Startseite Synthesis of glucopyranos-6′-yl purine and pyrimidine isonucleosides as potential cholinesterase inhibitors. Access to pyrimidine-linked pseudodisaccharides through Mitsunobu reaction
Artikel Öffentlich zugänglich

Synthesis of glucopyranos-6′-yl purine and pyrimidine isonucleosides as potential cholinesterase inhibitors. Access to pyrimidine-linked pseudodisaccharides through Mitsunobu reaction

  • Daniela Batista ORCID logo , Stefan Schwarz ORCID logo , Anne Loesche ORCID logo , René Csuk ORCID logo , Paulo J. Costa ORCID logo , M. Conceição Oliveira ORCID logo und Nuno M. Xavier ORCID logo EMAIL logo
Veröffentlicht/Copyright: 19. April 2016

Abstract

The synthesis of new isonucleosides comprising purine and pyrimidine-derived systems linked to methyl glucopyranosidyl units at C-6 and evaluation of their cholinesterase inhibitory profiles is reported. Their access was based on the Mitsunobu coupling of partially acetylated and benzylated methyl glucopyranosides with purine and pyrimidine derivatives. While the reactions with purines and theobromine proceeded with complete regioselectivity, affording exclusively N9- or N1-linked 6′-isonucleosides, respectively, the use of pyrimidine nucleobases led to N1 and/or N3-glucopyranosid-6′-yl pyrimidines and/or to N1,N3/2-O,4-O-pyrimidine-linked pseudodisaccharides through bis-coupling, depending on the substitution pattern of the sugar precursor and on the nature of the nucleobase. From this series of compounds, four were shown to be effective and selective inhibitors of acetylcholinesterase with inhibition constants in the micromolar concentration range. A tri-O-acetylated N1-glucopyranosid-6′-yl theobromine and a benzylated N1,N3-bis-glucopyranosid-6-yl thymine were the most active molecules with Ki values of 4 μM. A tri-O-benzylated glucopyranosid-6′-yl uracil displayed good and selective inhibition of butyrylcholinesterase (Ki=8.4±1.0 μM), similar to that exhibited by the standard galantamine. Molecular docking simulations, performed with the two most effective acetylcholinesterase inhibitors, showed interactions with key amino acid residues located at the enzyme’s active site gorge, which explain the competitive component of their inhibitory activities.

Introduction

Nucleoside analogs and modified nucleosides have attracted considerable interest in the search for promising therapeutically-relevant molecules, owing to their variety of biological activities. Such compounds have the propensity to be incorporated into nucleic acids and to compete with natural nucleosides as substrates for enzymes involved in key physiological processes such as nucleic acid synthesis or cell division. These mechanisms induce inhibition of viral replication or cytotoxicity which leads to antiviral or antitumor effects [1]. Antibacterial and antifungal properties have also been extensively reported for this class of compounds, arising from their inhibitory effect on microbial cell wall assembly and on nucleic acid or protein synthesis [26]. Some few recent studies showed the ability of nucleoside analogs to inhibit cholinesterases [79], enzymes that catalyze the hydrolysis of the neurotransmitter acetylcholine and remain major targets for Alzheimer’s disease therapy [10, 11]. The described compounds include benzylated mannosyl purine nucleosides, which showed potent and selective activity towards butyrylcholinesterase [8] and purine nucleosides of d-glucuronic acid derivatives, with selective effect on acetylcholinesterase [9].

Among nucleoside analogs, those comprising the nucleobase linked to a position other than C-1 of the carbohydrate moiety, i.e. isonucleosides, are attractive synthetic targets since their C–N bond is more stable to enzymatic and chemical hydrolysis than the N-glycosidic bond (N–C1′) in nucleosides. Moreover, such compounds have been reported as possessing antitumor [12, 13] and antiviral properties [1419]. Included in the antiviral isonucleosides, are isodideoxyadenosine [14] and its (S,S)-isomer [17], described as being effective towards immunodeficiency virus (HIV), and BMS-181165, which showed potent activity against varicella-zoster virus (VZV) [16]. d- and l-Isonucleosides [20, 21] and deoxy- or dideoxy derivatives are reported [13, 15, 19, 2224], most of them comprising the nucleobase linked at C-2 or C-3 of furanosyl systems, namely 1,4-anhydroalditol moieties [18]. The search for new and structurally diverse isonucleosides and the exploitation of novel biological properties for this class of nucleoside analogs remains of interest.

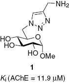
In this context, we have previously focused on pyranosyl 6′-isonucleosides, namely glycopyranos-6′-yl purines and an aminomethyltriazole 6′-isonucleoside (1, Fig. 1), which were synthesized by regioselective Mitsunobu coupling and by a ‘click chemistry’ approach, respectively [25]. Their bioactivity assessment, particularly the evaluation of their enzyme inhibitory effects, revealed a selective and moderate inhibition of acetylcholinesterase by a mannopyranosid-6′-yl guanine and by the triazole 6′-isonucleoside 1, which was the best inhibitor with a Ki value of 11.9 μM (Fig. 1).

Fig. 1: 
					Triazole 6′-isonucleoside possessing inhibitory efficacy towards AChE [25].
Fig. 1:

Triazole 6′-isonucleoside possessing inhibitory efficacy towards AChE [25].

These results prompted us to synthesize analogs of isonucleoside 1, maintaining the methyl α-d-glucopyranosidyl backbone while varying the N-heteroaromatic unit and the substitution pattern of the sugar moiety, aiming at their screening for ChEs inhibitory abilities and attaining enhanced effects towards these targets.

The methods reported for the synthesis of isonucleosides include the introduction of nucleobases at the sugar moiety through nucleophilic displacement of an activated hydroxyl group [19, 23], opening of an epoxide [13] or a cyclic sulfate [26] or via Mitsunobu coupling [24]. Another strategy involves the construction of the nucleobase unit on the sugar backbone from azido or amino sugars [19, 27]. The Mitsunobu reaction is a more convenient method since the alcohol, in this case, the partially protected sugar, is activated and coupled in situ under mild and neutral conditions to the nucleobase, with complete regioselectivity using purine derivatives [24, 25]. The other methodologies, besides requiring more steps, often lead to regioisomeric mixtures and modest yields.

We describe herein the synthesis of 6′-isonucleosides using the Mitsunobu reaction of partially acetylated and benzylated methyl glucopyranoside containing a free hydroxyl group at C-6 with purine and pyrimidine derivatives as key step. Results on the evaluation of their cholinesterase inhibitory effects are presented. Molecular docking studies were performed allowing inspecting the binding modes of the most active compounds to the enzyme.

Results and discussion

Methyl tri-2,3,4-O-acetyl-α-d-glucopyranoside (2) and methyl tri-2,3,4-O-benzyl-α-d-glucopyranoside (3) were the precursors for the introduction of purine and pyrimidine nucleobases into C-6, aiming at studying the effect that the acetyl and benzyl groups, which create different steric environments at the sugar moiety, have on the outcome of the Mitsunobu reaction as well as on the ChE inhibitory abilities of the resulting isonucleosides.

The direct coupling reactions of methyl α-d-glucopyranoside with a purine (2-acetamido-6-chloropurine) and with a pyrimidine (uracil) at C-6 were also attempted, encouraged by previous reports on the regioselective derivatization of deprotected sugars at primary hydroxyl groups under Mitsunobu conditions [2831]. However, this approach appeared not to be feasible, since these preliminary experiments showed virtually no conversion at room temperature after 16 h and the formation of inseparable complex mixtures of unwanted sugar derivatives, not comprising the heteroaromatic nucleous, at higher temperatures (55–60°C), while ca. 70% of the starting material remained unreacted after 16 h.

For the synthesis of purine 6′-isonucleosides starting from 2 to 3, 2-acetamido-6-chloropurine, adenine and theobromine were the purine derivatives used (Scheme 1). In the previous report [25], the reaction of 2 with 2-acetamido-6-chloropurine (in excess, 2 equiv.), in the presence of diethyl azodicarboxylate (DEAD) and triphenylphosphine (both 2 equiv.) at room temp., afforded solely the N9-linked isonucleoside 4, the hydrolysis of which using aqueous trifluoroacetic acid (TFA) gave the methyl glucopyranosid-6′-yl guanine 6. Both 4 and 6 did not show significant effect on ChEs. In the present work, the Mitsunobu reaction employing 3, under similar conditions as for 2, led to the N9-isonucleoside 5 in 59% yield. The N9-C6′-linkage of 5 was clearly assigned based on its HMBC spectrum, in which a correlation between both H-6′ of the sugar unit and C-4 of the purine moiety was observed. Hydrogenation of 5 in the presence of 10% Pd/C effected both debenzylation and dechlorination leading to 7.

Scheme 1: 
					Synthesis of purine 6′-isonucleosides.
Scheme 1:

Synthesis of purine 6′-isonucleosides.

The coupling of tri-O-protected glucopyranosides 2 and 3 with adenine furnished the corresponding N9-glucopyranosid-6′-yl adenines 8 and 9 in moderate yields (33% and 36%, respectively), the regiochemistry of both being determined by the HMBC correlations between H-6′ and both C-4/C-8. Mitsunobu adducts arising from the free C-6 adenine amino group were not formed. The lower conversions obtained with adenine may be due to its poor solubility in THF. There are very few successful reports on the Mitsunobu reaction involving free adenine and those deal with the coupling of this nucleobase with cyclic alcohols in the context of the synthesis of carbocyclic nucleoside analogs [32, 33]. The access to a deprotected adenine 6′-isonucleoside (10) was achieved by deacetylation of 8 under acidic conditions (aq. TFA).

The purine alkaloid theobromine (3,7-dimethyl-1H-purine-2,6-dione), a xanthine derivative, was also selected as a nucleobase for the coupling to 2–3. The synthesis and study of the biological profile of xanthine nucleosides and analogs is a relatively unexploited topic. Few examples of such molecules are known, which include the naturally occurring xanthosine, a precursor in the biosynthesis of caffeine [34, 35], and synthetic compounds such as N1-(tetra-O-acetylglucosyl)theobromine [36] and anhydro isoxanthosine derivatives possessing antiviral efficacy [37, 38]. Moreover, xanthine derivatives were recently described as selective AChE inhibitors [39, 40] which encouraged us to undertake the synthesis of xanthine isonucleosides and further evaluate their effect towards ChEs. Hence, treatment of glucopyranosides 2 and 3 with theobromine under the previously mentioned Mitsunobu conditions provided the N1-glucopyranosid-6′-yl theobromines 11 and 12 in 27% and 48% yield, respectively. The N-substitution in 1112 was confirmed by their 13C NMR spectra, in which the signals for C-6′ appeared at 41.8 and 42.5 ppm, and by the HMBC experiments due to the correlations observed between H-6′ and C-2/C-6. Compound 11 was further deacetylated using aq. TFA to give the related deprotected isonucleoside 13.

