Startseite Carboxylation of hydroxyarens with metal alkyl carbonates
Artikel Open Access

Carboxylation of hydroxyarens with metal alkyl carbonates

  • Khakim A. Suerbaev

    Khakim A. Suerbaev graduated from the V. I. Lenin Tashkent State University (Tashkent) in 1965. In 1972, he completed his postgraduate course at Institute of Elementorganic Compounds, USSR Academy of Sciences (Moscow) and in 1997, he defended his doctoral dissertation at Al-Faraby Kazakh National University (Almaty). He is a professor at Al-Faraby Kazakh National University. He has published more than 100 papers in reputed journals and seven books/monographs. His current research activities comprise organic synthesis, petrochemistry, metalcomplex catalysis, pharmaceutical chemistry and chemistry of phosphororganic compounds.

    EMAIL logo
    , Mayliby K. Aldabergenov

    Mayliby K. Aldabergenov graduated from Leningrad Technological Institute in 1970, worked at Institute of Chemical Sciences, Academy of Sciences KazSSR (1970–1981), and at Karaganda State University (1981–2003). He is a professor at Al-Faraby Kazakh National University. He has published more than 50 papers in reputed journals and 10 books/monographs.

    und Nurbolat Zh. Kudaibergenov

    Nurbolat Zh. Kudaibergenov received a Master’s degree in 2014 from Al-Faraby Kazakh National University (Almaty). His current research activities comprise organic synthesis, and petrochemistry.

Veröffentlicht/Copyright: 12. März 2015
Veröffentlichen auch Sie bei De Gruyter Brill

Abstract

The objective of this work was to investigate the possibility of using alkali metal salts of ethylcarbonic acid as a carboxylating reagent in phenol (naphthols) carboxylation and developing a new and simple method for the synthesis of hydroxybenzoic and hydroxynaphthoic acids having broad practical application. It was found that sodium ethyl carbonate and potassium ethyl carbonate can be successfully used as carboxylating agents in carboxylation of phenol and naphthols. For the first time, the effects of the gaseous medium (air, carbon dioxide, argon), pressure, temperature and reaction time on the proceedings of the carboxylation reactions were examined. Simple and convenient procedures for the syntheses of o- and p-hydroxybenzoic, p-aminosalicylic, 1-hydroxy-2-naphthoic, 1-hydroxy-4-naphthoic and 2-hydroxy-3-naphthoic acids were developed. New efficient technologies for preparation of drugs salicylic acid (antiseptic activity), p-aminosalicylic acid (antituberculous activity) and p-hydroxybenzoic acid (bactericide activity) based on carboxylation reactions of phenol and m-aminophenol with sodium and potassium salts of ethyl carbonic acid were worked out.

1 Introduction

The use of carbon dioxide as a carbon source for organic synthesis is an important problem of modern organic chemistry and petroleum chemistry. The utilization of carbon dioxide in chemical synthesis is also of great environmental importance, because it is one of the ways to reduce atmospheric emission of carbon dioxide, the main component of greenhouse gases [1, 2].

So far, only two processes based on carbon dioxide have been implemented on the industrial scale; the synthesis of urea (carbamide) and that of salicylic acid. The carbon dioxide molecule has a low reactivity, so, the overwhelming majority of its reactions proceed only under special conditions: upon the activation with metal complexes, with the use of catalysts, under severe conditions of the process, etc. At the same time, some simplest derivatives of carbon dioxide are very active.

In particular, syntheses based on metal salts of monoalkyl carbonic acids, metal alkyl carbonates, are of interest. The latter are easily obtained by interaction of carbon dioxide with metal alkoxides [3]. Salts of esters of carbonic acid with alkali metals can be synthesized by the interaction of carbon dioxide with alcohols and alkali metal halides in the presence of organic bases [4]. A simple, convenient and economical synthetic procedure for the preparation of sodium or potassium ethoxide by the interaction of ethanol with sodium or potassium hydroxide has been developed [5, 6]. Subsequently, the ethoxides can be used for the synthesis of sodium and potassium ethyl carbonates [6] (Scheme 1).

