Abstract
We present recent advances in the understanding of the reduction of optically pure hydroxyalkylphosphinates and phosphine oxides, which represent key intermediates for the preparation of P-stereogenic ligands. Their reduction leads to P-chiral phosphinites and phosphines, respectively, and occurs stereospecifically with inversion of configuration using BH3·THF, which plays three roles: activating, reducing and protecting agent. The formation of by-products as hydroxyalkyl secondary phosphine–boranes has also been studied.
Introduction
The access to P-stereogenic molecules remains an important challenge in organic chemistry, and more precisely in asymmetric catalysis. Indeed phosphorus donor species represent one of the major classes of transition metal ligands, which are widely used for the industrial production of chemicals [1–3]. The synthetic challenge comes from the mastering of the substitution on phosphorus centers, during the different synthetic steps, in order to obtain configurationally stable trivalent phosphorus ligands with high inversion barrier. Conventional routes to trivalent P-stereogenic architectures consist in stereoselectively producing pentavalent P-stereogenic precursors (i.e. oxidized derivatives), which are air- and moisture-stable. The trivalent P-stereogenic molecules can then be obtained by a final reduction process, which is not trivial due to the strength of the P=O bond, and moreover, can affect the enantiopurity of the final product. Many reagents can reduce the P=O bond with inversion or retention of configuration at phosphorus atom [4].
Among them, silanes were used for the first time in 1965 by Horner and Balzer [5] on the reduction of P-chiral phosphine oxides (Fig. 1). With either HSiCl3, HSiCl3/pyridine or HSiCl3/N,N-diethylaniline the reduction afforded stereoselectively phosphines with retention of configuration at the phosphorus center whereas the HSiCl3/NEt3 system gave the phosphine with inversion of configuration.

Stereodivergence in the reduction of P-stereogenic phosphine oxides with trichlorosilane.
The direct reduction of phosphine oxides by borane complexes is convenient because it allows the straightforward access to stable and easy to handle borane protected phosphine compounds [6, 7]. Triphenylphosphine oxide reacted with boranes complexes such as amine–boranes and phosphine–boranes to afford triphenylphosphine under harsh conditions (120–180°C) (Fig. 2). The relatively high temperature necessary to obtain the deoxygenated compounds in synthetically relevant yields is a major drawback, and moreover, can be prejudicial to the stereoselectivity of the reaction.

Reduction of triphenylphosphine oxide with borane complexes.
However, when the P=O bond bears a tethered alcohol function, the problem can be circumvented. The reduction can notably be achieved by a mixture of HSiCl3 and BH3·THF complex at room temperature [8]. Kiełbasiński and co-workers [9–11] reported that phosphine oxides or phosphinate can be stereoselectively reduced at room temperature with BH3·THF complex alone to give the phosphine–boranes or phosphinite–boranes, respectively, in 11–95% yields (Fig. 3). This reduction took place with inversion of configuration at the phosphorus center. The low yields were due to a side reaction giving rise to secondary phosphine-borane. The access to chiral hydroxyalkyl tertiary phosphine-boranes is of great interest as these molecules are key intermediates to elaborate chiral phosphine ligands [12–14]. Therefore Pietrusewicz and co-workers [15] recently generalized the reduction of a large scope of tertiary hydroxyalkylphosphines with borane complexes, and obtained the corresponding phosphine-boranes in low to excellent yields (20–100%).

Reduction of hydroxyalkylphosphinates and phosphine oxides with borane complexes.
Concerning the mechanism of the reaction, they proposed two different modes of activation of the P=O prior to the reduction. We recently confirmed the one proposed by Pietrusiewicz where a first equivalent of BH3 reacts with the hydroxyl group to generate the alkoxy borane [16]. The latter is then able to activate intramolecularly the P=O bond before more equivalents of BH3 reduce it. In the case of hydroxyalkyl phosphinates, Kiełbasiński [10] and our group [17] observed the formation of overreduced secondary phosphine-boranes. In this paper, we will attempt to clarify the mechanism allowing the formation of these compounds.
