Abstract
New pyrazolothienopyrimidines were synthesized. The key intermediate 4-aminothieno[2,3-c]pyrazole-5-carbonitrile 1 was converted to the chloroacetyl amino derivative 2 followed by nucleophilic substitution and Dimorth rearrangement upon treatment with nitrogen nucleophiles to give the pyrimidinones 3a-c. Treatment of 3a with formaldehyde and with triethyl orthoformate afforded the respective tetracyclic derivatives 4 and 5. Condensation of the amino group in the o-aminocarbonitrile 1 with triethyl orthoformate followed by cycloaddition reaction with hydrazine led to the formation of pyrazolothienopyrimidine 8. Compound 8 was used as a synthetic precursor to heterocyclic compounds comprised of pyrazole, triazole, triazine, and triazepine derivatives.
Introduction
Pyrazoles and their derivatives are an important class of heterocyclic compounds that exhibit a broad spectrum of biological activities [1, 2, 3, 4, 5, 6, 7, 8, 9, 10, 11, 12, 13, 14, 15, 16, 17, 18, 19, 20, 21, 22]. Many thienopyrazoles [23, 24, 25, 26, 27] and thienopyrimidines [38, 39] also exhibit exceptional bioactivity [23, 24, 25, 26, 27]. In continuation of our work on synthesis of new bioactive compounds containing thienopyrazole moiety [40, 41, 42, 43, 44], several thienopyrazolopyrimidine derivatives not known previously were synthesized.
Results and Discussion
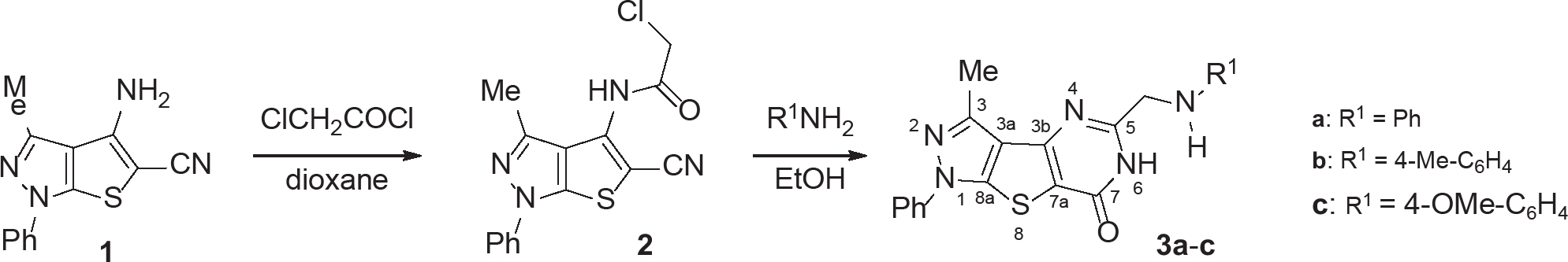
The synthetic work was initiated by chloroacetylation reaction of 4-amino-3-methyl-1-phenyl-1H-thieno[2,3-c] pyrazole-5-carbonitrile (1), which afforded the chloroacetamido derivative 2 (Scheme 1). Reaction of 2 with various primary aromatic amines furnished the unexpected pyrimidinones 3a-c in good yields. This reaction apparently proceeds by nucleophilic substitution of the chloride ion with the primary amino group followed by Dimorth rearrangement in the presence of excess of the amine [45]. IR spectrum of 3a reveals disappearance of absorption band for the CN group present in compound 2 and appearance of absorption bands at 3440 and 3188 cm-1 that are characteristic for NH groups and absorption band at 1660 cm-1 for the amidic CONH group of pyrimidine. 1H NMR spectrum shows singlets at δ 6.10 and 12.68 attributed to exchangeable NHPh and NH pyrimidine groups.

Scheme 1
Treatment of the 5-(phenylaminomethyl)pyrimidinone 3a with formaldehyde in dioxane (Scheme 2) and the reaction with triethyl orthoformate afforded the respective tetracyclic pyrimidinones 4 and 5. Moreover, chlorination of the pyrimidinone 3a with phosphorus oxychloride furnished the chloropyrimidine 6. Both elemental and spectral analyses of compound 4- 6 fully support the assigned structures.

Scheme 2
Condensation of o-aminocarbonitrile 1 with triethyl orthoformate in the presence of a catalytic amount of acetic anhydride produced compound 7 (Scheme 3). Stirring of 7 with an equivalent amount of hydrazine hydrate yielded iminopyrimidine derivative 8. This transformation is characterized by disappearance of absorption band at 2199 cm-1 for CN group in compound 7 and appearance of absorption bands at 3439, 3286 and 3131 cm-1 due to NH and NH2 groups in product 8. 1H NMR spectra show disappearance of triplet and quartet signals for the ethyl group in compound 7 and appearance of singlet signals at δ 5.80 and 8.19 characteristic of NH2 and NH groups, respectively. Condensation of the amino-imino compound 8 with triethyl orthoformate produced the corresponding triazolopyrimidine 9 in an excellent yield, and dihydropyrazolopyrimidine 10 was obtained in low yield upon treatment of 8 with benzaldehyde.

Scheme 3
An additional series of novel tetracyclic pyrimidines 11-14 were synthesized by condensation of the aminoimino derivative 8 with different 1,3-dicarbonyl compounds (Scheme 3 and 4). Thus, condensation of compound 8 with diethyl malonate afforded the ethyl triazolopyrimidinyl acetate 11, while condensation with acetyl acetone produced triazolopyrimidine 12 instead of the expected diazepine product. Assignments of compounds 9-12 were elucidated by analysis of TLC, FT-IR, 1H NMR and 13C NMR data. IR spectrum of 11 lacks absorption bands of NH2 and NH groups and shows a sharp absorption band at 1740 cm-1 due to the ester. 1H NMR spectrum exhibits triplet and quartet signals at δ 1.25 and 4.20 with a J value of 7 Hz attributed to the ethyl ester group. 13C NMR shows signals at δ 14.5 and 61.4 for the ethyl group, in addition to the signal at 168.9 ppm for the ester carbonyl carbon as shown in Scheme 3.
Apparently, the mechanism of condensation of compound 8 with acetylacetone proceeds via cyclization of the imine with a retro-aldol type elimination of acetone. In a similar manner, condensation of 8 with ethyl acetoacetate and ethyl benzoylacetate afforded the corresponding triazepinones 13 and 14 (Scheme 4). Surprisingly, the treatment of 8 with phenacyl bromide in refluxing ethanol in the presence of triethylamine yielded the 3,8-diphenyltriazine 15 rather than its 2,8-diphenyl isomer. Formation of 15 can be explained by condensation between NH2 of the amino-imino 8 and carbonyl group of phenacyl bromide. The structure of compound 15 was confirmed on the basis of IR and 1H NMR spectra.

