)2 | 28 | 2.9±0.4 |
| 37a Me3SnSR | 10 | >100 |
| 37b Ph3Sn(SR) | 31 | 5.5±0.5 |
| 36f R2SnCl2 | 31 | 2.1±0.3 |
| RSH | n.a. | n.a. |
| Colchicine | 30 | 6.5±0.6 |
-
aThe experiments were performed at 50 μM concentration; n.a., not active.
Compounds 35a, 35b, 35e, and 36a were tested for their in vitro cytotoxicity against human breast (MCF-7) and human cervix (HeLa) adenocarcinoma cells. Complexes of 36a–f, 37a, b were also tested against normal human fetal lung fibroblast cells (MRC-5). Complexes 36b–d and 36f exhibit significantly lower cytostatic activity against the normal MRC-5 cell line compared to the tumor cell lines MCF-7 and HeLa used. A high activity against both cell lines [IC50=250 nM (MCF-7)] and [IC50=160 nM (HeLa)] was determined for the triphenyltin complex 37b while the introduction of hindered phenol groups decreases the cytotoxicity of the complexes against normal cells (Table 4).
IC50 values for cell viability found for compounds 36a–f, 37a, b and other organotin(IV)-thioamide complexes against MCF-7, HeLa and MRC-5 cell lines.
| Compound | IC50 (μM) |
Ref. | ||
|---|---|---|---|---|
| MCF-7 | HeLa | MRC-5 | ||
| 36a | 19.20±1.70 | 23.90±1.30 | 19.50±1.40 | [41] |
| 36b | 6.20±0.80 | 4.90±0.70 | 7.30±0.60 | [41] |
| 36c | 0.40±0.06 | 0.40±0.07 | 0.61±0.07 | [41] |
| 36d | 6.20±0.80 | 5.90±0.70 | 12.40±1.40 | [41] |
| 36e | >30 | >30 | >30 | [41] |
| 37a | 4.90±0.50 | 2.90±0.30 | 3.36±0.13 | [41] |
| 37b | 0.25±0.03 | 0.16±0.01 | 0.22±0.01 | [41] |
| R2SnCl2 (36f) | 3.12±0.38 | 20.64±0.94 [41] | >20 [41] | [23] |
| R2Sn(PMT)2 | 7.86±0.87 | – | [23] | |
| R2Sn(MPMT)2 | 0.58±0.1 | – | [23] | |
| R2SnCl(PYT) | >30 | – | [23] | |
| R2SnCl(MBZT) | >30 | – | [23] | |
| {[Ph3Sn(O-HTBA)·0.7 H2O]}n | 0.10 | 0.105 | [25] | |
| [(n-Bu)3Sn(O-HTBA)·H2O] | 0.07 | 0.065 | [26] | |
| [Ph3Sn]2(MNA)·Me2CO] | 0.03 | – | [22] | |
| [(n-Bu)2Sn(L)2] | 0.12 | – | [27] | |
| [Ph2Sn(L)2] | 0.56 | – | [27] | |
| [(Ph-CH2)2Sn(L)2] | 0.54 | – | [27] | |
| Cisplatin | 18.5 | 10.5 | 19.6 | [23], [28] |
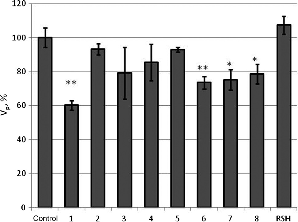
The compounds of 36a–f, 37a, b have been used to study the possible mechanisms of their cytotoxicity in [42]. With this aim the influence of organotin compounds 36a–f, 37a, b as well as their precursor R2SnCl2 (36f) on tubulin assembly in microtubules was investigated. Compounds 36a, 36f, 37a, b reveal the statistically significant inhibition of tubulin polymerization without notable disturbances of microtubules structure (Fig. 2).

Influence of organotin complexes 36a–f, 37a, b and 2,6-di-tert-butyl-4-mercaptophenol (RSH) on tubulin polymerization (*p<0.05, **p<0.01, Student’s t-test; Vp=dF(480/355)/dt).
For the compounds 37b and 36d the concentration dependence of their influence on tubulin polymerization was estimated. Compound 4 does not induce statistically significant inhibition of tubulin polymerization up to 200 μM. But the concentration-dependent inhibition of tubulin polymerization for compound 7 with IC50=100±6 μM was shown (Fig. 3).

The influence of compound 37b on tubulin polymerization (a) kinetic curve of tubulin polymerization as the change in fluorescence intensity; (b) the concentration dependence of tubulin polymerization rate (Vp) in the presence of compound 37b.
