Beyond dipolar Huygens’ metasurfaces for full-phase coverage and unity transmittance
-
Aso Rahimzadegan
, Dennis Arslan
, David Dams , Achim Groner , Xavi Garcia-Santiago , Rasoul Alaee , Ivan Fernandez-Corbaton , Thomas Pertsch, Isabelle Staude
and Carsten Rockstuhl
Abstract
Metasurfaces made from densely packed resonant wavelength-scale particles enable abrupt modulation of impinging electromagnetic radiation within an ultrathin surface. Combining duality symmetry of particles and rotational symmetry of their arrangement led to the development of Huygens’ metasurfaces with perfect transmission. However, so far, when identical particles are considered, only their dipolar multipolar contributions are engineered. There, the achievable phase coverage at a fixed wavelength when modifying the period is smaller than 2π, being a clear limitation for applications. To lift such limitation, we consider dipolar-quadrupolar Huygens’ metasurfaces. They consist of scatterers that require a dipolar and a quadrupolar term to capture their response. We show that such metasurfaces offer access to the desired 2π phase coverage while preserving the perfect efficiency when the conditions of duality and symmetry continue to be met. We also propose core-multishell and disk-multiring particles made from realistic materials to meet the requirements and that can be used to build such metasurfaces. Our results are important as a theoretical basis for large-scale fabrications in imaging and integrated optics.
1 Introduction
Huygens’ metasurfaces, i.e. metasurfaces made from an n-fold rotationally symmetric Cn>2 arrangement of resonant scatterers that are electromagnetically dual-symmetric [1], are characterised by a suppressed back-reflection [2]. Made out of nonabsorbing particles, these metasurfaces provide unity optical transmittance while allowing to tune the phase angle of the transmission [3], [4], [5], [6], [7], [8]. Huygens’ metasurfaces are appealing candidates to implement wavefront modulation devices such as holograms in ultrathin surfaces [9]. In Huygens’ metasurfaces, the excited electric and magnetic moments of the scatterers have to be equal. Thus far, emphasis had been put on dipolar metasurfaces, i.e. metasurfaces where the scattering response from its constituents can be explained while considering only the dipolar contribution [4], [10], [11], [12]. This corresponds to the idea of a Huygens’ source that lent the device its name.
For a fixed geometry and by sweeping through the resonance in frequency domain, the phase angle of transmission through Huygens’ metasurfaces can be tuned to cover the entire 2π range [4]. However, the metasurfaces are not operated at various but at a fixed frequency. Therefore, the phase angle of the transmission should be tuned by either locally tuning the geometry of the particles for a fixed arrangement or tailoring the arrangement of otherwise identical particles. At a fixed operational frequency, enforcing an equal electric and magnetic response requires a careful design of the geometry of the particle.
Our study is focused on metasurfaces with identical particles. For large-scale self-assembled metasurfaces, having identical particles is highly demanding. Due to fabrication constraints, the consideration of multiple particles satisfying the required conditions such as unity transmittance and a desired transmission phase angle is daunting. For example, designing Huygens’ metasurfaces with nanocylinders having equal electric and magnetic response under normal incidence requires a specific aspect ratio of radius over height but different absolute sizes for different transmission phase angles. This implies that different heights across the (meta)surface are required for a unity transmittance and full-phase coverage. Such a requirement is clearly not suited for lithography. Therefore, as an additional constraint, we shall require the metasurface to be made from identical particles. And the only tuning parameter that is left over in such configuration is the lattice constant that tunes the arrangement of the particles.
However, as we will demonstrate shortly, by sweeping through the lattice constant and while considering only dipolar particles, it is nearly impossible to cover the entire 2π range of transmission phase angles at a fixed operational wavelength. To entirely lift such limitation, we propose here to exploit quadrupolar resonances in the scatterers along with the dipolar resonances to access the entire phase-shift range of 2π.
It is worth noting here that high-transmittance nonresonant and non-Huygens’ metasurfaces that can provide the full-phase coverage are possible. In these metasurfaces, nonidentical particles can be used [10], [13], [14], [15], [16], [17]. In this contribution, our focus is on resonant polarisation-insensitive Huygens’ metasurfaces made out of identical rotational-symmetric particles.
To analyse in this contribution the transmission through dielectric metasurfaces in a generic and systematic approach, we initially consider particles with a scattering response modelled with a Lorentzian dispersion profile in their individual dipolar and quadrupolar multipolar terms. Then, to offer a structural implementation for such particles, we design core-multishell and disk-multiring particles from realistic materials to satisfy the required conditions for the construction of metasurfaces with full-phase-shift coverage. With these implementations at hand, and as an application, we study the effect of a full-phase-shift coverage on the image quality of a metasurface hologram. The discussion and results are covered in the Supplementary information.