Reduction of chiral hydroxyalkyl phosphine oxides
In the Table 1, we summarized the results obtained on the reduction of hydroxyalkyl functionalized phosphine oxides (TPO) 1 to hydroxyalkyl functionalized tertiary phosphine–boranes (TPB) 2. We first studied the influence of the amount of BH3·THF on the conversion of the TPO 1a. It appeared clearly that 3 equivalents are sufficient to afford completely the TPB 2a (Table 1, entries 1–3). Nevertheless we also observed the full conversion of 1a with only 0.33 equiv. of BH3.THF, followed by its recovery after hydrolysis (entry 1). The importance of the hydroxyl group was highlighted as the methyl ether 1b failed to react while being placed with 6 equivalents of BH3·THF for 2 weeks (entry 4). The stereospecificity of the reaction was also demonstrated. Indeed enantioenriched TPO 1a–e were reduced to TPB 2a–e with weak loss of enantiopurity (entries 5–8). The reduction occurred with inversion of configuration at the phosphorus atom as demonstrated by XRD and VCD [16]. The influence of the intramolecular distance between the P=O and the OH groups has been evidenced by the difference of reactivity of the TPO 1a and 1c. For the latter (n=1), the reaction mixture has to be warmed to 50°C for 72 h to get the TPB 2c in only 56% yield (entry 6). The substitution on the α-position of the P=O bond with a methyl (entry 7) and a phenyl group (entry 8) afforded lower yields, given that a small amount of secondary phosphine-boranes (SPB) is isolated along with the desired product.
Reduction of TPO 1 to TPB 2.
![]() |
|||||||||
|---|---|---|---|---|---|---|---|---|---|
| Entry | 1, e.r., d.r. | n | R1 | R2 | x (BH3) | t (h) | T (°C) | Yield (%) | 2, e.r.a, d.r. b |
| 1 | Rac-1a | 0 | H | H | 0.33 | 2 | 25 | –c | – |
| 2 | Rac-1a | 0 | H | H | 1 | 2 | 25 | 31 | Rac.-2a |
| 3 | Rac-1a | 0 | H | H | 3 | 2 | 25 | 94 | Rac.-2a |
| 4 | Rac-1b | 0 | H | Me | 6 | 2 weeks | 25 | – | – |
| 5 | (RP)-1a, 99/1 | 0 | H | H | 6 | 2 | 25 | 97 | (RP)-2a, 96/4 |
| 6 | (RP)-1c, 99/1 | 1 | H | H | 6 | 72 | 50 | 56 | (RP)-2c, 99.5/0.5 |
| 7 | (SP, S)-1d, 98.8/1.2, >20/1 | 0 | Me | H | 3 | 5 | 25 | 73d | (SP, S)-2d, 99/1, 15/1 |
| 8 | (RP, R)-1e, 99.5/0.5, 3/1 | 0 | Ph | H | 3 | 2 | 25 | 63e | (RP, R)-2e, 98.5/1.5f, 2.5/1 |
On the scheme of the Table is represented the absolute configuration RP. aEnantiomeric ratio was determined by HPLC analysis. bDetermined by 31P NMR before the work-up. cDisappearance of the starting material but 70% of starting material recovered after hydrolysis. d12% of racemic SPB was also isolated. e11% of racemic SPB was also isolated. fe.r. of minor diastereomer 87/13.
Reduction of chiral hydroxyalkyl phosphinates
Once the preparation of (O-adamantyl)hydroxymethylphosphinate 3a, c–e [17] and (O-menthyl)hydroxymethylphosphinate 3b [18] have been realized, their reduction with 6 equivalent of BH3·THF gave the desired product 4 with satisfactory yields with respect to the selectivity of the reaction. As observed for the phosphine oxides 1, the reduction of phosphinates occurred with inversion of configuration at the phosphorus atom.
