Abstract
C16H10F2N2O3, monoclinic, P21/c (no. 14), a = 9.4647(7) Å, b = 11.8726(7) Å, c = 12.5732(8) Å, β = 92.262(4)°, V = 1411.76(16) Å3, Z = 4, Rgt(F) = 0.0459, wRref(F2) = 0.1285, T = 293 K.

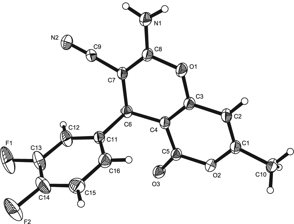
The asymmetric unit of the title crystal structure is shown in the figure. Tables 1 and 2 contain details of the measurement method and a list of the atoms including atomic coordinates and displacement parameters.
Data collection and handling.
| Crystal: | Colourless blocks Size 0.20 × 0.18 × 0.17 mm |
| Wavelength: | Mo Kα radiation (0.71073 Å) |
| μ: | 1.2 cm−1 |
| Diffractometer, scan mode: | Bruker P4, ω |
| 2θmax, completeness: | 50°, >98% |
| N(hkl)measured, N(hkl)unique, Rint: | 8227, 2452, 0.012 |
| Criterion for Iobs, N(hkl)gt: | Iobs > 2 σ(Iobs), 2251 |
| N(param)refined: | 208 |
| Programs: | SHELX [6], Bruker programs [7] |
Fractional atomic coordinates and isotropic or equivalent isotropic displacement parameters (Å2).
| Atom | x | y | z | Uiso*/Ueq |
|---|---|---|---|---|
| C1 | 0.22244(17) | 0.00642(15) | 0.55569(13) | 0.0375(4) |
| C2 | 0.32215(18) | 0.08493(15) | 0.54663(13) | 0.0391(4) |
| H2A | 0.3529 | 0.1274 | 0.6052 | 0.047* |
| C3 | 0.38022(17) | 0.10216(14) | 0.44535(12) | 0.0347(4) |
| C4 | 0.33914(17) | 0.04145(14) | 0.35849(12) | 0.0330(4) |
| C5 | 0.23653(17) | −0.04615(14) | 0.37082(12) | 0.0348(4) |
| C6 | 0.39481(16) | 0.06182(14) | 0.24986(12) | 0.0325(4) |
| H6A | 0.4317 | −0.0098 | 0.2239 | 0.039* |
| C7 | 0.51783(17) | 0.14392(14) | 0.26144(12) | 0.0340(4) |
| C8 | 0.55089(17) | 0.20203(14) | 0.35169(12) | 0.0353(4) |
| C9 | 0.60416(17) | 0.15720(15) | 0.17294(13) | 0.0371(4) |
| C10 | 0.1437(2) | −0.02112(18) | 0.65199(14) | 0.0476(5) |
| H10A | 0.1760 | 0.0263 | 0.7098 | 0.071* |
| H10B | 0.1596 | −0.0986 | 0.6708 | 0.071* |
| H10C | 0.0445 | −0.0089 | 0.6377 | 0.071* |
| C11 | 0.28125(17) | 0.10314(14) | 0.16882(12) | 0.0341(4) |
| C12 | 0.3005(2) | 0.08279(17) | 0.06166(14) | 0.0487(5) |
| H12A | 0.3785 | 0.0421 | 0.0406 | 0.058* |
| C13 | 0.2038(3) | 0.1230(2) | −0.01291(15) | 0.0619(6) |
| C14 | 0.0854(2) | 0.18031(19) | 0.01723(18) | 0.0610(6) |
| C15 | 0.0643(2) | 0.20137(19) | 0.12219(18) | 0.0565(5) |
| H15A | −0.0153 | 0.2404 | 0.1427 | 0.068* |
| C16 | 0.16383(19) | 0.16343(16) | 0.19746(14) | 0.0438(4) |
| H16A | 0.1514 | 0.1789 | 0.2690 | 0.053* |
| O1 | 0.47953(13) | 0.18546(11) | 0.44358(9) | 0.0437(3) |
| O2 | 0.18092(12) | −0.05863(10) | 0.47041(9) | 0.0404(3) |
| O3 | 0.19199(13) | −0.10951(11) | 0.30186(10) | 0.0450(3) |
| N1 | 0.65170(17) | 0.27926(13) | 0.36867(11) | 0.0464(4) |
| H1A | 0.7059 | 0.2977 | 0.3182 | 0.056* |
| H1B | 0.6625 | 0.3106 | 0.4301 | 0.056* |
| N2 | 0.67250(18) | 0.16320(16) | 0.10007(12) | 0.0537(4) |
| F1 | 0.2254(2) | 0.10824(16) | −0.11733(10) | 0.1076(7) |
| F2 | −0.00792(18) | 0.21701(17) | −0.05935(13) | 0.1013(6) |
Source of material
The title compound was synthesized according to a reported procedure [6]. A mixture of 4-hydroxy-6-methylpyran-2-one (10 mmol), 3,4-difluorobenzaldehyde (10 mmol), malononitrile (10 mmol) and 4-(dimethylamino)pyridine (DMAP) (1 mmol) in ethanol (100 mL) was refluxed for 2–3 h and then cooled to room temperature. After filtering the precipitates, they were sequentially washed with icy water and ethanol and then dried under a vacuum.