To the best of our knowledge, there is only one report to date on the N1-functionalization of a xanthine scaffold with alcohols using the Mitsunobu reaction, in which the nucleobase was anchored to a solid support for the coupling [41]. Compounds 1113 constitute the first examples of theobromine isonucleosides.

Uracil and thymine were the nucleobases used for the access to pyrimidine 6′-isonucleosides using the above-mentioned methodology. The Mitsunobu reaction between 2 and uracil (Scheme 2) proceeded with bis-coupling at the N1 and N3 positions, which was followed by acid-mediated hydrolysis to afford the deprotected uracil-linked pseudodisaccharide 14 in 36% overall yield. The intermediate acetylated Mitsunobu adduct could not be separated from the triphenylphosphine oxide by-product using column chromatography. Assignment of the N1,N3-regiochemistry of 14 was supported by the key HMBC correlations between H-6′ protons and C-2/C-4 and between H-6″ and C-2/C-6. In the 13C spectrum, the signals for C-6′ and C-6″ were observed at 43.8 and 51.6 ppm, respectively. The structure of 14 is also interesting for further biological assays. Some heteroaromatic-linked disaccharide analogs have been synthesized [25, 4246], some of them displaying significant bioactivities [25, 44, 45]. A guanine-linked pseudodisaccharide framework is contained in Guanofosfocins, promising antifungal natural cyclic nucleotide analogs acting as strong inhibitors of chitin synthases [47]. Analogs of such structure have been prepared [4850].

Scheme 2: 
					Synthesis of uracil 6′-isonucleosides.
Scheme 2:

Synthesis of uracil 6′-isonucleosides.

In contrast to 2, when the partially benzylated glucopyranoside 3 was reacted with uracil, the major product obtained was the N1-glucopyranosid-6′-yl uracil 16, albeit in modest yield (23%) even after a prolonged reaction time (4 days). The HMBC correlations between the protons H-6′ and both C-2/C-6 and the resonance of C-6 at 48.7 ppm in the 13C NMR spectrum were indicative of the N1-C-6′ linkage of 16. A uracil-linked disaccharide, in this case the 2,4-bis-O-glucopyranosid-6-yl uracil 15, was obtained in a low yield of 6%. The regiochemical elucidation of 15 was based on the chemical shifts of the signals of the uracil moiety in its 1H NMR and 13C NMR spectra. In particular, H-6 and H-5 are shifted downfield, at 8.14 and 6.33 ppm, relative to those of the N1,N3-bis-glucopyranosidyl uracil counterpart 14, which appear at 7.58 and 5.71 ppm, respectively. The signals of C-2, C-4, C-5 and C-6 are also considerably deshielded relative to those of 14. Moreover, the resonances of C-6′ and C-6″ of the sugar moieties at 66.0 and 65.0 ppm further confirmed the 2-O-C-6″ and the 4-O-C-6′ linkages.

The lower conversion and the different reaction outcome when using the benzylated precursor 3 probably arise from the steric hindrance caused by the benzyloxy groups, namely those at C-3 and C-4, which deters the formation of the transient oxyphosphonium ion and the subsequent nucleophilic attack from the incoming deprotonated nucleobase. Since the deprotonated N1-H function is the most nucleophilic center of uracil [51], the coupling at N1 leading to 16 is favored. A further nucleophilic attack of a deprotonated 16, through N3, 2-O, or 4-O, to the oxyphosphonium ion derived from 3 is less likely to occur due to the steric constraints. Due to the presence of the benzyl groups in 3, the 2-O center of uracil may compete with N1 for the coupling in order to minimize steric interactions in the transition state. This effect may explain the formation of the product of bis coupling through 2-O and 4-O (15), whose structure is less sterically congested than that of a related N1,N3-disubstituted uracil.

In the case of thymine, products of mono and bis-coupling were obtained using both glucopyranoside precursors 2 and 3 (Scheme 3). The triacetylated precursor 2, through reaction with thymine under Mitsunobu conditions and subsequent acid hydrolysis (aq. TFA), led to the N1,N3-thymine-linked pseudodisaccharide 17 in 29% overall yield together with the N1- and N3-glucopyranosid-6′-yl thymines 18 (14%) and 19 (10%), respectively. The HMBC spectra of 17 and 18 showed similar key correlations as previously observed for 14 and 16, respectively. Concerning 19, the HMBC correlations between H-6′ with C-2 and C-4 and the chemical shift of C-6 at 43.1 ppm were diagnostic spectral features for the assignment of the N3-regiochemistry. The difference in the reaction modes for the coupling of 2 with uracil and with thymine is likely to be due to the C-5 substituent of the pyrimidine nucleus. In thymine, the presence of 5-methyl group increases the steric constrains to the formation of the N1,N3-disubstituted derivative 17 and therefore products of mono-coupling (18, 19) are also formed in a significant amount.

Scheme 3: 
					Synthesis of thymine 6′-isonucleosides.
Scheme 3:

Synthesis of thymine 6′-isonucleosides.

The steric effect was even more pronounced with the tri-O-benzylated glucopyranoside 3. Its reaction with thymine hardly proceeded at room temperature and was carried out at 40°C to give the N1-glucopyranosid-6′-yl thymine 22 as major product (44%) along with the N3-regioisomer (23, 19%) and the N1,N3-and 2-O,4-O-bis-glucopyranosid-6-yl thymines (20, 21), in 11% yield (20/21 ratio: 1.4:1). Although pure 20 could be obtained by column chromatography, its regioisomer 21 could not be isolated, being inseparably contaminated with 21. Compounds 2023 presented identical NMR features, namely the diagnostic HMBC correlations, as those observed for the previous analogs in accordance with the assigned regiochemistry.

All the protected and deprotected isonucleosides, including the pseudodisaccharide derivatives, were evaluated for their cholinesterase inhibitory activities towards acetylcholinesterase (AChE, from Electrophorus electricus) and butyrylcholinesterase (BChE, from equine serum) using the Ellman’s method. The therapeutically-used ChE inhibitor, galantamine hydrobromide, was used as standard. Compounds’ inhibition constants Ki (for a competitive inhibition) or Ki′ (for an uncompetitive inhibition) and the type of inhibition are given in Table 1.

Table 1:

Results on the cholinesterase inhibition assays.

Compounds AChE
BChE
Compounds AChE
BChE
Ki (μM) [Ki′ (μM)] (type of inhibition) K i (μM) [Ki′ (μM)] (type of inhibition)
Galantamine hydrobromide 0.5±0.0 (competitive) 9.4±0.7 (competitive) Pyrimidine 6′-isonucleosides

Glucopyranosid-6′-yl pyrimidines
1 [25] 11.9±1.6 (competitive) >100
Purine 6′-isonucleosides 16 >10 8.4±1.0 (competitive)
4 [25] >100 >100 22 >4 >4
5 >20 [7.1±0.3] (mixed-type) >20 23 >4 >4
6 [25] >100 >100 18 >100 >100
7 >100 >100 19 >100 >100
8 >100 >100 Pyrimidine-linked pseudodisaccharides
9 >4 >4 15 >20 >20
10 >100 >100 14 22.9±6.3 (competitive) >100
11 4.3±0.8 [66.3±12.2] (mixed-type) >100 20 4.2±0.3 [9.3±0.4] (mixed-type) >100
12 >2 >2 17 >100 >100
13 >100 >100

Among the purine isonucleosides, while the previously reported acetylated 2-acetamido-6-chloro-9-glucopyranosid-6′-yl purine (4) [25] did not show significant inhibitory activity on both ChEs, its benzylated counterpart 5 exhibited a selective and good mixed-type inhibition of AChE (Ki′=7.1±0.3 μM), in which the uncompetitive component is predominant (Ki′<Ki). Isonucleoside 7, containing a 2-N-acetyl purine moiety N9-linked to the deprotected methyl glucopyranoside backbone did not show any activity, a similar result to that previously obtained for a related isonucleoside 6 comprising a 2-N-acetyl guanine moiety.

With respect to the adenine isonucleosides, the tri-O-acetylated derivative 8 and the deprotected analog 10 were devoid of any significant inhibitory activities on both ChEs. The inhibition constants for the related tri-O-benzylated isonucleoside 9 could not be specifically determined due to low solubility of the compound at concentrations above 2 μm, bellow which no appreciable AChE and of BChE inhibition was detected. Owing to solubility limitations, Ki values for other benzylated isonucleosides, such as 12, 15, 16, 22, 23, could not be obtained, whose maximal concentrations tested were too low for significant inhibitory effects to be noticeable.

From the theobromine isonucleosides, the acetylated derivative 11 was the best ChE inhibitor and also one of the most active compounds of this series. It exhibited the highest selectivity for AChE and a mixed-type inhibition towards this enzyme, with a pronounced competitive character that dominates the uncompetitive one with 15.4 fold smaller Ki (4.3±0.8 μM) compared to Ki′ (66.3±12.2 μM).

Concerning the pyrimidine isonucleosides, the only significantly active monosubstituted pyrimidine derivative was the tri-O-benzylated glucopyranosid-6-yl uracil (16) which was the only compound that caused a significant and slight selective inhibition of BChE. It was found to be a good BChE inhibitor acting by a competitive mechanism with an identical Ki value (8.4±1.0 μM) to that of galantamine hydrobromide. BChE inhibition may provide additional benefits in the treatment of Alzheimer’s disease (AD). Although most attention has been paid to AChE as target, the brain levels of this enzyme progressively decrease in AD, while those of BChE increase, and hence regulation of the concentration of the neurotransmitter acetylcholine becomes increasingly dependent on BChE [52]. Thus, dual AChE/BChE inhibition as well as selective BChE inhibitors potentially offer more sustained efficacy in advanced AD.

Two of the pyrimidine-linked disaccharides were shown to selectively inhibit AChE, namely the N1,N3-bis-glucopyranosid-6-yl uracil (14) with moderate competitive effect (Ki=22.9±6.3 μM) and the benzylated N1,N3-bis-glucopyranosid-6-yl thymine (20), a mixed-type inhibitor with similar Ki value than that of 11. Despite the large size of 20, the competitive contribution for its inhibitory effect is predominant. However, its Ki′ value (9.3±0.4 μM) is lower than that of 11, indicating a more significant uncompetitive behaviour for the enzyme inhibition relatively to that exhibited by 11.

In order to understand, at the molecular level, the interaction of these novel inhibitors with AChE, namely those accounting for the competitive component of their inhibitory effects, flexible molecular docking was performed using the two most active compounds (11 and 20) with the open-source program AutoDock Vina 1.1.2 [53]. The crystal structure of AChE was retrieved from the RCSB Protein Data Bank (PDB: 1B41) [54] whereas 3D models of compounds 11 and 20 were built using Pymol [55]. Residues Tyr124, Trp286, Tyr337, and Tyr341 of 1B41 were considered flexile in all calculations.

In Fig. 2, the main interactions of 11 and 20 with the residues of the binding pocket of the enzyme are depicted for the most stable binding poses computed with AutoDock Vina.