For the phosphinates 3 the reduction of the two P–O bonds leads to the SPB 5. This overreduced product was always observed by 31P NMR in various amounts, which depends on the substitution at the phosphorus atom (for 31P NMR description of 5 see also ref. [19, 20]). It appears that the increase of steric hindrance of R2 favors the selective formation of desired product 4 (Table 2, entries 1 and 2). Kiełbasiński and co-workers, during the reduction of various alkoxyhydroxymethylphenylphosphinates with BH3–Me2S, obtained a higher amount of overreduced compound 5a in ratio (4/5a) of 1/17, 1/4, 1/1.5 starting from MeO, EtO and iPrO phosphinate, respectively [9]. This is consistent with our results obtained with the rigid tertiary alcohol (adamantyl, entry 1), and the less hindered secondary alcohol (menthyl, entry 2). This difference of reactivity was already observed in the nucleophilic addition of organolithium reagent to H-menthylphosphinate and H-adamantylphosphinate which reacted at –80°C and –50°C, respectively [17]. In contrast, the increase of the electron donating ability and the bulkiness of R1 favor the formation of overreduced product 5. Starting from 3a (R1=Ph) or 3c (R1=t-Bu), a 9.5/1 ratio in 4a or 1.6/1 ratio in 4c were obtained, respectively (entries 1–3). The replacement of a phenyl substituent with an o-MeO–C6H4 substituent slightly modified the yield and selectivity (entries 1 and 4). However, when the steric hindrance of R1 increased, the selectivity decreased to 5.2/1 with a cyclohexyl substituent, without modifications of the yield, and to 1.6/1 with a tert-butyl group with a yield of only 48% (Table 2, entries 3 and 4). The overreduction seems to be a competitive process, as the amount of SPB 5 did not increase with a longer exposure time to borane. Moreover, as expected, the phosphinite–borane 4 did not react further with borane when being placed in our conditions (harsher conditions are needed to reduce phosphinite-boranes [22–24]). Direct attempts to analyze by chiral HPLC the enantiomeric ratio of 5 failed. Nevertheless we could derivatize 5a (P–H) to its analog 5′a (P–Me) by reaction with n-BuLi (2.2 equiv.) and MeI (1.2 equiv.) at –78°C. Its chiral HPLC analysis revealed the formation of an essentially racemic compound (e.r.=51.5/48.5).
Reduction of phosphinates 3 to phosphinite-boranes 4 and SPB 5.
![]() |
||||||
|---|---|---|---|---|---|---|
| Entry | 3, e.r. | R1 | R2 | Yielda, 4, e.r. b (%) | 4/5c | 5′ Me-analogue, e.r.b |
| 1 | (RP)-3a, 99.5/0.5 | Ph | Ad | 84, (SP)-4a, 98/2 | 9.5/1 |
5′a, 51.5/48.5![]() |
| 2 | (SP)-3b, >99.5/0.5 | Ph | Menthyl | 54, (RP)-4bd, >97.5/2.5e | 3.2/1 | n.d. |
| 3 | (RP)-3c, >97.5/2.5 | t-Bu | Ad | 48f, (SP)-4c, >97.5/2.5 | 1.6/1 | n.d. |
| 4 | (+)-3d, 99.5/0.5 | o-MeO-C6H4 | Ad | 81, (–)-4d, 99.5/0.5 | 8.4/1 | n.d. |
| 5 | (+)-3e, >97.5/2.5 | Cy | Ad | 78, (–)-4e, >97.5/2.5 | 5.2/1 | n.d. |
On the scheme of the Table is represented the absolute configuration RP-3. aIsolated yield after column chromatography. bEnantiomeric ratio was determined by HPLC analysis. cDetermined by 31P NMR before the work-up. dSee the note [21] for full characterization. eDiastereomeric ratio determined by 31P NMR and HPLC. fReaction time after the addition of BH3·THF was 96 h.
Mechanistic aspects
Considering the mechanism aspects already treated in previous studies [16], we aim to propose complementary suggestions, notably concerning the formation of the by-products (Fig. 4).
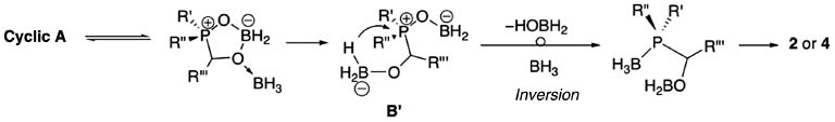
The different results obtained with the compound 1a (Table 1, entries 1–3, 5) showed the prior deprotonation of the alcohol. This was clearly attested by 31P and 11B studies [16]. The result obtained with the compound 1b evidenced the role of the hydroxyl group. The difference of reactivity between the compound 1a and 1c suggests the formation of the ring intermediate (cyclic A) where the P=O is activated. Indeed the reactivity of the P (V)-phosphonium with respect to a nucleophile is very different between a five and a six membered ring. The five membered ring spans easily the apical equatorial position in C to relieve largely the ring strain [25, 26]. Another pathway could be considered starting from the intermediate cyclic A [27] where it is possible to achieve an opening of the five membered ring promoted by the borane to afford the anionic reducing borane B′ (Fig. 5). Nevertheless we think such a mechanism is less plausible because the neighboring-group participation, involved in the cyclic transition state, does not account for the observed rate differences between 1a (PCH2OH) and 1c (PCH2CH2OH).