Scheme 1: Synthesis of sodium and potassium ethylcarbonates.
Scheme 1:

Synthesis of sodium and potassium ethylcarbonates.

Hydroxybenzoic and hydroxynaphthoic acids and their derivatives have broad practical applications. o-Hydroxybenzoic acid (salicylic acid) and its derivatives exhibit biologic activity and are used as pharmaceuticals (aspirin, p-aminosalicylic acid, etc.) [7]. p-Hydroxybenzoic acid is used to manufacture polymer materials and liquid crystal polyesters [8]. Arylamides of 2-hydroxy-3-naphthoic acid are widely used for the synthesis of azoic dyes for the cold dyeing of fibers [9].

The most widespread industrial process for manufacturing hydroxybenzoic and hydroxynaphthoic acids is the Kolbe-Schmitt carboxylation of phenols (naphthols) [10]. However, this method has serious disadvantages. One of the serious drawbacks of this process is the need for preliminary preparation of dry sodium (potassium) phenoxide, which is fraught with great experimental difficulties: the removal of water by vacuum distillation and extreme hydroscopicity of dry alkali metal phenoxides. In connection with this, methods for the synthesis of hydroxybenzoic (hydroxynaphthoic) acids without the use of alkali metal phenoxides are of interest. One of these methods is the carboxylation of phenol (naphthols) with alkali metal salts of carbonic acid esters.

The possibility of the use of alkali metal salts of alkyl carbonic acids as a carboxylating agent in the carboxylation reaction of hydroxyarens was reported in 1958 [11]. Salicylic acid was obtained with a yield of ∼50%, under slow heating to 175°C of a mixture of phenol with a suspension of sodium ethyl carbonate in ethanol and the simultaneous distillation off of the solvent and a portion of the unreacted phenol. A mixture of salicylic acid and p-hydroxybenzoic acid was obtained using potassium ethyl carbonate (Scheme 2). Later, several papers of a Japanese group on the use of alkali metal salts of alkyl carbonic acids for the carboxylation of hydroxyarens were published [12–16].

Scheme 2: Carboxylation of phenol with sodium ethyl carbonate.
Scheme 2:

Carboxylation of phenol with sodium ethyl carbonate.

The aim of this work was to investigate the effectiveness of using sodium and potassium salts of ethylcarbonic acid as carboxylating reagents in phenol (naphthols) carboxylation and developing a new, simple and convenient method for the synthesis of hydroxybenzoic and hydroxynaphthoic acids which have broad practical applications.

2 Materials and methods

Dry powdered sodium ethyl carbonate and reagent grade hydroxyarens (phenol, α- and β-naphthols) were used as received. Experiments were carried out in a laboratory setup with a steel autoclave, in the solvent-free mode. A 100 ml glass reactor placed in the stainless steel autoclave was charged with hydroxyarens and sodium (potassium) ethyl carbonate. The autoclave was sealed and twice blown off with inert gases (argon or carbon dioxide) to remove air, a required gas pressure was created, and stirring and heating were switched on. The gas pressure was maintained at a constant in the course of reaction. The reactor temperature was elevated to 60°C for 1 h and to 120–220°C for another 2–7 h and then maintained at the desired final level for 0.5–4 h. After completion of the reaction, the autoclave was cooled to room temperature. The products were isolated from the reaction mixture in the following sequence: treating with water, extracting with toluene to remove the unreacted hydroxyarens, and acidifying the aqueous phase with hydrochloric acid to pH 2.0. The products were separated by recrystallization from water. The toluene extract was fractionated to recover the unreacted hydroxyaren, and the hydroxyarens conversion was calculated. The product composition was determined by weighing after the separation and purification of the products by recrystallization from water; the product yield was calculated in terms of the hydroxyaren consumed. The purity of the products was monitored by measuring their melting point and those of mixed samples of the products and authentic compounds, as well as by elemental analysis data.

