Abstract
Chinese has the basic word order of Subject-Verb-Object (SVO), yet it is also known as a topic-prominent language, where an object can be topicalized from within a relative clause as well as from a main clause. In parsing Topic-Subject-Verb (TSV) structures, will a Chinese comprehender have difficulties in recognizing the second noun phrase (NP2) as the subject and in integrating the initial topic noun with the verb? Experience/surprisal-based theories and memory-based theories make testable predications at the NP2 and critically, at the verb. Focusing on these two regions in three self-paced reading experiments, we compared reading time patterns between TSVs and canonical SVOs in simple or complex sentences. Converging evidence showed processing costs at or prior to the NP2 in TSVs compared to SVOs, but no retrieval or integration costs at the verb regardless of dependency lengths. Our results are not predicted by memory-based theories, but are consistent with the predictions of experience/surprisal-based theories, suggesting that Chinese TSV processing is guided by structural frequencies and a universal subject-reading bias, with completion of dependency between topic and the verb (or empty category) likely to be fundamentally semantic.
1 Introduction
A central goal of human sentence processing research is to understand generally applicable cognitive mechanisms that enable us to comprehend sentences across different languages. In parsing a sentence, the processor seems to be subject to two kinds of preferences. One is the parser’s sensitivity to frequency patterns, such that a more frequent structure is easier to process than a less frequent structure (e.g., Gennari and MacDonald 2008; Levy 2008; MacDonald et al. 1994; Mitchell et al. 1995). The other is the parser’s preference for structural representations that minimize memory load indexed by maintenance and retrieval of linguistic elements necessary for building structures incrementally (e.g., Gibson 1998; Vasishth and Lewis 2006). Both frequency and memory constraints have each been formalized into different processing models, which accordingly can be categorized as two general approaches to human sentence processing: (i) frequency-motivated experience- or surprisal-based theories (Gennari and MacDonald 2008; Hale 2001; Levy 2008) and (ii) memory-based theories (Gibson 1998; Van Dyke and McElree 2006; Vasishth and Lewis 2006).
According to experience- or surprisal-based theories, a key predictor for processing difficulties is comprehenders’ experience or familiarity with structures, or their abilities to predict likely structures to occur in a particular context. Repeated exposure to certain structures may potentially affect readers’ or listeners’ experience, such that during incremental parsing of sentences comprehenders can constantly rank possible candidate parses given the words already seen and choose a highly probable structure, until ultimately the target parse is the only structure to be built. Memory-based theories, however, stress on the processing difficulties incurred (due to limited memory resources) when an element is dependent on another element over a long distance, as in the case of filler-gap dependency. According to one variant of memory-based theories, namely the Dependency Locality Theory (DLT) (Gibson 1998), the parser temporarily stores in working memory a filler that was presented early, and then retrieves and fills it in upon encountering the (potential) site of the gap. According to another variant of memory-based theories, namely the cue-based retrieval theory (Van Dyke and McElree 2006; Vasishth and Lewis 2006), verbs are posited as retrieval cues, upon which the parser will trigger a search in working memory for its dependent and reactivate the filler. Given that the gap does not have an overt form, memory-based theories generally take the verb as the critical locus of retrieval/integration costs. Thus, compared to two adjacent elements, a long-distance dependency is predicted to incur processing difficulties at the retrieval site. This is also known as the locality effect.
While both experience/surprisal-based and memory-based theories are proposed as general approaches to comprehension difficulties of a variety of complex structures, to our knowledge existing work has been mainly focusing on argument-verb dependency in head-final languages (German: Konieczny [2000]; Schwab et al. [2022]; Hindi: Vasishth and Lewis [2006]), or filler-gap dependency of relative clauses in different languages (e.g., English: Gennari and MacDonald [2008]; Staub et al. [2017]; Russian: Levy et al. [2013]; Price and Witzel [2017]; Chinese: Hsiao and Gibson [2003]; Jäger et al. [2015]), without reaching a consensus yet. Thus, cross-linguistic evidence from other candidate structures is needed to further expand the explanatory adequacy of these two theories. In this study, we set out to test the two theories using a new type of structure, namely object-topicalization in Chinese.
1.1 Background: topic-comment structure in Chinese
Since Li and Thompson’s (1976) seminal work, subject prominence and topic prominence have been used as typological parameters to distinguish the basic sentence structure of languages. English is subject-prominent because it stresses on the relation between subject and predicate, whereas Chinese is topic-prominent (Chao 1968; Li and Thompson 1976, 1981), with a variety of structures built on the relation between topic and comment, as shown in (1).
Topic-comment structures in Chinese (the comma is optional, signifying a prosodic pause) |
zheben shui (,) | Yuehan | duguo | ei. |
this-CL book | John | read-ASP | _ |
‘This book, John has read’. |
zheben shui (,) meigeren | dou | shuo | ei | hao. |
this-CL book every-CL-man | all | say | _ | good |
‘This book, everyone says [it’s] good.’ |
zheben shu (,) fengpi | diaole. |
this-CL book cover | fall-ASP |
‘This book, [its] cover fell off.’ |
zheben shu (,) gongshi duo, tuxing fuza, | burongyi du. |
this-CL book formula many figure complex | not-easy read |
‘This book, [containing] many formulas and complex figures, [is] not easy to read.’ |
zheben shu (,) | xingkui | Li | laoshi | laide | zao. |
this-CL book, | fortunately | surname | teacher | come-RES | early |
‘This book, fortunately Teacher Li came early.’ [implication: as it’s sold out very soon.] |
zheben shu (,) | zenme | shuo | ne… |
this-CL book | how | say | SFP |
‘This book, … how [should I] say …’ |
The above topic-comment structures can be subcategorized into two types: (i) GAPPED topic structure (1a–b), where the topic noun phrase (NP) bears a co-referential relation with an empty category (marked as ‘e’) in the sentence, and (ii) NON-GAPPED topic structure or “Chinese-style topics” (Chafe 1976), where the topic NP bears a part-whole relation (1c–d) or no direct relation at all (1e–f) with the following NP. It is precisely the “aboutness” condition between the topic NP and the rest of the clause that defines the topic-comment structure (Gundel 1985; Gundel and Fretheim 2006).
One distinct feature of the topic-comment structure in Chinese is its wide distribution in daily life, in contrast to the restricted use in English, as evidenced by the existing few corpus studies on the gapped topic structure. In Liu and Gao’s (2010) corpus of vernacular Beijing dialect, 992 tokens of gapped topic structures were found, accounting for 7.6 % of the total 13,000 clauses. Yet in Gregory and Michaelis’s (2001) switchboard telephone corpus, only 44 tokens of English gapped topic structures were found, accounting for 0.13 % of the total 32,805 clauses. Furthermore, in Wang and Li’s (2016) examination of Chinese versus English dialogues – both lasting 5.5 h with similar themes, the object-topicalization structure (i.e., ex. [1a]) is 42.4 times more frequent in spoken Chinese (297 tokens) than in spoken English (7 tokens). As said, gapped topic structure is only one subtype of topic-comment structures in Chinese. If we turn to non-gapped topic structure – roughly, 1.99 times more frequent than gapped topic structure in Zhang’s (2017) spoken corpus of a talk-show program, it is even more widely distributed. In short, given the pervasiveness of topic-comment structures in Chinese (Chao 1968), a Chinese parsing system should be fairly familiar with object-topicalization, a structure of our primary concern.
The other interesting property of Chinese topic-comment structures is that, unlike English, where topics are restricted to main clauses (Hooper and Thompson 1973), elements embedded within a relative clause can also be topicalized in Chinese (Huang et al. 2009: 209–211; Xu and Langendoen 1985; Xu and Liu 1998: 38–41). As shown below, in the canonical SVO structure (2a), the object embedded in the relative clause can be topicalized, forming the object-topicalization sentence (2b). In contrast to the well-formedness of (2b), its English counterpart is ungrammatical.
Canonical Subject-Verb-Object order embedded with the relative clause | |||||||
[RC ei | chiguo | zhedao | cai | de] | reni | bu | duo. |
_ | eat-ASP | this-CL | dish | DE | man | not | many |
‘There aren’t many people who have eaten this dish.’ |
Topicalization of object that is embedded in the relative clause | ||||||
zhedao caii | [RC ej chiguo ei | de] | renj bu | duo.[1] | ||
this-CL dish | _ eat-ASP _ | DE | man not | many | ||
*‘There aren’t many people who this dish have eaten.’ |
1.2 Existing processing work on object-topicalization structure in Chinese
Existing psycholinguistic studies on Chinese topic-comment structure, though few, have mainly focused on the object-topicalization structure, namely, Topic-Subject-Verb (TSV). Assuming topicalized object-NPs are derived by movement with a null operator binding an empty category (Huang 1982; Huang et al. 2009; Li 1990, 2000; Shi 2000), these studies have the same logic as memory-based approaches to long-distance dependency processing: Upon encountering the verb, Chinese comprehenders need to retrieve the topic from the working memory and fill it in. Compared to the canonical SVO structure, this gap-filling process in the TSV structure would incur processing costs due to (i) the long distance and (ii) potential intervening competitors that might cause interference in the retrieval/integration process.
However, results from existing work have been mixed. Most studies showed no processing differences at the verb in TSV sentences (self-paced reading: Kuo [2006]; Li and Wu [2020]; cross-modal priming: Cai and Dong [2010]), indicating a lack of locality effect that is not predicted by memory-based theories. To our knowledge, only two studies found processing difficulties at the verb in TSV sentences relative to SVO sentences, indexed by reading time slowdown (Huang and Kaiser 2008) or an enhanced P600 (Yang and Liu 2013). Yet unlike most studies, Huang and Kaiser (2008) used subject-topicalization in conjunction with a parasitic-gap construction. While Yang and Liu (2013) used the object-topicalization structure, their sentence-final constituents were not fully matched, making it hard to compare verbal classifiers (e.g., liang-jiao ‘[lit.] two-foot, [kicked] twice’) to human referents (e.g., someone whose name is Wang Wu). Thus, aspects of syntactic inconsistencies in these two studies undermine the generalizability of their conclusions.
Among the studies that failed to detect any effect at the verb, Li and Wu (2020) actually reported additional findings. Reaction times (RTs) were significantly longer at the position of S in TSV sentences than RTs at the same position in SVO sentences. When analyzing by part of speech, they found that the same lexical verb, though in different positions, was significantly faster in TSV than SVO sentences (373 ms vs. 408 ms, t = 3.81). They also asked Chinese participants to complete a gated sentence-completion task, and found an interesting trade-off between subject-predicate continuations and topic-comment continuations. In the SVO condition, an initial animate noun phrase (i.e., Gate 1, N…) led participants to produce 95.28 % SV continuations but no topic-comment continuations, and an added verb phrase (i.e., Gate 2, NV…) further promoted SVO continuations to 100 %. In the TSV condition, however, the rate of topic-comment continuations was 30.16 % at Gate 1 (i.e., prompted by an initial inanimate N…), but sharply increased to 96.03 % at Gate 2 (i.e., with an added animate noun phrase, NN…). Taking together the production and comprehension data, Li and Wu (2020) reasoned that Chinese participants had a strong bias for interpreting the initial NP as Subject, but upon seeing the second NP in TSVs, they readjusted the subject-reading to a topic-reading fairly quickly, such that they had no difficulty understanding the rest of the sentences, and even processed the verb much faster in TSVs than the verb that occurred earlier in SVOs.
The findings of Li and Wu (2020) appear enlightening, potentially constituting evidence for experience/surprisal-based theories while imposing challenges to memory-based theories in terms of Chinese object-topicalization processing. We note, however, one inherent problem associated with this line of research, namely “comparability”, because TSV and SVO differ in word order. Given that processing research is primarily interested in how parsing varies dynamically in real time, it is perhaps more revealing to examine data by regions than by part of speech. Yet when comparing TSVs to SVOs by regions, Li and Wu (2020) did not regress out extraneous factors related to different parts of speech, nor did they take into consideration a spillover effect from the preceding region. In fact, doing such statistical analysis requires enough data points, whereas they only tested 32 participants. Thus, it is worthwhile to replicate their results with a large sample size.