Proposed mechanism for the reduction of TPO 1 and phosphinates 3.
![Fig. 5:
Alternative mechanism for the reduction of TPO 1 and phosphinates 3 [27].](/document/doi/10.1515/pac-2016-0103/asset/graphic/j_pac-2016-0103_fig_013.jpg)
Alternative mechanism for the reduction of TPO 1 and phosphinates 3 [27].
In the case of phosphinates 3 (R′=OR), the five-membered ring intermediate can undergo two apical attacks of the hydride. The attack in line with OR substituent (blue arrow), leads to an unfavorable diequatorial five-membered ring, increasing the ring strain, with the hydride and OR substituents in the apical positions of the trigonal bipyramid B. This process is energetically disfavored. The attack in line with the P–OB bond leads to a favorable pentacoordinated P (V) intermediate C (red arrow) in which the five membered ring is in apical-equatorial position, relieving the ring strain, with the P–OB bond in the apical position. From this state, two pathways are possible. The first one is the cleavage of the P–OB bond mimicking the behavior of the phosphine oxides 3, and allowing the formation of the phosphinite–boranes 4. The second one involves a Berry pseudorotation [28–30] via the tetragonal pyramid D to afford E where the OR substituent is now in the apical position, and the five-membered ring in a favorable apical-equatorial position, but also, the less apicophilic carbon atom in apical position [31, 32]. The more reactive apical position is then cleaved to afford the zwitterion F, which can react with BH3 to give the P (V) intermediate G. The latter undergoes apical P–OB cleavage allowing the formation of the achiral phosphonium H, and then the racemic free phosphine I after intramolecular reduction. Its protection leads to the racemic SPB 5. We assume that the steric hindrance of R4 can prevent the Berry pseudorotation of C. Indeed bulky substituents prefer the equatorial position to avoid the steric repulsion. From this hypothesis, we can expect a higher amount of 4 with the sterically demanding OR for the same Ph equatorial substituent (OAd is more hindered than OMenthyl). We observe for the same OR substituent a decreasing of the ratio 4/5 with stronger electron donating and hindered substituents R″: Ph, o-MeO-C6H4>Cy>tert-Bu.
Conclusion
In this paper, we summarized the recent work realized on the reduction of hydroxyalkylphosphine oxides and hydroxyalkylphosphinates with BH3 complexes. The three roles of the boron species as activating, reducing and protecting group has been clearly evidenced. In the case of phosphinates 3, we proposed a possible mechanism allowing the understanding of their reactivity and the formation of racemic secondary phosphine–borane 5. This proposed mechanism is essentially based on the formation of pentacoordinated intermediates by apical attack of hydride nucleophile on a phosphonium and apical departure of the leaving group. The favorable energetic pathway in this mechanism complies with the apicophilicity rule and considers the favorable a–e positions for the five membered ring in a trigonal bipyramidal structure. This mechanism reports on the preferential formation of phosphinite-borane 4. By using this P=O borane reduction method, we can expect the synthesis of new hetero chiral ligands useful for the asymmetric catalysis.
Article note
A collection of invited papers based on presentations at the 19th European Symposium on Organic Chemistry (ESOC-19), Lisbon, Portugal, 12–16 July 2015.
Acknowledgments
The authors thank Dr. N. Vanthuyne and M. Jean for performing analytical chiral HPLC.