The main purpose of this work is to demonstrate that additional degrees of freedom in the design of Huygens’ metasurfaces can be unlocked when considering particles with a more complicated scattering response as their constituents. The particles we propose are exemplary, and many more particles can be considered, driven from the analytical insights. Only recently, the opportunities in exploiting the entire multipolar response of individual particles have been appreciated to tailor their scattering response [18], [19], [20], [21], [22], [23], [24], [25]. And with this work, we extend such considerations to Huygens’ metasurfaces thereof.
2 Lorentzian particles
The polarisation of particles by an electromagnetic excitation can be quantified by the multipolar polarisability in a Cartesian basis [26], [27]. The particles considered in this article are initially isotropic, and hence, the polarisabilities are scalar. Later, we also present a design for a nonisotropic particle, but this does not change the argumentation. We approximate the response of the particles by their electric and magnetic dipolar and/or quadrupolar polarisabilities. For the initial numerical analysis, we have used a Lorentzian dispersion model for the resonances of the polarisabilities that are corrected for the radiation losses to satisfy the optical theorem [28], [29], [30], [31], [32]. In such model, we can easily assume that the electric and magnetic response is equal. The dispersion models used for the dipolar αd and quadrupolar αq polarisabilities are defined as follows:
where k=2π/λ is the wavenumber in free space, α0d and α0q are related to the oscillator strength, ω0d and ω0q are the resonance frequencies, and γΩd and γΩd are the Ohmic losses of the dipole and quadrupole resonances, respectively. Considering only nonabsorbing particles, the Ohmic losses throughout the article are always set to zero, i.e. γΩd=γΩq=0. The electromagnetic duality symmetry of these particles is easily enforced by choosing the free parameters in the electric and magnetic polarisabilities to be the same. Properties between dipolar and quadrupolar terms, e.g. resonance frequency or oscillator strength, can be distinct, though.
To describe the light scattering from particles with such polarisabilities and to study reflection and transmission through arrays thereof, we rely on a scattering theory that explicitly considers these polarisabilities when defining the T-matrix linked to the scatterer. In the multipole expansion method [26], [33], the T-matrix relates the multipolar scattering coefficients to the incident ones. The T-matrix describes the electromagnetic properties of particles [34], [35]. For an isotropic particle, the corresponding T-matrix in electric/magnetic basis is diagonal, and the elements are the Mie coefficients an and bn [32], [36]. Here, an and bn are multipolar electric and magnetic Mie coefficients, with n denoting the multipole order. A particle having equal electric and magnetic response is said to have electromagnetic duality symmetry, and the particle is called a dual particle [37], [38]. For the isotropic particles considered here, a particle is dual if and only if an=bn for n=1, 2, …. A dual particle preserves the helicity of the impinging light in scattering, i.e. it does not mix the right and left polarisation of the incident light.
The Mie coefficients can be related to the polarisabilities by the following equations [39]:
Alternatively, the nth order electric an and magnetic bn Mie coefficient for nonabsorbing particles can be modelled according to [31], [32]:
where we call
3 Dipolar and quadrupolar Huygens’ metasurfaces
Relying on a T-matrix method formalism for multipolar analysis [32], [34], we have employed a tool for periodically arranged scatterers to study the transmission through two-dimensional lattices of particles. It is an exact approach to calculate reflection and transmission from arrays of identical particles that are characterised by their T-matrix. The latter is being renormalised due to the interaction in the array that we correctly consider in the Ewald summation. We use for our purpose an in-house code, but a description of a program with a relatively similar approach can be found in [40].
To explore the transmission through a periodic arrangement of identical meta-atoms, we use the Lorentzian models in (1) and (2) for the polarisabilities. The corresponding Mie coefficients are shown in amplitude and phase in Figure 1A. While tuning through the resonance, the phase in each coefficient changes up to π. When we arrange such identical particles, characterised by a resonant dipolar or quadrupolar polarisability in either the electric or magnetic multipole moment, in a periodic array and sweeping the illumination wavelength through the resonance, an overall π phase-shift coverage in the spectrum of the transmission is seen (not shown here). Directly in resonance, the transmittance goes to zero. In the complex plane (i.e. real and imaginary transmission), this response corresponds to a circle with a radius of 0.5 and a centre of 0.5+0i, which touches the origin 0+0i at resonance.

Metasurface transmission in frequency sweep.
(A) The Mie coefficients corresponding to the electric and magnetic dipole and quadrupole resonances. The vertical dark blue dashed line in (A) and (C) shows the resonance wavelength λ0=1500 nm. (B) The zero-order complex transmission t and (C) its phase arg(t) and amplitude |t| through a square-array periodic subwavelength arrangement of dual dipole (td: red dashed line) and dual dipole-quadrupole (td+q: black dashed line) Lorentzian particles as function of wavelength. The periodicity is 800 nm. For td: a1=b1=ad, a2=b2=0 and for td+q: a1=b1=ad, a2=b2=aq. The coloured markers correspond to specific wavelengths as can be seen from (C). The parameters for the Lorentzian model are λ0d=λ0q=1500 nm, α0q=10α0d=8×1010 m3/s2. The simulations are done in free space.