In sum, existing processing work on Chinese topicalization structures has almost exclusively focused on simple sentences or main clauses, without yielding consistent findings. Furthermore, none of them has considered examining potential retrieval/integration costs in sentences with object-NPs that are extracted from complex relative clauses. More importantly, given their primary concern about syntactic movement, virtually no study was designed to evaluate competing processing accounts. The present study aimed to fill these gaps, recasting the findings in light of two competing processing theories.
1.3 Research goals
We aimed to investigate how Chinese comprehenders process object-topicalization in simple and complex structures. TSV sentences provide us a good testing ground to evaluate memory-based theories and experience-based theories, because they occur frequently, involve non-adjacent dependencies between topics (i.e., fronted objects) and gaps (or verbs), and are allowed to have topics extracted from relative clauses that are known to be structurally complex.
We conducted three self-paced reading experiments. Experiment 1 used simple sentences from Li and Wu (2020) with slight modification, to establish a basic processing profile of Chinese TSVs at the second NP (henceforth NP2) and critically, at the verb. Experiment 2 focused on complex sentences, to further investigate whether an added structural complexity changes Chinese comprehenders’ parsing biases at the NP2 and verb regions. Experiment 3 narrowed down to certain conditions of Experiment 2, with better controlled stimuli, to facilitate direct comparisons between sentences. To foreshadow our results, we find that consistent with experience/surprisal-based theories, Chinese participants generally tended to interpret the sentence-initial topic as Subject, but they had no difficulty integrating the topic NP into the verb, regardless of structural complexity.
2 Experiment 1: processing TSVs in simple sentences
Experiment 1 aimed to replicate Li and Wu’s (2020) self-paced reading results, and to characterize the basic parsing processes of Chinese simple TSVs, by examining how Chinese participants react to (i) the NP2 and (ii) the main verb in simple TSV versus SVO sentences. We adapted Li and Wu’s (2020) stimuli, manipulating Word Order of sentences (object-topicalization or canonical), yielding two conditions: TSV (3a) and SVO (3b). The slashes indicate how phrases were segmented in self-paced reading.
TSV | ||||||
zheshou/ | tangshii/ | kongpa/ | meige/ | ertong/ | dou/ | huibei ei/ |
this-CL | Tang-poem | perhaps | every-CL | child | all | can-recite _ |
danshi/ | weibi/ | lijie. | ||||
but | not-necessarily | understand | ||||
‘This poem from the Tang dynasty perhaps every child can recite but not necessarily understand it.’ |
SVO | ||||||
kongpa/ | meige/ | ertong/ | dou/ | huibei/ | zheshou/ | tangshi/ |
perhaps | every-CL | child | all | can-recite | this-CL | Tang-poem |
danshi/ | weibi/ | lijie. | ||||
but | not-necessarily | understand | ||||
‘Perhaps every child can recite this poem from the Tang dynasty but not necessarily understand it.’ |
2.1 Predictions
2.1.1 Experience/surprisal-based theories
To derive predictions of experience/surprisal[2]-based theories, we mainly used Li and Wu’s (2020) gated sentence-completion data for word-by-word structural probabilities of the target sentences. In addition, we also conducted a spoken corpus analysis that directly compared the frequency distribution of TSV versus SVO sentences in Chinese, given that relevant evidence is still lacking.
We randomly extracted 1,000 sentences, segmented by the punctuation mark of period, from One on One, a face-to-face interview TV program in the Media Language Corpus (http://ling.cuc.edu.cn/RawPub/). After excluding 7 incomplete fragments, we manually coded the remaining 993 sentences into three types: Subject-predicate (690 tokens, or 69.5 %), Topic-comment (272 tokens, or 27.4 %), and Other (31 tokens). Further subcategorizing the first two types yielded 196 (19.7 %) SVOs and 47 (4.7 %) TSVs. In other words, canonical subject-predicate sentences are 2.5 times more frequent than topic-comment sentences, and SVOs are about 4.2 times more frequent than TSVs. These findings confirm that while topic-comment structure is fairly frequent in Chinese, the basic word order is nevertheless SVO, with its occurrence far exceeding that of the object-topicalization structure, which is a special kind of topic-comment structure. Our corpus data also echo Li and Wu’s (2020) sentence-completion data, suggesting an initial NP is by default taken to be Subject.
Taking together, we derive two predictions of experience-based theories at the NP2 and the verb regions. First, given the dominant subject-reading bias for the NP1, the presence of the NP2 in the TSV condition would induce a structural reanalysis from the initial SVO parse to the correct TSV parse, hence a slowdown in RTs. Note, however, this slowdown might occur prior to the NP2 given the current design, where all the NPs were preceded by either a quantifier-classifier (‘every-CL’) or numeral-classifier (‘this-CL’) phrase, the presence of which is highly likely to cue an upcoming noun due to Chinese grammar (e.g., Huang et al. 2009). Second, once the NP2 is recognized as the subject, the TSV structure can be highly predicted, as suggested by (i) the high proportion of topic-comment continuations when the prompt contained two NPs in Li and Wu’s (2020) sentence-completion data, and (ii) the pervasive topic-comment structures in Chinese in general (Liu and Gao 2010; Zhang 2017). Thus, by the time the main verb (‘can-recite’) is seen, TSV should be read almost as fast as the canonical SVO structure.
2.1.2 Memory-based theories
According to memory-based theories, specifically Gibson’s integration-cost metric of DLT, once the sentence-initial topic NP (Tangshi ‘the Tang-poem’) bearing the patient role is recognized as a filler for an upcoming gap, Chinese readers will hold it in their working memory. Then upon seeing the main verb (huibei ‘can-recite’) in the TSV condition, Chinese readers need to retrieve the topic NP and fill it in at the post-verb gap position, in order to complete the long-distance filler-gap dependency. The retrieval/integration cost will be increased compared to the SVO condition due to (i) the long linear distance between the filler and the post-verb gap and (ii) the intervening NP2 and the main verb as “discourse referents” (Gibson 1998: 12, 17–18). Thus, memory-based theories would predict a slowdown in RTs at the main verb (i.e., huibei ‘can-recite’) in the TSV condition relative to the same position in the SVO condition.
2.2 Method
2.2.1 Participants
One hundred students from Shanghai Jiao Tong University participated in Experiment 1 for an exchange of 30 yuan. All were native speakers of Mandarin Chinese from mainland China. Their mean age was 21.58 (SD = 2.13).
2.2.2 Materials and design
Experiment 1 manipulated Word Order of sentences, yielding two conditions as in (3). As in Li and Wu (2020), all experimental stimuli used a typical animacy configuration, where the agent nouns (‘students’) were animate, and the patient nouns (‘Tang-poem’) inanimate. Both nouns were preceded by a quantifier/numeral + classifier phrase (for convenience, we call it a Determiner Phrase), and had an intervening adverb (‘perhaps’), such that no possessive reading was allowed in the TSV condition by two otherwise bare nouns that were adjacent. To avoid potential sentence-final wrap-up effects (Just and Carpenter 1980), both conditions had a continuing clause. We slightly modified Li and Wu’s (2020) continuing clauses by having the template of “conjunction + modal verb + main verb”, to ensure that parts of speech were identical across trials.[3]
As in Li and Wu (2020), 16 sets of target items were assigned into two lists by a Latin Square procedure. In each list, 16 sentences were intermixed with 44 sentences from two other experiments (20 and 24 sets of stimuli, respectively) that were irrelevant to topic-comment structures, and 34 filler sentences in a variety of structures. The stimuli in each list, totaling 94 sentences, were randomized by Linger. See Appendix A for the experimental stimuli.
2.2.3 Procedure
A word-by-word, moving-window self-paced reading experiment was run on a laptop using Linger 2.94 developed by Doug Rohde. Participants read the sentence at their own speed, and then answered a yes/no comprehension question by pushing the F/J key. Feedback was given for incorrect responses. Participants were instructed to read for meaning, and to answer the questions as quickly and accurately as they could. The experiment took approximately 20 min to complete.
2.2.4 Data analysis
We focused on two critical regions of the TSV condition: the NP2 (W5) and the main verb (MV, W7). Considering spillover effects in self-paced reading, we also examined the immediately following word, specifically NP2+1 (W6) and MV+1 (W8). Given the presence of a noun-denotating determiner phrase, we further analyzed the region immediately preceding the NP2 (W4).
All analyses were carried out using linear mixed-effect models (LMMs) fitted by maximum likelihood for reading time analyses, using the lme4 package (Bates et al. 2015) in R (Version 3.3; CRAN project; the R Foundation for Statistical Computing 2011). Prior to the analysis, RTs underwent trimming if beyond 2.5 standard deviation of the participant’s mean or longer than 4,000 ms, affecting 2.34 % of the total datapoints. Then a log transformation was applied to normalize the distribution (Box and Cox 1964).
For data analyses of all the experiments reported in this paper, we followed a two-step procedure: first, the log RTs were regressed on log frequency of the lexical words (from http://crr.ugent.be/isubtlex_ch/, Cai and Brysbaert [2010]), number of strokes, word length (i.e., number of characters) and word position, to control for extraneous effects, with random intercepts for subjects and items. Then from this model, the residual log RTs were computed and served as the dependent variable for the analyses in the second step. Second, for each critical region, the residual log RTs were regressed on the fixed factor (i.e., Word Order in Experiment 1, sum-coded) and the spillover effect of the preceding word, with the random effects including varying intercepts and slopes. Maximal random effects models were fit whenever they could converge; if not, we reduced the random slopes step-wise on items first, followed by subjects. We took an absolute t-value equal to or above 2 to reach statistical significance at α = 0.05.
2.3 Results
2.3.1 Comprehension accuracy
The mean comprehension accuracy was high overall: 97.13 % (SD = 0.17) for all the target trials, 97.25 % (SD = 0.16) for TSVs, and 97 % (SD = 0.17) for SVOs. Results of generalized linear mixed-effects model (GLMM) showed no difference between the accuracy rate of TSVs and that of SVOs (β = −0.089, SE = 0.299, z = −0.299, p = 0.765).
2.3.2 Reading times
Figure 1 shows the mean and 95 % confidence intervals of the trimmed RTs by regions. Clearly, there is a reversal of RT patterns in the critical regions: at the determiner phrase and the NP2, the TSV condition had a processing disadvantage; but at the verb, the TSV sentences appeared to be read faster than the SVO sentences. Table 1 reports the statistical results of five regions (i.e., from W4 to W8), each including spillover effects from the previous region.

Experiment 1 word-by-word reading times. Error bars represent standard errors. Critical regions (NP2 & MV) are shown in rectangle boxes (*marks significant effects; n.s., means not significant).
Effects of Word Order by regions in Experiment 1. The dependent variable for each region is the residuals of a linear mixed effect model on log-transformed reading time with extraneous factors including log word frequency, number of strokes, word length and region.
Word | maximal model with random slopes | Contrast | Coef. | SE | t-value |
---|---|---|---|---|---|
W4 (DetP in TSV condition) |
order + (1+order|subj) + (1+order|item) | TSV Pre_logRT |
0.018 0.367 |
0.007 0.019 |
2.734* 19.715 |
W5 (NP2 in TSV condition) |
order + (1+order|subj) + (1+order|item) | TSV Pre_logRT |
−0.007 0.357 |
0.008 0.019 |
−0.869 18.374 |
W6 (NP2+1 in TSV condition) |
order + (1+order|subj) + (1+order|item) | TSV Pre_logRT |
−0.009 0.310 |
0.006 0.019 |
−1.415 16.754 |
W7 (MV in TSV condition) |
order + (1+order|subj) + (1+order|item) | TSV Pre_logRT |
0.002 0.358 |
0.007 0.020 |
0.339 18.191 |
W8 (MV+1 in TSV condition) |
order + (1+order|subj) + (1+order|item) | TSV Pre_ logRT |
−0.003 0.321 |
0.014 0.021 |
−0.211 15.524 |
-
Bold t-values marked with * mean the results of the fixed factor reach statistical significance.
At W4 (i.e., the determiner phrase in the TSV condition), TSVs were read significantly more slowly than SVOs.
At W5 (i.e., NP2 in the TSV condition) and W6 (i.e., NP2+1 in the TSV condition), TSVs were numerically slower than SVOs, without reaching statistical significance.
