Startseite Energetic analysis of a non-isothermal linear energy converter operated in reverse mode (I-LEC): heat pump
Artikel Open Access

Energetic analysis of a non-isothermal linear energy converter operated in reverse mode (I-LEC): heat pump

  • Saul Gonzalez-Hernandez EMAIL logo
Veröffentlicht/Copyright: 7. März 2025
Veröffentlichen auch Sie bei De Gruyter Brill

Abstract

In this paper, we perform an energetic analysis of a non-isothermal linear energy converter operated in inverse mode (refrigerator and heat pump). This is done within the framework of linear irreversible thermodynamics (LIT), starting from the model of an inverse linear energy converter (I-LEC) proposed by S. Gonzalez et al. (S. Gonzalez-Hernandez and L.-A. Arias-Hernandez, “Thermoelectric thomson relations revisited for a linear energy converter,” J. Non-Equilibrium Thermodyn., vol. 44, no. 3, pp. 315–332, 2019). We extend this model to the case of heat pumps, considering different objective functions and performing their respective analyses. We particularly focus on the coefficient of performance (COP) of heating, ϵ H . Additionally, we propose other energetic functions that may be of interest in the analysis of heat pumps, drawing analogies with the well-known functions for refrigerators and heat engines. Finally, we present a brief description of thermoelectric phenomena, focusing primarily on the Peltier effect. A brief analysis of the results obtained in the context of thermoelectric cooling and heating is presented for a non-isothermal LEC.

1 Introduction

It is widely recognized that the advancement of energy conversion systems in recent decades has increasingly been driven by environmental concerns and, consequently, by sustainable development. In response to growing demands for reducing pollutant emissions and promoting the rational use of energy sources, stricter regulations have been implemented. This is especially true in recent times, where optimizing cooling systems for efficient use, such as in various types of supercomputing centers, has become crucial. At the same time, the depletion of energy resources and the need for greater energy efficiency have pushed for fuel consumption reduction and the development of new cooling and heating technologies. In this context, the analysis and optimization of thermoelectric cooling and heating systems emerge as a promising solution to meet, refine, and expand these requirements in the near future.

In a recent paper [1], based on Onsager’s equations [2], [3], and using Stucki’s definitions of the force quotient x and the coupling coefficient q for a 2 × 2 converter [4], a review of the classic thermocouple system was performed. The system’s operation was divided into two modes: direct (D-LEC, heat engine) and inverse (I-LEC, refrigerator) [1]. In this work, we extend the I-LEC concept to heat pumps (see Figure 1a and begin with an introduction to the I-LEC concept [1]).

Figure 1: 
Different representations of the I-LEC. (a) Schematic representation of a heat pump. (b) Inverse Linear Energy Converter (I-LEC, like a heat pump). We have two fluxes (J
1, J
2) and two forces (X
1, X
2) and |J
2
X
2| is the power output (by temperature unit) and |J
1
X
1| is the power input (by temperature unit) of the converter. (c) Outline of a thermocouple with a variable electric current 




J


1


=


1
+


1


q


x


I








L


12


∇


1


T




${J}_{1}=\left(1+\frac{1}{q{x}_{I}}\right){L}_{12}\nabla \frac{1}{T}$



. These charge flux can be tune–in with a battery for an I–LEC or a load for a D–LEC.
Figure 1:

Different representations of the I-LEC. (a) Schematic representation of a heat pump. (b) Inverse Linear Energy Converter (I-LEC, like a heat pump). We have two fluxes (J 1, J 2) and two forces (X 1, X 2) and |J 2 X 2| is the power output (by temperature unit) and |J 1 X 1| is the power input (by temperature unit) of the converter. (c) Outline of a thermocouple with a variable electric current J 1 = 1 + 1 q x I L 12 1 T . These charge flux can be tune–in with a battery for an I–LEC or a load for a D–LEC.

Thermodynamic and Energy Conversion Quantities

  1. The electrical conductivity σ

  2. Thermal conductivity κ

  3. Absolute thermoelectric power ɛ

  4. Electric potential ∇μ/T

  5. Temperature gradient −∇(1/T)

  6. The electric charge e

  7. The inverse force ratio x I

  8. The coupling coefficient q

  9. Carnot’s COP ϵ C T / Δ T

  10. The cooling COP ϵ = J c /P

  11. The heating COP ϵ MH

  12. The heating dissipation function Φ I

  13. The production of entropy σ

  14. Driver force X 1

  15. Driven force X 2

  16. The driver flux J 1 = J h

  17. The driven flux J 2 = J c

  18. Normalized objective functions F* = F/β

  19. The generalized heating ecological function E IGH *

  20. The generalized heating Omega function Ω IGH *

  21. The generalized combined efficient power P ϵ n h *

  22. The generalized efficient cooling power P n ϵ *

We will begin by introducing the model of a linear energy converter (LEC), including the direct (D-LEC, heat engine) and inverse (I-LEC, heat pump and refrigerator) concepts as described [1]. For this, we consider the phenomenological Onsager equations [2], [3]:

(1) J 1 J 2 = L 11 L 12 L 12 L 22 X 1 X 2 ,

being L i j = J i X i e q . By using the linear equations Eq. (1) and second law we obtain [5],

(2) 1 q 2 L 12 2 L 11 L 22 0 ,

the quantity (q) is called coupling coefficient, Stucki [4], and we can rewrite the Onsager’s equations as follows,

(3) J 1 L 11 J 2 L 22 = L 11 q L 22 q L 22 L 22 X 1 X 2 .

From these equations, we see that q measures the degree of coupling between the fluxes. When q → 1, the relationship between fluxes approaches a fixed mechanistic stoichiometry. On the other hand, when q → 0, the cross effects disappear, making the fluxes independent of each other. In Eq. (3), each generalized flux becomes proportional to its corresponding conjugate force through the coefficient L ii . Now, considering the system’s entropy production σ,

(4) σ = J 1 X 1 + J 2 X 2 > 0 .

