Home Organic electrochemistry: Synthesis and functionalization of β-lactams in the twenty-first century
Article Open Access

Organic electrochemistry: Synthesis and functionalization of β-lactams in the twenty-first century

  • Martina Bortolami , Isabella Chiarotto , Leonardo Mattiello , Rita Petrucci , Daniele Rocco , Fabrizio Vetica and Marta Feroci EMAIL logo
Published/Copyright: April 12, 2021

Abstract

Organic electrochemistry is a technique that allows for the heterogeneous redox reactions avoiding both the use of stoichiometric amounts of redox reagents and the resulting formation of stoichiometric by-products. In fact, the redox reagent in these reactions is the electron, which is naturally eco-friendly and produces no side compounds. It is therefore quite obvious that electrochemistry can be classified as a “green” technology. The use of this methodology in the synthesis of β-lactams is not a novelty, but the growing interest in this class of biologically active compounds, due to the discovery of new fields of application (after a moment of decrease in interest due to antibiotic resistance) has been a stimulus for the search for more efficient electrochemical ways to synthesize and transform β-lactams. Thus, this review deals with the twenty-first-century applications of electroorganic technique to the chemistry of β-lactams, by analyzing first the syntheses classified by the type of reactions (cyclization, cycloaddition, etc.) and then by manipulating the β-lactam structure, using it as a synthon. Lastly, the importance of this technique is demonstrated by a study of a pilot plant scale reduction of a cephalosporanic acid derivative to a commercially important antibiotic.

1 Introduction

β-Lactams (azetidin-2-ones; Figure 1) are four-membered heterocyclic compounds containing an amide moiety. This class of molecules is so famous in medicinal chemistry that there is no need to describe their importance in the antibiotic field. In fact, since the discovery of penicillin in 1928 by Fleming, β-lactam antibiotics have been extensively used as antibacterial agents, their use being less frequent in recent years due to the onset of antibiotic resistance [1,2].

Figure 1 
               Electrochemically induced synthesis of β-lactams. Explored routes.
Figure 1

Electrochemically induced synthesis of β-lactams. Explored routes.

Nonetheless, the importance of β-lactams has not decreased over time, as in recent years other important pharmacological activities (anticancer, anticholesterolemic, antidiabetic, etc.) have been evidenced [3]. Just think of the extensive use of ezetimibe (Figure 2) as anticholesterolemic in combination with statins. The use of ezetimibe is so widespread that this drug is in the Top 300 Drugs of 2020 in the United States [4].

Figure 2 
               Ezetimibe structure.
Figure 2

Ezetimibe structure.

Moreover, β-lactams are important and highly functionalized starting materials in organic synthesis so much that their use earned the name of “β-Lactam Synthon Method” from Ojima in 1995 [5]. In particular, enantiopure β-lactams were used as the starting materials in the synthesis of dipeptides, oligopeptides, taxoids, and similar molecules. It is thus evident that although β-lactam formation has been reported in a myriad of different synthetic routes [6], there is still room for new, efficient, and “green” methodologies.

In this regard, electrochemistry (after an initial period of distrust) is gaining increasing popularity as a “green” way to carry out heterogeneous redox reactions, the electron being a natural reagent without by-products [7,8,9,10,11,12,13,14,15,16].

As a matter of fact, electrochemistry has been used in the chemistry of β-lactams since 1974 [17], but only in recent times has its validity has been recognized by organic chemists. The advent of modern and cheap instrumentation, the use of “greener” conditions (non-volatile and recyclable ionic liquids [ILs] [18,19,20], flow cells [21,22,23], etc.), and the awareness of the advantages inherent in electrochemistry render this technique more useful for organic chemists. Moreover, one of the main reasons to oppose the use of electrochemistry by organic chemists is the use of massive amounts of supporting electrolytes which, besides their cost, hinder the purification of products. The advent of flow cells, which need very low supporting electrolyte amounts, and the possibility of using recyclable and non-volatile ILs as both solvents and supporting electrolytes (being constituted only by ions), have mitigated the mistrust of organic chemists. In addition, electrochemistry allows careful modulation of the electrons’ reactivity by choosing the working potential.

It is thus evident that electrochemistry can still give a valid contribution to the chemistry of β-lactams, besides the obvious importance of the electroactivity of β-lactams in their electrochemical detection in biological fluids, food, waste waters, etc., [24,25].

Since the electrochemistry of β-lactams has been previously reviewed in 2002 [26], for this reason we will deal with electrochemically induced synthesis and functionalization of β-lactams during the twenty-first century.

2 Electrochemically induced synthesis of β-lactams

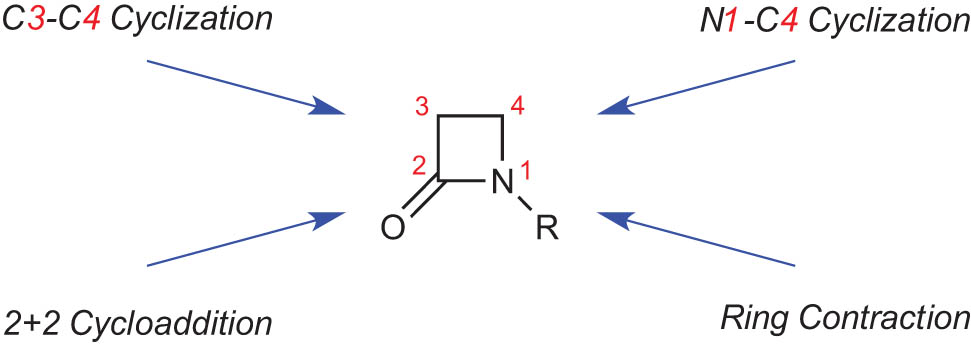
The four-membered ring of β-lactams can be obtained using electrochemistry following three different pathways (Figure 1), namely, intramolecular cyclization of a linear starting material, usually a bromoamide (N1–C4 and C3–C4 cyclizations, with the formation of 1-ring bond), reaction between a carbonyl derivative and an amine derivative (2+2 cycloaddition, with the formation of 2-ring bonds), and rearrangement of a five-membered ring (ring contraction, with ring opening and subsequent closure).

The different routes will be separately considered in the following sections.