However, things change drastically when the condition of duality is met. For a dipolar particle, i.e. a particle characterised by only dipolar polarisabilities, and if the electric and magnetic polarisabilities are equal (i.e. dual), an overall 2π phase-shift coverage in the transmission spectrum td is observed (Figure 1B, C), while, as discussed earlier, the transmittance stays unity. In the complex plane, this corresponds to a circle of radius 1 with a centre in origin 0+0i (Figure 1B, the red curve) [32]. This response corresponds to a full control over the phase shift.
One step further, and to include higher-order multipoles, if a periodic arrangement of dual dipolar-quadrupole particles is assumed, i.e. particles with a1=b1=ad, a2=b2=aq, the complex transmission td+q as a function of the wavelength will be a double winding circle around the origin 0+0i, covering an overall 4π phase shift through the four resonances (Figure 1B, C).
However, any device that is geared toward the modulation of the wavefront is operated at a fixed frequency. There, the phase angle of the transmission is tuned by sweeping the lattice constant of the arrangement. Tuning the lattice constant renormalises the polarisabilities, making the lattice constant a parameter to tune the phase shift of the transmission [39], [41]. For dual dipolar particles, fixed to operate at the resonance wavelength of the polarisabilities, it turns out that a full 2π phase coverage is not possible while tuning the lattice constant. This is shown in Figure 2 when plotting td. Eventually, only a range of about

Metasurface transmission in periodicity sweep.
(A) The zero-order complex transmission t and (B) its phase and amplitude through a square-array periodic subwavelength arrangement of dual dipole d and dual dipole-quadrupole d+q Lorentzian particles (Figure 1A) at their individual resonance wavelengths λ0=1500 nm as a function of the normalised lattice constant. The coloured markers correspond to a specific normalised lattice constant as can be seen from (B).
To mitigate such limitations, we suggest that exploiting quadrupolar resonances in the scatterers along with the dipolar resonances helps to cover the whole phase-shift range of 2π by tuning the periodicity. The larger phase space that could be covered when tuning through the wavelength was a strong indication that this is feasible. Indeed, for a selected example of a square array of particles, a phase coverage slightly larger than 2π can be seen in Figure 2, where td+q is shown. Again, the particles are operated at the resonance wavelength, which is equal for the dipolar and the quadrupolar terms, and we only tune the lattice constant.
To obtain a more systematic insight into the accessible phase coverage when combining particles with different dipolar and quadrupolar dual resonances and not only those where the operational wavelength is fixed to the resonance wavelength, we resort to the generic model for the Mie coefficients presented in (5) and (6). In particular, we can change there the electric and magnetic Mie angles,
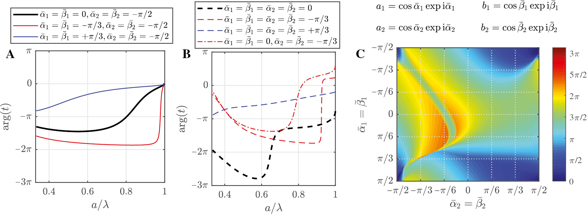
![Figure 3: Metasurface phase coverage and the Mie coefficients.(A) The phase shift achieved by different combinations of dual Mie coefficient angles for dipolar and (B) dipolar-quadrupolar particles as the metasurface constituents as a function of the normalised lattice constant a/λ∈[1/3, 1]. (C) The phase-shift coverage achieved by all combinations of dual Mie coefficient angles for dipolar-quadrupolar particles. The maximum phase coverage is a sharp strip around α1=β1=−α2=−β2=50°. The simulations are done in free space at a wavelength of 1500 nm, but the results are dependant only on a/λ and is valid for any wavelength.](/document/doi/10.1515/nanoph-2019-0239/asset/graphic/j_nanoph-2019-0239_fig_003.jpg)
Metasurface phase coverage and the Mie coefficients.
(A) The phase shift achieved by different combinations of dual Mie coefficient angles for dipolar and (B) dipolar-quadrupolar particles as the metasurface constituents as a function of the normalised lattice constant a/λ∈[1/3, 1]. (C) The phase-shift coverage achieved by all combinations of dual Mie coefficient angles for dipolar-quadrupolar particles. The maximum phase coverage is a sharp strip around α1=β1=−α2=−β2=50°. The simulations are done in free space at a wavelength of 1500 nm, but the results are dependant only on a/λ and is valid for any wavelength.
