Abstract
C8H8CdN6O6S2, monoclinic, P21/c (no. 14), a = 7.4175(11) Å, b = 13.786(2) Å, c = 7.4934(11) Å, β = 93.835(2)°, V = 3972.0(12) Å3, Z = 2, Rgt(F) = 0.0193, wRref(F2) = 0.0581, T = 296(2) K.

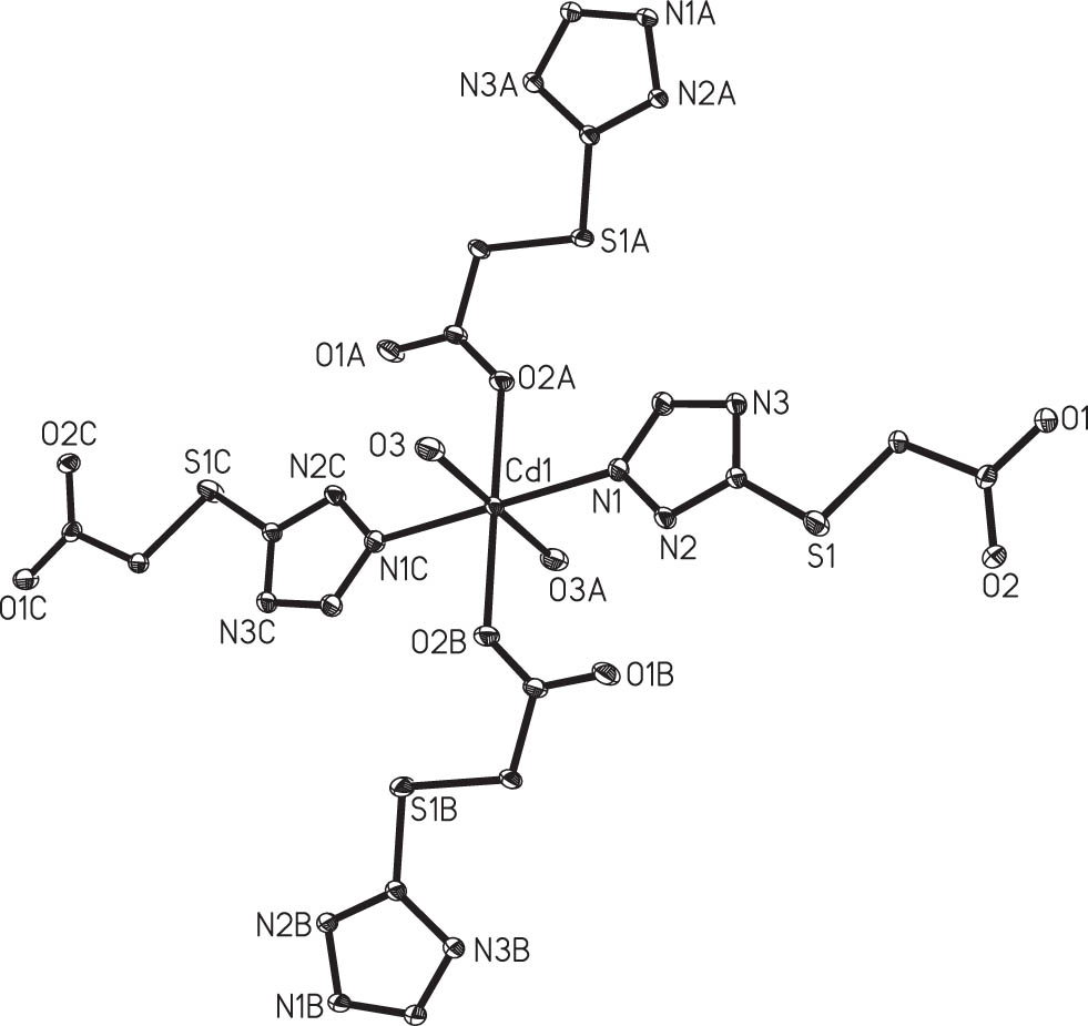
A part of the title crystal structure is shown in the figure. Tables 1 and 2 contain details of the measurement method and a list of the atoms including atomic coordinates and displacement parameters.
Data collection and handling.
| Crystal: | Colourless block Size 0.34 × 0.30 × 0.29 mm |
| Wavelength: | Mo Kα radiation (0.71073 Å) |
| μ: | 17.4 cm−1 |
| Diffractometer, scan mode: | Bruker SMART, φ and ω |
| 2θmax, completeness: | 56.4°, >99% |
| N(hkl)measured, N(hkl)unique, Rint: | 4288, 1400, 0.010 |
| Criterion for Iobs, N(hkl)gt: | Iobs > 2 σ(Iobs), 1318 |
| N(param)refined: | 106 |
| Programs: | Bruker programs [6], SHELX [7] |
Fractional atomic coordinates and isotropic or equivalent isotropic displacement parameters (Å2).