References
[1] G. P. Chiusoli, P. M. Maitlis. Editors, Metal-Catalysis in Industrial Organic Processes, Royal Society of Chemistry, Cambridge, UK (2006).10.1039/9781847555328Search in Google Scholar
[2] A. Börner. Editor, Phosphorus Ligands in Asymmetric Catalysis; Synthesis and Applications, Wiley-VCH Verlag GmbH & Co. KGaA, Weinheim (2008).Search in Google Scholar
[3] A. Grabulosa. Editor, P-Stereogenic Ligands in Enantioselective Catalysis, Royal Society of Chemistry Publishing, Cambridge, UK (2011).10.1039/9781849732703Search in Google Scholar
[4] D. Hérault, D. H. Nguyen, D. Nuel, G. Buono. Chem. Soc. Rev.44, 2508 (2015).10.1039/C4CS00311JSearch in Google Scholar PubMed
[5] L. Horner, W. D. Balzer. Tetrahedron Lett. 1157 (1965).10.1016/S0040-4039(01)83990-3Search in Google Scholar
[6] R. Koester, Y. Morita. Angew. Chem.77, 589 (1965).10.1002/ange.19650771306Search in Google Scholar
[7] T. Imamoto, T. Oshiki, T. Onozawa, T. Kusumoto, K. Sato. J. Am. Chem. Soc.112, 5244 (1990).10.1021/ja00169a036Search in Google Scholar
[8] K. Shioji, Y. Kurauchi, K. Okuma. Bull. Chem. Soc. Jpn.76, 833 (2003).10.1246/bcsj.76.833Search in Google Scholar
[9] P. Kiełbasiński, M. Albrycht, R. Zurawinski, M. Mikołajczyk. J. Mol. Catal. B-Enzym.39, 45 (2006).10.1016/j.molcatb.2006.01.025Search in Google Scholar
[10] M. Kwiatkowska, G. Krasiński, M. Cypryk, T. Cierpiał, P. Kiełbasiński. Tetrahedron: Asymmetry22, 1581 (2011).10.1016/j.tetasy.2011.08.024Search in Google Scholar
[11] G. Krasiński, M. Cypryk, M. Kwiatkowska, M. Mikołajczyk, P. Kiełbasiński. J. Mol. Graph.38, 290 (2012).10.1016/j.jmgm.2012.09.001Search in Google Scholar PubMed
[12] K. Nagata, S. Matsukawa, T. Imamoto. J. Org. Chem.65, 4185 (2000).10.1021/jo9918201Search in Google Scholar PubMed
[13] T. Miura, H. Yamada, S. Kikuchi, T. Imamoto. J. Org. Chem.65, 1877 (2000).10.1021/jo991460hSearch in Google Scholar PubMed
[14] S. Lemouzy, M. Jean, L. Giordano, D. Hérault, G. Buono. Org. Lett.18, 140 (2016).10.1021/acs.orglett.5b03450Search in Google Scholar PubMed
[15] S. Sowa, M. Stankevic, A. Szmigielska, H. Maluszynska, A. E. Koziol, K. M. Pietrusiewicz. J. Org. Chem.80, 1672 (2015).10.1021/jo502623gSearch in Google Scholar PubMed
[16] S. Lemouzy, D. H. Nguyen, V. Camy, M. Jean, D. Gatineau, L. Giordano, J.-V. Naubron, N. Vanthuyne, D. Hérault, G. Buono. Chem. Eur. J.21, 15607 (2015).10.1002/chem.201502647Search in Google Scholar PubMed
[17] D. Gatineau, D. H. Nguyen, D. Hérault, N. Vanthuyne, J. Leclaire, L. Giordano, G. Buono. J. Org. Chem.80, 4132 (2015).10.1021/acs.joc.5b00548Search in Google Scholar PubMed
[18] O. Berger, J.-L. Montchamp. Angew. Chem. Int. Ed.52, 11377 (2013).10.1002/anie.201306628Search in Google Scholar PubMed
[19] K. Bourumeau, A.-C. Gaumont, J.-M. Denis. J. Organomet. Chem.529, 205 (1997).10.1016/S0022-328X(96)06640-5Search in Google Scholar
[20] T. Imamoto, T. Kusumoto, N. Suzuki, K. Sato. J. Am. Chem. Soc.107, 5301 (1985).10.1021/ja00304a061Search in Google Scholar