3 Results and discussion

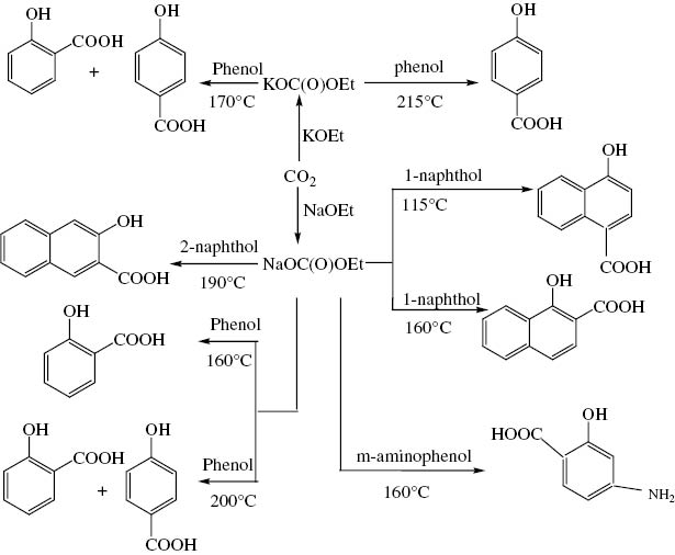
We used the carboxylation reaction of phenol and m-aminophenol with sodium (potassium) ethyl carbonate for the development of new efficient methods for preparation of drugs based on hydroxybenzoic acids: salicylic acid (antiseptic activity, valuable intermediate product for obtaining many other medicines), p-aminosalicylic acid and sodium salt of p-aminosalicylic acid (antituberculous drugs) and p-hydroxybenzoic acid (bactericide activity; it also used to prepare heat-resistant liquid-crystal polyesters). Published data on naphthols carboxylation by alkali metal salts of alkyl carbonic acids are lacking. We studied for the first time, the carboxylation of naphthols with sodium ethyl carbonate. The pathways of studied reactions are shown in Scheme 3.

Scheme 3: Pathways of the studied reactions.
Scheme 3:

Pathways of the studied reactions.

It was found that the sodium and potassium salts of ethyl carbonic acid can successfully be used as a carboxylating agent in the carboxylation of phenol and naphthols. The effects of the gaseous medium (air, carbon dioxide, argon), pressure, temperature, and reaction time on the proceedings of the carboxylation reactions were examined.

It was found that, when the reaction of phenol carboxylation with sodium ethyl carbonate was carried out in air, the yield of salicylic acid did not exceed 23–26% because of oxidation condensation processes (tarring). When the reaction was carried out under the same conditions but in an inert gas (argon or carbon dioxide) atmosphere, the yield of salicylic acid could be increased to 60–70%. The further experiments were carried out in argon or a carbon dioxide atmosphere.

Temperature has a strong effect on the course of the reaction. As temperature increases from 120°C to 160°C (Pco2=10 atm, τ=3–5 h), the yield of salicylic acid increases from 3% to 65% (Figure 1). A further elevation of temperature decreases the product yield (to 45% at 195°C). It was also found that the formation of salicylic acid over the temperature range 120–195°C was accompanied by the appearance of traces of p-hydroxybenzoic acid (as detected by paper chromatography). It is interesting that a further increase in temperature up to 200°C sharply increased the amount of p-hydroxybenzoic acid (17.5%), with a simultaneous increase in the yield of o-hydroxybenzoic acid (69.9%); the total yield of o- and p-hydroxybenzoic acids was 87.4%. With a further increase in temperature, only o-hydroxybenzoic is formed again, and its yield gradually decreases to 56% at 220°C.