Fig. 2: 
					Best docking poses found for compound 20 (top) and 11 (bottom). Left images depict the complex inside the AChE binding pocket whereas on the left, the interactions are shown at the molecular level. The inhibitor molecules are colored in grey. The residues colored in orange were rigid during the docking simulations; yellow residues were flexible.
Fig. 2:

Best docking poses found for compound 20 (top) and 11 (bottom). Left images depict the complex inside the AChE binding pocket whereas on the left, the interactions are shown at the molecular level. The inhibitor molecules are colored in grey. The residues colored in orange were rigid during the docking simulations; yellow residues were flexible.

The thymine-linked pseudodisaccharide 20, shown to be the most active compound, is able to enter the enzyme binding pocket in spite of its large size, in agreement with the experimentally determined more competitive character of its mixed-type inhibitory activity. Inside the binding pocket, some phenyl rings of the benzyl groups are involved in π-stacking interactions with AChE residues. In fact, the best docking solution shows a successive chain of π···π interactions consisting of a Bn···Tyr341···Bn···Tyr337 π-stacking interaction. This stacking allows compound 20 to fit the cavity, being one of the monosaccharide units positioned towards the anionic subsite of the enzyme and the other at the entrance to the active site gorge. The binding inside the AChE gorge is further enhanced by the presence of a N–H···O hydrogen bond between Phe295, an amino acid residue located at the acyl pocket, and a carbonyl group of the pyrimidine core of 20. The Tyr341 residue at the peripheral anionic site, engaged in the π-stacking interactions, is also “locked” by the presence of two hydrogen bonds with Asp74 and Tyr72.

Concerning the theobromine isonucleoside 11, a π-stacking interaction is formed between the purine core and Trp86, a key residue for substrate binding located at the anionic subsite. This type of interaction was previously reported for the analogous triazole isonucleoside 1 [25], thus further confirming this binding mode. Moreover, Phe295 is involved in an N–H···O hydrogen bond with an acetate carbonyl group of the sugar moiety. Residues Asp74 and Tyr337 are also involved in close contacts. The role of these residues was also of great importance for the triazole isonucleoside 1 [25].

In agreement with the AChE inhibition studies, AutoDock Vina qualitatively predicted the correct binding affinity with calculated binding energies of –12.7 and –9.8 kcal mol−1 for 20 and 11, respectively, thus further supporting the docking results.

Conclusions

In summary, the synthesis of a series of new types of isonucleosides by the Mitsunobu coupling between a nucleobase and glucopyranosides containing a free hydroxyl group at C-6 has been described. For the reactions involving pyrimidine nucleobases, it was shown that both the substituents located on the sugar core and the nature of the nucleobase are important structural factors in directing the formation of N1/N3-glucopyranosid-6′-yl pyrimidines or the bis-coupling at N1, N3 or at 2-O, 4-O of the pyrimidine system leading to pseudodisaccharides. Hence, when using the benzylated sugar precursor, even though the primary hydroxyl is rather accessible, the benzyloxy groups at C-3 and C-4 cause steric hindrance in the intermediate oxyphosphonium ion as well as in the reaction transition state. Therefore, products of monocoupling were predominantly formed. On the other hand, the presence of acetyl groups in the sugar moiety does not hamper the formation of N1,N3-pyrimidine-linked disaccharides, which was in fact the sole Mitsunobu adduct obtained when using uracil. An additional methyl group at C-5 of the pyrimidine nucleous, proved to be enough to increase the steric constrains to the formation of the N1,N3-bis-glucopyranosidyl pyrimidine, and hence the yield on this product was lowered when thymine was used.

The cholinesterase inhibition assays revealed five molecules of significant inhibitory effects. Three of them (5, 11 and 20) were more active towards AChE than the previously reported triazole 6′-isonucleoside 1 that motivated this study. In particular, the acetylated theobromine 6′-isonucleoside 11 and the benzylated thymine-linked disaccharide 20 showed the lowest Ki values (4 μM) for selective and mixed-type AChE inhibition, which turn them promising lead compounds for further research. The benzylated glucopyranosid-6′-yl uracil 16 was the only active compound towards BChE, as slight selective and competitive inhibitor with a Ki value comparable to that of galantamine, a clinically-used compound for the treatment of Alzheimer’s disease. The uracil-linked disaccharide 14 was the only deprotected molecule of this series that showed significant inhibitory activity, with moderate and selective effect on AChE.

The results obtained indicate that the sugar substituents as well as the nucleobase moiety are crucial for the biological efficacy. This was indeed supported by the docking studies using the two most active compounds, which showed interactions arising from the nucleobase and from the sugar substituents with crucial amino acid residues for enzyme-substrate recognition.

In conclusion, this study demonstrated the ability of 6′-isonucleosides to exhibit inhibitory efficacy towards ChEs, which broadens the knowledge on the biological profile of isonucleosides and opens new potential therapeutic applications for this class of nucleoside analogs.

Experimental section

Chemistry

General methods

All reactions were monitored by TLC on Merck 60 F254 silica gel aluminium plates with detection under UV light (254 nm) and/or by spraying with a solution of 10% H2SO4 in EtOH or with a solution of 0.2% (w/v) cerium(IV) sulphate-5% ammonium molybdate in 6% aq. H2SO4 (Hanessian stain). Column chromatography was carried out on silica gel 60 (0.040–0.063 mm, Merck). NMR spectra were acquired with a Bruker Avance 400 spectrometer operating at 400.13 MHz for 1H NMR and 100.62 MHz for 13C NMR. Chemical shifts are expressed in ppm and are reported relative to internal TMS, in the case of CDCl3, or relative to the respective solvent peak as reference. High-resolution mass measurements were performed on a High Resolution QqTOF Impact II mass spectrometer equipped with an ESI ion source from Bruker Daltonics. Spectra were acquired in positive ESI mode with external calibration. Optical rotations were measured with a Perkin–Elmer 343 polarimeter at 25°C (589 nm, sodium D line). Melting points were determined with a Stuart Scientific SMP 3 apparatus and are uncorrected.

General procedure for the Mitsunobu coupling of methyl 2,3,4-tri-O-acetyl/benzyl-α-d-glucopyranoside with purine/pyrimidine nucleobases

To a solution of partially deprotected methyl α-d-glucopyranoside (0.215 mmol) in THF (5 mL), under nitrogen atmosphere, PPh3 (113 mg, 0.43 mmol), diethyl azodicarboxylate (DEAD; 0.43 mmol, 0.07 mL) and purine/pyrimidine derivative (0.43 mmol) were sequentially added. The mixture was stirred under the conditions indicated further. The solvent was evaporated and the crude was subjected to column chromatography on silica-gel.

2-Acetamide-6-chloro-9-(methyl 2,3,4-tri-O-benzyl-6-deoxy-α-d-glucopyranosid-6-yl)purine (5)

Obtained according to the general procedure, starting from methyl 2,3,4-tri-O-benzyl-α-d-glucopyranoside (3; 100 mg, 0.215 mmol) and 2-acetamido-6-chloropurine (91 mg, 0.43 mmol). The reaction mixture was stirred at room temp. for 2 h. Purification by column chromatography (diethyl ether) afforded 5 (83 mg, 59%) as a white solid along with recovered starting material (20 mg, 20%).

m.p.: 160.5–161.2°C. [α]D25=5 (c=0.9, in CHCl3). 1H NMR (400 MHz, CDCl3) δ 8.05 (s, 1 H, H-8), 7.96 (s, 1 H, NH), 7.45–7.29 (m, 15 H, PH), 5.06–4.95 (m, 2 H, 2×H-a, CH2Ph, Ja,b=11.3), 4.85–4.76 (m, 2 H, H-a, H-b, CH2Ph), 4.69–4.58 (m, 2 H, 2×H-b, CH2Ph), 4.57–4.49 (m, 2 H, H-1′, H-6′a), 4.12 (dd, 1 H, part B of ABX system, H-6′-b, J6′a,6′b=14.2, J5′,6′b=7.5), 4.03 (t, 1 H, H-3′, J2′,3′~J3′,4′), 3.90 (dd, 1 H, H-5′), 3.50 (dd, 1 H, H-2′, J1′,2′=3.4, J2′,3′=9.7), 3.23 (t, 1 H, H-4′, J3′,4′~J4′,5′~9.4), 3.10 (s, 3 H, OCH3), 2.45 (s, 3 H, CH3, NHAc). 13C NMR (100 MHz, CDCl3) δ: 152.8 (C-4), 152.2, 151.4 (C-2, C-6), 145.7 (C-8), 138.3, 137.9, 137.9 (3×Cq, Ph), 128.8, 128.7, 128.6, 128.3, 128.3, 128.2, 128.1, 128.0, 128.0 (CH, Ph), 127.5 (C-5), 98.2 (C-1′), 81.8 (C-3′), 79.9 (C-2′), 78.4 (C-4′), 75.9, 75.0, 73.6 (3×CH2Ph), 69.2 (C-5′), 55.6 (OCH3), 44.5 (C-6′), 25.2 (CH3, NHAc). HRMS: calcd for C35H36ClN5O6 [M+H]+ 658.2427, found 658.2442.

9-(Methyl 2,3,4-tri-O-acetyl-6-deoxy-α-d-glucopyranosid-6-yl)adenine (8)

Obtained according to the general procedure, starting from methyl 2,3,4-tri-O-acetyl-α-d-glucopyranoside (2; 100 mg, 0.31 mmol) and adenine (84 mg, 0.62 mmol). The reaction mixture was stirred at room temp. for 16 h. Purification by column chromatography (dichloromethane to dichlorometane/methanol, 18:1) afforded 8 (45 mg, 33%) as a colorless oil along with recovered starting material (38 mg, 38%).

[ α ] D 25 = + 56 (c=0.8, in CH3OH). 1H NMR (MeOD, 400 MHz): δ 8.20 (s, 1 H, H-2), 8.14 (s, 1 H, H-8), 5.38 (t, 1 H, H-3′, J3′,4′~J2′,3′~9.8), 4.92 (d, 1 H, H-1′, J1′,2′=3.4), 4.86 (dd, 1 H, H-2′, J1′,2′=3.5, J2′,3′=10.3), 4.79 (t, 1 H, H-4′, J3′,4′ ~J4′,5′~9.7), 4.51–4.39 (m, 2 H, H-6′a, H-6′b), 4.20 (ddd, 1 H, H-5′), 3.07 (s, 3 H, OCH3), 2.09, 2.01, 1.96 (3 s, 9 H, CH3, OAc). 13C NMR (MeOD, 100 MHz): δ 157.3 (C-6), 153.9 (C-2), 150.8 (C-4), 143.6 (C-8), 119.6 (C-5), 98.2 (C-1′), 71.9 (C-2′), 71.4, 71.3 (C-3′, C-4′), 68.4 (C-5′), 55.6 (OCH3), 44.9 (C-6′), 20.8, 20.6, 20.4 (3×, 3× CH3, OAc). HRMS: calcd for C18H23N5O8 [M+H]+ 438.1619, found 438.1614.

