Abstract
The purpose of this review is to describe and compare selected traditional and modern extraction methods employed in the isolation of isoflavonoids from plants. Conventional methods such as maceration, percolation, or Soxhlet extraction are still frequently used in phytochemical analysis. Despite their flexibility, traditional extraction techniques have significant drawbacks, including the need for a significant investment of time, energy, and starting material, and a requirement for large amounts of potentially toxic solvents. Moreover, these techniques are difficult to automate, produce considerable amount of waste and pose a risk of degradation of thermolabile compounds. Modern extraction methods, such as: ultrasound-assisted extraction, microwave-assisted extraction, accelerated solvent extraction, supercritical fluid extraction, and negative pressure cavitation extraction, can be regarded as remedies for the aforementioned problems. This manuscript discusses the use of the most relevant extraction techniques in the process of isolation of isoflavonoids, secondary metabolites that have been found to have a plethora of biological and pharmacological activities.
1 Introduction
Isoflavones are 4-benzopyrone derivatives formed in the shikimic acid pathway. The following are the best-known representatives of isoflavones: genistein, with its precursor biochanin A, daidzein, with its precursor formononetin and glycitein, prunetin and purearin, occurring mostly as glycosides (e.g. genistin, daidzin and ononin) (Fig. 1) [1–5].

The structural formulas of some of the isoflavonoids.
Isoflavonoids have demonstrated usefulness in the treatment of diabetes, some allergies, inflammation, bacterial and viral infections and high cholesterol and triglyceride levels [1]. Moreover, they may be useful for the treatment of hormone-dependent diseases, as they bind to the estrogen receptor and behave as selective estrogen receptor agonists or antagonists [6–8]. The effects of these compounds on cells are determined by many factors, including concentration, receptor status, presence or absence of endogenous estrogens, and the identity of the target tissue. Conjugated isoflavones are inactive compounds but become active when the glucose residue is removed. Isoflavonoids bioavailability depends, to a large extent, on the intestinal microflora, since bacterial enzymes in the intestines convert isoflavonoids into various metabolites. Of all known phytoestrogens, this group has been studied most extensively [5–7].
Isoflavonoids occur in large quantities in plants belonging to the families Fabaceae and Iridaceae. They are considered a semi-specific chemotaxonomic marker of Fabaceae and Iridaceae, but they are also found in representatives of Cupressaceae, Liliaceae, Gramineae, Polygonaceae, Ranunculaceae, Lamiaceae, Rosaceae and Apiaceae families [9–11].
The extraction of active compounds from plant material is a key step in the development of analytical methods for phytochemistry. The optimal extraction method should be simple, safe, reproducible, inexpensive, and suitable for industrial applications [12–14]. Moreover, the extract should have the same isoflavone composition and profile as the plant sample. The efficient isolation of analytes requires the optimization of many parameters, including temperature, sample amount, time, and type of extraction solvent.
Extraction of isoflavones is performed using similar principles as for other polyphenols. The process is usually performed with methanol, ethanol, acetonitrile, acetone or their mixtures with water [15]. Isoflavonoids are present in plant material in free forms, called aglycones, but they are present mostly as glycosides.
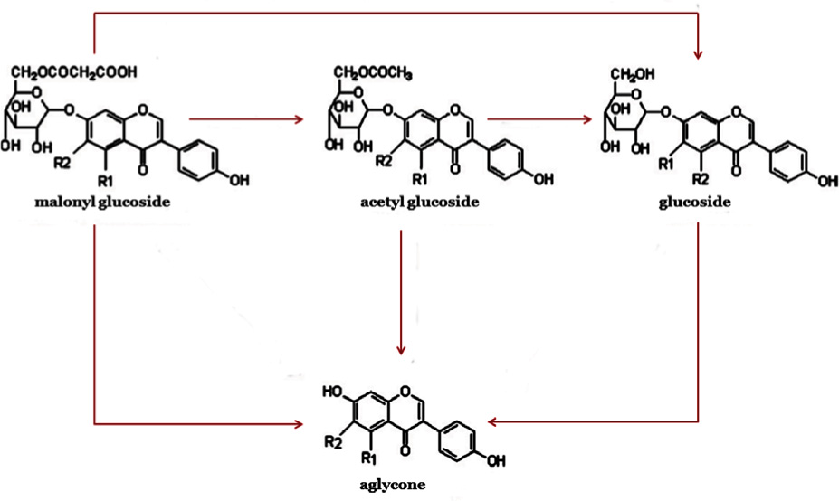
Because glycosides are relatively unstable, the extraction method must be carefully considered in order to preserve the original isoflavone profile. Several studies have shown that isolation at high temperatures causes changes in isoflavone composition due to glycoside decomposition [16–18]. The most common conversions of glycosides occurring during the extraction process are decarboxylation of malonyl glucosides to acetyl glucosides and ester hydrolysis of malonyl and acetyl glucosides to underivatized glucosides. It is also possible for any conjugated isoflavone to generate the aglycone form by cleavage of the glucosidic bond (Fig. 2). Some glycosides, including malonyl and acetyl isoflavones, are particularly unstable [16]. Due to these potential chemical alterations, the use of drastic temperature and pressure conditions and long extraction times may cause degradation of isoflavonoids conjugates, changing the isoflavone profile of the samples and limiting the information obtained. In addition, chemical hydrolysis leads to a marked increase in the concentration of aglycones present in the sample at the expense of the glucosides and hence increase in the available amount of aglycones to be extracted. Therefore, in order to extract the conjugated forms of isoflavonoids intact, mild extraction techniques, such as maceration or negative pressure cavitation extraction, are often favored. In the case of the extraction of aglycones, however, more drastic methods, such as microwave-assisted extraction or accelerated solvent extraction, may be performed.
![Figure 2 The most common occurred isoflavonoid glycosides decomposition [16].](/document/doi/10.1515/chem-2017-0005/asset/graphic/j_chem-2017-0005_fig_002.jpg)
The most common occurred isoflavonoid glycosides decomposition [16].
The principles of Green Chemistry, formulated in 1998 by Anastas and Warner, involve friendly products and processes. Green analytical chemistry (GAC), which emerged from green chemistry [19,20], involves 12 principles designed to make analytical practices more environmentally friendly. The key challenge of GAC is to reach a compromise between the quality of the results and the environmental friendliness of analytical methods.
The most important areas of GAC associated with the extraction of plant isoflavones are:
automation and simplification of the process
increasing operator safety
reduction of sample size, solvent volume and waste production
elimination of toxic reagents
minimization of energy and time.
The goals listed above were concluded in the agreed upon protocol of GAC. Generally, a significant aspect of greening laboratory practices is the need to compromise between the performance parameters (e.g. accuracy, precision, sensitivity) and GAC requirements [19,20].
This paper aims to provide descriptions and comparisons of traditional and modern extraction methods, applied in the isolation of isoflavonoids from plant material, taking into account the major achievements and important areas of discussion in the reviewed field.
