Startseite Naturwissenschaften Corrosion rate of carbon steel under synergistic effect of seawater parameters including pH, temperature, and salinity in turbulent condition
Artikel Öffentlich zugänglich

Corrosion rate of carbon steel under synergistic effect of seawater parameters including pH, temperature, and salinity in turbulent condition

  • Alisina Toloei is a PhD candidate at the University of Windsor, Windsor, Ontario, Canada. He works on the corrosion properties of polymeric coatings, modified polymer/clay nanocomposites, the effect of surface patterning, roughness, and various environmental parameters on the corrosion of stainless steel, nickel, and carbon steel in different environments.

    ,

    Sanam Atashin was a graduate student at Shiraz University, Shiraz, Fars, Iran, at the time of this project. She is currently a PhD student and has been involved in corrosion, surface science, coatings, and electrochemistry.

    EMAIL logo
    und

    Mahmood Pakshir is a professor at Shiraz University. He is a corrosion expert and CP specialist and has performed waste investigations on several aspects of corrosion engineering. He is one of the most active corrosion engineers in Iran and the Middle East. He is one of the main organizers of the Iranian Corrosion Association.

Veröffentlicht/Copyright: 16. November 2013

Abstract

The variation of AISI 1045 carbon steel corrosion rate in seawater is investigated under the simultaneous effect of marine parameters in both stagnant and turbulent conditions. The combined effect of salinity, velocity, pH, and temperature is studied using two-by-two graphical curves, while each parameter is applied at three levels. The possible influence of simultaneously acting factors on each considering parameter is experimentally studied and explained using theoretical basis. This paper offers an advantage of considering the simultaneous effect of parameters instead of individual ones, which simulate the experimental media close to the real in-site marine environment where all the affecting factors act in a combined manner. The most innovation of this study is two-by-two investigation of combined action of effective parameters on corrosion rate, which is much more comprehensive and detailed compared to previous researches. Every parameter is considered at three ranges and all the possible interactions with other factors are taken into account. It is proven that the effect of considered parameters on the rate of corrosion is the function of other simultaneously acting factors. The role of fluid velocity condition and also the reaction polarization status is found to be pronounced.