Experimental details
H atoms bonded to C and N were positioned geometrically and refined using a riding model, with C—H = 0.93 Å and N—H = 0.86 Å with Uiso(H) = 1.2 times Ueq(C) or Ueq(N).
Discussion
Pyrans have a variety of pharmacological and biological activities including antitumor, analgesic and ulcerogenic, anti-inflammatory, anticoagulant, phototriggering, and fungicidal properties, moreover, they can be used as anticoagulants in the production of pesticides [1, 2]. In particular, the antitumor activity of pyran compounds has received considerable attention because of their cytotoxic activity against numerous types of cancers, including malignant melanoma, leukemia, renal cell carcinoma, prostate and breast cancer cell progression [3, 4, 5].
In the crystal structure of the title compound, the 4H-pyran ring is nearly planar and the adjacent ring with the keto group adopts an almost planar conformation. The 4H-pyran ring plane is almost perpendicular to the plane of the difluorophyenyl moiety. All bond lengths and angles are in the expected ranges.
References
1. Gordon, R. J.; Lowy, F. D.: Pathogenesis of methicillin-resistant Staphylococcus aureus Infection. Clin. Infect. Dis. 46 (2008) S350–S359.10.1086/533591Search in Google Scholar
2. Khan, A. T.; Lal, M.; Ali, S.; Khan, M. M.: One-pot threecomponent reaction for the synthesis of pyran annulated heterocyclic compounds using DMAP as a catalyst. Tetrahedron Lett. 52 (2011) 5327–5332.10.1016/j.tetlet.2011.08.019Search in Google Scholar
3. Eshghi, H.; Zohuri, G. H.; Sandaroos, R.; Damavandi, S.: Synthesis of novel benzo[f]chromene compounds catalyzed by ionic liquid. Heterocycl. Commun. 18 (2012) 67–70.10.1515/hc-2011-0060Search in Google Scholar
4. Bonsignore, L.; Loy, G.; Secci, D.; Calignano, A.: Synthesis and pharmacological activity of 2-oxo-(2H)1-benzopyran-3-carboxamide derivatives. Eur. J. Med. Chem. 28 (1993) 517–520.10.1016/0223-5234(93)90020-FSearch in Google Scholar
5. Gacche, R. N.; Jadhav, S. G.: Antioxidant activities and cytotoxicity of selected coumarin derivatives: preliminary results of a structure–activity relationship study using computational tools. J. Exp. Clin. Med. 4 (2012) 165–169.10.1016/j.jecm.2012.04.007Search in Google Scholar
6. Sheldrick, G. M.: A short history of SHELX. Acta Crystallogr. A64 (2008) 112–122.10.1107/S0108767307043930Search in Google Scholar PubMed
7. Bruker. APEX2, SAINT and SADABS. Bruker AXS Inc., Madison, WI, USA, 2009.Search in Google Scholar
©2016 Dongjing Zheng et al., published by De Gruyter.
This work is licensed under the Creative Commons Attribution-NonCommercial-NoDerivatives 3.0 License.
Articles in the same Issue
- Cover and Frontmatter
- Crystal structure of the catena-poly-[bis(μ2-1-ethyl-6-fluoro-4-oxo-7-(piperazin-1-yl-κN)-1,4-dihydroquinoline-3-carboxylato-κ2O,O′)nickel(II)] 5.5 hydrate, C32H44N6NiO11F2
- Crystal structure of catena-poly-[(μ2-2-(2-((2,6-dimethylphenyl)amino)phenyl)acetato-κ2O:O′)(μ2-2-(2-((2,6-dimethylphenyl)amino)phenyl)acetate-κ3O,O′:O′)cadmium(II)], C28H20N2Cl4O4Cd
- Crystal structure of catena-poly[dichlorido-(μ2-4-(pyridin-4-yl)-isophthalate-κ2O, O′)cadmium(II)] monohydrate, C13H11NO5Cl2Cd
- Crystal structure of poly-{[μ2-(E)-1,4-di(1H-imidazol-1-yl)but-2-ene-κ2N:N′][μ2-cyclohexane-1,4-dicarboxylato-κ4O,O′:O′′,O′′′]nickel(II)}, C18H22N4NiO4