2 Traditional methods of extraction of isoflavonoids
Conventional methods, such as infusion, decoction, percolation or maceration, i.e. direct simple solvent extraction, not supported by any additional source of energy, are still frequently used in phytochemistry laboratories. These techniques, as well as extraction under reflux and Soxhlet extraction, had been the most commonly used methods for the extraction of active compounds from plant material until new extraction methods were developed. As a matter of fact, the Soxhlet method is still the most highly cited extraction technique [21]. This method was used for the extraction of isoflavonoids from Dalbergia oliveri (Fabaceae) to examine a growth disruption of Aedes aegypti caused by extracts and isolated isoflavonoids [22]. For this purpose, the authors extracted air-dried and powdered D. oliveri heartwood using organic solvents in the order hexane, dichloromethane, ethyl acetate, and methanol. As the dichloromethane extract containing isoflavonoids was most active against Aedes aegypti, it was fractionated by column chromatography. In the separated fractions, (+)-medicarpin, (±)-violanone, and formononetin were found.
Another very popular traditional technique is extraction under reflux (hot reflux extraction - HRE). This technique was employed in the isolation of six major isoflavonoids from Radix Astragalii (Astragalus membranaceus (Fisch.) Bge. var. mongholicus (Bge.) Hsiao) [23]. The dried roots were heated with methanol and then analyzed by high-performance liquid chromatography (HPLC). HRE and methanol containing 0.1% butylated hydroxytoluene and hydrochloric acid (4:1) were used by Lutz et al. for exhaustive extraction of daidzein and genistein from quinoa seeds (Chenopodium quinoa Willd.) [24]. Hot methanol was used for the isolation of isoflavonoids from Pueraria lobata (Willd.) Ohwi root (kudzu, Gegen), an essential plant used in traditional herbal medicines in the treatment of diabetes, cardiovascular diseases and osteonecrosis [25]. Then the plant extract was fractionated using column chromatography. Puerarin, daidzein, genistein, and daidzin were detected by HPLC analysis of the separated fractions.
Several experiments have shown that extraction at high temperatures (e.g. Soxhlet technique, HRE) causes changes in the isoflavone composition due to conversion of the malonyl forms to acetyl forms, glucosides or even to free aglycones [17,18]. Extraction at room temperature is a preferable technique to avoid degradation of thermolabile compounds. This type of extraction process was performed to evaluate the concentration of isoflavones in chickpea (Cicer arietinum L.) [26]. In this experiment, solid samples were suspended in 80% aqueous methanol with an addition of hydrochloric acid and shaken at room temperature. The extracts obtained by centrifugation were treated with ethyl ether and afterward with ethyl acetate, dried, re-suspended in methanol/water, hydrolyzed, and analyzed by HPLC. Fotso et al. [27] applied extraction at room temperature (using dichloromethane with methanol followed by extraction with methanol) to isolate a new isoflavone, seputheisoflavone, from the root of Ptycholobium contortum (N.E.Br.) Brummitt. A crude extract was partitioned between n-hexane, chloroform, ethyl acetate, and n-butanol. Extensive column chromatography of ethyl acetate and n-butanol fractions yielded three new isoflavonoids. Moreover, four known compounds, genistein, isoliquiritigenin, thonningiol and (-)-medicarpin, were identified. A simple and efficient isolation of biochanin A and genistein from the leaves of Dalbergia odorifera T. Chen was tested by Ma et al. [28]. Extraction of target compounds was carried out at room temperature with the use of 80% ethanol, while isoflavanones from Amorpha fruticosa L. roots were isolated using acetone [29].
In another study, a new process was designed to obtain puerarin [30], daidzein and a total isoflavones fraction [31] from the stem of Pueraria lobata (Willd.) Ohwi by means of a butanol/water two-phase solvent system, alumina column purification, and recrystallization. The findings indicated that this solvent system produced the maximum yield of total isoflavones. Moreover, with the two-phase solvent procedure outlined above, the combination of solid–liquid extraction and liquid–liquid purification is achieved for the separation of daidzein and puerarin. This process, which can be viewed as relatively economically viable, may be adjusted for the production of the analyzed isoflavones on a larger scale.
Elimination of toxic reagents during the extraction procedure was achieved in experiments conducted by Gao et al. [32] and Wang et al. [33] in which kudzu root was extracted with 70% ethanol at room temperature. To remove impurities and further enrich the active ingredients, the extract was diluted with water and purified on a resin column. Compounds present in aqueous solution were adsorbed onto the resin and then desorbed using 70% ethanol. The eluates were collected in fractions, concentrated and analyzed for the content of puerarin, daidzin and daidzein using UV spectroscopy. Another green alternative used for the isolation of isoflavonoids from P. lobata roots was water extraction at room temperature with a subsequent purification and concentration of active compounds by a macroporous resin column [34].
One of the principles of GAC is automation and simplification of analytical procedures. Soxtec extraction meets these requirements. Soxtec is an automated and safe solvent extraction unit based on Soxhlet technique. It utilizes the following processes: boiling, rinsing, solvent recovery and auto-shut down [35]. This equipment (Soxtec HT6) was applied in the isolation of isoflavones (genistein, daidzein, and biochanin A) from Arachis hypogaea L. (peanut) [35]. The compounds of interest were extracted from the samples with ethanol. HPLC analysis confirmed that the Soxtec technique isolated significantly higher amounts of isoflavonoids compared to other methods used in the experiment (ultrasound-assisted extraction and stirring methods). Microwave-assisted extraction was the only technique that produced comparable results. The higher yield of isoflavones obtained with the use of Soxtec may be associated with the conversion of malonyl conjugates to their corresponding ß-glucosides or aglycones at higher temperature. However, the total amount of isoflavones extracted was constant [24,25].
3 Modern isoflavoloid extraction techniques
Even though they can be adapted to suit multiple purposes, traditional extraction techniques do not solve every problem in the field of extraction because they consume a lot of energy and time and require large amounts of solvents (often toxic) and relatively high amounts of starting material. Moreover, traditional extraction methods are difficult to automate, produce considerable amount of waste and pose a risk of degradation of thermolabile compounds. Modern extraction methods can be considered a remedy for these problems, as they are easy to automate, require shorter extraction times and smaller amounts of solvents, and enable simultaneous processing of several samples. These benefits and the greater effectiveness of these methods result from the use of an additional source of energy, apart from heating.
The mechanism of modern techniques is different from the mechanism of simple solvent extraction (e.g. Soxhlet and HRE which depends on a series of permeation and solubilization processes to wash the intracellular constituents out of the plant matrix) [36,16]. For example, during the microwave-assisted extraction of isoflavones, microwave energy is rapidly delivered to the solvent and the plant matrix. The energy is absorbed by polar substances (e.g. water) inside the matrix. Consequently, the internal temperature of the plant cells increases. The superheating causes water vaporization within the cells, which may rupture the cell walls and plasma membranes. Since isoflavones are accumulated primarily in the vacuole and less frequently in the cell wall, the cell disruption can facilitate the mass transfer of extractant into the plant matrix and target compounds into solvent, thus allowing effective extraction [36–38].