4 Multilayered metasurfaces
In this section, we design and propose actual particles that offer the required Mie coefficients necessary to verify the results derived for Lorentzian particles. We show that by sweeping the lattice constant within the physical constraints, i.e. the lattice constant has to be smaller than the wavelength to preserve the nondiffracting nature of the metasurface, a metasurface made out of identical dipolar particles cannot give us a full-phase-shift coverage in the transmission and unity transmittance. However, we show that using identical designed dipolar-quadrupolar particles, the aforementioned requirement can be satisfied.
First, we design a dipolar core-multishell particle, abbreviated in the following as c1, to meet dual dipole resonance at λ=1500 nm, i.e. a1=b1=1 and an>1≈bn>1 ≈0. For the design of the core-multishell particles, we have used a particle swarm optimisation method [31], [42], [43]. We consider a core-multishell particle with up to two shells. The core and the shells were allowed to be made from isotropic nonmagnetic materials with a refractive index in the range from 1 to 7. For the optimised particle, the Mie coefficients as a function of the wavelength are shown in Figure 4A. Clearly, at the desired operational wavelength of λ=1500 nm, the dipolar coefficients are at unity, while higher-order Mie coefficients are negligible. The transmission through the metasurface made from such particles at the resonance wavelength λ=1500 nm as a function of the normalised lattice constant is shown in Figure 4C and D (
![Figure 4: Transmission of core-multishell metasurfaces.(A) Mie coefficients of the dipolar c1 (inset picture) and (B) dipolar-quadrupolar c2 (inset picture) core-multishell particles. The vertical black dashed line is the design operating wavelength λopt.=1500 nm. (C) Phase and amplitude and (D) the complex zero-order transmission of a square array of c1 and c2 particles. For core-multishell particles (c1), the design parameters are [r1, r2, n1, n2]=[181.35 nm, 346.65 nm, 7, 2.5], and the derived Mie coefficient angles at λopt.=1500 nm are α¯1=β¯1=0, α¯n>1≈β¯n>1=−π / 2.${\bar \alpha _1} = {\bar \beta _1} = 0,{\rm{ }}{\bar \alpha _{n > 1}} \approx {\bar \beta _{n > 1}} = - \pi {\kern 1pt} /{\kern 1pt} 2.$ For core-multishell particles (c2), the design parameters are: [r1, r2, r3, n1, n2, n3]=[213.30 nm, 447.75 nm, 458.55 nm, 5.96, 1.57, 4.96], and the derived Mie coefficient angles at λ=1500 nm are α¯1=β¯1=0, α¯2=β¯2=−π / 3, α¯n>2≈β¯n>2=−π / 2.${\bar \alpha _1} = {\bar \beta _1} = 0,{\rm{ }}{\bar \alpha _2} = {\bar \beta _2} = - \pi {\kern 1pt} /{\kern 1pt} 3,{\rm{ }}{\bar \alpha _{n > 2}} \approx {\bar \beta _{n > 2}} = - \pi {\kern 1pt} /{\kern 1pt} 2.$ The simulations are done in free space but can be scaled for any embedding and wavelength.](/document/doi/10.1515/nanoph-2019-0239/asset/graphic/j_nanoph-2019-0239_fig_004.jpg)
Transmission of core-multishell metasurfaces.
(A) Mie coefficients of the dipolar c1 (inset picture) and (B) dipolar-quadrupolar c2 (inset picture) core-multishell particles. The vertical black dashed line is the design operating wavelength λopt.=1500 nm. (C) Phase and amplitude and (D) the complex zero-order transmission of a square array of c1 and c2 particles. For core-multishell particles (c1), the design parameters are [r1, r2, n1, n2]=[181.35 nm, 346.65 nm, 7, 2.5], and the derived Mie coefficient angles at λopt.=1500 nm are
Next, we want to design a core-multishell particle that can provide the full-phase coverage of the transmission phase angle in the metasurface with lattice constant tuning. As we showed in the previous section, a suitable particle would require both dipolar and quadrupolar responses. An extra requirement, here for a hologram as a direct application, is that the phase-shift change as a function of the lattice constant is smooth and not steep. This is experimentally important to be able to use the full potential of the lattice sweep.