At W7 (i.e., MV in the TSV condition) and W8 (i.e., MV+1 in the TSV condition), no difference was found between TSVs and SVOs.
2.4 Discussion
With careful statistical analyses, we largely replicated Li and Wu’s (2020) by-region findings. First, at the region immediately preceding the NP2, anticipation of another noun in the TSV structure triggered a significant slowdown in RTs relative to the same position (i.e., W4) in the SVO structure, consistent with the prediction of experience/surprisal-based theories. No effect was found at the NP2, where the difficulty of its preceding word (i.e., spillover effects from W4) caused the reportedly a priori surprisal effect to go away. Note that different from Li and Wu (2020), the reanalysis effect occurred early in our study, possibly for two reasons: (1) A lot more filler trials with the regular SVO order were included in our study than in Li and Wu (2020), potentially heightening our participants’ sensitivity to the TSV structure that was relatively low in frequency. (2) The small sample size in Li and Wu (2020), totaling 32 participants only, made it difficult to detect the anticipatory effect at the noun-denoting determiner region. The early effect in our replication experiment reflects that the nature of human sentence processing is incremental, predictive, and probabilistic (e.g., Demberg 2010).
The second finding is that at the critical verb (i.e., W7), TSVs were faster, though numerically only, than SVOs. This pattern is hard to reconcile with memory-based theories, which predict retrieval/integration costs at the verb in the TSV condition.
The lack of effects at the post-NP2 regions overall, together with the reanalysis effect at the NP2-denoting region in the TSV condition, can be explained by experience/surprisal-based theories. Specifically, as SVO is the dominant word order in Chinese, the TSV structure was initially not the first or preferred parse. But once it was recognized, its remaining part down the stream turned out to be highly accessible. Given Chinese speakers’ extensive experience and considerable familiarity with the topic-comment structures in general, no processing difficulty ensued.
While the results of Experiment 1 are not as predicted by memory-based accounts, it remains unclear whether the long-distance retrieval/integration effects can be detected in more complex structures. This motivated our Experiment 2, where we created a modifying relative clause structure that intervenes between the topicalized NP1 and the verb. This lengthened distance will help us to further investigate whether Chinese comprehenders encounter difficulties at the NP2, which is now the head noun of the prenominal relative clause, and at the verb down the parsing stream. In addition, we also created a new type of object-topicalization to serve as a control condition for direct comparisons of TSVs, by taking advantage of the fact that objects embedded in relative clauses can be topicalized in Chinese.
3 Experiment 2: processing TSVs in complex sentences
The main goal of Experiment 2 was to see whether the critical findings of Experiment 1 could be extended to complex structures. The unique properties of Chinese grammar allow us to do so, as the sentence-initial topic can be extracted from a complex relative clause (RC) as well as from a main clause. Thus in Experiment 2, in addition to Word Order, we further manipulated Structural Complexity (i.e., whether a topicalized object-NP is extracted from an RC or from a main clause), yielding four conditions: object-topicalization from the RC (TSV-RC [4a]), canonical order of the RC (SVO-RC [4b]), object-topicalization from the main clause (TSV-MC [4c]), and canonical order of the main clause (SVO-MC [4d]). The brackets indicate that constituents inside them form a modifying RC, all being subject-extracted.
Sample stimulus of Experiment 2 |
TSV-RC | ||||||
zhexiang/ | jixian/ | yundongi/ | [RC ganyu/ | canjia/ | ei de]/ | ren/ |
this-CL | extreme | sport | [RC dare | join | _ DE] | man |
tongchang/ | dou/ | ganyu / | maoxian . | |||
usually | all | dare | adventure | |||
‘This extreme sport, the men who dare to join usually also dare to adventure.’ |
SVO-RC | ||||||
[RC ganyu/ | canjia/ | zhexiang/ | jixian/ | yundong/ | de]/ | ren/ |
[RC dare | join | this-CL | extreme | sport | DE] | man |
tongchang/ | dou/ | ganyu / | maoxian . | |||
usually | all | dare | adventure | |||
‘The men who dare to join this extreme sport usually also dare to adventure.’ |
TSV-MC | |||||||
zhexiang/ | jixian/ | yundongi/ | [RC ganyu/ | maoxian/ | de]/ | ren/ | |
this-CL | extreme | sport | [RC dare | adventure | DE] | man | |
tongchang/ | dou/ | ganyu / | canjia | ei. | |||
usually | all | dare | join | _ | |||
‘This extreme sport, the men who dare to adventure usually also dare to join.’ |
SVO-MC | ||||||
[RC ganyu/ | maoxian/ | de]/ | ren/ | tongchang/ | dou/ | ganyu / |
[RC dare | adventure | DE] | man | usually | all | dare |
canjia / | zhexiang/ | jixian/ | yundong. | |||
join | this-CL | extreme | sport | |||
‘The men who dare to adventure usually also dare to join this extreme sport.’ |
The fully-crossed design of Experiment 2 created two sets of TSV versus SVO sentences. The set of the TSV-MC (4c) versus SVO-MC (4d) is analogous to the TSV versus SVO in Experiment 1, but in the current TSV-MC (4c) where the topicalized NP1 originates from the main clause, an RC (‘the men who dare to adventure’) intervenes between the topicalized NP1 and the main verb phrase (VP), rendering the filler-gap dependency much longer in Experiment 2 than that in Experiment 1. Thus at the main VP (‘dare to join ei’), the processing profiles of (4c) versus its canonical counterpart (4d) would help assess whether the lack of integration costs found in Experiment 1 was due to the structural simplicity of the stimuli. The same logic applies to the other set, namely the TSV-RC (4a) versus the SVO-RC (4b), the region of interest being the RC-internal VP where the topicalized NP1 is retrieved/integrated. Given our primary concern, here we instead focus on the two TSV conditions where the dependency locality effects differ. As the topicalized NP1 in (4a) originates from within the RC (‘the extreme sporti, the men who dare to join ei’), the filler-gap dependency is completed early (i.e., after the RC-verb is seen), in contrast to the long dependency in (4c) (‘the extreme sporti, the men who dare to adventure, usually all dare to join ei’). With their parts of speech being fully controlled, we can directly compare the processing profiles of these two TSV conditions at the main VP ([4a] ‘dare to adventure’ vs. [4c] ‘dare to join ei’), thereby further evaluating the prediction of memory-based theories regarding retrieval/integration costs incurred by the dislocated topic in (4c). See Section 3.2.2 for details of stimulus design.
3.1 Predictions
Given that the primary goal of our research is to evaluate (i) the consequence of the subject-first bias at the NP2 in TSV sentences and (ii) the presence versus absence of the integration cost at the main verb, the predictions outlined below focus on the NP2 (i.e., the head noun of the RC in the two TSV conditions) and the main VP.
3.1.1 Experience/surprisal-based theories
To derive the prediction of experience/surprisal-based theories, we first estimated the structural frequencies of different conditions from spoken corpora. In our own spoken corpus, no TSV-RC structures were found. In Zhang (2017), out of a total of 1,150 topic structures, only 29 topic structures were found to occur in the subordinate clauses (including RCs and object complement clauses). Given that our target structure rarely occurred in corpora, we conducted two gated sentence-completion tests.
Gate-1 Test: In Gate-1 test, sentence fragments were truncated before DE, as in (5a–d). In (5a), the sentence-initial NP1 (zhexiang jixian yundong ‘this extreme sport’) was intended as the fronted argument (i.e., the direct object) of the immediately following VP in which the second word was a transitive verb (ganyu canjia ‘dare to join ei’). Thus, the fragments could be continued as a topic structure (i.e., “T+V”). In (5c), however, the NP1 cannot serve as the fronted argument of the following VP in which the second word was either an intransitive verb or a noun (ganyu maoxian ‘dare to adventure’). In the two SVO conditions ([5b] and [5d]), the fragments given can be interpreted as canonical VPs.
Gate 1 |
TSV-RC |
zhexiang jixian yundong ganyu canjia________。 (this-CL extreme sport dare join _______.) |
SVO-RC |
ganyu canjia zhexiang jixian yundong_______。(dare join this-CL extreme sport __________.) |
TSV-MC |
zhexiang jixian yundong ganyu maoxian______。(this-CL extreme sport dare adventure _________.) |
SVO-MC |
ganyu maoxian__________________________。 (dare adventure ______________.) |
Gate-2 Test: In Gate-2 test, sentence fragments were truncated up until DE, as in (6a–d). An added nominalizer (or relativizer) DE makes an RC continuation probable, which in turn makes an NP2 (i.e., the head noun of RC) more likely to be anticipated. Thus, we could find out whether Chinese speakers would be more likely to produce a TSV structure in the presence of complex RC sentences in (4a) and (4c), compared to their responses in Gate-1 test.
Gate 2 |
TSV-RC |
zhexiang jixian yundong ganyu canjia de______。(this-CL extreme sport dare join DE_____.) |
SVO-RC |
ganyu canjia zhexiang jixian yundong de______。(dare join this-CL extreme sport DE ______.) |
TSV-MC |
zhexiang jixian yundong ganyu maoxian de_____。(this-CL extreme sport dare adventure DE _____.) |
SVO-MC |
ganyu maoxian de_________________________。(dare adventure DE ___________.) |
For both Gate-1 and Gate-2 tests, 24 sets in four conditions were counterbalanced into four lists using a Latin Square procedure, and then pseudorandomized with 32 filler items in various structures. Those filler fragments were taken from the initial, medial, or final positions of their original forms. We used the online platform wenjuanxing (https://www.wjx.cn) to administer the tests. Two groups of 40 native speakers of Mandarin Chinese participated in the two tests, respectively. None of them took any other experiments. Each participant was paid 30 yuan. The mean ages of participants in two tasks were 22.5 (SD = 2.62) and 22.2 (SD = 2.29), respectively.
A total of 960 sentences were obtained for each test. We eliminated 45 ungrammatical sentences in Gate-1 (TSV-RC: 20; SVO-RC: 4; TSV-MC: 21) and 23 in Gate-2 (TSV-RC: 7; SVO-RC: 2; TSV-MC: 7; SVO-MC: 7) tests, respectively. The remaining 915 grammatical continuations were then coded into two structural types:
TC structures, including TSVs with gaps as in (7a) and those without gaps as in (7b);
SV structures, including SVs, VOs, and SVOs.[4]
Each type of structure was further classified into RC or non-RC, depending on whether the fragment was immediately followed by (i.e., was continued as) an RC or not.
gapped TSV continuation in the SVO-MC condition (Gate 2) | |||||
guanzhu | minsheng | de zhongyaoxing i , | women | meigeren | |
care-about | people’s life | DE importance | 1PL | every-CL-man | |
dou | yinggai | mingbai e i . | |||
all | should | understand | |||
‘Regarding the importance of caring about people’s life, every one of us should understand.’ |
non-gapped TC continuation in the SVO-MC condition (Gate 2) | ||||
buxi | shejiao | de ren | yiban | xingge |
dislike | socializing | DE people | generally | personality |
bijiao neilian | ||||
rather introvert | ||||
‘For people who do not enjoy socializing, their personalities are generally introvert.’ |
Table 2 shows the number and percentage of each structural type of grammatical continuation for the four types of fragments in Gate-1 and Gate-2 tests. Figure 2 shows the production rates of TC versus SV in terms of RC versus non-RC in grammatical continuations at Gate 1 and Gate 2. Two observations are noteworthy. First, at Gate 1 the production rates of SV sentences were high overall across conditions (mean = 77.38 % or 708/915), in contrast to the low production rate of TC sentences (mean = 22.62 % or 207/915). A generalized linear mixed model with a binomial link function and crossed varying intercepts for subjects and items shows a main effect of Word Order (β = 2.51, SE = 0.20, z = 12.57, p < 0.0001), but no other effects: Participants produced significantly more SVs in the SVO conditions ([5b] and [5d]) than in the TSV conditions ([5a] and [5c]), suggesting that prior to DE, Chinese speakers strongly preferred to interpret the sentence-initial NP1 as the subject, even in the TSV conditions.
Number and percentage of SV versus TC by RC or non-RC in grammatical continuations for four conditions at two gates in the sentence completion test of Experiment 2.