2.1 N1–C4 cyclization

Linear amides having a leaving group in β-position (1, Scheme 1) can be deprotonated at the nitrogen atom, generating an anion which, under suitable conditions, can give internal nucleophilic displacement to the corresponding β-lactams (2, Scheme 1). Such linear amides possess a second acidic position, i.e., the CH2 in alpha position relative to the carbonyl group. If the deprotonation occurs in this latter position, the β-elimination produces the corresponding acrylamides (3, Scheme 1).

Scheme 1 
                  Electrochemical and chemical deprotonation of linear β-bromoamides: competition between cyclization and β-elimination in acetonitrile (ACN).
Scheme 1

Electrochemical and chemical deprotonation of linear β-bromoamides: competition between cyclization and β-elimination in acetonitrile (ACN).

Consequently, the product of the formal HBr elimination from bromoamide 1 depends on the deprotonation site. The interesting aspect is that it is possible to decide where to deprotonate simply by choosing the experimental conditions. In particular, when this deprotonation is carried out using triethylamine in acetonitrile, the acrylamide is selectively obtained (Scheme 1, [27]). While if electrochemical conditions are chosen, the outcome is the selective formation of the corresponding β-lactam [28]. These results demonstrate that the competition between the two sites of deprotonation is strongly influenced by the chemical environment of the reaction and the nature of the base.

In regards to the electrochemical reaction, deprotonation is carried out using an “electrogenerated base” (EGB, [29]) which is a species obtained by electrochemical means and which behaves mainly as a base. In this case, the EGB is obtained by cathodic reduction of a solution of a polar solvent (volatile organic solvent, VOC) containing a tetraalkylammonium salt as the supporting electrolyte. Although the mechanism of this electrochemical process is still debated [15], its outcome is clear: the conjugate base of the solvent is obtained in a very polar environment. Moreover, the counterion of this quite strong base is a tetraalkylammonium cation, not coordinated and quite sterically hindered, which renders the anion a “naked”, highly reactive one.

In this way, very high yields of β-lactams are obtained (Scheme 1).

When substituted amides are considered, the reaction is still more interesting, as in the case of the threonine derivative 4 (Scheme 2) for which, along with high yields (up to 86%), a complete diastereoselection is observed, meaning the trans β-lactam 5 is being the only form produced.

Scheme 2 
                  Electrochemical deprotonation of threonine derivative 4: diastereoselective synthesis of trans β-lactam 5.
Scheme 2

Electrochemical deprotonation of threonine derivative 4: diastereoselective synthesis of trans β-lactam 5.

2.2 C3–C4 cyclization

The cyclization of a linear bromoamide can also be obtained by deprotonation of a carbon atom. Of course, in this case, suitable acidity must be obtained relying on an electron withdrawing group, such as the ethoxycarbonyl one (6, Scheme 3) [30,31]. Moreover, when the bromoamide is substituted in the alpha position, the formation of two isomers (cis and trans) is possible.

Scheme 3 
                  Electrochemical deprotonation of bromoamides 6 by cyanomethyl anion: diastereoselective synthesis of cis β-lactams 7.
Scheme 3

Electrochemical deprotonation of bromoamides 6 by cyanomethyl anion: diastereoselective synthesis of cis β-lactams 7.

Also, in this case, the electrochemical reduction of a solution containing acetonitrile and a tetraalkylammonium salt (as supporting electrolyte) yields the formation of an anion of the solvent, the cyanomethyl anion (whose counterion is the tetraalkylammonium ion), a very strong base (pK a for ACN: 33 in ACN). This EGB is able to deprotonate the carbon atom in the alpha position to the nitrogen and induce the four-membered ring formation (Scheme 3).

It should be noted that in this case, as in the case of N1–C4 cyclization, the electrogeneration of the base must be carried out in the absence of the bromoamide, as the latter is an electroactive species that is more easily reducible than the solvent-supporting electrolyte system.

As reported in Scheme 3, β-lactams 7 demonstrated good to high yield (in accordance with the acidity of the deprotonation site and with the steric hindrance), but the real peculiarity of this synthesis is the stereoselectivity. In fact, it is opposite to the one obtained by N1–C4 cyclization (Scheme 2). In this case, the selective formation of the cis isomers is achieved, with very good diastereomeric ratio (only the trans isomer was obtained by N1–C4 cyclization; Scheme 2).

When a chiral substituent is present in the starting bromoamide, either on the nitrogen atom or in an outermost position, the new chiral center formed in the cyclization process can be influenced by the chiral substituent (Figure 3) [32]. In this case, the electrogenerated cyanomethyl anion was used as an efficient base and the stereochemical outcome of the reaction depended on the distance between the chiral auxiliary and the cyclization site. In almost all cases, a good diastereoselection was obtained and, as in the previous case, only cis isomers were isolated.

Figure 3 
                  Electrochemical deprotonation of chiral bromoamides by cyanomethyl anion: diastereoselective synthesis of cis β-lactams.
Figure 3

Electrochemical deprotonation of chiral bromoamides by cyanomethyl anion: diastereoselective synthesis of cis β-lactams.

In order to enhance the yields of β-lactams by linear bromoamides cyclization, an EGB different from the conjugate base of the solvent can be used. In this case a probase (PB) must be added to the solution before the cathodic reduction. A PB is a species that can be converted into an EGB by cathodic reduction. When azobenzene is the PB, the outcome of the reaction is strongly influenced by the solvent (Scheme 4) [33]. Considering the classical solvents (VOCs), N,N-dimethylformamide (DMF) yielded the best results, but quantitative yields could also be obtained using imidazolium ILs. The advantage of using ILs resides in the possibility of reusing them in subsequent runs (their very low vapour pressure along with the immiscibility in diethyl ether allows for their easy recovery after product extraction). Both 1-butyl-3-methylimidazolium tetrafluoroborate (BMIm-BF4) and 1-butyl-3-methylimidazolium hexafluorophosphate (BMIm-PF6), in the absence of other supporting electrolytes, allowed the β-lactam 9 to be obtained in 99% yield.

Scheme 4 
                  Electrochemical deprotonation of bromoamide 8 by EGB: diastereoselective synthesis of β-lactams 9. Effect of the solvent.
Scheme 4

Electrochemical deprotonation of bromoamide 8 by EGB: diastereoselective synthesis of β-lactams 9. Effect of the solvent.

When the latter experimental conditions were used with substituted bromoamides 6, cis β-lactams 7 were obtained with good diastereoselectivity and yields, which depended mainly on the nitrogen substituent (Scheme 5).