Based on our simulations, to achieve full-phase-shift coverage and a smooth phase-shift variation, a particle with the designed Mie coefficient angle of
Then, based on the required parameters, using the particle swarm optimisation, we have designed a core-multishell particle to fulfil
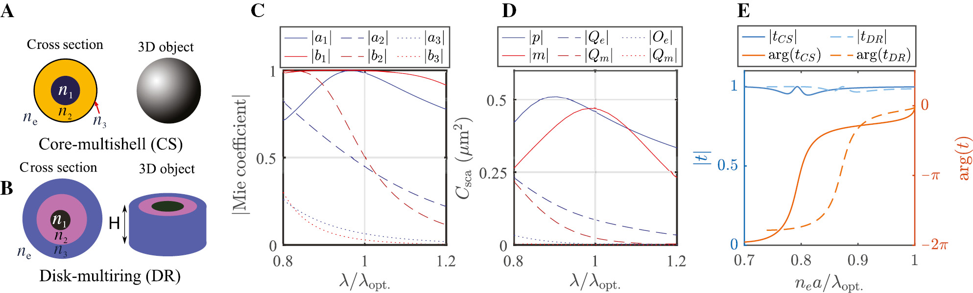
Although nonabsorbing natural materials with a refractive index of up to 7 can be found at frequencies up to the mid-infrared spectrum [44], at NIR, we are limited to a maximum refractive index of 4 offered by natural materials. In this refined analysis, we would like to propose structures that can be used to realise Huygens’ dipole-quadrupole metasurfaces at NIR frequencies. Therefore, we have limited the refractive index to a range of 1 to 4 in the optimisation procedure in the following. We continue to assume a design wavelength of 1500 nm, and we have used again the particle swarm optimisation. We designed two different structures. First was a core-multishell particle considering these more realistic material properties. Second, we designed a disk-multiring particle that can indeed be realised with top-down nanostructure technology. In both cases, we considered a homogeneous dielectric environment as the embedding medium (Figure 5A, B). The electromagnetic properties of the individual optimised structures are shown in Figure 5C and D. The calculations of the optical response from the disk-multiring structure are done with JCMwave, a finite element solver for Maxwell’s equations. Although the particles are not perfectly dual, they have a strong quadrupole component. The results for the transmission through an arrangement of such particles are shown in Figure 5E. The results show promising results. The core-multishell and disk-multiring metasurface covers 97% and 90% of the total phase coverage, while their transmittance keeps near unity.
![Figure 5: Transmission of designed dual-quadrupole metasurfaces.(A) Designed core-multishell (CS) and (B) disk-multiring (DR) particles at a design wavelength of λopt.=1500 nm${\lambda _{{\rm{opt}}{\rm{.}}}} = 1500 {\rm{ nm}}$: The parameters derived from particle swarm optimisation for the core-multishell particle: [n1, n2, n3]=[3.67, 2.16, 4] and [r1, r2, r3]=[135, 354, 365] nm, where ne=1.44 is the refractive index of the embedding medium. The parameters derived from particle swarm optimisation for the disk-multiring particle: [n1, n2, n3]=[1.9, 3.34, 2.2] and [r1, r2, r3, H]=[157.9, 284.8, 375, 361.2] nm, where ne=1.44 is the refractive index of the embedding medium. (C) The corresponding Mie coefficients and (D) multipolar scattering cross-section contribution of the core-multishell and the disk-multiring particle, respectively. (E) The zero-order phase angle and amplitude of transmission through a square array arrangement of the core-multishell (tCS) and disk-multiring (tDR) particle embedded in a homogeneous environment ne=1.44 as a function of the normalised lattice constant.](/document/doi/10.1515/nanoph-2019-0239/asset/graphic/j_nanoph-2019-0239_fig_005.jpg)
Transmission of designed dual-quadrupole metasurfaces.
(A) Designed core-multishell (CS) and (B) disk-multiring (DR) particles at a design wavelength of
5 Conclusion
We have shown that with identical dipolar particles achieving the full-phase shift with lattice constant tuning is practically not possible in Huygens’ metasurfaces. However, using optimised dipolar-quadrupolar particles, metasurfaces can be designed to cover the full 2π phase shift. We have designed core-multishell and disk-multiring particles to support our results. Holograms made from such dipolar-quadrupolar particles show an improved performance, as documented in the Supplementary information.
Acknowledgement
This research has been funded by the Deutsche Forschungsgemeinschaft (DFG, German Research Foundation) under Germany’s Excellence Strategy via the Excellence Cluster 3D Matter Made to Order (EXC-2082/1–390761711) and under the priority program SPP 1839 Tailored Disorder (RO 3640/7-2 and STA 1426/1-2 under project no. 278747906). A.R. also acknowledges support from the Karlsruhe School of Optics and Photonics (KSOP). R.A. acknowledges financial support provided by the Alexander von Humboldt Foundation. The authors are grateful to the company JCMwave for their free provision of the FEM Maxwell solver JCMsuite with which the simulations on the disk-multiring structures in this work have been performed. They acknowledge support by the DFG and Open Access Publishing Fund of Karlsruhe Institute of Technology.