Docking simulations revealed the possibility of organotin compounds to bind in the paclitaxel or vinblastine sites on the tubulin surface, but the mechanism of action of the compounds could not be explained based solely on these data. The influence on mitochondrial potential and induction of mitochondrial permeability transition also have been studied. Organotin compound 37a depolarizes the mitochondria and induces the mitochondrial permeability transition. These properties may be the main reason of its cytotoxicity. Since the organotins possess the protective 2,6-di-tert-butylphenol groups the antioxidant potential of these compounds as inhibitors of mitochondrial lipid peroxidation was studied. All compounds under investigation effectively inhibit the Fe3+-induced mitochondrial lipid peroxidation. The comparative study of structure-activity relationship in the lipid peroxidation inhibition was performed. All tested compounds are effective antioxidants with IC50 values ranging between 0.1 and 3 μM, except compound 36f that shows low antioxidant activity (IC50=23.6 μM). The introduction of hindered phenol groups decreases the cytotoxicity of compounds. This result opens up the possibility of designing novel anticancer drugs that might possess lower undesirable toxicity against normal cells.
The study of the inhibiting activity of compounds 36a, 37a and 38 in the nonenzymatic oxidation of cis-9-octadecenoic (oleic) acid was carried out [43]. The compounds under study behave as inhibitors of mixed type; the phenolic fragment participates in the termination of kinetic chain of oxidation in the reaction with peroxide radicals while the sulfide fragment of the molecule degrades hydroperoxides without radical formation.
This study showed that organotin compounds with Sn–S bond containing and 2,6-di-tert-butylphenol fragment can inhibit the enzymatic reaction resulting in linoleic acid hydroperoxide and behave as antioxidant agents. The study of the effect of tin compounds on the content of SH groups of tubulin showed that the concentration of SH groups in the presence of dimethyltin derivative 36a is constant, while trimethyltin derivative 37a decreases this parameter by 27%. The largest drop in the content of SH groups (by 45%) is observed in the presence of compound 38. This compound may be considered as a potential antimitotic agent with antioxidant activity.
Complexes of organotin compounds R2SnCl2 with bis- andtris-phosphonate derivatives of 2,6-di-tert-butyl-4-methylphenol (BHT) were synthesized by Scheme 11 and X-ray diffraction studies were carried out for compounds 40e and 41b [44].

Preparation and formulae of organotin complexes with bis- and tris-phosphonate derivatives of BHT.
The redox properties of the synthesized compounds were characterized by CVA. Antioxidant/prooxidant activity of the complexes was studied using an electrochemical DPPH test. The data obtained were compared with the results of studying activity of the compounds in in vitro lipid peroxidation. A correlation is observed between the results on antioxidant activity obtained by electrochemical DPPH test and using biological samples. Unlike the initial organotin compounds, the synthesized complexes have antioxidant activity, whereas phosphorus-containing phenols exhibit the properties of efficient antioxidants and chelating agents.
Gold compounds
It was shown that the reactions of HAuCl4 with the thioamides; 2-mercapto-benzothiazole (mbztH) and 5-ethoxy-2-mercapto-benzimidazole (EtmbzimH) lead to the desulfuration of the ligands and the formation of the ionic complexes {[AuCl4]− [bztH2]+} (42a), and {[AuCl4]− [EtbzimH2]+(H2O)} (42b) (where bztH2+ and EtbzimH2+ are the desulfurated cations of the starting ligands) [45]. The reaction of HAuCl4 with 2-mercapto-nicotinic acid (mnaH2), however, results in the formation of 2-sulfonate-nicotininc acid (C6H5NO5S) with the simultaneous oxidation of the sulfur atom. On the other hand, the reactions of the gold(I) complex [Au(tpp)Cl] 43 [tpp=triphenylphosphine (Ph3P)] with the thioamides; 2-mercapto-thiazolidine (mtzdH), 2-mercapto-benzothiazole (mbztH) and 5-chloro-2-mercapto-benzothiazole (ClmbztH) in the presence of potassium hydroxide resulted in the formation of the gold(I) complexes of formulae [Au(tpp)(mtzd)] (44a), [Au(tpp)(mbzt)] (44b) and [Au(tpp)(Clmbzt)] (44d) without ligand desulfuration (Scheme 12).

Molecular formulae of ligands used to synthesize Au complexes 42a–44b.
All complexes have been characterized by elemental analysis, FT-IR, far-FT-IR, 1H-NMR, spectroscopic techniques and X-ray crystallography. The electrochemical behavior of these complexes and the ligands EtmbzimH, mbztH and mnaH2 was also studied in acetonitrile and DMF using cyclic voltammetry. Complexes 4a2–44b were tested for in vitro cytotoxicity against leiomyosarcoma cells and the results are discussed in relation with the geometry of the complexes and compared with those of cisplatin and other metals. Complexes 42a and 44a showed higher activity than that of cisplatin, while HAuCl4 was inactive against sarcoma cells.
