Synthesis and structure–activity relationships of ionizable 1,3,4-oxadiazol-2(3H)-ones as peripherally selective FAAH inhibitors with improved aqueous solubility
-
Alexandre Beliaev
, Humberto S. Ferreira
, David A. Learmonth
, Maria João Bonifácio
, Leonel Torrão
, Nuno M. Pires
, Patrício Soares-da-Silva
and László E. Kiss
Abstract
Novel 5-(2,4-difluorophenoxy)-3-aryl-1,3,4-oxadiazol-2(3H)-ones were prepared and in vivo SAR are discussed. Ionisable substituents on the N-phenyl ring provided compounds with significantly improved aqueous solubility. In addition, these analogues retained equivalent or improved potency against FAAH enzyme compared to the parent phenols 2–3. FAAH inhibition by the 2-(piperazin-1-yl)ethyl and 3-(piperazin-1-yl)propyl derivatives 24 and 30 was confined to the periphery in mice (30 mg/kg), whereas hepatic FAAH activity was inhibited by over 90%.
Introduction
Fatty acid amide hydrolase (FAAH), an integral membrane bound enzyme, is a member of the extensive family of serine hydrolases [1] that catalyses the degradation of lipid signalling fatty acid amides including oleamide and anandamide (AEA) [2]. AEA binds and activates both central (CB1) and peripheral (CB2) receptors of the endocannabinoid system (ECS) and potentially has clinical relevance in a wide range of diseases and pathological conditions. Therefore, both the ECS and FAAH have become recognised as promising therapeutic targets for the treatment of a range of central and peripheral disorders [3]. Due to increasing interest over the last two decades, numerous small molecule inhibitors of FAAH belonging to various chemical classes have been reported (for recent reviews see [4–7] and references cited therein).
Recently, our group described a series of 3-phenolic and 3-catecholic 5-phenoxy-1,3,4-oxadiazol-2(3H)-ones possessing in vivo FAAH inhibition in mice [8]. Several of the disclosed compounds showed peripherally selective inhibition of FAAH that may be particularly beneficial for the treatment of certain cardiovascular diseases such as hypertension [9] and heart failure [10]. More recently, other research groups have also disclosed alternative 1,3,4-oxadiazol-2(3H)-one analogues demonstrating good selectivity and high affinity for FAAH [11–13]. Within the frame of the same project, we prepared in parallel a series of peripherally selective inhibitors designed to have physicochemical properties eventually suitable for the treatment of respiratory [14] and eye disorders [15] via topical, local or systemic administration.
As an early lead, catechol 1 (Fig. 1) showing potent in vivo inhibition of FAAH at 10 and 30 mg/kg p.o in the mouse was selected. It was hypothesised that substitution of the phenolic hydroxyls with ionisable amine-containing residues could enhance aqueous solubility whilst maintaining the favourable in vivo inhibitory profiles of the parent phenols 2 and 3 (Fig. 1).

Chemical structures of lead compounds 1–3.
Chemistry
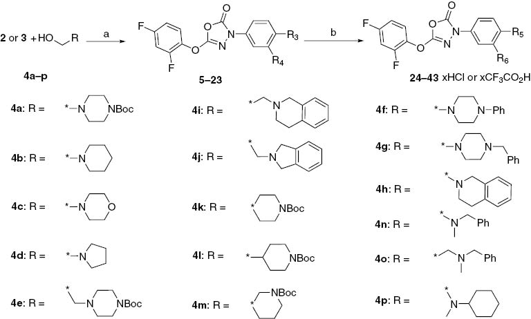
The synthetic route to obtain the target compounds from phenols 2 or 3 (Fig. 1) and alcohols 4a–p is briefly outlined in Scheme 1. Commercially available (4b–d, 4l) or in-house prepared alcohols (according to published procedures; 4a, 4e–k, 4m–p [16–25]) were condensed with the corresponding phenols 2–3 under standard Mitsunobu reaction conditions in tetrahydrofuran (THF) to provide the N-protected or non-protonated adducts 5–23 in moderate to good yield [26].

(a) Reagents and conditions: Ph3P, DEAD, THF, 0–5°C, then 20–25°C; (b) Neat TFA, 20–25°C, then 2 M ethereal HCl solution in EtOAc; *represents point of attachment.
Cleavage of the N-Boc protecting group was performed with neat trifluoroacetic acid (TFA) at 20–25°C. For most of the compounds (except 28, 29 and 41) the TFA salts thus obtained were converted to corresponding hydrochlorides by treatment with 2 M ethereal hydrochloric acid in inrt solvent such as ethyl acetate [27].