9-(Methyl 2,3,4-tri-O-benzyl-6-deoxy-α-d-glucopyranosid-6-yl)adenine (9)

Obtained according to the general procedure, starting from methyl 2,3,4-tri-O-benzyl-α-d-glucopyranoside (3; 100 mg, 0.215 mmol) and adenine (58 mg, 0.43 mmol). The reaction mixture was stirred at room temp. for 96 h. Purification by column chromatography (diethyl ether/methanol, 9:1) afforded 9 (45 mg, 36%) as a white solid along with recovered starting material (40 mg, 40%).

m.p.: 151.7–153.1°C. [α]D25=+14 (c=0.6, in CHCl3). 1H NMR (CDCl3, 400 MHz): δ 8.35 (s, 1 H, H-2), 7.86 (s, 1 H, H-8), 7.45–7.21 (m, 15 H, Ph), 5.80 (br.s, 2 H, NH2), 4.52 (d, 1 H, H-1′, J1′,2′=3.2), 4.99 (d, 1 H, H-a, CH2Ph, Ja,b=10.8), 4.91 (d, 1 H, H-a, CH2Ph, Ja,b=11.0), 4.85–4.67 (m, 3 H, H-a, H-b, H-b, CH2Ph), 4.70–4.61 (m, 2 H, 2×H-b, CH2Ph), 4.62 (d, 1 H, H-b, CH2Ph, Ja,b=11.7), 4.42 (dd, part A of AB system, 1 H, H-6′a, J6′a,6′b=14.3, J5′,6′a=2.0), 4.29 (dd, part B of AB system, 1 H, H-6′b, J6′a,6′b=14.3, J5′,6′a=7.2), 4.02 (t, 1 H, H-3′), 3.94 (td, 1 H, H-5′), 3.46 (dd, 1 H, H-2′, J1′,2′=3.4, J2′,3′=9.5), 3.22 (t, 1 H, H-4′, J3′,4′~J4′,5′~9.4), 3.07 (s, 3 H, OCH3). 13C NMR (CDCl3, 100 MHz): δ 155.4 (C-6), 153.2 (C-2), 150.5 (C-4), 141.7 (C-8), 119.0 (C-5), 138.5, 138.0, 138.0 (3×Cq, Ph), 128.7, 128.7, 128.6, 128.5, 128.2, 128.2, 128.1, 127.9 (CH, Ph), 98.1 (C-1′), 82.1 (C-3′), 79.9 (C-2′), 78.3 (C-4′), 75.9, 75.0, 73.6 (3×CH2, 3×Bn), 69.4 (C-5′), 55.3 (OCH3), 43.9 (C-6′). HRMS: calcd for C33H35N5O5 [M+H]+ 582.2711, found 582.2706.

3,7-Dimethyl-3,7-dihydro-1-(methyl 2,3,4-tri-O-acetyl-6-deoxy-α-d-glucopyranosid-6-yl)-1H-purine-2,6-dione (11)

Obtained according to the general procedure, starting from methyl 2,3,4-tri-O-acetyl-α-d-glucopyranoside (2; 100 mg, 0.31 mmol) and theobromine (112 mg, 0.62 mmol). The reaction mixture was stirred at room temp. for 24 h. Purification by column chromatography (ethyl acetate/hexane, from 4:1 to 15:1) afforded 11 (40 mg, 27%) as a colorless oil along with recovered starting material (45 mg, 45%).

[ α ] D 25 = + 56 (c=1.1, in CH3OH). 1H NMR (CDCl3, 400 MHz): δ 7.55 (s, 1 H, H-8), 5.46 (t, 1 H, H-3′, J3′,4′=J2′,3′=9.8), 5.04 (t, 1 H, H-4′, J3′,4′=J4′,5′=9.8), 4.95–4.86 (m, 2 H, H-1′, H-2′), 4.46 (dd, 1 H, H-6′a, J6′a,6′b=13.5, J5′,6′a=8.5), 4.26 (td, 1 H, H-5′), 4.05–3.96 (m, 1 H, H-6′b, CH3, N7), 3.58 (s, 3 H, CH3-N3), 3.20 (s, 3 H, OCH3), 2.05, 2.04, 2.01 (3 s, 9 H, CH3, OAc). 13C NMR (CDCl3, 100 MHz): δ 170.1, 170.1, 170.0 (CO, Ac), 155.0 (C-6), 151.4 (C-2), 149.0 (C-4), 141.7 (C-8), 107.5 (C-5), 96.3 (C-1′), 71.6 (C-4′), 70.8 (C-2′), 70.2 (C-3′), 68.2 (C-5′), 54.9 (OCH3), 41.8 (C-6′), 33.8 (CH3, N7), 29.8 (CH3, N3), 20.7 (3×, 3× CH3, OAc). HRMS: calcd for C20H26N4O10 [M+Na]+ 505.1541, found 505.1545.

3,7-Dimethyl-3,7-dihydro-1-(methyl 2,3,4-tri-O-benzyl-6-deoxy-α-d-glucopyranosid-6-yl)-1H-purine-2,6-dione (12)

Obtained according to the general procedure, starting from methyl 2,3,4-tri-O-benzyl-α-d-glucopyranoside (3; 100 mg, 0.215 mmol) and theobromine (78 mg, 0.43 mmol). The reaction mixture was stirred at room temp. for 24 h. Purification by column chromatography (diethyl ether) afforded 12 (65 mg, 48%) as a yellow oil along with recovered starting material (30 mg, 30%).

[ α ] D 25 = + 18 (c=1, in CHCl3). 1H NMR (CDCl3, 400 MHz): δ 7.44 (s, 1 H, H-8), 7.39–7.17 (m, 15 H, Ph), 5.02–4.93 (m, 2 H, 2×H-a, CH2Ph, Ja,b=11.3), 4.82–4.60 (m, 4 H, CH2Ph), 4.56 (d, 1 H, H-1′, J1′,2′=3.1), 4.30–4.20 (m, 2 H, CH2-6′), 4.14 (ddd, 1 H, H-5′), 4.02 (t, 1 H, H-3′), 3.89 (s, 3 H, CH3, N7), 3.55 (dd, 1 H, H-2′, J1′,2′=3.1, J2′,3′=9.6), 3.51 (s, 3 H, CH3-N3), 3.43 (t, 1 H, H-4′, J3′,4′=J4′,5′=9.3), 3.17 (s, 3 H, OCH3). 13C NMR (CDCl3, 100 MHz): δ 155.3 (C-6), 151.5 (C-2), 148.8 (C-4), 141.5 (C-8), 138.7, 138.6, 138.3 (3×Cq, Ph), 128.5, 128.5, 128.3, 128.2, 128.1, 128.0, 127.7, 127.5, 127.3 (CH, Ph), 107.5 (C-5), 97.8 (C-1′), 82.3 (C-3′), 80.8 (C-4′), 79.7 (C-2′), 75.8, 74.3, 73.4 (3×CH2, 3×Bn), 67.1 (C-5′), 54.8 (OCH3), 42.5 (C-6′), 33.6 (CH3, N7), 29.8 (CH3, N3). HRMS: calcd for C35H38N4O7 [M+Na]+ 649.2633, found 649.2634.

2,4-Bis-O-(methyl 2,3,4-tri-O-benzyl-α-d-glucopyranosid-6-yl)uracil (15) and 1-(methyl 2,3,4-tri-O-benzyl-6-deoxy-α-d-glucopyranosid-6-yl)uracil (16)

Obtained according to the general procedure starting from methyl 2,3,4-tri-O-benzyl-α-d-glucopyranoside (3; 100 mg, 0.215 mmol) and uracil (48 mg, 0.43 mmol). The reaction was stirred at room temp. for 96 h. Purification by column chromatography (hexane/diethyl ether, from 1:1 to 1:4), afforded 15 (6 mg, 6%) and 16 (27 mg, 23%) as colorless oils, along with recovered staring material (42 mg, 42%).

Data for 15: [α]D25=+20 (c=0.5, in CHCl3). 1H NMR (CDCl3, 400 MHz): δ 8.14 (d, 1 H, H-6, J5,6=5.7), 7.42–7.15 (m, 30 H, Ph), 6.33 (d, 1 H, H-5), 5.00 (d, 2 H, CH2Ph, Bn, J=10.7), 4.88–4.76 (m, 6 H, CH2Ph, Bn), 4.71–4.63 (m, 2 H, CH2Ph, Bn), 4.63–4.57 (m, 2 H, H-1′, H-1″), 4.56–4.39 (m, 6 H, CH2Ph, Bn, CH2-6′, CH2-6″), 4.03 (t, 2 H, H-3′, H-3″, J2′,3′=J3′,4′=9.3, J2″,3″=J3″,4″=9.3), 3.95–3.86 (m, 2 H, H-5′, H-5″), 3.71, 3.63 (2 t, 2 H, H-4′, H-4″, J3′,4′=J4′,5′=9.3, J3″,4″=J4″,5″=9.3), 3.61–3.54 (m, 2 H, H-2′, H-2″), 3.38, 3.37 (2 s, 6 H, 2×OCH3). 13C NMR (CDCl3, 400 MHz): δ 170.9 (C-4), 164.8 (C-2), 158.6 (C-6), 139.0, 138.7, 138.2, 138.2, 138.2, 137.9 (6×Cq, Ph), 128.6, 128.6, 128.6, 128.5, 128.5, 128.3, 128.3, 128.2, 128.1, 128.1, 128.0, 128.0, 127.8, 127.8, 127.7 (CH, Ph), 102.5 (C-5), 98.3, 98.3 (C-1′, C-1″), 82.2 (C-3′, C-3″), 80.0, 79.9 (C-2′, C-2″), 77.4, 77.3 (C-4′, C-4″), 76.0, 75.8, 75.2, 75.2, 73.6, 73.6 (CH2, 6×Bn), 69.0, 68.7 (C-5″, C-5′), 66.0, 65.0 (C-6′, C-6″), 55.4, 55.4 (2×OCH3). HRMS: calcd for C60H64N2O12 [M+H]+ 1005.4532, found 1005.4531.