1.1 Direct linear energy converter (D–LEC)

Starting from the entropy production in Eq. (4), we can define two modes of operation for the system: the direct mode and the indirect mode, referred to as D-LEC and I-LEC, respectively. First, we will define the direct mode of the converter, for which we can establish the relation J 2 X 2 > J 1 X 1 , where J 2 X 2 > 0 and J 1 X 1 < 0, according to the definitions of the driving and driven forces, respectively.

Next, we can associate the first term of the entropy production with a power output (per unit of temperature) and the second term with a power input (per unit of temperature), thus constructing a steady-state Linear Energy Converter (LEC) [6], [5]. This setup represents a converter with non-zero entropy production and non-zero power output, due to its interactions with the surroundings (X k and J k , where k = 1, 2). Using the work of Caplan and Essig [6], it is possible to describe a LEC. In general, the fluxes J k governing a real system are usually highly complex and nonlinear functions of the generalized forces X k . However, the linear regime allows for a sufficiently adequate description of the phenomenon.

Now, we can use the entropy production of the LEC, given in its general form by Eq. (4), taking the heat flux as the driving flux and any other flux against a generalized force as the driven flux. For this reason, we will call this engine a “direct linear energy converter” (D-LEC). In this case, the force ratio x D is defined as:

(5) x D L 11 L 22 X 1 X 2 driven force Driver force , where x D 1,0 .

we can write the flows J 1 and J 2 as follow,

(6) J 1 = 1 + q x D L 11 X 1 a ) 1 + x D q L 12 X 2 b ) ,

and

(7) J 2 = 1 + 1 q x D L 12 X 1 a ) q x D + 1 L 22 X 2 b ) .

Now, we make an additional hypothesis about the driver force, we will suppose that the temperature gradient is constant and of the form,

(8) X D = 1 T c 1 T h > 0 ,

with T c and T h representing the temperatures of the “cold” and “hot” reservoirs, respectively.

1.2 Inverse energy converter (I-LEC)

Similarly, starting from the entropy production Eq. (4), we can define the Inverse Linear Energy Converter (I-LEC). To do this, we can establish the relation ∣J 2 X 2∣ > ∣J 1 X 1∣, with J 2 X 2 > 0 and J 1 X 1 < 0, according to the definitions of driven and driver fluxes [1]. The first term in the entropy production Eq. (4) can then be associated with power output, while the second term corresponds to power input per unit of temperature. Using these terms, we can build a steady-state Inverse Linear Energy Converter (I-LEC).

This converter has nonzero entropy production and nonzero power output, due to its interactions with the surroundings (i.e., forces X i and fluxes J i ). To use the force ratio x introduced by Stucki [4], we must express it for the inverse mode. In this mode, the driven flux is J 2 = J c , and the driver flux is J 1 = J h , associated with the forces X 2 and X 1 respectively. Thus, the force ratio for the I-LEC becomes:

(9) x I L 22 L 11 X 2 X 1 , driven force Driver force ,

This variable is called the inverse force ratio x I , [1], and unlike Stucki’s force ratio x, it is defined for converters operating in reverse. Therefore, −1 ≤ x I ≤ 0. Now we can write the fluxes J 1 and J 2 in terms of the inverse force ratio and the coupling coefficient as,

(10) J 1 = 1 + q x I L 11 X 1 a ) 1 + 1 q x I L 12 X 2 b ) ,

and

(11) J 2 = 1 + x I q L 12 X 1 a ) 1 + q x I L 22 X 2 b ) .

We will then extend the proposal of [1] to heat pumps, for which we take the following as the driven force:

(12) X 2 = 1 T h 1 T c < 0 ,

where, T h and T c are the temperatures of the hot and cold reservoirs respectively. On the other hand, multiply the equation Eq. (9) by L 12 and substitute Eq. (2), with which we obtain,

(13) L 12 X 1 = q x I L 22 X 2 ,

consider the input power, P which we can define as follows [1],

(14) P = J 1 X 1 T h ,

replacing Eq. (10b) in, P Eq.(14), with which we obtain,

(15) P = 1 ϵ C 1 + q x I x I 2 L 22 X 2 ,

where, T h X 2 = −(1/ϵ C ), and ϵ C T / T is the Carnot’s COP. In fact, if the temperature difference ΔT is small, we can assume without loss of generality that ϵ C ≈ (TT) ≈ ϵ CH , where ϵ CH is the Carnot’s COP for heating. Finally, let us consider, J h and apply the first law, J h = P + J c , let us substitute Eq. (11b) and Eq. (15) into J h , which gives us:

(16) J h = 1 ϵ C 1 + q x I x I q + x I ϵ C x I 2 L 22 X 2 .

2 Heat pump

As is well known, refrigerators, air conditioners, and heat pumps are refrigeration engines that transfer heat from a cold reservoir (J c ) to a hotter one (J h ) using external power P. The difference between them lies in the energy conversion objective. A refrigerator uses external work P to extract heat J c and move it to J h , with the goal of cooling the cold reservoir. In contrast, a heat pump moves J c using P to heat or maintain the temperature of J h . The objective functions that best describe the energy conversion trade-offs for these machines are different. Before analyzing heat pumps, we need to introduce the concept of normalized objective functions F* [1]. If F is a thermodynamic function obtained from linear irreversible thermodynamics (LIT), it can be normalized as F* = F/β, where β = (T h X 2)L 22 X 2 = −(1/ϵ C )L 22 X 2 > 0. The superscript (∗) will denote functions normalized by β, and this normalization differs when the converter operates directly [1]. Normalizing these functions allows us to analyze the general behavior without specific evaluation of L 22 X 2. In the same way, we can calculate the maximum of F* by optimizing it with respect to x I . Solving F * / x I x M F * = 0 , gives the optimal value of the force quotient x M F * .