Scheme 4
Fusion of compound 8 with diethyl oxalate in the presence of acetic acid produced the corresponding triazinedione 17 in good yield. Triazolethione 18 was obtained upon heating of 8 with carbon disulfide in pyridine at 100oC. Both elemental and spectral analyses of the newly synthesized compounds 13-18 are in a full agreement with the postulated structures (Scheme 4).
Conclusions
Convenient and efficient methods for synthesis of novel pyrazolothienopyrimidines 3, 6 and 8 were described. These products were used as versatile starting materials for synthesis of new heterocyclic ring systems with imidazole, triazole, triazine and triazepine rings fused to a pyrazolothienopyrimidine moiety.
Experimental
All melting points are uncorrected. Elemental analyses were carried out at the Micro Analytical Center of Chemistry Department, Assiut University. The analysis for chlorine in compounds 2 and 6 was carried out by titration of chloride ion with mercuric nitrate solutions using a diphenylcarbazide indicator as reported [46, 47]. The FT-IR spectra were recorded using potassium bromide disks on a FT-IR 8201 PC Shimadzu instrument. 1H NMR (300 MHz) and 13C NMR (75MHz) spectra were obtained on a Bruker spectrometer in CDCl3 and DMSO-d6 using Me4Si as internal standard. All reactions were monitored by thin layer chromatography (TLC) on silica gel coated aluminum sheets. Compound 1 was synthesized according to the literature procedure [40, 41], mp 198-200oC.
2-Chloro-N-(5-cyano-3-methyl-1-phenyl-1H-thieno[2,3-c] pyrazol-4-yl)acetamide (2)
To a solution of o-amino-carbonitrile 1 (1.60 g, 6.29 mmol) in dioxane (25 mL), chloroacetyl chloride (0.80 mL, 10.0 mmol) was added, and the mixture was heated at 60-70oC for 2 h. After cooling and addition of diluted sodium carbonate solution, the resultant precipitate was filtered, dried and crystallized from ethanol: pale yellow crystals; yield 1.50 g (72%); mp > 360 oC; IR: ν 3360, 2185, 1655 cm-1; 1H NMR (DMSO-d6): δ 2.61 (s, 3H, CH3), 4.64 (s, 2H), 7.58-7.76 (m, 5H) and 8.96 (s, 1H). Anal. Calcd for C15H11ClN4OS (330.79): C, 54.46; H, 3.35; Cl, 10.72; N, 16.94; S, 9.69. Found: C, 54.56; H, 3.41; Cl, 10.77; N, 16.86; S, 9.63.
3-Methyl-1-phenyl-5((alkylarylamino)methyl)-1H-pyrazolo[4’,3’:4,5]thieno[3,2-d] pyrimidin-7(6H)-ones 3a-c
A mixture of chloroacetamide 2 (0.50 g, 1.5 mmol) and the corresponding amine (2 mmol) was gently heated without solvent for 10 min and then treated with ethanol (10 mL). The mixture was heated under reflux for 3 h. The resultant precipitate was filtered off, dried and crystallized from the proper solvent.
4.2.1. 3-Methyl-1-phenyl-5((phenylamino)methyl)-1H-pyrazolo[4’,3’:4,5]thieno[3,2-d]pyrimidin-7(6H)-one (3a)
Obtained by the reaction with aniline; crystallized from dioxane as yellow needles; yield 0.47 g (80%); mp 250-252oC; IR: ν 3440, 3188 (NH), 1660 (CO) cm-1; 1H NMR (DMSO-d6): δ 2.60 (s, 3H), 4.34 (s, 2H), 6.10 (s, 1H), 6.58-7.77 (m, 10H) and 12.68 (s, 1H); 13C NMR (DMSO-d6): δ 13.2, 53.5, 107.3, 113.2, 117.3, 117.6, 118.0, 125.6, 126.7, 129.4, 130.5, 138.9, 143.0, 144.8, 148.3, 158.6, 160.0. Anal. Calcd for C21H17N5OS (387.46): C, 65.10; H, 4.42; N, 18.08; S, 8.27. Found: C, 65.22; H, 4.53; N, 17.96; S, 8.42.
3-Methyl-1-phenyl-5-[(p-tolylamino)methyl]-1H-pyrazolo[4’,3’:4,5]thieno[3,2-d] pyrimidin-7(6H)-one (3b)
Obtained by the reaction with p-toluidine; crystallized from dioxane as brown crystals; yield 0.30 g (50%); mp 220-222oC; IR: ν 3423, 3370, 1664 cm-1; 1H NMR (DMSO-d6): δ 2.18 (s, 3H), 2.22 (s, 3H), 3.50 (s, 2H), 6.32 (s, 1H), 6.58-7.72 (m, 9H), 12.74 (s, 1H). Anal. Calcd for C22H19N5OS (401.13): C, 65.82; H, 4.77; N, 17.44; S, 7.99. Found: C, 65.73; H, 4.83; N, 17.43; S, 7.88.
5-{[(4-Methoxyphenyl)amino]methyl}-3-methyl-1-phenyl-1H-pyrazolo[4’,3’:4,5] thieno[3,2-d]pyrimidin-7(6H)-one (3c)
Obtained by the reaction with p- anisidine; crystallized from ethanol as brown crystals; yield 0.40 g (64%); mp 230-232oC; IR: ν 3425, 3210, 1676 cm-1; 1H NMR (DMSO-d6): δ 2.60 (s, 3H), 3.61 (s, 3H, CH3), 4.27 (s, 2H), 5.70 (s, 1H), 6.63-7.75 (m, 9H) and 12.69 (s, 1H). Anal. Calcd for C22H19N5O2S (417.49): C, 63.29; H, 4.59; N, 16.78; S, 7.68. Found: C, 63.33; H, 4.43; N, 16.73; S, 7.58.