| Atom | x | y | z | Uiso*/Ueq |
|---|---|---|---|---|
| Cd1 | 0.5000 | 1.0000 | 0.0000 | 0.02355(11) |
| S1 | 1.07241(9) | 0.77499(4) | 0.42157(10) | 0.03988(19) |
| O1 | 1.5664(2) | 0.76232(12) | 0.6291(3) | 0.0420(5) |
| O2 | 1.3671(2) | 0.65227(12) | 0.5196(2) | 0.0328(4) |
| O3 | 0.3894(2) | 1.04688(14) | 0.2646(3) | 0.0399(4) |
| H1W | 0.3938 | 1.1043 | 0.3062 | 0.060* |
| H2W | 0.2845 | 1.0288 | 0.2897 | 0.060* |
| N1 | 0.7707(3) | 0.96176(14) | 0.1586(3) | 0.0275(4) |
| N2 | 0.8104(3) | 0.87367(14) | 0.2334(3) | 0.0283(4) |
| H2D | 0.7396 | 0.8242 | 0.2298 | 0.034* |
| N3 | 1.0493(2) | 0.96387(15) | 0.2953(3) | 0.0261(4) |
| C1 | 0.9769(3) | 0.87636(15) | 0.3133(3) | 0.0230(4) |
| C2 | 0.9173(4) | 1.01295(17) | 0.1997(4) | 0.0285(5) |
| H2 | 0.9293 | 1.0774 | 0.1660 | 0.034* |
| C3 | 1.2958(3) | 0.82117(16) | 0.4866(3) | 0.0283(5) |
| C4 | 1.4191(3) | 0.73721(16) | 0.5498(3) | 0.0246(5) |
Source of material
A mixture of [(1,2,4-triazol-3-yl)thio]acetic acid (86.7 mg, 0.30 mmol), Cd(NO3)2·4H2O (46.0 mg, 0.15 mmol) and NaOH (120 mg, 0.30 mmol) was dissolved in 10 mL H2O. Then the solution was heated in a 25 mL Teflon-lined autoclave under autogenous pressure at 398 K for 3 days. After cooling to room temperature, colorless crystals formed (yield 43% based on Zn). Elemental analysis (C8H8CdN6O6S2): H 1.75, C 20.86, N 18.24, O 20.84%; found: H 1.84, C 20.81, N 18.19, O 20.91%.
Experimental details
The C-bound hydrogen atoms were included in calculated positions and treated as riding atoms: d(C—H) = 0.93–0.96 Å with Uiso(H) = 1.2 or 1.5 Ueq(C).
Discussion
The keen interest in the design and synthesis of coordination polymers (CPs) stems not only from their potential applications in gas storage, catalysis, drug delivery, nonlinear optics, and molecular sensing, but also because of impressive structural topologies [1, 2]. The construction of coordination architectures depends on the combination of several factors, such as the coordination geometry of metal ions, the nature of organic ligands, the use of noncovalent interactions (hydrogen bonding, halogen bonding, π–π interactions, or their combination in different ways) and sometimes the reagent ratio [3, 4]. So, understanding how these considerations affect metal coordination and influence crystal packing is at the forefront of controlling coordination frameworks. It has been documented that the geometries of organic ligands play crucial roles in determining the resulted architectures [5]. With the aim to understand the interesting chemistry of carboxylate ligand, we studied its assembly reaction of [(1,2,4-triazol-3-yl)thio]acetic acid (H2tzta) with Cd(II) ions under hydrothermal condition.
Structure solution revealed that the asymmetric unit of title structure contain one half of a Cd(II), one deprotonated carboxylato ligand and one water ligand to construct a 2-D coordination polymer. Each Cd(II) ion, located on a crystallographic inversion center, is six-coordinated by two carboxylate oxygens (D(Cd–O) = 2.2891(19) Å) and two thiazole nitrogen atoms (D(Cd–N) = 2.3243(19) Å) and two coordinated water molecules, forming a distorted octahedral geometry (cf. the figure). The bond angles of O—Cd—N are in the range of 83.21(6)°–96.79(6)°. In addition, there is a complex network of intermolecular hydrogen bonds. These interactions result in a three dimensional architecture.
Acknowledgements:
This work was supported by the Natural Science Foundation of Jiangsu Province of China (No. BK20131429) and the open project of Jiangsu Engineering Technology Research Center of Environmental Cleaning Materials (No. KFK1506).
References
1. Horike, S.; Shimonura, S.; Kitagawa, S.: Soft porous crystals. Nat. Chem. 1 (2009) 695–704.10.1038/nchem.444Search in Google Scholar PubMed
2. Jiang, H. L.; Xu, Q.: Metal-organic frameworks as platforms for hydrogen generation from chemical hydrides. Chem. Commun. 47 (2011) 3351–3370.10.1039/c0cc05419dSearch in Google Scholar PubMed
3. Li, X. P.; Zhang, J. Y.; Pan, M.; Zheng, S. R.; Liu, Y.; Su, C. Y.: Zero to three dimensional increase of silver(I) coordination assemblies controlled by deprotonation of 1,3,5-tri(2-benzimidazolyl)benzene and aggregation of multinuclear building units. Inorg. Chem. 46 (2007) 4617–4625.10.1021/ic070309kSearch in Google Scholar PubMed
4. Sava, D. F.; Kravtsov, V. Ch.; Eckert, J.; Eubank, J. F.; Nouar, F.; Eddaoudi, M.: Exceptional stability and high hydrogen uptake in hydrogen-bonded metal-organic cubes possessing ACO and AST zeolite-like topologies. J. Am. Chem. Soc. 131 (2009) 10394–10396.10.1021/ja903287vSearch in Google Scholar PubMed
5. Dai, F. N.; He, H. Y.; Gao, D. L.; Ye, F.; Qiu, X. L.; Sun, D. F.: Construction of copper metal–organic systems based on paddlewheel SBU through altering the substituent positions of new flexible carboxylate ligands. CrystEngComm 11 (2009) 2516–2522.10.1039/b904671bSearch in Google Scholar
6. Bruker. APEX2, SAINT and SADABS. Bruker AXS Inc., Madison, WI, USA, 2009.Search in Google Scholar
7. Sheldrick, G. M.: A short history of SHELX. Acta Crystallogr. A64 (2008) 112–122.10.1107/S0108767307043930Search in Google Scholar PubMed
©2016 Min-Dong Chen et al., published by De Gruyter.
This work is licensed under the Creative Commons Attribution-NonCommercial-NoDerivatives 3.0 License.