In a similar fashion, the non-protonated tertiary amines were converted to their hydrochloride salts. Structures of all prepared target amino derivatives 24–43 are shown in Table 1.
In vivo (in homogenates of mouse liver and brain) FAAH inhibition by synthesised 5-(2,4-difluorophenoxy)-3-phenyl-1,3,4-oxadiazol-2(3H)-ones 24–43.
| No. | R5 | R6 | Salt | Braina, b, c | Livera, b, c | Solubilityd |
|---|---|---|---|---|---|---|
| URB597 | – | – | – | 8.9±2 | 5.9±1 | <0.05 |
| 2 | OH | H | – | 86±11 | 12±3 | <0.055 |
| 3 | H | OH | – | 94±5 | 12±2 | <0.055 |
| 24 |
![]() |
H | 2×HCl | 74±15 | 5±1 | >10 |
| 25 |
![]() |
H | HCl | 20±7 | 10±4 | 13.0 |
| 26 |
![]() |
H | HCl | 50±11 | 14±2 | 1.95 |
| 27 |
![]() |
H | HCl | 10±5 | 9±2 | >71 |
| 28 | H |
![]() |
TFA | 108±7 | 69±20 | 4.6 |
| 29 |
![]() |
H | TFA | 74±5 | 7±3 | >32 |
| 30 |
![]() |
H | 2×HCl | 85±10 | 8±3 | >75 |
| 31 |
![]() |
H | HCl | 63±6 | 17±3 | 0.37 |
| 32 | H |
![]() |
HCl | 57±10 | 37±4 | 0.1 |
| 33 |
![]() |
H | HCl | 86±9 | 22±2 | 0.35 |
| 34 | H |
![]() |
HCl | 87±17 | 48±2 | 0.46 |
| 35 |
![]() |
H | HCl | 65±10 | 12±8 | 0.1 |
| 36 |
![]() |
H | HCl | 87±5 | 53±9 | 0.1 |
| 37 |
![]() |
H | – | 102±13 | 87±12 | <0.006 |
| 38 |
![]() |
H | HCl | 78±11 | 24±3 | 1.6 |
| 39 |
![]() |
H | HCl | 82±10 | 31±12 | 0.5 |
| 40 |
![]() |
H | HCl | 93±4 | 39±14 | >35.5 |
| 41 |
![]() |
H | HCl | 62±19 | 7±1 | 2.65 |
| 42 |
![]() |
H | HCl | 88±4 | 29±16 | 0.47 |
| 43 |
![]() |
H | HCl | 90±13 | 11±3 | >2 |
a% of Control; b30 mg/kg, p.o, FAAH activity was determined 1 h after administration [28]; cresults are mean SEMs of 4–8 experiments; dmg/mL in water.
Results and discussion
As reported previously [8], within the 5-phenoxy-3-phenyl-1,3,4-oxadiazol-2(3H)-one scaffold few correlations could be established between results of in vitro and in vivo FAAH assays, and therefore, only in vivo experiments were used herein to evaluate the new series. FAAH inhibition by test compounds 24–43 was evaluated in mice at an oral dose of 30 mg/kg. Animals were sacrificed 1 h after administration and FAAH activity was determined in the liver and brain. The effects on FAAH inhibition of different substituents on the N-phenyl ring of the 1,3,4-oxadiazol-2(3H)-one core are shown in Table 1, which includes comparative data for reference compounds 2, 3 and URB597 [29]. The aqueous solubility of compounds 24–43 were also determined (Table 1).