[21] Characterization of (RP)-4b: To the solution of (SP)-3b (0.27 g) in freshly distilled THF (1 mL) was slowly added the solution of BH3 in THF (1 M, 6 mL, 6 equiv.) at 0°C and under stirring conditions. The reaction mixture was allowed to warm at room temperature for 48 h. The 31P NMR analysis shown a mixture of 4b and 5a in ratio of 3.2/1. The obtained solution was evaporated under reduced pressure and the resulting oil was quenched with saturated NH4Cl aqueous solution and the product was extracted with CH2Cl2 (3×10 mL). The combined organic layers were dried over anhydrous Na2SO4 and the solvents were evaporated under reduced pressure to give crude oil product, which was purified by chromatography on the silica gel column using AcOEt/n-hexane (1:9) as eluent. Yield (54.1%). 1H NMR (298 K, 400.132 MHz, CDCl3, ppm): δ 7.61 (m, 2H, JHH = 2.0, 7.6 Hz, JHP = 10.8 Hz, =CH-, Ph), 7.55 (m, 1H, JHH = 1.2, 7.2 Hz, JHP =1.2 Hz, =CH-, Ph), 7.46 (m, 2H, JHH = 1.4, 7.6 Hz, JHP = 2.4 Hz, =CH-, Ph), 4.05 (m, 1H, JHH = 4.4 H, JHP = n.d, >CH-OP), 4.11–4.0 (m, 2H, >CH2, PCH2OH), 2.23 (dm, 1H, JHH = 12.0 Hz, >CH2), 1.90 (br, -OH), 1.77 (md, 1H, JHH = 2.8, 6.8 Hz, >CH-), 1.62 (m, 2H, >CH2), 1.44 (m, 1H, >CH-), 1.32 (tt, 1H, JHH = 2.8, 10.8 Hz, >CH-), 1.12 (q, 1H, JHH = 12.0 Hz, >CH2), 0.92 (m, 1H, >CH2), 0.92 (d, 3H, JHH = 6.4 Hz, -CH3), 0.77 (d, 3H, JHH = 6.8 Hz, -CH3), 0.84 (m, 1H, >CH2), 0.79 (q, 3H, JHP = 93.6 Hz, BH3), 0.47 (d, 3H, JHH = 6.8 Hz, -CH3). 13C{1H} NMR (300 K, 100.623 MHz, CDCl3, ppm): δ 132.54 (d, 1C, JCP = 2.2 Hz, =CH-, Ph), 131.55 (d, 2C, JCP = 10.3 Hz, =CH-, Ph), 129.75 (d, 1C, JCP = 61.6 Hz, =C<, Ph), 128.84 (d, 2C, JCP = 10.3 Hz, =CH-, Ph), 80.61 (d, 1C, JCP = 4.4 Hz, >CH-OP), 63.78 (d, 1C, JCP = 49.3 Hz, >CH2, -CH2P), 49.02 (d, 1C; JCP = 5.1 Hz, >CH-), 43.71 (s, 1C, >CH2), 34.27 (s, 1C, >CH2), 31.74 (s, >CH-), 25.73 (s, 1C, >CH-), 22.94 (s, 1C, >CH2), 22.32 (s, 1C, -CH3), 21.16 (s, -CH3), 15.55 (s, -CH3). 31P{1H} NMR (300 K, 161.984 MHz, CDCl3, ppm): δ 106.16 (q, 1P, JPB = 54.8 Hz). 11B{1H} NMR (300 K, 128.378 MHz, CDCl3, ppm): δ –42.76 (d, 1B, JBP = 62.8 Hz). HRMS (EI+) calcd. for C17H30BO2P [M + Na]+ 331.1972, found 331.1971. HPLC analysis on Chiralpak IA column with a UV detector at λ = 254 nm, flow rate = 1 mL/min, eluent = hexane/ethanol (98/2), Rt (min)= 5.59 for SP(+) and 7.11 for RP(-); [α]D25 = –131.5 (c= 0.0048 in CHCl3) for RP(-).Search in Google Scholar
[22] D. Guillaneux, L. Martiny, H. B. Kagan. Collect. Czech. Chem. Commun.65, 717 (2000).10.1135/cccc20000717Search in Google Scholar
[23] T. Imamoto, M. Matsuo, T. Nonomura, K. Kishikawa, M. Yanagawa. Heteroat. Chem.4, 475 (1993).10.1002/hc.520040511Search in Google Scholar
[24] M. Stankevič, K. M. Pietrusiewicz. J. Org. Chem.72, 816 (2007).10.1021/jo061896eSearch in Google Scholar PubMed
[25] G. Aksnes, K. Bergesen. Acta Chem. Scand.20, 2508 (1966).10.3891/acta.chem.scand.20-2508Search in Google Scholar
[26] G. Aksnes and K. Bergesen. Acta Chem. Scand.19, 931 (1965).10.3891/acta.chem.scand.19-0931Search in Google Scholar
[27] This alternative pathway has been suggested by the referee of this manuscript.Search in Google Scholar
[28] R. S. Berry. J. Chem. Phys.32, 933 (1960).10.1063/1.1730820Search in Google Scholar
[29] For a recent highlights on the stereomutation in trigonal-bipyramidal systems see: C. Moberg, Angew. Chem. Int. Ed. 50, 10290 (2011).10.1002/anie.201103375Search in Google Scholar PubMed
[30] C. Raynaud, L. Maron, J.-P. Daudey, F. Jolibois, ChemPhysChem. 7, 407 (2006).10.1002/cphc.200500297Search in Google Scholar PubMed