Figure 1: Yield of o-hydroxybenzoic acid versus temperature (heating rate, 35°C/h; sodium ethyl carbonate; holding time at the final temperature, 1 h; Pco2=10 atm).
Figure 1:

Yield of o-hydroxybenzoic acid versus temperature (heating rate, 35°C/h; sodium ethyl carbonate; holding time at the final temperature, 1 h; Pco2=10 atm).

We also examined the influence of the rate of increase in the reactor temperature up to 160°C (10, 20, 25, 30, 35, 45 and 70°C/h) on the yield of salicylic acid by phenol carboxylation with sodium ethyl carbonate under argon (PAr=0 atm). The optimal heating rate was 35°C/h. Studying the effect of time of holding (10, 20, 30, 60, 90, 120, 180 and 240 min) at the final temperature (160°C) showed that the optimal holding time was 60 min (PAr=10 atm).

The pressure of the gas medium (carbon dioxide or argon) within 1.2–10 atm (T=160°C and τ=6 h) slightly affects the yield of salicylic acid. A further increase in pressure to 15–20 atm strongly decreases its yield.

Thus, the optimal conditions for phenol carboxylation with sodium ethyl carbonate turned out to be Pco2=10 atm, T=200°C and τ=6 h, under which the total yield of hydroxybenzoic acids was 87.4% (69.9% of o-hydroxybenzoic acid and 17.5% of p-hydroxybenzoic acid).

The use of potassium phenoxide instead of sodium phenoxide in the Kolbe-Schmitt reaction was known to promote the formation of p-hydroxybenzoic acid [10]. To examine the effect of the nature of alkali metal in the reactants salts of carbonic acid esters on carboxylation regioselectivity, the reaction of phenol carboxylation with potassium ethyl carbonate was studied.

Interesting results were obtained in the course of studying the influence of temperature on the course of the phenol carboxylation reaction with potassium ethyl carbonate. The experimental data on the influence of temperature on the yield of the product of phenol carboxylation with potassium ethyl carbonate (Pco2=10 atm, τ=7 h, temperature rise for 6 h and 1 h holding at the final temperature) are presented in Figure 2. As is seen, the yield of salicylic acid increases from 44.9% to 66.7% when the temperature increases from 140°C to 170°C, and the yield of p-hydroxybenzoic acid simultaneously increases from 1.2% to 3.7%. With a further increase in temperature, the yield of salicylic acid decreases, whereas the yield of p-hydroxybenzoic acid gradually increases. At 200°C, the yield of p-hydroxybenzoic acid steeply increases, from 8.6% at 190°C to 47.8% at 200°C. o-Hydroxybenzoic acid is absent from the reaction products. At 210°C, the yield of p-hydroxybenzoic acid increases to 63.7% and sharply decreases with a further increase in temperature, presumably because of its decarboxylation. The increase in the yield of p-hydroxybenzoic acid at a temperature above 200°C seems to be explained by the possible rearrangement of an intermediate potassium salt of o-hydroxybenzoic acid to potassium salt of p-hydroxybenzoic acid.

Figure 2: Yield of hydroxybenzoic acids versus temperature (potassium ethyl carbonate; Pco2=10 atm and τ=7 h): (1) o-hydroxybenzoic acid and (2) p-hydroxybenzoic acid.
Figure 2:

Yield of hydroxybenzoic acids versus temperature (potassium ethyl carbonate; Pco2=10 atm and τ=7 h): (1) o-hydroxybenzoic acid and (2) p-hydroxybenzoic acid.

p-Aminosalicylic acid and the sodium salt of p-aminosalicylic acid are antituberculous drags. The simple and industrial useful method of obtaining m-aminosalicylic acid by p-aminophenol carboxylation with sodium ethyl carbonate was worked out. Under the optimum conditions found for the process the yield of the p-aminosalicylic acid is 70%.

