Abstract
The extent to which the grammar of one dialect influences the grammar of another and the mechanisms that bidialectal speakers employ to distinguish a target grammar from non-target grammar have not been adequately investigated. In this study, we elucidate these issues by investigating the grammatical gender of Oromo, a Cushitic language that is spoken in Ethiopia. The results from two successive offline experiments indicate that Oromo bidialectal speakers can differentiate between the grammar of their native dialect and that of a non-native dialect in both spoken and written modes. This finding implies the existence of a dual-system representation of grammar. Moreover, there is a significant amount of dialect mixing that varies across various developmental stages and modalities. The bidialectal speakers’ ability to differentiate between the grammar of their native dialect and that of a non-native dialect is constrained by the magnitude of their exposure to the non-native dialect, modalities, and a specific property of grammatical forms. Here, we propose an interactive dialect separation model that accounts for diverse dialect contexts.
1 Introduction
Bidialectalism, also called bilectalism, refers to a case where individuals are exposed to distinct varieties of a language that are usually mutually intelligible (Kubota et al. 2023). Bidialectals, or individuals who speak mutually intelligible varieties, employ the acquired varieties for various social purposes (Chambers and Trudgill 1998; Melinger 2018). Hence, during everyday conversations, speakers engage in selecting linguistic forms that are suitable to a specific social context and in inhibiting those that are unwanted. There is no consensus among scholars as to the mechanisms that underpin this process. In this context, the central topic of debate has revolved around whether bidialectal speakers have two grammatical representations that allow them to switch between dialects. The advocates of universal bilingualism (e.g., Amaral and Roeper 2014; Eide and Åfarli 2020; Roeper 1999, 2016) and other recent psycholinguistic studies (e.g., Kubota et al. 2023; Kupisch and Klaschik 2017; Lundquist et al. 2020; Lundquist and Vangsnes 2018) propose a two-system grammatical representation of bidialectal speakers. These researchers argue that each bidialectal speaker has a separate grammar for each register to which they are exposed. However, the treatment of bidialectalism as a subcategory of bilingualism has not been unequivocally recognized. Some studies posit that bidialectal speakers possess a co-dependent underlying grammatical representation similar to that of monolinguals (see Blanco-Elorrieta and Caramazza 2021; Cheshire and Stein 1997; Hazen 2001; Henry 2005; Hudson 1996; Labov 1998; Leivada et al. 2017; Wei 2000).
Previous empirical studies that investigated dialect separation and cross-dialectal influence (e.g., Kupisch and Klaschik 2017; Leivada et al. 2017; Lundquist et al. 2020; Lundquist and Vangsnes 2018) assumed that if bidialectal speakers adjust their processing based on a dialect context, they have a two-system representation. If they fail to adjust their processing, they are considered to have a one-system representation. The underlying rationale is that bidialectal speakers recognize that certain word orders, morphological classes, and phonemic contrasts are restricted to only one of the two dialect contexts. In other words, bidialectal speakers use the grammar of each dialect in their respective context as each dialect context demands different linguistic forms and structures. Motivated by this line of reasoning, we investigated the extent to which bidialectal speakers distinguish the grammar of their native dialect from that of a non-native dialect. Specifically, we explored speakers of Oromo, an understudied Lowland East Cushitic language that is spoken in Ethiopia. Thus far, little is known about how bidialectal speakers keep the grammars of their acquired dialects separate.
Dialect separation is an ability to keep two competing systems apart (see Kupisch and Klaschik 2017; Lundquist et al. 2020; Lundquist and Vangsnes 2018). It differs from cross-dialectal influence, which essentially involves either a partial or a complete substitution of one dialect system with another (Kupisch and Klaschik 2017; Leung 2006). Dialect separation and cross-dialectal influence denote contrasting cognitive phenomena. Supposedly, separating two grammatical representations requires full control over the influence between the two representations. However, full control is usually unattainable because the grammars of both dialects actively compete for selection (see Blumenfeld and Marian 2013; Goldrick et al. 2016; Kroll et al. 2014; Kupisch and Klaschik 2017; Lanwermeyer et al. 2016; Lundquist et al. 2020). The scale of the influence of one system of grammar on another and the ability to manage this influence can vary as a function of the intensity of the individuals’ exposure to the dialects and several other factors (Chambers 1992; Kupisch and Klaschik 2017; Nycz 2015; Rodina and Westergaard 2015; Siegel 2010). In essence, there is also a distinction between “dialect mixing” and “cross-dialectal influence”. Cross-dialectal influence presupposes distinct representations of grammars for bidialectal speakers, whereas dialect mixing does not necessarily make such an assumption (Kupisch 2008; Kupisch and Klaschik 2017).
In the present study, we investigate cross-dialectal influence and speakers’ ability to distinguish the grammar of their native dialect from that of a non-native dialect, focusing on two Oromo dialects: Eastern and Western (see Clamons 1992, 1993; Feleke and Lohndal 2023; Hundie 2002; Kebede 2009; Negesse 2015 for Oromo dialect classifications). The two dialects differ in how they mark gender. The Eastern dialect has a phonology-based gender assignment pattern and an overtly marked gender agreement. Conversely, the Western Oromo dialect has no gender since its feminine gender has disappeared or become neutralized (Clamons 1992, 1993; Feleke and Lohndal 2023). In the past, there was no direct contact between the Eastern and Western Oromo dialects owing to their non-adjacent geographical locations – the Eastern dialect being spoken in the eastern part of the country and the Western dialect in the western part. However, recently, the Eastern dialect has experienced an increasing influence from the Western Oromo dialect since the Western dialect has become a medium of instruction in elementary schools (since 1994). The influence was essentially introduced via schools, but media might have also played an important role. In this regard, for instance, it is common to encounter a TV anchor who reads news in the Western Oromo dialect. The recent expansion of social media and the entertainment industries may also have its own contributions. Because of these and other factors, there has been a shift in the previously held status quo of the Eastern dialect. Currently, most literate native speakers of the Eastern Oromo dialect are bidialectal: proficient in both the native Eastern and Western Oromo dialects.
Evidently, the Eastern dialect speakers’ exposure to the Western Oromo dialect can affect how the Eastern Oromo dialect is perceived and processed by the native speakers. Therefore, the present study aims to investigate the extent to which this exposure has influenced the comprehension and production of the grammars of both Oromo dialects. Specifically, the study aims to address the following objectives: (a) to examine the extent to which bidialectal Oromo speakers distinguish the grammars of their native dialect, (b) to determine the magnitude of the influence of the gender system of the Western Oromo dialect on accessing and comprehending the gender system of the Eastern Oromo dialect, (c) to examine the patterns of the cross-dialectal influence across various developmental stages, and (d) to elucidate the role of modalities (speaking and writing) and the properties of grammatical forms in accessing the Oromo grammatical gender.
To this end, we investigate the gender agreement of the Eastern and Western Oromo dialects in two successive experiments. In the first experiment, we investigate the extent to which bidialectal speakers of the two Oromo dialects distinguish the grammar of their native dialect from that of the non-native Western dialect in the spoken mode. We utilize a picture-description production task for the data collection. The task is administered both for the Eastern and Western Oromo dialects in their respective context. The types of gender agreement targeted include noun–interrogative pronoun and noun–adjective gender agreement. The target participants are tenth graders with a minimum of nine years of exposure to the Western Oromo dialect. In the second experiment, we investigate whether the bidialectal speakers recognize the grammar of their native dialect in the written mode. For the data collection, we administer the forced choice test (Jäkel and Wichmann 2006; Pavlov et al. 2021; Stadthagen-González et al. 2018). The bidialectal Oromo speakers are presented with pairs of sentences, one in the Eastern and the other in the Western dialect, and are instructed to choose the correct grammar of the native Eastern dialect. Specifically, we investigate five gender agreement domains: noun–possessive pronoun, noun–demonstrative pronoun, noun–interrogative pronoun, noun–adjective, and noun–verb gender agreement. To examine the pattern of the cross-dialectal influence across the developmental stages, we investigate a wide range of participants, from children to adults.
The Ethiopian language context is an ideal testing ground to address the outlined objectives. The Ethiopian language region is known as one of the most linguistically diverse areas in the world. More than eighty languages are spoken in Ethiopia (Bisang 2006; Ferguson 1970), with dialects and sub-dialects of each language. Oromo is one of the languages that are widely spoken in the area. It is the working language of the Oromia Regional State, one of the states in Ethiopia, and serves as a medium of instruction in most elementary schools in the region. Oromo has several dialects, none of which are officially recognized as a “standard dialect” (Blazek 2010; Clamons 1992, 1993; Feleke and Lohndal 2023; Hundie 2002; Kebede 2009; Negesse 2015). However, for historical reasons, the Western Oromo dialect is taught in schools and serves as a medium of instruction in elementary schools. Consequently, most non-Western Oromo dialect-speaking children obtain exposure to the Western dialect from early elementary school. In the present study, we investigate native Eastern dialect speakers who learned the Western dialect in a formal school context. The target Eastern dialect is spoken in the West Hararge Zone, encompassing areas around the Ciroo and Hirna towns. These areas are located approximately 360 km eastward from Addis Ababa, the capital.
By investigating cross-dialectal influence between the two Oromo dialects, we strive to obtain insights into the dynamics that underpin the representation of grammars in bidialectal speakers. Specifically, we endeavor to determine how bidialectal speakers distinguish grammatical forms of their native dialect from those of a non-native dialect in production and comprehension and what factors constrain or foster the choices. A systematic investigation of the mechanisms that underpin bidialectal speakers’ choice of grammar is essential in numerous ways. First, it elucidates the long-standing discord regarding the representation of bidialectal grammars. As previously noted, whether bidialectal speakers have separate grammars or just one has been a subject of debate (Amaral and Roeper 2014; Cheshire and Stein 1997; Eide and Åfarli 2020; Henry 2005; Leivada et al. 2017; Roeper 1999, 2016). Second, such an investigation reveals the mechanisms that underpin dialect comprehension and cross-dialectal influences. It also illuminates the patterns of cross-dialectal influence and the factors associated with the patterns.
This study is organized into six sections, the first of which is the above introduction. Section 2 presents the background of the study; Section 3 describes research questions and predictions; Section 4 describes the methods used and the results; Section 5 discusses the results and presents our proposed interactive dialect selection model (IDSM) for dialect selection and cross-dialectal influence; and Section 6 culminates the study with the conclusions.