Novel gold(I) complexes PPh3AuSR 45 and [(Ph3PAu)2SR]2(BF4)245a with a protective antioxidant group R (R=3,5-di-tert-butyl-4-hydroxyphenyl) were synthesized (Scheme 13) and characterized by 1H, 13C, 31P NMR, IR and elemental analyses [46]. Crystal structures of compounds 45, 45a were determined by X-ray diffraction. Compound 2 in crystal has a cluster structure with four Au–Au bonds. The tetragold(I) dication is composed of four PPh3Au units with bridging sulfur atoms, Au4 moiety has geometry of a distorted tetrahedron. The biological impact of gold complexes 45, 45a and theirs precursors (RSH and AuPPh3Cl) on lipid peroxidation, mitochondrial functions, the tubulin polymerization, activity of glutathione reductase and cell viability were investigated. The comparative study of structure-activity relationship was performed. It was found that RSH and Au complexes 45 and 45a as opposed to AuPPh3Cl, prevented Fe3+ and tBHP-induced lipid peroxidation in isolated mitochondria. The number of 2,6-di-tert-butylphenol fragments influences the inhibitory effect. AuPPh3Cl induced swelling and depolarization of mitochondria, whereas RSH and the gold complexes 45, 45a containing 2,6-di-tert-butylphenol showed little to null effect. The ligand RSH and AuPPh3Cl as well as gold complexes 45, 45a have no impact on tubulin polymerization. Gold complexes were found to inhibit glutathione reductase. Compounds were tested for cytotoxicity against a primary culture of rat cerebellar granule cells. The high toxicity was determined for AuPPh3Cl while the introduction of antioxidant phenol groups decreased the cytotoxicity of Au complexes. These results open up the scopes in design of novel low toxic, gold based pharmacological agents.

Synthesis of gold complexes 45 and 45a containing 2,6-di-tert-butyl-4-mercaptophenol.
Rhodium compounds
By exploiting the peculiar reactivity of [Rh2(μ-O2CBut)4(H2O)2] 46 the examples of dinuclear rhodium(II) carboxylates containing N-donor axial ligands 46a, b [Rh2(μ-O2CBut)4L2] [where L=benzonitrile (a), 3,5-di-tert-butyl-4-hydroxybenzonitrile (b)] were synthesized (Scheme 14) and characterized by elemental analysis, IR, multinuclear NMR spectroscopy, MALDI-TOF mass spectrometry [47].

Synthesis of dinuclear rhodium (II) complexes with 2,6-di-tert-butylphenol moieties.
It was found by X-ray diffraction that pairs of 46b in crystals are associated through H atoms of phenol groups to produce a dimer of dimers. The chemical oxidation of dirhodium complexes with 2,6-di-tert-butyl-4-cyanophenol pendants studied by means of ESR method in solutions leads to the formation of corresponding phenoxyl radicals in dirhodium system. The ESR data show the interaction of the unpaired electron with ligand nuclei (1H, 14N) and 103Rh. The stability of radical complexes with phenoxyl fragments in axial position is influenced by the temperature. The enthalpy of the decomposition followed by the formation of cyanophenoxyl radical as 20±1 kJ/mol was estimated.
Redox transformations in dirhodium system including both metal and axial ligands were investigated by electrochemistry. CVA experiments confirm the assumption of the metal oxidation Rh(II)–Rh(III) as the first step following by the oxidation of the ligand.
Scavengers
There is an urgent need to find new detoxification agents to prevent or inhibit the disruption of the cellular antioxidative system when metals are involved. Processes caused by active radical species are prevented or inhibited by treating the organism with natural or synthetic antioxidants. The application of chelating agents such as metal scavengers seems to be important to exclude the impact of the metal ion (Scheme 15).

The complex approach to prevent the metal toxicity.
We proposed novel compounds with antioxidative properties which can be radical scavengers and chelating agents for toxic metals – functionalized mono- and bisphosphinates 47–48b with 2,6-di-tert-butyl-4-methylphenol (BHT) fragments [48], [49]. The properties of phenoxyl radicals generated by the oxidation of 47–49 (Scheme 16) were studied by ESR [50]. These compounds exist as conformers that are interconvertible with a temperature-dependent rate. Numerical processing of the ESR spectra gave the thermodynamic and activation parameters that characterize the interconversion of the conformers. The antioxidant activities of the compounds were studied in a model oxidation of oleic acid and with biological objects. These phenols efficiently inhibited radical oxidation reactions.

Formulae of the phosphorylated BHT derivatives.
The antioxidant activities and redox behavior of phenols 47–52 were studied [51], [52] to elucidate the effect of the phosphonate group and compared to BHT. To block removal of the hydrogen atom from the hydroxyl group, phenols were compared to their analogues, phosphonic acids containing anisole fragments 55a, 55b. Determination of AA was carried out in vitro by a standard procedure based on accumulation of TBARS, in the fish liver (Acipenser guldenstadti Brandt). To estimate the action of these antioxidants under oxidative stress conditions promoted by mercury and tin organic derivatives, the effect of CH3HgI, CH3SnCl3, (CH3)2SnCl2, and (CH3)3SnCl additives on the liver lipid peroxidation was considered and it was shown that almost all the organotin-and organomercury compounds are pro-oxidants. The most pronounced inhibition of accumulation of TBARS was found for compound 48b which is oxidized at least anodic potentials.