2.1 Thermodynamics of heat pumps

Now we will calculate the heating discipation function Φ I , for which it is necessary to consider the discipation function of the pump which is defined as Φ I = T h σ, where σ is Eq. (4), we can calculate the entropy production, σ = J h / T h J c / T c , substituting Eq. (16) and Eqs. (11b15) in the production of entropy, σ = P / T h + J c X 2 , which it can be written as follows,

(17) σ I = 1 ϵ C x I 2 + 2 q x I + 1 x I 2 L 22 X 2 T ,

we can calculate the heating discipation function as follows, with Φ I * = Φ I / β .

(18) Φ I * = x I 2 + 2 q x I + 1 x I 2 .

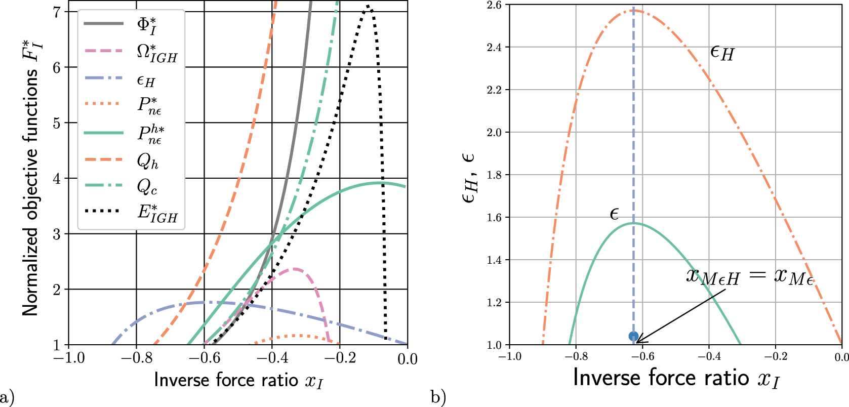
In Figure 2a, the behavior of J h , J c and Φ I * , is shown. It is possible to observe the increasing and unbounded behavior of these characteristic functions. Now, we will consider the most important function in the analysis of heat pumps: the heating COP, defined as ϵ H = J h /P. From the first law, we know that J h = P + J C , so ϵ H = P + J c / P = 1 + J c / P = 1 + ϵ , where ϵ = J c /P is the refrigeration COP [1].

Figure 2: 
Energetics of the I-LEC. (a) In the figure, we can see the comparison of the different normalized objective functions, which are: heating dissipation function 




Φ


I


*




${{\Phi}}_{I}^{{\ast}}$



, the heating COP ϵ

H
, the generalized heating ecological function 




E


IGH


*




${E}_{\mathit{IGH}}^{{\ast}}$



, the generalized heating Omega function 




Ω


IGH


*




${{\Omega}}_{\mathit{IGH}}^{{\ast}}$



, the generalized combined efficient power 




P


ϵ
n


h
*




${P}_{{\epsilon}n}^{h{\ast}}$



, and the generalized efficient cooling power 




P


n
ϵ


*




${P}_{n{\epsilon}}^{{\ast}}$



, with q = 0.87 and ϵ

C
 = 2.25. (b) In the figure, the relationship between the heating COP and the cooling COP is shown as ϵ

H
 = 1 + ϵ, demonstrating that they have the same maximum value of x

I
. The values q = 0.87 and ϵ

C
 = 2.25 were chosen because these values allow all the characteristic functions in (a) to be displayed in the image.
Figure 2:

Energetics of the I-LEC. (a) In the figure, we can see the comparison of the different normalized objective functions, which are: heating dissipation function Φ I * , the heating COP ϵ H , the generalized heating ecological function E IGH * , the generalized heating Omega function Ω IGH * , the generalized combined efficient power P ϵ n h * , and the generalized efficient cooling power P n ϵ * , with q = 0.87 and ϵ C = 2.25. (b) In the figure, the relationship between the heating COP and the cooling COP is shown as ϵ H = 1 + ϵ, demonstrating that they have the same maximum value of x I . The values q = 0.87 and ϵ C = 2.25 were chosen because these values allow all the characteristic functions in (a) to be displayed in the image.

This shows that ϵ H = 1 + ϵ is the classical relation between heating COP ϵ H and refrigeration COP ϵ. Now, by substituting Eq. (11b) and P = T h J I1 X 1 into ϵ H , we get:

(19) ϵ H = 1 ϵ C x I x I + q q x I + 1 .

In the same way we can calculate the maximum COP ϵ MH , for which we perform the optimization of Eq. (19) with respect to x I , and solving the equation ϵ H / x I x M H = 0 , whereby we find the optimal value of the force quotient x M ϵ H ,

(20) x M ϵ H = x M ϵ = 1 + 1 q 2 q ,

now, substituting Eq. (20) in Eq. (19) we obtain the maximum value of the heating COP ϵ MH ,

(21) ϵ M H = 1 + ϵ C q 1 + 1 q 2 2 ,

where, we have considered the Carnot’s COP ϵ C . Figure 2a shows the typical behavior of the COP and the heating COP, Eqs. (29 y 19), respectively, in comparison with other objective functions. Similarly, in Figure 2b, it can be observed that the classical relation ϵ H = 1 + ϵ holds. Additionally, the maximum values for the force ratio of the COP and the heating COP are evident, satisfying x M ϵ H = x M ϵ .

On the other hand, we considered the definition of the generalized ecological function for both motor and refrigerator [1], [7], [8], with which it is possible that, we can propose the generalized heating ecological function E IGH , which we will define as follows,

(22) E IGH = J c g E I H ϵ M H 2 Φ I H ,

where g E I H ϵ M H / 2 is the function g E I H [9], [10] evaluated at half of the maximun heating COP ϵ MH Eq. (21) and Φ I * is the heating dissipation function Eq. (18), the g E I function is defined in the following way g E I H ( ϵ ) = ϵ C H ϵ / ϵ C H ϵ , where ϵ C H T / T ϵ C , with ϵ CH and ϵ CH the Carnot COP for heating and cooling, respectively, whereby we can compute g E I H ϵ M H / 2 = ϵ C H ϵ M H / 2 / ϵ C H ϵ M H / 2 , with what we obtain,

(23) g E I H ϵ M H = ϵ C q 2 1 + ϵ C 2 1 + 1 q 2 2 1 + 1 q 2 2 ϵ C 1 q 2 ϵ C 1 ,

substituting Eqs. (10), (18) and (23) in Eq. (22) is obtained,

(24) E IGH * = ϵ C 1 + q x I g E I H ϵ M H x I 2 + 2 q x I + 1 x I 2 .