Thus, new, simple and convenient methods of obtaining drugs salicylic acid, p-hydroxybenzoic acid and p-aminosalicylic acid by regioselective carboxylation of phenol and m-aminophenol with sodium and potassium salts of ethylcarbonic acid were worked out. The proposed methods are highly economical and ecological and may be used for industrial production of the mentioned above drugs. The cost of obtaining the drugs according to the proposed new methods is two to four times less than the cost of their production according to the existing technologies.

We studied the carboxylation of the naphthols carboxylation with sodium ethyl carbonate. It was found that the sodium salt of ethyl carbonic acid can successfully be used as a carboxylating agent in naphthols carboxylation. The effects of the gaseous medium (air, carbon dioxide, argon), pressure, temperature and reaction time on the proceeding of carboxylation were examined.

The temperature dependence of the α-naphthol conversion is nonmonotonic in character with a maximum in the product yield at 160°C (Figure 3). The optimum reaction time is 5 h (4 h of a temperature increase to 160°C and holding at this temperature for 1 h). A further increase in the reaction time leads to a sharp decrease in the product yield. Under the optimum conditions (Pair=1.2–1.4 atm, T=160°C, τ=5 h), the α-naphthol conversion is 74.5 wt%, and the yield of 1-hydroxy-2-naphthoic acid is 93.1 wt%.

Figure 3: Temperature dependence for the α-naphthol conversion into 1-hydroxy-2-naphthoic acid by carboxylation in an air medium (Pair=1.2 atm, τ=7 h).
Figure 3:

Temperature dependence for the α-naphthol conversion into 1-hydroxy-2-naphthoic acid by carboxylation in an air medium (Pair=1.2 atm, τ=7 h).

An interesting temperature dependence of the carboxylation direction was observed when α-naphthol was carboxylated with sodium ethyl carbonate in carbon dioxide (Pco2=10 atm, τ=5 h) (Figure 4). Only 1-hydroxy-4-naphthoic acid was formed at 80–130°C. In other words, carboxylation proceeds in the 4-position. In this case, the α-naphthol conversion reaches 48.0 wt% and the yield of 1-hydroxy-4-naphthoic acid is 94.3 wt%. The optimum temperature of the process is 115°C. At higher temperatures (from 140°C to 190°C), carboxylation takes place in the 2-position. The α-naphthol conversion achieves 66.0 wt% at a yield of 1-hydroxy-2-naphthoic acid of 93.4 wt%.

Figure 4: Temperature dependence for the α-naphthol conversion by carboxylation in carbon dioxide medium (Pco2=10 atm, τ=5 h). Region 1 (80–130°C) refers to the synthesis of 1-hydroxy- 4-naphthoic acid and region 2 (130–190°C) is that of the synthesis of 1-hydroxy-2-naphthoic acid.
Figure 4:

Temperature dependence for the α-naphthol conversion by carboxylation in carbon dioxide medium (Pco2=10 atm, τ=5 h). Region 1 (80–130°C) refers to the synthesis of 1-hydroxy- 4-naphthoic acid and region 2 (130–190°C) is that of the synthesis of 1-hydroxy-2-naphthoic acid.

Our finding that α-naphthol is regioselectively carboxylated with sodium ethyl carbonate in a carbon dioxide medium (Pco2=0 atm, T=115°C, τ=5 h) is the first example of the direct carboxylation of α-naphthol in the 4-position. Note that the Kolbe-Schmitt carboxylation of α-naphthol always proceeds at the 2-position to form 1-hydroxy-2-naphthoic acid [9, 10].

Unlike α-naphthol, β-naphthol is always carboxylated with sodium ethyl carbonate in the 3-position to form 2-hydroxy-3-naphthoic acid in any medium – carbon dioxide, argon, or air – at a temperature ranging from 110°C to 230°C.

The optimum gas medium for the reaction is carbon dioxide. Under the optimum conditions found for the process (Pco2=10 atm, T=190°C, τ=5 h), the β-naphthol conversion is 38.3 wt% and the yield of 2-hydroxy-3-naphthoic acid is 91.4 wt%.