- Crystal structure of aqua (5,5′-dicarboxy-(1,1′-biphenyl)-2,3′-dicarboxylato-κO) bis(1,10-phenanthroline-κ2N,N′)cadmium monohydrate, C40H28CdN4O10
- Crystal structure of 5-methoxy-N′-[(3Z)-5-chloro-1-(4-fluorobenzyl)-2-oxo-1,2-dihydro-3H-indol-3-ylidene]-1H-indole-2-carbohydrazide-DMSO (1/1), C25H18ClFN4O3 · C2H6OS
- Crystal structure of 5-methoxy-N′-[(3Z)-1-benzyl-5-fluoro-2-oxo-1,2-dihydro-3H-indol-3-ylidene]-1H-indole-2-carbohydrazide-DMSO (1/1), C27H25FN4O4S
- Crystal structure of poly-[bis{μ2-N-(4-(1H-imidazol-1-yl)phenyl)-4-(1H-imidazol-1-yl)-N-phenylaniline-κ2N:N′)}-(μ2-naphthalene-2,6-dicarboxylato)-(μ4-naphthalene-2,6-dicarboxylato)dicadmium(II)], C36H25N5O4Cd
- Crystal structure of 1-(adamantan-1-yl)-3-(4-bromophenyl)thiourea, C17H21BrN2S
- Crystal structure of N′-[(1E)-(2,6-dichlorophenyl)-methylidene]adamantane-1-carbohydrazide, C18H20Cl2N2O
- Crystal structure of dichlorido{bis(2-hydroxyethyl)-5′-([2,2′:6′,2′′-terpyridin]-4′-yl)-[1,1′:3′,1′′-terphenyl]-4,4′′-dicarboxylate-κ3N,N′,N′′}zinc(II), C39H31Cl2N3O6Zn
- Crystal structure of 4,4′-(1,3,5,7-tetraoxo-3a,4,4a,5,7,7a,8,8a-octahydro-4,8-ethenopyrrolo [3,4-f]isoindole-2,6(1H,3H)-diyl)dibenzoic acid, C26H18N2O8
- Crystal structure of (E)-1-(4-(((E)-3,5-dichloro-2-hydroxybenzylidene)amino)phenyl)ethan-1-one O-ethyl oxime, C17H16Cl2N2O2
- The crystal structure of diaqua-(N-(2-hydroxy-5-nitrobenzyl)iminodiacetato-κ4-N,O,O′,O′′)chromium(III) based on synchrotron data, C11H13CrN2O9
- Crystal structure of ethyl 5-amino-3-(methylthio)-1-(1-phenyl-5-(thiophen-2-yl)-1H-pyrazole-3-carbonyl)-1H-pyrazole-4-carboxylate, C21H19N5O3S2
- Crystal structure of (E)-1-(4-(((E)-3,5-dibromo-2-hydroxybenzylidene)amino)phenyl)ethan-1-one O-methyl oxime, C17H16Br2N2O2
- Crystal structure of dibromido μ-oxalato-κ2O,O′:κ2O′′,O′′′−η6-p-cymenediosmium(II), C22H28Br2O4Os2
- Crystal structure of 2-(bromomethyl)-4-(4-chlorophenyl)-1-tosylpyrrolidine, C18H19BrClNO2S2
- Crystal structure of 5-(3-fluorobenzylidene)-1,3-dimethylpyrimidine-2,4,6(1H,3H,5H)-trione; C13H11FN2O3
- Crystal structure of diethylammonium 1,3-dimethyl-2,4,6-trioxohexahydropyrimidin-5-ide, C10H19N3O3
- Crystal structure of 1,1-dimethyl-3-(2-phenylethyl)urea, C11H16N2O
- Crystal structure of 2-(4-methoxyphenyl)-1,3-thiazolo[4,5-b]pyridine, C13H10N2OS
- Crystal structure of 3-tert-butyl-7-azadioxindole, C11H14N2O2
- Crystal structure of 1-ferrocenyl-6-bromopyrene, C26H17BrFe
- Crystal structure of 3-(4-bromophenyl)-5-(4-fluorophenyl)-4,5-dihydro-1H-pyrazole-1-carbothioamide, C16H13BrFN3S
- Crystal structure of 2-amino-4-(3,5-ditrifluoromethylphenyl)-3-cyano-7,7-dimethyl-5-oxo-4H-5,6,7,8-tetrahydrobenzo[b]pyran, C20H16F6N2O2
- The crystal structure of 2-amino-4-(4-nitrophenyl)-5-oxo-5,6,7,8-tetrahydro-4H-chromene-3-carbonitrile, C16H13N3O4
- Crystal structure of 2-amino-4-(2, 4-dichlorophenyl)-5-oxo-5,6,7,8-tetrahydro-4H-chromene-3-carbonitrile, C16H12Cl2N2O2
- Crystal structure of bis(μ2-chlorido)-bis(di-p-tolylhydroxyphosphine-κP)-bis(di-p-tolylphosphite-κP)dipalladium(II), C56H58Cl2O4P4Pd2
- Crystal structure of diaqua-bis(2-methyl-1H-imidazole-4,5-dicarboxylato-κ2-O,N)cadmium(II) tetrahydrate, C12H22CdN4O14
- Crystal structure of aqua-(5-nitrosalicylato-κ2O,O′)-(1,10-phenanthroline-κ2N,N′)copper(II), C19H13CuN3O6
- Crystal structure of bis(4-(2-phenylpropan-2-yl)phenyl)amine, C30H31N