Condition | SV | TC | Total | ||||||||
---|---|---|---|---|---|---|---|---|---|---|---|
RC | Non-RC | RC | Non-RC | ||||||||
# | % | # | % | # | % | # | % | # | % | ||
Gate 1 | TSV-RC | 0 | 0 | 106 | 48.18 | 71 | 32.27 | 43 | 19.55 | 220 | 100 |
SVO-RC | 69 | 29.24 | 164 | 69.49 | 1 | 0.44 | 2 | 0.84 | 236 | 100 | |
TSV-MC | 0 | 0 | 134 | 61.87 | 76 | 34.70 | 9 | 4.11 | 219 | 100 | |
SVO-MC | 28 | 11.67 | 207 | 86.25 | 5 | 2.08 | 0 | 0 | 240 | 100 | |
SUM | 97 | 10.6 | 611 | 66.78 | 153 | 16.72 | 54 | 5.90 | 915 | 100 | |
Gate 2 | TSV-RC | 63 | 27.04 | 16 | 6.87 | 135 | 57.94 | 19 | 8.15 | 233 | 100 |
SVO-RC | 193 | 84.65 | 37 | 16.23 | 8 | 3.51 | 0 | 0 | 228 | 100 | |
TSV-MC | 11 | 4.72 | 88 | 37.77 | 116 | 49.79 | 18 | 7.73 | 233 | 100 | |
SVO-MC | 166 | 71.24 | 49 | 21.03 | 17 | 7.30 | 1 | 0.43 | 233 | 100 | |
SUM | 433 | 46.21 | 190 | 20.28 | 276 | 29.46 | 38 | 4.06 | 937 | 100 |

The production rates of grammatical TC versus SV continuation in terms of RC versus non-RC at Gate 1 and Gate 2 in the sentence completion test of Experiment 2.
Second, while the production rates of RC were low for both SVs (mean = 10.6 % or 97/915) and TCs (mean = 16.72 % or 153/915) at Gate 1, the presence of DE at Gate 2 led to a drastic increase of RCs for both SV (SVO-RC: 84.65 %; SVO-MC: 71.24 %) and TC continuations (TSV-RC: 57.94 %; TSV-MC: 49.79 %). A generalized linear mixed model shows a main effect of Word Order (β = −2.24, SE = 0.16, z = −14.17, p < 0.0001), a significant interaction between Word Order and Structural Complexity (β = 0.37, SE = 0.12, z = 2.89, p = 0.0039), but no main effect of Structural Complexity. This interaction was mainly reflected by the two TSV conditions where more SV/non-RCs were produced in TSV-MC (6c) (88/233 or 37.77 %) than in TSV-RC (6a) (16/233 or 6.87 %). But the two TSV conditions did not differ in TC/RC productions (135 vs. 116, or 57.94 % vs. 49.79 %), suggesting that upon seeing DE, Chinese participants had no problem expecting an RC and producing a head noun of the RC (i.e., an NP2), even in the non-canonical topic-comment structures. Note that the production rate of RCs is high in two SVO conditions but around the chance level in the two TSV conditions, suggesting that though expected, RC structures occurring in topic sentences were still indeterministic at DE.
From the results of two sentence-completion tests, we derive three predictions of experience/surprisal-based theories. First, given the strong subject-reading of NP1 prior to DE (even in the case of TSV conditions), SVOs ([4b] and [4d]) with a higher frequency of occurrence are predicted to be easier to process than TSVs ([4a] and [4c]), especially in regions prior to the main VP. Second, given that the presence of DE led Chinese speakers to be more deterministic to posit RC structures in SVOs than in TSVs, with no significant differences in RC production between two TSVs, increased processing costs are predicted in TSV conditions relative to SVO conditions, incurred by a reanalysis of NP1 from subject interpretation to topic interpretation, possibly at DE, the head noun of RC (i.e., the NP2), and subsequent spillover regions.
The third prediction is directly related to the critical region of the main VP. Specifically, once the reanalysis involved in TSV sentences is fully recovered down the parsing stream, no parsing differences are predicted between the two TSV conditions ([4a] vs. [4c]) by the time the main VP is seen.
3.1.2 Memory-based theories
Recall in Experiment 2, non-adjacent dependencies are involved only in TSV sentences ([4a] and [4c]), where the topicalized object-NPs originates from within the RC (4a) or the main clause (4c). Thus according to memory-based accounts, a main effect of Word Order indicative of integration costs should be attested, with TSVs ([4a] and [4c]) being read more slowly than SVOs ([4b] and [4d]) at the RC-internal and main VPs. Furthermore, as gap positions are different in the two TSV sentences, a higher retrieval/integration cost would be incurred at the main VP in the TSV-MC (4c) than the TSV-RC (4a), due to (i) a longer filler-gap dependency and (ii) more intervening discourse referents (i.e., RC-verb, HN, and MC-verb). In other words, an interaction is predicted at the main VP.
Below we test the predictions of memory-based and experience-based accounts in Experiment 2, focusing on the NP2 (i.e., the head noun of RC) and the main VP.
3.2 Method
3.2.1 Participants
Seventy-two native speakers of Mandarin Chinese from universities in Shanghai participated in Experiment 2 in exchange for 15 yuan. None of them participated in other experiments. Their mean age was 21 (SD = 2.02).
3.2.2 Materials
We manipulated Word Order (TSV vs. SVO) and Structural Complexity (main clause vs. RC), yielding four conditions (4a–d). Given that topics are typically definite (Gundel and Fretheim 2006: 179), all Objects/Topics in Experiment 2 consisted of three parts: a demonstrative-classifier phrase that denotes definiteness (e.g., zhe-xiang ‘this-CL’), an adjective/noun modifier (e.g., jixian ‘extreme’), and a noun (e.g., yundong ‘sport’). This ensures the grammaticality and naturalness of the experimental sentences when Objects undergo topicalizations ([4a] and [4c]). We created two types of VPs: the first verb was always identical (e.g., ganyu ‘dare’), and the second word was either (i) a transitive verb (e.g., canjia ‘join’) or (ii) an intransitive verb (e.g., maoxian ‘adventure’) or a noun (e.g., yishu ‘art’). These two types of VPs were positioned systematically, such that the type containing the transitive verb (ganyu canjia ‘dare to join’) was the RC-internal VP in the TSV-RC condition (4a), but was the main VP in the TSV-MC condition (4c). Conversely, the type containing the intransitive verb (ganyu maoxian ‘dare to adventure’) or the noun (e.g., xihuan yishu ‘like art’) was the main VP in the TSV-RC condition (4a), but was the RC-internal VP in the TSV-MC condition (4c). Thus, the sentence-initial NP1[5] (zhexiang jixian yundong ‘this extreme sport’) can only be analyzed as the fronted object of the RC-internal VP in the TSV-RC condition (4a) but as the object of the main VP in the TSV-MC condition (4c). Consistent with the design of Experiment 1, we also used a typical animacy configuration in Experiment 2, that is, agents are always animate, and patients inanimate.
A total of 24 sets of target stimuli were created. All target stimuli were controlled in length and syntactic relations. In addition, we also created 70 fillers, of which 24 were from another experiment and 46 were real fillers in varied structures. All target stimuli were counterbalanced into four lists using a Latin Square design. Each list consisted of 24 targets and 70 fillers. See Appendix B for the experimental stimuli of Experiment 2.
3.2.3 Procedure
The self-paced reading paradigm was used.
3.2.4 Data analysis
Given that the difficulty associated with the NP2 occurred early in Experiment 1 and that the (prenominal) RC structure itself is known to be complex, we expected to see processing difficulties in regions prior to the NP2 (i.e., the head noun [HN] of RC) in the TSV conditions of Experiment 2. For simplicity and to address our primary concern, we mainly focused on (i) the NP2 (i.e., the HN of RC in the TSV conditions) to see whether a structural reanalysis occurred and (ii) the main VP (i.e., the MC-V1 and MC-V2/N in the TSV conditions) to see whether long-distance integration costs would be incurred not only between TSVs and SVOs, but also between the two TSVs. Due to the nature of the self-paced reading and the complexity of RC processing, we also checked two spillover regions of the HN (i.e., HN+1, HN+2).
One participant’s (ID 59) data only contained practice items, thus the remaining 71 participants’ data were included in the analyses. Prior to the analysis, RTs that were beyond 2 standard deviation of the participant’s mean or longer than 4,000 ms underwent trimming, affecting 3.75 % of the total data points. Then a log transformation was applied to RTs to normalize the distribution. As in Experiment 1, we first computed the residual log RTs from a regression model on log frequency, number of stokes, word length, and word position, with random intercepts for subjects and items. Then for each critical region, the residual log RTs were regressed on the sum-coded fixed factor (i.e., Word Order and Structural Complexity), and the spillover effect of the preceding word, with the random effects including varying intercepts and slopes.
3.3 Results
3.3.1 Comprehension accuracy
The overall comprehension accuracy of target items was 98.94 % (SD = 0.10). The mean accuracies were also high for all four conditions: TSV-RC: 99.53 % (SD = 0.068); SVO-RC: 99.53 % (SD = 0.068); TSV-MC: 98.12 % (SD = 0.14), and SVO-MC: 98.59 % (SD = 0.12). Results of GLMM showed no main effect of Word Order (β = −0.29, SE = 0.54, z = −0.54, p = 0.59), no main effect of Structural Complexity (β = 1.11, SE = 0.82, z = 1.35, p = 0.18), and no interaction (β = 0.29, SE = 1.14, z = 0.26, p = 0.80).
3.3.2 RTs
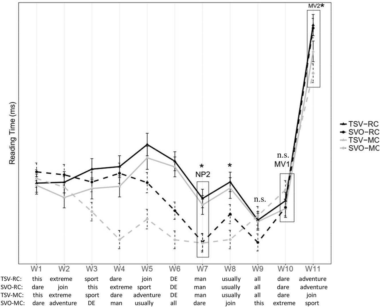
Figure 3 shows the mean of trimmed RTs for each region of the target sentences. As shown in Figure 3, the two TSV conditions patterned alike from the RC-verb (W5) all the way down to the end of the sentence (W11). Compared to the SVO conditions, the TSV conditions showed a consistent processing disadvantage from W5 to W8, spanning the whole RC and the immediate post-HN region. As expected, the TSV structure in conjunction with the RC greatly enhanced the processing difficulties of our TSV conditions. But in the main-clause regions, the RT differences appear to be much reduced between the TSV conditions and the SVO conditions.

Experiment 2 word-by-word reading times. Error bars represent standard errors. Critical regions (NP2, MV1 & MV2) are shown in rectangle boxes (*marks significant effects; n.s., means not significant).
Table 3 reports the statistical results of five regions of interest, including the final maximal random effects models.
Main effects of Word Order and Complexity and their interaction by region of interest in Experiment 2. The dependent variable for each region is the residuals of a linear mixed effect model on log-transformed reading time with extraneous factors including log word frequency, number of strokes, word length, and region.
Word | Maximal model with random slopes | Contrast | Coef. | SE | t-value |
---|---|---|---|---|---|
W7 (HN in TSV conditions) |
order*clauseType + (1+order*clauseType|subj) + (1+order+clauseType|item) + prev_logRT | Word Order | −0.037 | 0.006 | −6.578* |
Complexity | −0.015 | 0.006 | −2.285* | ||
Word Order × Complexity | −0.010 | 0.006 | −1.640 | ||
Prev_logRT | 0.391 | 0.019 | 20.069 | ||
W8 (HN+1 in TSV conditions) |
order*clauseType + (1+order*clauseType|subj) + (1+order+clauseType|item) + prev_logRT | Word Order | −0.019 | 0.007 | −2.846* |
Complexity | −0.010 | 0.008 | −1.718 | ||
Word Order × Complexity | −0.010 | 0.006 | −1.732 | ||
Prev_logRT | 0.426 | 0.023 | 18.923 | ||
W9 (HN+2 in TSV conditions) |
order*clauseType + (1+order*clauseType|subj) + (1+order*clauseType|item) + prev_logRT | Word Order | −0.010 | 0.007 | −1.472 |
Complexity | −0.002 | 0.007 | −0.363 | ||
Word Order × Complexity | −0.006 | 0.006 | −0.978 | ||
Prev_logRT | 0.418 | 0.019 | 21.761 | ||
W10 (MC-V1 in TSV conditions) |
order*clauseType + (1+order*clauseType|subj) + (1+order*clauseType|item) + prev_logRT | Word Order | 0.006 | 0.006 | 1.093 |
Complexity | −0.002 | 0.006 | −0.394 | ||
Word Order × Complexity | 0.004 | 0.006 | 0.712 | ||
Prev_logRT | 0.413 | 0.021 | 19.781 | ||
W11 (MC-V2/N in TSV conditions) |
order*clauseType + (1+order*clauseType|subj) + 1+order+clauseType|item) + prev_logRT | Word Order | −0.019 | 0.009 | −2.084* |
Complexity | −0.026 | 0.008 | −3.355* | ||
Word Order × Complexity | −0.015 | 0.007 | −2.186* | ||
Prev_logRT | 0.380 | 0.029 | 12.992 |
-
Bold t-values marked with * mean the results of the fixed factors reach statistical significance.