Incorporation of a piperazine moiety at the para-position of the N-phenyl ring of oxadiazolone 2via an ethoxy linker resulted in a slightly more potent derivative 24, which was endowed with reasonable peripheral selectivity. Replacement of the secondary nitrogen atom in the piperazine ring of 24 either with a methylene group (25) or oxygen atom (26) led to a reduction in peripheral selectivity. Substitution of the piperidine moiety in 25 with the smaller pyrrolidine gave 27, which was highly potent but uninteresting in terms of peripheral selectivity. Shifting the ethoxy-piperazinyl moiety of 24 to the meta-position gave oxadiazolone 28, which exhibited only residual FAAH inhibition. Elongation of the ethoxy linker in 24 to the n-propoxy (29–30) made little difference in peripheral activity and selectivity. Incorporation of an N-phenyl ring in 24 at the secondary nitrogen atom of the piperidine ring led to a less potent derivative 31, while the same modification in 28 was found to be beneficial (32). A similar trend could be observed in the case of N-benzyl substituted analogues (cf. 28 and 34; 24 and 33). The presence of a more rigid bicyclic 1,2,3,4-tetrahydroisoquinoline substituent was well tolerated with an ethoxy linker in compound 35, however, the n-propoxy analogue 36 showed lower activity than 35. Surprisingly, when the size of the cycloaliphatic ring was reduced from 6- to 5-members as in 37, FAAH inhibition was practically abolished. Interestingly, an acyclic analogue of 35 (compound 38) was significantly less potent than the parent; whereas the acyclic counterpart of 36 (compound 39) was slightly more active. Replacement of the N-benzyl substituent in 38 with cyclohexyl group (40) appeared to be unfavourable. Attractive selectivity and potency was obtained when the piperidine residue was connected at position 4 or 3 of the ring, thus leaving the secondary nitrogen unsubstituted as in 41–43. For this particular series of compounds, a shorter methoxy linker proved superior (cf. 41 and 42), particularly in combination with the heterocyclic ring anchored at position 3 as in 43.
The time-dependent FAAH inhibition by selected compounds was also determined. Figures 2 and 3 highlight the inhibitory profile of oxadiazolones 24, 30 and 41 in peripheral and central tissues, respectively.

Liver FAAH activity after oral administration of 24 (closed black circle), 30 (open circle) and 41 (closed grey circle) (all at 30 mg/kg).

Brain FAAH activity after oral administration of 24 (closed black circle), 30 (open circle) and 41 (closed grey circle) (all at 30 mg/kg).
Compounds 24, 30 and 41 achieved the maximal inhibitory effect (92–95% inhibition) in the liver within 1 h after oral administration to mice at dose of 30 mg/kg. Thereafter, the inhibitory ability gradually diminished and returned to lower levels at 24 h post administration. The profile of central inhibition by 24, 30 and 41 was found to be different to that of liver inhibition. Oxadiazolones 24 and 30 produced only minimal inhibitory effect (15–26%) in the brain at 1 and 4 h, respectively, whereas compound 41 displayed slightly more marked inhibition (38%) up to 4 h post-dose. Compounds 24, 30 and 41 had no significant effect in the brain at time points later than 8 h.
Conclusions
A novel series of 5-(2,4-difluorophenoxy)-3-aryl-1,3,4-oxadiazol-2(3H)-ones was prepared. Several analogues were synthesised that provided significantly improved aqueous solubility over the phenols 2 and 3. Compounds 24 and 30 showed potent and peripherally selective in vivo FAAH inhibition after an oral dose of 30 mg/kg. Given that both failed to significantly modulate FAAH in the CNS and have improved physicochemical properties suitable for formulations for topical or inhaled administration, these molecules could prove beneficial for the treatment of certain respiratory and ocular disorders in which FAAH plays a role. 1,3,4-Oxadiazol-2(3H)-ones are known to inhibit other serine hydrolases such as monoacylglycerol lipase (MAGL) [12], α/β hydrolase domain 6 (ABHD6) [30], human lymphocyte antigen B-associated transcript 5 (BAT5) [31] and hormone-sensitive lipase (HSL) [11]. Derivatives 24 and 30 are currently being further evaluated to determine their target selectivity and therapeutic potential. Further pharmacological data on compounds 24 and 30 will be published elsewhere.
Article note
A collection of invited papers based on presentations at the 19th European Symposium on Organic Chemistry (ESOC-19), Lisbon, Portugal, 12–16 July 2015.