Scheme 5 
                  Electrochemical deprotonation of bromoamides 6 by EGB in ionic liquid: diastereoselective synthesis of cis β-lactams 7.
Scheme 5

Electrochemical deprotonation of bromoamides 6 by EGB in ionic liquid: diastereoselective synthesis of cis β-lactams 7.

It should be noted that the BMIm+ cation itself is electroactive and can be reduced at the cathode, yielding the corresponding N-heterocyclic carbene (NHC) after reductive scission of the C–H bond between two nitrogen atoms (Scheme 6). This NHC can behave as a base, deprotonating the bromoamide and inducing the ring formation [34], or as a nucleophile, acting as an organocatalyst. NHCs and, more in general, organocatalysts have proved to be valid and efficient tools to perform organic synthesis in an environmentally friendly way [35,36,37,38].

Scheme 6 
                  Electrochemical deprotonation of bromoamides 10 by NHC in ionic liquid: synthesis of β-lactams 11.
Scheme 6

Electrochemical deprotonation of bromoamides 10 by NHC in ionic liquid: synthesis of β-lactams 11.

This electrochemical methodology allows for a simpler reaction, as no PB is necessary besides the IL solvent, and no by-products must be removed from the catholyte before reusing the IL. In fact, when the NHC acts as a base, it again forms the starting IL cation (Scheme 6). The yields of β-lactams are also good when the internal displacement occurs at a disubstituted C–Br site, irrespective of the nitrogen substituent.

2.3 2+2 cycloaddition

The most famous way to synthesize β-lactams is the Staudinger reaction [39] which is formally a [2+2] cycloaddition between a ketene and an imine (Scheme 7). The ketene, usually not stable, is very often obtained by the in situ dehydrohalogenation of a suitable acyl halide. Despite being reported for the first time in 1907, this reaction’s mechanism is still debated [40]. Moreover, the stereochemical outcome is not univocal.

Scheme 7 
                  The Staudinger reaction to β-lactams.
Scheme 7

The Staudinger reaction to β-lactams.

Also, in this case, electrochemistry can give a contribution, both in generating the base necessary for the dehydrohalogenation to yield the ketene and in allowing the use of more friendly reaction conditions (solid electrodes, ILs as solvent-supporting electrolyte system, etc.).

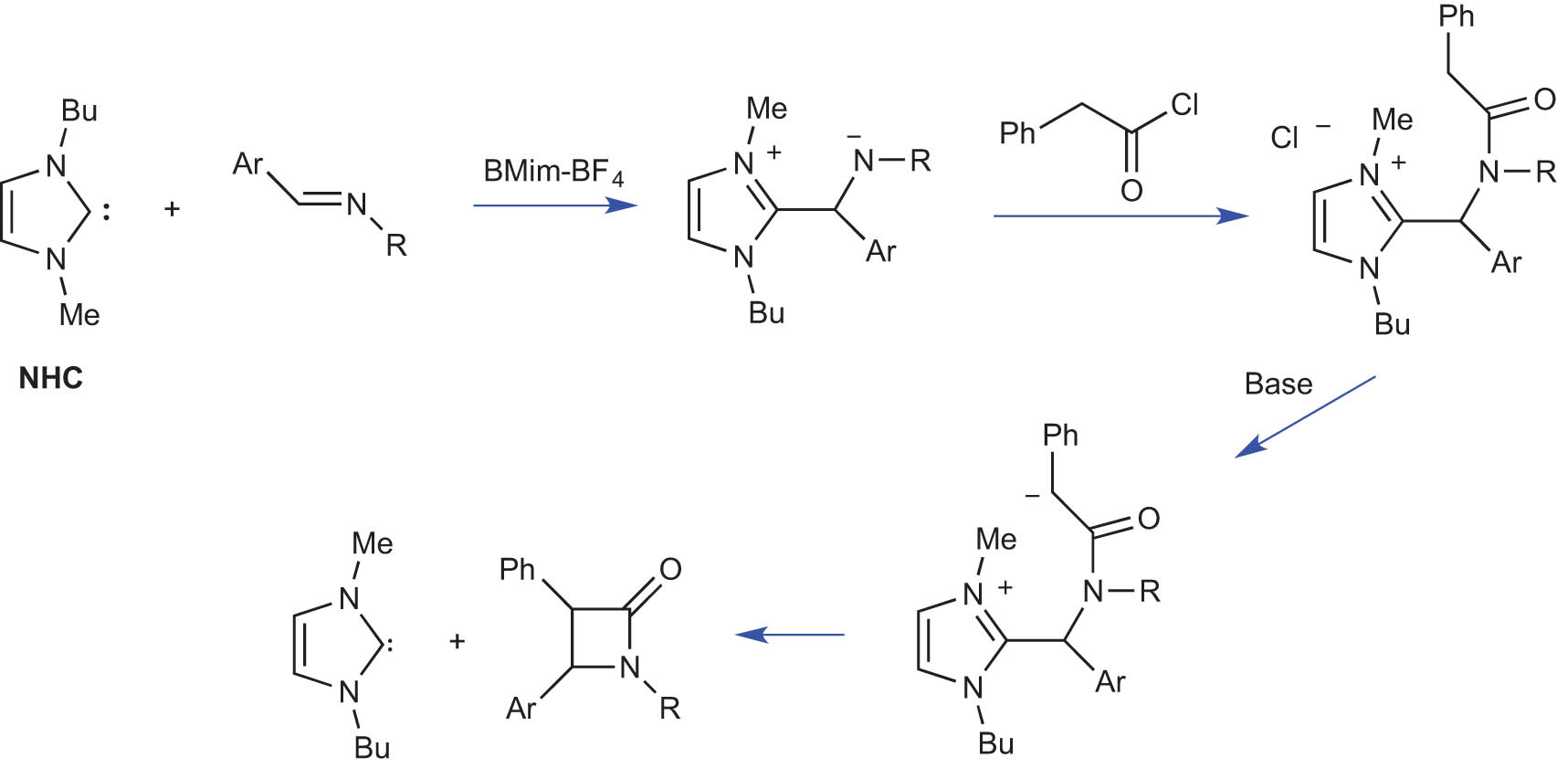
In particular, when an imidazolium IL is used as a solvent, the generation of the corresponding NHC at the cathode (Scheme 6) yields a quite strong base in solution. This base can deprotonate an acyl chloride, starting the Staudinger reaction with an imine (Scheme 8) [41].