3.1 Microwave-assisted extraction (MAE)
MAE was first carried out in 1986 by Ganzler et al who extracted fats from food and pesticides from soil. The major advantages of MAE over conventional methods are its high efficiency, shorter time, and reduced use of solvents as well as a high precision and reproducibility [39–41]. This technique was applied, for example, in the simultaneous extraction of isoflavonoids (puerarin-4-O-glucoside, puerarin-3’-methyoxy-4’O-glucoside, daidzein-4’,7-O-glucoside, puerarin, mirificin, daidzin, 6”-O-xylosylpuerarin, 3’-methoxypuerarin, genistin, sophoraside A, ononin, daidzein, genistein and formononetin) from the root of Pueraria lobata (Wild.) Ohwi and Pueraria thomsonii Benth [42]. The findings showed that the yield of target compounds, extracted by MAE with 65% ethanol at 100 °C, was higher than those obtained with the use of other methods (accelerated solvent extraction (ASE), HRE and sonication).
Other researchers optimized MAE with the response surface methodology for HPLC-fluorescence determination of puerarin and daidzein in P. thomsonii roots [43]. The optimized extraction procedure was carried out by soaking the sample in 70% methanol for 30 minutes. Next, it was subjected to microwave energy (11 min, 600 W). The proposed method demonstrated good recovery, satisfactory precision, and a good linear relation.
Ecofriendly and economical variants of MAE are microwave-assisted aqueous two-phase extraction (MA-ATPE) and deep eutectic solvent-based microwave-assisted extraction (DES-MAE). MA-ATPE was applied in the isolation of genistein and biochanin A from Dalbergia odorifera T. Chen leaves [44]. Ethanol, three salts (dipotassium hydrogen phosphate/ ammonium sulfate/citrate) and deionized water were chosen to construct an aqueous two-phase system (ATPS). A salt was dissolved in deionized water, then ethanol was added and all components were mixed and held until two phases were formed. The formation of an aqueous two-phase system is due to the mutual exclusion of the ions and ethanol and their high affinity for the water molecules. Dipotassium hydrogen phosphate was selected from investigated salts to form the aqueous two-phase system. Compared with traditional MAE and the extraction under reflux, the content of genistein and biochanin A in the extracts increased when the new procedure was applied. Moreover, the phase-forming salt can be recyclable. The new “green approaches” were investigated for the extraction of genistin, genistein, and apigenin from pigeon pea (Cajanus cajan (L.) Millsp.) roots [45]. The optimum conditions for DES-MAE, proposed by the single factor and Box-Behnken design tests, were as follows: extraction with 30% of water in 1,6-hexanediol/choline chloride (7:1, mol mol−1), temperature of 80 °C, time 11 minutes and microwave power of 600 W. The experiments proved the superiority of DES-MAE over other extraction methods, showing higher extraction efficiency in case of the new approach. Studies have shown the potential of MA-ATPE and DES-MAE as ecological methods for fast and efficient extraction of isoflavonoids from plant samples.
3.2 Ultrasound-assisted extraction (UAE)
Ultrasound-assistant extraction is another modern technique that meets the requirements of GAC and offers a high yield of analyzed compounds in a short time as well as simple manipulation, lower energy input and high reproducibility [46]. The enhancement of extraction yield of target compounds during UAE is attributed to cavitation bubbles, which are produced and compressed during sonication. The increase in temperature and pressure, generated by the compression, leads to the degradation of the bubble. Ultrasound energy enhances solvent penetration into cells and increases the surface area of contact between solid and liquid phases. These phenomena combined with the enhanced mass transfer and disruption of cells via cavitation bubble degradation escalate the release of plant metabolites from intracellular structures. Several parameters influence the extraction efficiency. These parameters include temperature and extraction time, polarity and amount of extractant, mass and type of sample, ultrasound frequency and intensity as well as number of pulses applied [37].
Numerous reports demonstrate the application of UAE in the isolation of isoflavonoids from kudzu. For example, Sun et al. [47] employed the ultrasound method with 40% ethanol for extracting puerarin from this material. Huanen et al. [48] obtained isoflavones from the stem of P. lobata. Chen et al. [49] studied the influence of UAE parameters on the extraction rate of puerarin. UAE with ethanol-water mixture was also used to quantify puerarin, daidzin, daidzein and genistein in P. lobatae roots and P. thomsonii roots and to differentiate these two species [50]. Niu et al. [51] extracted isoflavonoids from Radix Puerariae by means of UAE for quality control of plant material.
A comparison of UAE, ASE and traditional solvent extraction to prepare P. lobatae radix extract revealed higher yields of puerarin, daidzin, and daidzein when UAE was used [52]. The extraction yield was higher as the mean size of P. lobatae radix particles decreased while the total accumulated power varied from 20 to 80 MJ at the solid-to-solvent ratios of 1:5 and 1:10 (g ml−1). Another study compared UAE, maceration, and the Soxhlet technique in the extraction of tectoridin, iristectorin B, iristectorin A, tectorigenin, and iristectorigenin A from Iris tectorum [53]. The findings confirmed that, compared with the 18-hour maceration and 6-hour Soxhlet extraction, ultrasound-assisted extraction (with 70% aqueous solution of methanol, at 45 °C, ultrasound power 150 W) produced the highest extraction yields for the five target isoflavones and total isoflavones over 45 minutes. Song et al. [54] isolated eleven major isoflavonoids from the xylem and bark of Radix Astragali by ultrasonication with methanol. Ultrasound-assisted extraction was also effective during the isolation of genistein glycoconjugates from sour cherry (Prunus cerasus L.) [55] and of a complex of isoflavonoids from mung bean (Vigna radiata) [56].
A very interesting experiment was conducted by Pananun et al. [57], who used high-power ultrasonication (HPU) to extract soybean isoflavones from defatted soy. This process has not been studied extensively. In initial work, the researchers extracted soy isoflavones using a rather low-power ultrasound system. The equipment used in the experiment was an HPU unit with a maximum power output of 2.2 kW. HPU increased extraction efficiency by reduction in particle size with cell matrix breakup. HPU with aqueous, acidified acetonitrile was found effective in extracting 1.2 - 1.5 times more genistein compared to conventional techniques. Longer exposure to sonication (3 min) was helpful in extracting more genistein at lower amplitudes only. Longer toasting of defatted soy flakes at 150 °C led to higher aglycone concentration, which increased the total phenolic recovery.
In an attempt to reduce the use of toxic solvents during ultrasound-assisted extraction, ethanol or its mixtures with water [47,50] and ionic liquids were suggested. Ionic liquid-based ultrasonic-assisted extraction (ILUAE) was designed for the effective extraction of puerarin from P. lobatae radix [58]. When drawing a comparison with the traditional ultrasonic-assisted extraction and HRE, the proposed ILUAE revealed a shorter extraction time and notably higher yield of compounds due to the higher penetration ability and solubility of ionic liquid during cavitation.