2 Background
2.1 Dialect separation and cross-dialectal influence
Following the narrow definition of grammar provided by universal bilingualism (see Amaral and Roeper 2014; Roeper 1999, 2016), we assume that if two properties that are not stateable within a single grammar exist in a language, there are two separate grammars. This also means that every bidialectal speaker has a separate grammar for each dialect they speak. Substantial empirical evidence on the separate grammar of bidialectal speakers comes from production, eye tracking, and event-related potential (ERP) studies. For instance, in a recent intraspeaker code-switching study conducted by Lundquist et al. (2020), bidialectal speakers of Bokmål and Tromsø dialects effectively distinguished morpho-syntactic forms of the two dialects in both spoken and written modes. The aforementioned researchers found a high degree of interference in the spoken mode than in the written mode. Similarly, Kupisch and Klaschik (2017) conducted production experiments on the acquisition of Venetan-Italian dialects; in their study, bidialectal children produced more Venetan grammatical gender forms in the Venetan experiment[1] and more Italian grammatical gender forms in the Italian experiment, implying that the bidialectal speakers have a separate grammar for each dialect.
Moreover, Lundquist and Vangsnes (2018) conducted a visual world paradigm experiment on bidialectal speakers of Sogn and Oslo dialects. The experiment affirmed that bidialectal speakers can have either independent or co-dependent representations of grammar, a determination primarily influenced by the speakers’ prior experiences with different dialects. These researchers identified four types of bidialectal speakers based on their processing profiles: (1) true bidialectal speakers – those who adjust their processing mechanisms based on inputs, (2) true monolinguals – those who use only their native dialect during online comprehension, (3) monolingual generalizers – those who impose the system of their native dialect on other dialects, and (4) accommodated monolinguals – those who impose the systems of other dialects on their native dialect. Recently, Garcia et al. (2022) also investigated bidialectal speakers of General American and African-American Vernacular English using ERPs and behavioral tasks. The ERP and behavioral responses showed that bidialectal speakers have a dual-language representation. Similarly, Kubota et al. (2023) examined number and gender agreement processing by native Northern Norwegian dialect speakers and by the speakers of other Norwegian dialects who had exposure to the Northern dialect. Their ERP results showed that bilectalism entails the representation of distinct mental grammars for each dialect.
Studies show that grammars of bidialectal speakers often compete with and influence each other (see Declerck et al. 2021; Kirk et al. 2022; Kupisch and Klaschik 2017; Lundquist et al. 2020). In principle, cross-dialectal influence is the result of competition between two representations, either lexical or grammatical. For instance, separating the grammar of one dialect from the grammar of another during sentence processing requires regulating these competitions. There is no obligatorily reciprocal relationship between cross-dialectal influence and dialect separation. In other words, the existence of a separate system of grammars does not necessarily entail the absence of cross-dialectal influence and vice versa. Bidialectal speakers always need to suppress a less active grammar to allow the use of the more active one. The activation level of each grammar is determined by the number of inputs that a context offers and other variables (Hopkins et al. 1995; Liu et al. 2017; Lundquist et al. 2020; Marian and Spivey 2003). Therefore, both dialect separation and cross-dialectal influence are affected by the competition between the two active systems, whereas separating one dialect from another requires the ability to suppress one of the competing systems, and a lack of such an ability leads to cross-dialectal influence.
As noted in Section 1, the existence of independent representation of bidialectal grammars remains arguable. Many studies indicate that bidialectal speakers often fail to recognize the distinction between the grammars of their dialects, implying that bidialectal speakers have a co-dependent representation. The co-dependent view has been promoted in studies that investigated both the representation of the grammars of bidialectal speakers (e.g., Cheshire and Stein 1997; Henry 2005; Leivada et al. 2017) and the lexical representation of bidialectal speakers (e.g., Declerck and Kirk 2023; Melinger 2018, 2021). These studies argue that bidialectal speakers have a co-dependent representation as opposed to the bilingual speakers who have an independent representation. Regarding the advocates of the co-dependent representation, bidialectal communities reveal sociolinguistic repertoires that are intermediate between two dialects (see Kupisch and Klaschik 2017; Trudgill 2003). This blurred between-dialect boundary makes dialect mixing inevitable. Bidialectal speakers may also fail to keep their dialects separate because of multiple social functions of dialects (Curtin 2020; Gawlitzek-Maiwaldt and Tracy 1996; Genesee 1989; Kupisch and Klaschik 2017; Labov 1972).
The co-dependent representation of bidialectal speakers can be an outcome of various other factors. For instance, bidialectal speakers may prefer the prescriptive grammars of the non-native dialect. Studies indicate that being aware of certain prescriptive norms can swing the overall behavior of the speakers’ choice of grammatical forms. For example, Cornips and Poletto (2005) argued that the degree of the influence of the prescriptive norm on the speakers’ choice of grammar varies depending on the perception of the speakers. When the speakers are conscious of being bidialectal speakers, they behave in a different way depending on whether the phenomenon is obligatory or optional. Those phenomena that are obligatory in each prescribed grammar are preserved by the native speakers. In other words, the speakers permit the interference from the non-prescribed grammar only when the grammatical principles of the prescribed dialect are not violated. The similarity between dialects is another factor. In this regard, Leivada et al. (2017) suggested that very similar dialects have extremely blurred boundaries that are challenging to discern. Hence, similar dialects are predisposed to rapid diffusions of features because the features are more similar than different. In a similar vein, Cornips and Poletto (2005) affirmed that whenever there are close variants, speakers may change their way of speaking without a clear point of transition between dialects.
2.2 Grammatical gender in Oromo
Oromo is a Lowland East Cushitic language with two gender classes: masculine and feminine (Clamons 1993; Feleke and Lohndal 2023; Mous 2008; Owens 1985). Following Corbett (1991) and Hockett (1958), we define gender as a class of nouns reflected in the behavior of associated words. Hence, affixes on nouns expressing numbers, cases, or definiteness are not exponents of gender. Instead, gender is an agreement with a noun that is marked on elements such as determiners and adjectives. Gender assignment and gender agreement are distinct concepts. Gender assignment refers to the way that gender is allotted to nouns, whereas gender agreement is the concord displayed on elements that agree with nouns (Corbett 1991). Most Oromo nouns have vowel (/a/, /i/, /o/, /u/ and /e/)[2] endings, and only a few nouns have consonant endings. Nouns that have consonant endings are masculine in gender (see [1]).
fuňňaan | diimat-ø-e |
nose | become red-3.M.SG-PFV |
‘The nose became red.’ |
torbaan | darb-ø-e |
week | pass-3.M.SG-PFV |
‘A week passed.’ |
halkan | ɗeerat-ø-e |
night | become long-3.M.SG-PFV |
‘The night became long.’ |
bišaan | danf-ø-e |
water | boil-3.M.SG-PFV |
‘The water boiled.’ |
Table 1 shows the gender assignment in the Eastern Oromo dialect. In the Eastern dialect, nouns that end with non-central vowels, /e/, /i/, /o/ and /u/, are categorized as feminine (a–d), while nouns ending with low central vowels, /a/ and /aa/, are classified as masculine (e–h). The table also shows that the Eastern dialect has a phonology-based gender assignment. In the Eastern dialect, the word-final vowels serve as declension class markers and determine, for example, the type of number suffixes attached to the nouns. Nouns ending with consonants and low central vowels receive -oota as a number marker, and nouns ending with non-central vowels receive the suffix -lee (see Busterud et al. 2019; Comrie 1999; Corbett 1982; Enger 2004; Kürschner and Nübling 2011; Steriopolo 2017 for the gender-declension class interaction in non-Cushitic languages). However, in the Western Oromo dialect, owing to the neutralized feminine gender, there is no masculine versus feminine distinction (Clamons 1992, 1993; Feleke and Lohndal 2023).
Gender assignment in the Eastern Oromo dialect.
Nouns that have /e/, /ee/, /i/, /ii/, /o/, /oo/, /u/ and /uu/ endings | Nouns that have /a/ and /aa/ endings | ||||
---|---|---|---|---|---|
a. | šittoo bareedd-uu | e. | gurbaa | gabaab-aa | |
perfume | good-F | boy | short-M | ||
‘A good perfume’ | ‘A short boy’ | ||||
b. | ulee | gudd-oo | f. | mala | barbaččis-aa |
stick | big-F | means | necessary-M | ||
‘A big stick’ | ‘A necessary means’ | ||||
c. | lukkuu | gabaabd-uu | g. | hoğğaa | furd-aa |
chicken | small-F | tea | concentrated-M | ||
‘A small chicken’ | ‘Concentrated tea’ | ||||
d. | badii | gudd-oo | h. | mana | balʔ-aa |
mistak | big-F | house | wide-M | ||
‘A big mistake’ | ‘A wide house’ |
Table 2 presents the differences between the Eastern and Western Oromo dialects in terms of gender marking. In the Western dialect, elements associated with nouns, such as verbs (a), adjectives (b), possessive pronouns (c), interrogative pronouns (d), and demonstrative pronouns (e), do not encode grammatical gender. In the Western dialect, only the declension classes have remained unaffected, resulting in a widespread syncretism of the feminine gender.
Comparison between gender agreements of the Eastern and Western Oromo dialects.
Agreement | Gender | Western dialect | Eastern dialect | |||||
---|---|---|---|---|---|---|---|---|
a | N-V | M | hulaa-n ćab-ø-e | hulaa-n | ćab-ø-e | |||
door-NOM | break-3.M-PFV | door-NOM | break-3.M-PFV | |||||
‘The door is broken.’ | ‘The door is broken.’ | |||||||
F | lafee-n | ćab- ø -e | lafee-n | ćab -t -e | ||||
bone-NOM | break-3.M-PFV | bone-NOM | break-3.F-PFV | |||||
‘The bone is broken.’ | ‘The bone is broken.’ | |||||||
b | N-Adj. | M | mann-i | gudd-aa | ɗa | mann-i | gudd-aa | ɗa |
house-NOM | big-M | COP | house-NOM | big-M | COP | |||
‘The house is big.’ | ‘The house is big.’ | |||||||
F | daabboo-n | gudd-aa | ɗa | daabboo-n | gudd-oo | ɗa | ||
bread-NOM | big-M | COP | bread-NOM | big-F | COP | |||
‘The bread is big.’ | ‘The bread is big.’ | |||||||
c | N-POSS. | M | harka | k-iyya | hark | k-iyya | ||
hand | M-my | hand | M-my | |||||
‘My hand.’ | ‘My hand.’ | |||||||
F | handaak’oo | k-iyya | handaak’oo | t-iyya | ||||
chiken | M-my | chiken | F-my | |||||
‘My chicken.’ | ‘My chicken.’ | |||||||
d | N-INT. | M | fuňňaa-n | k-ami | fuňňaa-n | k-ami | ||
nose-NOM | M-which? | nose-NOM | M-which? | |||||
‘Which is a nose?’ | ‘Which is a nose?’ | |||||||
F | haroo-n | k-ami | haroo-n | t-ami | ||||
lake-NOM | M-which? | lake-NOM | F-which | |||||
‘Which is a lake?’ | ‘Which is a lake?’ | |||||||
e | N-DEM. | M | k-un | ɗakaa | ɗa | k-un | ɗakaa | ɗa |
M-this | stone | COP | M-this | stone | COP | |||
‘This is a stone.’ | ‘This is a stone.’ | |||||||
F | k-un | haamtuu | ɗa | t-un | haamtuu | ɗa | ||
M-this | sickle | COP | F-this | sickle | COP | |||
‘This is a sickle.’ | ‘This is a sickle.’ |
3 Research questions and predictions
In the present study, we examine the extent to which the Oromo bidialectal speakers differentiate the grammatical gender forms between one dialect and another. In addition, we explore the magnitude of the influence of the grammatical gender of the Western Oromo dialect on the grammatical gender of the Eastern Oromo dialect during sentence production and comprehension. Specifically, we aim to answer the following questions.