Now we consider the generalized omega function for heat engines and refrigerators [1], [7], [11]. From the analysis and proper identification of effective useful energy E u,e and lost useful energy E l,u , we can propose the generalized heating Omega function Ω IGH . This objective function represents a balance between effective useful energy E u,e = E u r min E i and lost useful energy E l,u = r max E i E u . Here, E u is the machine’s useful energy, r min is the minimum performance, E i is the input energy, and r max is the maximum performance. Performance is defined as r = E u /E i . Finally, the generalized Omega function is defined as follows:

(25) Ω I H = E u , e g Ω I H ϵ M H 2 E l , u ,

The function g Ω I H ϵ M H / 2 is the omega function g Ω I H ϵ H = ϵ H / ϵ M H ϵ H evaluated at half the maximum COP, defined as g Ω I H ϵ M H / 2 = 1 . For an I-LEC operating as a heat pump, the useful energy is the heat flux E u = J h = P + J c , where the input energy E i is the work supplied P. The performance is defined as r = ϵ H , with a minimum performance of r min = 1 and a maximum of r max = 1 + ϵ M = ϵ MH . Substituting this information into the definition of effective useful energy E u,e = J h P, and using the maximum performance r max in the input energy E i = P and useful energy E u , we define the lost useful energy as E l,u = r max E i E u . Substituting E u,e and E l,u intoin Ω IH = E u,e E l,u , we obtain Ω I H = 2 J h 1 + ϵ M H P

(26) Ω IGH = 1 + ϵ M H J c + 1 ϵ M H J h ,

or

(27) Ω IGH = 2 + ϵ M J c ϵ M J h ,

in the equation Eq. (27) we have considered the first law, J h = P + J c and ϵ MH = 1 + ϵ M .

(28) Ω IGH * = Ω I H * = q + x I x I 2 ϵ C + ϵ M q x I + 1 x I 2 + q x I ,

we can note that Ω IGH * = Ω I H * , where Ω I H * is the omega function of heating. The behavior of the generalized heating ecological function E IGH * , the generalized heating Omega function Ω IGH * , Eqs. (22) and (28), respectively, is shown in Figure 2a.

3 Discussion on efficient power for I-LEC

In this section, we start from the already known concept of efficient power, P η , which is the product of power P and efficiency η, defined as P η = [12]. This concept has been widely used in finite-time thermodynamics for thermal engines. Based on this, we propose three types of analogous functions for a system operated as an I-LEC (refrigerator and heat pump). The functions we developed are the efficient cooling power P ϵ , the efficient heating power P , and the efficient combined cooling power P ϵ h . Finally, we analyze these functions. We begin by calculating the cooling COP, ϵ = J c /P [1]. By substituting Eq. (11b) and Eq. (15) into ϵ, we obtain:

(29) ϵ = ϵ C x I q + x I q x I + 1 ,

the optimal value of the force ratio, x [1], is as follows:

(30) x M ϵ = 1 + 1 q 2 q ,

We will define the generalized efficient cooling power as the product of the COP of refrigeration ϵ Eq. (29) (raised to the power n with n R ) multiplied by the refrigeration load J c ,

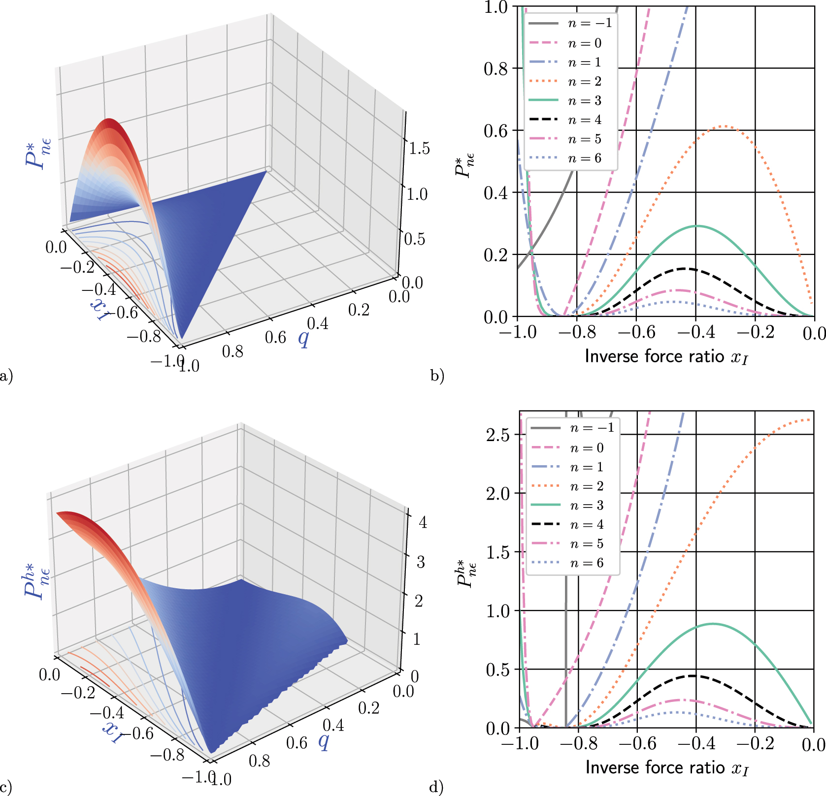
(31) P n ϵ = ϵ n J c ,

replacing Eq. (11b) and Eq. (15) in Eq. (31), we obtain,

(32) P n ϵ * = ϵ C n + 1 q + x I x I x I q + x I q x I + 1 n .