A noticeable antioxidant action was found for all peroxidation stages; unlike autoxidation, peroxidation suppression was observed even in early stages and was somewhat enhanced with an increase in oxidation time. Phosphorylated phenols 47–50 generally suppressed lipid peroxidation more efficiently in the case of autoxidation than in the case of metal-promoted oxidation. A decrease in the promoting action of mercury and tin compounds during long-term process in the presence of phosphorylated phenols was demonstrated. These results are evidence of the combined action of the phenol moiety and phosphonic acid residue in the in vitro inhibition of the lipid oxidative destruction in liver homogenate. The correlation was found between the oxidation potential of the phosphorus-containing phenols and their antioxidant efficiency in the in vitro lipid peroxidation that makes it possible to use CVA for primary bioassay of the antioxidant activity of 2,6-di-tert-butylphenols.
The electrochemical properties and antioxidant activities of phenols d 53–54a containing phosphonate groups were studied by cyclic voltammetry (CV) in [53] and were compared with the activity of BHT. In order to block the abstraction of hydrogen atom, the behavior of these compounds was compared with an analog, namely, phosphonic acids 55a, b containing an anisole fragment. The reactions of these compounds with DPPH were monitored, and their antioxidant activities were quantitatively estimated using CV. The efficiency varies in the series 53<53≈53b<54a<54. The compounds 55a, b does not show any radical scavenging properties. The phenols 54 and 54a possessing highest activity are oxidized at the least anodic potentials. This means that the redox activity and the radical scavenging properties of these phenolic antioxidants are correlated.
The effect of lipophilic [N-(3,5-di-tert-butyl-4-hydroxybenzyl)-N,N-di(2-pyridylmethyl)]amine 56 and its water-soluble hydrochloride on the oxidative status of tissues of Wistar rats in vivo was studied [54]. The change in the xanthine oxidase activity, the level of free radical processes in blood, and the antioxidant activities of blood serum were determined and the content of TBARS in animal tissues were measured by biochemiluminescence under induced oxidative stress conditions. The performed comparative investigation of the in vivo impact of polyfunctional compounds containing pyridine and 2,6-di-tert-butylphenol moieties in the molecules on the organism provides the conclusion that this impact is multifactorial and is more pronounced for water soluble form, i.e. [N-(3,5-di-tert-butyl-4-hydroxybenzyl)-N,N-di(2-pyridylmethyl)]amine hydrochloride. The results open perspectives for the search of new types of protectors against the oxidative stress.
The use of a (3,5-di-tert-butyl-4-hydroxy phenyl) methylenediphosphonic acid 48b to improve the cryoresistance of beluga sperm cells was discussed in [55]. Cryoprotective effect of this compound was estimated by its influence on the rate of lipid peroxidation of beluga sperm fragments, on its activity and fertility in the conditions of cryopreservation. The efficiency of the compound was shown to exceed the effect of lipid-soluble antioxidants BHT and Trolox in the conditions of cryopreservation. It was shown that the level of TBARS was inversely proportional to the motility time of sperm cells. The fertility of beluga sperm increased two times upon the addition of phosphorus-containing phenol 48b to a modified Stein’s medium. Thus, it was shown that a cryoprotective effect of 48b exceeded the effect of known antioxidants. This fact is probably caused by the presence of two fragments in a molecule of phosphorus-containing phenol – antiradical unit of phenol and phosphoryl groups able to form complexes, which gives rise to a multiple mechanisms of antioxidative effect.
Conclusion
Our key approach was the modification of the known metal containing compound with proved pharmacological efficacy by introducing the protective groups for attenuation of general toxicity. The data presented in this review demonstrate that combining of two redox-active centers (metal ion and 2,6-di-tert-butyphenol moiety) mostly results in a significant rise of physiological activity.
Ferrocenes, metal porphyrins and complexes of biogenic metals with ligands containing 2,6-dialkylphenol fragment in most cases demonstrate activity higher than that of BHT or compounds without such a moiety. The activity of porphyrins 17–17b is superior to the activity of corresponding compounds BHT and 2,6-diisobornylphenol, even in the case where the concentration of phenols exceeds the corresponding porphyrins concentration four-fold. There exists mutual influence of metal ion and redox-active ligand, and antioxidative activity depends upon the redox properties of these compounds. Thus, easily oxidized Fe complex with di-(2-picolyl)amine ligand containing 2,6-di-tert-butylphenol pendant demonstrates high activity which is comparable with the efficiency of the well-known antioxidant Trolox.
The organotins with the 2,6-di-tert-butylphenol groups were shown as effective inhibitors of induced mitochondrial lipid peroxidation. The introduction of hindered phenol groups decreases the cytotoxicity of complexes. Organotin complex 38a depolarizes the mitochondria and induces the mitochondrial permeability transition and these properties may be the main reason of its cytotoxicity. This result opens the possibility of designing novel anticancer drugs that might possess lower undesirable toxicity against normal cells.
The gold complexes with 2,6-di-tert-butylphenol groups as opposed to AuPPh3Cl were found to be inhibitor of induced mitochondrial lipid peroxidation. The high in vitro toxicity against primary culture of rat cerebellar granule cells was determined for the AuPPh3Cl only while the introduction of antioxidant hindered phenol groups into the complex molecule decreases their cytotoxicity. These results suggest that the polytopic compounds combining in one molecule 2,6di-tert-butylphenol pendants, gold center and thiol ligand are membrane active compounds and may be studied with the aim to find novel gold containing agents that possess lower undesirable toxicity.