Scheme 8 
                  Electrochemical synthesis of β-lactams 14 by NHC-induced cycloaddition of 12 and 13.
Scheme 8

Electrochemical synthesis of β-lactams 14 by NHC-induced cycloaddition of 12 and 13.

As previously stated, due to the uncertainty of the mechanism, the stereochemical outcome of the reaction is not taken for granted. In fact, either a concerted or a two-step mechanism is possible, with different relative configuration in the final β-lactam. In the case of electrosynthesis of IL BMIm-BF4, cis β-lactams were selectively obtained (Scheme 8); and depending on the substituent of the nitrogen atom, the addition of an external base (triethylamine) to a variable amount of NHC (F/mol, Scheme 8) was necessary to obtain good yields in products. In this reaction, electrogenerated NHC behaved not only as a base but also as a nucleophile, activating the imine (Scheme 9), and excluding a concerted mechanism [42].

Scheme 9 
                  Possible mechanism for the NHC-induced electrochemical synthesis of β-lactams in ionic liquid.
Scheme 9

Possible mechanism for the NHC-induced electrochemical synthesis of β-lactams in ionic liquid.

2.4 Ring contraction

The last electrochemical contribution to the synthesis of β-lactams is an anodically induced ring contraction. Onomura and coworkers [43] studied the iodine-induced ring opening, the subsequent closure of substituted pyrrolidin-2-ones, and five-membered cyclic forms of linear β-oxo-amides. The chemical reaction was carried out with a stoichiometric amount of iodine in the presence of a base. In the electrochemical technique, Onomura and coworkers envisaged the possibility of generating in situ the active “I+” by anodic oxidation of iodide (from the supporting electrolyte) and simultaneously indirectly generating an EGB contemporarily at the cathode. When the reaction in the presence of chiral pyrrolidones 15 was carried out in acetonitrile at 85°C, the corresponding β-lactams showed good to high yields (Scheme 10).

Scheme 10 
                  Electrochemical synthesis of β-lactams 16 by anodically induced ring contraction.
Scheme 10

Electrochemical synthesis of β-lactams 16 by anodically induced ring contraction.

The most important feature of this electrochemical synthesis is the very good production of diastereoselection (Scheme 10). In fact, starting from a pyrrolidone with R chiral benzyl substituent on the nitrogen atom, an excess of the diastereoisomer 16 with an S configuration at the C3 ring position was obtained.

This particular stereoselectivity is probably due to a thermodynamically controlled equilibration of the produced β-lactam in the presence of EGB. The hypothesized mechanism is reported in Scheme 11. The electroactive species is the iodide anion, which is oxidized at the anode, yielding a “I+” species that is able to react with the open form of 15, yielding the corresponding α-iodide. The deprotonation by a base and intramolecular iodide displacement yields the corresponding β-lactam, most probably in a equimolar R- and S- forms at C3.

Scheme 11 
                  Anodically induced synthesis of β-lactams 16. Proposed possible mechanism.
Scheme 11

Anodically induced synthesis of β-lactams 16. Proposed possible mechanism.

Being the most thermodynamically stable isomer, equilibration in the presence of the base yields an excess of the S-diastereoisomer, which could be isolated in pure form after crystallization. In this case, an evident advantage of the electrochemical methodology is the possibility of handling a catalytic amount of iodide anion instead of a stoichiometric amount of iodine.

3 Electrochemically induced functionalization of β-lactams

Electrochemistry can also give a noteworthy contribution to the functionalization of the β-lactam ring. In particular, the introduction of a halogen atom either on a C-atom or on the N-atom, or the anodic-induced intramolecular cyclization to a cephalosporinic derivative is possible. Moreover, the possibility of electrochemically transforming a cephalosporanic acid into a valuable intermediate has been exploited from a pilot plant point of view (see below).

Here the electrochemically induced transformations of the β-lactam ring are divided based on the reaction type.

3.1 Anodic ring fluorination

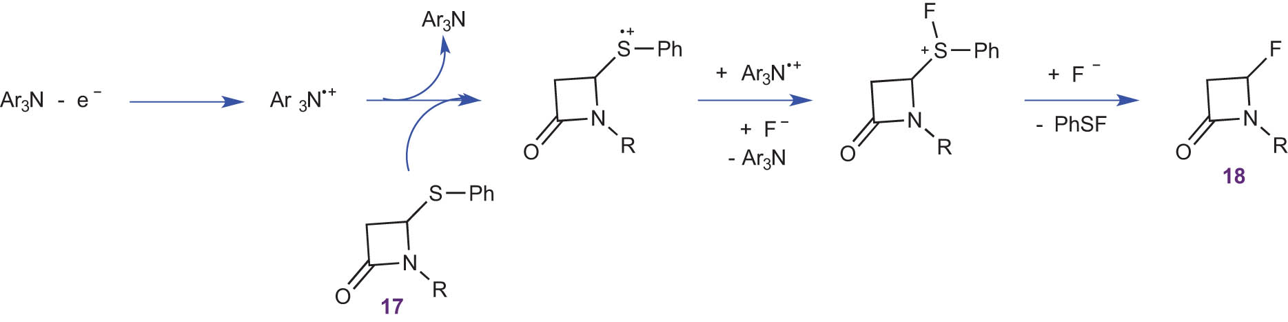
The possibility of inserting a fluorine atom into the β-lactam ring by electrochemical means was exploited by Fuchigami and coworkers, starting from a ring containing a phenyl sulfide substituent which is the oxidable species (compound 17; Scheme 12) [44,45]. This oxidation can directly be obtained at the electrode or using an electrochemical mediator (in this case a triarylamine) [46]. The presence of fluoride ions in the reaction mixture allowed for the insertion of this atom in the ring structure.

Scheme 12 
                  Anodic fluorination of β-lactams 17. Effect of additives.
Scheme 12

Anodic fluorination of β-lactams 17. Effect of additives.

The really interesting feature of this electrochemical fluorination reaction is the different outcomes in the presence and absence of the triarylamine mediator, as reported in Scheme 12. In the presence of the electrochemical mediator, a substitution of the phenyl sulfide group with the fluorine atom was obtained (compound 18). While in the absence of the mediator, the retention of the phenyl sulfide group was evidenced, with the insertion of the fluorine atom in the place of the hydrogen atom (compound 19).