This function shows a trade-off between the machine’s performance, the cooling COP, and the driven flux J c . This function presents an optimal value for the inverse force ratio x I , as can be observed in Figure 3a. Similarly, the optimal value is reported in Table 1. We will define the generalized combined efficient power P ϵ h as the product of the COP ϵ Eq. (29) (raised to the power n with n R ) multiplied by J h or the refrigeration load J c respectively, so that, P n ϵ h = ϵ n J h ,

(33) P ϵ h = ϵ n J h ,

now replacing Eq. (11b) and Eq. (15) in P n ϵ h Eq. (33) we get,

(34) P n ϵ h * = ϵ C n 1 + q x I ϵ C x I q + x I x I 2 x I q + x I q x I + 1 n .

Figure 3: 
Generalized functions of efficient heating power-type functions. (a) The graph shows the plot of the generalized combined efficient power 




P


ϵ
n


h
*




${P}_{{\epsilon}n}^{h{\ast}}$



 and the generalized efficient cooling power 




P


n
ϵ


*




${P}_{n{\epsilon}}^{{\ast}}$



. (b) The graph illustrates the optimal value of the force ratio for 




P


ϵ
n


h
*




${P}_{{\epsilon}n}^{h{\ast}}$



, see Table 1. (c) Optimal values of 




P


ϵ
n


h
*






x


i


P


n
ϵ


h
*








${P}_{{\epsilon}n}^{h{\ast}}\left({x}_{i{P}_{n{\epsilon}}^{h{\ast}}}\right)$



 for i = 1, 2, 3, evaluated at the optimal values 




x


1


P


n
ϵ


h
*






${x}_{1{P}_{n{\epsilon}}^{h{\ast}}}$



, 




x


2


P


n
ϵ


h
*






${x}_{2{P}_{n{\epsilon}}^{h{\ast}}}$



, and 




x


3


P


n
ϵ


h
*






${x}_{3{P}_{n{\epsilon}}^{h{\ast}}}$



. In all three graphs, q = 0.845 and ϵ

C
 = 1.916 are considered. The values of q = 0.845 and ϵ

C
 = 1.916 were selected, as they better represent the trade-off of the characteristic functions in (a).
Figure 3:

Generalized functions of efficient heating power-type functions. (a) The graph shows the plot of the generalized combined efficient power P ϵ n h * and the generalized efficient cooling power P n ϵ * . (b) The graph illustrates the optimal value of the force ratio for P ϵ n h * , see Table 1. (c) Optimal values of P ϵ n h * x i P n ϵ h * for i = 1, 2, 3, evaluated at the optimal values x 1 P n ϵ h * , x 2 P n ϵ h * , and x 3 P n ϵ h * . In all three graphs, q = 0.845 and ϵ C = 1.916 are considered. The values of q = 0.845 and ϵ C = 1.916 were selected, as they better represent the trade-off of the characteristic functions in (a).

Table 1:

The table shows the different optimal values obtained for each operating regime studied.

I–LEC Optimal value of the
Working regimes Inverse force ratio x Optimum
ϵ H x M ϵ H = 1 + 1 q 2 q ,
E IGH * x IMEGH = 4 + 4 1 q 2 2 q 2 1 + ϵ C 2 q q 2 1 + 3 ϵ C 2 1 + 1 q 2 1 + 2 ϵ C ,
Ω IGH * = Ω I H * x I M Ω G H = 2 q q 2 4 1 + 1 q 2 ,
P n ϵ * x M P n ϵ * = q 4 4 n 2 q 2 1 2 n + q 2 2 n q ,
P n ϵ h * x 1 P n ϵ h * = 1 3 a A 2 3 2 3 3 a c b 2 A b , x 2 P n ϵ h * = 1 3 a 1 + i 3 3 a c b 2 2 2 / 3 A 1 i 3 A 2 4 / 3 b x 3 P n ϵ h * = 1 3 a 1 i 3 3 a c b 2 2 2 / 3 A 1 + i 3 A 2 4 / 3 b , ,
Where:
a = 20 q , b = q 2 + 40 , c = 9 q 3 47 q , d = 2 11 q 2 A = 9 a b c 2 b 3 27 a 2 d 2 + 4 3 a c b 2 3 + 9 a b c 27 a 2 d 2 b 3 3 ,

This efficient power-type function demonstrates a trade-off between the machine’s performance, the cooling COP, and the driver flux J h . The function exhibits three optimal values for the inverse force ratio, as shown in Figure 3a. These optimal values are also listed in Table 1. The presence of multiple optimal points is further illustrated in Figure 3b, where the three roots x i P n ϵ h * , for i = 1, 2, 3, are plotted. It can be seen that these roots are defined within specific segments. This segmentation is also reflected in the evaluation of the objective function P n ϵ h * x i P n ϵ h * , q , for i = 1, 2, 3, as illustrated in Figure 3c. Similarly, the comparison of the functions P n ϵ h * and P n ϵ * with respect to the other characteristic functions of the converter’s energetics is shown in Figure 2a. The value n = 2 has been considered in both cases. This value is chosen because it is the smallest natural number that exhibits a maximum in the functions. This behavior is shown in Figure 4b and d. The image shows the comparison for a fixed value of the force ratio q = 0.87 and the Carnot COP ϵ C = 2.25.