Higher efficiencies of extraction in comparison to simpler techniques may be achieved by combination of the various energy sources. A study conducted by Hu et al. [59] proposed a new method to quickly extract isoflavones from Pueraria lobata Ohwi by means of the combined microwave-ultrasound experimental setup. Ultrasound extraction was carried out using an ultrasound disintegrator. A microwave oven with a Teflon® evaporating dish was used for drying of the extract. Isolation of isoflavonoids from plant material by ultrasound, together with drying of the extract by means of combined microwave and vacuum technologies, offers an alternative to conventional methods. The time required to extract desired compounds by ultrasonic disruption was 20 times shorter than by extraction under reflux. In addition, the microwave-vacuum method is 10 times faster than the conventional two-step vacuum approach. Moreover, it has been demonstrated that the extraction by ultrasonic disruption and microwave-vacuum drying has no negative influence on the structure and composition of isoflavonoids.
Rostagno et al. [60] examined the extraction efficiency of daidzin, glycitin, genistin, and malonyl genistin from freeze-dried ground soybeans using mix-stirring extraction and ultrasound-assisted extraction while checking different solvents and extraction temperatures. The extraction of soy isoflavones was enhanced by ultrasound, yet still depended on the solvent employed. UAE was carried out in a high-intensity ultrasound probe system of 200 W and 24 kHz with a 2 mm microtip and alternatively in 360 W ultrasonic bath. Three different solvent systems, ethanol, methanol, and acetonitrile at various water contents (between 30 and 70%), and two temperatures (10 and 60 °C) were tested. UAE was proven as a fast and reliable technique and produced better results than the mix-stirring technique. Ultrasonic baths can be replaced by a probe horn as it is yields similar results.
3.3 Negative pressure cavitation extraction (NPCE)
Despite the successes of the use of ultrasound in extraction, there are also some disadvantages of ultrasonic cavitation, for example the possibility of degradation of thermolabile compounds due to high temperatures and ultrasound intensity [61–63]. Therefore, a new type of cavitation, appropriate for the isolation of thermolabile plant metabolites, was introduced - negative pressure cavitation extraction (NPCE). During this process cavitation is generated by negative pressure. It is an effective, simple, low-cost and eco-friendly method, because it maintains a constant lower temperature and its efficiency is not poorer than that of ultrasonic cavitation. During NPCE, a continuous stream of nitrogen is introduced into the extraction system. Under negative pressure, nitrogen bubbles appear and ascend among the liquid–solid system, causing the formation of a highly unstable gas–liquid–solid phase [64]. Moreover, degradation of bubbles generates cavitation phenomena. These processes enhance turbulence, collision and mass transfer between the extracting solvent and the solid matrix. As a result, the analytes are effectively isolated from the matrix to the extractant [65]. NPCE displays a potential to be widely applied in industrial production. There is one more benefit of this method: when carried out at room temperature, it helps reduce or prevent the degradation of thermosensitive compounds [66].
NPCE was developed for the isolation of biochanin A and genistein from leaves of Dalbergia odorifera T. Chen [65]. When juxtaposed with conventional extraction procedures (e.g. extraction under reflux), NPCE reported higher extraction yields of biochanin A and genistein and a higher total phenolic content. Moreover, NPCE extracts possessed higher antioxidant activity. The results showed that NPCE meant lower energy consumption and higher efficiency and that it could work as an alternative method for the isolation of isoflavonoids. Li et al. [67] developed NPCE for isolation of prunetin, tectorigenin, genistein, and biochanin A from D. odorifera leaves by use of deep eutectic solvents (DES). Under optimum conditions, the proposed technique gave satisfactory results concerning extraction yields of four major isoflavonoids. DES-NPCE coupled with macroporous resin column chromatography can be seen as promising alternative for the extraction and preparative separation of isoflavones. Negative pressure cavitation extraction with incubation pretreatment (IP-NPCE) was investigated to extract formononetin and calycosin from Radix Astragali [68]. Under optimum conditions the extraction yields of calycosin and formononetin were 94.67% and 56.63%, respectively, and were higher than those without any incubation pretreatment. These findings clearly confirm that IP-NPC extracts possess higher yields of isolated compounds and show better antioxidant activities when compared to extracts obtained with the use of other extraction methods (HRE, UAE, MAE, NPC). Moreover, this novel extraction method works under milder operating conditions, demonstrates high material throughput, all at a low equipment cost.
3.4 Supercritical fluid extraction (SFE)
Supercritical fluid extraction, one of the green extraction alternatives, exhibits minimal environmental impact and produces a low amount of toxic waste. Supercritical solvents represent intermediates between liquids and gases – the characteristic density of the fluid phase improves solubility but the characteristic viscosity of the gas phase enables better transport properties. Supercritical carbon dioxide (SC-CO2) is the most commonly applied solvent in SFE, because of its easy penetration into plant matrices and its high solvent power. Its efficiency with respect to polar analytes may be increased by adding a co-solvent [69]. Fluid solvation power can be adjusted by modifying pressure and/or temperature, thus allowing a relatively high selectivity [70–72]. High solubility of the target substances in the supercritical extractant is the most important factor for efficiency of the extraction process. [69]. Therefore, many parameters influencing solubility, mass transfer of target compounds in the supercritical fluid, and the resulting yield have to be considered [73].
Several studies reported the influence of extraction parameters, such as temperature, pressure, flowrate, modifier composition and concentration as well as sample particle size, on the extraction efficiency of isoflavonoids. Rostagno et al. [16] showed that higher modifier concentrations (80% methanol in water) resulted in enhanced extraction efficiency of soy isoflavones. This result can be explained by the increase of carbon dioxide polarity without significant change of its density. The highest yields of daidzein, genistein, daidzin and genistin were achieved by increasing pressures (raising the density of SC-CO2) and CO2 flow rates (raising the mass of SC-CO2). Increasing the temperature (from 40 to 70 °C) may increase the solubility of other matrix components in the supercritical fluid and reduce the yield of isoflavones. Araújo et al. [70] established the optimum conditions of SFE for daidzein and genistein from soybean hypocotyls subjected to an earlier thermohydration (pH 5.0, temperature 50 °C). The influence of different conditions, such as temperature, pressure and added modifier (acetonitrile, methanol, ethanol), were examined and compared with traditional SLE (solid–liquid extraction) with 80% aqueous methanol. The SC–CO2 results demonstrated that extraction factors producing the highest yield of daidzein and genistein were as follows: temperature 60 °C, pressure 380 bar, 15 minutes, and 10% acetonitrile content. However, the addition of a modifier did not increase the polarity of the extraction phase enough to make it sufficiently powerful to extract isoflavonoid glycosides. HPLC analysis revealed that the content of daidzein and genistein obtained by means of SLE was superior to that found after SFE. For this reason, SFE may be recommended if quantitative extraction of isoflavones is not required.
3.5 Accelerated solvent extraction (ASE) and pressurized hot water extraction (PHWE)
Accelerated solvent extraction, also known as pressurized liquid extraction (PLE), pressurized fluid extraction and high-pressure solvent extraction, is a procedure that combines elevated temperature (50–200 °C) and pressure (100–140 atm) with liquid solvents to perform fast, safe and efficient extraction of analytes from plant samples. During this method, the recovery of active compounds is enhanced and accelerated by higher temperatures. Moreover, solvent volume can be reduced owing to the high-solute capacity of the heated solvents. Also, high pressure allows an extraction cell to be filled faster and helps to force liquid into a solid matrix. Elevated temperatures enhance a solvent’s diffusivity, resulting in increased extraction kinetics [74–76].