A hypothesized mechanism is reported by the authors in the case of indirect electrooxidation of compound 17 (Scheme 13). In this case, the electroactive species is the arylamine which, once oxidized, in turn oxidizes the sulfur atom. In the presence of an excess of fluoride ions, the elimination of phenyl hypofluorothioite (PhSF) and the insertion of a fluorine atom on the ring were achieved.

Scheme 13 
                  Anodic fluorination of β-lactams 17. Proposed possible mechanism.
Scheme 13

Anodic fluorination of β-lactams 17. Proposed possible mechanism.

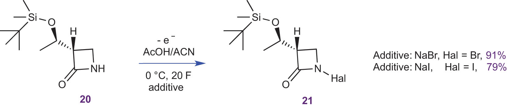
3.2 Anodic N-halogenation

Besides the ring functionalization with a fluorine atom, the halogenation of the nitrogen atom is also possible, although in a less efficient way. In fact, β-lactam 20 (Scheme 14) needed 20 F of anodic charge to yield compound 21. The anodic oxidation was carried out in the presence of acetic acid and an excess of a salt of the halide ion [47]. The electrooxidative iodination was less effective than bromination, as reported in Scheme 14.

Scheme 14 
                  Anodic N-halogenation of β-lactams.
Scheme 14

Anodic N-halogenation of β-lactams.

3.3 Anodic ring expansion

The same authors reported an electroinduced ring expansion of β-lactam 20 when electrolysis was carried out in methanol as the solvent and in the absence of the additive containing the halide ion (Scheme 15) [47]. In this case, the hypothesized mechanism depicts for the anodic oxidation of methanol to formaldehyde and the subsequent reaction of the latter with the nitrogen atom of β-lactam 20 to yield the ring opening product 22 with 84% yield. Also, in this case, the reaction was not very efficient as an excess of current (10 F) was necessary.

Scheme 15 
                  Anodic ring expansion of β-lactam 20.
Scheme 15

Anodic ring expansion of β-lactam 20.

3.4 Cathodic ring formation

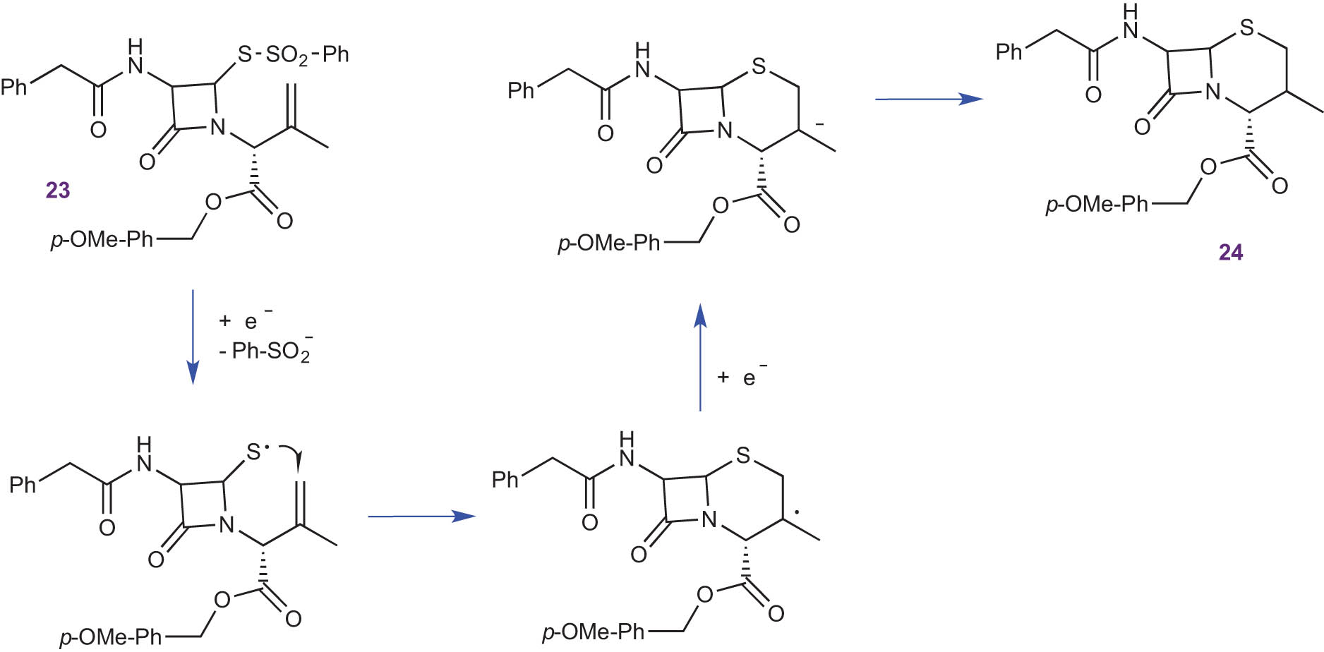
Electrochemistry can help in the construction of not only the β-lactam ring (as reported in the first part of this review) but also the fused ring of a cephalosporinic acid derivative starting from a monocyclic β-lactam. In one example, the cathodic reduction of a 4-sulfoxythio β-lactam (compound 23, Scheme 16) containing an exocyclic double bond led to the formation of the radical anion at the sulfur atom, with subsequent mesolytic cleavage to yield a sulfur radical and sulfoxy anion. An intramolecular radical cyclization of the double bond then allowed for the formation of the second fused ring of the cephalosporinic acid derivative 24 (Scheme 16) in 68% yield [48].

Scheme 16 
                  Cathodic ring formation from β-lactam 23.
Scheme 16

Cathodic ring formation from β-lactam 23.

3.5 Pilot plant scale reduction of a cephalosporanic acid derivative

The demonstration of the real utility of electroorganic chemistry is given by the use of such a technology for a proof-of-concept study at the pilot plant level. Ceftibuten is a third-generation cephalosporin antibiotic used to treat some acute bacterial infections such as pneumonia or chronic bronchitis. The established synthetic route starts from cephalosporin C, but has some problems of costs and chemical reactions [49]. The introduction of an electrochemical step (Scheme 17) could allow for a cheaper, fully aqueous commercial process. In this process, the cathodic deacetylation of compound 25 gave, in phosphate buffer, a quantitative yield of the intermediate 26 to ceftibuten, rendering this synthesis not only cheaper but also more eco-compatible.