- Crystal structure of 2-amino-4-(3,5-difluorophenyl)-7,7-dimethyl-5-oxo-5,6,7,8-tetrahydro-4H-chromene-3-carbonitrile, C18H16F2N2O2
- Crystal structure of 2-amino-4-(3,4,5-trifluorophenyl)-5-oxo-5,6,7,8-tetrahydro-4H-chromene-3-carbonitrile, C16H11F3N2O2
- Crystal structure of an isomeric bis[(η5:η1-6,6-di-p-tolylpentafulvene)(η5-pentamethylcyclopentadienyl)titanium(III)]-μ2,η1:η1-dinitrogen complex, C60H66N2Ti2
- Crystal structure of 3,4-dinitropyrazole, C3H2N4O4
- Crystal structure of (4-vinylpyridine-κN)triphenyl tin(IV) chloride, C25H22ClNSn
- Crystal structure of tert-butyl 2-phenylethylcarbamate, C13H19NO2
- Crystal structure of (Z)-4-((E)-(4-chlorobenzyli-dene)hydrazono)-1-p-tolylpyrrolidine-3-carbonitrile, C19H17ClN4
- Crystal structure of bis(biphenyl-2,2′-dicarboxylato-κ2O:O′)-bis(1-cyclopropyl-6-fluoro-4-oxo-7-(1-piperazinyl)-1,4-dihydroquinoline-3-carboxylato-κ2O,O′)dizinc(II)2.5 hydrate, C62H57N6Zn2O16.5F2
- Crystal structure of dichloridobis{μ2-2,2′-((1E,1′E)-(ethane-1,2-diylbis(azanylylidene))bis(methanylylidene))bis(4-chlorophenolato)-κ5O,N,N′,O′:O′}diiron(III), C32H24Cl6Fe2N4O4
- Crystal structure of 4-((4,4-dimethyl-2, 6-dioxocyclohexylidine)methylamino)-N-(3,4-dimethylisoxazol-5-yl)benzenesulfonamide, C20H23N3O5S
- Crystal structure of poly-[aqua-μ2-aqua-μ2-(4,4′-oxybis(benzoato)-κ4O,O′:O′′,O′′′)cadmium(II)], C14H12O7Cd
- Crystal structure of aqua(μ2-biphenyl-2,2′-dicarboxylato-κ3O,O′:O′′)-(μ2-1-cyclopropyl-6-fluoro-4-oxo-7-(1-piperazinyl)-1,4-dihydroquinoline-3-carboxylato-κ2O,O′)cadmium(II) 1.5 hydrate, C62H60N6Cd2O19F2
- Crystal structure of dimethanolo-bis[μ-(2-(2-(5-(pyridin-2-yl)-1H-1,2,4-triazol-3-yl)phenoxy)benzoato)-κ5O,O′,N:N′,N′′]dicopper(II) — methanol (1/2), C46H48Cu2N8O12
- Crystal structure of poly-[tetraaqua-bis(μ4-2,5-dibenzoyl-1,4-benzenedicarboxylato-κ4O1:O2:O3:O4)-μ2-2,5-dibenzoyl-1,4-benzenedicarboxylato-k4O5,O6: O5′,O6′-didysprosium(III)] tetrahydrate C33H26O13Dy
- Crystal structure of hexaaqua-bis(3-(3-pyridin-4-yl-[1,2,4]oxadiazol-5-yl) propionato-κ3O,O′:O′)-bis(3-(3-pyridin-4-yl-[1,2,4]oxadiazol-5-yl)propionato-κO)-bis(3-(3-pyridin-4-yl-[1,2,4]oxadiazol-5-yl)propionato-κ2O,O′)dineodymium(III) octahydrate, C60H76N18O32Nd2
- Crystal structure of poly-[triaqua-(μ3-3,4,5,6-tetrafluoro-1,2-phthalato-κ4O:O′:O′′,O′′′) (2,3,4,5-tetrafluoro-benzoato-κ2O,O′) praseodymium(III)], C15H7F8O9Pr
- The crystal structure of dichlorido (1,3-dimesityl-1H-3λ4-imidazol-2-yl)(isoquinoline-κN)palladium(IV) – ethylacetate (1/1), C34H39Cl2N3O2Pd
- Crystal structure of dichlorido(1,3-bis(2,6-dimethyl-phenyl)-1H-3λ4-imidazol-2-yl)(isoquinolinyl)palladium(IV), C28H27Cl2N3Pd
- Crystal structure of 5-(4-(1H-tetrazol-5-yl)phenyl)-1H-imidazol-3-ium 7-carboxy-1,3-dioxo-1H,3H-benzo[de]isochromene-6-carboxylate monohydrate 4,5-anhydride, C24H16N6O8
- Crystal structure of poly-[diaqua-bis(μ2-2-((1H-1,2,4-triazol-5-yl)thio)acetato-κ2N:O) cadmium(II)], C8H8CdN6O6S2
- Crystal Structure of (E)-3-(4-methoxyphenyl)-1-(2,3,4-tris(benzyloxy)-6-hydroxyphenyl)prop-2-en-1-one, C37H32O6
- Structure and photochromism of 1-(1,2-dimethylindol-3-yl)-2-[2-methyl-5-(3-fluorophenyl)-3-thienyl]-3,3,4,4,5,5-hexafluorocyclopent-1-ene, C26H18F7NS
- Crystal structure of two-dimensional coordination polymer poly-[μ2-azido-aqua-(μ2-pyrazine-2-carboxylato-κ3O,N:N′)nickel(II)], C5H5N5O3Ni
- Crystal structure of 2-amino-5-oxo-4-(3,5-bis(trifluoromethyl)phenyl)-4H,5H-pyrano [3,2-c]chromene-3-carbonitrile, C21H10F6N2O3