Can bidialectal speakers distinguish the grammar of their native dialect from the grammar of a non-native dialect?
Following Kupisch and Klaschik (2017), Lundquist and Vangsnes (2018), and Lundquist et al. (2020), we predict that bidialectal Oromo speakers can differentiate the grammar of their native dialect from that of a non-native dialect. Specifically, we anticipate that the grammatical gender forms of the Eastern dialect are more frequently produced and chosen in the Eastern dialect context and that the grammatical gender forms of the Western Oromo dialect are more frequently produced in the Western dialect context.
Does the grammatical gender of the Western Oromo dialect exert an influence?
In accordance with Kupisch and Klaschik (2017) as well as Lundquist and Vangsnes (2018), we predict bi-directional cross-dialectal influences, namely, Eastern-to-Western and Western-to-Eastern influences. Moreover, we assume that these influences are associated with the prolonged exposure to formal instruction in the Western Oromo dialect and to the lexical and grammatical similarity between the two dialects. We test this assumption by comparing the number of grammatical gender forms of the Eastern dialect produced and chosen by the bidialectal speakers to the number of the grammatical gender forms of the Western dialect produced and chosen by the same speakers.
Is there a pattern that characterizes the cross-dialectal influence of the grammar of the Western dialect?
In Experiment II, we determine the pattern of the influence by comparing the participants’ response accuracy across the developmental stages, spanning from childhood to adults. Following Johannessen and Larsson (2018) and Rodina and Westergaard (2015, 2021), we predict different degrees of influence of the Western dialect at various developmental stages. During the first phase of exposure to the Western dialect, we do not expect a significant influence of the gender system of the Western dialect. Instead, we assume that the influence progressively mounts and exerts the maximum impact somewhere at the later age, following an increased duration of exposure to the Western dialect.
Do modality and individual properties of the grammatical form play a role in dialect separation and cross-dialectal influence?
Following Jankowiak and Korpal (2018) and Lundquist et al. (2020), we predict an enhanced influence of the grammar of the Western dialect in the spoken mode (Experiment I) than in the written mode (Experiment II).
4 Methods
To answer the questions outlined in Section 3, we conducted two successive experiments. In Experiment I, we administered a picture description task to determine the extent to which the Oromo bidialectal speakers use the grammar of each dialect in conversation and to investigate the degree of cross-dialectal influence during the conversation. In Experiment II, we used a forced choice task to investigate the same concerns in the written mode.
4.1 Experiment I: picture description task
4.1.1 Task and the participants
In the production task, we used thirty (ten sets) pictures of animate and inanimate objects that describe various actions such as the one illustrated in Figure 1. All the nouns designated by the pictures are feminine in the Eastern dialect and gender-neutral in the Western dialect. Each set of pictures was displayed on a personal computer, and the participants were told to describe the actions indicated by the set of pictures. The task was performed in pairs in the form of turn-by-turn asking and answering questions; one of the interlocutors asked a question, and the other answered and vice versa. In total, thirty-six participants took part in the task. First, eighteen participants (nine pairs) performed the task in the Western dialect. The instruction was given in the Western Oromo dialect by an Oromo school teacher who was a native speaker of the dialect. The teacher told the participants that he wanted to assess their Oromo-speaking skill.

Picture description task.
The aim of the task was to allow the participants to produce sentences in the Western Oromo dialect that did not contain gender agreements between nouns and adjectives and between nouns and interrogative pronouns, such as those presented in (2). The test was administered in a silent classroom in Ciroo Secondary School, in the West Hararge Zone of the Oromia Region.
Question : | saree | k-ami | adurree | ariyaa | ğira? |
dog.M | M-which | cat | chasing | AUX.S.M.SG | |
‘Which dog is chasing the cat?’ | |||||
Answer : | saree | daalaččaa | adurree | ariyaa | ğira |
Dog.M | white-brown.M | cat | chasing | AUX.3.M.SG | |
‘The white-brown dog is chasing the cat.’ |
The remaining eighteen (nine pairs) participants were tested in a “mini” cafeteria outside the school compound. Only two participants, most of them friends, were tested at once. In this case, the instruction was given in the Eastern Oromo dialect by the principal investigator who also introduced himself in the Eastern Oromo dialect and described himself as a resident of the area. Before the experiment, the principal investigator initiated a short conversation on issues such as family situations and health conditions, exclusively using the Eastern dialect. Subsequently, the participants were instructed to begin the task and told that the purpose of the task was learning some names of common objects used in the area. The actual goal of the task was allowing the participants to produce sentences of the Eastern dialect that contained gender agreements between nouns and adjectives and between nouns and interrogative pronouns, such as the one presented in (3).
The participants were Grade 10 students who had nine years of exposure to the Western dialect. These students were born and grew up in the eastern part of Ethiopia, in Ciroo and its vicinity, where the Eastern dialect is spoken as a native language. The conversations were recorded using a Sony sound recorder. Subsequently, the number of occurrences of the target gender agreements (noun–adjective and noun–interrogative pronoun) was manually counted.
4.1.2 Results
The responses produced by the participants during the picture-description production task were tallied on the basis of the number of noun–adjective and noun–interrogative pronoun gender agreements that they contained. The responses were categorized into “Western dialect agreement” if the produced agreement was the neutralized one and “Eastern dialect agreement” if otherwise. There were some instances of repetitions of the same adjective and interrogative pronoun in a single utterance. In such cases, only one of them was counted. In a few cases, different adjectives of colors were used in a single utterance; in these cases, both adjectives were counted. There were also a few cases in which the interlocutors were unsure and changed their preference for the interrogative pronouns and adjectives in the same utterance in such cases, only the first utterance was counted. Furthermore, the participants produced a few noun–verb and noun–relative pronoun gender agreements. We did not report responses containing these as they were irrelevant to the current discussion. Most produced sentences contain the present continuous tense such as the ones in (4a–b). In Oromo, there is no gender agreement between subjects and verbs in sentences containing focus constructions such as in (4a) and (4b). In (4a) and (4b), saree ‘dog’ is the focused subject.
saree´ | t-ami | bašoo | ariyaa | ğira? |
dog | F-which | cat | chasing | AUX.3.M.SG |
‘Which dog is chasing a cat?’ |
saree´ daal-atti | bašoo | ariyaa | ğira |
dog white-brown-F | cat | chasing | AUX.3.M.SG |
‘It is the white-brown dog that is chasing the cat.’ |
In the Eastern Oromo dialect context, 69 % noun–adjective gender agreement and 64 % noun–interrogative pronoun gender agreement of the Eastern dialect were produced. In the Western dialect context, 66.5 % neutralized noun–adjective gender agreement and 63.5 % neutralized noun–interrogative pronoun gender agreement of the Western dialect were produced. In other words, in the Eastern dialect context, sentences containing the Eastern dialect gender agreement were higher than sentences containing the neutralized Western dialect gender agreement, and the opposite was true in the Western dialect context. To inspect the statistical significance of these differences, we ran a generalized linear model (Poisson family) in R (version 3.2.3) and predicted the influence of grammatical conditions (noun–adjective gender agreement of the Eastern dialect, noun–interrogative pronoun gender agreement of the Eastern dialect, noun–adjective neutralized gender agreement of the Western dialect, and noun–interrogative pronoun neutralized gender agreement of the Western dialect) and the dialects (Eastern and Western) on the number of correctly produced sentences. We used dummy coding for reference to the multiple levels of the categorical variables. For the grammatical conditions, the noun–adjective agreement of the Eastern dialect served as a reference level; for the dialect conditions, the Eastern dialect served as a reference level.
We found a significant effect of the dialects; the participants were less accurate in the Western dialect context than in the Eastern dialect context (B = −0.79[−1.23, −0.37], p < 0.001). Furthermore, there was a significant effect of the grammatical conditions; compared with the baseline noun–adjective gender agreement of the Eastern dialect, the participants’ accuracy for the neutralized noun–adjective gender agreement of the Western dialect was lower (B = −0.72[−1.16, −0.31], p < 0.001). Similarly, the participants were less accurate when it came to the neutralized noun–adjective gender agreement of the Western dialect than in the noun–interrogative pronoun gender agreement of the Eastern dialect (B = −0.76[−1.20, −0.34], p < 0.001). There was no significant difference between the baseline noun–adjective gender agreement of the Eastern dialect and the noun–interrogative pronoun gender agreement of the Eastern dialect.
There was also a significant interaction between the dialects and the grammatical conditions. Pairwise honestly significant difference (HSD) Tukey comparisons across the dialects and the grammatical conditions showed that, in the Eastern Oromo dialect context, a significantly higher number of sentences containing the noun–adjective gender agreement of the Eastern dialect was produced compared with the sentences containing the neutralized noun–adjective gender agreement of the Western dialect; z = 3.361, p < 0.01. Likewise, a significantly higher number of sentences containing the noun–interrogative pronoun gender agreement of the Eastern dialect was produced as compared to the sentences containing the neutralized noun–interrogative pronoun gender agreement of the Western dialect; z = 3.317, p < 0.01. In the Western Oromo dialect context, a significantly higher number of sentences containing the neutralized noun–adjective gender agreement of the Western dialect was produced compared with the sentences containing the noun–adjective gender agreement of the Eastern dialect; z = 3.424, p < 0.001. Similarly, a significantly higher number of sentences containing the neutralized noun–interrogative pronoun gender agreement of the Western dialect was produced compared with the sentences containing the noun–interrogative pronoun gender agreement of the Eastern dialect; z = 2.700, p < 0.05. Figure 2 indicates some tendency of dialect mixing. For instance, although the number of gender-neutral sentences produced in the Western dialect context was higher than that of those produced in the Eastern dialect context, a significant number of gender-neutral sentences was produced in the Eastern dialect context. Moreover, the figure shows that the cross-dialectal influence is bi-directional; both Western-to-Eastern and Eastern-to-Western cross-dialectal influences exist.