Articles in the same Issue
- Cover and Frontmatter
- Crystal structure of the catena-poly-[bis(μ2-1-ethyl-6-fluoro-4-oxo-7-(piperazin-1-yl-κN)-1,4-dihydroquinoline-3-carboxylato-κ2O,O′)nickel(II)] 5.5 hydrate, C32H44N6NiO11F2
- Crystal structure of catena-poly-[(μ2-2-(2-((2,6-dimethylphenyl)amino)phenyl)acetato-κ2O:O′)(μ2-2-(2-((2,6-dimethylphenyl)amino)phenyl)acetate-κ3O,O′:O′)cadmium(II)], C28H20N2Cl4O4Cd
- Crystal structure of catena-poly[dichlorido-(μ2-4-(pyridin-4-yl)-isophthalate-κ2O, O′)cadmium(II)] monohydrate, C13H11NO5Cl2Cd
- Crystal structure of poly-{[μ2-(E)-1,4-di(1H-imidazol-1-yl)but-2-ene-κ2N:N′][μ2-cyclohexane-1,4-dicarboxylato-κ4O,O′:O′′,O′′′]nickel(II)}, C18H22N4NiO4
- Crystal structure of aqua (5,5′-dicarboxy-(1,1′-biphenyl)-2,3′-dicarboxylato-κO) bis(1,10-phenanthroline-κ2N,N′)cadmium monohydrate, C40H28CdN4O10
- Crystal structure of 5-methoxy-N′-[(3Z)-5-chloro-1-(4-fluorobenzyl)-2-oxo-1,2-dihydro-3H-indol-3-ylidene]-1H-indole-2-carbohydrazide-DMSO (1/1), C25H18ClFN4O3 · C2H6OS
- Crystal structure of 5-methoxy-N′-[(3Z)-1-benzyl-5-fluoro-2-oxo-1,2-dihydro-3H-indol-3-ylidene]-1H-indole-2-carbohydrazide-DMSO (1/1), C27H25FN4O4S
- Crystal structure of poly-[bis{μ2-N-(4-(1H-imidazol-1-yl)phenyl)-4-(1H-imidazol-1-yl)-N-phenylaniline-κ2N:N′)}-(μ2-naphthalene-2,6-dicarboxylato)-(μ4-naphthalene-2,6-dicarboxylato)dicadmium(II)], C36H25N5O4Cd
- Crystal structure of 1-(adamantan-1-yl)-3-(4-bromophenyl)thiourea, C17H21BrN2S
- Crystal structure of N′-[(1E)-(2,6-dichlorophenyl)-methylidene]adamantane-1-carbohydrazide, C18H20Cl2N2O
- Crystal structure of dichlorido{bis(2-hydroxyethyl)-5′-([2,2′:6′,2′′-terpyridin]-4′-yl)-[1,1′:3′,1′′-terphenyl]-4,4′′-dicarboxylate-κ3N,N′,N′′}zinc(II), C39H31Cl2N3O6Zn
- Crystal structure of 4,4′-(1,3,5,7-tetraoxo-3a,4,4a,5,7,7a,8,8a-octahydro-4,8-ethenopyrrolo [3,4-f]isoindole-2,6(1H,3H)-diyl)dibenzoic acid, C26H18N2O8
- Crystal structure of (E)-1-(4-(((E)-3,5-dichloro-2-hydroxybenzylidene)amino)phenyl)ethan-1-one O-ethyl oxime, C17H16Cl2N2O2
- The crystal structure of diaqua-(N-(2-hydroxy-5-nitrobenzyl)iminodiacetato-κ4-N,O,O′,O′′)chromium(III) based on synchrotron data, C11H13CrN2O9
- Crystal structure of ethyl 5-amino-3-(methylthio)-1-(1-phenyl-5-(thiophen-2-yl)-1H-pyrazole-3-carbonyl)-1H-pyrazole-4-carboxylate, C21H19N5O3S2
- Crystal structure of (E)-1-(4-(((E)-3,5-dibromo-2-hydroxybenzylidene)amino)phenyl)ethan-1-one O-methyl oxime, C17H16Br2N2O2
- Crystal structure of dibromido μ-oxalato-κ2O,O′:κ2O′′,O′′′−η6-p-cymenediosmium(II), C22H28Br2O4Os2
- Crystal structure of 2-(bromomethyl)-4-(4-chlorophenyl)-1-tosylpyrrolidine, C18H19BrClNO2S2
- Crystal structure of 5-(3-fluorobenzylidene)-1,3-dimethylpyrimidine-2,4,6(1H,3H,5H)-trione; C13H11FN2O3
- Crystal structure of diethylammonium 1,3-dimethyl-2,4,6-trioxohexahydropyrimidin-5-ide, C10H19N3O3
- Crystal structure of 1,1-dimethyl-3-(2-phenylethyl)urea, C11H16N2O
- Crystal structure of 2-(4-methoxyphenyl)-1,3-thiazolo[4,5-b]pyridine, C13H10N2OS
- Crystal structure of 3-tert-butyl-7-azadioxindole, C11H14N2O2
- Crystal structure of 1-ferrocenyl-6-bromopyrene, C26H17BrFe
- Crystal structure of 3-(4-bromophenyl)-5-(4-fluorophenyl)-4,5-dihydro-1H-pyrazole-1-carbothioamide, C16H13BrFN3S
- Crystal structure of 2-amino-4-(3,5-ditrifluoromethylphenyl)-3-cyano-7,7-dimethyl-5-oxo-4H-5,6,7,8-tetrahydrobenzo[b]pyran, C20H16F6N2O2
- The crystal structure of 2-amino-4-(4-nitrophenyl)-5-oxo-5,6,7,8-tetrahydro-4H-chromene-3-carbonitrile, C16H13N3O4