Figure 4: 
Generalized functions of efficient cooling power-type functions. (a) In the figure, we can see the generalized efficient cooling power 




P


n
ϵ


*






x


I


,
q




${P}_{n{\epsilon}}^{{\ast}}\left({x}_{I},q\right)$



. (b) The figure shows the behavior of 




P


n
ϵ


*




${P}_{n{\epsilon}}^{{\ast}}$



 for different values of n = −1, 0, 1, …, 6, with q = 0.845 and ϵ

C
 = 1.916. (c) The generalized combined efficient power 




P


n
ϵ


h
*






x


I


,
q




${P}_{n{\epsilon}}^{h{\ast}}\left({x}_{I},q\right)$



. (d) The figure shows the behavior of 




P


n
ϵ


h
*




${P}_{n{\epsilon}}^{h{\ast}}$



 for different values of n = −1, 0, 1, …, 6, with q = 0.845 and ϵ

C
 = 1.916.
Figure 4:

Generalized functions of efficient cooling power-type functions. (a) In the figure, we can see the generalized efficient cooling power P n ϵ * x I , q . (b) The figure shows the behavior of P n ϵ * for different values of n = −1, 0, 1, …, 6, with q = 0.845 and ϵ C = 1.916. (c) The generalized combined efficient power P n ϵ h * x I , q . (d) The figure shows the behavior of P n ϵ h * for different values of n = −1, 0, 1, …, 6, with q = 0.845 and ϵ C = 1.916.

4 The thermoelectricity

As is well known, thermoelectricity encompasses a set of fundamental phenomena in Non-Equilibrium Thermodynamics. Among these, three principal effects stand out:

  1. The Seebeck Effect: Discovered in 1821 by T. J. Seebeck, this effect involves the generation of electricity when heat is applied to the junction of two dissimilar materials.

  2. The Peltier Effect: Observed in 1834 by Jean C. A. Peltier, this phenomenon manifests as a temperature gradient at the junction of two materials under isothermal conditions, caused by an electric current.

  3. The Thomson Effect: Predicted and observed in 1851 by W. Thomson, this effect involves the heating or cooling of a current-carrying conductor in the presence of a temperature gradient.

L. Onsager, along with other researchers [2], [3], [13], [14], [15], [16], derived the phenomenological equations of the thermocouple. Starting from the entropy production of the thermoelectric phenomenon and incorporating the electrochemical potential, fluxes, and forces within the system, they obtained generalized equations describing these thermoelectric phenomena. These fundamental discoveries and theoretical developments have laid the groundwork for our modern understanding of thermoelectric processes, paving the way for numerous applications in energy conversion and thermal management systems.

4.1 Thermoelectric cooling and heating for an inverse linear energy converter (I-LEC)

Thermoelectric cooling and heating, as widely recognized, utilize the Peltier effect to create thermal flow across the junction of two different materials, typically P-type and N-type semiconductors. A Peltier device is a non-isothermal linear energy converter that transfers heat from one side to the other, against the temperature gradient, by consuming electrical energy. While heating can be achieved more economically through other methods, Peltier devices are valued for their compact size, lack of moving parts, and long durability. Importantly, they do not require liquids or refrigerant gases, making them environmentally friendly and suitable for various applications.

When connected to a direct current power source (such as a battery), as shown in Figure 1c, one side of the Peltier device cools while the other heats up. The efficiency of heat transfer depends on the supplied current and how effectively heat is removed from the hot side.

Additionally, Peltier devices can act as electrical generators if a temperature difference is maintained between the two sides, further increasing their versatility in energy conversion [1].

The phenomenological equations describing the behavior of these devices can be written as follows:

(35) J N J Q = L 11 L 12 L 21 L 22 1 T μ 1 T ,

with J 1 = −J N and J 2 = J Q , the electrical current and the heat flux respectively, L i j s the Onsager coefficients. These equations provide a mathematical framework for understanding and optimizing the performance of thermoelectric devices, enabling engineers and researchers to develop more efficient cooling and heating systems for a wide range of applications. We will now derive the Onsager phenomenological coefficients L ij using a standard procedure [1]. Consider Figure 1c, which shows the basic diagram of a thermocouple. This system consists of two materials, typically different metals A and B, with chemical potentials (μ 1) and (μ 2), respectively. These materials are welded at their ends, and material B can be connected to either a battery or a multimeter. We use our previous models of a steady-state linear energy converter (I-LEC) for small ΔT to describe a thermocouple subjected to a heat flux. Additionally, a non-resistive load (for work transferred to the surroundings) or a battery (for work transferred to the system) is placed in the thermocouple at temperature T′, between points a and b. This configuration allows us to fine-tune the flux J 1 for each operation mode (see Figure 1c). This setup enables the analysis of the thermoelectric behavior of the system under different conditions. By manipulating the temperature difference and the electrical load or source, we can explore various operational modes of the thermocouple, such as power generation or cooling/heating. The Onsager phenomenological coefficients L ij provide a mathematical framework for describing the coupling between thermal and electrical phenomena in the thermocouple. We will now derive two of the three phenomenological coefficients using the definitions of electrical (σ) and thermal (κ) conductivities. Electrical conductivity σ is defined as the electric flux per unit potential gradient in an isothermal system (∇T = 0). Additionally, if the system is homogeneous, then ∇μ = ∇μe. Substituting these conditions into the generalized equations for the thermocouple (Eq. (35)), we obtain [1]:

(36) L 11 = c T e 2 ,

where e is the electric charge. This approach establishes a direct relationship between measurable macroscopic properties (electrical and thermal conductivities) and the fundamental Onsager coefficients. By doing this, we bridge the gap between experimental observations and the theoretical framework of non-equilibrium thermodynamics. The thermal conductivity κ is defined as the heat flux per unit temperature gradient in the absence of an electric field in a homogeneous medium. Introducing this definition into Eq. (35), we obtain:

(37) L 22 = κ T 2 .

These direct coefficients corresponds to the well known phenomelogical laws, Ohm’s law and Fourier’s Law. The third phenomenological coefficient, which we will derive separately, is related to the thermoelectric power or Seebeck coefficient. Together, these three coefficients provide a complete description of the thermoelectric behavior of the system, enabling us to predict and optimize the performance of thermoelectric devices under various operating conditions. The derivation of the last coefficient is not trivial, but the deduction can be found in [1], yielding:

(38) L 12 = 1 q x I T 2 ε σ e

If we accept the electrical conductivity σ, thermal conductivity κ, and absolute thermoelectric power ɛ as the three physically significant dynamic properties of a medium, along with the force ratio and coupling constant, we can eliminate the three phenomenological coefficients and rewrite the kinetic equations (Eq. (35)) as follows:

(39) J N J Q = T σ e 2 T 2 ε mdf σ e q x I T 2 ε mdf σ e q x I T 2 κ 1 T μ 1 T ,

The Peltier effect describes heat evolution at an isothermal junction (∇T = 0) due to an electric current. For this effect, we consider the electric potential X 1 = ∇μ/T as the driving force and the temperature gradient X 2 = −∇(1/T) as the driven force, measured between the welding points of materials A and B (see Figure 1a). We can construct the force ratio as follows:

(40) x I = L 22 L 11 X 2 X 1 = | e | T κ σ 1 T 1 T μ .