- Crystal structure of 4-(5-((2-methylbenzyl)thio)-4-phenyl-4H-1,2,4-triazol-3-yl)pyridine, C21H18N4S
- Crystal structure of 5-(2-chloro-5-nitrophenyl)-3-(4-chlorophenyl)-N-ethyl-4,5-dihydro-1H-pyrazole-1-carbothioamide, C18H16Cl2N4O2S
- Crystal structure of 4-(benzofuran-2-yl)-2-(3-(4-fluorophenyl)-3,3a,4,5-tetrahydro-2H-benzo[g]indazol-2-yl)thiazole, C28H20FN3OS
- Crystal structure of bis(dicyanamido-κ1N)-tetrakis[1-benzyl-1H-1,2,4-triazole-κ1N]cobalt(II), CoC40H36N18
- Crystal structure of 1-benzyl-6-hydroxy-1,4,5,6-tetrahydropyridine-3-carbonitrile, C13H14N2O
- Crystal structure of 2-amino-7-methyl-4-(3,4-difluoro-phenyl)-5-oxo-4H,5H-pyrano[4,3-b]pyran-3-carbonitrile, C16H10F2N2O3
- The crystal structure of 4-[(benzo[1,3]dioxol-5-ylmethylene)-amino]-1,5-dimethyl-2-phenyl-1,2-dihydro-pyrazol-3-one, C19H17N3O3
- Crystal structure of 1,4-dihydro-1-phenylchromeno[4,3-c]pyrazole, C16H12N2O
- Crystal structure of N-(5-((3,5-dimethylisoxazol-4-yl)sulfonyl)quinolin-8-yl)benzamide, C21H17N3O4S
- Crystal structure of 3-amino-9-methoxy-1-phenyl-1H-benzo[f]chromene-2-carbonitrile, C21H16N2O2
- Crystal structure of 1,2-bis(4-methoxyphenyl)-2-((3-(trifluoromethyl)phenyl)amino)ethan-1-one, C23H20F3NO3
- Crystal structure of 2-amino-4-(2,4-dinitrophenyl)-5-oxo-4H,5H-pyrano[3,2-c]chromene-3-carbonitrile – ethanol (1:1), C21H16N4O8
- Crystal structure of catena-poly-[(1-cyclopropyl-6-fluoro-4-oxo-7-(piperazin-1-ium-1-yl)-1,4-dihydroquinoline-3-carboxylate-κ2O,O′)-(μ2-4,4′-sulfonyldibenzoato-κ4O,O′:O′′,O′′′)zinc(II)] hemihydrate, C31H27ZnFN3O9.5S
- Crystal structure of 2-(2-bromophenyl)-5-methyl-1,3-dioxane-5-carboxylic acid, C12H13BrO4
- Crystal structure of 2-(2-bromophenyl)-5-ethyl-1,3-dioxane-5-carboxylic acid, C13H15BrO4
- Crystal structure of 4-(4-((3-bromophenyl)amino)-6-(tert-butyl)-3-(2-hydroxypropan-2-yl)cinnolin-8-yl)-2-methylbut-3-yn-2-ol, C26H30BrN3O2
- Crystal structure poly-(μ2-1-(4-(1H-imidazol-1-yl)benzyl)-1H-1,2,4-triazolyl-κ2NN1:N2N)-(μ3-2,2′-(1,2-phenylene)diacetato-κ5-O1,O2:O2:O3,O4)cadmium(II), C22H19CdN5O4
- Crystal structure of bis(1-ethyl-6-fluoro-4-oxido-7-(piperazin-1-ium-1-yl)-1,8-naphthyridin-1-ium-3-carboxylate-κ2O,O′)copper(II) benzene-1, 4-dicarboxylate dihydrate, C38H42F2CuN8O12
- Redetermination of the crystal structure of potassium lithium molybdate monohydrate, KLiMoO4·H2O
- Crystal structure of [tris(2-benzimidazolylmethyl)amine-κ3N](isonicotinate-κO) cobalt(II) [tris(2-benzimidazolylmethyl)amine-κ3N](isonicotinic acid-κO) cobalt(II) triperchlorate, C60H51N16O16Cl3Co2
- The crystal structure of tris(μ2-1,3-bis(4,4,4-trifluoro-3-oxido-1-(oxo)but-2-en-1-yl)phenyl-κ4O,O′:O′′,O′′′)-bis(1,2-dimethoxyethane-κ2O,O′)dicerium(III), C50H38F18O16Ce2
- Crystal structure of 8-isopropyl-8-aza-bicyclo[3.2.1]octan-3-ol, C10H19NO
- Crystal structure of 2,4-dibenzoyl-N,N-dimethylbenzenamine, C22H19NO2
- The crystal structure of 2-(4-methoxyphenyl)-6,8-diphenyl-4-(phenylamino)quinazoline — acetonitrile (1/1), C35H28N4O
Articles in the same Issue
- Cover and Frontmatter
- Crystal structure of the catena-poly-[bis(μ2-1-ethyl-6-fluoro-4-oxo-7-(piperazin-1-yl-κN)-1,4-dihydroquinoline-3-carboxylato-κ2O,O′)nickel(II)] 5.5 hydrate, C32H44N6NiO11F2
- Crystal structure of catena-poly-[(μ2-2-(2-((2,6-dimethylphenyl)amino)phenyl)acetato-κ2O:O′)(μ2-2-(2-((2,6-dimethylphenyl)amino)phenyl)acetate-κ3O,O′:O′)cadmium(II)], C28H20N2Cl4O4Cd