Several variables have been studied for effective extraction of isoflavones using ASE [76–79]. A study conducted by Zgórka described the use of ASE in the micropreparative isolation of isoflavones from plants representing the Trifolium L. genus. The author applied ASE in combination with reversed-phase liquid chromatography (RP-LC) and photodiode-array (PDA) detection for the extraction and determination of target compounds in hydrolyzed extracts obtained from aerial parts of five Trifolium L. species [80]. With a view to enhancing the effectiveness of the ASE procedure, the author explored variable parameters of extraction, such as: methanol and acetone (or their aqueous solutions) as extraction solvents, temperatures and the number of static extraction cycles. The optimum extraction efficiency of biochanin A, formononetin, daidzein, and genistein was obtained using methanol–water (75:25, v/v) as an extraction solvent in a 125 °C oven. In this experiment, ASE offered significant benefits, among them the best efficiency at a lower cost of reagents, a high yield of isoflavone aglycones as well as a relatively high precision and accuracy compared with conventional solvent extraction and UAE.
ASE and capillary electrochromatography techniques were developed for the simultaneous determination of selected isoflavonoids in licorice (dried roots and rhizomes of the Glycyrrhiza species) [81]. In the opening phase, the dried licorice powder was extracted with ethanol. The validated method was successfully applied to the quantitative analysis of selected isoflavonoids in licorice, which supports the efficacy of this method. Chang et al. [82] examined the influence of the ethanol/water ratio and other parameters, including the effects of pressure, temperature, solvent flow rate, and the feed loading, on the efficiency of hot pressurized fluid extraction of isoflavones from soybean flakes. The results indicated that 95% of isoflavones were recovered from these samples using 80% aqueous ethanol.
Considering an increasing importance of green chemistry approaches, the use of water as an ASE extractant is a topic of intense discussion. The dielectric constant of water is the most important parameter in determining its extraction power for a particular compound. Changes in this parameter at increased temperatures and pressures enhance its usefulness as an extractant. For example, at ambient pressure and temperature, water is a polar solvent, but at 300 °C its dielectric constant decreases from 78 to 27 and becomes similar to that of ethanol (ε=24 at 25 °C) or acetone (ε = 20.7 at 25 °C) [16, 69].
In spite of numerous advantages, water may be used as extractant only if quantitative extraction of isoflavones is not required. Water, even at elevated temperatures and under moderate pressure, is not as effective as methanol and ethanol (or their mixtures with water) for the isolation of isoflavones [83]. Moreover, degradation of glucoside and malonyl forms was observed at elevated temperatures during pressurized hot water extraction [84,85].
The use of water as an extractant in the supercritical and subcritical state is also limited because of its high critical temperature and pressure, which contribute to high energy consumption and corrosive properties [86]. Despite the addition of water to the system as a co-solvent it is essential to enhance extraction yield of flavonoids in the course of the various methods [87–90].
3.6 Matrix solid-phase dispersion (MSPD)
A popular alternative to the SLE method is matrix solid-phase dispersion (MSPD) [91–93]. This technique is used for preparation, extraction and fractionation of target compounds. The process can perform homogenization, extraction and clean-up stages simultaneously, and it eliminates most of the problems associated with classical methods. Unlike standard extraction techniques, MSPD is quick and inexpensive, requires less manual labor, uses less solvent and is more eco-compatible [94,95]. A study conducted by Xiao et al. [96] examined MSPD in the isolation of isoflavonoids from Radix astragali. Formononetin, ononin, calycosin and calycosin glycoside and three minor isoflavonoids were found in the extract. MSPD shows acceptable reproducibility, recovery and efficiency along with low solvent and time consumption in relation to the Soxhlet technique and ultrasonication.
4 Conclusions
The choice of technique for the extraction of a desired metabolite from a specific plant needs to balance the efficiency and reproducibility of extraction, the simplicity of the procedure with the cost, time, safety, and the degree of automation. Isoflavonoids are present in plant material in free forms, as aglycones, but mostly as glycosides. Consideration of the ability of extraction methods to preserve the original isoflavone profile is particularly important since some glycosides have a relatively unstable character.
Traditional extraction techniques are not sufficient to perform every job in the extraction field because they consume a lot of energy and time and require large amounts of solvents (often toxic) and a relatively high amount of sample material.
Modern extraction methods bring numerous advantages, including improved yield and selectivity, optimized extraction time, and increased quality and safety of extracts, ease of translation to an industrial scale, and environmental friendliness. We hope that this review will facilitate the laboratory and commercial applications of the most suitable isolation techniques for the isolation of isoflavonoids from plant samples.
References
[1] Kocjan R., Strzemski M., Sowa I., Polski a., Szwerc W., Świeboda R., Blicharski T., Phytoestrogens - classification, occurrence and significance in the prevention and treatment of osteoporosis, Ann. UMCS Sect. DDD, 2011, 24, 195-203.Search in Google Scholar
[2] Aisyah S., Gruppen H., Andini S., Bettonvil M., Severing E., Vincken J.-P., Variation in accumulation of isoflavonoids in Phaseoleae seedlings elicited by Rhizopus, Food Chem., 2016, 196, 694–701.10.1016/j.foodchem.2015.09.110Search in Google Scholar
[3] Dixon R.A., Achnine L., Kota P., Liu C.-J., Reddy M.S.S., Wang L., The phenylpropanoid pathway and plant defence: A genomics perspective, Mol. Plant Pathol., 2002, 3, 371–390.10.1046/j.1364-3703.2002.00131.xSearch in Google Scholar