Thus, we can conclude that the combination of two physological active moieties (metal ion and protective organic ligand with antioxidant function) in a molecule of the complex is a promising approach to find the novel hybrid therapeutic agents with opposed biological mode of action which can be advantageous over drugs based on metal or organic compound only.
Article note
A collection of invited papers based on presentations at the XX Mendeleev Congress on General and Applied Chemistry (Mendeleev XX), held in Ekaterinburg, Russia, September 25–30 2016.
Acknowledgments
The financial support of Russian Science Foundation (grant N 14-13-00483) and Russian Foundation for Basic Research (grant N 15-03-03057/17-03-00892) is gratefully acknowledged.
References
[1] E. R. Milaeva. Cur. Top. Med. Chem. 11, 2703 (2011).10.2174/156802611798040741Search in Google Scholar
[2] I. Kostova, S. Balkansky. Cur. Med. Chem.20, 4508 (2013).10.2174/09298673113206660288Search in Google Scholar
[3] G. P. Trueba, G. M. Sanchez, A. Giuliani. Front. Biosci. 9, 2029 (2004).10.2741/1335Search in Google Scholar
[4] K. Z. Guyton, T. W. Kensler. Br.Med. Bull. 49, 523 (1993).10.1093/oxfordjournals.bmb.a072628Search in Google Scholar
[5] J. E. Klaunig, L. M. Kamendulis. Annu. Rev. Pharmacol. Toxicol. 44, 239267 (2004).10.1146/annurev.pharmtox.44.101802.121851Search in Google Scholar
[6] P. Kovacic, J. D. Jacintho. Curr. Med. Chem. 8, 773 (2001).10.2174/0929867013373084Search in Google Scholar
[7] P. Knekt, J. Jarvinen, R. Seppanen, A. Rissanen, A. Aromaa, O. P. Heinonen, D. Albanes, M. Heinonen, E. Pukkala, L. Teppo. Am. J. Epidemiol. 134, 471 (1991).10.1093/oxfordjournals.aje.a116118Search in Google Scholar
[8] E. White, J. S. Shannon, R. E. Patterson. Cancer Epidemiol. Biomarkers Prev. 6, 769 (1997).Search in Google Scholar
[9] M. Valko, H. Morris, M. Mazur, P. Rapta, R. F. Bilton. Biochim. Biophys. Acta. 1527, 161 (2001).10.1016/S0304-4165(01)00163-5Search in Google Scholar
[10] B. Halliwell. Annu. Rev. Nutr.16, 33 (1996).10.1146/annurev.nu.16.070196.000341Search in Google Scholar
[11] E. Denisov. Handbook of Antioxidants, CRC Press, Boca Raton, New York (1995).Search in Google Scholar
[12] M. N. Xanthopoulou, S. K. Hadjikakou, N. Hadjiliadis, M. Schurmann, K. Jurkschat, A. Michaelides, S. Skoulika, T. Bakas, J. Binolis, S. Karkabounas, K. Charalabopoulos. J. Inorg. Biochem. 96, 425 (2003).10.1016/S0162-0134(03)00178-8Search in Google Scholar
[13] I. I. Verginadis, S. Karkabounas, Y. Simos, E. Kontargiris, S. K. Hadjikakou, A. Batistatou, A. Evangelou, K. Charalabopoulos. Eur. J. Pharm. Sci. 42, 253 (2011).10.1016/j.ejps.2010.11.015Search in Google Scholar
[14] M. N. Xanthopoulou, S. K. Hadjikakou, N. Hadjiliadis, M. Kubicki, S. Skoulika, T. Bakas, M. Baril, I. S. Butler. Inorg. Chem. 46, 1187 (2007).10.1021/ic061601fSearch in Google Scholar
[15] V. I. Balas, I. I. Verginadis, G. D. Geromichalos, N. Kourkoumelis, L. Male, M. B. Hursthouse, K. H. Repana, E. Yiannaki, K. Charalabopoulos, T. Bakas, S. K. Hadjikakou. Eur. J. Med. Chem.46, 2835 (2011).10.1016/j.ejmech.2011.04.005Search in Google Scholar
[16] V. I. Balas, S. K. Hadjikakou, N. Hadjiliadis, N. Kourkoumelis, M. E. Light, M. Hursthouse, A. K. Metsios, S. Karkabounas. Bioinorg. Chem. Appl. 2008, 1 (2008).10.1155/2008/654137Search in Google Scholar
[17] L. Pellerito, L. Nagy. Coord.Chem. Rev.224, 111 (2002).10.1016/S0010-8545(01)00399-XSearch in Google Scholar
[18] N. N. Meleshonkova, D. B. Shpakovsky, A. V. Fionov, A. V. Dolganov, T. V. Magdesieva, E. R. Milaeva. J. Organometal. Chem.692, 5339 (2007).10.1016/j.jorganchem.2007.08.013Search in Google Scholar