This formulation provides a succinct description of the Peltier effect in terms of generalized thermodynamic forces, setting the stage for a more detailed analysis of thermoelectric phenomena. As we can observe from the force ratio x I determined in Eq. (40), we only need to provide the values of the electrical conductivity σ, the thermal conductivity κ, and the electric charge e to characterize the general behavior of the ILEC, both when operated as a refrigerator or as a heat pump.

5 Concluding remarks

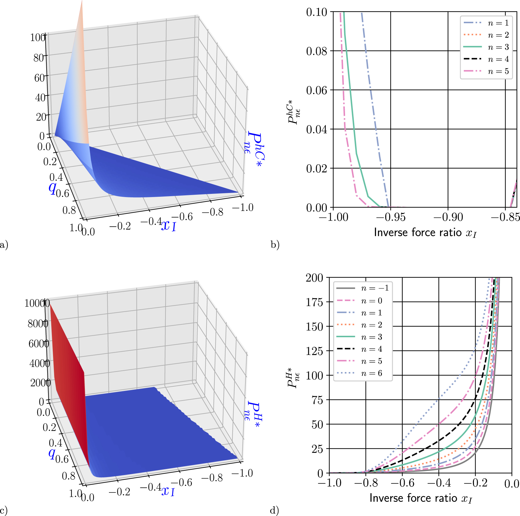
We considered a model in the context of LIT for a non-isothermal energy converter [1], with fixed temperatures (T and T + ΔT). This converter operates in two modes: as a direct linear energy converter (engine) or as an inverse linear energy converter (refrigerator or heat pump). In the latter, a spontaneous flux drives a non-spontaneous heat flux. Our study begins with the analysis of the second type, focusing on heat pumps. For this converter, we proposed and identified various steady-state operating regimes, which correspond to a specific relationship between the inverse force ratio x I and the coupling coefficient q. As noted in [1], x I relates to the machine’s operating mode, making it the target of most optimizations, while q concerns the converter’s design. In this framework, we proposed and analyzed several objective functions for inverse converters, specifically for heat pumps. We examined the following functions: the generalized heating ecological function E IGH * , the generalized heating Omega function Ω IGH * , the generalized combined efficient power P ϵ n h * , and the generalized efficient cooling power P n ϵ * Figure 2a. This analysis introduces a generalized ecological function for heat pumps and a generalized Omega function, both of which have been widely discussed in the literature for engines and refrigerators. Similarly, we provide a generalization for efficient cooling power Figure 4. The generalizations of P ϵ n h * and P n ϵ * allow us to derive functions that balance the cooling COP with one of the two fluxes in the energy conversion process. Finally, we explored extending efficient power concepts to heat pumps. However, this extension did not yield thermodynamically meaningful functions Figure 5.

Figure 5: 
Generalized cooling functions. (a) In the figure, we can see the generalized efficient cooling power 




P


n
ϵ


h
C
*






x


I


,
q




${P}_{n{\epsilon}}^{hC{\ast}}\left({x}_{I},q\right)$



. (b) The figure shows the behavior of 




P


n
ϵ


h
C
*




${P}_{n{\epsilon}}^{hC{\ast}}$



 for different values of n = 1, …, 5, with q = 0.845 and ϵ

C
 = 1.916. (c) The generalized combined efficient power 




P


n
ϵ


H
*






x


I


,
q




${P}_{n{\epsilon}}^{H{\ast}}\left({x}_{I},q\right)$



. (d) The figure shows the behavior of 




P


n
ϵ


H
*




${P}_{n{\epsilon}}^{H{\ast}}$



 for different values of n = −1, 0, 1, …, 6, with q = 0.845 and ϵ

C
 = 1.916.
Figure 5:

Generalized cooling functions. (a) In the figure, we can see the generalized efficient cooling power P n ϵ h C * x I , q . (b) The figure shows the behavior of P n ϵ h C * for different values of n = 1, …, 5, with q = 0.845 and ϵ C = 1.916. (c) The generalized combined efficient power P n ϵ H * x I , q . (d) The figure shows the behavior of P n ϵ H * for different values of n = −1, 0, 1, …, 6, with q = 0.845 and ϵ C = 1.916.

6 Appendix

6.1 Generalized efficient heating power function’s

In this section, we propose and analyze a proposal for efficient power-type functions, as shown for refrigerators. To this end, we propose two possible generalized functions. Unfortunately, as we will see below, a proposal for this type of functions is not suitable for heat pumps, because, given the goal in energy conversion, the heating COP is not bounded, causing these types of functions to lack concavity and, therefore, an optimal value.

6.1.1 Generalized efficient heating power function’s

In analogy with the definition of generalized efficient power proposed in Section 3, we can propose two functions aimed at measuring the trade-off between the heating COP and one of the two flows involved in energy conversion. We will define the first type of generalized efficient heating power as the product of the heating COP, ϵ H Eq. (29) (raised to the power n with n R + ) multiplied by J c ,

(41) P n ϵ h C = ϵ H n J c ,

obtaining,

(42) P n ϵ h C * = ϵ C 1 ϵ C x I x I + q q x I + 1 n q + x x .