[4] Ralston L., Subramanian S., Matsuno M., Yu O., Partial reconstruction of flavonoid and isoflavonoid biosynthesis in yeast using soybean type I and type II chalcone isomerases, Plant Physiol., 2005, 137, 1375–1388.10.1104/pp.104.054502Search in Google Scholar
[5] Baber R., Phytoestrogens and post reproductive health, Maturitas, 2010, 66, 344–349.10.1016/j.maturitas.2010.03.023Search in Google Scholar
[6] Lagari V.S, Levis S., Phytoestrogens for menopausal bone loss and climacteric symptoms, J. Steroid. Biochem. Mol. Biol., 2014, 139, 294–301.10.1016/j.jsbmb.2012.12.002Search in Google Scholar
[7] Simons R., Vincken J.-P., Roidos N., Bovee T.F.H., Van lersel M., Verbruggen M. A., Gruppen H., Increasing soy isoflavonoid content and diversity by simultaneous malting and challenging by a fungus to modulate estrogenicity, J. Agric. Food Chem., 2011, 59, 6748–6758.10.1021/jf2010707Search in Google Scholar
[8] Zimmermann M.C., Tilghman S.L., Boué S.M., Salvo V.A., Elliott S., Williams K.Y., Burow M.E., Glyceollin I., A novel antiestrogenic phytoalexin isolated from activated soy, J. Pharmacol. Exp. Ther., 2010, 332, 35–45.10.1124/jpet.109.160382Search in Google Scholar
[9] Veitch, N.C., Isoflavonoids of the Leguminosae, Nat. Prod. Rep., 2007, 24, 417–464.10.1039/b511238aSearch in Google Scholar
[10] Kaufman P.B., Duke J.A., Brielmann H., Boik J., Hoyt J.E., A comparative survey of leguminous plants as sources of the isoflavones, genistein and daidzein: Implications for human nutrition and health, J. Altern. Complement. Med., 1997, 3, 7–12.10.1089/acm.1997.3.7Search in Google Scholar
[11] Mazur W.M., Duke J.A., Wähälä K., Rasku S., Adlercreutz H., Isoflavonoids and lignans in legumes: Nutritional and health aspects in humans, J. Nutr. Biochem., 1998, 9, 193–200.10.1016/S0955-2863(97)00184-8Search in Google Scholar
[12] Vongsak B., Sithisarn P., Mangmool S., Thongpraditchote S., Wongkrajang Y., Gritsanapan W., Maximizing total phenolics, total flavonoids contents and antioxidant activity of Moringa oleifera leaf extract by the appropriate extraction method, Ind. Crops Prod., 2013, 44, 566–571.10.1016/j.indcrop.2012.09.021Search in Google Scholar
[13] Oniszczuk A., Podgórski R., Influence of different extraction methods on the quantification of selected flavonoids and phenolic acids from Tilia cordata inflorescence, Ind. Crops Prod., 2015, 76, 509–514.10.1016/j.indcrop.2015.07.003Search in Google Scholar
[14] Kukuła-Koch W., Baj T., Sieniawska E., Koch W., Widelski J., Luchowska K., Kołodziej B., Głowniak K., Influence of extraction methods on the recovery of astragaloside IV from the roots of Astragalus mongholicus in Soxhlet- and Twisselmann-type apparatus, Open Chem., 2015, 13, 938-942.10.1515/chem-2015-0108Search in Google Scholar
[15] Tsao R., Chemistry and biochemistry of dietary polyphenols, Nutrients 2010, 2, 1231-1246.10.3390/nu2121231Search in Google Scholar
[16] Rostagno M. A., Villares A., Guillamón E., García-Lafuente A., Martínez, J.A., Sample preparation for the analysis of isoflavones from soybeans and soy foods. J. Chrom. A, 2009, 1216, 2-29.10.1016/j.chroma.2008.11.035Search in Google Scholar
[17] Murphy P.A., Barua K., Hauck C.C., Solvent extraction selection in the determination of isoflavones in soy foods, J. Chromatogr. B, 2002, 777, 129-138.10.1016/S1570-0232(02)00342-2Search in Google Scholar
[18] Coward L., Smith M., Kirk M., Barnes S., Chemical modification of isoflavones in soyfoodsSearch in Google Scholar
[19] Gałuszka A., Migaszewski Z., Namieśnik J., The 12 principles of green analytical chemistry and the SIGNIFICANCE mnemonic of green analytical practices, Trends Anal. Chem., 2013, 50, 78–84.10.1016/j.trac.2013.04.010Search in Google Scholar
[20] Pérez, R.L., Escandar G.M., Experimental and chemometric strategies for the development of Green Analytical Chemistry (GAC) spectroscopic methods for the determination of organic pollutants in natural waters, Sustainable Chem. Pharm. 2016, 4, 1-12.10.1016/j.scp.2016.06.003Search in Google Scholar
[21] Luque-Garcia J.L., Luque de Castro M.D., Ultrasound-assisted Soxhlet extraction: an expeditive approach for solid sample treatment. Aplication to the extraction of total fat from oleaginous seeds, J. Chrom. A., 2004, 1034, 237-242.10.1016/j.chroma.2004.02.020Search in Google Scholar PubMed
[22] Pluempanupat S., Kumrungsee N., Pluempanupat W., Ngamkitpinyo K., Chavasiri W., Bullangpoti V., Koul O., Laboratory evaluation of Dalbergia oliveri (Fabaceae: Fabales) extracts and isolated isoflavonoids on Aedes aegypti (Diptera: Culicidae) mosquitoes. Ind. Crops Prod., 2013, 44, 653–658.10.1016/j.indcrop.2012.09.006Search in Google Scholar
[23] Qi L.-W., Yu Q.-T., Li P., Li S.-L., Wang Y.-X., Sheng L.-H., Yi L., Quality evaluation of Radix Astragali through a simultaneous determination of six major active isoflavonoids and four main saponins by high-performance liquid chromatography coupled with diode array and evaporative light scattering detectors, J. Chrom. A., 2006, 1134, 162–169.10.1016/j.chroma.2006.08.085Search in Google Scholar PubMed
[24] Lutz M., Martínez A., Martínez E.A., Daidzein and genistein contents in seeds of quinoa (Chenopodium quinoa Willd.)from local ecotypes grown in arid Chile, Ind. Crops Prod., 2013, 49, 117–121.10.1016/j.indcrop.2013.04.023Search in Google Scholar
[25] Mun S.-C., Mun G.-S., Dynamics of phytoestrogen, isoflavonoids, and its isolation from stems of Pueraria lobata (Willd.) Ohwi growing in Democratic People’s Republic of Korea, J. Food Drug Anal., 2015, 23, 538-544. during cooking and processing, Am. J. Clin. Nutr. 1998, 68 (Suppl. 6), 1486S-1491S.10.1016/j.jfda.2015.04.003Search in Google Scholar PubMed
[26] Megías C., Cortés-Giraldo I., Alaiz M., Vioque J., Girón-Calle J., Isoflavones in chickpea (Cicer arietinum) protein concentrates. J. Funct. Foods, 2016, 21, 186–192.10.1016/j.jff.2015.12.012Search in Google Scholar
[27] Fotso G.W., Maher F.A., Ngnintedo D., Ango P.Y., Kapche D.G.F.W., Ngameni B., Ngwenya B., Yeboah S.O., Ngadjui B.T., Andrae-Marobela K., Three new isoflavonoids with antioxidant properties from Ptycholobium contortum (N.E.Br.) Brummitt (Leguminosae), Phytochem. Lett., 2015, 14, 254–259.10.1016/j.phytol.2015.10.015Search in Google Scholar