[19] E. R. Milaeva, S. I. Filimonova, N. N. Meleshonkova, L. G. Dubova, E. F. Shevtsova, S. O. Bachurin, N. S. Zefirov. Bioinorg. Chem. Appl.2010, 1 (2010).10.1155/2010/165482Search in Google Scholar
[20] V. Yu. Tyurin, N. N. Meleshonkova, A. V. Dolganov, A. P. Glukhova, E. R. Milaeva. Russ. Chem. Bul. 60, 647 (2011).10.1007/s11172-011-0100-4Search in Google Scholar
[21] E. R. Milaeva, D. B. Shpakovsky, N. N. Meleshonkova, S. I. Orlova, E. F. Shevtsova, L. G. Dubova, E. G. Kireeva, V. A. Kosolapova, V. A. Kusnetsova, D. V. Sorotsky, O. A. Solov’eva, A. A. Spasov. Rus. Chem. Bull.64, 1 (2015).10.1007/s11172-015-0812-ySearch in Google Scholar
[22] E. R. Milaeva, N. N. Meleshonkova, D. B. Shpakovsky, V. V. Paulavets, S. I. Orlova, D. I. Osolodkin, V. A. Palyulin, S. V. Loginov, P. A. Storozhenko, N. S. Zefirov. Dok. Chem.443, 186 (2012).10.1134/S0012500812030032Search in Google Scholar
[23] V. N. Okulov, I. V. Ananyev, E. R. Milaeva, D. A. Lemenovskii, V. P. Dyadchenko. Rus. Chem. Bull.64, 2244 (2015).10.1007/s11172-015-1145-6Search in Google Scholar
[24] E. R. Milaeva, D. B. Shpakovsky, Y. A. Gracheva, S. I. Orlova, V. V. Maduar, B. N. Tarasevich, N. N. Meleshonkova, L. G. Dubova, E. F. Shevtsova. Dalton Trans. 42, 6817 (2013).10.1039/c3dt50160dSearch in Google Scholar PubMed
[25] V. Yu. Tyurin, A. A. Moiseeva, D. B.Shpakovsky, E. R. Milaeva. J. Electroanal. Chem.756, 212 (2015).10.1016/j.jelechem.2015.07.024Search in Google Scholar
[26] M. Papastergiou, P. Stathi, E. R. Milaeva, Y. Deligiannakis, M. Louloudi. J. Catal.341, 104 (2016).10.1016/j.jcat.2016.06.017Search in Google Scholar
[27] E. R. Milaeva, O. A. Gerasimova, Z. Jingwei, D. B. Shpakovsky, S. A. Syrbub, A. S. Semeykin, O. I. Koifman, E. G. Kireeva, E. F. Shevtsova, S. O. Bachurin, N. S. Zefirova. J. Inorg. Biochem.102, 1348 (2008).10.1016/j.jinorgbio.2008.01.022Search in Google Scholar PubMed
[28] V. Yu. Tyurin, Z. Jingwei, A. Glukhova, E. R. Milaeva. Macroheterocycles4, 211 (2011).10.6060/mhc2011.3.10Search in Google Scholar
[29] V. Yu. Tyurin, J. Zhang, A. A. Moiseeva, E. R. Milaeva, D. V. Belykh, E. V. Buravlev, T. K. Rocheva, I. Yu. Chukicheva, A. V. Kuchin. Dok. Chem.450, 152 (2013).10.1134/S0012500813060025Search in Google Scholar
[30] T. Rocheva, V. Tyurin, D. Belykh, A. Moiseeva, J. Zhang, E. Buravlev, I. Chukicheva, A. Kutchin, E. Milaeva. Amer. J. Anal. Chem.5, 1028 (2014).10.4236/ajac.2014.515109Search in Google Scholar
[31] E. R. Milaeva, O. A. Gerasimova, A. L. Maximov, E. A. Ivanova, E. A. Karachanov, N. Hadjiliadis, M. Louloudi. Catal. Commun.8, 2069 (2007).10.1016/j.catcom.2007.04.012Search in Google Scholar
[32] K. Kurzątkowska, D. Shpakovsky, J. Radecki, H. Radecka, Z. Jingwei, E. Milaeva. Talanta. 78, 126 (2009).10.1016/j.talanta.2008.10.051Search in Google Scholar PubMed
[33] V. V. Korolev, T. N. Lomova, A. N. Maslennikova, D. V. Korolev, D. B. Shpakovsky, J. Zhang, E. R. Milaeva. J. Magnet. Magnet. Mater.401, 86 (2016).10.1016/j.jmmm.2015.10.014Search in Google Scholar
[34] V. S. Petrosyan, E. R. Milaeva, Yu. A. Gracheva, E. V. Grigor’ev, V. Yu. Tyurin, Yu. T. Pimenov, N. T. Berberova. Appl. Organomet. Chem.16, 655 (2002).10.1002/aoc.360Search in Google Scholar
[35] E. R. Milaeva, V. Yu. Tyurin, Y. A. Gracheva, M. A. Dodochova, L. M. Pustovalova, V. N. Chernyshev. Bioinorg. Chem. Appl.2006, 1 (2006).10.1155/BCA/2006/64927Search in Google Scholar PubMed PubMed Central
[36] E. R. Milaeva, V. Yu. Tyurin, D. B. Shpakovsky, O. A. Gerasimova, Z. Jingwei, Y. A. Gracheva. Heteroat. Chem.17, 475 (2006).10.1002/hc.20269Search in Google Scholar
[37] P. V. Bychkov, T. N. Shekhovtsova, E. R. Milaeva. Bioinorg. Chem. Appl.3, 191 (2005).10.1155/BCA.2005.191Search in Google Scholar PubMed PubMed Central