Scheme 17 
                  Cathodic deacetylation from cephalosporanic acid 25.
Scheme 17

Cathodic deacetylation from cephalosporanic acid 25.

The electrode material was inexpensive (tin), and minimized the effects of the competitive hydrogen evolution reaction. Each electrode had an area of 0.42 m3. In this way, 113 L of the solution could be treated, obtaining nearly 3 kg of product [49].

4 Conclusions

Although electrochemistry applied to β-lactam chemistry dates back to 1974, the recent renaissance of interest in this class of compounds (due to the new possible chemical and pharmaceutical applications) has led to the publication of new syntheses and ring transformations carried out by electrochemical means in the current century. This is mainly due to the fact that this intrinsic “green” technique uses the electrons as a reagent, and they do not contribute to by-products.

As an example, by carefully choosing the kind of synthesis and the reaction conditions, it is possible not only to carry out eco-friendly and efficient ring construction processes but also to direct the synthesis toward a specific isomer (cis using a C3–C4 cyclization, trans if using an N1–C4 cyclization).

Moreover, the possibility of using the different kinds of solvents (classical organic solvents or ILs) has a noteworthy influence on the outcome of the reactions.

In almost all reported syntheses of β-lactams, very high yields were obtained. In some cases the outcomes of the reactions carried out by chemical or electrochemical means are different (see Section 2.1). In other cases, the possibility of handling safe reagents (to be electrochemically activated) instead of highly reactive ones allows for safer processes (see Section 2.4).

Besides synthesis, the ring functionalization can also be easily obtained electrochemically by the introduction of a halogen atom in different positions, the formation of the second fused ring of a cephalosporin derivative, and the ring expansion to a new class of compounds.

The interest of the pharmaceutical industry in this field is demonstrated by a proof-of-concept study for the application of an electrochemical step to the synthesis of the commercial antibiotic ceftibuten.

It is thus evident that the potential of this technique is still to be duly exploited. This includes the possibility of significantly lowering the amount of supporting electrolyte using flow conditions, and with the lowering of the electrochemical apparatus costs, could induce an increased number of “classical” organic chemists giving a chance to organic electrochemistry.

The high atom economy inherent in the use of the electron as redox reagent, the ease of dosing it, and the simplicity of separating the solid electrodes from the solution are only some of the bright sides of this technique. Nonetheless, still issues are to be solved in order to enable the large-scale industrial application of electrochemistry in organic synthesis. Examples include the construction of devices that support high current densities using low amounts of supporting electrolytes or the setup of efficient flow electrochemistry devices for a continuous production. Nevertheless, the use of renewable electrical energy to build value-added chemicals is and will be an important issue to be pursued by the chemical industry.

Funding information

The authors thank Sapienza University for financial support.

  1. Conflict of interest: Authors state no conflict of interest.

  2. Data availability statement: All data generated or ana­lyzed during this study are included in this published article.

References

[1] Kardos N, Demain AL. Penicillin: the medicine with the gretest impact on therapeutic outcomes. Appl Microbiol Biotechnol. 2011;92:677–87. 10.1007/s00253-011-3587-6.Search in Google Scholar PubMed

[2] Ventola CL. The antibiotic resistance crisis. Pharm Ther. 2015;40:277–83.Search in Google Scholar

[3] Fu D-J, Zhang Y-F, Chang A-Q, Li J. β-Lactams as promising anticancer agents: molecular hybrids, structure activity relationships and potential targets. Eur J Med Chem. 2020;201:1125. 10.1016/j.ejmech.2020.112510 and references therein.Search in Google Scholar PubMed

[4] The Top 300 Drugs of 2020. https://clincalc.com/DrugStats/Top300Drugs.aspxSearch in Google Scholar

[5] Ojima I. Recent advances in the β-lacyam synthon method. Acc Chem Res. 1995;28:383–9. 10.1021/ar00057a004.Search in Google Scholar

[6] Hosseyni S, Jarrahpour A. Recent advances in β-lactam synthesis. Org Biomol Chem. 2018;16:6840–52. 10.1039/C8OB01833B and references therein.Search in Google Scholar

[7] Frontana-Uribe BA, Little RD, Ibanez JG, Palma A, Vasquez-Medrano R. Organic electrosynthesis: a promising green methodology in organic chemistry. Green Chem. 2010;12:2099–119. 10.1039/c0gc00382d.Search in Google Scholar

[8] Schäfer HJ. Contributions of organic electrosynthesis to green chemistry. C R Chim. 2011;14:745–65. 10.1016/j.crci.2011.01.002.Search in Google Scholar

[9] Ogawa KA, Boydston AJ. Recent developments in organocatalyzed electroorganic chemistry. Chem Lett. 2015;44:10–6. 10.1246/cl.140915.Search in Google Scholar

[10] Saveant J-M. Molecular electrochemistry: recent trends and upcoming challenges. ChemElectroChem. 2016;3:1967–77. 10.1002/celc.201600430.Search in Google Scholar

[11] Yan M, Kawamata Y, Baran PS. Synthetic organic electrochemical methods since 2000: on the verge of a renaissance. Chem Rev. 2017;117:13230–319. 10.1021/acs.chemrev.7b00397.Search in Google Scholar PubMed PubMed Central

[12] Yan M, Kawamata Y, Baran PS. Synthetic organic electrochemistry: calling all engineers. Angew Chem Int Ed. 2017;56:4149–55. 10.1002/anie.201707584.Search in Google Scholar PubMed PubMed Central

[13] Wiebe A, Gieshoff T, Möhle S, Rodrigo E, Zirbes M, Waldvogel SR. Electrifying organic synthesis. Angew Chem Int Ed. 2018;57:5594–619. 10.1002/anie.201711060.Search in Google Scholar PubMed PubMed Central

[14] Möhle S, Zirbes M, Rodrigo E, Gieshoff T, Wiebe A, Waldvogel SR. Modern electrochemical aspects for the synthesis of value-added organic products. Angew Chem Int Ed. 2018;57:6018–41. 10.1002/anie.201712732.Search in Google Scholar PubMed PubMed Central

[15] Chiarotto I, Mattiello M, Feroci M. The electrogenerated cyanomethyl anion: an old base still smart. Acc Chem Res. 2019;52:3297–308. 10.1021/acs.accounts.9b00465.Search in Google Scholar PubMed