3-Methyl-1,6-diphenyl-6,7-dihydro-1H-imidazo[1,5-a] pyrazolo[4’,3’;4,5]thieno[3,2-d]pyrimidin-9(5H)-one (4)
Formaldehyde was added to a stirred solution of pyrimidinone 3a (3.00 g, 7.74 mmol) in dioxane (30 mL). Stirring of the mixture was continued for 2 h. The resultant solid product was filtered off, dried and crystallized from dioxane to afford white crystals; yield 2.23 g, (72%); mp >300oC; IR: ν 1675 cm-1; 1H NMR: (CDCl3): δ 2.54 (s, 3H), 5.35 (s, 2H), 7.00 (s, 2H) and 7.33-7.70 (m, 10H); 13C NMR (CDCl3): δ 13.6, 66.5, 78.1, 105.3, 111.4, 117.2, 121.1, 124.6, 126.1, 128.4, 129.6, 135.3, 141.4, 145.5, 148.3, 152.6, 158.7, 168.5. Anal. Calcd for C22H17N5OS (399.47): C, 66.15; H, 4.29; N, 17.53; S, 8.03. Found: C, 66.18; H, 4.24; N, 17.42; S, 8.13.
7-Ethoxy-3-methyl-1,6-diphenyl-6,7-dihydro-1H-imidazo[1,5-a]pyrazolo[4’,3’;4,5] thieno[3,2-d]pyrimidine-9(5H)-one (5)
A mixture of pyrimidinone 3a (3.00 g, 7.74 mmol), triethyl orthoformate (1.30 mL, 7.82 mmol) and a catalytic amount of acetic acid (0.25 mL) was heated under reflux for 1 h. The resultant solid product was filtered off, dried and crystallized from ethanol as brown crystals; yield 2.23 g (65%); mp 298-300oC; IR: ν 1670 cm-1; 1H NMR (CDCl3): δ 1.48 (t, J = 7 Hz, 3H), 2.54 (s, 3H), 4.50 (q, J = 7 Hz, 2H), 5.00 (s, 2H), 6.71 (s, 1H), 7.33-8.10 (m, 10H); 13C NMR (CDCl3): δ 13.0, 57.4, 60.6, 109.5, 109.7, 113.6, 117.4, 118.0, 123.9, 126.7, 129.7, 130.4, 141.8, 157.4, 158.1, 158.6, 159.1, 159.6, 169.5. Anal. Calcd for C24H21N5O2S (443.53): C, 64.99; H, 4.77; N, 15.79; S, 7.23. Found: C, 64.88; H, 4.74; N, 15.72; S, 7.13.
N-[(7-Chloro-3-methyl-1-phenyl-1H-pyrazolo[4’,3’;4,5] thieno[3,2-d]pyrimidine-5-yl) methyl]aniline (6)
A solution of pyrimidinone 3a (3.00 g, 7.74 mmol) in phosphorus oxychloride (30 mL) was heated under reflux for 2 h, then cooled and poured into an ice-water. The precipitate was filtered off, dried and crystallized from ethanol to give pale yellow crystals; yield 2.20 g (70%); mp 288-290oC; IR: ν 3380 (NH) cm-1; 1H NMR (CDCl3): δ 2.81 (s, 3H), 4.73 (s, 2H), 6.90-7.80 (m, 10H) and 8.58 (s, 1H). Anal. Calcd for C21H16ClN5S (405.90): C, 62.14; H, 3.97; Cl, 8.73; N, 17.25; S, 7.90. Found: C, 62.18; H, 3.84; Cl, 8.70; N, 17.32; S, 7.83.
Ethyl N-(5-cyano-3-methyl-1-phenyl-1H-thieno[2,3-c] pyrazol-4-yl)formimidate (7)
A mixture of o-amino-carbonitrile 1 (3.00 g, 11.8 mmol), and triethyl orthoformate (6.00 mL, 36.1 mmol) in acetic acid (30 mL) was heated under reflux for 2 h. The resultant solid product was collected, dried and crystallized from ethanol as brown crystals; yield 2.89 g (79%); mp 80-82oC; IR: ν 2199 (CN) cm-1; 1H NMR (CDCl3): δ 1.50 (t, J = 7 Hz, 3H), 2.54 (s, 3H), 4.46 (q, J = 7 Hz, 2H), 7.33-7.70 (m, 5H) and 8.10 (s, 1H). Anal. Calcd for C16H14N4OS (310.38): C, 61.92; H, 4.55; N, 18.05; S, 10.33. Found: C, 61.88; H, 4.64; N, 18.12; S, 10.28.
6-Amino-7-imino-3-methyl-1-phenyl-1,7-dihydro-6H-pyrazolo[4’,3’:4,5]thieno[3,2-d] pyrimidine (8)
To a stirred solution of the formimidate 7 (2.96 g, 9.54 mmol) in warm dioxane (30 mL), hydrazine hydrate (0.80 mL, 16 mmol) was added dropwise during 5 min. Stirring of the mixture was continued for an additional 1h. The solid precipitate was filtered off, dried and crystallized from ethanol as white crystals; yield 2.40 g (85%); mp 220-222oC; IR: ν 3439, 3286, 3131 cm-1; 1H NMR (DMSO-d6): δ 2.57 (s, 3H), 5.80 (s, 2H), 7.00 (s, 1H), 7.33-7.76 (m, 5H) and 8.19 (s, 1H). Anal. Calcd for C14H12N6S (296.35): C, 56.74; H, 4.08; N, 28.36; S, 10.82. Found: C, 56.70; H, 4.22; N, 28.42; S, 10.76.
7-Methyl-9-phenyl-9H-pyrazolo[4’,3’:4,5]thieno[2,3-e] [1,2,4]triazolo[1,5-c]pyrimidine (9)
A mixture of the aminoiminopyrimidine 8 (0.70 g, 2.4 mmol) and triethyl orthoformate (5.00 mL, 30.1 mmol) and a catalytic amount of acetic acid (0.30 mL) was heated under reflux for 3 h at 120oC. The separated solid product was filtered off, dried and crystallized from dioxane as white crystals; yield 0.67 g (92%); mp 266-268oC; IR: ν 1595 cm-1; 1H NMR (DMSO-d6): δ 2.74 (s, 3H), 7.40-7.85 (m, 5H), 8.75 (s, 1H) and 9.91 (s, 1H). Anal. Calcd for C15H10N6S (306.35): C, 58.81; H, 3.29; N, 27.43; S, 10.47. Found: C, 58.70; H, 3.32; N, 27.52; S, 10.55.