Data for 16: [α]D25=+2 (c=0.3, in CHCl3). 1H NMR (CDCl3, 400 MHz): δ 8.22 (s, 1 H, NH), 7.41–7.27 (m, 15 H, Ph), 7.19 (d, 1 H, H-6, J5,6=7.9), 5.60 (d, 1 H, H-5), 5.00 (d, 1 H, H-a, CH2Ph, Ja,b=10.6), 4.93 (d, 1 H, H-a, CH2Ph, Ja,b=11.2), 4.84–4.77 (m, 2 H, H-a, H-b, CH2Ph), 4.70–4.61 (m, 2 H, 2×H-b, CH2Ph), 4.50 (d, 1 H, H-1′, J1′,2′=3.2), 4.20 (br. d, 1 H, H-6′a, J6′a,6′b=14.0), 4.02 (t, 1 H, H-3′, J2′,3′=J3′,4′=9.1), 3.81 (br. t, 1 H, H-5′, J4′,5′~J5′,6′b), 3.54–3.43 (m, 2 H, H-6′b, H-2′), 3.29–3.19 (4 H, OCH3, H-4′, J4′,5′~J3′,4′~9.1). 13C NMR (CDCl3, 100 MHz): δ 163.3 (C-4), 150.6 (C-2), 145.7 (C-6), 138.5, 138.0, 137.9 (3×Cq, Ph), 128.7, 128.6, 128.3, 128.3, 128.2, 128.2, 128.2, 127.9 (CH, Ph), 101.5 (C-5), 98.0 (C-1′), 81.9 (C-3′), 79.9 (C-2′), 78.7 (C-4′), 76.0, 74.8, 73.6 (3×CH2, 3×Bn), 69.1 (C-5′), 55.4 (OCH3), 48.7 (C-6′). HRMS: calcd for C32H34N2O7 [M+H]+ 559.2415, found 559.2418.

1,3-Bis-(methyl 2,3,4-tri-O-benzyl-6-deoxy-α-d-glucopyranosid-6-yl)thymine (20), 2,4-bis-O-(methyl 2,3,4-tri-O-benzyl-α-d-glucopyranosid-6-yl)thymine (21), 1-(methyl 2,3,4-tri-O-benzyl-6-deoxy-α-d-glucopyranosid-6-yl)thymine (22) and 3-(methyl 2,3,4-tri-O-benzyl-6-deoxy-α-d-glucopyranosid-6-yl)thymine (23)

Obtained according to the general procedure starting from methyl 2,3,4-tri-O-benzyl-α-d-glucopyranoside (3; 500 mg, 1.08 mmol) and thymine (271 mg, 2.15 mmol). The reaction was stirred at 40°C for 23 h. Purification by column chromatography (from hexane/ehyl acetate, 5:1 to diethyl ether) afforded 22 (270 mg, 44%) as yellow crystals, 23 (117 mg, 19%) as a yellow solid, the N1,N3-thymine-linked disaccharide 20 and its 2-O,4-O regioisomer 21 (58 mg, 11% total yield) in ratio of 1.4:1. Pure 20 (9 mg) was obtained as a colorless oil, while 21 could not be isolated and was obtained in a mixture containing 20 (49 mg, ratio 20/21, 1:1).

Data for 20: [α]D25=+11 (c=0.5, in CHCl3). 1H NMR (CDCl3, 400 MHz): δ 7.41–7.16 (m, 30 H, Ph), 6.89 (s, 1 H, H-6), 5.01–4.88 (m, 4 H, 2×CH2Ph, Bn), 4.84–4.73 (m, 4 H, 2×CH2Ph, Bn), 4.68–4.57 (m, 4 H, 2×CH2Ph, Bn), 4.49, 4.46 (2 d, 2 H, H-1′, H-1″, J1′,2′=3.3, J1″,2″=3.3), 4.24–4.11 (m, 3 H, CH2-6′, H-5′), 4.06 (d, 1 H, H-6″a, J6″a,6″b=13.5, J5″,6″a=2), 3.98 (t, 2 H, H-3′, H-3″), 3.85–3.77 (m, 1 H, H-5″), 3.52, 3.47 (2 dd, 2 H, H-2′, H-2″, J1′,2′=3.4, J2′,3′=9.6, J1″,2″=3.4, J2″,3″=9.6), 3.40 (t, 1 H, H-4′), 3.35 (dd, 1 H, H-6″b), 3.19 (t, 1 H, H-4″, J3″,4″=J4″,5″=9.3), 3.15, 3.11 (2 s, 6 H, 2×OCH3), 1.81 (s, 3 H, CH3). 13C NMR (CDCl3, 400 MHz): δ 163.9 (C-4), 151.6 (C-2), 139.3 (C-6), 138.8, 138.7, 138.5, 138.3, 138.1, 138.0 (6×Cq, Ph), 128.7, 128.6, 128.6, 128.5, 128.3, 128.2, 128.2, 128.1, 128.0, 127.4 (CH, Ph), 109.0 (C-5), 97.9, 97.8 (C-1′, C-1″), 82.2, 81.9 (C-3′, C-3″), 81.1 (C-4′), 79.8, 79.8 (C-2′, C-2″), 79.3 (C-4″), 76.4, 75.8, 74.8, 74.3, 73.6, 73.5 (6×CH2, 6×Bn), 69.0 (C-5″), 66.5 (C-5′), 55.1, 54.7 (2×OCH3), 49.5 (C-6″), 42.9 (C-6′), 13.1(CH3). HRMS: calcd for C61H66N2O12 [M+H]+ 1019.4689, found 1019.4688.

Data for 21: 1H NMR (CDCl3, 400 MHz)*: δ 7.45–7.08 (m, 30 H, Ph), 7.93 (s, 1 H, H-6), 4.90–4.53 (m, 12 H, 6×CH2Ph, Bn), 4.60 (2 d, 2 H, H-1′, H-1″, J1′,2′=3.3, J1″,2″=3.3), 4.52 (m, 2 H, CH2-6″), 4.45 (m, 2 H, CH2-6′), 3.97–3.88 (m, 2 H, H-5′, H-5″), 4.03 (t, 2 H, H-3′, H-3″), 3.72 (t, 1 H, H-4′), 3.61 (t, 1 H, H-4″), 3.59, 3.56 (2 dd, 2 H, H-2′, H-2″), 3.38, 3.37 (2 s, 6 H, 2×OCH3), 1.99 (s, 3 H, CH3). 13C NMR (CDCl3, 400 MHz)*: δ 168.9 (C-4), 163.4 (C-2), 157.3 (C-6), 139.0, 138.7, 138.6, 138.3, 138.1, 138.0 (6×Cq, Ph), 128.7–127.4 (CH, Ph), 111.3 (C-5), 98.3, 98.2 (C-1′, C-1″), 82.3, 82.2 (C-3′, C-3″), 77.8, 77.4 (C-4′, C-4″), 80.2 (C-2′, C-2″), 76.1, 75.2, 75.2, 74.2, 74.0, 73.5 (6×CH2, 6×Bn), 69.0, 68.9 (C-5′, C-5″), 65.9, 65.3 (C-6′, C-6″), 55.4, 55.3 (2×OCH3), 12.0 (CH3).

*Data extracted from the spectrum of the 19/20 regioisomeric mixture.

Data for 22: m.p.: 164.2–166.4°C. [α]D25=+21 (c=1, in CHCl3). 1H NMR (CDCl3, 400 MHz): δ 8.61 (s, 1 H, NH), 7.39–7.27 (m, 15 H, Ph), 7.01 (d, 1 H, H-6), 4.53 (d, 1 H, H-1′, J1′,2′=3.2), 5.00 (d, part A of AB system, H-a, CH2, Bn, Ja,b=10.8), 4.93 (d, part A of AB system, H-a, CH2, Bn, Ja,b=11.1), 4.84–4.74 (m, 2 H, H-a, H-b from Bn), 4.69–4.62 (m, 2 H, 2×H-b from Bn), 4.12 (dd, 1 H, H-6′a, J6′a,6′b=14.2, J5′,6′a=1.5), 4.00 (t, 1 H, H-3′, J5′,6′b=J5′,4′=9.3), 3.83 (t, 1 H, H-5′, J2′,3′=J3′,4′), 3.57–3.46 (m, 2 H, H-2′, H-6′b), 3.26 (t, 1 H, H-4′, J3′,4′=J4′,5′=9.3), 3.20 (s, 3 H, OCH3), 1.87 (s, 3 H, CH3). 13C NMR (CDCl3, 100 MHz): δ 164.2 (C-4), 150.8 (C-2), 141.5 (C-6), 138.5, 138.1, 137.9 (3×Cq, Ph), 128.7, 128.6, 128.6, 128.3, 128.2, 128.2, 128.1, 127.9 (CH, Ph), 110.0 (C-5), 98.0 (C-1′), 81.9 (C-3′), 79.8 (C-2′), 78.9 (C-4′), 75.9, 74.8, 73.6 (3×CH2, 3×Bn), 69.2 (C-5′), 55.3 (OCH3), 48.6 (C-6′), 12.4 (CH3). HRMS: calcd for C33H36N2O7 [M+Na]+ 595.2415, found 595.2420.

Data for 23: m.p.: 162.3–164.5°C. [α]D25=+10 (c=1, in CHCl3). 1H NMR (CDCl3, 400 MHz): δ 9.66 (d, 1 H, NH, JNH,H-6=5.2), 7.37–7.23 (m, 15 H, Ph), 6.89 (d, 1 H, H-6), 4.97 (d, 2 H, 2×H-a, CH2Ph, Ja,b=11.0), 4.82–4.74 (m, 2 H, H-a, H-b, CH2Ph), 4.70–4.60 (m, 2 H, 2×H-b, CH2Ph), 4.54 (d, 1 H, H-1′, J1′,2′=3.5), 4.24–4.06 (m, 3 H, CH2-6′, H-5′), 4.00 (t, 1 H, H-3′), 3.54 (dd, 1 H, H-2′, J1′,2′=3.5, J2′,3′=9.5), 3.40 (t, 1 H, H-4′, J3′,4′=J4′,5′=9.1), 3.17 (s, 3 H, OCH3), 1.86 (s, 3 H, CH3). 13C NMR (CDCl3, 400 MHz): δ 164.1 (C-4), 153.2 (C-2), 138.7, 138.4, 138.2 (3×Cq, Ph), 134.5 (C-6), 128.6, 128.6, 128.5, 128.2, 128.2, 128.1, 127.8, 127.7 (CH, Ph), 110.0 (C-5), 97.8 (C-1′), 82.2 (C-3′), 80.7 (C-4′), 79.7 (C-2′), 75.9, 74.6, 73.4 (3×CH2, 3×Bn), 66.9 (C-5′), 54.7 (OCH3), 41.9 (C-6′), 13.1(CH3). HRMS: calcd for C33H36N2O7 [M+H]+ 573.2595, found 573.2598.