At W7 (i.e., the HN ren ‘man’ in the two TSV conditions [4a] and [4c]), we found a main effect of Word Order, a main effect of Structural Complexity, and no interaction. TSVs ([4a] and [4c]) were read more slowly than SVOs ([4b] and [4d]). Sentences with topic- and object-NPs occurring in RCs ([4a] and [4b]) were read more slowly than sentences with topic- and object-NPs occurring in MCs ([4c] and [4d]).
At W8 (i.e., HN+1 in the two TSV conditions), we only found a main effect of Word Order. TSVs were read more slowly than SVOs.
At W9 (i.e., HN+2 in the two TSV conditions), we found no main effect of Word Order, no main effect of Structural Complexity, and no interaction.
At W10 (i.e., MC-V1 in the two TSV conditions), again we found no main effect of Word Order, no main effect of Structural Complexity, and no interaction.
At W11 (i.e., MC-V2/N in the two TSV conditions), we found a main effect of Word Order, a main effect of Structural Complexity, and an interaction between Word Order and Structural Complexity. Follow-up tests unpacking this interaction showed that TSVs were read more slowly than SVOs only when the topicalized NP was extracted from the main clauses ([4c] vs. [4d]/canjia ‘join’ vs. yundong ‘sport’: β = −0.06, SE = 0.02, t = −2.70), but not when the topicalized NP was extracted from the RCs ([4a] vs. [4b]/maoxian ‘adventure’ vs. maoxian ‘adventure’: t = −0.33). Furthermore, RCs were read more slowly than MCs only in the canonical SVO sentences ([4b] vs. [4d]/maoxian ‘adventure’ vs. yundong ‘sport’: β = −0.08, SE = 0.02, t = −3.35), but not in the TSV sentences ([4a] vs. [4c]/maoxian ‘adventure’ vs. canjia ‘join’: t = −0.99).
3.4 Discussion
Focusing on topic-NPs that are extracted from either an RC or a main clause, Experiment 2 yielded three findings. First, TSVs were read more slowly than SVOs at the NP2 (i.e., the HN of RC) and in the immediately following (i.e., the first spillover) region, but in the second spillover region, no differences were found between TSVs and SVOs. Second, at the second word of the critical main VP (i.e., MC-V2/N), no differences were found between the two TSV conditions, regardless of whether the topic NP was extracted from the RC (4a) or from the main clause (4c), and no differences were found between the TSV-RC condition (4a) and its counterpart SVO-RC condition (4b). Third, again at the second word of the critical main VP (MC-V2/N), while the TSV-MC condition (with an intervening RC, i.e., [4c]) were read more slowly than its counterpart SVO-MC condition (4d), RTs in the two SVO conditions also significantly differed, with the SVO-RC condition (4b) being read more slowly than the SVO-MC condition (4d). We discuss each finding below.
First, the processing difficulty associated with the TSV sentences (relative to the SVO sentences) at the HN (i.e., NP2) and in the first spillover region (HN+1) are analogous to the significant RT slowdown at NP2 in the simple sentences of Experiment 1. Notice, however, different from Experiment 1, the difficulty with the TSV sentences in Experiment 2 appeared much earlier (beginning at W4), continued for the RC regions and the subsequent region (ending at W9), suggesting that our manipulation of structural complexity was successful, and that the presence of RC – either contains an empty category that bears a co-referential relation with the topic or intervenes between a topicalized NP and the main verb – might be responsible for the inflated RTs.
Importantly, this prolonged processing difficulty could be explained by experience/surprisal-based theories. The extra processing costs were caused by a reanalysis of the sentence-initial NP1 in TSVs due to (i) comprehenders’ less experience (familiarity) with TSVs relative to SVOs and (ii) their initial subject-interpretation bias. Recall that in our spoken corpus investigation, SVO sentences outnumber object-topicalization sentences by 4.2 times (or 196/47). Likewise, as shown by our sentence-completion results (Figure 2), prior to DE Chinese participants not only predominantly produced SV sentences in the SVO conditions, but also consistently produced more SV sentences in the TSV conditions. These production data show that Chinese speakers do have a bias toward subject interpretation of the sentence-initial NP1. Furthermore, there was an added ambiguity in the two TSV conditions where the NP1 functions as the topic of the TSV structure. Specifically, while the NP1 was highly likely to be misinterpreted as the matrix subject (due to the subject-reading bias), the next available RC-verb (i.e., W4) would directly conflict with this misanalysis due to the verb semantics where it could not be plausible for an inanimate NP (‘this extreme sport’) to serve as a sentient agent to perform the action <DARE TO DO SOMETHING>. The presence of the relativizer DE, as well as the following NP2 (i.e., the HN of the RC), further clearly informed our Chinese participants that the NP1 was not the matrix subject. In other words, participants had to realize that no strict subject-predicate relation – but a convenient topic-comment relation instead – could be built between the RC-verb and the sentence-initial NP1, which had to be reanalyzed as a topic originated from the RC (in the condition [4a]) or from the MC after the HN (in the condition [4c]), hence the persistent RT slowdown up until the HN and its spillover region in TSVs. As a side note, our explanation offered here for the RC region is fairly similar to the retrieval bottleneck account for the long-standing difficulty of English object RCs (e.g., Staub et al. 2017).
The second set of findings is the lack of differences between the two TSV conditions at the critical MC-V2/N. This null result is noteworthy in light of the integration-cost metric of the DLT. In the TSV-RC condition (4a), the filler-gap dependency is completed early (i.e., within the RC), with two discourse referents (i.e., RC-V1, RC-V2/N) that intervene between the topic and the post-verb gap. But in the TSV-MC condition (4c), the filler-gap dependency spans across the whole intervening RC, with five discourse referents (i.e., RC-V1, RC-V2/N, HN, MC-V1, MC-V2/N) in between. Therefore, the fronted object-NP should be more difficult to be retrieved/integrated in (4c) than in (4a). Even though the absence of effects does not necessarily mean the effect is absent, the fact that no such difficulties were found at the retrieval/integration site of MC-V2/N imposes challenges to locality effects of memory-based theories.
The third finding regarding the TSV-MC condition (4c) being more difficult to process than its counterpart SVO-MC (4d) at the MC-V2/N might appear to lend support to memory-based theories, which predict processing costs in the region where the memory representation of a filler is retrieved and integrated for completion of filler-gap dependency. This is also consistent with the findings from cross-linguistic corpora that languages tend to minimize dependency length (Futrell et al. 2015; Liu 2008; Liu et al. 2017). Note however, at the MC-V2/N the other canonical SVO-RC condition (4b) was also more difficult to process than the SVO-MC condition (4d), even though these two conditions had exactly the same structure. As the two SVO sentences differ only in the VP types, we speculate that the modifying RC is rendered much shorter in (4d) with an intransitive RC-V2/N than in (4b) with a transitive RC-V2, making it much earlier (and thus easier) for the head noun to be recognized as the immediate constituent of the sentence, namely the matrix subject (Hawkins 1994, 2004). Furthermore, in contrast to (4b) which has a long RC but a short main clause, (4d) begins with a short RC and ends with a heavy main clause, thus fitting the general short-before-long preference in verb-medial languages such as English and Chinese (Arnold et al. 2000; Hawkins 2004; Lu 1993, 2004; Stallings et al. 1998). In short, we attribute the overall processing advantage of the canonical SVO-MC (4d) relative to the TSV-MC (4c) and SVO-RC (4b) conditions to (i) the superiority effect of SVO word order in Chinese, (ii) the earliness/easiness of recognizing the matrix subject, and (iii) a general preference for putting the heavy constituents in the end. But given our primary concern of this paper, we refrain from further discussing the processing difficulties associated with the SVO-RC (4b) versus (4d) and with the TSV-MC (4c) versus (4d).
Taken together, the overall patterns – particularly regarding the effects found at the NP2 (i.e., HN) – are more in line with experience/surprisal-based theories, whereas no clear evidence is found in Experiment 2 for memory-based theories. Importantly, the interaction effect found at the critical MC-V2 could not be taken as solid evidence for the DLT.
4 Experiment 3: processing TSVs in complex sentences with continuing clauses
While Experiment 2 has the merit of adopting a fully balanced design, its SVO-MC condition appeared rather differently from the other three conditions. Given that its role could be fulfilled by the SVO-RC condition, it might as well be removed. Furthermore, having the critical region in the final position added complexity to data interpretation. To address these issues, we conducted Experiment 3.
4.1 Method
4.1.1 Participants
Fifty-three native speakers of Mandarin Chinese from Shanghai Jiao Tong University participated in Experiment 3 in exchange for 15 yuan. Their mean age was 21 (SD = 2.20). None of them had participated in other experiments.
4.1.2 Materials
Experiment 3 only had the first three conditions of Experiment 2. These conditions had exactly the same words from W6 (the relativizer ‘DE’) all the way down to the end, except at W11 where they differed in specific lexical items. Thus, direct comparisons can be made not only between TSVs and SVOs, but between two TSVs. In addition, we created a continuing clause after the critical MC-V2, to avoid potential sentence-final wrap-up effects. A sample set of stimuli is given in (8a–c). The continuing clauses were provided in the parentheses of Appendix B.
Sample stimulus set in Experiment 3 |
TSV-RC | |||||||
zhexiang/ | jixian/ | yundongi/ | [RC ganyu/ | canjia | ei/ | de]/ | ren/ |
this- CL | extreme | sport | [RC dare | join | _ | DE] | man |
tongchang/ | dou/ | ganyu/ | maoxian / | erqie/ | wande/ | jinxing. | |
usually | all | dare | adventure | and | play-RES | to-its-full | |
‘This extreme sport, the men who dare to join usually also dare to adventure and play wholeheartedly.’ |
SVO-RC | ||||||
[RC ganyu/ | canjia/ | zhexiang/ | jixian/ | yundong/ | de]/ | ren/ |
[RC dare | join | this-CL | extreme | sport | DE] | man |
tongchang/ | dou/ | ganyu/ | maoxian / | erqie/ | wande/ | jinxing. |
usually | all | dare | adventure | and | play-RES | to-its-full |
‘The men who dare to join this extreme sport usually also dare to adventure and play wholeheartedly.’ |
TSV-MC | |||||||
zhexiang/ | jixian/ | yundongi/ | [RC ganyu/ | maoxian/ | de]/ | ren/ | |
this-CL | extreme | sport | [RC dare | adventure | DE] | man | |
tongchang/ | dou/ | ganyu/ | canjia | ei / | erqie/ | wande/ | jinxing. |
usually | all | dare | join | _ | and | play-RES | to-its-full |
‘This extreme sport, the men who dare to adventure usually also dare to join and play wholeheartedly.’ |
In addition to the 24 sets of target stimuli, we created 48 fillers that consisted of three types of syntactic structures: (i) 24 object-extracted RCs, in order to balance the number of subject-extracted RC structures that participants encountered throughout the experiment, (ii) 16 SVO sentences, (iii) 8 object-topicalization sentences.
4.1.3 Procedure
The procedure was the same as in Experiment 2.
4.1.4 Data analysis
As in Experiment 2, we focused on the HN, the main VP, and their spillover regions.