7-Methyl-2,9-diphenyl-2,9-dihydro-9H-pyrazolo[4’,3’:4,5] thieno[2,3-e][1,2,4]triazolo [1,5-c]pyrimidine (10)
A solution of pyrimidine 8 (0.70 g, 2.4 mmol), benzaldehyde (2.10 mL, 20.6 mmol) and a catalytic amount of piperidine (0.25 mL) was heated at 180oC for 10 min, then cooled, treated with absolute ethanol (20 mL) and heated under reflux for an additional 2h. The solid precipitate was filtered off and crystallized from acetic acid as white crystals; yield 0.29 g (38%); mp 300-302oC; IR: ν 3302 cm-1; 1H NMR (DMSO-d6): δ 2.67 (s, 3H), 4.13 (s, 1H), 5.24 (s, 1H), 7.38-7.86 (m, 10H) and 8.63 (s, 1H); 13C NMR (DMSO-d6): δ 13.3, 85.9, 108.8, 119.7, 124.1, 125.7, 127.1, 128.9, 130.7, 131.4, 134.2, 138.1, 140.3, 141.3, 143.4, 146.9, 160.3. Anal. Calcd for C21H16N6S (384.12): C, 65.61; H, 4.19; N, 21.86; S, 8.34. Found: C, 65.76; H, 4.25; N, 21.92; S, 8.33.
Ethyl (7-methyl-9-phenyl-9H-pyrazolo[4’,3’:4,5] thieno[2,3-e] [1,2,4]triazolo[1,5-c] pyrimidine)-2-ylacetate (11)
A mixture of pyrimidine 8 (0.70 g, 2.4 mmol) and diethyl malonate (5.00 mL, 32.8 mmol) was heated for 10 min, then treated with ethanol (20 mL) and heated under reflux for an additional 2h. The solid product that formed on cooling was collected, dried and crystallized from ethanol as pale brown crystals; yield 0.45 g (49%); mp 100-102oC; IR: ν 1740 cm-1; 1H NMR (DMSO-d6): δ 1.25 (t, J = 7 Hz, 3H), 2.69 (s, 3H), 4.10 (s, 2H), 4.20 (q, J = 7 Hz, 2H), 7.40-7.78 (m, 5H) and 9.80 (s, 1H); 13C NMR (DMSO-d6): δ 13.2, 14.5, 35.1, 61.4, 116.8, 117.0, 124.9, 126.7, 130.4, 138.5, 140.9, 141.5, 144.0, 148.7, 165.8, 168.9; Anal. Calcd for C19H16N6O2S (392.44): C, 58.15; H, 4.11; N, 21.42; S, 8.17. Found: C, 58.20; H, 4.07; N, 21.36; S, 8.27.
2,7-Dimethyl-9-phenyl-9H-pyrazolo[4’,3’:4,5]thieno[2,3-e][1,2,4]triazolo[1,5-c] pyrimidine (12)
A mixture of pyrimidine 8 (0.70 g, 2.4 mmol) and acetylacetone (3.00 mL, 29.4 mmol) was gently heated for 15 min, then treated with ethanol (20 mL) and heated under reflux for an additional 3h. The solid product formed after cooling was filtered off and crystallized from dioxane as brown crystals; yield 0.38 g (50%); mp 180-182oC; IR: ν 1598 cm-1; 1H NMR (DMSO-d6): δ 2.57 (s, 3H), 2.99 (s, 3H), 7.40-7.85 (m, 5H) and 9.92 (s, 1H); MS (EI, 70 eV): m/z 320 (M+, 100%). Anal. Calcd for C16H12N6S (320.37): C, 59.98; H, 3.78; N, 26.23; S, 10.01. Found: C, 59.95; H, 3.74; N, 26.11; S, 10.11.
4,9-Dimethyl-11-phenyl-11H-pyrazolo[4’’,3’’;4’,5’] thieno [3’,2’;4,5]pyrimido[1,6-b] [1,2,4]triazepin-2(3H)-one (13)
A mixture of pyrimidine 8 (0.70 g, 2.4 mmol) and ethyl acetoacetate (2.00 mL, 15.7 mmol) was gently heated for 15 min, then treated with ethanol (20 mL) and heated under reflux for an additional 2h. The solid product which separated out during reflux was collected, dried and crystallized from ethanol as brown crystals; yield 0.63 g (86 %); mp 200-202oC; IR: ν 1715 cm-1; 1H NMR (DMSO-d6): δ 2.28 (s, 3H), 2.70 (s, 3H), 4.16 (s, 2H), 7.39-7.85 (m, 5H), 9.80 (s, 1H). Anal. Calcd for C18H14N6OS (362.41): C, 59.66; H, 3.89; N, 23.19; S, 8.85. Found: C, 59.55; H, 3.75; N, 23.22; S, 8.77.
9-Methyl-2,11-diphenyl-11H-pyrazolo[4”,3”;4’,5’]thieno [3’,2’;4,5]pyrimido[1,6-b][1,2,4]triazepin-4(5H)-one (14)
A solution of pyrimidine 8 (0.74 g, 2.5 mmol), ethyl benzoylacetate (2.00 mL, 11.5 mmol) and a catalytic amount of piperidine (0.25 mL) was gently heated for 15 min, then treated with ethanol (20 mL) and heated under reflux for an additional 2h. The solid product that formed during reflux was filtered off and crystallized from ethanol as brown crystals; yield 0.36 g (42%); mp 188-190oC; IR: ν 3462 (NH), 1685 cm-1; 1H NMR (DMSO-d6): δ 2.71 (s, 3H), 4.80 (s, 1H), 7.41 (s, 1H), 7.56-8.13 (m, 10H) and 9.82 (s, 1H); 13C NMR (DMSO-d6): δ 13.3, 98.3, 103.7, 110.2, 117.9, 126.8, 129.1, 129.3, 130.5, 134.1, 136.4, 137.2, 141.0, 145.0, 152.5, 160.1, 162.3, 167.5, 170.7; MS (EI, 70eV) m/z 424 (M+, 100%). Anal. Calcd for C23H16N6OS (424.48): C, 65.08; H, 3.80; N, 19.80; S, 7.55. Found: C, 65.20; H, 4.00; N, 19.62; S, 7.37.
8-Methyl-3,10-diphenyl-2,10-dihydropyrazolo[4’’,3’’:4’,5’] thieno[3’,2’:4,5]pyrimido [1,6-b][1,2,4] triazine (15)
A mixture of compound 8 (0.74 g, 2.5 mmol), phenacyl bromide (0.50 g, 2.5 mmol) and triethylamine (0.30 mL) in ethanol (20 mL) was heated under reflux for 3h. The solid product that formed on cooling was filtered off, dried and crystallized from ethanol as white crystals; yield 0.59 g (74 %); mp 280-282oC; IR: ν 1597 cm-1; 1H NMR (CDCl3): δ 2.60 (s, 2H), 2.79 (s, 3H), 7.53-8.21 (m, 10H) and 8.64 (s, 1H). Anal. Calcd for C22H16N6S (396.47): C, 66.65; H, 4.07; N, 21.20; S, 8.09. Found: C, 66.58; H, 4.17; N, 21.22; S, 8.18.