[16] Ghosh M, Shinde VS, Rueping M. A review of asymmetric synthetic organic electrochemistry and electrocatalysis: concepts, applications, recent developments and future directions. Beil J Org Chem. 2019;15:2710–46. 10.3762/bjoc.15.264.Search in Google Scholar PubMed PubMed Central

[17] Ochai M, Aki O, Morimoti A, Okada T, Shinozaki K, Asahi Y. Electrochemical reduction of cephalosporanic acids. J Chem Soc Perkin Trans I. 1974;258–62. 10.1039/p19740000258.Search in Google Scholar PubMed

[18] Wasserscheidt P, Welton T. Ionic liquids in synthesis. Weinheim: Wiley-VCH Verlags; 2008.10.1002/9783527621194Search in Google Scholar

[19] Mohammad A. Inamuddin, green solvents. Dordrecht: Springer; 2012.10.1007/978-94-007-1712-1Search in Google Scholar

[20] Feroci M, Chiarotto I, Inesi A. Electrolysis of ionic liquids. A possible keystone for the achievement of green solvent-catalyst systems. Curr Org Chem. 2013;17:204–19. 10.2174/1385272811317030003.Search in Google Scholar

[21] Atobe M. Organic electrosynthesis in flow microreactor. Curr Opin Electrochem. 2017;2:1–6. 10.1016/j.coelec.2016.12.002.Search in Google Scholar

[22] Noël T, Cao Y, Laudadio G. The fundamentals behind the use of flow reactors in electrochemistry. Acc Chem Res. 2019;52:2858–69. 10.1021/acs.accounts.9b00412.Search in Google Scholar PubMed PubMed Central

[23] Maljuric S, Jud W, Kappe CO, Cantillo D. Translating batch electrochemistry to single-pass continuous flow conditions: an organic chemist’s guide. J Flow Chem. 2020;10:181–90. 10.1007/s41981-019-00050-z.Search in Google Scholar

[24] Moro G, Bottari F, Sleegers N, Florea A, Cowen T, Moretto LM, et al. Conductive imprinted polymers for the direct electrochemical detection of β-lactam antibiotics: the case of cefquinome. Sens Actuators B Chem. 2019;297:126786. 10.1016/j.snb.2019.126786 and references therein.Search in Google Scholar

[25] Joshi A, Kim K-H. Recent advances in nanomaterial-based electrochemical detection of antibiotics: challenges and future perspectives. Biosens Bioelectron. 2020;153:112046. 10.1016/j.bios.2020.112046 and references therein.Search in Google Scholar PubMed

[26] Dunach E. Electrochemistry of lactams. In: Sainsbury M, editor. Rodd’s chemistry of crcon compounds, Vol. V, organic electrochemistry. Amsterdam: Elsevier Science; 2002. p. 372–400.Search in Google Scholar

[27] Pandolfi F, Chiarotto I, Mattiello L, Petrucci R, Feroci M. Two different selective ways in the deprotonation of β-bromopropioanilides: β-lactams or acrylanilides formation. ChemistrySelect. 2019;4:12871–4. 10.1002/slct.201902841.Search in Google Scholar

[28] Feroci M, Orsini M, Palombi L, Rossi L, Inesi A. An electrochemical alternative strategy to the synthesis of β-lactams via N–C4 bond formation. Electrochim Acta. 2005;50:2029–36. 10.1016/j.electacta.2004.09.011.Search in Google Scholar

[29] Utley JHP. Electrogenerated bases. In: Steckhan E, editors. Electrochemistry I. Topics in current chemistry. vol 142, Berlin, Heidelberg: Springer; 1987. 10.1007/3-540-17871-6_14.Search in Google Scholar

[30] Feroci M, Lessard J, Orsini M, Inesi A. Electrogenerated cyanomethyl anion in organic synthesis: a simple diastereoselective synthesis of cis-3-alkyl-1-benzyl-4-ethoxycarbonyl-β-lactams. Tetrahedron Lett. 2005;46:8517–9. 10.1016/j.tetlet.2005.10.008.Search in Google Scholar

[31] Feroci M, Orsini M, Rossi L, Sotgiu G, Inesi A. An electrochemical alternative strategy to the synthesis of β-lactams. Part 2. C3–C4 bond formation. Electrochim Acta. 2006;51:5540–7. 10.1016/j.electacta.2006.02.026.Search in Google Scholar

[32] Feroci M. Synthesis of β-lactams by 4-exo-tet cyclization process induced by electrogenerated cyanomethyl anion, Part 2: stereochemical implications. Adv Synth Catal. 2007;349:2177–81. 10.1002/adsc.200700156.Search in Google Scholar

[33] Sotgiu G, Chiarotto I, Feroci M, Orsini M, Rossi L, Inesi A. An electrochemical alternative strategy to the synthesis of β-lactams Part 3. Room-temperature ionic liquids vs. molecular organic solvents. Electrochim Acta. 2008;53:7852–8. 10.1016/j.electacta.2008.05.054.Search in Google Scholar

[34] Feroci M, Chiarotto I, Orsini M, Sotgiu G, Inesi A. Reactivity of electrogenerated N-heterocyclic carbenes in room-temperature ionic liquids. Cyclization to 2-azetidinone ring via C-3/C-4 bond formation. Adv Synth Catal. 2008;350:1355–9. 10.1002/adsc.200800049.Search in Google Scholar

[35] Liu Q, Chen X-Y, Li S, Vetica F, Raabe G, Enders D. Two-step synthesis of α,β-unsaturated γ-amino acid esters via N-heterocyclic carbene catalyzed [4 + 2] cycloaddition of enals and nitroso compounds. Synthesis. 2018;50:127–33. 10.1055/s-0036-1590901.Search in Google Scholar

[36] Gasperi T, Orsini M, Vetica F, de Figueiredo RM. Organocatalytic asymmetric multicomponent reactions. Multicomponent Reactions. Hoboken, New Jersey: John Wiley & Sons, Inc.; 2015. p. 16–71. 10.1002/9781118863992.ch2.Search in Google Scholar

[37] Vetica F, de Figueiredo RM, Cupioli E, Gambacorta A, Loreto MA, Miceli M, et al. First asymmetric organocatalyzed domino Friedel–Crafts/lactonization reaction in the enantioselective synthesis of the GABAB receptor modulator (S)-BHFF. Tetrahedron Lett. 2016;57:750–3. 10.1016/j.tetlet.2016.01.015.Search in Google Scholar