[28] Ma F.-Y., Luo M., Zhao C.-J., Li C.-Y., Wang W., Gu C.-B., Wei Z.-F., Zu Y.-G., Fu Y.-J., Simple and efficient preparation of biochanin A and genistein from Dalbergia odorifera T. Chen leaves using macroporous resin followed by flash chromatography, Sep. Purif. Techn., 2013, 120, 310–318.10.1016/j.seppur.2013.09.035Search in Google Scholar
[29] Kim Y. S., Ryu Y. B., Curtis-Long M.J., Yuk H.J., Cho J.K., Kim J. Y., Kim K.D., Lee W. S., Park K.H., Flavanones and carotenoids from the roots of Amorpha fruticosa L. that inhibit bacterial neuraminidase, Food Chem. Toxicol., 2011, 49, 1849–1856.10.1016/j.fct.2011.04.038Search in Google Scholar PubMed
[30] Xu H.-N., He C.-H., Separation and purification of puerarin with solvent extraction, Sep. Purif. Technol., 2007, 56, 397–400.10.1016/j.seppur.2007.06.003Search in Google Scholar
[31] Xu H.-N., He C.-H., Extraction of isoflavones from stem of Pueraria lobata (Willd.) Ohwi using n-butanol/water two-phase solvent system and separation of daidzein. Sep. Purif. Techn., 2007, 56, 85–89.10.1016/j.seppur.2007.01.027Search in Google Scholar
[32] Gao Y., Wang X., He C., An isoflavonoid-enriched extract from Pueraria lobata (kudzu) root protects human umbilical vein endothelial cells against oxidative stress induced apoptosis, J. Ethnopharm. 2016, 193, 524–530.10.1016/j.jep.2016.10.005Search in Google Scholar PubMed
[33] Wang P., Zhang H., Yang H., Nie L., Zang H., Rapid determination of major bioactive isoflavonoid compounds during the extraction process of kudzu (Pueraria lobata) by near-infrared transmission spectroscopy, Spectrochim. Acta A, 2015, 137, 1403–1408.10.1016/j.saa.2014.09.002Search in Google Scholar
[34] Xiao B.-X., Feng L., Cao F.-R., Pan R.-L., Liao Y.-H., Liu X.-M., Chang Q., Pharmacokinetic profiles of the five isoflavonoids from Pueraria lobata roots in the CSF and plasma of rats, J. Ethnopharmacol. 2016, 184, 22–29.10.1016/j.jep.2016.02.027Search in Google Scholar
[35] Chukwumah Y.C., Walker L.T., Verghese M., Bokanga M., Ogutu S., Alphonse K., Comparison of extraction methods for the quantification of selected phytochemicals in peanuts (Arachis hypogaea), J. Agric. Food Chem., 2007, 55, 285-290.10.1021/jf062148tSearch in Google Scholar
[36] Gao M., Huang W., Moytri R.C., Liu C., Microwave assisted extraction of scutellarin from Erigeron breviscapus Hand-Mazz and its determination by high-performance liquid chromatography, Anal. Chim. Acta, 2007, 591, 161-166.10.1016/j.aca.2007.04.004Search in Google Scholar
[37] Zhou H., Liu C., Microwave-assisted extraction of solanesol from tobacco leaves. J. Chrom. A, 2006, 1129, 135-139.10.1016/j.chroma.2006.07.083Search in Google Scholar
[38] Zhang H.F., Yang X.H., Zhao L.D., Wang Y., Ultrasonic assisted extraction of epimedin C from fresh leaves of Epimedium and extraction mechanism, 2009, Innov. Food Sci. Emerg. Technol. 2009, 10, 54-60.10.1016/j.ifset.2008.09.007Search in Google Scholar
[39] Ong E.S., Extraction methods and chemical standardization of botanicals and herbal preparations, J. Chrom B., 2004, 812, 23–33.10.1016/S1570-0232(04)00647-6Search in Google Scholar
[40] Pan X., Niu G., Liu H., Microwave-assisted extraction of tea polyphenols and tea caffeine from green tea leaves, Chem. Eng. Process., 2003, 42, 129-133.10.1016/S0255-2701(02)00037-5Search in Google Scholar
[41] Zhang Q., Zhao S., Chen J., Zhang L., Application of ionic liquid-based microwave-assisted extraction of flavonoids from Scutellaria baicalensis Georgi, J. Chrom. B, 2015, 1002, 411–417.10.1016/j.jchromb.2015.08.021Search in Google Scholar PubMed
[42] Du G., Zhao H.Y., Zhang Q.W., Li G.H., Yang F.Q., Wang Y., Li Y.C., Wang Y.T., A rapid method for simultaneous determination of 14 phenolic compounds in Radix Puerariae using microwave-assisted extraction and ultra-high performance liquid chromatography coupled with diode array detection and time-of-flight mass spectrometry, J. Chrom. A., 2010, 1217, 705–714.10.1016/j.chroma.2009.12.017Search in Google Scholar PubMed
[43] Liu Y.-K., Yan E., Zhan H.-Y., Zhang Z.-Q., Response surface optimization of microwave-assisted extraction for HPLC-fluorescence determination of puerarin and daidzein in Radix Puerariae thomsonii, J. Pharm. Anal., 2011, 1, 13-19.10.1016/S2095-1779(11)70003-XSearch in Google Scholar
[44] Ma F.-Y., Gu C.-B., Li C.-Y., Luo M., Wang W., Zu Y.-G., Li J., Fu Y.-J., Microwave-assisted aqueous two-phase extraction of isoflavonoids from Dalbergia odorifera T. Chen leaves, Sep. Purif. Techn., 2013, 115, 136–144.10.1016/j.seppur.2013.05.003Search in Google Scholar
[45] Cui Q., Peng X., Yao X.-H., Wei Z.-F., Luo M., Wang W., Zhao C.-J., Fu Y.-J., Zu Y.-G., Deep eutectic solvent-based microwave-assisted extraction of genistin, genistein and apigenin from pigeon pea roots, Sep. Purif. Techn., 2015, 150, 63–72.10.1016/j.seppur.2015.06.026Search in Google Scholar
[46] Chemat F., Rombaut N., Sicaire A.-G., Meullemiestre A., Fabiano-Tixier A.-S., Abert-Vian M., Ultrasound assisted extraction of food and natural products. Mechanisms, techniques, combinations, protocols and applications. A review, Ultrason. Sonochem., 2017, 34, 540–560.10.1016/j.ultsonch.2016.06.035Search in Google Scholar
[47] Sun B.-L., Yang Y.-F., Hu X., Xie X.-X., Meucci J., Fang M., Zhao L.-J., Purification of puerarin from Pueraria lobata by FCPC versus HSCCC using small-volume columns, Chin. Herb. Med, 2014, 6(2), 140-144.10.1016/S1674-6384(14)60022-8Search in Google Scholar
[48] Huaneng X., Yingxin Z., Chaohong H., Ultrasonically assisted extraction of isoflavones from stem of Pueraria Zobata (Willd.) Ohwi and its mathematical model, Chin. J. Chem. Eng., 2007, 15, 861-867.10.1016/S1004-9541(08)60015-4Search in Google Scholar
[49] Chen J., Huang X., Qi Y., Qi X., Guo Q., Process optimization of ultrasonic extraction of puerarin based on support vector machine from stem of Pueraria Zobata (Willd.) Ohwi and its mathematical model, Chin J. Chem. Eng., 2014, 22, 735–741.10.1016/j.cjche.2014.05.010Search in Google Scholar
[50] Zeng A., Xing J., Wang C., Song J., Li C., Yang X., Yang G., Simultaneous analysis and retention behavior of major isoflavonoids in Radix Puerariae lobatae and Radix Puerariae thomsonii by high performance liquid chromatography with cyclodextrins as a mobile phase modifier, Anal. Chim. Acta, 2012, 712, 145–151.10.1016/j.aca.2011.10.061Search in Google Scholar PubMed