Grammatical sentences produced in the Eastern and Western dialect contexts.
4.1.3 Conclusions
We have seen that Oromo bidialectal speakers produce a higher number of grammatical gender forms of the Eastern dialect in the Eastern dialect context and a higher number of grammatical gender forms of the Western dialect in the Western dialect context. Therefore, Oromo bidialectal speakers can adjust their choice of grammar based on the demands of the context of conversation. The results are consistent with those of previous studies (Kubota et al. 2023; Kupisch and Klaschik 2017; Lundquist et al. 2020; Lundquist and Vangsnes 2018) that argued that bidialectal speakers have independent grammatical representations. Furthermore, in both dialect contexts, there is a high degree of cross-dialectal influence that implies that cross-dialectal influence is unavoidable during dialect comprehension and processing (also see Kupisch and Klaschik 2017). The observed cross-dialectal influence is asymmetrical; Eastern-to-Western influence is higher than Western-to-Eastern influence.
4.2 Experiment II: forced choice task
4.2.1 Task
In the forced choice task, the participants were provided with a pair of sentences, one containing the feminine gender of the Eastern dialect and the other the neutralized Western dialect gender agreement. Hence, one of the two sentences was grammatical according to the Eastern dialect, and the other was grammatical according to the Western dialect. We investigated five gender agreement conditions: noun–adjective gender agreement, noun–verb gender agreement, noun–interrogative pronoun gender agreement, noun–demonstrative pronoun gender agreement, and noun–possessive pronoun gender agreement. For each agreement condition, there were eight pairs of sentences. In each pair, one sentence contained the gender agreement of the Eastern dialect and the other the gender agreement of the Western dialect. Among the eight pairs of sentences, four pairs contained animate nouns, and the remaining four contained inanimate nouns. In each pair of the sentences, the animate or the inanimate nouns had one of the four word-final declension class markers: /e/, /i/, /o/ and /u/. In total, there were eighty (forty pairs) target sentences (five gender agreements * two dialects * two animacy * four declension classes). All the nouns in the experiment were feminine in the Eastern dialect and gender-neutral in the Western Oromo dialect, as illustrated in (5).
Q. Choose the correct sentence of the Oromo dialect that you speak in your vicinity. |
Saree k-ami deeme? (Western dialect) |
Saree t-ami deeme? (Eastern dialect) |
‘Which dog rushed away?’ |
The first sentence (5a) contains the interrogative pronoun of the Western dialect, and the second sentence (5b) contains the interrogative pronoun of the Eastern dialect. In the experiment, the order of the Eastern and Western dialect sentences was counterbalanced across the grammatical conditions. We constructed the sentences using words of the Eastern dialect (Eastern dialect modality), except for the target items (e.g., k-ami in [5a]) that carry the Western dialect grammatical gender form. Furthermore, there were ten pairs of filler sentences. Each pair of sentences comprised grammatical and ungrammatical noun–verb word orders. All the nouns in the filler sentences were plural; therefore, there was no overtly marked gender agreement in the filler sentences. All (experimental and filler) pairs of sentences were randomly presented in a multiple-choice format.
4.2.2 Participants
We recruited the participants from elementary and secondary schools in Hirna. The target participants span a wide age range. Hence, we classified them into six age groups: Stage 1 (Grade 3 students), Stage 2 (Grade 5 students), Stage 3 (Grade 7 students), Stage 4 (Grade 9 students), Stage 5 (Grade 11 students), and Stage 6 (adults). The adult participants were government employees who were serving in various public sectors. All the participants were native speakers of the Eastern Oromo dialect and were recruited by our research assistants, who themselves were teachers of Oromo in primary and secondary schools. In total, we tested 131 participants. It should be noted that we excluded eight participants because three of them provided incomplete responses and the remaining five provided random responses. Table 3 presents the 123 participants who properly completed the test. Only fourteen third graders took part in the task because we tested them individually, and we found testing more children difficult due to the time constraints. The research assistants assisted (with reading) the third graders as they were not fluent readers. Prior to the experiment, the participants practiced on three warm-up items of different grammatical domains to ensure that they understood what to do. We administered the tests in quiet classrooms in the schools of the participants, except for the adults, who were tested in a temporary small-sized test room.[5] Because of the size of the test room, we administered the test to five adult participants at a time. We instructed the participants to choose the correct sentences of the Eastern dialect. The participants provided their answers using a pen or a pencil. We coded the participants’ responses as “1” if they chose a sentence containing the gender agreement of the Eastern dialect and as “0” if otherwise. There were a few instances when the participants felt that both options were correct. In such cases, we instructed them to choose the best one, depending on their knowledge of the Oromo dialect spoken in their vicinity.
Participants.
No | Grades | Stages | Number | Age (mean) | Sex | |
---|---|---|---|---|---|---|
1 | Grade 3 | 1 | 14 | 8–15 (11) | F = 6 | M = 8 |
2 | Grade 5 | 2 | 25 | 10–15 (13) | F = 2 | M = 23 |
3 | Grade 7 | 3 | 24 | 12–18 (14) | F = 8 | M = 16 |
4 | Grade 9 | 4 | 23 | 14–19 (16) | F = 5 | M = 18 |
5 | Grade 11 | 5 | 19 | 15–20 (18) | F = 1 | M = 18 |
6 | Adults | 6 | 18 | 25–56 (34) | F = 7 | M = 11 |
Total | 6 | 123 | F = 29 | M = 94 |
We used a background questionnaire as an additional tool to collect data pertaining to the participants’ language history. In the questionnaire, the variables of interest were the participants’ education level, home language situation, second language, and duration of exposure to the Eastern and Western dialects. The participants filled the questionnaire before the experiment. The participants were native speakers of the Eastern dialect and spent their entire lives in an area where the Eastern dialect is spoken.
4.2.3 Results
We counted the number of the Eastern and Western Oromo dialect sentences chosen by the participants. As Table 4 shows, a higher number of sentences of the Eastern dialect were chosen across the stages and the agreement conditions. To test whether this difference was statistically significant, we ran a generalized linear model (Poisson family) in R (version 3.2.3). We predicted the influences of the grammatical conditions (noun–interrogative pronoun gender agreement, noun–verb gender agreement, noun–adjective gender agreement, and noun–relative pronoun gender agreement), stages (Stages 1–6), and dialects (Eastern and Western) on the participants’ response accuracy. We dummy coded the categorical variables, namely, for the grammatical conditions, noun–adjective gender agreement served as a reference level; for the stages, Stage 1 was a reference level; and for the dialect conditions, the Eastern dialect was a reference level.
Selected number of sentences across the stages, conditions, and dialects.
Cond. | Stage 1 | Stage 2 | Stage 3 | Stage 4 | Stage 5 | Stage 6 | ||||||
---|---|---|---|---|---|---|---|---|---|---|---|---|
Eastern | Western | Eastern | Western | Eastern | Western | Eastern | Western | Eastern | Western | Eastern | Western | |
N-Adj | 85 | 27 | 169 | 31 | 173 | 19 | 124 | 60 | 118 | 34 | 123 | 21 |
N-DEM | 92 | 20 | 175 | 25 | 168 | 24 | 128 | 56 | 114 | 38 | 120 | 24 |
N-INT | 69 | 43 | 133 | 67 | 139 | 53 | 103 | 81 | 105 | 47 | 97 | 47 |
N-POSS | 88 | 24 | 161 | 39 | 160 | 32 | 111 | 73 | 91 | 61 | 113 | 31 |
N-V | 78 | 34 | 172 | 28 | 162 | 30 | 123 | 61 | 112 | 40 | 113 | 31 |
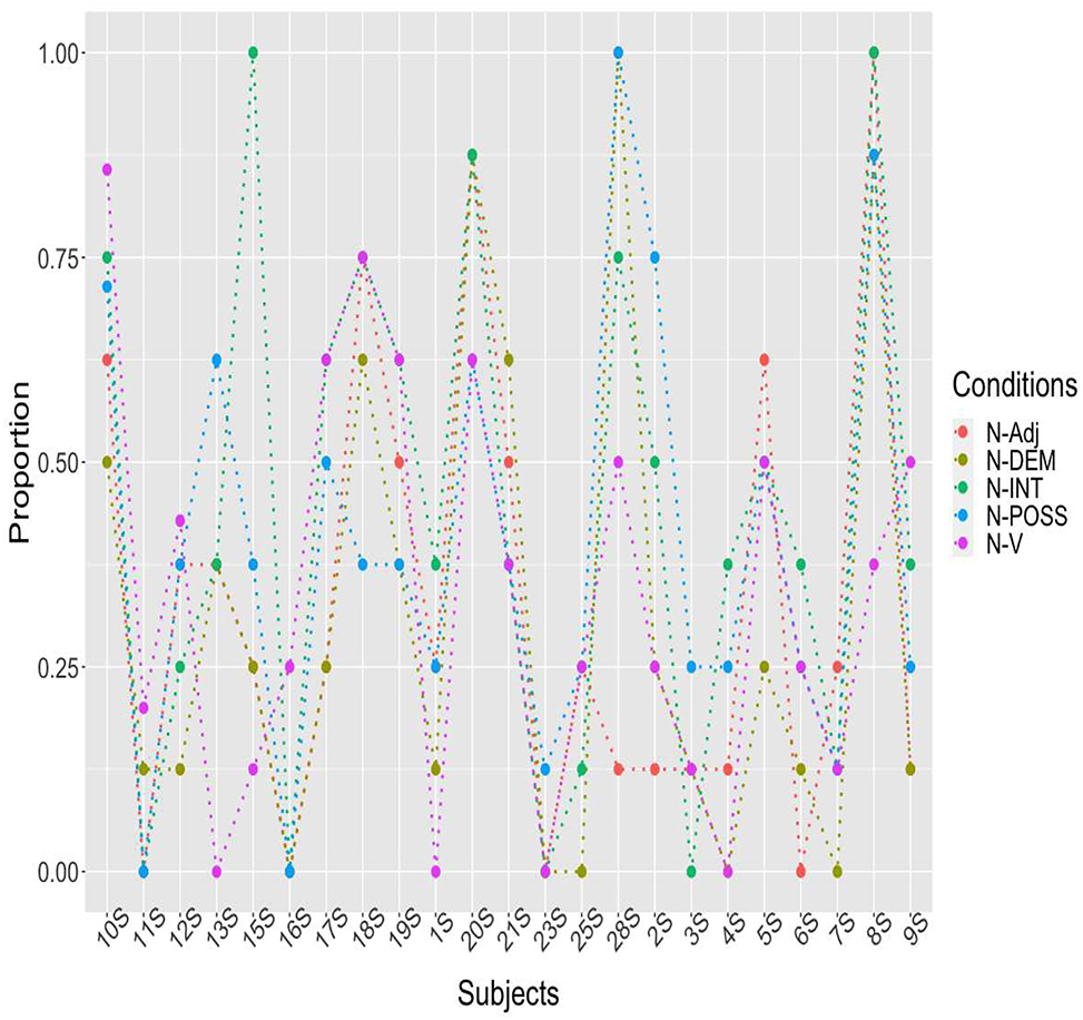
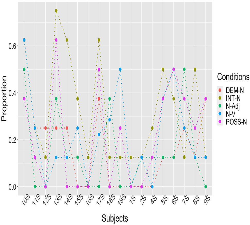
We found a significant effect of the dialects (see Figure 3); the participants selected a higher number of the Eastern dialect sentences than the Western dialect sentences (B = −0.79[−1.03, −0.55], p < 0.001). There was also a significant effect of conditions; the participants were less accurate when it came to the sentences containing noun–interrogative pronoun gender agreement compared to the baseline sentences containing noun–adjective gender agreement (B = −0.17[−0.27, −0.06], p < 0.001). Moreover, we found a significant interaction between the dialects and the grammatical conditions; among the selected Eastern Oromo dialect sentences, the number of sentences containing noun–adjective gender agreement was higher than that of those containing noun–interrogative pronoun gender agreement; z = 3.171, p < 0.05. In addition, the number of sentences containing noun–demonstrative pronoun gender agreement was higher than the number of sentences containing noun–interrogative pronoun gender agreement; z = 3.271, p < 0.01. Among the selected Western Oromo dialect sentences, the number of sentences containing noun–interrogative pronoun gender agreement was marginally higher than that of those containing noun–verb gender agreement; z = 2.561, p = 0.07. Furthermore, the number of sentences containing noun–possessive pronoun gender agreement was marginally higher than the number of sentences containing noun–verb gender agreements; z = 2.498, p = 0.09.