[38] M. N. Xanthopoulou, S. K. Hadjikakou, N. Hadjiliadis, N. Kourkoumelis, E. R. Milaeva, Yu. A. Gracheva, V. Yu. Tyurin, I. Verginadis, S. Karkabounas, M. Baril, I. S. Butlerd. Rus. Chem. Bull.56, 767 (2007).10.1007/s11172-007-0115-zSearch in Google Scholar
[39] M. N. Xanthopoulou, S. K. Hadjikakou, N. Hadjiliadis, E. R. Milaeva, J. A. Gracheva, V. Yu. Tyurin, N. Kourkoumelis, K. C. Christoforidis, A. K. Metsios, S. Karkabounas, K. Charalabopoulos. Europ. J. Med.Chem.43, 327 (2008).10.1016/j.ejmech.2007.03.028Search in Google Scholar PubMed
[40] D. B. Shpakovsky, C. N. Banti, G. Beaulieu-Houle, N. Kourkoumelis, M. Manoli, M. J. Manos, A. J. Tasiopoulos, S. K. Hadjikakou, E. R. Milaeva, K. Charalabopoulos, T. Bakas, I. S. Butlerd, N. Hadjiliadis. Dalton Trans. 41, 14568 (2012).10.1039/c2dt31527kSearch in Google Scholar PubMed
[41] D. B. Shpakovsky, C. N. Banti, E. M. Mukhatova, Yu. A. Gracheva, V. P. Osipova, N. T. Berberova, D. V. Albov, T. A. Antonenko, L. A. Aslanov, E. R. Milaeva, S. K. Hadjikakoub. Dalton Trans.43, 6880 (2014).10.1039/C3DT53469CSearch in Google Scholar PubMed
[42] E. R. Milaeva, D. B. Shpakovsky, Yu. A. Gracheva, T. A. Antonenko, D. I. Osolodkin, V. A. Palyulin, P. N. Shevtsov, M. E. Neganova, D. V. Vinogradova, E. F. Shevtsova. J. Organomet. Chem.782, 96 (2015).10.1016/j.jorganchem.2014.12.013Search in Google Scholar
[43] E. M. Mukhatovaa, V. P. Osipovab, M. N. Kolyadab, N. O. Movchanb, D. B. Shpakovskyc, Yu. A. Grachevac, S. I. Orlovac, E. R. Milaevac. Dokl. Chem.451, 177 (2013).10.1134/S001250081307001XSearch in Google Scholar
[44] V. Yu. Tyurin, Wu. Yaohuan, A. A. Prishchenko, D. B. Shpakovsky, Yu. A. Gracheva, T. A. Antonenko, V. A. Tafeenko, D. V. Al’bov, L. A. Aslanov, E. R. Milaeva. Rus. Chem. Bull.64, 1419 (2015).10.1007/s11172-015-1026-zSearch in Google Scholar
[45] K. N. Kouroulis, S. K. Hadjikakou, N. Kourkoumelis, M. Kubicki, L. Male, M. Hursthouse, S. Skoulika, A. K. Metsios, V. Y. Tyurin, A. V. Dolganov, E. R. Milaeva, N. Hadjiliadis. Dalton Trans. 38, 10446 (2009).10.1039/b909587jSearch in Google Scholar PubMed
[46] E. R. Milaeva, D. B. Shpakovsky, V. P. Dyadchenko, A. I. Gryzlov, Yu. A. Gracheva, T. A. Antonenko, M. J. Parulava, D. V. Albov, L. A. Aslanov, L. G. Dubova, P. N. Shevtsov, M. E. Neganova, E. F. Shevtsova. Polyhedron, 2017. doi: 10.1016/j.poly.2016.08.037. In press.10.1016/j.poly.2016.08.037Search in Google Scholar
[47] E. R. Milaeva, N. N. Meleshonkova, D. B. Shpakovsky, K. V. Uspensky, A. V. Dolganov, T. V. Magdesieva, A. V. Fionov, A. A. Sidorov, G. G. Aleksandrov, I. L. Eremenko. Inorg. Chim. Acta.363, 1455 (2010).10.1016/j.ica.2010.01.029Search in Google Scholar
[48] A. A. Prishchenko, M. V. Livantsov, O. P. Novikova, L. I. Livantsova, E. R. Milaeva. Heteroat. Chem.19, 490 (2008).10.1002/hc.20458Search in Google Scholar
[49] A. A. Prishchenko, M. V. Livantsov, O. P. Novikova, L. I. Livantsova, E. R. Milaeva. Heteroat. Chem.19, 562 (2008).10.1002/hc.20475Search in Google Scholar
[50] V. Yu. Tyurin, Yu. A. Gracheva, E. R. Milaeva, A. A. Prishchenko, M. V. Livantsov, O. P. Novikova, L. I. Livantsova, A. V. Maryashkin, M. P. Bubnov, K. A. Kozhanov, V. K. Cherkasov. Rus. Chem. Bull.56, 774 (2007).10.1007/s11172-007-0116-ySearch in Google Scholar
[51] N. A. Antonova, M. N. Kolyada, V. P. Osipova, Yu. T. Pimenov, N. T. Berberova, V. Yu. Tyurin, Yu. A. Gracheva, E. R. Milaeva. Dokl. Chem. 419, 62 (2008).10.1134/S0012500808030051Search in Google Scholar
[52] N. A. Antonova, V. P. Osipova, M. N. Kolyada, I. V. Smolyaninov, N. T. Berberova, V. Yu. Tyurin, Wu. Yaohuang, E. R. Milaeva. Dokl. Chem.432, 629 (2010).10.1134/S0012500810060030Search in Google Scholar