4 Conclusion

In this paper we demonstrated that sodium and potassium salts of ethyl carbonic acid successfully can be used for the carboxylation of phenol and naphthols. For the first time, the influence of various conditions (ratio of the initial reagents, gas medium, temperature, pressure, duration of the reaction) of the carboxylation of phenol, m-aminophenol, 1- and 2-naphthols was determined. The optimal conditions for conduction of the processes were discovered. Simple and convenient procedures for the syntheses of o- and p-hydroxybenzoic, p-aminosalicylic, 1-hydroxy-2-naphthoic, 1-hydroxy-4-naphthoic and 2-hydroxy-3-naphthoic acids were developed. New efficient technologies for preparation of drugs salicylic acid (antiseptic activity), p-aminosalicylic acid (antituberculous activity) and p-hydroxybenzoic acid (bactericide activity) based on the carboxylation reaction of phenol and m-aminophenol with sodium and potassium salts of ethyl carbonic acid were worked out.


Corresponding author: Khakim A. Suerbaev, Faculty of Chemical Technology and Chemistry, Al-Faraby Kazakh National University, Al-Farabi av, 71 Almaty 050038, Republic of Kazakhstan, e-mail:

About the authors

Khakim A. Suerbaev

Khakim A. Suerbaev graduated from the V. I. Lenin Tashkent State University (Tashkent) in 1965. In 1972, he completed his postgraduate course at Institute of Elementorganic Compounds, USSR Academy of Sciences (Moscow) and in 1997, he defended his doctoral dissertation at Al-Faraby Kazakh National University (Almaty). He is a professor at Al-Faraby Kazakh National University. He has published more than 100 papers in reputed journals and seven books/monographs. His current research activities comprise organic synthesis, petrochemistry, metalcomplex catalysis, pharmaceutical chemistry and chemistry of phosphororganic compounds.

Mayliby K. Aldabergenov

Mayliby K. Aldabergenov graduated from Leningrad Technological Institute in 1970, worked at Institute of Chemical Sciences, Academy of Sciences KazSSR (1970–1981), and at Karaganda State University (1981–2003). He is a professor at Al-Faraby Kazakh National University. He has published more than 50 papers in reputed journals and 10 books/monographs.

Nurbolat Zh. Kudaibergenov

Nurbolat Zh. Kudaibergenov received a Master’s degree in 2014 from Al-Faraby Kazakh National University (Almaty). His current research activities comprise organic synthesis, and petrochemistry.

Acknowledgments

The financial support of this work was provided by the Ministry of Education and Science of the Republic of Kazakhstan.

References

[1] Paul J, Pradier CM, Eds., Carbon Dioxide Chemistry: Environmental Issues, Royal Society of Chemistry: Cambridge, 1994, p 402.Suche in Google Scholar

[2] Aesta M, Forti G, Eds., Carbon Dioxide as a Source of Carbon: Biochemical and Chemical Uses, D. Reide: Dordrecht, 1987, p 429.10.1007/978-94-009-3923-3Suche in Google Scholar

[3] Pazenko ZN, Vakachuk IS. USSR Inventor’s Certificate No. 168 286, Bull. Izobret. 1979, 24 [in Russian].Suche in Google Scholar

[4] Neri K, Chipriani D. USSR Patent No. 671 719, Bull. Izobret. 1979, 24 [in Russian].Suche in Google Scholar

[5] Slobodskoi AG, Davydov IF. Med. Prom-st. 1963, 7, 40–41 [in Russian].Suche in Google Scholar

[6] Suerbaev KA, Kanapiyeva FM, Tseilhanov TM. Vestn. Kaz. Gos. Univ. Ser. Khim. 2006, 2, 10–13 [in Russian].Suche in Google Scholar

[7] Mashkovskiy MD. Drug Preparations, Meditsina: Moscow, 1987 [in Russian].Suche in Google Scholar