- Crystal structure of catena-poly[dichlorido-(μ2-4-(pyridin-4-yl)-isophthalate-κ2O, O′)cadmium(II)] monohydrate, C13H11NO5Cl2Cd
- Crystal structure of poly-{[μ2-(E)-1,4-di(1H-imidazol-1-yl)but-2-ene-κ2N:N′][μ2-cyclohexane-1,4-dicarboxylato-κ4O,O′:O′′,O′′′]nickel(II)}, C18H22N4NiO4
- Crystal structure of aqua (5,5′-dicarboxy-(1,1′-biphenyl)-2,3′-dicarboxylato-κO) bis(1,10-phenanthroline-κ2N,N′)cadmium monohydrate, C40H28CdN4O10
- Crystal structure of 5-methoxy-N′-[(3Z)-5-chloro-1-(4-fluorobenzyl)-2-oxo-1,2-dihydro-3H-indol-3-ylidene]-1H-indole-2-carbohydrazide-DMSO (1/1), C25H18ClFN4O3 · C2H6OS
- Crystal structure of 5-methoxy-N′-[(3Z)-1-benzyl-5-fluoro-2-oxo-1,2-dihydro-3H-indol-3-ylidene]-1H-indole-2-carbohydrazide-DMSO (1/1), C27H25FN4O4S
- Crystal structure of poly-[bis{μ2-N-(4-(1H-imidazol-1-yl)phenyl)-4-(1H-imidazol-1-yl)-N-phenylaniline-κ2N:N′)}-(μ2-naphthalene-2,6-dicarboxylato)-(μ4-naphthalene-2,6-dicarboxylato)dicadmium(II)], C36H25N5O4Cd
- Crystal structure of 1-(adamantan-1-yl)-3-(4-bromophenyl)thiourea, C17H21BrN2S
- Crystal structure of N′-[(1E)-(2,6-dichlorophenyl)-methylidene]adamantane-1-carbohydrazide, C18H20Cl2N2O
- Crystal structure of dichlorido{bis(2-hydroxyethyl)-5′-([2,2′:6′,2′′-terpyridin]-4′-yl)-[1,1′:3′,1′′-terphenyl]-4,4′′-dicarboxylate-κ3N,N′,N′′}zinc(II), C39H31Cl2N3O6Zn
- Crystal structure of 4,4′-(1,3,5,7-tetraoxo-3a,4,4a,5,7,7a,8,8a-octahydro-4,8-ethenopyrrolo [3,4-f]isoindole-2,6(1H,3H)-diyl)dibenzoic acid, C26H18N2O8
- Crystal structure of (E)-1-(4-(((E)-3,5-dichloro-2-hydroxybenzylidene)amino)phenyl)ethan-1-one O-ethyl oxime, C17H16Cl2N2O2
- The crystal structure of diaqua-(N-(2-hydroxy-5-nitrobenzyl)iminodiacetato-κ4-N,O,O′,O′′)chromium(III) based on synchrotron data, C11H13CrN2O9
- Crystal structure of ethyl 5-amino-3-(methylthio)-1-(1-phenyl-5-(thiophen-2-yl)-1H-pyrazole-3-carbonyl)-1H-pyrazole-4-carboxylate, C21H19N5O3S2
- Crystal structure of (E)-1-(4-(((E)-3,5-dibromo-2-hydroxybenzylidene)amino)phenyl)ethan-1-one O-methyl oxime, C17H16Br2N2O2
- Crystal structure of dibromido μ-oxalato-κ2O,O′:κ2O′′,O′′′−η6-p-cymenediosmium(II), C22H28Br2O4Os2
- Crystal structure of 2-(bromomethyl)-4-(4-chlorophenyl)-1-tosylpyrrolidine, C18H19BrClNO2S2
- Crystal structure of 5-(3-fluorobenzylidene)-1,3-dimethylpyrimidine-2,4,6(1H,3H,5H)-trione; C13H11FN2O3
- Crystal structure of diethylammonium 1,3-dimethyl-2,4,6-trioxohexahydropyrimidin-5-ide, C10H19N3O3
- Crystal structure of 1,1-dimethyl-3-(2-phenylethyl)urea, C11H16N2O
- Crystal structure of 2-(4-methoxyphenyl)-1,3-thiazolo[4,5-b]pyridine, C13H10N2OS
- Crystal structure of 3-tert-butyl-7-azadioxindole, C11H14N2O2
- Crystal structure of 1-ferrocenyl-6-bromopyrene, C26H17BrFe
- Crystal structure of 3-(4-bromophenyl)-5-(4-fluorophenyl)-4,5-dihydro-1H-pyrazole-1-carbothioamide, C16H13BrFN3S
- Crystal structure of 2-amino-4-(3,5-ditrifluoromethylphenyl)-3-cyano-7,7-dimethyl-5-oxo-4H-5,6,7,8-tetrahydrobenzo[b]pyran, C20H16F6N2O2
- The crystal structure of 2-amino-4-(4-nitrophenyl)-5-oxo-5,6,7,8-tetrahydro-4H-chromene-3-carbonitrile, C16H13N3O4
- Crystal structure of 2-amino-4-(2, 4-dichlorophenyl)-5-oxo-5,6,7,8-tetrahydro-4H-chromene-3-carbonitrile, C16H12Cl2N2O2
- Crystal structure of bis(μ2-chlorido)-bis(di-p-tolylhydroxyphosphine-κP)-bis(di-p-tolylphosphite-κP)dipalladium(II), C56H58Cl2O4P4Pd2