References
[1] Fernandez-Corbaton I. Forward and backward helicity scattering coefficients for systems with discrete rotational symmetry. Opt Express 2013;21:29885.10.1364/OE.21.029885Search in Google Scholar PubMed
[2] Pfeiffer C, Grbic A. Metamaterial Huygens’ surfaces: tailoring wave fronts with reflectionless sheets. Phys Rev Lett 2013;110:197401.10.1103/PhysRevLett.110.197401Search in Google Scholar PubMed
[3] Staude I, Schilling J. Metamaterial-inspired silicon nanophotonics. Nat Photonics 2017;11:274–84.10.1038/nphoton.2017.39Search in Google Scholar
[4] Decker M, Staude I, Falkner M, et al. High-efficiency dielectric Huygens’ surfaces. Adv Opt Mater 2015;3:813–20.10.1002/adom.201400584Search in Google Scholar
[5] Kuznetsov AI, Miroshnichenko AE, Brongersma ML, Kivshar YS, Luk’yanchuk B. Optically resonant dielectric nanostructures. Science 2016;354:aag2472.10.1126/science.aag2472Search in Google Scholar PubMed
[6] Kamali SM, Arbabia E, Arbabi A, Faraon A. A review of dielectric optical metasurfaces for wavefront control. Nanophotonics 2018;7:1041–68.10.1515/nanoph-2017-0129Search in Google Scholar
[7] Chen M, Kim M, Wong AMH, Eleftheriades GV. Huygens’ metasurfaces from microwaves to optics: a review. Nanophotonics 2018;7:1207–31.10.1515/nanoph-2017-0117Search in Google Scholar
[8] Liu S, Vaskin A, Campione S, et al. Huygens’ metasurfaces enabled by magnetic dipole resonance tuning in split dielectric nanoresonators. Nano Lett 2017;17:4297–303.10.1021/acs.nanolett.7b01301Search in Google Scholar PubMed
[9] Chong KE, Staude I, James A, et al. Polarization-independent silicon metadevices for efficient optical wavefront control. Nano Lett 2015;15:5369–74.10.1021/acs.nanolett.5b01752Search in Google Scholar PubMed
[10] Yu YF, Zhu AY, Paniagua-Domínguez R, Fu YH, Luk’yanchuk B, Kuznetsov AI. High-transmission dielectric metasurface with 2π phase control at visible wavelengths. Laser Photonics Rev 2015;9:412–8.10.1002/lpor.201500041Search in Google Scholar
[11] Staude I, Miroshnichenko AE, Decker M, et al. Tailoring directional scattering through magnetic and electric resonances in subwavelength silicon nanodisks. ACS Nano 2013;7:7824–32.10.1021/nn402736fSearch in Google Scholar PubMed
[12] Chen X, Huygens’ YP. Metasurface made of core-shell spherical nanoparticles. metamaterials, metadevices, and metasystems. Int Soc Opt Photonics 2018;10719:1071907.10.1117/12.2320197Search in Google Scholar
[13] Khorasaninejad K, Chen WT, Devlin RC, Oh J, Zhu AY, Capasso F. Metalenses at visible wavelengths: diffraction-limited focusing and subwavelength resolution imaging. Science 2016;352:1190–4.10.1126/science.aaf6644Search in Google Scholar PubMed
[14] Jin C, Afsharnia M, Berlich R, et al. Dielectric metasurfaces for distance measurements and three-dimensional imaging. Adv Photonics 2019;1:036001.10.1117/1.AP.1.3.036001Search in Google Scholar
[15] Wang L, Kruk S, Tang H, et al. Grayscale transparent metasurface holograms. Optica 2016;3:1504–5.10.1364/OPTICA.3.001504Search in Google Scholar
[16] Shalaev MI, Sun J, Tsukernik A, Pandey A, Nikolskiy K, Litchinitser NM. High-efficiency all-dielectric metasurfaces for ultracompact beam manipulation in transmission mode. Nano Lett 2015;15:6261–6.10.1021/acs.nanolett.5b02926Search in Google Scholar PubMed
[17] Ollanik AJ, Smith JA, Belue MJ, Escarra MD. High-efficiency all-dielectric Huygens metasurfaces from the ultraviolet to the infrared. ACS Photonics 2018;5:1351–8.10.1021/acsphotonics.7b01368Search in Google Scholar
[18] Liu W, Kivshar YS. Generalized Kerker effects in nanophotonics and meta-optics [invited]. Opt Express 2018;26:13085–105.10.1364/OE.26.013085Search in Google Scholar PubMed
[19] Kruk S, Hopkins B, Kravchenko II, Miroshnichenko A, Neshev DN, Kivshar YS. Invited article: broadband highly efficient dielectric metadevices for polarization control. Apl Photonics 2016;1:030801.10.1063/1.4949007Search in Google Scholar
[20] Shamkhi HK, Baryshnikova KV, Sayanskiy A, et al. Transverse scattering and generalized Kerker effects in all-dielectric Mie-resonant metaoptics. Phys Rev Lett 2019;122:193905.10.1103/PhysRevLett.122.193905Search in Google Scholar PubMed
[21] Terekhov PD, Babicheva VE, Baryshnikova KV, et al. Multipole analysis of dielectric metasurfaces composed of nonspherical nanoparticles and lattice invisibility effect. Phys Rev B 2019;99:045424.10.1103/PhysRevB.99.045424Search in Google Scholar