8-Methyl-10-phenylpyrazolo[4’’,3’’;4’,5’]thieno [3’,2’:4,5]pyrimido[1,6-b][1,2,4] triazine-2,3(4H,10H)-dione (17)
A mixture of compound 8 (0.74 g, 2.5 mmol) and diethyl oxalate (0.40 mL, 2.9 mmol) in acetic acid (20 mL) was heated under reflux for 6 h. The solid product that formed on cooling was filtered off, dried and crystallized from ethanol as pale yellow crystals; yield 0.68 g (73%); mp 175-177oC; IR: ν 3375 (NH), 1700, 1661 cm-1; 1H NMR (DMSO-d6): δ 2.61 (s, 3H), 7.35-7.76 (m, 5H), 8.31 (s, 1H) and 12.83 (s, 1H); 13C NMR (DMSO-d6): δ 13.3, 107.5, 117.9, 121.2, 125.6, 126.7, 130.5, 138.9, 142.8, 144.7, 148.7, 157.9, 160.1, 170.2. Anal. Calcd for C16H10N6O2S (350.36): C, 54.85; H, 2.88; N, 23.99; S, 9.15. Found: C, 54.98; H, 2.95; N, 24.20; S, 9.05.
7-Methyl-9-phenyl-9H-pyrazolo[4’,3’:4,5]thieno [2,3-e][1,2,4]triazolo[1,5-c] pyrimidine-2(3H)-thione (18)
A solution of compound 8 (0.74 g, 2.5 mmol) and carbon disulfide (2.00 mL, 33.1 mmol) in pyridine (10 mL) was heated under reflux for 8h. The solid product that separated out during reflux was filtered off, dried and crystallized from ethanol as yellow crystals; yield 0.28 g, (35%); mp 286-288oC; IR: ν 3447, 1239 cm-1; 1H NMR (DMSO-d6): δ 2.73 (s, 3H), 7.44-7.84 (m, 5H), 8.44 (s, 1H) and 9.88 (s, 1H). Anal. Calcd for C15H10N6S2 (338.41): C, 53.24; H, 2.98; N, 24.83; S, 18.95. Found: C, 53.27; H, 2.94; N, 24.75; S, 18.83.
Acknowledgements
The authors are grateful to Professor Kamal I. Aly, Chairman of Chemistry Department, for providing the chemistry facilities.
References
[1] Altintop, M. D.; Ozdemir, A.; Ilgin, S.; Atli, O. Synthesis and biological evaluation of new pyrazole-based thiazolyl hydrazone derivatives as potential anticancer agents. Lett. Drug Des. Discov. 2014, 11, 833-839.10.2174/1570180811666140226235350Search in Google Scholar
[2] Barnes, B. J.; Izydore, R. A.; Hall, I. H. Analysis of the in vitro inhibition of murine and human tumor cell growth by pyrazole derivatives and a substituted azabicyclo[3.1.0]hexane-2,4-dione. Anticancer Res. 2001, 21, 2313-2321.Search in Google Scholar
[3] Mercep, M.; Mesic, M.; Pesic, D. PCT Int. Appl. WO 03 99, 822. Chem. Abstr. 2004, 140, 16724j.Search in Google Scholar
[4] Smith, S. R.; Denhardt, G.; Terminelli, C. The anti-inflammatory activities of cannabinoid receptor ligands in mouse peritonitis models. Eur. J. Pharmacol. 2001, 432, 107-119.10.1016/S0014-2999(01)01477-7Search in Google Scholar
[5] Raffa, D.; Migliara, O.; Maggio, B.; Plescia, F.; Cascioferro, S.; Cusimano, M. G.; Tringale, G.; Cannizzaro, C.; Plescia, F. Pyrazolobenzotriazinone derivatives as COX inhibitors: Synthesis, biological activity, and molecularmodeling studies. Arch. Pharm. Chem. Life Sci. 2010, 10, 631-638.10.1002/ardp.200900317Search in Google Scholar
[6] Maggio, B.; Daidone, G.; Raffa, D.; Pelscia, S.; Manitone, L.; Cutuli, V. M. C.; Mangano, N. G.; Caruso, A. Synthesis and pharmacological study of ethyl 1-methyl-5-(substituted 3,4-dihydro-4-oxoquinazolin-3-yl)-1H-pyrazole-4-acetates. Eur. J. Med. Chem. 2001, 36, 737-742.10.1016/S0223-5234(01)01259-4Search in Google Scholar
[7] Cardia, M. C.; Corda, L.; Fadda, A. M.; Maccioni, A. M.; Maccioni, E.; Plumitallo, A. New cycloalkylpyrazoles as potential cyclooxygenase inhibitors. Farmaco 1998, 53, 698-708.10.1016/S0014-827X(98)00090-1Search in Google Scholar
[8] Mullican, M. D.; Wilson, M. W.; Conner, D. T.; Kostlan, C. R.; Schrier, D. J.; Dyer, R. D. Design of 5-(3,5-di-tert-butyl-4-hydroxyphenyl)-l,3,4-thiadiazoles, -1,3,4-oxadiazoles, and -1,2,4-triazoles as orally active, nonulcerogenic antiin-flammatory agents. J. Med. Chem 1993, 36, 1090-1099.10.1021/jm00060a017Search in Google Scholar PubMed
[9] Ochi, T.; Yamane-Sugiyama, A.; Ohkubo, Y.; Sakane, K.; Tanaka, H. The anti-inflammatory effect of FR 188582, A highly selective inhibitor of cyclooxygenase-2, with an ulcerogenic sparing effect in rats. Jpn. J. Pharmacol 2001, 85, 175-182.10.1254/jjp.85.175Search in Google Scholar PubMed
[10] Maekawa, T.; Hara, R.; Odaka, H.; Kimura, H.; Mizufune, H.; Fukatsu, K. Chem. Abstr 2004, 140, 16723h.Search in Google Scholar
[11] Qiao, J. X.; Pinto, D. J.; Orwat, M. J.; Han, W.; Friedrich, S. R. Chem. Abstr 2004, 140, 16722g.Search in Google Scholar
[12] Stevensons, T. M.; Lahm, G. P.; Pasteris, R. J. Chem. Abstr 2004, 140, 42172x.Search in Google Scholar
[13] Storer, R.; Ashton, C. J.; Baxter, A. D.; Hann, M. M.; Mar, C. L.; Mason; A. M. The synthesis and antiviral activity of 4-fluro-1-β-D-ribofuranosyl-1H-pyrazole-3-carboxamide. Nucleosides Nucleotides 1999, 18, 203-216.10.1080/15257779908043068Search in Google Scholar PubMed