Selected sentences of the Eastern and Western dialects.
Moreover, there was a significant effect noted for stages (see Figure 4). Overall, the number of sentences selected during Stage 3 was significantly higher than the number of sentences selected during Stage 1 (the baseline) (B = 0.13[0.01, 0.25], p < 0.05). The number of sentences selected during Stage 4 was marginally fewer than the number of sentences selected during Stage 1 (B = −0.11[−0.24, 0.02], p = 0.088). No other statistically significant differences were noted for the stages.

Interaction between stages and dialects.
There was also a significant interaction between the dialects and the stages, i.e., during Stage 2, the number of the selected Western dialect sentences was fewer than the number of the selected Eastern dialect sentences (B = −0.41[−0.66, −0.17], p < 0.001). The same is true during Stage 3 (B = −0.50[−0.75, −0.24], p < 0.001), Stage 4 (B = 0.20[−0.03, 0.43], p = 0.09), and Stage 6 (B = −0.34[−0.60, −0.08], p < 0.01). In addition, between-stage pairwise HSD Tukey comparisons showed that the number of the Eastern dialect sentences chosen during Stage 2 was higher than that of the Eastern dialect sentences chosen during Stage 4; z = 3.542, p < 0.01. The number of the Eastern dialect sentences chosen during Stage 3 was significantly higher compared to the number of sentences chosen during Stage 4; z = 4.381, p < 0.0001. The number of the Eastern dialect sentences chosen during Stage 3 was higher than the number of the Eastern dialect sentences chosen during Stage 5; z = 3.009, p < 0.05. The number of the Eastern dialect sentences chosen during Stage 6 was marginally higher than the number of the Eastern dialect sentences chosen during Stage 4; z = 2.750, p = 0.06.
Furthermore, the number of the Western dialect sentences chosen during Stage 1 was significantly higher than that of those chosen during Stage 2; z = 3.032, p < 0.05. The number of the Western dialect sentences chosen during Stage 1 was higher than the number of the Western dialect sentences chosen during Stage 3; z = 3.227, p < 0.05. The number of the Western dialect sentences chosen during Stage 4 was significantly higher compared to the number of the Western dialect sentences chosen during Stage 2; z = 4.642, p < 0.0001. The number of the Western dialect sentences chosen during Stage 5 was significantly higher than the number of sentences chosen during Stage 2; z = 2.855, p < 0.05. The number of the Western dialect sentences chosen during Stage 4 was higher compared to the number of the Western dialect sentences chosen during Stage 3; z = 4.752, p < 0.0001. The number of the Western dialect sentences chosen during Stage 4 was higher than that of those chosen during Stage 6; z = 3.888, p < 0.001. There was no significant interaction between the stages, agreements, and dialects (see Appendix A1 for the plots). This indicates that the influence of a particular grammatical form is consistent across the developmental stages. Figure 5 shows the accuracy of the participants across the stages and dialects.

Rise and fall of the influence of the Western dialect.
Figure 5 shows that in the first three stages (Stages 1–3), the influence of the grammatical gender of the Western dialect on the comprehension of the grammatical gender of the Eastern Oromo dialect has continued to decline, regardless of an increased exposure to the Western dialect (see Appendix A2 for the individual differences). Therefore, this phase can be characterized as a stabilization phase, a phase in which the gender agreement of the Western dialect builds its momentum. A sharp increase in preference for the gender agreement of the Western dialect was observed during Stage 4. During this stage, the gender system of the Western dialect exerts the maximum influence; hence, it is called the exertion phase. Subsequently, there is the restoration phase (Stages 5 and 6), in which the gender system of the Western dialect reduces its influence. Figure 5 summarizes the rise and fall in the influence of the Western Oromo dialect. The upraising amplitude of the exertion phase (the orange line) shows the relatively stronger influence of the gender system of the Western Oromo dialect.
4.2.4 Conclusions
Compared with the selected sentences of the Western dialect, a significantly higher number of sentences of the Eastern dialect were chosen across the developmental stages. This indicates that the bidialectal Oromo speakers can separate the grammar of their native dialect from the grammar of a non-native dialect. However, there was also a considerable amount of mixing across the stages, showing that dialect separation is not as discrete as language separation. Moreover, distinguishing the noun–interrogative pronoun gender agreement of the Eastern dialect is more difficult than distinguishing the other grammatical forms. This finding implies that a specific property of a grammatical form can affect dialect separation and cross-dialectal influence. Finally, there are clear patterns of the influence of the Western Oromo dialect across the developmental stages. A strong influence is observed during the exertion phase. We assume that this influence reflects the increased duration of the participants’ exposure to the non-native Western dialect.
5 General discussion
In Section 3, we formulated four research questions. In this section, we answer these questions based on the results reported in Section 4.
5.1 Dialect separation and cross-dialectal influence
The results of Experiment I confirm that the bidialectal Oromo speakers can distinguish the grammatical gender forms of the Eastern dialect from those of the Western dialect. The bidialectal speakers produce a higher number of the Eastern dialect grammatical gender forms (noun–adjective and noun–interrogative pronoun agreements) in the Eastern dialect context. Likewise, in the Western dialect context, the speakers produce a higher number of the grammatical gender forms of the Western dialect, indicating that they have an implicit knowledge of the grammatical gender differences between the native and non-native Oromo dialects. Similarly, the results obtained from Experiment II indicate that the bidialectal speakers recognize the sentences of the native Eastern dialect in the written mode. The ability to distinguish the grammar of a native dialect from that of a non-native dialect is demonstrated across the developmental stages and the grammatical conditions. The results of the two experiments together indicate that the Oromo bidialectal speakers can distinguish the grammar of their native dialect from that of a non-native dialect, both in production and in comprehension.
In this regard, our findings align with the results previously reported by Kupisch and Klaschik (2017), who found that Veneto-Italian dialect-speaking children produced the Italian grammatical gender forms in an Italian experiment and the Venetan grammatical gender forms in a Veneto dialect experiment. Our results are also consistent with those of Kubota et al. (2023), Lundquist et al. (2020), and Lundquist and Vangsnes (2018), who reported an independent representation of the grammars of bidialectal speakers. In general, our results corroborate the two-system representation of bidialectal grammars advocated by proponents of universal bilingualism (see Amaral and Roeper 2014; Eide and Åfarli 2020; Garcia et al. 2022; Roeper 1999, 2016), not the view of the one-system representation of bidialectal grammars held in many other studies (e.g., Cheshire and Stein 1997; Hazen 2001; Henry 2005; Hudson 1996; Labov 1998; Leivada et al. 2017; Wei 2000). Based on the processing-based parameters proposed by Lundquist and Vangsnes (2018), we can argue that the Oromo bidialectal speakers are “true bidialectals”; they can adjust their preference of grammatical forms in accordance with the needs of a given dialect context.
We have also seen that Oromo bidialectal speakers usually mix the grammars of their dialects, even in a context that clearly cues the activation of one of the dialects. We found dialect mixing both in spoken and written modes. This mixing is the probable outcome of a parallel activation of the grammars of the bidialectal speakers (see Dahlman and Kupisch 2016; Kambanaros et al. 2013; Lundquist et al. 2020; Taxitari et al. 2015). Presumably, other factors such as between-dialect structural similarities that make dialect mixing unavoidable are also involved (see Kupisch and Klaschik 2017). Generally, the boundary between the grammars of bidialectal speakers is not as clear as the boundary observed in the grammars of bilingual speakers. This could be due to the phonological, lexical, and grammatical overlap between the dialects. Several studies report that structural similarities exacerbate a competition between grammatical representations (e.g., Kupisch and Klaschik 2017; Lundquist and Vangsnes 2018; Oschwald et al. 2018).
In addition, there are patterns that characterize the influence of the Western Oromo dialect on the comprehension of the grammar of the Eastern Oromo dialect. These patterns reveal three phases of influence of the Western Oromo dialect: stabilization, exertion, and restoration. The Western dialect starts building its influence in the stabilization phase. However, during this phase, the influence is presumably not very strong, as the Western dialect is still in the process of being acquired. The strongest influence of the gender system of the Western dialect is observed during the exertion phase. The substantial influence during the exertion phase is a manifestation of a cumulative effect of several years of exposure to the Western dialect. We assume that a prolonged exposure to the Western Oromo dialect inhibits the activation of the gender system of the Eastern dialect (see Clopper 2014 for a similar argument). The strong influence during the exertion phase is normalized during the restoration phase. This adjustment is likely the consequence of a strong social integration of the adult bidialectal speakers. Adult Oromo bidialectal speakers have stronger social ties with the outside-school communities that are nondialectal speakers of the Eastern dialect. In general, there is a strong connection between cross-dialectal influence and the duration of exposure to the Western dialect. This implies that cross-dialectal influence is a dynamic process, with its impact changing based on the duration and magnitude of exposure (see Hauser-Grüdl et al. 2010; Hendrikx et al. 2019).