[22] Babicheva VE, Evlyukhin AB. Analytical model of resonant electromagnetic dipole-quadrupole coupling in nanoparticle arrays. Phys Rev B 2019;99:195444.10.1103/PhysRevB.99.195444Search in Google Scholar
[23] Alaee R, Rockstuhl C, Fernandez-Corbaton I. Exact multipolar decompositions with applications in nanophotonics. Adv Opt Mater 2019;7:1800783.10.1002/adom.201800783Search in Google Scholar
[24] Chen J, Ng J, Lin Z, et al. Optical pulling force. Nat Photonics 2011;5:531–34.10.1038/nphoton.2011.153Search in Google Scholar
[25] Mobini E, Rahimzadegan A, Rockstuhl C, et al. Theory of optical forces on small particles by multiple plane waves. J Appl Phys 2018;124:173102.10.1063/1.5046154Search in Google Scholar
[26] Bohren CF, Huffman DR. Absorption and scattering of light by small particles. New York, NY, USA, John Wiley & Sons, 2008.Search in Google Scholar
[27] Tretyakov S. Analytical modeling in applied electromagnetics. Norwood, MA, USA, Artech House, 2003.Search in Google Scholar
[28] Sipe JE, Kranendonk JV. Macroscopic electromagnetic theory of resonant dielectrics. Phys Rev A 1974;9:1806–22.10.1103/PhysRevA.9.1806Search in Google Scholar
[29] Novotny L, Hecht B. Principles of nano-optics. Cambridge, England, UK, Cambridge University Press, 2012.10.1017/CBO9780511794193Search in Google Scholar
[30] Bonin KD, Kresin VV. Electric-dipole polarizabilities of atoms, molecules, and clusters. Singapore, World Scientific, 1997.10.1142/2962Search in Google Scholar
[31] Rahimzadegan A, Alaee R, Fernandez-Corbaton I, et al. Fundamental limits of optical force and torque. Phys Rev B 2017;95:035106.10.1103/PhysRevB.95.035106Search in Google Scholar
[32] Rahimzadegan A, Arslan D, Suryadharma RNS, et al. Disorder-induced phase transitions in the transmission of dielectric metasurfaces. Phys Rev Lett 2019;122:015702.10.1103/PhysRevLett.122.015702Search in Google Scholar
[33] Jackson JD. Classical electrodynamics. New York, NY, USA, Wiley, 1999.Search in Google Scholar
[34] Mishchenko MI, Travis LD, Mackowski DW. T-matrix computations of light scattering by nonspherical particles: a review. J Quant Spectrosc Radiat Transf 1996;55:535–75.10.1016/0022-4073(96)00002-7Search in Google Scholar
[35] Rahimzadegan A, Fruhnert M, Alaee R, et al. Optical force and torque on dipolar dual chiral particles. Phys Rev B 2016;94:125123.10.1103/PhysRevB.94.125123Search in Google Scholar
[36] Fruhnert M, Fernandez-Corbaton I, Yannopapas V, et al. Computing the T-matrix of a scattering object with multiple plane wave illuminations. Beilstein J Nanotechnol 2017;8:614–26.10.3762/bjnano.8.66Search in Google Scholar
[37] Fernandez-Corbaton I, Zambrana-Puyalto X, Tischler N, et al. Electromagnetic duality symmetry and helicity conservation for the macroscopic maxwell’s equations. Phys Rev Lett 2013;111:060401.10.1103/PhysRevLett.111.060401Search in Google Scholar
[38] Fernandez-Corbaton I. Helicity and duality symmetry in light matter interactions: theory and applications (PhD thesis). Sydney, Australia, Macquarie University, 2014. eprint: arXiv:1407.4432.10.1364/LS.2015.LM1H.2Search in Google Scholar
[39] Evlyukhin AB, Reinhardt C, Zywietz U, et al. Collective resonances in metal nanoparticle arrays with dipole-quadrupole interactions. Phys Rev B 2012;85:245411.10.1103/PhysRevB.85.245411Search in Google Scholar
[40] Stefanou N, Yannopapas V, Modinos A. MULTEM 2: a new version of the program for transmission and band-structure calculations of photonic crystals. Comput Phys Commun 2000;132:189–6.10.1016/S0010-4655(00)00131-4Search in Google Scholar
[41] Babicheva VE, Evlyukhin AB. Metasurfaces with electric quadrupole and magnetic dipole resonant coupling. ACS Photonics 2018;5:2022–33.10.1021/acsphotonics.7b01520Search in Google Scholar
[42] Lee KY, El-Sharkawi MA. Modern heuristic optimization techniques: theory and applications to power systems. Vol. 39. New York, NY, USA, John Wiley & Sons, 2008.10.1002/9780470225868Search in Google Scholar
[43] Rahimzadegan A, Rockstuhl C, Fernandez-Corbaton I. Core-shell particles as building blocks for systems with high duality symmetry. Phys Rev Appl 2018;9:054051.10.1103/PhysRevApplied.9.054051Search in Google Scholar
[44] Baranov DG, Zuev DA, Lepeshov SI, et al. All-dielectric nanophotonics: the quest for better materials and fabrication techniques. Optica 2017;4:814–25.10.1364/OPTICA.4.000814Search in Google Scholar
Supplementary Material
The online version of this article offers supplementary material (https://doi.org/10.1515/nanoph-2019-0239).