References
[1] M. K. McKinney, B. F. Cravatt. Annu. Rev. Biochem. 74, 411 (2005).10.1146/annurev.biochem.74.082803.133450Search in Google Scholar PubMed
[2] B. F. Cravatt, D. K. Giang, S. P. Mayfield, D. L. Boger, R. A. Lerner, N. B. Gilula. Nature384, 83 (1996).10.1038/384083a0Search in Google Scholar PubMed
[3] B. F. Cravatt, A. H. Lichtman. Curr. Opin. Chem. Biol.7, 469 (2003).10.1016/S1367-5931(03)00079-6Search in Google Scholar PubMed
[4] S. Vandevoorde. Curr. Top. Med. Chem. 8, 247 (2008).10.2174/156802608783498005Search in Google Scholar PubMed
[5] K. Ahn, D. S. Johnson, B. F. Cravatt. Expert Opin. Drug Discov. 4, 763 (2009).10.1517/17460440903018857Search in Google Scholar PubMed PubMed Central
[6] H. Deng. Expert Opin. Drug Discov. 5, 961 (2010).Search in Google Scholar
[7] A. Lodola, R. Castelli, M. Mor, S. Rivara. Expert Opin. Ther. Pat.25, 1247 (2015).Search in Google Scholar
[8] L. E. Kiss, H. S. Ferreira, A. Beliaev, L. Torrão, M. J. Bonifácio. D. A. Learmonth. Med. Chem. Commun. 2, 889 (2011).10.1039/c1md00136aSearch in Google Scholar
[9] K. D. Lake, B. R. Martin, G. Kunos, K. Varga. Hypertension29, 1204 (1997).10.1161/01.HYP.29.5.1204Search in Google Scholar PubMed
[10] S. Bátkai, P. Pacher, D. Osei-Hyiaman, S. Radaeva, J. Liu, J. Harvey-White, L. Offertáler, K. Mackie, A. Rudd, R. D. Bukoski, G. Kunos. Circulation110, 1996 (2004).10.1161/01.CIR.0000143230.23252.D2Search in Google Scholar PubMed PubMed Central
[11] A. Minkkilä, J. R. Savinainen, H. Käsnänen, H. Xhaard, T. Nevalainen, J. T. Laitinen, A. Poso, J. Leppänen, S. M. Saario. Chem. Med. Chem. 4, 1253 (2009).10.1002/cmdc.200900137Search in Google Scholar PubMed
[12] H. Käsnänen, A. Minkkilä, S. Taupila, J. Z. Patel, T. Parkkari, M. Lahtela-Kakkonen, S. M. Saario, T. Nevalainen, A. Poso. Eur. J. Pharm. Sci. 49, 423 (2013).10.1016/j.ejps.2013.03.015Search in Google Scholar PubMed
[13] J. Z. Patel, T. Parkkari, T. Laitinen, A. A. Kaczor, S. M. Saario, J. R. Savinainen, D. Navia-Paldanius, M. Cipriano, J. Leppänen, I. O. Koshevoy, A. Poso, C. J. Fowler, J. T. Laitinen, T. Nevalainen. J. Med. Chem. 56, 8484 (2013).10.1021/jm400923sSearch in Google Scholar PubMed
[14] E. Berdyshev, E. Boichot, M. Corbel, N. Germain, V. Lagente. Life Sci.63, PL125 (1998).10.1016/S0024-3205(98)00324-5Search in Google Scholar PubMed
[15] I. Tomida, R. G. Pertwee, A. Azuara-Blanco. Br. J. Ophthalmol.88, 708 (2004).10.1136/bjo.2003.032250Search in Google Scholar PubMed PubMed Central
[16] C. B. Xue, J. Roderick, S. Jackson, M. Rafalski, A. Rockwell, S. Mousa, R. E. Olson, W. F. DeGrado. Bioorg. Med. Chem. 5, 693 (1997).10.1016/S0968-0896(97)00013-8Search in Google Scholar
[17] J. Cai, Z. Rankovic, P. S. Jones, D. J. Bennett, X. Fradera, PCT Application, WO2009 010491, Filed 14 July 2008, Issued 22 January 2009.Search in Google Scholar
[18] T. Kanno, M. Gaino, M. Yamamura, R. Ishida, K. Shintomi. US Patent 4413006, Filed 3 May 1982, Issued 1 November 1983.Search in Google Scholar
[19] S. Lemaitre, A. Lepailleur, R. Bureau, S. Butt-Gueulle, V. Lelong-Boulouard, P. Duchatelle, M. Boulouard, A. Dumuis, C. Daveu, F. Lezoualc’h, B. Pfeiffer, F. Dauphin, S. Rault. Bioorg. Med. Chem. 17, 2607 (2009).10.1016/j.bmc.2008.11.045Search in Google Scholar PubMed
[20] M. Okimoto, T. Yoshida, M. Hoshi, K. Hattori, M. Komata, K. Numata, K. Tomozawa. Austr. J. Chem. 60, 236 (2007).10.1071/CH07010Search in Google Scholar
[21] F. Chimenti, S. Vomero. Farmaco Sci.30, 884 (1975).10.1128/am.30.5.884-886.1975Search in Google Scholar PubMed PubMed Central
[22] P. C. Ting, J. F. Lee, J. C. Anthes, N. Y. Shih, J. J. Piwinski. Bioorg. Med. Chem. Lett. 11, 491 (2001).10.1016/S0960-894X(00)00702-2Search in Google Scholar
[23] D. S. Kimball, J. Das, W. F. Lau, S. E. Hall, W.-C. Han, US Patent 5583146, Filed 17 January 1995, Issued 10 December 1996.Search in Google Scholar