1 Introduction

Seawater is a complex chemical system affected by various environmental factors. The most important seawater parameters, from the corrosion standpoint, are salinity, pH, dissolved oxygen concentration, temperature, velocity, and types of biological species (Lee, Ray, & Lemieux, 2004; Moller, Boshoff, & Fronemen, 2006; Porte, 1967). Carbon steels are the most widely used engineering materials, accounting for huge annual steel production worldwide. Despite their relatively limited corrosion resistance, carbon steels are still the most versatile, least expensive, and widely used engineering material that has found extensive application in marine applications, nuclear power and fossil fuel power plants, transportation, chemical processing, petroleum production and refining, pipelines, mining, construction, and metal-processing equipment (Wan Nik, Zulkifli, Rahman, & Rosliza, 2011). Carbon and low alloy steels are the basic materials of construction for marine structures and ships; however, corrosion causes many problems to arise in the related industries (CDA, 1986). Several prevention techniques have been applied so far to improve the corrosion properties of these alloys such as coatings, inhibitors, and surface modifications (Toloei, 2011; Toloei & Atashin, 2013; Toloei, Stoilov, & Northwood, 2013a,b). The rate of corrosion as an electrochemical is determined by the kinetics of the system. This means that the rate of the overall corrosion process is controlled by the slowest step, which in this case is the reduction reaction (Porte, 1967). In other words, the corrosion rate of these steels in marine environment is under the control of cathodic reaction and is directly affected by seawater parameters (Schumacher, 1979). Salinity, velocity, temperature, and pH are reported to be the most effective and controlling factors on the corrosion rate of these alloys. These parameters can affect the rate of cathodic reaction and the total rate of corrosion consequently. Salinity, velocity, and temperature can significantly influence the amount of dissolved oxygen, which determines the rate of cathodic reaction (Melchers & Chernov, 2010; Schumacher, 1979). They also apply an effective role in controlling the rate of corrosion when the process is under the control of concentration polarization (Bardal, 2004). Temperature affects the corrosion rate of metals through its effect on factors that control the diffusion rate of oxygen (Porte, 1967). pH can control the kinetics of corrosion reaction through the formation of calcareous surface layers (Bardal, 2004; Elbeik, Tseung, & Mackay, 1986; Hartt, Culberson, & Smith, 1984; Lin & Dexter, 1988). As a result of the importance of these parameters, several theoretical and experimental researches have been carried out to investigate the individual effect of these factors on the corrosion properties of carbon steel. In 2002 and 2003, Melchers and Chernov studied the effect of dissolved oxygen and temperature on the corrosion rate of mild steel and reported that corrosion rate increases with increasing water temperature (Melchers, 2005; Melchers & Chernov, 2010). The effect of oxygen concentration on the corrosion rate of carbon steel in seawater is also clarified in 1985 (Sefaja & Malina, 2002). Melchers and McNeill surveyed the influence of temperature on the marine corrosion of carbon steel in separate studies (McNeill, 2000; Melchers, 2003). The influence of salinity and pH was also considered in different researches reported in 2005 and 2008 (Melchers, 2006, 2008). In another study in 2008, the corrosion rate of carbon steel in marine environment was considered and reported to be a direct function of pH and temperature (Cuiwei, Xiaogang, & Jin, 2008). In 2004, Melchers demonstrated the influence of water velocity on marine immersion corrosion of mild steel and indicated that seawater velocity causes an increase in the rate of general corrosion of mild steel (Melchers, 2004). The effect of seawater flow velocity was also considered in another research by Liu, Lin and Li (2008). In this study, the flow-induced corrosion mechanisms for carbon steel in high-velocity flowing seawater was studied and corrosive phenomena were explained. The effects of individual parameters on the rate of corrosion have been extensively studied by a large number of investigators. Although the studies involving the effects of individual marine factors have produced valuable information, comprehensive research on the combined effect of seawater factors is still lacking. It is really obvious that the effect of marine factors on the rate of metal’s corrosion cannot be independent at all, and other simultaneously acting factors can affect and, in some cases, totally change the effect of the considered parameter. This phenomenon remarks the importance of simultaneously studying the effect of controlling factors versus individually. In this research, the effects of salinity, velocity, pH, and temperature have been investigated simultaneously on the corrosion rate of carbon steel AISI 1045 in seawater environment that performs the advantage of studying marine parameters effect in a media, closer to the real seawater environment in which all the effective parameters act in a combined and simultaneous manner to control the rate of corrosion.

2 Materials and methods

AISI 1045 carbon steel rods (12 mm diameter) were used for this study and the chemical composition of this steel is given in Table 1. Experiments were performed in ASTM D1145 artificial seawater (D1145, 1999). The surfaces of the samples were polished up to 1200 grit. The samples were then rinsed in distilled water and dried with ethanol to remove residual water. The experiments were conducted under different conditions consisting of temperature (23°C, 40°C, and 65°C), velocity (0, 200, and 300 rpm), salinity (20, 30, and 40), and pH (7.5, 9, and 10.5). A heater-stirrer HP-8400 was used to control temperature and velocity and pH control was done via the 1 N NaOH (Zamanzade, Shahrabi, & Yazdian, 2007). Salinity, which is defined as the total weight in grams of solid matter dissolved in 1000 g water (Roberge, 2000; Schumacher, 1979), was adjusted by setting the chlorinity. Chlorinity was set by changing the amount of sodium chloride as a main constituent of artificial seawater, while all other spices were kept fixed according to the ASTM D1145 standard (Schumacher, 1979). Equation (1) represents the exact relationship between salinity and chlorinity (Roberge, 2000).

Table 1

Chemical composition of AISI 1045 samples (Fe matrix).

Element C Mn Si Ni
wt.% 0.46 0.65 0.4 0.4

A standard three-electrode electrochemical cell was employed with Pt gauze as counter electrode. Electrochemical experiments were performed using a μ Autolab type III/FRA2 electrochemical interface potentiostat-galvanostats. All potentials quoted are with respect to the saturated calomel reference electrode (SCE). The polarization curves were obtained by scanning the electrode potential ±100 mV around the corrosion potential at a scan rate of 0.05 mV/s. Corrosion rate results were calculated in millimeters per year using Tafel extrapolation method via GPES version 4.9 software program (Yang, 2008).