Prior to the analysis, RTs underwent trimming if beyond 2.5 standard deviation of the participant’s mean or longer than 4,000 ms, affecting 2.49 % of all data points. Then a log transformation was applied to normalize the distribution. We used treatment coding, setting the TSV-RC (8a) as the baseline. For the critical regions (i.e., W7–W12), we regressed log RTs on the Condition only. Including the spillover effect of the preceding word at the NP2 (i.e., W7) and at the following region (W8) yielded similar results. Maximal random effects models were always fit whenever they could converge.
4.2 Results
4.2.1 Comprehension accuracy
The mean accuracies were high: 98.58 % (SD = 0.12) for TSV-RC, 98.82 % (SD = 0.11) for SVO-RC, and 98.35 % (SD = 0.13) for TSV-MC. Results of GLMM showed no differences in accuracy rates between conditions (p > 0.7).
4.2.2 RTs
Figure 4 shows the mean and 95 % confidence intervals of trimmed RTs for each region of target sentences in Experiment 3. Just as in Experiment 2, the two TSV conditions patterned alike within the RC regions, both appearing to be more difficult to process than the canonical SVO condition throughout the RC and the first post-HN spillover region (W8). But the differences across the three conditions appeared much reduced towards the main clause, with RTs being converged at the MC-V1 ‘dare’.

Experiment 3 word-by-word reading times. Error bars represent standard errors. Critical regions (NP2 & MVs) are shown in rectangle boxes (*marks significant effects; n.s., means not significant).
Table 4 reports the details of modeling structures and the statistic results of the critical regions from W7 to W10.
Main effects of Word Order and Complexity and their interaction by region of interest in Experiment 3.
Region | Maximal model with random slopes | Contrast | Coef. | SE | t-value |
---|---|---|---|---|---|
W7 (HN) |
logRT ∼ condition + (1+condition|subj) + (1+condition|item) | Intercept(=a) | 5.861 | 0.039 | 150.58 |
condition_b | −0.066 | 0.020 | −3.26* | ||
condition_c | 0.018 | 0.021 | 0.86 | ||
W8 (HN+1) |
logRT ∼ condition + (1+condition|subj) + (1|item) | Intercept(=a) | 5.870 | 0.036 | 160.93 |
condition_b | −0.066 | 0.019 | −3.49* | ||
condition_c | 0.030 | 0.019 | 1.53 | ||
W9 (HN+2) |
logRT ∼ condition + (1+condition| subj) + (1+condition|item) | Intercept(=a) | 5.825 | 0.035 | 165.88 |
condition_b | −0.023 | 0.021 | −1.07 | ||
condition_c | −0.001 | 0.020 | 0.03 | ||
W10 (MC-V1) |
logRT ∼ condition + (1+condition|subj) + (1+condition|item) | Intercept (=a) | 5.806 | 0.035 | 166.81 |
condition_b | −0.008 | 0.019 | −0.43 | ||
condition_c | 0.006 | 0.019 | 0.31 | ||
W11 (MC-V2) |
logRT ∼ condition + (1+condition|subj) + (1+condition|item) | Intercept(=a) | 5.823 | 0.034 | 172.98 |
condition_b | −0.015 | 0.023 | −0.67 | ||
condition_c | 0.029 | 0.019 | 1.50 | ||
W12 (MC-V2/N+1) |
logRT ∼ condition + (1+condition|subj) + (1|item) | Intercept(=a) | 5.854 | 0.034 | 171.18 |
condition_b | 0.032 | 0.020 | 1.63 | ||
condition_c | −0.006 | 0.019 | −0.29 |
-
Bold t-values marked with * mean the results of the fixed factor reach statistical significance.
At W7 (i.e., the HN) and W8 (i.e., HN+1), the SVO-RC condition was read significantly faster than the baseline TSV-RC condition, but no differences were found between the two TSV conditions.
At W9 (i.e., HN+2), no differences were found between the SVO-RC and TSV-RC conditions, and between the two TSV conditions.
At W10 (i.e., MC-V1 ganyu ‘dare’), W11 (i.e., MC-V2/N maoxian ‘adventure’ in [8a/b]/canjia ‘join’ in [8c]), and W12 (i.e., ‘and’), we consistently found no differences between two TSV conditions, nor between the SVO-RC and TSV-RC conditions.
4.3 Discussion
Experiment 3 replicated the results of Experiment 2. Importantly, now that the added continuing clause eliminated the potential sentence-final wrap-up effects in Experiment 2, still no differences were found at the main VP regions across conditions. Clearly, this consistent lack of locality effects is not predicted by the integration metric of the DLT.
The processing disadvantage of the two TSV sentences versus SVO-RC sentences at the HN and its spillover region (HN+1) is, again, not surprising (see detailed explanations in Section 3.4, Experiment 2). But beginning from the second post-HN spillover region (i.e., HN+2) up until the second spillover region of the critical MC-V1, no differences were found across conditions. Note that these RT patterns are essentially the same as the RTs in the corresponding regions (W9, W10) of the first three conditions in Experiment 2. We thus attribute this consistent lack of effects to the TSV structure being fully constructed by the time our participants had completed the structural reanalysis, leading to no difficulty in parsing the TSV and SVO sentences.
In sum, results from Experiments 2 and 3 lead us to two conclusions. First, the TSV structure with an intervening complex RC is more difficult, especially at its medial part S (i.e., the NP2), to process than the canonical SVO, because Chinese comprehenders’ tendency to interpret the NP1 as the subject needs to be curbed in the extended context (owing to the complexity of RCs), leading to a prolonged, if not delayed, reanalysis downstream. As will be discussed in the General Discussion (Section 5.3), this initial subject bias fits a universal parsing heuristic. Second, the lack of integration costs at the topic-related main verbs in TSV sentences indicates that a long-distance dependency does not necessarily incur processing costs in Chinese TSVs, suggesting that object-topicalization may not involve movement of a null operator that binds an empty category it leaves behind (Xu and Langendoen 1985; Xu and Liu 1998; Yang and Wu 2015). Following Xu and Langendoen (1985: 26–27), the empty category in Chinese TSV structure is more likely to be a pronoun co-referential with an antecedent which is the sentence-initial topic, rather than a variable bound by a null operator. We thus suggest that in real-time processing of Chinese TSV structure, completing the dependency between the topic and the verb is essentially driven by semantics or pragmatics (see Section 5.2 for discussion).
5 General discussion
The goal of the present study was to investigate how filler-gap dependency or argument-verb dependency is established in Chinese object-topicalization structures where object-NPs occur in the sentence-initial position. Using three self-paced reading experiments, we compared reading time patterns between canonical SVO and TSV sentences and between TSVs of different dependency lengths at the NP2 and the main verb, because experience/surprisal-based theories and memory-based theories diverge in their predictions in these regions. Converging evidence showed that Chinese comprehenders preferred to adopt the subject-reading for a sentence-initial NP1, and this strong bias would lead to a structural reanalysis when they encountered or anticipated a second NP down the stream. While the structural reanalysis induced processing difficulties in TSV sentences compared to SVO sentences, the topicalized NP did not incur retrieval/integration costs at the verbs, regardless of whether object-topicalization occurred in simple sentences (Experiment 1) or in complex structures with intervening RCs (Experiments 2 and 3). These results, specifically the consistent difficulty at or prior to the NP2 but the absence of locality effects at the verb in Chinese TSV sentences, have important implications for sentence processing models.
5.1 Memory-based theories versus experience/surprisal-based theories
One insight we gained from three experiments is that overall, our results are difficult to reconcile with the memory-based theories of linear locality (Gibson 1998), but are consistent with the predictions of experience/surprisal-based theories (Gennari and MacDonald 2008; Levy 2008).
Memory-based theories of linear locality predict that processing difficulty increases as a function of linear distance between dependent elements. Hence, TSV sentences – with a longer argument-verb dependency – should be more difficult to process than SVOs. But we found an overall lack of processing differences at the critical retrieval/integration site of the main verb across all three experiments. Furthermore, while the argument-verb dependency is much longer in the TSV-MC than in the TSV-RC in our Experiments 2 and 3, yet again, the predicted processing costs were not observed at the main VP. Instead, no differences in RTs were found between the two types of TSV sentences. Accommodation of all these behavioral data by the integration-cost metric of the DLT is difficult. Note that non-null or anti-locality effects were found in verb-final languages such as German (Konieczny 2000; Schwab et al. 2022), Hindi (Vasishth and Lewis 2006), and Japanese (Nakatani and Gibson 2010). Our novel data from Chinese TSV structure thus expands the empirical base for the effects contrary to what locality would predict.
Our data can be accounted for by experience/surprisal-based theories, which predict that processing difficulty is driven by comprehenders’ experience with statistical regularities in linguistic input. First, participants prefer to interpret the sentence-initial noun as the subject, which conforms to the results of our corpus investigation and sentence-completion analyses, showing that while topic-comment structure – of which TSV is one specific subtype – is fairly common, SVOs are the most basic structure in Chinese. We will return to this point in Section 5.3. Second, Chinese readers’ expectations for the target TSV structure vary considerably by just one word, as revealed by gated sentence-completion data: in simple structures, participants produced more TSVs after NP2 (Li and Wu 2020). Similarly, adding a nominalizer DE greatly increased participants’ expectations of TSVs in both TSV-RC and TSV-MC conditions (Experiment 2). Clearly, guided by their ample experience with various topic-comment structures, Chinese comprehenders were able to shift their structural analysis from SVO to TSV fairly quickly upon seeing NP2-denoting modifier or NP2, such that by the time the verb was presented, they no longer had difficulties in relating its meaning with the left-fronted object-NP. Our overall results highlight the relationship of sentence production and comprehension, confirming that parsing preference reflects production biases (Gennari and MacDonald 2009; MacDonald 2013).
While our results from simple structure (Experiment 1) and from two TSVs in complex RC structures (Experiment 2) show no integration costs at the verb as predicted by the integration metric of DLT, this kind of evidence does not invalidate memory-based approaches to sentence processing in general. For instance, the cue-based retrieval model (Lewis and Vasishth 2005) is known to account for both locality and anti-locality effects. In fact, recent development of sentence processing models attempted to unify both the integration component of the memory-based approach and the expectation (or surprisal) component of the experience-based approach (e.g., Demberg 2010), by assuming a lossy (Futrell et al. 2021) or resource-rational (Hahn et al. 2022) model of memory representation. Thus, the lack of integration cost at the verb in our findings might be due to a noisy or non-veridical representation of verb transitivity (see e.g., Frazier and Rayner [1982]; Mitchell [1987]; Van Gompel and Pickering [2001] for evidence that native speakers of English failed to use verb information to avert garden-pathing). We leave it for future research.
5.2 Semantics/pragmatics-based topic-comment processing versus movement-based bound-variables processing
The overall lack of processing cost at main verbs in our experiments begs the question: Why does Chinese TSV processing appear not to rely on linear locality of memory access mechanisms? Here we propose a cognitive-functional account that relates to information organization of topic-comment structure in topic-prominent Chinese. In contrast to syntax-based formation of event structures, topic-comment construction is pragmatics-based, meaning-driven formation that directly maps human knowledge onto a linearly sequenced speech (Comrie 1981; Givón 1979). During natural communication, speakers frequently utter old information (i.e., a Topic) before introducing new information. This way of organizing speech can help listeners instantiate relevant events or schemata during incremental parsing. When new information embodied as a Comment is subsequently given, it can be efficiently processed. Indeed, a growing body of research has shown that sequential structures might be more fundamental than hierarchical structures in language comprehension and production (e.g., psycholinguistic studies: Christiansen and MacDonald [2009]; De Vries et al. [2012]; Gillespie and Pearlmutter [2011]; cognitive neuroscience: Conway and Pisoni [2008]; computational models: Fitz [2010]; Reali and Christiansen [2005], see Frank et al. [2012] for a review).
Furthermore, frequent exposure to formation of speech in terms of topic-comment over time can effectively help Chinese listeners or readers decode, store, and retrieve information during natural communication, probably even evoke anticipatory or “priming” effects upon the processing of the comment (Bransford 1979). Thus, the fronted object-NP in our TSV sentences, once recognized as the discourse topic, may be directly associated with its dependent or comment, including the verb. This process is analogous to relating an empty pronoun (i.e., the gap) to its antecedent (i.e., the sentence-initial topic) for meaning interpretation, rather than establishing a movement-based dependency between bound variables. As shown by our processing data, clearly Chinese comprehenders can complete such semantic dependency directly with ease.