[24] G. S. Poindexter, I. Antal, L. M. Giupponi, R. H. Stoffel, M. A. Bruce. US Patent 6348472, Filed 2 June 2000, Issued 19 February 2002.Search in Google Scholar
[25] I. Maslowska-Lipowicz, K. Walczyński. Chem. Biol. Drug Des. 83, 106 (2014).Search in Google Scholar
[26] General procedure for the synthesis of oxadiazolones 5–23: To a solution of phenol 2 or 3 (5 g, 16.3 mmol) in anhydrous THF (190 mL) was added triphenylphosphine (6.42 g, 24.5 mmol) followed by addition of alcohol 4a–p (24.5 mmol) to afford a clear, colourless solution. The reaction mixture was then cooled to 0–5°C using an ice bath, whereupon diethyl azodicarboxylate (DEAD) (3.88 mL, 24.5 mmol) in THF (5 mL) was charged dropwise at such a rate that the yellow colouration on addition of DEAD dissipated before the next addition. The reaction was then allowed to warm up naturally and stirred at 20–25°C until judged complete by TLC (typically 12 h), concentrated under reduced pressure and purified by column chromatography using an appropriate mixture of petroleum ether – ethyl acetate as eluent.Search in Google Scholar
[27] Typical procedure: 5-(2,4-difluorophenoxy)-3-(4-(2-(piperazin-1-yl)ethoxy)phenyl)-1,3,4-oxadiazol-2(3H)-one dihydrochloride (24). tert-Butyl 4-(2-(4-(5-(2,4-difluorophenoxy)-2-oxo-1,3,4-oxadiazol-3(2H)-yl)phenoxy)ethyl)piperazine-1-carboxylate (5) (6 g, 11.6 mmol) was added in portions to TFA (280 mL) with stirring at 20–25°C. The mixture was stirred for 1 h and TFA was removed under reduced pressure. The oily residue was re-evaporated twice with toluene (ca. 100 mL), then dissolved in EtOAc (120 mL), and cooled to 0–5°C, whereupon 2 M ethereal hydrogen chloride solution (25.5 mL, 51 mmol) was slowly added causing precipitation. The solid was collected, washed with diethyl ether and anhydrous EtOH and dried under vacuum at 45°C to give a white powder. Yield 3.62 g (64%).Search in Google Scholar
[28] In vivo assay (animal treatment): Male NMRI mice, obtained from Envigo (Spain), were maintained under controlled environmental conditions in a colony room (12 h light/dark cycle, room temperature 22±1°C and humidity 55±15%) with food and water provided ad libitum. Animals were quarantined for 1 week before dosing and the experiments were all carried out during daylight hours. Animals were fasted overnight before compound administration (30 mg/kg), which was performed by single intragastric bolus at a volume of 8 ml/kg and using carboxymethylcellulose (CMC) 0.5% as vehicle. Fifteen minutes before sacrifice animal were anaesthetised with pentobarbital (60 mg/kg) administered intraperitoneally. One hour after compound administration animals were sacrificed. A fragment of liver and brain without cerebellum were removed and put in plastic vials containing membrane buffer (3 mM MgCl2, 1 mM EDTA, 50 mM Tris HCl pH 7.4). Tissues were stored at -30°C until analysis. All animal procedures were conducted in accordance with the 2010/63/EU European Directive on the protection of animals used for scientific purposes and the Portuguese law on animal welfare (Decreto–Lei 113/2013). The number of animals used was the minimum possible in compliance with current regulations and scientific integrity. Enzymatic activity determination: FAAH assay on collected tissues was performed as described previously [8]. In short, tissues were homogenized in membrane buffer with either Potter–Elvejhem (brains) or Heidolph Diax (livers). Total protein was determined with the BioRad Protein Assay (BioRad) using a standard curve of BSA (50–250 μg/mL). Reaction mix (total volume of 200 μL) contained: 2 μM AEA (2 μM AEA+5 nM 3H-AEA), 0.1% fatty acid free BSA, 15 μg (brain) or 5 μg (liver) protein, in 1 mM EDTA, 10 mM Tris pH 7.6. After a 15 min pre-incubation period at 37°C, reaction was started with the addition of the substrate solution (AEA) and then carried out for 10 min (brain) or 7 min (liver) before termination by the addition of 400 μL activated charcoal suspension. After a 30 min incubation period at room temperature with agitation, charcoal was sedimented by centrifugation in microfuge (10 min at 16000 g). 