3 Results and discussion

The polarization curves of considered conditions are illustrated as Figure 1A–F. Although the effect of seawater electrical resistance (IR drop effect) is reported to be ignorable (Roberge, 2005; Scribner & Taylor, 1990), to assure its negligibility, the IR drop compensated curve for one of the samples is presented as Figure 2. This figure approves the ignorable effect of IR drop on obtained polarization curves. Corrosion rate variation under the combined effect of two-by-two parameters is shown as Figures 38. In each curve, corrosion rate variation under the combined effect of two factors is presented, while the other two parameters are kept fixed.

Figure 1 
          Polarization curves of samples under defined conditions (A–F).
Figure 1

Polarization curves of samples under defined conditions (A–F).

Figure 2 
          Effect of IR drop on polarization curve for the condition defined by pH 7.5, salinity 30, velocity 0 rpm, and temperature 23°C.
Figure 2

Effect of IR drop on polarization curve for the condition defined by pH 7.5, salinity 30, velocity 0 rpm, and temperature 23°C.

Figure 3 
          Simultaneous effect of velocity and temperature at pH 7.5 and salinity 30.
Figure 3

Simultaneous effect of velocity and temperature at pH 7.5 and salinity 30.

Figure 4 
          Simultaneous effect of velocity and salinity at pH 7.5 and temperature 23°C.
Figure 4

Simultaneous effect of velocity and salinity at pH 7.5 and temperature 23°C.

Figure 5 
          Simultaneous effect of velocity and pH at salinity 30 and temperature 23°C.
Figure 5

Simultaneous effect of velocity and pH at salinity 30 and temperature 23°C.

Figure 6 
          Simultaneous effect of temperature and salinity at stagnant fluid and pH 7.5.
Figure 6

Simultaneous effect of temperature and salinity at stagnant fluid and pH 7.5.

Figure 7 
          Simultaneous effect of temperature and pH at stagnant fluid and salinity 30.
Figure 7

Simultaneous effect of temperature and pH at stagnant fluid and salinity 30.

Figure 8 
          Simultaneous effect of salinity and pH at stagnant fluid and temperature 23°C.
Figure 8

Simultaneous effect of salinity and pH at stagnant fluid and temperature 23°C.

3.1 Simultaneous effect of temperature and velocity

Figure 3 illustrates simultaneous effect of temperature and velocity. As Figure 3 shows, at the stagnant condition, corrosion rate is increased by temperature increment up to 40°C.

This result is consistent with the previous achievements (Melchers, 2005; Melchers & Chernov, 2010). In this case, as there is no agitation in the solution, the mass transport of species to the corroding surface is rate controlling and the corrosion rate is mostly under the control of concentration polarization. In the case of concentration polarization controlled processes, the value of limiting current density (iL) can determine the rate of corrosion. Equation (2) illustrates the parameters affecting the magnitude of limiting current density in a surface without diffusion limiting deposits (Bardal, 2004).

where iL is limiting current density, is oxygen diffusion coefficient, z is solution viscosity, F is Faraday number, δ is thickness of diffusion boundary layer, and cB is oxygen concentration in solution.

Temperature can cause an increase on iL through affecting a couple of parameters and δ). The effect of temperature on follows the Arrhenius expression and is described according to Equation (3) (Bardal, 2004).

where A and Q are constant in water, R is universal gas constant, and T is temperature in Kelvin.

As Equation (3) shows, grows by temperature. On the contrary, as temperature is increased, a kind of molecular and ionic agitation will be created in the solution that reduces the thickness of diffusion layer. Both increasing and decreasing δ that happen through the temperature growth results in the increment of iL based on Equation (2), which causes an increase in the rate of corrosion (Bardal, 2004).

This result is also in agreement with the achievements of two previous researches on the effect of temperature on the corrosion rate of carbon steels (Melchers, 2005; Melchers & Chernov, 2010). As reported previously, corrosion rate generally is increased by the increment of temperature. However, as the temperature increases more, a different effect of temperature on corrosion rate can be observed.

In stagnant condition, as the temperature is increased more than 40°C, corrosion rate is decreased, which seems to be different from previous research reports. The reason is because the increment of temperature up to the high level causes decrease in the amount of oxygen concentration in the solution and decrease in the rate of cathodic reaction and total corrosion rate consequently.