It is not only exposure that affects cross-dialectal influence. We have seen that distinguishing the noun–interrogative pronoun gender agreement of the Eastern Oromo dialect from that of the Western dialect is relatively difficult. Across the developmental stages, a high degree of mixing is associated with the noun–interrogative pronoun gender agreement, both in written and spoken modes. This implies that a specific attribute of a grammatical form can modulate dialect separation and cross-dialectal influence. Moreover, the cross-dialectal influence is more acute in the spoken mode than in the written mode. For instance, there is more mixing of noun–adjective gender agreement in the production experiment than in the comprehension experiment. This indicates that modality also moderates cross-dialectal influence. Lundquist et al. (2020) reported a similar finding based on their investigation of Norwegian dialect speakers. A plausible explanation for the modality effect can be that speaking involves an unconscious processing that is unlike reading, which requires a conscious processing. Previous studies show that conscious processing is less susceptible to cross-linguistic influence compared with unconscious processing (Elvin and Escudero 2019; Lundquist et al. 2020).
Some previous studies also argue that metalinguistic knowledge constrains dialect separation and cross-dialectal influence (see Leivada et al. 2017; Terry 2014). We do not believe that metalinguistic knowledge plays a role in Oromo dialect separation since we found cross-dialectal influence across developmental stages, including among third graders who might not have acquired metalinguistic knowledge. A reasonably smaller mixing effect observed in the comprehension experiment could be related to the speakers’ awareness of the dialects. In Experiment II, we explicitly instructed the participants to choose sentences of their native dialect. This might have enhanced their awareness. Previous studies indicate that speakers’ awareness of their native and non-native dialects can enhance their ability to distinguish dialects (Johnson et al. 2017; Ruch 2018; Schmidt 2022).
5.2 Interactive dialect separation model
We have seen that dialect separation and cross-dialectal influence can be constrained by modality, the duration of an individual’s exposure to a non-native dialect, and specific attributes of a grammatical form. The written mode maximizes the speakers’ ability to distinguish their native dialect from a non-native dialect. Furthermore, an extensive exposure to a non-native dialect favors the selection of a non-native dialect. Moreover, within-dialect dynamics, such as the neutralization of grammatical forms in a native dialect, facilitate the selection of non-native dialects (see Lohndal and Westergaard 2021). Studies report that several other factors constrain cross-dialectal influence. For example, formal instruction in a non-native dialect enables the selection of the grammar associated with that non-native dialect (Henry 2005; Leivada et al. 2017). Moreover, modality (Lundquist et al. 2020), the regular use of both native and non-native dialects (Alrwaita 2021; Alrwaita et al. 2022, 2023a, 2023b), standardization (Feldman et al. 1977; Henry 2005; Leivada et al. 2017), metalinguistic knowledge (Henry 2005; Leivada et al. 2017; Terry 2014), linguistic distance between the dialects (Feleke 2023; Feleke et al. 2020; Henry 2005), contexts in which the dialects are used (Alrwaita et al. 2022, 2023a, 2023b), inhibitory control (Leivada et al. 2017), and a clear boundary between native and non-native dialects (Henry 2005) enhance dialect separation. The absence of or limited access to these factors leads to dialect mixing or cross-dialectal influence.
Taken together, these studies imply that the cognitive mechanisms that underpin dialect selection and cross-dialectal influence interact with several linguistic and non-linguistic variables. Given this evidence, we propose the IDSM. This model assumes that dialect separation and cross-dialectal influence are the outcomes of the interplay between various linguistic, cognitive, and sociolinguistic factors. Figure 6 shows that every bidialectal speaker is susceptible to at least some of these factors, but the impact of the factors can be either positive or negative, depending on the magnitude of exposure to the factors. For instance, exposure to contexts in which the dialects are equally used attenuates dialect separation and reduces cross-dialectal influence, but less exposure to such contexts suppresses dialect separation and enhances cross-dialectal influence. The model recognizes that dialect separation and cross-dialectal influence are not merely linguistic phenomena; rather, they are the products of complex interactions among various stakeholders.

Relationship between cross-dialectal influence, dialect separation, and major factors. Red represents the absence of cross-dialectal influence; green shows the highest degree of cross-dialectal influence and mixing effects. Yellow indicates moderate influence and mixing.
Figure 6 also shows that cross-dialectal influence and dialect separation are two extremes of the same cognitive process. In other words, the failure to distinguish the grammar of one dialect from the grammar of another dialect results in cross-dialectal influence. The numbers in the figure represent the magnitude of cross-dialectal influence and dialect separation that a bidialectal speaker may encounter. The colors indicate the strength of the cross-dialectal influence and dialect separation. The figure further indicates that both dialect separation and cross-dialectal influence cannot be achieved 100 percent; there is always a certain degree of mixing that is triggered by the similarity between dialects and several other factors. Given that bidialectal speakers have a two-system representation of grammars, 100 percent mixing is also impossible. Hence, the argument concerning the extent to which bidialectal speakers distinguish the grammar of their native dialect from that of a non-native dialect should take the involvement of these factors into account. According to the IDSM, bidialectal speakers effectively differentiate their native dialect from a non-native dialect whenever these factors contribute positively. Namely, the degree to which bidialectal speakers distinguish the grammar of their dialects depends on the degree to which these factors facilitate the separation process. This makes dialect separation and cross-dialectal influence different from distinguishing one language from another.
The IDSM has an important theoretical implication: that every bidialectal speaker is different as every dialect context is different. For example, the diglossic contexts in most Arabic-speaking countries differ from the dialect contexts in Ethiopia or in Norway. In the latter, both native and non-native dialects enjoy equal social status, and both dialects are used in spoken and written modes. We suspect that discrepancies in the psycholinguistics literature regarding the representation of bidialectal grammars may be related to this ecological heterogeneity. Bidialectal speakers who grow up in a dialect context that favors a frequent switch between dialects may have a grammatical representation that aligns with the representation of the grammars of bilingual speakers. Those who grow up in the context that disallows a between-dialect switch may have a co-dependent grammatical representation that is consistent with the representation of monolingual grammars (see Alrwaita et al. 2022, 2023a, 2023b). Generally, it is the symbiotic relationship between the dialects and the dialects’ ecosystem that determines the outcome. There is no one-size-fits-all principle; each bidialectal speaker grows up in a different dialect ecology that dictates the dynamics in the dialects and in the speakers’ cognitive representations.
6 Conclusions
Bidialectal speakers of the Eastern and Western Oromo dialects can distinguish the grammar of their native dialect from that of the non-native dialect. This implies the presence of a two-system representation of grammars of the bidialectal speakers. The data obtained from the Oromo bidialectal speakers also show that dialect separation cannot be perfectly categorical; there is always the possibility of dialect mixing, which emerges from a strong lexical and grammatical overlap and the subsequent parallel activation of competing grammatical and lexical representations. The lexical and grammatical overlap, combined with other factors, exacerbates the influence between native and non-native dialects. It appears that a 100 percent separation between two dialects is unachievable, differentiating cross-dialectal influence from cross-linguistic influence.
Dialect separation and cross-dialectal influence can also be constrained by modalities. Cross-dialectal influence is stronger in speaking than in writing. This is conceivably because speaking is an unconscious process and requires less re-assessment than reading, which is a conscious process. Moreover, dialect separation and cross-dialectal influences can be influenced by a specific property of a grammatical gender form. Grammatical forms that are on the state of change are more difficult to distinguish than those that are well established in native and non-native dialects. Finally, distinguishing the grammar of a native dialect from that of a non-native dialect can be constrained by sociolinguistic and cognitive factors. Because each dialect context is distinctively affected by these factors, the ability to distinguish one dialect from another can differ from speaker to speaker. Hence, we propose the IDSM, which posits that dialect selection and cross-dialectal influence are the outcomes of complex interactions among various variables.
Funding source: UiT The Arctic University of Norway, AcqVA Aurora Research Center
Award Identifier / Grant number: 2062165
-
Research funding: This project has been supported by AcqVa Aurora Research Center at UiT, The Arctic University of Norway, grant number 2062165.
-
Data availability statement: Supplemental material and data underlying this analysis can be viewed at https://osf.io/a6xbd/?view_only=96692d9435be40d0aca3c43834b05d54.
Appendix A
Appendix 1
Interaction between conditions and stages (Figure 7).

Condition and stage interactions.

Responses of Grade 3 students.

Responses of Grade 5 students.

Responses of Grade 7 students.

Responses of Grade 9 students.

Responses of Grade 11 students.

Responses of adult participants.
Appendix 2
Individual differences in the participants’ responses (Figures 8–13).