[53] V. Yu. Tyurin, Wu. Yaohuang, A. V. Dolganov, E. R. Milaeva. Dokl. Chem.436, 641 (2011).10.1134/S0012500811020042Search in Google Scholar
[54] A. I. Strel’nikov, I. K. Tomilova, B. G. Safronov, V. V. Krishtop, E. L. Aleksakhina, D. B. Shpakovsky, E. R. Milaeva. Rus. Chem. Bul.63, 1238 (2014).10.1007/s11172-014-0581-zSearch in Google Scholar
[55] V. P. Osipova, M. N. Kolyada, N. T. Berberova, E. R. Milaeva, E. N. Ponomareva, M. M. Belaya. Cryobiol.69, 469 (2014).10.1016/j.cryobiol.2014.10.007Search in Google Scholar
©2017 IUPAC & De Gruyter. This work is licensed under a Creative Commons Attribution-NonCommercial-NoDerivatives 4.0 International License. For more information, please visit: http://creativecommons.org/licenses/by-nc-nd/4.0/
Articles in the same Issue
- Frontmatter
- In this issue
- Preface
- Research papers from the XXth Mendeleev Congress on General and Applied Chemistry
- Conference papers
- Light-controlled spin-state-switching rearrangements of transition metal complexes with photochromic ligands
- Hypoglycemic potential of cyclic guanidine derivatives
- Non-traditional Ziegler-Natta catalysis in α-olefin transformations: reaction mechanisms and product design
- Perspective tendencies in development of small scale processing of gas resources
- Cage amines in the metal–organic frameworks chemistry
- Hybrid metal complexes with opposed biological modes of action – promising selective drug candidates
- Electrochemical methods for synthesis of organoelement compounds and functional materials
- Monoterpenes as a renewable source of biologically active compounds
- Some new trends in the design of single molecule magnets
- Catalysis in a dispersion medium for the hydrogenation of aromatics and hydrodearomatization in oil refining
- Mesoporous organo-inorganic hybrid materials as hydrogenation catalysts
- Focused design of polypharmacophoric neuroprotective compounds: Conjugates of γ-carbolines with carbazole derivatives and tetrahydrocarbazole
- Nanomaterials for lithium-ion batteries and hydrogen energy
- Nucleophilic C–H functionalization of arenes: a new logic of organic synthesis
- Polyfluoroalkylated 2-ethoxymethylene- 3-oxo esters: synthesis and chemical properties overview
Articles in the same Issue
- Frontmatter
- In this issue
- Preface
- Research papers from the XXth Mendeleev Congress on General and Applied Chemistry
- Conference papers
- Light-controlled spin-state-switching rearrangements of transition metal complexes with photochromic ligands
- Hypoglycemic potential of cyclic guanidine derivatives
- Non-traditional Ziegler-Natta catalysis in α-olefin transformations: reaction mechanisms and product design
- Perspective tendencies in development of small scale processing of gas resources
- Cage amines in the metal–organic frameworks chemistry
- Hybrid metal complexes with opposed biological modes of action – promising selective drug candidates
- Electrochemical methods for synthesis of organoelement compounds and functional materials
- Monoterpenes as a renewable source of biologically active compounds
- Some new trends in the design of single molecule magnets
- Catalysis in a dispersion medium for the hydrogenation of aromatics and hydrodearomatization in oil refining
- Mesoporous organo-inorganic hybrid materials as hydrogenation catalysts
- Focused design of polypharmacophoric neuroprotective compounds: Conjugates of γ-carbolines with carbazole derivatives and tetrahydrocarbazole
- Nanomaterials for lithium-ion batteries and hydrogen energy
- Nucleophilic C–H functionalization of arenes: a new logic of organic synthesis
- Polyfluoroalkylated 2-ethoxymethylene- 3-oxo esters: synthesis and chemical properties overview