According to Figure 3, samples show a kind of similar trends in 200 and 300 rpm. In both conditions, corrosion rate decreases as the effect of temperature increases. In these high velocities, corrosion rate is not under the control of concentration polarization anymore because velocity facilitates the ion transport in solution and corrosion rate is not affected by limiting current density as was in stagnant condition. In the absence of concentration polarization issue, temperature decreases the rate of corrosion first by providing a suitable condition for the formation of surface deposit layer and second by causing the decrease in the rate of cathodic reaction through the limitation of dissolved oxygen.

At temperatures up to 40°C, corrosion rate increases as velocity grows, which is confirmed by the research of Melchers (2004). To explain the increasing effect of velocity on corrosion rate at these temperatures, the effect of velocity on iL should be considered. As velocity increases, the thickness of diffusion boundary layer (δ) decreases, which results in an increase in iL as Equation (2) and the rate of corrosion consequently. The relationship between corrosion rate and velocity in laminar and turbulent fluids with diffusion controlled corrosion on the surface of clean metal is as Equation (4) (Bardal, 2004).

This effect is in consistent with the left part of Figure 9 (Bardal, 2004). As Figure 9 shows, at high flow rates, erosion and removal of deposit layer take place and corrosion rate increases. Figure 10 also shows that the effect of fluid velocity on corrosion rate increases through increasing the value of limiting current density. As mentioned, the trend of corrosion rate variation under the effect of temperature is similar at 200 and 300 rpm and they are totally different from stagnant trend.

Figure 9 
            Corrosion rate as a function of (flow velocity)1/2 (active metal) (Bardal, 2004).
Figure 9

Corrosion rate as a function of (flow velocity)1/2 (active metal) (Bardal, 2004).

Figure 10 
            Schematic over voltage curves showing the effect of flow velocity on the corrosion rate through changing iL (active metal) (Bardal, 2004).
Figure 10

Schematic over voltage curves showing the effect of flow velocity on the corrosion rate through changing iL (active metal) (Bardal, 2004).

As Figure 3 shows, corrosion rate is generally increased by velocity, which is acceptably consistent with the approaches of former research (Melchers, 2004).

3.2 Simultaneous effect of salinity and velocity

The simultaneous effect of salinity and velocity is presented in Figure 4. According to Figure 4, generally, by increment of salinity, corrosion rate increases at all velocities, because high salinity results in a higher value of solution conductivity, which increases the rate of corrosion (Mofodi, 2004). This result is totally in agreement with the outcome of previous research at Persian Gulf, which shows an increasing effect of salinity on the rate of corrosion (Ray, Lee, Little, & Lemieux, 2006). The same result achieved by Syed (2006).

The graphs of corrosion rate variation as a function of salinity show similar trends at 200 and 300 rpm and the slope of these two curves is obviously sharper than stagnant one. This kind of similarity between the curves of 200 and 300 rpm differentiates the stagnant condition from turbulent one. According to this figure, at room temperature, corrosion rate is increased by the increase in salinity because the salinity is capable of increasing solution conductivity. In moderate and high velocities, the effect of salinity on corrosion rate is somehow negligible.

At higher salinities, corrosion rate is more susceptible to velocity change and more variation in corrosion rate occurs with the constant increase in velocity. The reason for this phenomenon is that, at higher salinities, the rate of oxygen distribution is limited, so the concentration polarization becomes controlling. In this situation, while the corrosion rate is under the control of concentration polarization, the influence of velocity gets very significant. Velocity assists the distribution of dissolved oxygen, which causes a decrease in the amount of concentration polarization and grows the rate of corrosion consequently. In all salinities, corrosion rate is increased by velocity increment through the effect of velocity on growing iL, which causes an increase in the rate of corrosion. This relationship is presented in Equation (4) and Figure 10 (Bardal, 2004).

3.3 Simultaneous effect of pH and velocity

The simultaneous effect of pH and velocity is shown in Figure 5. Referring to Figure 5, in all pH values, corrosion rate is increased by velocity through the effect explained in Figures 9 and 10, which are on the basis of velocity effect on iL.