2-Acetamido-9-(methyl 6-deoxy-α-d-glucopyranosid-6-yl)purine (7)

To solution of 2-acetamide-6-chloro-9-(methyl 2,3,4-tri-O-benzyl-6-deoxy-α-d-glucopyranosid-6-yl)purine (5, 45 mg, 0.068 mmol) in anhydrous methanol (15 mL), 10% Pd/C (one spatula point) was added and the reaction mixture was stirred under hydrogen atmosphere for 72 h. The mixture was then filtered through Celite and the filtrate was concentrated in vacuum. The crude was purified by column chromatography on silica gel to afford 7 (14 mg, 58%) as a white solid.

m.p.: 165.2–167.4°C. [α]D25=+10 (c=0.4, in CH3OH). 1H NMR (MeOD, 400 MHz): δ 8.83 (s, 1 H, H-6), 8.34 (s, 1 H, H-8), 4.67–4.57 (m, 3 H, H-1′, H-6′a, H-6′b), 3.86 (dt, 1 H, H-5′, J4′,5′~9.5, J5′,6′a~J5′,6′b~3.7), 3.62 (t, 1 H, H-3′), 3.27 (dd, 1 H, H-2′, J1′,2′=3.4, J2′,3′=9.7), 3.23 (s, 3 H, OCH3), 3.06 (t, 1 H, H-4′, J3′,4′~J4′,5′~9.5), 2.27 (s, 3 H, CH3, NHAc). 13C NMR (MeOD, 100 MHz): δ 154.4 (C-2), 153.7 (C-4), 149.7 (C-6), 148.9 (C-8), 131.1 (C-5), 101.4 (C-1′), 74.4 (C-3′), 73.3 (C-2′), 72.4 (C-4′), 71.0 (C-5′), 55.6 (OCH3), 45.1 (C-6′), 24.6 (CH3, NHAc). HRMS: calcd for C14H19N5O6 [M+Na]+ 376.1228, found 376.1230.

General procedure for deacetylation by trifluoroacetic acid (TFA)-mediated hydrolysis leading to deprotected isonucleosides

A solution of acetylated 6′-isonucleoside (30 mg) in aq. TFA (80%, 2.5 mL) was stirred at 60°C for 16 h. After co-evaporation of the solvents with toluene, the crude product was purified by column chromatography on silica gel.

9-(Methyl 6-deoxy-α-d-glucopyranosid-6-yl)adenine (10)

Obtained by acid hydrolysis of 9-(methyl 2,3,4-tri-O-acetyl-6-deoxy-α-d-glucopyranosid-6-yl)adenine (8, 30 mg, 0.069 mmol) using TFA (80%, 2.5 mL). Purification by column chromatography (dichloromethane/methanol, from 9:1 to 4:1) afforded 9 (21 mg, quant.) as a colorless hygroscopic solid.

[ α ] D 25 = + 22 (c=1.1, in CH3OH). 1H NMR (MeOD, 400 MHz): δ 8.37 (s, 1 H, H-2), 8.31 (s, 1 H, H-8), 4.75 (dd, 1 H, H-6′a, J6′a,6′b=14.6, J5′,6′a=2.0), 4.64 (d, 1 H, H-1′, J1′,2′=3.4), 4.43 (dd, 1 H, H-6′b, J6′a,6′b=14.6, J5′,6′b=8.1), 3.84 (td, 1 H, H-5′), 3.60 (t, 1 H, H-3′), 3.36 (dd, 1 H, H-2′, J1′,2′=3.4, J2′,3′=9.6), 3.12 (t, 1 H, H-4′, J3′,4′ ~J4′,5′~9.4), 3.09 (s, 3 H, OCH3). 13C NMR (MeOD, 100 MHz): δ 157.3 (C-6), 153.8 (C-2), 150.9 (C-4), 143.6 (C-8), 119.6 (C-5), 101.3 (C-1′), 74.7 (C-3′), 73.5, 73.2 (C-2′, C-4′), 71.1 (C-5′), 55.3 (OCH3), 47.7 (C-6′). HRMS: calcd for C12H17N5O5 [M+H]+ 312.1302, found 312.1308.

3,7-Dimethyl-3,7-dihydro-1-(methyl 6-deoxy-α-d-glucopyranosid-6-yl)-1H-purine-2,6-dione (13)

Obtained by acid hydrolysis of 3,7-dimethyl-3,7-dihydro-1-(methyl 2,3,4-tri-O-acetyl-6-deoxy-α-d-glucopyranosid-6-yl)-1H-purine-2,6-dione (11, 30 mg, 0.062 mmol) using TFA (80%, 2.5 mL). Purification by column chromatography (from dicloromethane to dichloromethane/methanol, 9:1) afforded 13 (22 mg, quant.) as a colorless oil.

[ α ] D 25 = + 40 (c=1.2, in CH3OH). 1H NMR (MeOD, 400 MHz): δ 7.87 (s, 1 H, H-8), 4.56 (d, 1 H, H-1′, J1′,2′=3.5), 4.37–4.23 (m, 2 H, H-6′a, H-6′b), 4.00–3.92 (m, 1 H, H-5′, CH3, N7), 3.58 (t, 1 H, H-3′, J3′,4′ ~J2′,3′~9.5), 3.53 (s, 3 H, CH3-N3), 3.39 (dd, 1 H, H-2′, J1′,2′=3.5, J2′,3′=9.6), 3.25 (t, 1 H, H-4′, J3′,4′~J4′,5′~9.5), 3.19 (s, 3 H, OCH3). 13C NMR (MeOD, 100 MHz): δ 156.8 (C-6), 153.2 (C-2), 150.0 (C-4), 144.2 (C-8), 108.7 (C-5), 101.0 (C-1′), 75.2, 75.0 (C-3′, C-4′), 73.5 (C-2′), 69.0 (C-5′), 55.2 (OCH3), 43.6 (C-6′), 34.0 (CH3, N7), 30.2 (CH3, N3). HRMS: calcd for C14H20N4O7 [M+Na]+ 379.1224, found 379.1222.

1,3-Bis-(methyl 6-deoxy-α-d-glucopyranosid-6-yl)uracil (14)

Mitsunobu coupling between methyl 2,3,4-tri-O-acetyl-α-d-glucopyranoside (2; 100 mg, 0.31 mmol) and uracil (70 mg, 0.62 mmol) was performed according to general procedure. The reaction mixture was stirred at room temp. for 16 h. Column chromatography (EtOAc/hexane, from 3:2 to 4:1) allowed the separation of the starting material (35 mg recovered, 35%) from the reaction product, which was subsequently treated with aq. TFA (80%, 2.5 mL). Purification by column chromatography (from dichloromethane to dichloromethane/MeOH, 4:1) afforded 14 (26 mg, 36%, 2 steps) as a colorless oil.

[ α ] D 25 = + 48 (c=0.7, in CH3OH). 1H NMR (MeOD, 400 MHz): δ 7.58 (d, 1 H, H-6, J5,6=8.1), 5.71 (d, 1 H, H-5), 4.64 (d, 1 H, H-1′, J1′,2′=3.5), 4.54 (d, 1 H, H-1″, J1″,2″=3.7), 4.41 (dd, 1 H, H-6″a, J6″a,6″b=18.3, J5″,6″a=7.0), 4.29 (dd, 1 H, part A of ABX system, H-6′a, J6′a,6′b=13.3, J5′,6′a=8.6), 4.21 (dd, 1 H, part B of ABX system, H-6′b, J5′,6′b=4.3), 3.96 (td, 1 H, H-5′), 3.81–3.71 (m, 2 H, H-6″b, H-5″), 3.64–3.53 (m, 2 H, H-3′, H-3″, J2′,3′=J3′,4′=9.4, J2″,3″=J3″,4″=9.2), 3.39 (br. dd, 1 H, H-2″), 3.37 (br. t, 1 H, H-2′), 3.25 (s, 3 H, OCH3), 3.24–3.17 (4 H, OCH3, H-4′), 3.14 (br.t, 1 H, H-4″). 13C NMR (MeOD, 100 MHz): δ 165.7 (C-4), 153.4 (C-2), 146.9 (C-6), 101.2, 101.0, (C-1′, C-1″), 100.9 (C-5), 75.2 (C-4′), 74.9, 74.7 (C-3′, C-3″), 73.6 (C-4″), 73.5, 73.5 (C-2′, C-2″), 70.8 (C-5″), 68.6 (C-5′), 55.5, 55.2 (2×OCH3), 51.6 (C-6″), 43.8 (C-6′). HRMS: calcd for C18H28N2O12 [M+Na]+ 487.1534, found 487.1540.

1,3-Bis-(methyl 6-deoxy-α-d-glucopyranosid-6-yl)thymine (17), 1-(methyl 6-deoxy-α-d-glucopyranosid-6-yl)thymine (18) and 3-(methyl 6-deoxy-α-d-glucopyranosid-6-yl)thymine (19)

Mitsunobu coupling between methyl 2,3,4-tri-O-acetyl-α-d-glucopyranoside (2; 100 mg, 0.31 mmol) and thymine (79 mg, 0.62 mmol) was performed according to general procedure. The reaction mixture was stirred at room temp. for 16 h. Column chromatography (diethyl ether) allowed the separation of the starting material (28 mg recovered, 28%) from the reaction products, which were subsequently treated with aq. TFA (80%, 3 mL). Purification by column chromatography (from dichloromethane to dichloromethane/MeOH, 4:1) afforded 17 (22 mg, 29%, 2 steps), 18 (14 mg, 15%, 2 steps) and 19 (9 mg, 10%, 2 steps), as a colorless oil.

Data for 17: [α]D25=+8 (c=0.4, in CH3OH). 1H NMR (MeOD, 400 MHz): δ 7.45 (s, 1 H, H-6), 4.64 (d, 1 H, H-1′, J1′,2′=3.4), 4.53 (d, 1 H, H-1″, J1″,2″=3.4), 4.40–4.18 (m, 3 H, H-6″a, H-6′a, H-6′b, J6′a,6′b=13.5, J5′,6′a=8.5, J5′,6′b=4.2), 3.97 (td, 1 H, H-5′), 3.84–3.72 (m, 2 H, H-6″b, H-5″), 3.65–3.53 (m, H-3′, H-3″), 3.43–3.34 (m, 2 H, H-2′, H-2″), 3.29–3.17 (7 H, 2×OCH3, H-4′), 3.13 (t, 1 H, H-4″, J3″,4″=J4″,5″=9.3), 1.89 (s, 3 H, CH3). 13C NMR (MeOD, 100 MHz): δ 166.0 (C-4), 153.5 (C-2), 142.9 (C-6), 109.5 (C-5), 101.2, 100.9, (C-1′, C-1″), 75.2 (C-4′), 74.9, 74.6 (C-3′, C-3″), 73.5 73.5, 73.5 (C-2′, C-2″, C-4″), 70.8 (C-5″), 68.7 (C-5′), 55.5, 55.2 (2×OCH3), 51.4 (C-6″), 43.9 (C-6′), 12.9 (CH3). HRMS: calcd for C19H30N2O12 [M+Na]+ 501.1691, found 501.1686.

Data for 18: [α]D25=+30 (c=1.3, in CH3OH). 1H NMR (MeOD, 400 MHz): δ 7.42 (s, 1 H, H-6), 4.65 (d, 1 H, H-1′, J1′,2′=3.4), 4.29 (dd, 1 H, H-6′a, J6′a,6′b=17.9, J5′,6′a=6.9), 3.79–3.69 (m, 2 H, H-5′, H-6′b), 3.60 (t, 1 H, H-3′), 3.39 (dd, 1 H, H-2′, J2′,3′=9.5), 3.25 (s, 3 H, OCH3), 3.13 (t, 1 H, H-4″, J3″,4″=J4″,5″=8.7), 1.86 (s, 3 H, CH3). 13C NMR (MeOD, 100 MHz): δ 166.9 (C-4), 153.5 (C-2), 144.5 (C-6), 110.4 (C-5), 101.2, (C-1′), 74.7 (C-3′), 73.5, 73.4 (C-4′, C-2′), 70.8 (C-5′), 55.4 (OCH3), 50.3 (C-6′), 12.2 (CH3). HRMS: calcd for C12H18N2O7 [M+Na]+ 325.1006, found 325.1005.