©2019 Aso Rahimzadegan et al., published by De Gruyter, Berlin/Boston
This work is licensed under the Creative Commons Attribution 4.0 Public License.
Articles in the same Issue
- Reviews
- Optical binding of nanoparticles
- Recent advances in nano-photonic techniques for pharmaceutical drug monitoring with emphasis on Raman spectroscopy
- Optically responsive delivery platforms: from the design considerations to biomedical applications
- Research Articles
- Beyond dipolar Huygens’ metasurfaces for full-phase coverage and unity transmittance
- Bound states in the continuum and strong phase resonances in integrated Gires-Tournois interferometer
- Improving the efficiency of silicon solar cells using in situ fabricated perovskite quantum dots as luminescence downshifting materials
- Structural and optical impacts of AlGaN undershells on coaxial GaInN/GaN multiple-quantum-shells nanowires
- Surface-plasmon-polariton-driven narrow-linewidth magneto-optics in Ni nanodisk arrays
- Broadband multi-wavelength optical sensing based on photothermal effect of 2D MXene films
- Tailoring the spatial localization of bound state in the continuum in plasmonic-dielectric hybrid system
- High-speed multiplane structured illumination microscopy of living cells using an image-splitting prism
- Si metasurface half-wave plates demonstrated on a 12-inch CMOS platform
- Implementation of on-chip multi-channel focusing wavelength demultiplexer with regularized digital metamaterials
- Imprinted plasmonic measuring nanocylinders for nanoscale volumes of materials
- Hydrophobin HGFI–based fibre-optic biosensor for detection of antigen–antibody interaction
- Enhanced terahertz emission from imprinted halide perovskite nanostructures
- Realization of complex conjugate media using non-PT-symmetric photonic crystals
- Selective tuning of optical modes in a silicon comb-like photonic crystal cavity
- Phase-coupled simultaneous coherent perfect absorption and controllable hot-electron photodetection in Schottky junction metamaterial
- Landau quantisation of photonic spin Hall effect in monolayer black phosphorus
- Near-field spectrum retrieving through non-degenerate coupling emission
Articles in the same Issue
- Reviews
- Optical binding of nanoparticles
- Recent advances in nano-photonic techniques for pharmaceutical drug monitoring with emphasis on Raman spectroscopy
- Optically responsive delivery platforms: from the design considerations to biomedical applications
- Research Articles
- Beyond dipolar Huygens’ metasurfaces for full-phase coverage and unity transmittance
- Bound states in the continuum and strong phase resonances in integrated Gires-Tournois interferometer
- Improving the efficiency of silicon solar cells using in situ fabricated perovskite quantum dots as luminescence downshifting materials
- Structural and optical impacts of AlGaN undershells on coaxial GaInN/GaN multiple-quantum-shells nanowires
- Surface-plasmon-polariton-driven narrow-linewidth magneto-optics in Ni nanodisk arrays
- Broadband multi-wavelength optical sensing based on photothermal effect of 2D MXene films
- Tailoring the spatial localization of bound state in the continuum in plasmonic-dielectric hybrid system
- High-speed multiplane structured illumination microscopy of living cells using an image-splitting prism
- Si metasurface half-wave plates demonstrated on a 12-inch CMOS platform
- Implementation of on-chip multi-channel focusing wavelength demultiplexer with regularized digital metamaterials
- Imprinted plasmonic measuring nanocylinders for nanoscale volumes of materials
- Hydrophobin HGFI–based fibre-optic biosensor for detection of antigen–antibody interaction
- Enhanced terahertz emission from imprinted halide perovskite nanostructures
- Realization of complex conjugate media using non-PT-symmetric photonic crystals
- Selective tuning of optical modes in a silicon comb-like photonic crystal cavity
- Phase-coupled simultaneous coherent perfect absorption and controllable hot-electron photodetection in Schottky junction metamaterial
- Landau quantisation of photonic spin Hall effect in monolayer black phosphorus
- Near-field spectrum retrieving through non-degenerate coupling emission