In addition, typologically, pragmatics-based topic-comment structures are more common than syntax-based formation of event structures in languages around the world (Comrie 1981; Givón 1979). In child language development, a pragmatics-centered system typically precedes a syntax-centered system (Givón 1979). An emerging body of EEG research on Chinese sentence processing has also shown that semantic integration can proceed without being first licensed by syntactic structure (Yang et al. 2015; Wang et al. 2009; Zhang et al. 2010, 2013). We therefore contend that when following the “basic path” of human communication and language development, Chinese comprehenders do not necessarily need to construct movement-based bound-variables relation in real-time processing of TSV sentences as English comprehenders typically do, but instead opt to process a pragmatics-based sequential topic structure guided by their prior experiences.
5.3 Initial subject bias: a universal parsing heuristic
Our results also provide strong evidence for a universal parsing preference of subject interpretation. In all three experiments, a significant slowdown was detected at or prior to the NP2 of TSV sentences relative to canonical SVO sentences, suggesting that it is a routine practice for Chinese readers to take the NP1 as the subject initially. Only with availability of other information (e.g., animacy configuration) as the sentence unfolds will their readjustment be made accordingly.
This bias has typological underpinnings and experimental support as well. First, subject has been regarded as a basic grammatical notion in the structure of a language, with SOV and SVO being the primary language types in the world. The distribution of human languages certainly reflects how people tend to use a language in a fixed pattern (MacDonald 2013). Second, recent neurophysiological evidence has also shown that Chinese speakers strongly preferred subject interpretation for simple sentences NVN/NVAdv (Bisang et al. 2013; Wang et al. 2009). Thus, it would come as no surprise that such a strong bias for subject interpretation is also found in our experiments.
In short, the current Chinese topic processing study has provided support for a universal parsing heuristic to interpret the initial NP as the subject.
6 Conclusion and future directions
This paper reports the first study of Chinese object-topicalization processing in both simple and complex sentences. Consistent findings show that Chinese TSV sentences incur processing costs at the second NP but no additional costs at the critical verb. Our results are most consistent with experience-based accounts, suggesting that Chinese TSV processing is guided by structural frequencies and the universal subject-reading bias, with completion of dependency between topic and the verb (or empty category) likely to be fundamentally semantic.
One limitation of the current study is that TSV and SVO structures naturally lead to comparisons involving different words. While we regressed out various word-specific features and effects from previous regions, comparisons are nevertheless not rigorous enough to fully exclude artifacts of the lexical items. Hence, our conclusions are rather confined regarding implications for memory-based theories. Future work is called for to create other ingenious experiments for direct comparisons between topicalization and canonical sentences.
Funding source: National Social Science Foundations of China
Award Identifier / Grant number: 18BYY008, 20BYY160
Funding source: Shanghai Social Science Foundation
Award Identifier / Grant number: 2019BYY005
Acknowledgments
We thank Ruoyu Ma, Xueyang Guo, and Siyuan Peng for assistance with subject recruitment and data collection, and Yunyan Duan for advice on statistical analyses. This research was supported by grants from the National Social Science Foundations of China (20BYY160) and Shanghai Social Science Foundation (2019BYY005) to the first author and from the National Social Science Foundations of China (18BYY008) to the third author.
-
Author contributions: Fuyun Wu: conceptualization of Exps. 1, 2 & 3, validation, formal analysis, visualization, investigation of Exps. 1 & 3, writing – original draft preparation, reviewing & editing. Fang Wang: conceptualization of Exps. 2 & 3, investigation of Exp. 2, reviewing & editing. Jinman Li: conceptualization of Exps. 1 & 3, reviewing & editing.
References
Arnold, Jennifer E., Anthony Losongco, Thomas Wasow & Ryan Ginstrom. 2000. Heaviness vs. newness: The effects of structural complexity and discourse status on constituent ordering. Language 76(1). 28–55. https://doi.org/10.1353/lan.2000.0045.Search in Google Scholar
Bates, Douglas, Martin Mächler, Ben Bolker & Steve Walker. 2015. Fitting linear mixed-effects models using lme4. Journal of Statistical Software 67(1). 1–48. https://doi.org/10.18637/jss.v067.i01.Search in Google Scholar
Bisang, Walter, Luming Wang & Ina Bornkessel-Schlesewsky. 2013. Subjecthood in Chinese: Neurolinguistics meets typology. In Zhuo Jing-Schmidt (ed.), Increased empiricism: Recent advances in Chinese linguistics, 23–48. Amsterdam: John Benjamins.10.1075/scld.2.02bisSearch in Google Scholar
Box, George Edward & David Roxbee Cox. 1964. An analysis of transformations. Journal of the Royal Statistical Society: Series B 26(2). 211–243. https://doi.org/10.1111/j.2517-6161.1964.tb00553.x.Search in Google Scholar
Bransford, John. 1979. Human cognition: Learning, understanding, and remembering. Belmont, CA: Wadsworth.Search in Google Scholar
Cai, Qing & Marc Brysbaert. 2010. SUBTLEX-CH: Chinese word and character frequencies based on film subtitles. PLoS One 5(6). e10729. https://doi.org/10.1371/journal.pone.0010729.Search in Google Scholar
Cai, Rendong & Yanping Dong. 2010. Hanyu huatihua jiegou de xinli xianshixing yanjiu: laizi tianchongyu qidong shiyan de zhengju [An empirical study of the psychological reality of the gap in Chinese topicalization: Evidence from filler priming]. Xiandai Waiyu [Modern foreign languages] (1). 64–71.Search in Google Scholar
Chafe, Wallace L. 1976. Givenness, contrastiveness, definiteness, subjects, topics, and point of view. In Charles N. Li (ed.), Subject and topic, 27–55. New York: Academic Press.Search in Google Scholar
Chao, Yuan Ren. 1968. A grammar of spoken Chinese. Berkeley: University of California Press.Search in Google Scholar
Christiansen, Morten H. & Maryellen C. MacDonald. 2009. A usage-based approach to recursion in sentence processing. Language Learning 59. 126–161. https://doi.org/10.1111/j.1467-9922.2009.00538.x.Search in Google Scholar
Comrie, Bernard. 1981. Language universals and language typology: Syntax and morphology. Oxford: Blackwell.Search in Google Scholar
Conway, Christopher M. & David B. Pisoni. 2008. Neurocognitive basis of implicit learning of sequential structure and its relation to language processing. Annals of the New York Academy of Sciences 1145(1). 113–131. https://doi.org/10.1196/annals.1416.009.Search in Google Scholar
De Vries, Meinou H., Karl Magnus Petersson, Sebastian Geukes, Pienie Zwitserlood & Morten H. Christiansen. 2012. Processing multiple non-adjacent dependencies: Evidence from sequence learning. Philosophical Transactions of the Royal Society of London B Biological Sciences 367(1598). 2065–2076. https://doi.org/10.1098/rstb.2011.0414.Search in Google Scholar
Demberg, Vera. 2010. A broad-coverage model of prediction in human sentence processing. Edinburgh: University of Edinburgh doctoral dissertation.Search in Google Scholar
Fitz, Hartmut. 2010. Statistical learning of complex questions. In 32nd Annual Meeting of the Cognitive Science Society (CogSci 2010), 2692–2698. Austin, TX: Cognitive Science Society.Search in Google Scholar
Frank, Stefan L., Rens Bod & Morten H. Christiansen. 2012. How hierarchical is language use? Proceedings of the Royal Society B: Biological Sciences. 279(1747). 4522–4531. https://doi.org/10.1098/rspb.2012.1741.Search in Google Scholar
Frazier, Lynn & Keith Rayner. 1982. Making and correcting errors during sentence comprehension: Eye movements in the analysis of structurally ambiguous sentences. Cognitive Psychology 14. 178–210. https://doi.org/10.1016/0010-0285(82)90008-1.Search in Google Scholar
Futrell, Richard, Edward Gibson & Roger Levy. 2021. Lossy-context surprisal: An information-theoretical model of memory effects in sentence processing. Cognitive Science 44. e12814. https://doi.org/10.1111/cogs.12814.Search in Google Scholar
Futrell, Richard, Kyle Mahowald & Edward Gibson. 2015. Large-scale evidence of dependency length minimization in 37 languages. Proceedings of National Academy of Sciences USA 112. 10336–10341. https://doi.org/10.1073/pnas.1502134112.Search in Google Scholar
Gennari, Silvia P. & Maryellen C. MacDonald. 2008. Semantic indeterminacy in object relative clauses. Journal of Memory & Language 58(2). 161–187. https://doi.org/10.1016/j.jml.2007.07.004.Search in Google Scholar
Gennari, Silvia P. & Maryellen C. MacDonald. 2009. Linking production and comprehension in processes: The case of relative clauses. Cognition 111(1). 1–23. https://doi.org/10.1016/j.cognition.2008.12.006.Search in Google Scholar
Gibson, Edward. 1998. Linguistic complexity: Locality of syntactic dependencies. Cognition 68(1). 1–76. https://doi.org/10.1016/S0010-0277(98)00034-1.Search in Google Scholar
Gillespie, Maureen & Neal J. Pearlmutter. 2011. Hierarchy and scope of planning in subject–verb agreement production. Cognition 118(3). 377–397. https://doi.org/10.1016/j.cognition.2010.10.008.Search in Google Scholar
Givón, Talmy. 1979. From discourse to syntax: Grammar as a processing strategy. In Talmy Givón (ed.), Discourse and syntax (Syntax and Semantics 12), 81–112. Leiden: Brill.10.1163/9789004368897_005Search in Google Scholar
Gregory, Michelle L. & Laura A. Michaelis. 2001. Topicalization and left-dislocation: A functional opposition revisited. Journal of Pragmatics 33(11). 1665–1706. https://doi.org/10.1016/S0378-2166(00)00063-1.Search in Google Scholar
Gundel, Jeanette K. 1985. “Shared knowledge” and topicality. Journal of Pragmatics 9(1). 83–107. https://doi.org/10.1016/0378-2166(85)90049-9.Search in Google Scholar
Gundel, Jeanette K. & Thorstein Fretheim. 2006. Topic and focus. In Laurence R. Horn & Gregory Ward (eds.), The handbook of pragmatics, 175–196. Oxford: Blackwell.10.1002/9780470756959.ch8Search in Google Scholar
Hahn, Michael, Richard Futrell, Roger Levy & Edward Gibson. 2022. A resource-rational model of human processing of recursive linguistic structure. Proceedings of the National Academy of Sciences of the United States of America 119(43). E2122602119. https://doi.org/10.1073/pnas.2122602119.Search in Google Scholar
Hale, John. 2001. A probabilistic Earley parser as a psycholinguistic model. In Proceedings of NAACL, vol. 2, 159–166. Morristown, NJ. https://aclanthology.org/N01-1021.10.3115/1073336.1073357Search in Google Scholar
Hawkins, John A. 1994. A performance theory of order and constituency (Cambridge Studies in Linguistics 73). Cambridge: Cambridge University Press.Search in Google Scholar
Hawkins, John A. 2004. Efficiency and complexity in grammars. Oxford: Oxford University Press.10.1093/acprof:oso/9780199252695.001.0001Search in Google Scholar
Hooper, Joan B. & Sandra A. Thompson. 1973. On the applicability of root transformations. Linguistic Inquiry 4(4). 465–497. https://doi.org/10.2307/4177789.Search in Google Scholar