References
Alrwaita, Najila. 2021. The effects of diglossia on cognition: Evidence from executive functions. University of Reading Doctoral dissertation.Search in Google Scholar
Alrwaita, Najila, Carmel Houston-Price & Christos Pliatsikas. 2023a. The effects of using two varieties of one language on cognition: Evidence from bidialectalism and diglossia. Linguistic Approaches to Bilingualism 13(6). 830–853. https://doi.org/10.1075/lab.21044.alr.Search in Google Scholar
Alrwaita, Najila, Carmel Houston-Price, Lotte Meteyard, Tom Voits & Chirstose Pliatsikas. 2023b. Executive functions are modulated by the context of dual language use: Diglossic, bilingual and monolingual older adults. Bilingualism: Language and Cognition 27(1). 1–26. https://doi.org/10.1017/s1366728923000056.Search in Google Scholar
Alrwaita, Najila, Lotte Meteyard, Carmel Houston-Price & Christos Pliatsikas. 2022. Is there an effect of diglossia on executive functions? An investigation among adult diglossic speakers of Arabic. Languages 7(4). 2–28. https://doi.org/10.3390/languages7040312.Search in Google Scholar
Amaral, Luiz & Tom Roeper. 2014. Multiple grammars and second language representation. Second Language Research 30(1). 3–36. https://doi.org/10.1177/0267658313519017.Search in Google Scholar
Bisang, Walter. 2006. Linguistic areas, language contact and typology: Some implications from the case of Ethiopia as a linguistic area. In Matras Yaron, April McMahon & Nigel Vincent (eds.), Linguistic areas, 75–98. Hampshire: Palgrave Macmillan.10.1057/9780230287617_4Search in Google Scholar
Blanco-Elorrieta, Esti & Alfonso Caramazza. 2021. A common selection mechanism at each linguistic level in bilingual and monolingual language production. Cognition 213(12). 1–15.10.1016/j.cognition.2021.104625Search in Google Scholar
Blazek, Vaclav. 2010. Glottochronological classification of Oromo dialects. Lingua Posnaniensis 52(2). 27–42. https://doi.org/10.2478/v10122-010-0011-0.Search in Google Scholar
Blumenfeld, Henrike & Viorica Marian. 2013. Parallel language activation and cognitive control during spoken word recognition in bilinguals. Journal of Cognitive Psychology 25(5). 547–567. https://doi.org/10.1080/20445911.2013.812093.Search in Google Scholar
Busterud, Guro, Terje Lohndal, Yulia Rodina & Marit Westergaard. 2019. The loss of feminine gender in Norwegian: A dialect comparison. The Journal of Comparative Germanic Linguistics 22(2). 141–167. https://doi.org/10.1007/s10828-019-09108-7.Search in Google Scholar
Chambers, Jack. 1992. Dialect acquisition. Language 68(4). 673–705. https://doi.org/10.2307/416850.Search in Google Scholar
Chambers, Jack & Peter Trudgill. 1998. Dialectology. Cambridge: Cambridge University Press.10.1017/CBO9780511805103Search in Google Scholar
Cheshire, Jenny & Dieter Stein. 1997. The syntax of spoken language. In Jenny Cheshire & Dieter Stein (eds.), Taming the vernacular: From dialect to written standard language, 1–12. London & New York: Routledge.Search in Google Scholar
Clamons, Cynthia. 1992. Gender in Oromo. University of Minnesota PhD dissertation.Search in Google Scholar
Clamons, Cynthia. 1993. Gender assignment in Oromo. In Mushira Eid & Gregory Iverson (eds.), Principles and prediction: The analysis of natural language, 269–286. Amsterdam: John Benjamins.10.1075/cilt.98.22claSearch in Google Scholar
Clopper, Cynthia. 2014. Sound changes in the individual: Effects of exposure on cross-dialect speech processing. Laboratory Phonology 5(1). 69–90. https://doi.org/10.1515/lp-2014-0004.Search in Google Scholar
Comrie, Bernard. 1999. Grammatical gender systems: A linguist’s assessment. Journal of Psycholinguistic Research 28(5). 457–466. https://doi.org/10.1023/a:1023212225540.10.1023/A:1023212225540Search in Google Scholar
Corbett, Greville. 1982. Gender in Russian: An account of gender specification and its relationship to declension. Russian Linguistics 6(2). 197–232. https://doi.org/10.1007/bf03545848.Search in Google Scholar
Corbett, Greville. 1991. Gender. Cambridge: Cambridge University Press.Search in Google Scholar
Cornips, Leonie & Cecilia Poletto. 2005. On standardizing syntactic elicitation techniques. Lingua 115(7). 939–957. https://doi.org/10.1016/j.lingua.2003.11.004.Search in Google Scholar
Curtin, Melissa. 2020. Dialect: Social class. In Stanlaw James (ed.), The international encyclopedia of linguistic anthropology, 1–9. Hoboken, NJ: John Wiley & Sons.10.1002/9781118786093.iela0100Search in Google Scholar
Dahlman, Roberta & Tanja Kupisch. 2016. Attrition at the interfaces in bilectal acquisition (Italian/Gallipolino). In Ermenegildo Bidise, Federica Cognola & Manuela Moroni (eds.), Theoretical approaches to linguistic variation, 259–316. Amsterdam: John Benjamins.Search in Google Scholar
Declerck, Mathieu & Neil Kirk. 2023. No evidence for a mixing benefit: A registered report of voluntary dialect switching. PLoS One 18(5). 1–14. https://doi.org/10.1371/journal.pone.0282086.Search in Google Scholar
Declerck, Mathieu, Elisabeth Ozbakar & Neil Kirk. 2021. Is there proactive inhibitory control during bilingual and bidialectal language production? PLoS One 16(9). 1–16. https://doi.org/10.1371/journal.pone.0257355.Search in Google Scholar
Eide, Kristin & Tor Åfarli. 2020. Dialects, registers and intraindividual variation: Outside the scope of generative frameworks? Nordic Journal of Linguistics 43(3). 233–248. https://doi.org/10.1017/s0332586520000177.Search in Google Scholar
Elvin, Jaydene & Paula Escudero. 2019. Cross-linguistic influence in second language speech: Implications for learning and teaching. In Juncal Gutierrez-Mangado, María Martínez-Adrián & Francisco Gallardo-del-Puerto (eds.), Cross-linguistic influence: From empirical evidence to classroom practice, 1–20. Cham: Springer.10.1007/978-3-030-22066-2_1Search in Google Scholar
Enger, Hans-Olav. 2004. On the relation between gender and declension: A diachronic perspective from Norwegian. Studies in Language 28(1). 51–82. https://doi.org/10.1075/sl.28.1.03eng.Search in Google Scholar
Feldman, Carlo, Addison Stone, James Wertsch & Michael Strizich. 1977. Standard and nonstandard dialect competencies of Hawaiian Creole English speakers. Tesol Quarterly 11(1). 41–50. https://doi.org/10.2307/3585590.Search in Google Scholar
Feleke, Tekabe Legesse. 2023. Determinants of language change in the Gurage area of Ethiopia. Journal of World Languages 9(2). 253–288. https://doi.org/10.1515/jwl-2022-0024.Search in Google Scholar
Feleke, Tekabe Legesse, Charlotte Gooskens & Stefan Rabanus. 2020. Mapping the dimensions of linguistic distance: A study on South Ethiosemitic languages. Lingua 243(15). 1–31. https://doi.org/10.1016/j.lingua.2020.102893.Search in Google Scholar
Feleke, Tekabe Legesse & Terje Lohndal. 2023. Gender variation across the Oromo dialects: A corpus-based study. Studia Linguistica 77(3). 453–495. https://doi.org/10.1111/stul.12213.Search in Google Scholar
Ferguson, Charles. 1970. The Ethiopian language area. Journal of Ethiopian Studies 8(2). 67–68.Search in Google Scholar
Garcia, Felicidad, Guannan Shen, Trey Avery, Heather Green, Paula Godoy, Reem Khamis & Koren Froud. 2022. Bidialectal and monodialectal differences in morphosyntactic processing of AAE and MAE: Evidence from ERPs and acceptability judgments. Journal of Communication Disorders 100(5). 1–15. https://doi.org/10.1016/j.jcomdis.2022.106267.Search in Google Scholar
Gawlitzek-Maiwald, Ira & Rosemarie Tracy. 1996. Bilingual bootstrapping. Linguistics 5(34). 901–926. https://doi.org/10.1515/ling.1996.34.5.901.Search in Google Scholar
Genesee, Fred. 1989. Early bilingual development: One language or two? Journal of Child Language 16(1). 161–179. https://doi.org/10.1017/s0305000900013490.Search in Google Scholar
Goldrick, Mathew, Michael Putnam & Lara Schwarz. 2016. Coactivation in bilingual grammars: A computational account of code mixing. Bilingualism: Language and Cognition 19(5). 857–876. https://doi.org/10.1017/s1366728915000802.Search in Google Scholar
Hauser-Grüdl, Nicole, Lastenia Guerra, Franziska Witzmann, Estelle Leray & Natascha Müller. 2010. Cross-linguistic influence in bilingual children: Can input frequency account for it? Lingua 120(11). 2638–2650. https://doi.org/10.1016/j.lingua.2010.06.008.Search in Google Scholar
Hazen, Krik. 2001. Teaching about dialects. Washington DC: ERIC Clearinghouse.Search in Google Scholar
Hendrikx, Isa, Kristel Van Goethem & Stefanie Wulff. 2019. Intensifying constructions in French-speaking L2 learners of English and Dutch: Cross-linguistic influence and exposure effects. International Journal of Learner Corpus Research 5(1). 63–103. https://doi.org/10.1075/ijlcr.18002.hen.Search in Google Scholar
Henry, Alison. 2005. Non-standard dialects and linguistic data. Lingua 115(11). 1599–1617. https://doi.org/10.1016/j.lingua.2004.07.006.Search in Google Scholar
Hockett, Charles. 1958. A course in modern linguistics. New York: Macmillan.Search in Google Scholar
Hopkins, Kelly, George Kellas & Stephan Paul. 1995. Scope of word meaning activation during sentence processing by young and older adults. Experimental Aging Research 21(2). 123–142. https://doi.org/10.1080/03610739508254273.Search in Google Scholar
Hudson, Richard. 1996. Sociolinguistics. Cambridge: Cambridge University Press.Search in Google Scholar
Hundie, Mekonnen. 2002. Lexical standardization in Oromo. Addis Ababa University MA thesis.Search in Google Scholar
Jäkel, Frank & Felix Wichmann. 2006. Spatial four-alternative forced-choice method is the preferred psychophysical method for naïve observers. Journal of Vision 6(11). 1307–1322. https://doi.org/10.1167/6.11.13.Search in Google Scholar
Jankowiak, Katarzyna & Pawet Korpal. 2018. On modality effects in bilingual emotional language processing: Evidence from galvanic skin response. Journal of Psycholinguistic Research 47(1). 663–677. https://doi.org/10.1007/s10936-017-9552-5.Search in Google Scholar
Johannessen, Bondi & Ida Larsson. 2018. Stability and change in grammatical gender: Pronouns in heritage Scandinavian. Journal of Language Contact 11(3). 441–480. https://doi.org/10.1163/19552629-01103004.Search in Google Scholar
Johnson, Lakeisha, Nicole Terry, Carol McDonald Connor & Shurita Thomas-Tate. 2017. The effects of dialect awareness instruction on nonmainstream American English speakers. Reading and Writing 30(1). 2009–2038. https://doi.org/10.1007/s11145-017-9764-y.Search in Google Scholar
Kambanaros, Maria, Kleanthes Grohmann & Michalis Michaelides. 2013. Lexical retrieval for nouns and verbs in typically developing bilectal children. First Language 33(2). 182–199. https://doi.org/10.1177/0142723713479435.Search in Google Scholar