In all velocities, corrosion rate is decreased by pH increment. Higher pH values provide more favorable media for the formation of calcareous deposits on the surface of carbon steel samples in seawater environment (Hack & Guanti, 1988; Hartt et al., 1984; Lin & Dexter, 1988). The precipitation of Ca(OH)2 by the pH increase is more likely to occur by the direct combination between calcium and carbonate ion as illustrated in Equations (5) to (8) (Elbeik et al., 1986).

Equation (5) shows the production of carbonate ion through the reaction between the atmospheric carbon dioxide and water. At the pH increase, Equations (6) and (7) are displaced to right. Consequently, the increase in the carbonate ion concentration happens and Equation (8) displaces to right, leading the direct formation of calcium carbonate (Elbeik et al., 1986). Magnesium compounds, Mg(OH)2 in particular, could also contribute to the protective character of calcareous deposits at the pH values above 9.5. However, calcium carbonate is thermodynamically more stable. The formation of surface deposits results in a decrease in the rate of corrosion because the deposit layers are not usually electron conducting; thus, the cathodic reaction has to take place at the metal surface underneath the deposits. This forms a diffusion resistor in series with the usual diffusion resistance in the boundary layer and Equation (2), which is valid for a clean surface, changes to Equation (9) (Elbeik et al., 1986).

where tB is thickness of the deposit, PB is oxygen permeability of the deposit, and tB/PB refers to the diffusion resistance of the layer of deposited substances (Elbeik et al., 1986). The formation of deposit layer at higher pH values results in a decrease in the amount of iL [Equation (9)], which causes a reduction in the rate of corrosion.

At lower pH values, the corrosion rate of carbon steel samples is shown to be more susceptible to velocity increase according to Figure 5. This issue can be explained considering the increasing effect of velocity on the rate of corrosion as presented in Figures 9 and 10. As higher pH values are more favorable condition for the formation of calcareous deposits, by pH increment, the alloy gets more resistant to corrosion rate increase through the resistive effect of deposit layers. The trends of corrosion rate variation under the effect of pH are similar at 200 and 300 rpm and also different from that of stagnant condition, which presents the sharp difference between the effects of turbulent and stagnant media on the rate of corrosion.

3.4 Simultaneous effect of salinity and temperature

Figure 6 illustrates the simultaneous effect of salinity and temperature. At the salinity of 20 (Figure 6) by the increment of temperature, corrosion rate at first increases, which is expected according to the previous studies (Melchers, 2005; Melchers & Chernov, 2010), and then decreases. This variable effect of temperature on corrosion can be considered by Figure 11 (Bardal, 2004). As the left part of Figure 11 shows, corrosion rate is increased first by the temperature. The increasing effect of temperature on the rate of corrosion is explained through its influence on iL increment as shown in Equation (2). However, at higher temperatures, the amount of oxygen concentration is reduced by the temperature increase, causing lower iL, which results in the reduction in corrosion rate as described in Figure 12. This figure represents the effect of oxygen concentration reduction on iL and corrosion rate consequently. As Figure 6 shows, the trend of corrosion rate variation by temperature effect is similar at salinities of 30 and 40, and in both cases, corrosion rate increases as temperature grows. At higher salinities, the rate of oxygen distribution is low and the concentration polarization becomes controlling. In these situations, temperature increase can cause a growth in the rate of corrosion.

Figure 11 
            Effect of temperature increase on the corrosion rate in an open system (Bardal, 2004).
Figure 11

Effect of temperature increase on the corrosion rate in an open system (Bardal, 2004).

Figure 12 
            Effect of oxygen concentration on limiting current density (iL) and corrosion rate (Mofodi, 2004).
Figure 12

Effect of oxygen concentration on limiting current density (iL) and corrosion rate (Mofodi, 2004).

In stagnant condition and mid range of temperature, corrosion rate is decreased by salinity. The difference between this trend and the trend in Figure 4 is related to controversial effects of salinity on corrosion rate. Salinity is capable of decreasing the rate of corrosion as it decreases the amount of dissolved oxygen and applying reduction in the rate of cathodic reaction. On the contrary, salinity can increase the rate of corrosion by increasing the solution conductivity. In Figure 4, at mid and high ranges of velocity, velocity can cancel out the decreasing affect of salinity because, although salinity increase causes decrease in oxygen concentration, velocity enhances the oxygen arrival to the surface and the concentration polarization can be moderated. Thus, the increasing effect of salinity on corrosion rate becomes important and corrosion rate is increased as a result of increase in solution conductivity. However, in Figure 6, not only we do not have the moderating effect of velocity (as it is in stagnant condition) but also we are in the mid range of temperature that enhances the decreasing effect of salinity on the rate of corrosion. As both temperature and salinity are increased, the amount of soluble oxygen concentration is decreased and the rate of corrosion decreases accordingly.