- Crystal structure of diaqua-bis(2-methyl-1H-imidazole-4,5-dicarboxylato-κ2-O,N)cadmium(II) tetrahydrate, C12H22CdN4O14
- Crystal structure of aqua-(5-nitrosalicylato-κ2O,O′)-(1,10-phenanthroline-κ2N,N′)copper(II), C19H13CuN3O6
- Crystal structure of bis(4-(2-phenylpropan-2-yl)phenyl)amine, C30H31N
- Crystal structure of 2-amino-4-(3,5-difluorophenyl)-7,7-dimethyl-5-oxo-5,6,7,8-tetrahydro-4H-chromene-3-carbonitrile, C18H16F2N2O2
- Crystal structure of 2-amino-4-(3,4,5-trifluorophenyl)-5-oxo-5,6,7,8-tetrahydro-4H-chromene-3-carbonitrile, C16H11F3N2O2
- Crystal structure of an isomeric bis[(η5:η1-6,6-di-p-tolylpentafulvene)(η5-pentamethylcyclopentadienyl)titanium(III)]-μ2,η1:η1-dinitrogen complex, C60H66N2Ti2
- Crystal structure of 3,4-dinitropyrazole, C3H2N4O4
- Crystal structure of (4-vinylpyridine-κN)triphenyl tin(IV) chloride, C25H22ClNSn
- Crystal structure of tert-butyl 2-phenylethylcarbamate, C13H19NO2
- Crystal structure of (Z)-4-((E)-(4-chlorobenzyli-dene)hydrazono)-1-p-tolylpyrrolidine-3-carbonitrile, C19H17ClN4
- Crystal structure of bis(biphenyl-2,2′-dicarboxylato-κ2O:O′)-bis(1-cyclopropyl-6-fluoro-4-oxo-7-(1-piperazinyl)-1,4-dihydroquinoline-3-carboxylato-κ2O,O′)dizinc(II)2.5 hydrate, C62H57N6Zn2O16.5F2
- Crystal structure of dichloridobis{μ2-2,2′-((1E,1′E)-(ethane-1,2-diylbis(azanylylidene))bis(methanylylidene))bis(4-chlorophenolato)-κ5O,N,N′,O′:O′}diiron(III), C32H24Cl6Fe2N4O4
- Crystal structure of 4-((4,4-dimethyl-2, 6-dioxocyclohexylidine)methylamino)-N-(3,4-dimethylisoxazol-5-yl)benzenesulfonamide, C20H23N3O5S
- Crystal structure of poly-[aqua-μ2-aqua-μ2-(4,4′-oxybis(benzoato)-κ4O,O′:O′′,O′′′)cadmium(II)], C14H12O7Cd
- Crystal structure of aqua(μ2-biphenyl-2,2′-dicarboxylato-κ3O,O′:O′′)-(μ2-1-cyclopropyl-6-fluoro-4-oxo-7-(1-piperazinyl)-1,4-dihydroquinoline-3-carboxylato-κ2O,O′)cadmium(II) 1.5 hydrate, C62H60N6Cd2O19F2
- Crystal structure of dimethanolo-bis[μ-(2-(2-(5-(pyridin-2-yl)-1H-1,2,4-triazol-3-yl)phenoxy)benzoato)-κ5O,O′,N:N′,N′′]dicopper(II) — methanol (1/2), C46H48Cu2N8O12
- Crystal structure of poly-[tetraaqua-bis(μ4-2,5-dibenzoyl-1,4-benzenedicarboxylato-κ4O1:O2:O3:O4)-μ2-2,5-dibenzoyl-1,4-benzenedicarboxylato-k4O5,O6: O5′,O6′-didysprosium(III)] tetrahydrate C33H26O13Dy
- Crystal structure of hexaaqua-bis(3-(3-pyridin-4-yl-[1,2,4]oxadiazol-5-yl) propionato-κ3O,O′:O′)-bis(3-(3-pyridin-4-yl-[1,2,4]oxadiazol-5-yl)propionato-κO)-bis(3-(3-pyridin-4-yl-[1,2,4]oxadiazol-5-yl)propionato-κ2O,O′)dineodymium(III) octahydrate, C60H76N18O32Nd2
- Crystal structure of poly-[triaqua-(μ3-3,4,5,6-tetrafluoro-1,2-phthalato-κ4O:O′:O′′,O′′′) (2,3,4,5-tetrafluoro-benzoato-κ2O,O′) praseodymium(III)], C15H7F8O9Pr
- The crystal structure of dichlorido (1,3-dimesityl-1H-3λ4-imidazol-2-yl)(isoquinoline-κN)palladium(IV) – ethylacetate (1/1), C34H39Cl2N3O2Pd
- Crystal structure of dichlorido(1,3-bis(2,6-dimethyl-phenyl)-1H-3λ4-imidazol-2-yl)(isoquinolinyl)palladium(IV), C28H27Cl2N3Pd
- Crystal structure of 5-(4-(1H-tetrazol-5-yl)phenyl)-1H-imidazol-3-ium 7-carboxy-1,3-dioxo-1H,3H-benzo[de]isochromene-6-carboxylate monohydrate 4,5-anhydride, C24H16N6O8
- Crystal structure of poly-[diaqua-bis(μ2-2-((1H-1,2,4-triazol-5-yl)thio)acetato-κ2N:O) cadmium(II)], C8H8CdN6O6S2
- Crystal Structure of (E)-3-(4-methoxyphenyl)-1-(2,3,4-tris(benzyloxy)-6-hydroxyphenyl)prop-2-en-1-one, C37H32O6