- Crystal structure of 2-amino-4-(2, 4-dichlorophenyl)-5-oxo-5,6,7,8-tetrahydro-4H-chromene-3-carbonitrile, C16H12Cl2N2O2
- Crystal structure of bis(μ2-chlorido)-bis(di-p-tolylhydroxyphosphine-κP)-bis(di-p-tolylphosphite-κP)dipalladium(II), C56H58Cl2O4P4Pd2
- Crystal structure of diaqua-bis(2-methyl-1H-imidazole-4,5-dicarboxylato-κ2-O,N)cadmium(II) tetrahydrate, C12H22CdN4O14
- Crystal structure of aqua-(5-nitrosalicylato-κ2O,O′)-(1,10-phenanthroline-κ2N,N′)copper(II), C19H13CuN3O6
- Crystal structure of bis(4-(2-phenylpropan-2-yl)phenyl)amine, C30H31N
- Crystal structure of 2-amino-4-(3,5-difluorophenyl)-7,7-dimethyl-5-oxo-5,6,7,8-tetrahydro-4H-chromene-3-carbonitrile, C18H16F2N2O2
- Crystal structure of 2-amino-4-(3,4,5-trifluorophenyl)-5-oxo-5,6,7,8-tetrahydro-4H-chromene-3-carbonitrile, C16H11F3N2O2
- Crystal structure of an isomeric bis[(η5:η1-6,6-di-p-tolylpentafulvene)(η5-pentamethylcyclopentadienyl)titanium(III)]-μ2,η1:η1-dinitrogen complex, C60H66N2Ti2
- Crystal structure of 3,4-dinitropyrazole, C3H2N4O4
- Crystal structure of (4-vinylpyridine-κN)triphenyl tin(IV) chloride, C25H22ClNSn
- Crystal structure of tert-butyl 2-phenylethylcarbamate, C13H19NO2
- Crystal structure of (Z)-4-((E)-(4-chlorobenzyli-dene)hydrazono)-1-p-tolylpyrrolidine-3-carbonitrile, C19H17ClN4
- Crystal structure of bis(biphenyl-2,2′-dicarboxylato-κ2O:O′)-bis(1-cyclopropyl-6-fluoro-4-oxo-7-(1-piperazinyl)-1,4-dihydroquinoline-3-carboxylato-κ2O,O′)dizinc(II)2.5 hydrate, C62H57N6Zn2O16.5F2
- Crystal structure of dichloridobis{μ2-2,2′-((1E,1′E)-(ethane-1,2-diylbis(azanylylidene))bis(methanylylidene))bis(4-chlorophenolato)-κ5O,N,N′,O′:O′}diiron(III), C32H24Cl6Fe2N4O4
- Crystal structure of 4-((4,4-dimethyl-2, 6-dioxocyclohexylidine)methylamino)-N-(3,4-dimethylisoxazol-5-yl)benzenesulfonamide, C20H23N3O5S
- Crystal structure of poly-[aqua-μ2-aqua-μ2-(4,4′-oxybis(benzoato)-κ4O,O′:O′′,O′′′)cadmium(II)], C14H12O7Cd
- Crystal structure of aqua(μ2-biphenyl-2,2′-dicarboxylato-κ3O,O′:O′′)-(μ2-1-cyclopropyl-6-fluoro-4-oxo-7-(1-piperazinyl)-1,4-dihydroquinoline-3-carboxylato-κ2O,O′)cadmium(II) 1.5 hydrate, C62H60N6Cd2O19F2
- Crystal structure of dimethanolo-bis[μ-(2-(2-(5-(pyridin-2-yl)-1H-1,2,4-triazol-3-yl)phenoxy)benzoato)-κ5O,O′,N:N′,N′′]dicopper(II) — methanol (1/2), C46H48Cu2N8O12
- Crystal structure of poly-[tetraaqua-bis(μ4-2,5-dibenzoyl-1,4-benzenedicarboxylato-κ4O1:O2:O3:O4)-μ2-2,5-dibenzoyl-1,4-benzenedicarboxylato-k4O5,O6: O5′,O6′-didysprosium(III)] tetrahydrate C33H26O13Dy
- Crystal structure of hexaaqua-bis(3-(3-pyridin-4-yl-[1,2,4]oxadiazol-5-yl) propionato-κ3O,O′:O′)-bis(3-(3-pyridin-4-yl-[1,2,4]oxadiazol-5-yl)propionato-κO)-bis(3-(3-pyridin-4-yl-[1,2,4]oxadiazol-5-yl)propionato-κ2O,O′)dineodymium(III) octahydrate, C60H76N18O32Nd2
- Crystal structure of poly-[triaqua-(μ3-3,4,5,6-tetrafluoro-1,2-phthalato-κ4O:O′:O′′,O′′′) (2,3,4,5-tetrafluoro-benzoato-κ2O,O′) praseodymium(III)], C15H7F8O9Pr
- The crystal structure of dichlorido (1,3-dimesityl-1H-3λ4-imidazol-2-yl)(isoquinoline-κN)palladium(IV) – ethylacetate (1/1), C34H39Cl2N3O2Pd
- Crystal structure of dichlorido(1,3-bis(2,6-dimethyl-phenyl)-1H-3λ4-imidazol-2-yl)(isoquinolinyl)palladium(IV), C28H27Cl2N3Pd
- Crystal structure of 5-(4-(1H-tetrazol-5-yl)phenyl)-1H-imidazol-3-ium 7-carboxy-1,3-dioxo-1H,3H-benzo[de]isochromene-6-carboxylate monohydrate 4,5-anhydride, C24H16N6O8
- Crystal structure of poly-[diaqua-bis(μ2-2-((1H-1,2,4-triazol-5-yl)thio)acetato-κ2N:O) cadmium(II)], C8H8CdN6O6S2