Hsiao, Fanny & Edward Gibson. 2003. Processing relative clauses in Chinese. Cognition 90(1). 3–27. https://doi.org/10.1016/S0010-0277(03)00124-0.Search in Google Scholar
Huang, Cheng-Teh James. 1982. Logical relations in Chinese and the theory of grammar. Cambridge, MA: Massachusetts Institute of Technology Doctoral Dissertation.Search in Google Scholar
Huang, Cheng-Teh James, Yen-Hui Audrey Li & Yafei Li. 2009. The syntax of Chinese. Cambridge: Cambridge University Press.Search in Google Scholar
Huang, Yu-Chi & Elsi Kaiser. 2008. Investigating filler-gap dependencies in Chinese topicalization. In Proceedings of the 20th North American Conference on Chinese Linguistics (NACCL-20), vol. 2, 927–941. Columbus, OH: The Ohio State University.Search in Google Scholar
Jäger, Lena, Zhong Chen, Qiang Li, Chien-Jer Charles Lin & Shravan Vasishth. 2015. The subject-relative advantage in Chinese: Evidence for expectation-based processing. Journal of Memory & Language 79. 97–120. https://doi.org/10.1016/j.jml.2014.10.005.Search in Google Scholar
Just, Marcel Adam & Patricia A. Carpenter. 1980. A theory of reading: From eye fixations to comprehension. Psychological Review 87(4). 329–354. https://doi.org/10.1037/0033-295X.87.4.329.Search in Google Scholar
Konieczny, Lars. 2000. Locality and parsing complexity. Journal of Psycholinguistic Research 29(6). 627–645. https://doi.org/10.1023/A:1026528912821.10.1023/A:1026528912821Search in Google Scholar
Kuo, Chen-Hsiu Grace. 2006. Mandarin non-canonical word orders in sentence processing. Hsinchu, Taiwan: National Tsing Hua University MA thesis.Search in Google Scholar
Levy, Roger. 2008. Expectation-based syntactic comprehension. Cognition 106(3). 1126–1177. https://doi.org/10.1016/j.cognition.2007.05.006.Search in Google Scholar
Levy, Roger, Evelina Fedorenko & Edward Gibson. 2013. The syntactic complexity of Russian relative clauses. Journal of Memory & Language 69(4). 461–495. https://doi.org/10.1016/j.jml.2012.10.005.Search in Google Scholar
Lewis, Richard L. & Shravan Vasishth. 2005. An activation-based model of sentence processing as skilled memory retrieval. Cognitive Science 29. 1–45. https://doi.org/10.1207/s15516709cog0000_25.Search in Google Scholar
Li, Yen-Hui Audrey. 1990. Order and constituency in Mandarin Chinese. Dordrecht: Kluwer Academic.10.1007/978-94-009-1898-6Search in Google Scholar
Li, Yen-Hui Audrey. 2000. Topic structures and minimal efforts. ZAS Papers in Linguistics 20. 1–20. https://doi.org/10.21248/zaspil.20.2000.76.Search in Google Scholar
Li, Jinman & Fuyun Wu. 2020. Jushou mingci zuo zhuyu haishi huati- laizi SVO he TSV juzi jiagong de zhengju [Subject or topic: Evidence from processing SVO and TSV sentences]. Xiandai Waiyu [Modern Foreign Languages] 43(4). 477–488.Search in Google Scholar
Li, Na Charles & Sandra A. Thompson. 1976. Subject and topic: A new typology of language. In Na Charles Li (ed.), Subject and topic, 457–490. New York: Academic Press.Search in Google Scholar
Li, Na Charles & Sandra A. Thompson. 1981. A functional reference grammar of Mandarin Chinese. Berkeley: University of California Press.10.1525/9780520352858Search in Google Scholar
Liu, Haitao. 2008. Dependency distance as a metric of language comprehension difficulty. Journal of Cognitive Science 9(2). 159–191. https://doi.org/10.17791/jcs.2008.9.2.159.Search in Google Scholar
Liu, Linjun & Yuan Gao. 2010. Beijinghua kouyuzhong huatihua jiegou he zuoshiwei jiegou fenxi [A study on topicalization and left dislocation in the Beijing dialect and its typological implications]. Waiyu Jiaoxue yu Yanjiu [Foreign Language Teaching & Research] 42(1). 44–51.Search in Google Scholar
Liu, Haitao, Chunshan Xu & Junying Liang. 2017. Dependency distance: A new perspective on syntactic patterns in natural languages. Physics of Life Reviews 21. 171–193. https://doi.org/10.1016/j.plrev.2017.03.002.Search in Google Scholar
Lu, Bingfu. 1993. Hexin Tuidao Yufa [Head oriented grammar]. Shanghai: Shanghai Educational Publishing.Search in Google Scholar
Lu, Bingfu. 2004. Zuowei yitiao yuyan gongxing de “Juli-Biaoji Duiyinglü” [Distance-marking correspondence as a language universal]. Zhongguo Yuwen [Chinese Language] (1). 3–15.Search in Google Scholar
MacDonald, Maryellen C. 2013. How language production shapes language form and comprehension. Frontiers in Psychology 4. 226. https://doi.org/10.3389/fpsyg.2013.00226.Search in Google Scholar
MacDonald, Maryellen C., Neal J. Pearlmutter & Mark S. Seidenberg. 1994. The lexical nature of syntactic ambiguity resolution. Psychological Review 101(4). 676–703. https://doi.org/10.1037/0033-295X.101.4.676.Search in Google Scholar
Mitchell, Don C. 1987. Lexical guidance in human parsing: Locus and processing characteristics. In Max Coltheart (ed.), Attention and performance XII, 601–618. Hillsdale, NJ: Erlbaum.Search in Google Scholar
Mitchell, Don C., Fernando Cuetos, Martin M. B. Corley & Marc Brysbaert. 1995. Exposure-based models of human parsing: Evidence for the use of coarse-grained (nonlexical) statistical records. Journal of Psycholinguistic Research 24(6). 469–488. https://doi.org/10.1007/BF02143162.Search in Google Scholar
Nakatani, Kentaro & Edward Gibson. 2010. An on-line study of Japanese nesting complexity. Cognitive Science 34(1). 94–112. https://doi.org/10.1111/j.1551-6709.2009.01067.x.Search in Google Scholar
Price, Iya K. & Jeffrey Witzel. 2017. Sources of relative clause processing difficulty: Evidence from Russian. Journal of Memory & Language 97. 208–244. https://doi.org/10.1016/j.jml.2017.07.013.Search in Google Scholar
Reali, Florencia & Morten H. Christiansen. 2005. Uncovering the richness of the stimulus: Structure dependence and indirect statistical evidence. Cognitive Science 29(6). 1007–1028. https://doi.org/10.1207/s15516709cog0000_28.Search in Google Scholar
Schwab, Juliane, Ming Xiang & Mingya Liu. 2022. Antilocality effect without head-final dependencies. Journal of Experimental Psychology: Learning, Memory, & Cognition 48(3). 446–463. https://doi.org/10.1037/xlm0001079.Search in Google Scholar
Shi, Dingxu. 2000. Topic and topic-comment constructions in Mandarin Chinese. Language 76(2). 383–408. https://doi.org/10.2307/417661.Search in Google Scholar
Stallings, Lynne M., Maryellen C. MacDonald & Padraig G. O’Seaghdha. 1998. Phrasal ordering constraints in sentence production: Phrase length and verb disposition in heavy-NP shift. Journal of Memory & Language 39(3). 392–417. https://doi.org/10.1006/jmla.1998.2586.Search in Google Scholar
Staub, Adrian, Brian Dillon & Clifton Charles. 2017. The matrix verb as a source of comprehension difficulty in object relative sentences. Cognitive Science 41(56). 1353–1376. https://doi.org/10.1111/cogs.12448.Search in Google Scholar
Van Dyke, Julie A. & Brian McElree. 2006. Retrieval interference in sentence comprehension. Journal of Memory & Language 55(2). 157–166. https://doi.org/10.1016/j.jml.2006.03.007.Search in Google Scholar
Van Gompel, Roger P. G. & Martin J. Pickering. 2001. Lexical guidance in sentence processing: A note on Adams, Clifton, and Mitchell (1988). Psychonomic Bulletin & Review 8(4). 851–857. https://doi.org/10.3758/bf03196228.Search in Google Scholar
Vasishth, Shravan & Richard L. Lewis. 2006. Argument-head distance and processing complexity: Explaining both locality and antilocality effects. Language 82(4). 767–794. https://doi.org/10.1353/lan.2006.0236.Search in Google Scholar
Wang, Luming, Matthias Schlesewsky, Balthasar Bickel & Ina Bornkessel-Schlesewsky. 2009. Exploring the nature of the “subject” preference: Evidence from the online comprehension of simple sentences in Mandarin Chinese. Language & Cognitive Processes 24(7). 1180–1226. https://doi.org/10.1080/01690960802159937.Search in Google Scholar
Wang, Yina & Yinmei Li. 2016. Hanying zhuti jiegou de biaojixing: jiyu kouyu yuliaoku de huayu renzhi fenxi [Markedness of Chinese and English topic constructions: A cognitive analysis based on spoken corpus]. Waiguoyu [Journal of Foreign Languages] 39(6). 34–45.Search in Google Scholar
Xu, Liejiong & D. Terence Langendoen. 1985. Topic structure in Chinese. Language 61(1). 1–27. https://doi.org/10.2307/413419.Search in Google Scholar
Xu, Liejiong & Danqing Liu. 1998. Huati de jiegou yu gongneng [The structures and functions of topics]. Shanghai: Shanghai Educational Publishing.Search in Google Scholar
Yang, Xiaolong & Yicheng Wu. 2015. Lun Huati jiegou shengcheng de xianxing jizhi [The linearity of topic structures in Chinese]. Waiguoyu [Journal of Foreign Languages] 38(1). 55–63.Search in Google Scholar
Yang, Yang, Fuyun Wu & Xiaolin Zhou. 2015. Semantic processing persists despite anomalous syntactic category: ERP evidence from Chinese passive sentences. PLoS One 10(6). e0131936. https://doi.org/10.1371/journal.pone.0131936.Search in Google Scholar
Yang, Yiming & Tao Liu. 2013. Hanyu huatijuzhong yuji de shenjing jizhi yanjiu [On the neural mechanisms of the traces of Chinese topicalization]. Zhongguo Shehui Kexue [Chinese Social Sciences] (6). 146–166.Search in Google Scholar
Zhang, Qianqian. 2017. Hanyu huati jiegou de fenbu biaoxian [The distribution performance of Chinese topic structures]. Shanghai: Shanghai International Studies University MA Thesis.Search in Google Scholar
Zhang, Yaxu, Jing Yu & Julie E. Boland. 2010. Semantics does not need a processing license from syntax in reading Chinese. Journal of Experimental Psychology: Learning, Memory, & Cognition 36(3). 765–781. https://doi.org/10.1037/a0019254.Search in Google Scholar
Zhang, Yaxu, Ping Li, Qiuhong Piao, Youyi Liu, Yongjong Huang & Shu Hua. 2013. Syntax does not necessarily precede semantics in sentence processing: ERP evidence from Chinese. Brain & Language 126(1). 8–19. https://doi.org/10.1016/j.bandl.2013.04.001.Search in Google Scholar
Supplementary Material
This article contains supplementary material (https://doi.org/10.1515/ling-2022-0118).
© 2024 the author(s), published by De Gruyter, Berlin/Boston
This work is licensed under the Creative Commons Attribution 4.0 International License.
Articles in the same Issue
- Frontmatter
- Research Articles
- Processing Chinese object-topicalization structures in simple and complex sentences
- Competing constructions in Kaqchikel focus contexts
- A cross-linguistic study of lexical and derived antonymy
- Placeholders in crosslinguistic perspective: abilities, preferences, and usage motives
- From gesture to Sign? An exploration of the effects of communicative pressure, interaction, and time on the process of conventionalisation
- Dialect separation and cross-dialectal influence: a study on the grammatical gender of Oromo
- Morphosyntactic stereotypes of speakers with different genders and sexual orientations: an experimental investigation
Articles in the same Issue
- Frontmatter
- Research Articles
- Processing Chinese object-topicalization structures in simple and complex sentences
- Competing constructions in Kaqchikel focus contexts
- A cross-linguistic study of lexical and derived antonymy
- Placeholders in crosslinguistic perspective: abilities, preferences, and usage motives
- From gesture to Sign? An exploration of the effects of communicative pressure, interaction, and time on the process of conventionalisation
- Dialect separation and cross-dialectal influence: a study on the grammatical gender of Oromo
- Morphosyntactic stereotypes of speakers with different genders and sexual orientations: an experimental investigation