- Structure and photochromism of 1-(1,2-dimethylindol-3-yl)-2-[2-methyl-5-(3-fluorophenyl)-3-thienyl]-3,3,4,4,5,5-hexafluorocyclopent-1-ene, C26H18F7NS
- Crystal structure of two-dimensional coordination polymer poly-[μ2-azido-aqua-(μ2-pyrazine-2-carboxylato-κ3O,N:N′)nickel(II)], C5H5N5O3Ni
- Crystal structure of 2-amino-5-oxo-4-(3,5-bis(trifluoromethyl)phenyl)-4H,5H-pyrano [3,2-c]chromene-3-carbonitrile, C21H10F6N2O3
- Crystal structure of 4-(5-((2-methylbenzyl)thio)-4-phenyl-4H-1,2,4-triazol-3-yl)pyridine, C21H18N4S
- Crystal structure of 5-(2-chloro-5-nitrophenyl)-3-(4-chlorophenyl)-N-ethyl-4,5-dihydro-1H-pyrazole-1-carbothioamide, C18H16Cl2N4O2S
- Crystal structure of 4-(benzofuran-2-yl)-2-(3-(4-fluorophenyl)-3,3a,4,5-tetrahydro-2H-benzo[g]indazol-2-yl)thiazole, C28H20FN3OS
- Crystal structure of bis(dicyanamido-κ1N)-tetrakis[1-benzyl-1H-1,2,4-triazole-κ1N]cobalt(II), CoC40H36N18
- Crystal structure of 1-benzyl-6-hydroxy-1,4,5,6-tetrahydropyridine-3-carbonitrile, C13H14N2O
- Crystal structure of 2-amino-7-methyl-4-(3,4-difluoro-phenyl)-5-oxo-4H,5H-pyrano[4,3-b]pyran-3-carbonitrile, C16H10F2N2O3
- The crystal structure of 4-[(benzo[1,3]dioxol-5-ylmethylene)-amino]-1,5-dimethyl-2-phenyl-1,2-dihydro-pyrazol-3-one, C19H17N3O3
- Crystal structure of 1,4-dihydro-1-phenylchromeno[4,3-c]pyrazole, C16H12N2O
- Crystal structure of N-(5-((3,5-dimethylisoxazol-4-yl)sulfonyl)quinolin-8-yl)benzamide, C21H17N3O4S
- Crystal structure of 3-amino-9-methoxy-1-phenyl-1H-benzo[f]chromene-2-carbonitrile, C21H16N2O2
- Crystal structure of 1,2-bis(4-methoxyphenyl)-2-((3-(trifluoromethyl)phenyl)amino)ethan-1-one, C23H20F3NO3
- Crystal structure of 2-amino-4-(2,4-dinitrophenyl)-5-oxo-4H,5H-pyrano[3,2-c]chromene-3-carbonitrile – ethanol (1:1), C21H16N4O8
- Crystal structure of catena-poly-[(1-cyclopropyl-6-fluoro-4-oxo-7-(piperazin-1-ium-1-yl)-1,4-dihydroquinoline-3-carboxylate-κ2O,O′)-(μ2-4,4′-sulfonyldibenzoato-κ4O,O′:O′′,O′′′)zinc(II)] hemihydrate, C31H27ZnFN3O9.5S
- Crystal structure of 2-(2-bromophenyl)-5-methyl-1,3-dioxane-5-carboxylic acid, C12H13BrO4
- Crystal structure of 2-(2-bromophenyl)-5-ethyl-1,3-dioxane-5-carboxylic acid, C13H15BrO4
- Crystal structure of 4-(4-((3-bromophenyl)amino)-6-(tert-butyl)-3-(2-hydroxypropan-2-yl)cinnolin-8-yl)-2-methylbut-3-yn-2-ol, C26H30BrN3O2
- Crystal structure poly-(μ2-1-(4-(1H-imidazol-1-yl)benzyl)-1H-1,2,4-triazolyl-κ2NN1:N2N)-(μ3-2,2′-(1,2-phenylene)diacetato-κ5-O1,O2:O2:O3,O4)cadmium(II), C22H19CdN5O4
- Crystal structure of bis(1-ethyl-6-fluoro-4-oxido-7-(piperazin-1-ium-1-yl)-1,8-naphthyridin-1-ium-3-carboxylate-κ2O,O′)copper(II) benzene-1, 4-dicarboxylate dihydrate, C38H42F2CuN8O12
- Redetermination of the crystal structure of potassium lithium molybdate monohydrate, KLiMoO4·H2O
- Crystal structure of [tris(2-benzimidazolylmethyl)amine-κ3N](isonicotinate-κO) cobalt(II) [tris(2-benzimidazolylmethyl)amine-κ3N](isonicotinic acid-κO) cobalt(II) triperchlorate, C60H51N16O16Cl3Co2
- The crystal structure of tris(μ2-1,3-bis(4,4,4-trifluoro-3-oxido-1-(oxo)but-2-en-1-yl)phenyl-κ4O,O′:O′′,O′′′)-bis(1,2-dimethoxyethane-κ2O,O′)dicerium(III), C50H38F18O16Ce2
- Crystal structure of 8-isopropyl-8-aza-bicyclo[3.2.1]octan-3-ol, C10H19NO
- Crystal structure of 2,4-dibenzoyl-N,N-dimethylbenzenamine, C22H19NO2
- The crystal structure of 2-(4-methoxyphenyl)-6,8-diphenyl-4-(phenylamino)quinazoline — acetonitrile (1/1), C35H28N4O