3.5 Simultaneous effect of pH and temperature

Figure 7 represents the simultaneous effect of pH and temperature. As presented in Figure 7, by increasing pH, corrosion rate generally reduces in all temperatures. The reason is that, at higher pH values, there is more possibility of calcareous deposits formation as illustrated in Equations (5) to (8), which makes a reduction in the rate of corrosion by providing a kind of diffusion boundary layer on the surface of metal. In all pH values, as temperature grows, corrosion rate at first is increased and then gets down. As explained before, at first, temperature increment increases the rate of corrosion by the increase of iL value as Equation (2). This effect is presented in the left part of Figure 11. However, when the temperature passes the peak of curve presented in Figure 11, the reduction in the amount of oxygen concentration results in a decrease in iL value (Figure 12) and reduces the rate of corrosion consequently.

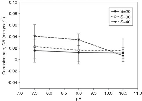
3.6 Simultaneous effect of pH and salinity

In Figure 8, the simultaneous effect of pH and salinity is presented. Considering the simultaneous effect of salinity and pH according to Figure 8, by increasing pH, corrosion rate generally decreases at all salinities because of the pH effect on the formation of deposit layer as described in Equations (5) to (8), and this result is in agreement with the achievements of former researchers (Hack & Guanti, 1988; Hartt et al., 1984; Lin & Dexter, 1988). At pH values up to 9, corrosion rate increases as the salinity grows, similar to the previous studies’ trends (Melchers, 2005; Melchers & Chernov, 2010). The reason for this phenomenon can be explained through the effect of salinity on increasing the value of solution conductivity, which results in an increase in the rate of corrosion. As it is obvious in Figure 8, the effect of salinity on corrosion rate variation is more significant at pH values lower than 9, but at pH 10.5, salinity does not apply a noticeable effect on the variation of corrosion rate because, when pH increases, the calcareous deposits will form on metal surface and make the metal less resistive to corrosion rate variation under the effect of salinity.

4 Conclusion

The corrosion rate variation of AISI 1045 samples is considered under the simultaneous effect of marine parameters in both stagnant and turbulent conditions.

In all considered cases, where velocity effect is studied under the combined action of a second factor, the graph of corrosion rate variation as a function of second parameter is found to follow the same trend at turbulent conditions (200 and 300 rpm) and these trends are totally different from stagnant situation. The similar trends of corrosion rate variation in 200 and 300 rpm happen in all cases that the effect of one particular parameter (salinity, pH, or temperature) is studied with the combined effect of velocity. Therefore, assigning the influence of marine parameters such as temperature, salinity, and pH on the rate of corrosion, the state of solution velocity should be defined because the state of velocity can completely vary the way of corrosion rate variation under the effect of considered factors.

The effect of simultaneous investigation of parameters on the corrosion rate variation of samples is very significant. In all cases, where the results of this research vary from the former researches, this factor is determinant. In most of the past studies, the variation just originated from one type of the investigation. In this research, the simultaneous effect of parameters is considered, which is shown to be completely different from individual ones. In each case, the effect of combined action of parameters on the rate of corrosion shows that the individual effect of each factor can be cancelled out, improved, or moderated as a result of combined action of second factor. This is one of the most significant achievements of this research, which allows investigation of marine parameters effects in the condition very close to real media, while all the factors act and influence simultaneously.

The state of reaction (concentration polarization or activation polarization) plays a critical role on the corrosion rate of these alloys in marine environment. Each considered factor can have an influence on the state of concentration polarization in a different manner and can completely change the effect of other combined acting parameters through shifting the state of reaction between activation polarization and concentration polarization. As an example, the effect of temperature on the corrosion rate is completely different in stagnant and turbulent solution, because the velocity can change the reaction state from concentration polarization to activation polarization.