- Crystal Structure of (E)-3-(4-methoxyphenyl)-1-(2,3,4-tris(benzyloxy)-6-hydroxyphenyl)prop-2-en-1-one, C37H32O6
- Structure and photochromism of 1-(1,2-dimethylindol-3-yl)-2-[2-methyl-5-(3-fluorophenyl)-3-thienyl]-3,3,4,4,5,5-hexafluorocyclopent-1-ene, C26H18F7NS
- Crystal structure of two-dimensional coordination polymer poly-[μ2-azido-aqua-(μ2-pyrazine-2-carboxylato-κ3O,N:N′)nickel(II)], C5H5N5O3Ni
- Crystal structure of 2-amino-5-oxo-4-(3,5-bis(trifluoromethyl)phenyl)-4H,5H-pyrano [3,2-c]chromene-3-carbonitrile, C21H10F6N2O3
- Crystal structure of 4-(5-((2-methylbenzyl)thio)-4-phenyl-4H-1,2,4-triazol-3-yl)pyridine, C21H18N4S
- Crystal structure of 5-(2-chloro-5-nitrophenyl)-3-(4-chlorophenyl)-N-ethyl-4,5-dihydro-1H-pyrazole-1-carbothioamide, C18H16Cl2N4O2S
- Crystal structure of 4-(benzofuran-2-yl)-2-(3-(4-fluorophenyl)-3,3a,4,5-tetrahydro-2H-benzo[g]indazol-2-yl)thiazole, C28H20FN3OS
- Crystal structure of bis(dicyanamido-κ1N)-tetrakis[1-benzyl-1H-1,2,4-triazole-κ1N]cobalt(II), CoC40H36N18
- Crystal structure of 1-benzyl-6-hydroxy-1,4,5,6-tetrahydropyridine-3-carbonitrile, C13H14N2O
- Crystal structure of 2-amino-7-methyl-4-(3,4-difluoro-phenyl)-5-oxo-4H,5H-pyrano[4,3-b]pyran-3-carbonitrile, C16H10F2N2O3
- The crystal structure of 4-[(benzo[1,3]dioxol-5-ylmethylene)-amino]-1,5-dimethyl-2-phenyl-1,2-dihydro-pyrazol-3-one, C19H17N3O3
- Crystal structure of 1,4-dihydro-1-phenylchromeno[4,3-c]pyrazole, C16H12N2O
- Crystal structure of N-(5-((3,5-dimethylisoxazol-4-yl)sulfonyl)quinolin-8-yl)benzamide, C21H17N3O4S
- Crystal structure of 3-amino-9-methoxy-1-phenyl-1H-benzo[f]chromene-2-carbonitrile, C21H16N2O2
- Crystal structure of 1,2-bis(4-methoxyphenyl)-2-((3-(trifluoromethyl)phenyl)amino)ethan-1-one, C23H20F3NO3
- Crystal structure of 2-amino-4-(2,4-dinitrophenyl)-5-oxo-4H,5H-pyrano[3,2-c]chromene-3-carbonitrile – ethanol (1:1), C21H16N4O8
- Crystal structure of catena-poly-[(1-cyclopropyl-6-fluoro-4-oxo-7-(piperazin-1-ium-1-yl)-1,4-dihydroquinoline-3-carboxylate-κ2O,O′)-(μ2-4,4′-sulfonyldibenzoato-κ4O,O′:O′′,O′′′)zinc(II)] hemihydrate, C31H27ZnFN3O9.5S
- Crystal structure of 2-(2-bromophenyl)-5-methyl-1,3-dioxane-5-carboxylic acid, C12H13BrO4
- Crystal structure of 2-(2-bromophenyl)-5-ethyl-1,3-dioxane-5-carboxylic acid, C13H15BrO4
- Crystal structure of 4-(4-((3-bromophenyl)amino)-6-(tert-butyl)-3-(2-hydroxypropan-2-yl)cinnolin-8-yl)-2-methylbut-3-yn-2-ol, C26H30BrN3O2
- Crystal structure poly-(μ2-1-(4-(1H-imidazol-1-yl)benzyl)-1H-1,2,4-triazolyl-κ2NN1:N2N)-(μ3-2,2′-(1,2-phenylene)diacetato-κ5-O1,O2:O2:O3,O4)cadmium(II), C22H19CdN5O4
- Crystal structure of bis(1-ethyl-6-fluoro-4-oxido-7-(piperazin-1-ium-1-yl)-1,8-naphthyridin-1-ium-3-carboxylate-κ2O,O′)copper(II) benzene-1, 4-dicarboxylate dihydrate, C38H42F2CuN8O12
- Redetermination of the crystal structure of potassium lithium molybdate monohydrate, KLiMoO4·H2O
- Crystal structure of [tris(2-benzimidazolylmethyl)amine-κ3N](isonicotinate-κO) cobalt(II) [tris(2-benzimidazolylmethyl)amine-κ3N](isonicotinic acid-κO) cobalt(II) triperchlorate, C60H51N16O16Cl3Co2
- The crystal structure of tris(μ2-1,3-bis(4,4,4-trifluoro-3-oxido-1-(oxo)but-2-en-1-yl)phenyl-κ4O,O′:O′′,O′′′)-bis(1,2-dimethoxyethane-κ2O,O′)dicerium(III), C50H38F18O16Ce2
- Crystal structure of 8-isopropyl-8-aza-bicyclo[3.2.1]octan-3-ol, C10H19NO
- Crystal structure of 2,4-dibenzoyl-N,N-dimethylbenzenamine, C22H19NO2
- The crystal structure of 2-(4-methoxyphenyl)-6,8-diphenyl-4-(phenylamino)quinazoline — acetonitrile (1/1), C35H28N4O