[14] El-Sabbagh, O. I.; Baraka, M. M.; Ibrahim, S. M.; Pannecouque, P.; Andrei, G.; Snoeck, R.; Balzarini, J.; Rashad, A. A. Synthesis and antiviral activity of new pyrazole and thiazole derivatives. Eur. J. Med. Chem 1999, 44, 3746-3753.10.1016/j.ejmech.2009.03.038Search in Google Scholar PubMed
[15] Abdel-Aziz, M.; El-Din, A.; Abuo-Rahma, G.; Hassan, A. A. Synthesis of novel pyrazole derivatives and evaluation of their antidepressant and anticonvulsant activities. Eur. J. Med. Chem 2009, 44, 3480-3487.10.1016/j.ejmech.2009.01.032Search in Google Scholar PubMed
[16] Sridhar, R.; Perumal, P. T.; Etti, S.; Shanmugam, G.; Ponnuswamy, M. N.; Prabavathy, V. R.; Mathivanan, N. Design, synthesis and anti-microbial activity of 1H-pyrazole carboxylates. Bioorg. Med. Chem. Lett 2004, 4, 6035-6040.10.1016/j.bmcl.2004.09.066Search in Google Scholar
[17] Abdel-Gawad, S.; Abdel-Aziem, M. A.; Ghorab, M. M. Synthesis of some new biologicaliy active sulfur compounds containing pyrazolo[3,4-dpyrimidine moiety. Phosphorus Sulfur Silicon Relat. Elem. 2003, 178, 1795-1805.10.1080/10426500307825Search in Google Scholar
[18] Hamada, N. M. M.; Abdo, N. Y. M. Synthesis, characterization, antimicrobial screening and free-radical scavenging activity of some novel substituted pyrazoles. Molecules 2015, 20, 10468-10486.10.3390/molecules200610468Search in Google Scholar
[19] Hengyuan, Z.; Peiqing, Z.; Jie, L.; Yan, L.; Hequan, Y.; Jieyun, J.; Wencai, Y.; Xiaoming, W.; Jinyi, X. Synthesis, in vitro and in vivo antitumor activity of pyrazole- fused 23-hydroxybetulinic acid derivatives. Bioorg. Med. Chem. Lett 2015, 25, 728-732.10.1016/j.bmcl.2014.11.058Search in Google Scholar
[20] Shahid, K.; Shahzadi, S.; Ali, S.; Bhatti. M. H. Organotin(IV) complexes of 4-(2,5-dioxo-2,5-dihydro-1H-pyrrol-1-yl)benzoic Acid: synthesis, spectral characterization and biological applications. J. Iran. Chem. Soc. 2005, 2, 140-148.10.1007/BF03247205Search in Google Scholar
[21] Gokhan-Kelekci, N.; Yabanoglu, S.; Kupeli, E.; Salgin, U.; Ozgen, O.; Ucar, G.; Yesilada, E.; Kendi, E.; Yesilada, A.; Bilgin, A. A. A new therapeutic approach in Alzheimer disease: Some novel pyrazole derivatives as dual MAO-B inhibitors and anti-inflammatory analgesics. Bioorg. Med. Chem 2007, 15, 5775-5786.10.1016/j.bmc.2007.06.004Search in Google Scholar
[22] Ronghui, L.; George, C.; Yang, Y.; Peter, J. C.; Shengjian, L.; Yanhua, L.; Mary, A.; Fuentes –Pesquera, A. R.; Stuart, L. E.; Lee, M. G. Design, synthesis, and evaluation of 3,4-disubstituted pyrazole analogues as anti-tumor CDK inhibitors. Bioorg. Med. Chem. Lett 2007, 17, 4557-4561.10.1016/j.bmcl.2007.05.092Search in Google Scholar
[23] Baraldi, P. G.; El-Kashef, H. S.; Manfredini, S.; M. de las Infantas, J. P.; Romagnoli, R.; Spalluto, G. A Mild one-pot synthesis of thieno[3,4-cpyrazoles and their conversion into pyrazole analogs of o-quinodimethane. Synthesis 1998, 9, 1331-1334.10.1055/s-1998-6095Search in Google Scholar
[24] Menozzi, G.; Mosti, L.; Schenone, P.; Damico, M.; Filippelli, A.; Rossi, F. 4H-thieno[3,4-cpyrazole derivatives with anti-inflammatory, analgesic, antipyretic and platelet anti-aggregating activities. Farmaco 1992, 47, 1495-1511.Search in Google Scholar
[25] Matsuo, M.; Tsuji, K.; Konishi, N.; Nakamura, K. Eur. Pat. Appl. EP 1991, 418 845. Chem. Abstr 1991, 115, 71593.Search in Google Scholar
[26] Li, Z.; Francisco, G. D.; Hu, W.; Labthavikul, P.; Petersen, P. J.; Severin, A.; Singh, G.; Yang, Y.; Rasmussen, B. A.; Lin, Y.-I.; Skotnicki, J. S.; Mansour, T. S. 2-Phenyl-5,6- dihydro-2H-thieno[3,2-c]pyrazol-3-ol derivatives as new inhibitors of bacterial cell wall biosynthesis. Bioorg. Med. Chem. Lett. 2003, 13, 2591-2594.10.1016/S0960-894X(03)00471-2Search in Google Scholar
[27] Ong, H. H.; Yasenchak, C. M. Eur. Pat. Appl EP221 414. Chem. Abstr 1987, 107, 198.Search in Google Scholar
[28] Aly, H. M.; Saleh, N. M.; Elhady, H. A. Design and synthesis of some new thiophene, thienopyrimidine and thienothiadiazine derivatives of antipyrine as potential antimicrobial agents. Eur. J. Med. Chem 2011, 46, 4566-4572.10.1016/j.ejmech.2011.07.035Search in Google Scholar PubMed
[29] Deshmukh, M. B.; Salunkhe, S. M.; Patil, D. R.; Anbhule, P. V. A novel and efficient one step synthesis of 2-amino-5-cyano-6-hydroxy-4-aryl pyrimidines and their antibacterial activity. Eur. J. Med. Chem 2009, 44, 2651-2654.10.1016/j.ejmech.2008.10.018Search in Google Scholar PubMed
[30] Kethireddy, S.; Eppakayala, L.; Maringanti, T. C. Synthesis and antibacterial activity of novel 5,6,7,8-tetrahydroimidazo[1,2-apyrimidine-2-carbohydrazide derivatives. Chem. Cent. J. 2015, 9, 51-56.10.1186/s13065-015-0121-4Search in Google Scholar PubMed PubMed Central