To clarify the importance of simultaneous investigation of parameters’ effect versus individually, the simultaneously acting factors are capable of reducing or increasing the effect of the considered parameter. As a case, pH increase reduces the effect of velocity increase on the rate of corrosion. In contrast, as the salinity is increased, the effect of velocity on corrosion rate variations is accelerated.


Corresponding author: Sanam Atashin, Department of Materials Science and Engineering, School of Engineering No. 1, Shiraz University, Karimkhan Zand Boulevard, Shiraz, Iran, e-mail:

About the authors

Alisina Toloei

Alisina Toloei is a PhD candidate at the University of Windsor, Windsor, Ontario, Canada. He works on the corrosion properties of polymeric coatings, modified polymer/clay nanocomposites, the effect of surface patterning, roughness, and various environmental parameters on the corrosion of stainless steel, nickel, and carbon steel in different environments.

Sanam Atashin

Sanam Atashin was a graduate student at Shiraz University, Shiraz, Fars, Iran, at the time of this project. She is currently a PhD student and has been involved in corrosion, surface science, coatings, and electrochemistry.

Mahmood Pakshir

Mahmood Pakshir is a professor at Shiraz University. He is a corrosion expert and CP specialist and has performed waste investigations on several aspects of corrosion engineering. He is one of the most active corrosion engineers in Iran and the Middle East. He is one of the main organizers of the Iranian Corrosion Association.

References

Bardal E. Corrosion and protection. London: Springer, 2004.10.1007/b97510Suche in Google Scholar

CDA. Materials for seawater pipeline systems. England: CDA Publication TN38, 1986.Suche in Google Scholar

Cuiwei D, Xiaogang L, Jin G. Prediction system for seawater corrosion of steel based on accumulating of corrosion data and analyzing of artificial neural network. In: 21st International CODATA Conference, Kyiv, Ukraine, 2008.Suche in Google Scholar

D1145. Standard practice for the preparation of substitute ocean water. West Conshohocken: ASTM International, 1999.Suche in Google Scholar

Elbeik S, Tseung ACC, Mackay AL. The formation of calcareous deposits during the corrosion of mild steel in sea water. Corros Sci 1986; 20: 669–680.10.1016/0010-938X(86)90032-6Suche in Google Scholar

Hack HP, Guanti R. Effect of high flow on calcareous deposits and cathodic protection current density. USA: Ship Materials Engineering Department, David Taylor Research Center, 1988.10.5006/C1988-88038Suche in Google Scholar

Hartt W, Culberson C, Smith S. Calcareous deposits on metal surfaces in seawater – a critical review. Corrosion 1984; 40: 609–618.10.5006/1.3581927Suche in Google Scholar

Lee JS, Ray R, Lemieux E. An evaluation of carbon steel corrosion under stagnant seawater conditions. Biofouling 2004; 20: 237–247.10.1080/08927010400013274Suche in Google Scholar PubMed

Lin SH, Dexter SC. Effects of temperature and magnesium ions on calcareous deposition. Corrosion 1988; 44: 615–622.10.5006/1.3584974Suche in Google Scholar

Liu J, Lin Y, Li X. Numerical simulation for carbon steel flow-induced corrosion in high-velocity flow seawater. Anti-Corros Method 2008; 55: 66–72.10.1108/00035590810859430Suche in Google Scholar

McNeill L. Water quality factors influencing iron and lead corrosion in drinking water. Virginia, USA: Faculty of the Virginia Polytechnic Institute and State University, 2000.Suche in Google Scholar

Melchers RE. Mathematical modelling of the diffusion controlled phase in marine immersion corrosion of mild steel. Corros Sci 2003; 45: 923–940.10.1016/S0010-938X(02)00208-1Suche in Google Scholar

Melchers R. Influence of water velocity on marine immersion corrosion of mild steel. Corrosion 2004; 60: 84–94.10.5006/1.3299235Suche in Google Scholar

Melchers RE. Effect of immersion depth on marine corrosion of mild steel. Corrosion 2005; 61: 895–906.10.5006/1.3280659Suche in Google Scholar

Melchers RE. Modelling immersion corrosion of structural steels in natural fresh and brackish waters. Corros Sci 2006; 48: 4174–4201.10.1016/j.corsci.2006.04.012Suche in Google Scholar