[38] Vetica F, Fronert J, Puttreddy R, Rissanen K, Enders D. Asymmetric organocatalytic synthesis of 4-amino-isochromanones via a direct one-pot intramolecular Mannich reaction. Synthesis. 2016;48:4451–8. 10.1055/s-0035-1562522.Search in Google Scholar

[39] Staudinger H. Zur Kenntniss der Ketene. Diphenylketen. Justus Liebigs Ann Chem. 1907;356:51–123. 10.1002/jlac.19073560106.Search in Google Scholar

[40] Singh GS, Sudheesh S. Advances in synthesis of monocyclic β-lactams. Tetrahedron Lett. 2014;i:337–85. 10.3998/ark.5550190.p008.524.Search in Google Scholar

[41] Feroci M, Chiarotto I, Orsini O, Inesi A. Electrogenerated NHC as an organocatalyst in the Staudinger reaction. Chem Commun. 2010;46:4121–3. 10.1039/c002325f.Search in Google Scholar PubMed

[42] Feroci M. Investigation of the role of electrogenerated N-heterocyclic carbene in the Staudinger synthesis in ionic liquid. Int J Org Chem. 2011;1:191–201. 10.4236/ijoc.2011.14028.Search in Google Scholar

[43] Minato D, Mizuta S, Kuriyama M, YMatsumura Y, Onomura O. Diastereoselective construction of azetidin-2-ones by electrochemical intramolecular C–C bond forming reaction. Tetrahedron. 2009;65:9742–8. 10.1016/j.tet.2009.09.087.Search in Google Scholar

[44] Fuchigami T, Tetsu M, Tajima T, Ishii H. Indirect anodic monofluorodesulfurization of β-phenylsulfenyl β-lactams using a triarylamine mediator. Synlett. 2001;2001(8):1269–71. 10.1055/s-2001-16063.Search in Google Scholar

[45] Fuchigami T, Inagi S. Selective electrochemical fluorination of organic molecules and macromolecules in ionic liquids. Chem Commun. 2011;47:10211–23. 10.1039/c1cc12414e.Search in Google Scholar PubMed

[46] Fuchigami T. Unique solvent effects on selective electrochemical fluorination of organic compounds. J Fluor Chem. 2007;128:311–6. 10.1016/j.jfluchem.2006.11.015.Search in Google Scholar

[47] Tanaka H, Arai SY, Ishitobi Y, Kuroboshi M, Torii S. Electrooxidative N-halogenation of 2-azetidinone derivatives. Electrochemistry. 2006;74:656–8. 10.5796/electrochemistry.74.656.Search in Google Scholar

[48] Anbu Kulandainathan M, Kulangiappar K, Raju T, Muthukumaran A. Cyclic voltammetry and RRDE studies on the electrochemical behavior of azetidinone ester. Port Electrochim Acta. 2005;23:355–65.10.4152/pea.200503355Search in Google Scholar

[49] Chai D, Genders D, Weinberg N, Zappi G, Bernasconi E, Lee J, et al. Ceftibuten: development of a commercial process based on cephalosporin C. Part IV. Pilot-plant scale electrochemical reduction of 3-acetoxymethyl-7(R)-glutaroylaminoceph-3-em-4-carboxylic acid 1(S)-oxide. Org Proc Res Dev. 2002;6:178–83. 10.1021/op010072q.Search in Google Scholar

Received: 2020-12-01
Revised: 2021-02-11
Accepted: 2021-03-03
Published Online: 2021-04-12

© 2021 Martina Bortolami et al., published by De Gruyter

This work is licensed under the Creative Commons Attribution 4.0 International License.

Articles in the same Issue

  1. Research Articles
  2. Molecular, Electronic, Nonlinear Optical and Spectroscopic Analysis of Heterocyclic 3-Substituted-4-(3-methyl-2-thienylmethyleneamino)-4,5-dihydro-1H-1,2,4-triazol-5-ones: Experiment and DFT Calculations
  3. Lewis acid / Base-free Strategy for the Synthesis of 2-Arylthio and Selenyl Benzothiazole / Thiazole and Imidazole
  4. Synergistic promoting effect of ball milling and Fe(ii) catalysis for cross-dehydrogenative-coupling of 1,4-benzoxazinones with indoles
  5. Magnetic nanoparticle-supported sulfonic acid as a green catalyst for the one-pot synthesis of 2,4,5-trisubstituted imidazoles and 1,2,4,5-tetrasubstituted imidazoles under solvent-free conditions
  6. Synthesis, characteristic fragmentation patterns, and antibacterial activity of new azo compounds from the coupling reaction of diazobenzothiazole ions and acetaminophen
  7. Para toluenesulfonic acid-catalyzed one-pot, three-component synthesis of benzo[5,6]chromeno[3,2-c]quinoline compounds in aqueous medium
  8. Design and microwave-assisted synthesis of a novel Mannich base and conazole derivatives and their biological assessment
  9. Quantum chemical studies on structural, spectroscopic, nonlinear optical, and thermodynamic properties of the 1,2,4-triazole compound
  10. Design, synthesis, and biological evaluation of phenyl-isoxazole-carboxamide derivatives as anticancer agents
  11. Quantum chemistry study on the promoted reactivity of substituted cyclooctynes in bioorthogonal cycloaddition reactions
  12. Quantum chemical calculations of phenazine-based organic dyes in dye-sensitized solar cells
  13. Rapid Communications
  14. One-pot synthesis of benzofurans via heteroannulation of benzoquinones
  15. Design and development of novel thiazole-sulfonamide derivatives as a protective agent against diabetic cataract in Wistar rats via inhibition of aldose reductase
  16. Review Articles
  17. Organic electrochemistry: Synthesis and functionalization of β-lactams in the twenty-first century
  18. Some applications of deep eutectic solvents in alkylation of heterocyclic compounds: A review of the past 10 years
Downloaded on 21.11.2025 from https://www.degruyterbrill.com/document/doi/10.1515/hc-2020-0121/html?srsltid=AfmBOoryBpG8d0OSJ9w5oKvIaBZbIrLZ0yOwSoy61eL1yWiHtaBhsrTq
Scroll to top button