Articles in the same Issue
- Cover and Frontmatter
- Crystal structure of the catena-poly-[bis(μ2-1-ethyl-6-fluoro-4-oxo-7-(piperazin-1-yl-κN)-1,4-dihydroquinoline-3-carboxylato-κ2O,O′)nickel(II)] 5.5 hydrate, C32H44N6NiO11F2
- Crystal structure of catena-poly-[(μ2-2-(2-((2,6-dimethylphenyl)amino)phenyl)acetato-κ2O:O′)(μ2-2-(2-((2,6-dimethylphenyl)amino)phenyl)acetate-κ3O,O′:O′)cadmium(II)], C28H20N2Cl4O4Cd
- Crystal structure of catena-poly[dichlorido-(μ2-4-(pyridin-4-yl)-isophthalate-κ2O, O′)cadmium(II)] monohydrate, C13H11NO5Cl2Cd
- Crystal structure of poly-{[μ2-(E)-1,4-di(1H-imidazol-1-yl)but-2-ene-κ2N:N′][μ2-cyclohexane-1,4-dicarboxylato-κ4O,O′:O′′,O′′′]nickel(II)}, C18H22N4NiO4
- Crystal structure of aqua (5,5′-dicarboxy-(1,1′-biphenyl)-2,3′-dicarboxylato-κO) bis(1,10-phenanthroline-κ2N,N′)cadmium monohydrate, C40H28CdN4O10
- Crystal structure of 5-methoxy-N′-[(3Z)-5-chloro-1-(4-fluorobenzyl)-2-oxo-1,2-dihydro-3H-indol-3-ylidene]-1H-indole-2-carbohydrazide-DMSO (1/1), C25H18ClFN4O3 · C2H6OS
- Crystal structure of 5-methoxy-N′-[(3Z)-1-benzyl-5-fluoro-2-oxo-1,2-dihydro-3H-indol-3-ylidene]-1H-indole-2-carbohydrazide-DMSO (1/1), C27H25FN4O4S
- Crystal structure of poly-[bis{μ2-N-(4-(1H-imidazol-1-yl)phenyl)-4-(1H-imidazol-1-yl)-N-phenylaniline-κ2N:N′)}-(μ2-naphthalene-2,6-dicarboxylato)-(μ4-naphthalene-2,6-dicarboxylato)dicadmium(II)], C36H25N5O4Cd
- Crystal structure of 1-(adamantan-1-yl)-3-(4-bromophenyl)thiourea, C17H21BrN2S
- Crystal structure of N′-[(1E)-(2,6-dichlorophenyl)-methylidene]adamantane-1-carbohydrazide, C18H20Cl2N2O
- Crystal structure of dichlorido{bis(2-hydroxyethyl)-5′-([2,2′:6′,2′′-terpyridin]-4′-yl)-[1,1′:3′,1′′-terphenyl]-4,4′′-dicarboxylate-κ3N,N′,N′′}zinc(II), C39H31Cl2N3O6Zn
- Crystal structure of 4,4′-(1,3,5,7-tetraoxo-3a,4,4a,5,7,7a,8,8a-octahydro-4,8-ethenopyrrolo [3,4-f]isoindole-2,6(1H,3H)-diyl)dibenzoic acid, C26H18N2O8
- Crystal structure of (E)-1-(4-(((E)-3,5-dichloro-2-hydroxybenzylidene)amino)phenyl)ethan-1-one O-ethyl oxime, C17H16Cl2N2O2
- The crystal structure of diaqua-(N-(2-hydroxy-5-nitrobenzyl)iminodiacetato-κ4-N,O,O′,O′′)chromium(III) based on synchrotron data, C11H13CrN2O9
- Crystal structure of ethyl 5-amino-3-(methylthio)-1-(1-phenyl-5-(thiophen-2-yl)-1H-pyrazole-3-carbonyl)-1H-pyrazole-4-carboxylate, C21H19N5O3S2
- Crystal structure of (E)-1-(4-(((E)-3,5-dibromo-2-hydroxybenzylidene)amino)phenyl)ethan-1-one O-methyl oxime, C17H16Br2N2O2
- Crystal structure of dibromido μ-oxalato-κ2O,O′:κ2O′′,O′′′−η6-p-cymenediosmium(II), C22H28Br2O4Os2
- Crystal structure of 2-(bromomethyl)-4-(4-chlorophenyl)-1-tosylpyrrolidine, C18H19BrClNO2S2
- Crystal structure of 5-(3-fluorobenzylidene)-1,3-dimethylpyrimidine-2,4,6(1H,3H,5H)-trione; C13H11FN2O3
- Crystal structure of diethylammonium 1,3-dimethyl-2,4,6-trioxohexahydropyrimidin-5-ide, C10H19N3O3
- Crystal structure of 1,1-dimethyl-3-(2-phenylethyl)urea, C11H16N2O
- Crystal structure of 2-(4-methoxyphenyl)-1,3-thiazolo[4,5-b]pyridine, C13H10N2OS
- Crystal structure of 3-tert-butyl-7-azadioxindole, C11H14N2O2
- Crystal structure of 1-ferrocenyl-6-bromopyrene, C26H17BrFe
- Crystal structure of 3-(4-bromophenyl)-5-(4-fluorophenyl)-4,5-dihydro-1H-pyrazole-1-carbothioamide, C16H13BrFN3S
- Crystal structure of 2-amino-4-(3,5-ditrifluoromethylphenyl)-3-cyano-7,7-dimethyl-5-oxo-4H-5,6,7,8-tetrahydrobenzo[b]pyran, C20H16F6N2O2
- The crystal structure of 2-amino-4-(4-nitrophenyl)-5-oxo-5,6,7,8-tetrahydro-4H-chromene-3-carbonitrile, C16H13N3O4