Melchers RE. Development of new applied models for steel corrosion in marine applications including shipping. Ships Offshore Struct 2008; 3: 135–144.10.1080/17445300701799851Suche in Google Scholar

Melchers RE, Chernov B. Corrosion loss of mild steel in high temperature hard freshwater. Corros Sci 2010; 52: 449–454.10.1016/j.corsci.2009.10.002Suche in Google Scholar

Mofodi J. Principles of corrosion and protection of metals. Tehran: University of Tehran, 2004.Suche in Google Scholar

Moller H, Boshoff E, Fronemen H. The corrosion behaviour of a low carbon steel in natural and synthetic seawater. J South Afr Inst Mining Metall 2006; 106: 585–592.Suche in Google Scholar

Porte HA. The effect of environment on the corrosion of metals in sea water – a literature survey. USA: Naval Civil Engineering Laboratory, 1967. Technical Note: N-907 y-f020-03-01-003.10.21236/AD0820155Suche in Google Scholar

Ray IR, Lee JS, Little B, Lemieux EJ. Carbon steel corrosion in key west and Persian Gulf seawater at varying oxygen conditions. Naval Research Laboratory, Stennis Space Center, Oceanography Division, 2006.Suche in Google Scholar

Roberge PR. Handbook of corrosion engineering. New York: The McGraw-Hill Companies, 2000.10.5006/C2000-00478Suche in Google Scholar

Roberge PR. Corrosion engineering-corrosion kinetics and applications of electrochemistry to corrosion. USA: The McGraw-Hill Companies, 2005.Suche in Google Scholar

Schumacher MM. Seawater corrosion handbook, corrosion of metals in marine environments – an overview. Berkshire: Noyes Publications, 1979.Suche in Google Scholar

Scribner LL, Taylor SR. The measurement and correction of electrolyte resistance in electrochemical tests. USA: American Society for Testing and Materials, 1990.10.1520/STP1056-EBSuche in Google Scholar

Sefaja J, Malina J. Electrochemical aspects of steel corrosion in sea water. Surf Technol 2002; 26: 369–380.10.1016/0376-4583(85)90100-1Suche in Google Scholar

Syed S. Atmospheric corrosion of materials. Emirates J Eng Res 2006; 11: 1–24.Suche in Google Scholar

Toloei AS. The use of urea-modified clay nanoparticles in epoxy paints to increase the corrosion resistance of carbon steel. DOD Corrosion Conference NACE International, La Quinta, 2011.Suche in Google Scholar

Toloei AS, Atashin S. Modified polymer/clay nanocomposites and corrosion resistance properties. Mater Perform 2013; 52: 38–42.10.5006/MP2013_52_8-38Suche in Google Scholar

Toloei AS, Stoilov V, Northwood DO. A new approach to combating corrosion of metallic materials. Appl Surf Sci 2013a; 284: 242–247.10.1016/j.apsusc.2013.07.088Suche in Google Scholar

Toloei AS, Stoilov V, Northwood DO. The effect of different surface topographies on the corrosion behaviour of nickel. WIT Trans Eng Sci 2013b; 77: 193–204.10.2495/MC130171Suche in Google Scholar

Wan Nik WB, Zulkifli F, Rahman MM, Rosliza R. Corrosion behavior of mild steel in seawater from two different sites of Kuala Terengganu coastal area. Int J Basic Appl Sci 2011; 11: 75–80.Suche in Google Scholar

Yang L. Techniques for corrosion monitoring. Cambridge: Woodhead Publishing Ltd., 2008.10.1533/9781845694050Suche in Google Scholar

Zamanzade M, Shahrabi T, Yazdian A. Improvement of corrosion protection properties of calcareous deposits on carbon steel by pulse cathodic protection in artificial sea water. Anti-Corros Method 2007; 54: 74–81.10.1108/00035590710733566Suche in Google Scholar

Received: 2013-07-23
Accepted: 2013-09-20
Published Online: 2013-11-16
Published in Print: 2013-12-01

©2013 by Walter de Gruyter Berlin Boston

Heruntergeladen am 1.4.2026 von https://www.degruyterbrill.com/document/doi/10.1515/corrrev-2013-0032/html
Button zum nach oben scrollen