Kebede, Hordofa. 2009. Towards the genetic classification of the Afaan Oromoo dialects. University of Oslo PhD dissertation.Search in Google Scholar
Kirk, Neil, Matheiu Declerck, Ryan Kemp & Kempe Vera. 2022. Language control in regional dialect speakers: Monolingual by name, bilingual by nature? Bilingualism: Language and Cognition 25(3). 511–520. https://doi.org/10.1017/s1366728921000973.Search in Google Scholar
Kroll, Judith, Susan Bobb & Noriko Hoshino. 2014. Two languages in mind: Bilingualism as a tool to investigate language, cognition, and the brain. Current Directions in Psychological Science 23(3). 159–163. https://doi.org/10.1177/0963721414528511.Search in Google Scholar
Kubota, Maki, Jorge Alonso, Merete Anderssen, Isabel Jensen, Alicia Luque, Sergio Soares, Yanina Prystauka, Øystein Vangsnes, Jade Sandstedt & Jason Rothman. 2023. Bilectal exposure modulates neural signatures to conflicting grammatical properties: Norway as a natural laboratory. Language Learning 73(4). 1–32. https://doi.org/10.1111/lang.12608.Search in Google Scholar
Kupisch, Tanja. 2008. Dominance, mixing and cross-linguistic influence. In Pedro Guijarro, John Clibbens & Maria Larranaga (eds.), First language acquisition of morphology and syntax: Perspectives across languages and learners, 209–234. Amsterdam: John Benjamins.10.1075/lald.45.09kupSearch in Google Scholar
Kupisch, Tanja & Ewgenia Klaschik. 2017. Cross-lectal influence and gender marking in bilectal Venetan-Italian acquisition. In Elma Blom, Leonie Cornips & Jeannette Schaeffer (eds.), Cross-linguistic influence in bilingualism: In honor of Aafke Hulk, 127–152. Amsterdam & Philadelphia: John Benjamins.10.1075/sibil.52.07kupSearch in Google Scholar
Kürschner, Sebastian & Damaris Nübling. 2011. The interaction of gender and declension in Germanic languages. Folia Linguistics 45(2). 355–388. https://doi.org/10.1515/flin.2011.014.Search in Google Scholar
Labov, William. 1972. Language in the inner city: Studies in the Black English vernacular. Philadelphia: University of Pennsylvania Press.Search in Google Scholar
Labov, William. 1998. Co-existent systems in African American English. In Salikoko Mufwene, John Rickford, Guy Bailey & John Baugh (eds.), African American English, 110–153. London: Routledge.Search in Google Scholar
Lanwermeyer, Manuela, Karen Henrich, Maria Rocholl, Hanni Schnell, Alexander Werth, Joachim Herrgen & Jurgen Schmidt. 2016. Dialect variation influences the phonological and lexical-semantic word processing in sentences: Electrophysiological evidence from a cross-dialectal comprehension study. Frontiers in Psychology 739(7). 1–18. https://doi.org/10.3389/fpsyg.2016.00739.Search in Google Scholar
Leivada, Evelina, Elena Papadopoulou, Maria Kambanaros & Kleathes Grohmann. 2017. The influence of bilectalism and non-standardization on the perception of native grammatical variants. Frontiers in Psychology 205(8). 1–11.10.3389/fpsyg.2017.00205Search in Google Scholar
Leung, Yan-Kit. 2006. Full transfer vs. partial transfer in L2 and L3 acquisition. In Roumiyana Slabakova, Silvina Montrul & Philippe Prevost (eds.), Inquiries in linguistic development: In honor of Lydia White, 157–187. Amsterdam: John Benjamins.10.1075/z.133.10leuSearch in Google Scholar
Liu, Huanhuan, Lijuan Liang, Li Zhang, Yao Lu & Baoguo Chen. 2017. Modulatory role of inhibition during language switching: Evidence from evoked and induced oscillatory activity. International Journal of Bilingualism 21(1). 57–80. https://doi.org/10.1177/1367006915600800.Search in Google Scholar
Lohndal, Terje & Marit Westergaard. 2021. Grammatical gender: Acquisition, attrition, and change. Journal of German Linguistics 33(1). 95–121. https://doi.org/10.1017/s1470542720000057.Search in Google Scholar
Lundquist, Bjorn & Øystein Vangsnes. 2018. Language separation in bidialectal speakers: Evidence from eye tracking. Frontiers in Psychology 1394(9). 1–18. https://doi.org/10.3389/fpsyg.2018.01394.Search in Google Scholar
Lundquist, Bjorn, Maud Westendorp & Bror-Magnus Strand. 2020. Code-switching alone cannot explain intraspeaker syntactic variability: Evidence from a spoken elicitation experiment. Nordic Journal of Linguistics 43(3). 249–287. https://doi.org/10.1017/s0332586520000190.Search in Google Scholar
Marian, Viorica & Michael Spivey. 2003. Competing activation in bilingual language processing: Within-and between-language competition. Bilingualism: Language and Cognition 6(2). 97–115. https://doi.org/10.1017/s1366728903001068.Search in Google Scholar
Melinger, Alissa. 2018. Distinguishing languages from dialects: A litmus test using the picture-word interference task. Cognition 172(11). 73–88. https://doi.org/10.1016/j.cognition.2017.12.006.Search in Google Scholar
Melinger, Alissa. 2021. Do elevators compete with lifts? Selecting dialect alternatives. Cognition 206(11). 1–13. https://doi.org/10.1016/j.cognition.2020.104471.Search in Google Scholar
Mous, Maarten. 2008. Number as an exponent of gender in Cushitic. In Zygmunt Frajzyngier & Erin Shay (eds.), Interaction of morphology and syntax: Case studies in Afroasiatic, 137–160. Amsterdam: John Benjamins.10.1075/tsl.75.07mouSearch in Google Scholar
Negesse, Feda. 2015. Classification of Oromo dialects: A computational approach. International Journal of Computational Linguistics 6(1). 1–10.Search in Google Scholar
Nycz, Jennifer. 2015. Second dialect acquisition: A sociophonetic perspective. Language and Linguistics Compass 9(11). 469–482. https://doi.org/10.1111/lnc3.12163.Search in Google Scholar
Oschwald, Jessica, Alisa Schättin, Claudia Von Bastian & Alessandra Souza. 2018. Bidialectalism and bilingualism: Exploring the role of language similarity as a link between linguistic ability and executive control. Frontiers in Psychology 1997(9). 1–22. https://doi.org/10.3389/fpsyg.2018.01997.Search in Google Scholar
Owens, Jonathan. 1985. A grammar of Harar Oromo (Northeastern Ethiopia). Hamburg: Buske.Search in Google Scholar
Pavlov, Goran, Dexin Shi, Alberto Maydeu-Olivares & Amanda Fairchild. 2021. Item desirability matching in forced-choice test construction. Personality and Individual Differences 183(15). 1–10. https://doi.org/10.1016/j.paid.2021.111114.Search in Google Scholar
Rodina, Yulia & Marit Westergaard. 2015. Grammatical gender in Norwegian: Language acquisition and language change. Journal of German Linguistics 27(2). 145–187. https://doi.org/10.1017/s1470542714000245.Search in Google Scholar
Rodina, Yulia & Marit Westergaard. 2021. Grammatical gender and declension class in language change: A study of the loss of feminine gender in Norwegian. Journal of German Linguistics 33(3). 235–263. https://doi.org/10.1017/s1470542719000217.Search in Google Scholar
Roeper, Thomas. 1999. Universal bilingualism. Bilingualism Language and Cognition 2(3). 169–186. https://doi.org/10.1017/s1366728999000310.Search in Google Scholar
Roeper, Thomas. 2016. Multiple grammars and the logic of learnability in second language acquisition. Frontiers in Psychology 14(7). 1–14. https://doi.org/10.3389/fpsyg.2016.00014.Search in Google Scholar
Ruch, Hanna. 2018. The role of acoustic distance and sociolinguistic knowledge in dialect identification. Frontiers in Psychology 818(9). 1–15. https://doi.org/10.3389/fpsyg.2018.00818.Search in Google Scholar
Schmidt, Lauren. 2022. Second language development of dialect awareness in Spanish. Hispania 105(2). 267–284. https://doi.org/10.1353/hpn.2022.0055.Search in Google Scholar
Siegel, Jeff. 2010. Second dialect acquisition. Cambridge: Cambridge University Press.10.1017/CBO9780511777820Search in Google Scholar
Stadthagen-González, Hans, Luis Lopez, Carmen Couto & Alejandro Parraga. 2018. Using two-alternative forced choice tasks and Thurstone’s law of comparative judgments for code-switching research. Linguistic Approaches to Bilingualism 8(1). 67–97. https://doi.org/10.1075/lab.16030.sta.Search in Google Scholar
Steriopolo, Olga. 2017. Nominalizing evaluative suffixes in Russian: The interaction of declension class, gender, and animacy. Poljarnyj Vestnik: Norwegian Journal of Slavic Studies 20(1). 18–44. https://doi.org/10.7557/6.4141.Search in Google Scholar
Taxitari, Loukia, Maria Kambanaros & Kleanthes Grohmann. 2015. Investigating early language development in a bilectal context. Paper presented at international symposium on monolingual and bilingual speech, Cyprus University of Technology, 7–10 September.Search in Google Scholar
Terry, Nicole. 2014. Dialect variation and phonological knowledge: Phonological representations and metalinguistic awareness among beginning readers who speak nonmainstream American English. Applied Psycholinguistics 35(1). 155–176. https://doi.org/10.1017/s0142716412000276.Search in Google Scholar
Trudgill, Peter. 2003. A glossary of sociolinguistics. Oxford: Oxford University Press.Search in Google Scholar
Wei, Li. 2000. Dimensions of bilingualism. In Wei Li (ed.), The bilingualism reader, 3–22. London: Routledge.10.4324/9781003060406-2Search in Google Scholar
© 2024 the author(s), published by De Gruyter, Berlin/Boston
This work is licensed under the Creative Commons Attribution 4.0 International License.
Articles in the same Issue
- Frontmatter
- Research Articles
- Processing Chinese object-topicalization structures in simple and complex sentences
- Competing constructions in Kaqchikel focus contexts
- A cross-linguistic study of lexical and derived antonymy
- Placeholders in crosslinguistic perspective: abilities, preferences, and usage motives
- From gesture to Sign? An exploration of the effects of communicative pressure, interaction, and time on the process of conventionalisation
- Dialect separation and cross-dialectal influence: a study on the grammatical gender of Oromo
- Morphosyntactic stereotypes of speakers with different genders and sexual orientations: an experimental investigation
Articles in the same Issue
- Frontmatter
- Research Articles
- Processing Chinese object-topicalization structures in simple and complex sentences
- Competing constructions in Kaqchikel focus contexts
- A cross-linguistic study of lexical and derived antonymy
- Placeholders in crosslinguistic perspective: abilities, preferences, and usage motives
- From gesture to Sign? An exploration of the effects of communicative pressure, interaction, and time on the process of conventionalisation
- Dialect separation and cross-dialectal influence: a study on the grammatical gender of Oromo
- Morphosyntactic stereotypes of speakers with different genders and sexual orientations: an experimental investigation