Data for 19: [α]D25=+12 (c=0.5, in CH3OH). 1H NMR (MeOD, 400 MHz): δ 7.24 (s, 1 H, H-6), 4.56 (d, 1 H, H-1′, J1′,2′=3.6), 4.27 (dd, part A of ABX system, H-6′a, J6′a,6′b=13.2, J5′,6′a=8.6), 4.20 (dd, part B of ABX system, H-6′b, J6′a,6′b=13.2, J5′,6′b=4.2), 3.94 (td, 1 H, H-5′), 3.57 (t, 1 H, H-3′, J2′,3′=J3′,4′=9.5), 3.39 (dd, 1 H, H-2′, J2′,3′=9.5), 3.24–3.17 (m, 4 H, OCH3, H-4′, J3′,4′=J4′,5′=8.7), 1.88 (s, 3 H, CH3). 13C NMR (MeOD, 100 MHz): δ 166.6 (C-4), 153.8 (C-2), 137.5 (C-6), 109.9 (C-5), 100.9, (C-1′), 75.0, 75.0 (C-3′, C-4′), 73.5 (C-2′), 68.9 (C-5′), 55.1 (OCH3), 43.1 (C-6′), 12.9 (CH3). HRMS: calcd for C12H18N2O7 [M+Na]+ 325.1006, found 325.1003.

Cholinesterase inhibition studies

Spectrophometer and chemicals

A TECAN SpectraFluorPlus working on the kinetic mode and measuring the absorbance at 415 nm was used for the enzymatic studies. Acetylcholinesterase (from Electrophorus electricus), 5,5′-dithiobis-(2-nitrobenzoic acid) (DTNB) and acetylthiocholine iodide (ATChI) were purchased from Fluka. Butyrylcholinesterase (from equine serum) was purchased from Sigma and butyrylthiocholine iodide (BTChI) was bought from Aldrich.

Solutions preparation

Preparation of 50 mM Tris-HCl buffer solutions: Tris(hydroxymethyl)aminomethane (606 mg) was dissolved in bi-distilled water (100 mL) and the pH was adjusted to 8.0±0.1 by adding HCl. Buffer was freshly prepared and stored in the refrigerator. AChE solution (2.005 U/mL): the enzyme (271 U/mg, 0.037 mg) was dissolved in freshly prepared buffer pH 8.0 (5 mL) containing NaN3 (0.98 mg). BChE solution (2.040 U/mL): the enzyme (7.54 U/mg, 1.353 mg) was dissolved in freshly prepared buffer pH 8.0 (5 mL) containing NaN3 (0.98 mg). DTNB solution (3 mM): DTNB (23.8 mg) was dissolved in freshly prepared buffer pH 8.0 (20 mL) containing NaCl (116.8 mg) and MgCl2 (38.0 mg). ATChI solution (15 mM): ATChI (43.4 mg) was dissolved in bi-distilled water (10 mL). BTChI solution (15 mM): BTChI (47.6 mg) was dissolved in bi-distilled water (10 mL). All solution were stored in Eppendorf caps in the refrigerator or freezer, if necessary. The pure compounds were initially dissolved in DMSO. Galantamine hydrobromide as standard was dissolved in bi-distilled water. The final concentrations for the enzymatic assay were yielded by diluting the stock solution with bi-distilled water. No inhibition was detected by residual DMSO (<0.5%).

Enzyme assays

A mixture of the DTNB solution (125 μL), enzyme (25 μL) and compounds’ solutions (25 μL, 3 different concentrations and once blank water) was prepared and then incubated at 30°C for 20 min. The substrate (25 μL, 4 different concentrations) was added to start the enzymatic reaction. The absorbance data (415 nm) was recorded under a controlled temperature of 30°C for 30 min at 1 min intervals. All measurements were performed as triplicates. The final substrate concentrations in the test were as follows: [ATChI]=[BTChI]=0.9375 mM, 0.625 mM, 0.325 mM, 0.1875 mM. The mode of inhibition as well as Ki and Ki′ were determined using Lineweaver-Burk plot [56], Dixon plot [57] and Cornish-Bowden plot [58].

Molecular docking studies

Among the several crystal structures of AChE, the human AChE complexed with fasciculin-II (PDB: 1B41) [54] was selected from the RCSB Protein Data Bank [59] given its higher resolution of 2.76 Å. 3D models of the two most active compounds, 11 and 20, were built using Pymol [55] and geometry optimized using Gaussian 09 [60] at the PBE1PBE/6-31G* level of theory [61]. Atomic point charges for the individual compounds were determined according to the RESP methodology [62] using the same level of theory. These charges were kept during the generation of the input pdbqt files for the ligands via the Autodock graphical interface AutoDockTools [63, 64], although the charges of the non-polar hydrogens were merged into the corresponding heavy atom. The PDB of the protein, striped of water molecules and co-crystallized inhibitor, was also treated with AutoDockTools. Given their location near the entrance of the binding pocket, residues Tyr124, Trp286, Tyr337, and Tyr341 were considered flexile.

The flexible molecular docking was performed using with the open-source program AutoDock Vina 1.1.2. [53]. The search space consisted on a box (23×25×23 Å) centered on the binding site of AChE. For each compound, 100 individual docking runs were executed, each providing 20 poses ranked according to the scoring function of Autodock Vina, thus totalizing 2000 poses for each molecule. The pose with the most stable binding energy was selected and is shown in the main manuscript.


Article note

A collection of invited papers based on presentations at the 19th European Symposium on Organic Chemistry (ESOC-19), Lisbon, Portugal, 12–16 July 2015.


Acknowledgments

‘Fundação para a Ciência e Tecnologia’ (FCT) is acknowledged for funding through the FCT Investigator Program to N.M.X. and to P.C. (IF/01488/2013 and IF/00069/2014), and for financial support through the exploratory project IF/01488/2013/CP1159/CT0006 and the strategic project UID/MULTI/00612/2013.

References

[1] L. P. Jordheim, D. Durantel, F. Zoulim, C. Dumontet. Nat. Rev. Drug. Discov.12, 447 (2013).10.1038/nrd4010Suche in Google Scholar PubMed

[2] S. Knapp. Chem. Rev.95, 185 (1995).10.1021/cr00038a006Suche in Google Scholar

[3] K.-i. Kimura, T. D. H. Bugg. Nat. Prod. Rep.20, 252 (2003).10.1039/b202149hSuche in Google Scholar PubMed

[4] S. Rachakonda, L. Cartee. Curr. Med. Chem.11, 775 (2004).10.2174/0929867043455774Suche in Google Scholar PubMed

[5] M. Winn, R. J. M. Goss, K.-i. Kimura, T. D. H. Bugg. Nat. Prod. Rep.27, 279 (2010).10.1039/B816215HSuche in Google Scholar PubMed

[6] L. A. Vitali, D. Petrelli, C. Lambertucci, M. Prenna, R. Volpini, G. Cristalli. J. Med. Microbiol.61, 525 (2012).10.1099/jmm.0.038174-0Suche in Google Scholar PubMed

[7] C. Meier, C. Ducho, U. Görbig, R. Esnouf, J. Balzarini. J.Med. Chem.47, 2839 (2004).10.1021/jm031032aSuche in Google Scholar PubMed

[8] S. Schwarz, R. Csuk, A. P. Rauter. Org. Biomol. Chem.12, 2446 (2014).10.1039/C4OB00142GSuche in Google Scholar PubMed

[9] N. M. Xavier, S. Schwarz, P. D. Vaz, R. Csuk, A. P. Rauter. Eur. J. Org. Chem.2014, 2770 (2014).10.1002/ejoc.201301913Suche in Google Scholar

[10] P. Anand, B. Singh. Arch. Pharmacal. Res.36, 375 (2013).10.1007/s12272-013-0036-3Suche in Google Scholar PubMed

[11] W. J. Deardorff, E. Feen, G. T. Grossberg. Drugs Aging32, 537 (2015).10.1007/s40266-015-0273-xSuche in Google Scholar PubMed

[12] H. W. Yu, L. R. Zhang, J. C. Zhuo, L. T. Ma, L. H. Zhang. Bioorg. Med. Chem.4, 609 (1996).10.1016/0968-0896(96)00048-XSuche in Google Scholar

[13] H.-W. Yu, H.-Y. Zhang, Z.-J. Yang, J.-M. Min, L.-T. Ma, L.-H. Zhang. Pure Appl. Chem.70, 435 (1998).10.1351/pac199870020435Suche in Google Scholar

[14] D. M. Huryn, B. C. Sluboski, S. Y. Tam, M. Weigele, I. Sim, B. D. Anderson, H. Mitsuya, S. Broder. J. Med. Chem.35, 2347 (1992).10.1021/jm00091a001Suche in Google Scholar PubMed

[15] J. A. Tino, J. M. Clark, A. K. Field, G. A. Jacobs, K. A. Lis, T. L. Michalik, B. McGeever-Rubin, W. A. Slusarchyk, S. H. Spergel. J. Med. Chem.36, 1221 (1993).10.1021/jm00061a013Suche in Google Scholar PubMed

[16] K. F. Solke, J.-L. Huang, J. W. Russell, V. J. Whiterock, J. E. Sundeen, L. W. Stratton, J. M. Clark. Antiviral Res.23, 219 (1994).10.1016/0166-3542(94)90019-1Suche in Google Scholar PubMed

[17] V. Nair, M. H. St. Clair, J. E. Reardon, H. C. Krasny, R. J. Hazen, M. T. Paff, L. R. Boone, M. Tisdale, I. Najera, R. E. Dornsife, D. R. Averett, K. Borroto-Esoda, J. L. Yale, T. P. Zimmerman, J. L. Rideout. Antimicrob. Agents Chemother. 39, 1993 (1995).10.1128/AAC.39.9.1993Suche in Google Scholar PubMed PubMed Central

[18] V. Nair. in Recent Advances in Nucleosides: Chemistry and Chemotherapy, C. K. Chu, (Ed.), pp. 149–166, Elsevier, Oxford (2002).10.1016/B978-044450951-2/50006-0Suche in Google Scholar

[19] V. Nair, D. G. Piotrowska, M. Okello, J. Vadakkan. Nucleos. Nucleot. Nucl.26, 687 (2007).10.1080/15257770701490639Suche in Google Scholar PubMed

[20] S. Aragonès, F. Bravo, Y. Díaz, M. I. Matheu, S. Castillón. Tetrahedron Lett.44, 3771 (2003).10.1016/S0040-4039(03)00743-3Suche in Google Scholar