[31] Atul, R. G.; Kiran, S. T.; Fazal, S.; Mukund, V. D.; Kumar, V. S. Efficient synthesis of antifungal pyrimidines via palladium catalyzed Suzuki/ Sonogashira cross-coupling reaction from Biginelli 3,4-dihydropyrimidin-2(1H-ones. Tetrahedron 2008, 64,10214-10223.10.1016/j.tet.2008.08.033Search in Google Scholar
[32] Bhalgat, C. M.; Ramesh, B. Synthesis and antifungal screening of novel pyrimidine-carbonitriles. Asian J. Res. Chem 2014, 7, 905-908.Search in Google Scholar
[33] Azas, N.; Rathelot, P.; Djekou, S.; Delmas, F.; Gellis, A.; Di-Giorgio, C.; Vanelle, P.; Timon-David, P. Antiparasitic activity of highly conjugated pyrimidine-2,4-dione derivatives. Il Farmaco 2003, 58, 1263-1270.10.1016/j.farmac.2003.07.009Search in Google Scholar PubMed
[34] Said, A. S.; Abd El-Galil, E. A.; Nermien, M. S.; Mohamed, M. Analgesic, anticonvulsant and anti-inflammatory activities of some synthesized benzodiazipine, triazolopyrimidine and bis-imide derivatives. Eur. J. Med. Chem 2009, 44, 4787-4792.10.1016/j.ejmech.2009.07.013Search in Google Scholar PubMed
[35] Adhikari, A.; Kalluraya, B.; Sujith, K. V.; Mahmood, G. R. Synthesis, characterization and biological evaluation of dihydropyrimidine derivatives. Saudi Pharm. J 2012, 20, 75-79.10.1016/j.jsps.2011.04.002Search in Google Scholar PubMed PubMed Central
[36] Al-Issa, S. A. Synthesis and anticancer activity of some fused pyrimidines and related heterocycles. Saudi Pharm. J 2013, 21, 305-316.10.1016/j.jsps.2012.09.002Search in Google Scholar PubMed PubMed Central
[37] Ghorab, M. M.; El-Gazzar, M. G.; Al said, M. S. Synthesis, characterization and anti-breast cancer activity of new 4-amino antipyrine-based heterocycles. Int. J. Mol. Sci 2014, 15, 7539-7553.10.3390/ijms15057539Search in Google Scholar PubMed PubMed Central
[38] Abu-Hashem, A. A.; Abu-Zied, M. K.; El-Shehry, F. M. Synthetic utility of bi-functional thiophene derivatives and antimicrobial evaluation of the newly synthesized agents. Monatsh. Chem 2011, 142, 539-545.10.1007/s00706-011-0456-zSearch in Google Scholar
[39] Youssef, M. M.; Amin, M. A. Microwave assisted synthesis of some new thiazolopyrimidine, thiazolodipyrimidine and thiazolopyrimidothiazolopyrimidine derivatives with potential antioxidant and antimicrobial activity. Molecules 2012, 17, 9652-9667.10.3390/molecules17089652Search in Google Scholar PubMed PubMed Central
[40] El Dean, A. M. K.; Zaki, R. M.; Abdulrazzaq, A. Y. A convenient synthesis and biological activity of novel thieno[2,3-cpyrazole compounds as antimicrobial and anti-inflammatory agents. Russ. J. Bioorg. Chem 2015, 41, 97-104.10.1134/S1068162015010057Search in Google Scholar
[41] Sayed, A. H.; Zaki, R. M.; El-Dean, A. M. K.; Abdulrazzaq, A. Y. The biological activity of new thieno[2,3-cpyrazole compounds as anti-oxidants against toxicity of 4-nonylphenol in Clarias gariepinus. Toxicol. Rep 2015, 2, 1445-1453.10.1016/j.toxrep.2015.10.008Search in Google Scholar PubMed PubMed Central
[42] Zaki, R. M.; El-Dean, A. M. K.; Abdulrazzaq, A. Y. A new and facile synthesis of novel pyrazolothienopyrimidines and imidazopyrazolothienopyrimidines. J. Chin. Chem. Soc. 2015, 62, 1121-1127.10.1002/jccs.201500292Search in Google Scholar
[43] El-Dean, A. M. K.; Zaki, R. M.; Radwan, S. M.; Saber, A. F. Synthesis, reactions and spectral characterization of novel thienopyrazole derivatives. Eur. Chem. Bull 2017, 6, 550-553.10.17628/ecb.2017.6.550-553Search in Google Scholar
[44] Zaki, R. M.; Kamal El-Dean, A. M.; Radwan, Sh. M.; Saber, A. F. A convenient synthesis, reactions and biological activity of some new 6H-pyrazolo[4’,3’: 4,5]thieno[3,2-d[1,2,3]triazine compounds as antibacterial, anti-fungal and anti-inflammatory agents. J. Braz. Chem. Soc. 2018, 29, 2482-2495.10.21577/0103-5053.20180127Search in Google Scholar
[45] Zaki, R. M.; El-Dean, A. M. K.; Radwan, Sh. M.; Abd ul-Malik, M. A. A facile synthesis, reactions, and spectral characterization of some novel thieno[3,2-epyrazolo [3,4-bpyrazine compounds. J. Chin. Chem. Soc. 2018, 65, 1407-1414.10.1002/jccs.201800050Search in Google Scholar
[46] Dubsky, J. V.; Trtilek, J. Mikromassanalyse unter benutzung von diphenyl carbazide und diphenyl carbazon als indicator (Merkurimetrie). Mikrochemie 1933, 12, 315-320.10.1007/BF02714695Search in Google Scholar
[47] Robets, I. Titration of chloride ion with mercuric nitrate solutions using diphenyl carbazide indicator. Ind. Eng. Chem., An. Ed. 1936, 8, 365-367.10.1021/ac50103a024Search in Google Scholar
© 2019 Remon M. Zaki et al., published by De Gruyter
This work is licensed under the Creative Commons Attribution 4.0 Public License.