- Crystal structure of 2-amino-4-(2, 4-dichlorophenyl)-5-oxo-5,6,7,8-tetrahydro-4H-chromene-3-carbonitrile, C16H12Cl2N2O2
- Crystal structure of bis(μ2-chlorido)-bis(di-p-tolylhydroxyphosphine-κP)-bis(di-p-tolylphosphite-κP)dipalladium(II), C56H58Cl2O4P4Pd2
- Crystal structure of diaqua-bis(2-methyl-1H-imidazole-4,5-dicarboxylato-κ2-O,N)cadmium(II) tetrahydrate, C12H22CdN4O14
- Crystal structure of aqua-(5-nitrosalicylato-κ2O,O′)-(1,10-phenanthroline-κ2N,N′)copper(II), C19H13CuN3O6
- Crystal structure of bis(4-(2-phenylpropan-2-yl)phenyl)amine, C30H31N
- Crystal structure of 2-amino-4-(3,5-difluorophenyl)-7,7-dimethyl-5-oxo-5,6,7,8-tetrahydro-4H-chromene-3-carbonitrile, C18H16F2N2O2
- Crystal structure of 2-amino-4-(3,4,5-trifluorophenyl)-5-oxo-5,6,7,8-tetrahydro-4H-chromene-3-carbonitrile, C16H11F3N2O2
- Crystal structure of an isomeric bis[(η5:η1-6,6-di-p-tolylpentafulvene)(η5-pentamethylcyclopentadienyl)titanium(III)]-μ2,η1:η1-dinitrogen complex, C60H66N2Ti2
- Crystal structure of 3,4-dinitropyrazole, C3H2N4O4
- Crystal structure of (4-vinylpyridine-κN)triphenyl tin(IV) chloride, C25H22ClNSn
- Crystal structure of tert-butyl 2-phenylethylcarbamate, C13H19NO2
- Crystal structure of (Z)-4-((E)-(4-chlorobenzyli-dene)hydrazono)-1-p-tolylpyrrolidine-3-carbonitrile, C19H17ClN4
- Crystal structure of bis(biphenyl-2,2′-dicarboxylato-κ2O:O′)-bis(1-cyclopropyl-6-fluoro-4-oxo-7-(1-piperazinyl)-1,4-dihydroquinoline-3-carboxylato-κ2O,O′)dizinc(II)2.5 hydrate, C62H57N6Zn2O16.5F2
- Crystal structure of dichloridobis{μ2-2,2′-((1E,1′E)-(ethane-1,2-diylbis(azanylylidene))bis(methanylylidene))bis(4-chlorophenolato)-κ5O,N,N′,O′:O′}diiron(III), C32H24Cl6Fe2N4O4
- Crystal structure of 4-((4,4-dimethyl-2, 6-dioxocyclohexylidine)methylamino)-N-(3,4-dimethylisoxazol-5-yl)benzenesulfonamide, C20H23N3O5S
- Crystal structure of poly-[aqua-μ2-aqua-μ2-(4,4′-oxybis(benzoato)-κ4O,O′:O′′,O′′′)cadmium(II)], C14H12O7Cd
- Crystal structure of aqua(μ2-biphenyl-2,2′-dicarboxylato-κ3O,O′:O′′)-(μ2-1-cyclopropyl-6-fluoro-4-oxo-7-(1-piperazinyl)-1,4-dihydroquinoline-3-carboxylato-κ2O,O′)cadmium(II) 1.5 hydrate, C62H60N6Cd2O19F2
- Crystal structure of dimethanolo-bis[μ-(2-(2-(5-(pyridin-2-yl)-1H-1,2,4-triazol-3-yl)phenoxy)benzoato)-κ5O,O′,N:N′,N′′]dicopper(II) — methanol (1/2), C46H48Cu2N8O12
- Crystal structure of poly-[tetraaqua-bis(μ4-2,5-dibenzoyl-1,4-benzenedicarboxylato-κ4O1:O2:O3:O4)-μ2-2,5-dibenzoyl-1,4-benzenedicarboxylato-k4O5,O6: O5′,O6′-didysprosium(III)] tetrahydrate C33H26O13Dy
- Crystal structure of hexaaqua-bis(3-(3-pyridin-4-yl-[1,2,4]oxadiazol-5-yl) propionato-κ3O,O′:O′)-bis(3-(3-pyridin-4-yl-[1,2,4]oxadiazol-5-yl)propionato-κO)-bis(3-(3-pyridin-4-yl-[1,2,4]oxadiazol-5-yl)propionato-κ2O,O′)dineodymium(III) octahydrate, C60H76N18O32Nd2
- Crystal structure of poly-[triaqua-(μ3-3,4,5,6-tetrafluoro-1,2-phthalato-κ4O:O′:O′′,O′′′) (2,3,4,5-tetrafluoro-benzoato-κ2O,O′) praseodymium(III)], C15H7F8O9Pr
- The crystal structure of dichlorido (1,3-dimesityl-1H-3λ4-imidazol-2-yl)(isoquinoline-κN)palladium(IV) – ethylacetate (1/1), C34H39Cl2N3O2Pd
- Crystal structure of dichlorido(1,3-bis(2,6-dimethyl-phenyl)-1H-3λ4-imidazol-2-yl)(isoquinolinyl)palladium(IV), C28H27Cl2N3Pd
- Crystal structure of 5-(4-(1H-tetrazol-5-yl)phenyl)-1H-imidazol-3-ium 7-carboxy-1,3-dioxo-1H,3H-benzo[de]isochromene-6-carboxylate monohydrate 4,5-anhydride, C24H16N6O8
- Crystal structure of poly-[diaqua-bis(μ2-2-((1H-1,2,4-triazol-5-yl)thio)acetato-κ2N:O) cadmium(II)], C8H8CdN6O6S2