[21] J. Zhang, Y. Chen, Y. Huang, H.-W. Jin, R.-P. Qiao, L. Xing, L.-R. Zhang, Z.-J. Yang, L.-H. Zhang. Org. Biomol. Chem.10, 7566 (2012).10.1039/c2ob26219cSuche in Google Scholar PubMed

[22] Y. Yoshimura, K. Asami, H. Matsui, H. Tanaka, H. Takahata. Org. Lett.8, 6015 (2006).10.1021/ol062491jSuche in Google Scholar PubMed

[23] A. Chattopadhyay, A. Salaskar. J. Chem. Soc., Perkin Trans.16, 785 (2002).10.1039/b109785gSuche in Google Scholar

[24] L. S. Jeong, S. J. Yoo, H. R. Moon, M. W. Chun, C.-K. Lee. Nucleos. Nucleot.18, 655 (1999).10.1080/15257779908041531Suche in Google Scholar PubMed

[25] N. M. Xavier, S. D. Lucas, R. Jorda, S. Schwarz, A. Loesche, R. Csuk, M. C. Oliveira. Synlett.26, 2663 (2015).10.1055/s-0035-1560591Suche in Google Scholar

[26] S. Bera, V. Nair. Tetrahedron Lett. 42, 5813 (2001).10.1016/S0040-4039(01)01118-2Suche in Google Scholar

[27] P. J. Bolon, T. B. Sells, Z. M. Nuesca, D. F. Purdy, V. Nair. Tetrahedron50, 7747 (1994).10.1016/S0040-4020(01)85259-5Suche in Google Scholar

[28] C. Besset, S. Chambert, Y. Queneau, S. Kerverdo, H. Rolland, J. Guilbot. Carbohydr. Res.343, 929 (2008).10.1016/j.carres.2008.01.041Suche in Google Scholar PubMed

[29] C. Besset, S. Chambert, B. Fenet, Y. Queneau. Tetrahedron Lett.50, 7043 (2009).10.1016/j.tetlet.2009.09.173Suche in Google Scholar

[30] M. R. L, S. K. Yousuf, D. Mukherjee, S. C. Taneja. Org. Biomol. Chem.10, 9090 (2012).10.1039/c2ob26324fSuche in Google Scholar PubMed

[31] A. R. Dar, M. A. Aga, B. Kumar, S. K. Yousuf, S. C.Taneja. Org. Biomol. Chem.11, 6195 (2013).10.1039/c3ob40853aSuche in Google Scholar PubMed

[32] M. Yang, S. W. Schneller, B. B. Korba. J. Med. Chem.48, 5043 (2005).10.1021/jm058200eSuche in Google Scholar PubMed

[33] Y. Kitade, T. Ando, T. Yamaguchi, A. Hori, M. Nakanishi, Y. Ueno. Bioorg. Med. Chem.14, 5578 (2006).10.1016/j.bmc.2006.04.023Suche in Google Scholar PubMed

[34] H. Ashihara, T. Suzuki. Front. Biosci.9, 1864 (2004).10.2741/1367Suche in Google Scholar PubMed

[35] H. Ashihara, T. Yokota, A. Crozier. Adv. Bot. Res.68, 111 (2013).10.1016/B978-0-12-408061-4.00004-3Suche in Google Scholar

[36] J. A. Elvidge, G. T. Rogers, T. L. V. Ulbricht. J. Heterocyclic Chem.8, 1039 (1971).10.1002/jhet.5570080629Suche in Google Scholar

[37] B.-K. Chun, P. Wang, A. Hassan, J. Du, P. M. Tharnish, L. J. Stuyver, M. J. Otto, R. F. Schinazi, K. A. Watanabe. Tetrahedron Lett.46, 2825 (2005).10.1016/j.tetlet.2005.02.120Suche in Google Scholar

[38] B.-K. Chun, P. Wang, A. Hassan, J. Du, P. M. Tharnish, E. Murakami, L. Stuyver, M. J. Otto. Nucleos. Nucleot. Nucl.26, 83 (2007).10.1080/15257770601052307Suche in Google Scholar PubMed

[39] M. Pohanka, P. Dobes. Int. J. Mol. Sci.14, 9873 (2013).10.3390/ijms14059873Suche in Google Scholar PubMed PubMed Central

[40] T. Mohamed, W. Osman, G. Tin, P. P. N. Rao. Bioorg. Med. Chem. Lett.23, 4336 (2013).10.1016/j.bmcl.2013.05.092Suche in Google Scholar PubMed

[41] D. Beer, G. Bhalay, A. Dunstan, A. Glen, S. Haberthuer, H. Moser. Bioorg. Med. Chem. Lett.12, 1973 (2002).10.1016/S0960-894X(02)00296-2Suche in Google Scholar

[42] A. Dondoni, A. Massi, S. Sabbatini, V. Bertolasi. J. Org.Chem.67, 6979 (2002).10.1021/jo0202076Suche in Google Scholar PubMed

[43] A. Marra, A. Vecchi, C. Chiappe, B. Melai, A. Dondoni. J. Org. Chem.73, 2458 (2008).10.1021/jo7026454Suche in Google Scholar PubMed

[44] P.-Z. Zhang, X.-L. Li, H. Chen, Y.-N. Li, R. Wang. Tetrahedron Lett.48, 7813 (2007).10.1016/j.tetlet.2007.09.007Suche in Google Scholar

[45] P. Zhang, C. Wei, E. Wang, W. Wanga, M. Liu, Q. Yin, H. Chen, K. Wang, X. Li, J. Zhang. Carbohydr. Res.351, 7 (2012).10.1016/j.carres.2011.11.025Suche in Google Scholar PubMed

[46] A. Kayet, T. Pathak. J. Org. Chem.78, 9865 (2013).Suche in Google Scholar

[47] M.-H. Huang, J. Duchek, A. Vasella. Molecules18, 3906 (2013).10.3390/molecules18043906Suche in Google Scholar PubMed PubMed Central

[48] H. Sugimura, K. Stansfield. Synlett.1998, 985 (1998).10.1055/s-1998-1849Suche in Google Scholar

[49] K. Stansfield, H. Kanamori, H. Sugimura. New J. Chem.23, 9 (1999).10.1039/a807594hSuche in Google Scholar

[50] T. G. George, P. Szolcsányi, S. G. Koenig, D. E. Paterson, Y. Isshiki, A. Vasella. Helv. Chim. Acta87, 1287 (2004).10.1002/hlca.200490118Suche in Google Scholar

[51] M. Breugst, F. C. Bautista, H. Mayr. Chem. Eur. J.18, 127 (2012).10.1002/chem.201102411Suche in Google Scholar PubMed

[52] G. Mushtaq, N. H. Greig, J. A. Khan, M. A. Kamal. CNS Neurol. Disord. Drug Targets13, 1432 (2014).10.2174/1871527313666141023141545Suche in Google Scholar PubMed PubMed Central

[53] O. Trott, A. J. Olson. J. Comput. Chem.31, 455 (2010).10.1002/jcc.21334Suche in Google Scholar PubMed PubMed Central

[54] G. Kryger, M. Harel, K. Giles, L. Toker, B. Velan, A. Lazar, C. Kronman, D. Barak, N. Ariel, A. Shafferman, I. Silman, J. L. Sussman. Acta Crystallogr. D Biol. Crystallogr.56, 1385 (2000).10.1107/S0907444900010659Suche in Google Scholar

[55] PyMOL Molecular Graphics System, Version 1.2r2, DeLano Scientific LLC, 2009.Suche in Google Scholar

[56] H. Lineweaver, D. Burk. J. Am. Chem. Soc.56, 658 (1934).10.1021/ja01318a036Suche in Google Scholar

[57] M. Dixon. Biochem. J.55, 170 (1953).10.1042/bj0550170Suche in Google Scholar PubMed PubMed Central

[58] A. Cornish-Bowden. Biochem. J.137, 143 (1974).10.1042/bj1370143Suche in Google Scholar PubMed PubMed Central

[59] H. M. Berman, J. Westbrook, Z. Feng, G. Gilliland, T. N. Bhat, H. Weissig, I. N. Shindyalov, P. E. Bourne. Nucleic Acids Res.28, 235 (2000).Suche in Google Scholar

[60] Gaussian 09, Revision E.01, M. J. Frisch, G. W. Trucks, H. B. Schlegel, G. E. Scuseria, M. A. Robb, J. R. Cheeseman, G. Scalmani, V. Barone, B. Mennucci, G. A. Petersson, H. Nakatsuji, M. Caricato, X. Li, H. P. Hratchian, A. F. Izmaylov, J. Bloino, G. Zheng, J. L. Sonnenberg, M. Hada, M. Ehara, K. Toyota, R. Fukuda, J. Hasegawa, M. Ishida, T. Nakajima, Y. Honda, O. Kitao, H. Nakai, T. Vreven, J. A. Montgomery, Jr., J. E. Peralta, F. Ogliaro, M. Bearpark, J. J. Heyd, E. Brothers, K. N. Kudin, V. N. Staroverov, R. Kobayashi, J. Normand, K. Raghavachari, A. Rendell, J. C. Burant, S. S. Iyengar, J. Tomasi, M. Cossi, N. Rega, J. M. Millam, M. Klene, J. E. Knox, J. B. Cross, V. Bakken, C. Adamo, J. Jaramillo, R. Gomperts, R. E. Stratmann, O. Yazyev, A. J. Austin, R. Cammi, C. Pomelli, J. W. Ochterski, R. L. Martin, K. Morokuma, V. G. Zakrzewski, G. A. Voth, P. Salvador, J. J. Dannenberg, S. Dapprich, A. D. Daniels, Ö. Farkas, J. B. Foresman, J. V. Ortiz, J. Cioslowski, and D. J. Fox, Gaussian, Inc., Wallingford CT, 2009.Suche in Google Scholar

[61] C. Adamo, V. Barone. J. Chem. Phys.110, 6158 (1999).10.1063/1.478522Suche in Google Scholar

[62] C. I. Bayly, P. Cieplak, W. Cornell, P. A. Kollman. J. Phys. Chem.97, 10269 (1993).10.1021/j100142a004Suche in Google Scholar

[63] G. M. Morris, R. Huey, W. Lindstrom, M. F. Sanner, R. K. Belew, D. S. Goodsell, A. J. Olson. J. Comput. Chem.30, 2785 (2009).10.1002/jcc.21256Suche in Google Scholar PubMed PubMed Central

[64] M. F. Sanner. J. Mol. Graph. Model17, 57 (1999).Suche in Google Scholar

Published Online: 2016-04-19
Published in Print: 2016-04-01

©2016 IUPAC & De Gruyter. This work is licensed under a Creative Commons Attribution-NonCommercial-NoDerivatives 4.0 International License. For more information, please visit: http://creativecommons.org/licenses/by-nc-nd/4.0/

Heruntergeladen am 16.10.2025 von https://www.degruyterbrill.com/document/doi/10.1515/pac-2016-0102/html?lang=de
Button zum nach oben scrollen