200 μL of the supernatant were added to 800 μL Optiphase Supermix scintillation cocktail previously distributed in 24-well plates. Counts per minute (cpm) were determined in a MicrobetaTriLux scintillation counter. In each assay blanks (without protein) were prepared. The percentage of remaining enzymatic activity was calculated with respect to controls (no compound) and after blank subtraction.Search in Google Scholar
[29] M. Mor, S. Rivara, A. Lodola, P. V. Plazzi, G. Tarzia, A. Duranti, A. Tontini, G. Piersanti, S. Kathuria, D. Piomelli. J. Med. Chem.47, 4998 (2004).10.1021/jm031140xSearch in Google Scholar PubMed
[30] J. Z. Patel, J. van Bruchem, T. Laitinen, A. A. Kaczor, D. Navia-Paldanius, T. Parkkari, J. R. Savinainen, J. T. Laitinen, T. J. Nevalainen. Bioorg. Med. Chem.23, 6335 (2015).10.1016/j.bmc.2015.08.030Search in Google Scholar PubMed
[31] J. R. Savinainen, J. Z. Patel, T. Parkkari, D. Navia-Paldanius, J. J. Marjamaa, T. Laitinen, Nevalainen, J. T. Laitinen. PLoS One9, e109869 (2014).10.1371/journal.pone.0109869Search in Google Scholar PubMed PubMed Central
©2016 IUPAC & De Gruyter. This work is licensed under a Creative Commons Attribution-NonCommercial-NoDerivatives 4.0 International License. For more information, please visit: http://creativecommons.org/licenses/by-nc-nd/4.0/
Articles in the same Issue
- Frontmatter
- In this issue
- Editorial
- 19th European Symposium on Organic Chemistry (ESOC-19)
- Conference papers
- Minor enantiomer recycling – a strategy to improve enantioselectivity
- Reactions and interactions between peri-groups in 1-dimethylamino-naphthalene salts: an example of a “through space” amide
- Mechanistic aspects of the stereospecific reduction of chiral hydroxyalkyl phosphinates and phosphine oxides
- Synthesis and structure–activity relationships of ionizable 1,3,4-oxadiazol-2(3H)-ones as peripherally selective FAAH inhibitors with improved aqueous solubility
- An easy approach to dihydrochalcones via chalcone in situ hydrogenation
- Synthesis of glucopyranos-6′-yl purine and pyrimidine isonucleosides as potential cholinesterase inhibitors. Access to pyrimidine-linked pseudodisaccharides through Mitsunobu reaction
- Palladium catalyzed oxidative aminations and oxylations: where are we?
- Sustainable gold catalysis: synthesis of new spiroacetals
- IUPAC Recommendations
- How to name new chemical elements (IUPAC Recommendations 2016)
- Vocabulary of concepts and terms in chemometrics (IUPAC Recommendations 2016)
Articles in the same Issue
- Frontmatter
- In this issue
- Editorial
- 19th European Symposium on Organic Chemistry (ESOC-19)
- Conference papers
- Minor enantiomer recycling – a strategy to improve enantioselectivity
- Reactions and interactions between peri-groups in 1-dimethylamino-naphthalene salts: an example of a “through space” amide
- Mechanistic aspects of the stereospecific reduction of chiral hydroxyalkyl phosphinates and phosphine oxides
- Synthesis and structure–activity relationships of ionizable 1,3,4-oxadiazol-2(3H)-ones as peripherally selective FAAH inhibitors with improved aqueous solubility
- An easy approach to dihydrochalcones via chalcone in situ hydrogenation
- Synthesis of glucopyranos-6′-yl purine and pyrimidine isonucleosides as potential cholinesterase inhibitors. Access to pyrimidine-linked pseudodisaccharides through Mitsunobu reaction
- Palladium catalyzed oxidative aminations and oxylations: where are we?
- Sustainable gold catalysis: synthesis of new spiroacetals
- IUPAC Recommendations
- How to name new chemical elements (IUPAC Recommendations 2016)
- Vocabulary of concepts and terms in chemometrics (IUPAC Recommendations 2016)



