Articles in the same Issue
- Research Article
- Magnesium porphyrazine with peripheral methyl (3,5-dibromophenylmethyl)amino groups – synthesis and optical properties
- Synthesis and fungicidal activity of novel imidazo[4, 5-b]pyridine derivatives
- Synthesis of indazolo[5,4-b][1,6]naphthyridine and indazolo[6,7-b][1,6]naphthyridine derivatives
- Zinc Chloride Catalyzed Amino Claisen Rearrangement of 1-N-Allylindolines: An Expedient Protocol for the Synthesis of Functionalized 7-Allylindolines
- Synthesis and Biological Evaluation of (E)-N’-Benzylidene-7-methyl-2-propyl-1H-benzo[d] imidazole-5-carbohydrazides as Antioxidant, Anti-inflammatory and Analgesic agents
- Efficient synthesis, reactions and spectral characterization of pyrazolo[4’,3’:4,5]thieno[3,2-d] pyrimidines and related heterocycles
- Asymmetric Mannich Reaction: Synthesis of Novel Chiral 5-(substituted aryl)-1,3,4-Thiadiazole Derivatives with Anti-Plant-Virus Potency
- Synthesis and antitubercular activity of new N-[5-(4-chlorophenyl)-1,3,4-oxadiazol-2-yl]-(nitroheteroaryl)carboxamides
- Remarkable electronic effect on the total stereoselectivity of the cycloaddition reaction of arylnitrile oxides with pyrrol-2-one derivatives
- Preliminary Communications
- Crystal structure and molecular docking studies of new pyrazole-4-carboxamides
- Research Article
- Synthesis of polycyclic phosphonates via an intramolecular Diels-Alder reaction of 2-benzoylbenzalaldehyde and alkenyl phosphites
- Asymmetric total synthesis of filamentous fungi related resorcylic acid lactones 7-epi-zeaenol and zeaenol
- The first in situ synthesis of 1,3-dioxan-5-one derivatives and their direct use in Claisen-Schmidt reactions
- Synthesis and fungicidal activities of perfluoropropan-2-yl-based novel quinoline derivatives
- Combined XRD-paramagnetic 13C NMR spectroscopy of 1,2,3-triazoles for revealing copper traces in a Huisgen click-chemistry cycloaddition. A model case
- Cytotoxic and antimicrobial activities of some novel heterocycles employing 6-(1,3-diphenyl-1H-pyrazol-4-yl)-4-oxo-2-thioxo-1,2,3,4-tetrahydropyrimidine-5-carbonitrile
- Substrate-controlled Diastereoselective Michael Addition of Alkylidene Malonates by Grignard Reagents
- Synthesis of 1,2,3 triazole-linked benzimidazole through a copper-catalyzed click reaction
- Synthesis and spectral characteristics of N-(1-([1,2,4]triazolo[3,4-b][1,3,4]thiadiazol-6-ylamino)-2,2,2-trichloroethyl)carboxamides
- Facile One-pot Protocol of Derivatization Nitropyridines: Access to 3-Acetamidopyridin-2-yl 4-methylbenzenesulfonate Derivatives
- Naphthalene substituted benzo[c]coumarins: Synthesis, characterization and evaluation of antibacterial activity and cytotoxicity
- A Green Synthesis and Antibacterial Activity of N-Arylsulfonylhydrazone Compounds
- Preliminary Communications
- Facile Synthesis of Spiro[cyclohexane-1,3’-indoline]-2,2’-diones
- Research Article
- Synthesis and AChE inhibitory activity of N-glycosyl benzofuran derivatives
- [DMImd-DMP]: A highly efficient and reusable catalyst for the synthesis of 4H-benzo[b]pyran derivatives
Articles in the same Issue
- Research Article
- Magnesium porphyrazine with peripheral methyl (3,5-dibromophenylmethyl)amino groups – synthesis and optical properties
- Synthesis and fungicidal activity of novel imidazo[4, 5-b]pyridine derivatives
- Synthesis of indazolo[5,4-b][1,6]naphthyridine and indazolo[6,7-b][1,6]naphthyridine derivatives
- Zinc Chloride Catalyzed Amino Claisen Rearrangement of 1-N-Allylindolines: An Expedient Protocol for the Synthesis of Functionalized 7-Allylindolines
- Synthesis and Biological Evaluation of (E)-N’-Benzylidene-7-methyl-2-propyl-1H-benzo[d] imidazole-5-carbohydrazides as Antioxidant, Anti-inflammatory and Analgesic agents
- Efficient synthesis, reactions and spectral characterization of pyrazolo[4’,3’:4,5]thieno[3,2-d] pyrimidines and related heterocycles
- Asymmetric Mannich Reaction: Synthesis of Novel Chiral 5-(substituted aryl)-1,3,4-Thiadiazole Derivatives with Anti-Plant-Virus Potency
- Synthesis and antitubercular activity of new N-[5-(4-chlorophenyl)-1,3,4-oxadiazol-2-yl]-(nitroheteroaryl)carboxamides
- Remarkable electronic effect on the total stereoselectivity of the cycloaddition reaction of arylnitrile oxides with pyrrol-2-one derivatives
- Preliminary Communications
- Crystal structure and molecular docking studies of new pyrazole-4-carboxamides
- Research Article
- Synthesis of polycyclic phosphonates via an intramolecular Diels-Alder reaction of 2-benzoylbenzalaldehyde and alkenyl phosphites
- Asymmetric total synthesis of filamentous fungi related resorcylic acid lactones 7-epi-zeaenol and zeaenol
- The first in situ synthesis of 1,3-dioxan-5-one derivatives and their direct use in Claisen-Schmidt reactions
- Synthesis and fungicidal activities of perfluoropropan-2-yl-based novel quinoline derivatives
- Combined XRD-paramagnetic 13C NMR spectroscopy of 1,2,3-triazoles for revealing copper traces in a Huisgen click-chemistry cycloaddition. A model case
- Cytotoxic and antimicrobial activities of some novel heterocycles employing 6-(1,3-diphenyl-1H-pyrazol-4-yl)-4-oxo-2-thioxo-1,2,3,4-tetrahydropyrimidine-5-carbonitrile
- Substrate-controlled Diastereoselective Michael Addition of Alkylidene Malonates by Grignard Reagents
- Synthesis of 1,2,3 triazole-linked benzimidazole through a copper-catalyzed click reaction
- Synthesis and spectral characteristics of N-(1-([1,2,4]triazolo[3,4-b][1,3,4]thiadiazol-6-ylamino)-2,2,2-trichloroethyl)carboxamides
- Facile One-pot Protocol of Derivatization Nitropyridines: Access to 3-Acetamidopyridin-2-yl 4-methylbenzenesulfonate Derivatives
- Naphthalene substituted benzo[c]coumarins: Synthesis, characterization and evaluation of antibacterial activity and cytotoxicity
- A Green Synthesis and Antibacterial Activity of N-Arylsulfonylhydrazone Compounds
- Preliminary Communications
- Facile Synthesis of Spiro[cyclohexane-1,3’-indoline]-2,2’-diones
- Research Article
- Synthesis and AChE inhibitory activity of N-glycosyl benzofuran derivatives
- [DMImd-DMP]: A highly efficient and reusable catalyst for the synthesis of 4H-benzo[b]pyran derivatives