- Crystal Structure of (E)-3-(4-methoxyphenyl)-1-(2,3,4-tris(benzyloxy)-6-hydroxyphenyl)prop-2-en-1-one, C37H32O6
- Structure and photochromism of 1-(1,2-dimethylindol-3-yl)-2-[2-methyl-5-(3-fluorophenyl)-3-thienyl]-3,3,4,4,5,5-hexafluorocyclopent-1-ene, C26H18F7NS
- Crystal structure of two-dimensional coordination polymer poly-[μ2-azido-aqua-(μ2-pyrazine-2-carboxylato-κ3O,N:N′)nickel(II)], C5H5N5O3Ni
- Crystal structure of 2-amino-5-oxo-4-(3,5-bis(trifluoromethyl)phenyl)-4H,5H-pyrano [3,2-c]chromene-3-carbonitrile, C21H10F6N2O3
- Crystal structure of 4-(5-((2-methylbenzyl)thio)-4-phenyl-4H-1,2,4-triazol-3-yl)pyridine, C21H18N4S
- Crystal structure of 5-(2-chloro-5-nitrophenyl)-3-(4-chlorophenyl)-N-ethyl-4,5-dihydro-1H-pyrazole-1-carbothioamide, C18H16Cl2N4O2S
- Crystal structure of 4-(benzofuran-2-yl)-2-(3-(4-fluorophenyl)-3,3a,4,5-tetrahydro-2H-benzo[g]indazol-2-yl)thiazole, C28H20FN3OS
- Crystal structure of bis(dicyanamido-κ1N)-tetrakis[1-benzyl-1H-1,2,4-triazole-κ1N]cobalt(II), CoC40H36N18
- Crystal structure of 1-benzyl-6-hydroxy-1,4,5,6-tetrahydropyridine-3-carbonitrile, C13H14N2O
- Crystal structure of 2-amino-7-methyl-4-(3,4-difluoro-phenyl)-5-oxo-4H,5H-pyrano[4,3-b]pyran-3-carbonitrile, C16H10F2N2O3
- The crystal structure of 4-[(benzo[1,3]dioxol-5-ylmethylene)-amino]-1,5-dimethyl-2-phenyl-1,2-dihydro-pyrazol-3-one, C19H17N3O3
- Crystal structure of 1,4-dihydro-1-phenylchromeno[4,3-c]pyrazole, C16H12N2O
- Crystal structure of N-(5-((3,5-dimethylisoxazol-4-yl)sulfonyl)quinolin-8-yl)benzamide, C21H17N3O4S
- Crystal structure of 3-amino-9-methoxy-1-phenyl-1H-benzo[f]chromene-2-carbonitrile, C21H16N2O2
- Crystal structure of 1,2-bis(4-methoxyphenyl)-2-((3-(trifluoromethyl)phenyl)amino)ethan-1-one, C23H20F3NO3
- Crystal structure of 2-amino-4-(2,4-dinitrophenyl)-5-oxo-4H,5H-pyrano[3,2-c]chromene-3-carbonitrile – ethanol (1:1), C21H16N4O8
- Crystal structure of catena-poly-[(1-cyclopropyl-6-fluoro-4-oxo-7-(piperazin-1-ium-1-yl)-1,4-dihydroquinoline-3-carboxylate-κ2O,O′)-(μ2-4,4′-sulfonyldibenzoato-κ4O,O′:O′′,O′′′)zinc(II)] hemihydrate, C31H27ZnFN3O9.5S
- Crystal structure of 2-(2-bromophenyl)-5-methyl-1,3-dioxane-5-carboxylic acid, C12H13BrO4
- Crystal structure of 2-(2-bromophenyl)-5-ethyl-1,3-dioxane-5-carboxylic acid, C13H15BrO4
- Crystal structure of 4-(4-((3-bromophenyl)amino)-6-(tert-butyl)-3-(2-hydroxypropan-2-yl)cinnolin-8-yl)-2-methylbut-3-yn-2-ol, C26H30BrN3O2
- Crystal structure poly-(μ2-1-(4-(1H-imidazol-1-yl)benzyl)-1H-1,2,4-triazolyl-κ2NN1:N2N)-(μ3-2,2′-(1,2-phenylene)diacetato-κ5-O1,O2:O2:O3,O4)cadmium(II), C22H19CdN5O4
- Crystal structure of bis(1-ethyl-6-fluoro-4-oxido-7-(piperazin-1-ium-1-yl)-1,8-naphthyridin-1-ium-3-carboxylate-κ2O,O′)copper(II) benzene-1, 4-dicarboxylate dihydrate, C38H42F2CuN8O12
- Redetermination of the crystal structure of potassium lithium molybdate monohydrate, KLiMoO4·H2O
- Crystal structure of [tris(2-benzimidazolylmethyl)amine-κ3N](isonicotinate-κO) cobalt(II) [tris(2-benzimidazolylmethyl)amine-κ3N](isonicotinic acid-κO) cobalt(II) triperchlorate, C60H51N16O16Cl3Co2
- The crystal structure of tris(μ2-1,3-bis(4,4,4-trifluoro-3-oxido-1-(oxo)but-2-en-1-yl)phenyl-κ4O,O′:O′′,O′′′)-bis(1,2-dimethoxyethane-κ2O,O′)dicerium(III), C50H38F18O16Ce2
- Crystal structure of 8-isopropyl-8-aza-bicyclo[3.2.1]octan-3-ol, C10H19NO
- Crystal structure of 2,4-dibenzoyl-N,N-dimethylbenzenamine, C22H19NO2
- The crystal structure of 2-(4-methoxyphenyl)-6,8-diphenyl-4-(phenylamino)quinazoline — acetonitrile (1/1), C35H28N4O