[8] Toshinobu S, Makiko I, Hitoshi S, EP Patent No. 373, 1991, 619.Suche in Google Scholar

[9] Donaldson N. The Chemistry and Technology of Naphthalene Compounds. Gos. nauchno-Tekh. Izd. Khim. Lit.: Moscow, 1963 [in Russian].Suche in Google Scholar

[10] Lindsey AS, Jeskey H. Chem. Rev. 1957, 57, 583–620.Suche in Google Scholar

[11] Jones IJ. Chem. Ind (London). 1958, 228–229.Suche in Google Scholar

[12] Hirao I, Kondo T, Kito T. Kogyo Kagaky Zasshi (Japanese) 1969, 72, 692.10.1246/nikkashi1898.72.3_692Suche in Google Scholar

[13] Kito T, Kondo T, Ago H, Yamamoto S, Hirao I. Kogyo Kagaky Zasshi (Japanese) 1970, 73, 742.10.1246/nikkashi1898.73.4_742Suche in Google Scholar

[14] Kito T, Hirao I. Bull. Chem. Soc. Jpn. 1971, 44, 3123.Suche in Google Scholar

[15] Umemura S, Takamitsu N, Hashimoto T. Jpn. Kokai 7795, 627. Chem. Abstr. 1987.88 374383s.Suche in Google Scholar

[16] Suerbaev KA. Eurasian Chem.-Technol. J. 2010, 12, 105–115.10.18321/ectj32Suche in Google Scholar

Received: 2014-12-3
Accepted: 2015-2-3
Published Online: 2015-3-12
Published in Print: 2015-4-1

©2015 by De Gruyter

This article is distributed under the terms of the Creative Commons Attribution Non-Commercial License, which permits unrestricted non-commercial use, distribution, and reproduction in any medium, provided the original work is properly cited.

Artikel in diesem Heft

  1. Frontmatter
  2. In this issue
  3. Editorial
  4. Enough time for inspiration?
  5. GreenChemSE 2014
  6. 1st International Conference on Green Chemistry and Sustainable Engineering (GreenChemSE)
  7. Comparative study of different catalysts for the direct conversion of cellulose to sorbitol
  8. The effect of TiO2 surface modification on the photovoltaic properties of hybrid bulk heterojunction solar cells based on MEH-PPV/CdS/TiO2 active layer
  9. Carboxylation of hydroxyarens with metal alkyl carbonates
  10. Opportunities for Nannochloropsis gaditana biomass through the isolation of its components and biodiesel production
  11. Mono- and double carbonylation of iodobenzene in the presence of reusable supported palladium catalysts
  12. Separation of ethylbenzene and n-octane using deep eutectic solvents
  13. Ultrasound-assisted green synthesis of silver nanoparticles and their incorporation in antibacterial cellulose packaging
  14. Can mitochondrial malondialdehyde content be a useful tool to evaluate sea lamprey juveniles’ capacity to seawater acclimatization?
  15. Effects of atrazine, isoproturon and diuron on glutathione metabolism of Saccharomyces cerevisiae
  16. Organization profile
  17. Cluster profile CLIB2021
  18. Conference announcements
  19. 10th European Congress of Chemical Engineering (ECCE10)/3rd European Congress of Applied Biotechnology (ECAB3)/5th European Process Intensification Conference (EPIC5) – Nice, France, September 27-October 1, 2015
  20. Microfluidics: From Laboratory Tools to Process Development (Rueil-Malmaison, France, November 4–5, 2015)
  21. Conferences 2015–2017
  22. Book reviews
  23. Chemistry of the climate system
  24. Renewable resources for biorefineries
  25. Corrigendum
  26. Corrigendum to: Biorefineries and chemical processes: design, integration and sustainability analysis
Heruntergeladen am 3.11.2025 von https://www.degruyterbrill.com/document/doi/10.1515/gps-2014-0098/html?lang=de
Button zum nach oben scrollen