[31] The apicophilicity is defined as the ligand preference for the apical position of a trigonal bipyramid structure. The apicophilicity is decided by electron-withdrawing properties of ligand as well as steric hindrance and π-donating ability of ligands. S. Tripett, Phosphorus and Sulfur1, 89 (1976).Search in Google Scholar
[32] S. Matsukawa, K. Kajiyama, S. Kojima, S.-Y. Furuta, Y. Yamamoto, K.-Y. Akiba. Angew. Chem. Int. Ed.41, 4718 (2002).10.1002/anie.200290027Search in Google Scholar PubMed
Supplemental Material
The online version of this article (DOI: https://doi.org/10.1515/pac-2016-0103) offers supplementary material, available to authorized users.
©2016 IUPAC & De Gruyter. This work is licensed under a Creative Commons Attribution-NonCommercial-NoDerivatives 4.0 International License. For more information, please visit: http://creativecommons.org/licenses/by-nc-nd/4.0/
Articles in the same Issue
- Frontmatter
- In this issue
- Editorial
- 19th European Symposium on Organic Chemistry (ESOC-19)
- Conference papers
- Minor enantiomer recycling – a strategy to improve enantioselectivity
- Reactions and interactions between peri-groups in 1-dimethylamino-naphthalene salts: an example of a “through space” amide
- Mechanistic aspects of the stereospecific reduction of chiral hydroxyalkyl phosphinates and phosphine oxides
- Synthesis and structure–activity relationships of ionizable 1,3,4-oxadiazol-2(3H)-ones as peripherally selective FAAH inhibitors with improved aqueous solubility
- An easy approach to dihydrochalcones via chalcone in situ hydrogenation
- Synthesis of glucopyranos-6′-yl purine and pyrimidine isonucleosides as potential cholinesterase inhibitors. Access to pyrimidine-linked pseudodisaccharides through Mitsunobu reaction
- Palladium catalyzed oxidative aminations and oxylations: where are we?
- Sustainable gold catalysis: synthesis of new spiroacetals
- IUPAC Recommendations
- How to name new chemical elements (IUPAC Recommendations 2016)
- Vocabulary of concepts and terms in chemometrics (IUPAC Recommendations 2016)
Articles in the same Issue
- Frontmatter
- In this issue
- Editorial
- 19th European Symposium on Organic Chemistry (ESOC-19)
- Conference papers
- Minor enantiomer recycling – a strategy to improve enantioselectivity
- Reactions and interactions between peri-groups in 1-dimethylamino-naphthalene salts: an example of a “through space” amide
- Mechanistic aspects of the stereospecific reduction of chiral hydroxyalkyl phosphinates and phosphine oxides
- Synthesis and structure–activity relationships of ionizable 1,3,4-oxadiazol-2(3H)-ones as peripherally selective FAAH inhibitors with improved aqueous solubility
- An easy approach to dihydrochalcones via chalcone in situ hydrogenation
- Synthesis of glucopyranos-6′-yl purine and pyrimidine isonucleosides as potential cholinesterase inhibitors. Access to pyrimidine-linked pseudodisaccharides through Mitsunobu reaction
- Palladium catalyzed oxidative aminations and oxylations: where are we?
- Sustainable gold catalysis: synthesis of new spiroacetals
- IUPAC Recommendations
- How to name new chemical elements (IUPAC Recommendations 2016)
- Vocabulary of concepts and terms in chemometrics (IUPAC Recommendations 2016)