On the other hand, we can propose that the conversion trade-off be between the flux J h and the heating COP, with which we will define the second type of generalized efficient heating power as the product of the heating COP, ϵ H Eq. (29) (raised to the power n with n R ) multiplied by J h ,

(43) P n ϵ H = ϵ H n J h ,

obtaining,

(44) P n ϵ H * = 1 ϵ C x I x I + q q x I + 1 n 1 + q x I x I q + x I ϵ C x I 2 .

The behavior of these two objective functions is shown in Figure 5. It can be observed that in the case of the type one function P n ϵ h C * , it does not present an optimal value that results in any thermodynamic interest. Similarly, the type two function P n ϵ H * , also does not exhibit any point of interest. Therefore, we can confirm that at least these types of functions are not of any interest in optimization.


Corresponding author: Saul Gonzalez-Hernandez, Departamento de Ciencias Básicas, Universidad Autónoma Metropolitana, U-Azcapotzalco. A. San Pablo 180, Col. Reynosa, Ciudad de México CP 02200, México; and Instituto de Física, Universidad Nacional Autónoma de México, Coyoacán, 20364, Mexico City, México, E-mail:

Funding source: UNAM Postdoctoral Program (POSDOC)

  1. Research ethics: Not applicable.

  2. Informed consent: Not applicable.

  3. Author contributions: The author has accepted responsibility for the entire content of this manuscript and approved its submission.

  4. Use of Large Language Models, AI and Machine Learning Tools: To improve language.

  5. Conflict of interest: The author states no conflict of interest.

  6. Research funding: This work was supported by UNAM Postdoctoral Program (POSDOC).

  7. Data availability: Not applicable.

References

[1] S. Gonzalez-Hernandez and L.-A. Arias-Hernandez, “Thermoelectric thomson relations revisited for a linear energy converter,” J. Non-Equilibrium Thermodyn., vol. 44, no. 3, pp. 315–332, 2019. https://doi.org/10.1515/jnet-2017-0068.Suche in Google Scholar

[2] L. Onsager, “Reciprocal relations in irreversible processes. I,” Phys. Rev., vol. 37, no. 4, pp. 405–426, 1931. https://doi.org/10.1103/physrev.37.405.Suche in Google Scholar

[3] L. Onsager, “Reciprocal relations in irreversible processes. II,” Phys. Rev., vol. 38, no. 12, pp. 2265–2279, 1931. https://doi.org/10.1103/physrev.38.2265.Suche in Google Scholar

[4] J. W. Stucki, “The optimal efficiency and the economic degrees of coupling of oxidative phosphorylation,” Eur. J. Biochem., vol. 109, no. 1, pp. 269–283, 1980. https://doi.org/10.1111/j.1432-1033.1980.tb04792.x.Suche in Google Scholar PubMed

[5] L. A. Arias-Hernandez, F. Angulo-Brown, and R. T. Paez-Hernandez, “First-order irreversible thermodynamic approach to a simple energy converter,” Phys. Rev. E, vol. 77, no. 1, p. 011123, 2008. https://doi.org/10.1103/physreve.77.011123.Suche in Google Scholar PubMed

[6] S. R. Caplan and A. Essig, Bioenergetics and Linear Nonequilibrium Thermodynamics: The Steady State, 1st ed., Cambridge, MA, Ed. Harvad University Press, 1983.10.4159/harvard.9780674732063Suche in Google Scholar

[7] L. Partido Tornez, Aplicación del criterio omega y ecológico generalizados a diferentes convertidores de energía, Tesis de Maestría, México, ESFM-IPN, 2006.Suche in Google Scholar

[8] F. Angulo Brown, “An ecological optimization criterion for finite-time heat engines,” J. Appl. Phys., vol. 69, no. 11, pp. 7465–7469, 1991.10.1063/1.347562Suche in Google Scholar

[9] F. Angulo–Brown and L. A. Arias–Hernandez, “Reply to Comment on: A general property of endoreversible thermal engines,” J. Appl. Phys., vol. 89, pp. 1520–1521, 2001, https://doi.org/10.1063/1.1335619.Suche in Google Scholar

[10] L. A. Arias-Hernandez, G. Ares de Parga, and F. Angulo-Brown, “On some nonendoreversible engine models with nonlinear heat transfer laws,” Open Syst. Inf. Dynam., vol. 10, no. 4, pp. 351–375, 2003.10.1023/B:OPSY.0000009556.27759.11Suche in Google Scholar

[11] A. Calvo-Hernández, A. Medina, J. M. M. Roco, J. A. White, and S. Velasco, “Unified optimization criterion for energy converters,” Phys. Rev. E, vol. 63, pp. 37102–37111, 2001, https://doi.org/10.1103/physreve.63.037102.Suche in Google Scholar PubMed

[12] T. Yilmaz, “A new performance criterion for heat engines: Efficient power,” J. Energy Inst., vol. 79, no. 1, pp. 38–41, 2006. https://doi.org/10.1179/174602206x90931.Suche in Google Scholar

[13] H. B. Callen, Thermodynamics and an Introduction to Thermostatistics, Canada, Wiley, 1985.Suche in Google Scholar

[14] H. B. Callen, “The application of Onsager’s reciprocal relations to thermoelectric, thermomagnetic, and galvanomagnetic effects,” Phys. Rev., vol. 73, no. 11, pp. 1349–1358, 1948. https://doi.org/10.1103/physrev.73.1349.Suche in Google Scholar

[15] S. R. De Groot and P. Mazur, Non-Equilibrium Thermodynamics, New York, Dover Publications, 1984.Suche in Google Scholar

[16] L. García Colín-Scherer and P. Goldstein Menache, La física de los procesos irreversibles, México, El Colegio Nacional, 2003.Suche in Google Scholar

Received: 2024-08-13
Accepted: 2025-02-13
Published Online: 2025-03-07
Published in Print: 2025-04-28

© 2025 the author(s), published by De Gruyter, Berlin/Boston

This work is licensed under the Creative Commons Attribution 4.0 International License.

Heruntergeladen am 14.10.2025 von https://www.degruyterbrill.com/document/doi/10.1515/jnet-2024-0065/html
Button zum nach oben scrollen