[51] Niu Y., Li H., Dong J., Wang H., Hashi Y., Chen S., Identification of isoflavonoids in Radix Puerariae for quality control using on-line high performance liquid chromatography-diode array detector-electrospray ionization-mass spectrometry coupled with post-column derivatization, Food Res. Int., 2012, 48, 528–537.10.1016/j.foodres.2012.05.021Search in Google Scholar
[52] Lee M.-H., Lin C.-C., Comparison of techniques for extraction of isoflavones from the root of Radix Puerariae: Ultrasonic and pressurized solvent extractions, Food Chem., 2007, 105, 223–228.10.1016/j.foodchem.2006.11.009Search in Google Scholar
[53] Sun Y., Liu Z., Wang J., Ultrasound-assisted extraction of five isoflavones from Iris tectorum Maxim, Sep. Purif. Techn., 2011, 78, 49–54.10.1016/j.seppur.2011.01.017Search in Google Scholar
[54] Song J.-Z., Yiu H.H.W., Qiao C.-F., Han Q.-B., Xu H.X., Chemical comparison and classification of Radix Astragali by determination of isoflavonoids and astragalosides, J. Pharm. Biomed. Anal., 2008, 47, 399–406.10.1016/j.jpba.2007.12.036Search in Google Scholar
[55] Abrankó L., Nagy A., Szilvássy B., Stefanovits-Bányai E., Hegedűs A., Genistein isoflavone glycoconjugates in sour cherry (Prunus cerasus L.) Cultivars, Food Chem., 2015, 166, 215–222.10.1016/j.foodchem.2014.06.007Search in Google Scholar
[56] Prokudina E.A., Havliček L., Al-Maharik N., Lapik O., Strnad M., Gruz J., Rapid UPLC–ESI–MS/MS method for the analysis of isoflavonoids and other phenylpropanoids, J. Food Compos. Anal., 2012, 26, 36–42.10.1016/j.jfca.2011.12.001Search in Google Scholar
[57] Pananun T., Montalbo-Lomboy M., Noomhorm A., Grewell D., Lamsal B., High-power ultrasonication-assisted extraction of soybean isoflavones and effect of toasting, Food Sci. Techn., 2012, 47, 199-207.10.1016/j.lwt.2011.12.003Search in Google Scholar
[58] Fan J.-P., Cao Jing, Zhang X.-H., Huang J.-Z., Kong T., Tong S., Tian Z.-Y., Xie Y.-L., Xu R., Zhu J.-H., Optimization of ionic liquid based ultrasonic assisted extraction of puerarin from Radix Puerariae lobatae by response surface methodology, Food Chem., 2012, 135, 2299–2306.10.1016/j.foodchem.2012.07.038Search in Google Scholar
[59] Hu Y., Wang T., Wang M., Han S., Wan P., Fan M., Extraction of isoflavonoids from Pueraria by combining ultrasound with microwave vacuum, Chem. Eng. Process., 2008, 47, 2256– 2261.10.1016/j.cep.2007.12.013Search in Google Scholar
[60] Rostagno M.A., Palma M., Barroso C.G., Ultrasound-assisted extraction of soy isoflavones, J. Chrom. A, 2003, 1012, 119–128.10.1016/S0021-9673(03)01184-1Search in Google Scholar
[61] Desai V., Shenoy M.A., Gogate P.R., Degradation of polypropylene using ultrasound-induced acoustic cavitation, Chem. Eng. J., 2008, 140, 483–487.10.1016/j.cej.2007.11.030Search in Google Scholar
[62] Mahamuni N.N., Pandit B.A., Effect of additives on ultrasonic degradation of phenol, Ultrason. Sonochem., 2006, 13, 165–174.10.1016/j.ultsonch.2005.01.004Search in Google Scholar PubMed
[63] Wang B., Wang Q., Liancai Z., Fengwei Y., Degrade naphthalene using cells immobilized combining with low-intensity ultrasonic technique, Colloid Surf. B, 2007, 57, 17–21.10.1016/j.colsurfb.2006.12.003Search in Google Scholar
[64] Liu W., Fu Y.J, Zu Y.G., Kong Y., Zhang L., Zu B.S., Efferth T., Negative-pressure cavitation extraction for the determination of flavonoids in pigeon pea leaves by liquid chromatography– tandem mass spectrometry, J. Chromatogr. A, 2009, 1216, 3841–3850.10.1016/j.chroma.2009.02.073Search in Google Scholar
[65] Zhang D.-Y., Zu Y.-G., Fu Y.-J., Luo, M. Gu C.-B., Wang W, Yao X.-H., Negative pressure cavitation extraction and antioxidant activity of biochanin A and genistein from the leaves of Dalbergia odorifera T. Chen, Sep. Purif. Techn., 2011, 83, 91–99.10.1016/j.seppur.2011.09.017Search in Google Scholar
[66] Roohinejad S., Kouba M., Barba F.J., Greiner R., Orlien V.,. Lebovka N.I., Negative pressure cavitation extraction: A novel method for extraction of food bioactive compounds from plant materials, Trends Food Sci. Techn., 2016, 52, 98-108.10.1016/j.tifs.2016.04.005Search in Google Scholar
[67] Li L., Liu J.-Z., Luo M., Wang W., Huang Y.-Y., Efferth T., Wang H.-M., Fu Y.-L., Efficient extraction and preparative separation of four main isoflavonoids from Dalbergia odorifera T. Chen leaves by deep eutectic solvents-based negative pressure cavitation extraction followed by macroporous resin column, J. Chrom. B, 2016, 1033–1034, 40–48.10.1016/j.jchromb.2016.08.005Search in Google Scholar
[68] Zhao B.-S., Fu Y.-J., Wang W., Zu Y.-G., Gu C.B., Luo M., Efferth T., Enhanced extraction of isoflavonoids from Radix Astragali by incubation pretreatment combined with negative pressure cavitation and its antioxidant activity, Innov. Food Sci. Emerg. Tech. 2011, 12, 577–585.10.1016/j.ifset.2011.05.003Search in Google Scholar
[69] Brglez Mojzer E., Knez Hrnčič M., Škerget M., Knez Ž., Bren U., Polyphenols: Extraction methods, antioxidative action, bioavailability and anticarcinogenic effects, Molecules 2016, 21, 901; doi:10.3390/molecules21070901doi:10.3390/molecules21070901Search in Google Scholar
[70] Araújo J.M.A., Silva M.V., Chaves J.B.P., Supercritical fluid extraction of daidzein and genistein isoflavones from soybean hypocotyl after hydrolysis with endogenous β-glucosidases, Food Chem., 2007, 105, 266–272.10.1016/j.foodchem.2006.11.019Search in Google Scholar
[71] Tura D., Robards K., Sample handling strategies for the determination of biophenols in food and plants, J. Chrom. A, 2002, 975, 71–93.10.1016/S0021-9673(02)00879-8Search in Google Scholar
[72] Solana M., Mirofci S., Bertucco A., Production of phenolic and glucosinolate extracts from rocket salad by supercritical fluid extraction: Process design and cost benefits analysis, J. Food Eng., 2016, 168, 35–41.10.1016/j.jfoodeng.2015.07.017Search in Google Scholar
[73] Kikic I., Lora M., Bertucco A.A., Thermodynamic Analysis of three-phase equilibria in binary and ternary systems for applications in rapid expansion of a supercritical solution (RESS), particles from gas-saturated solutions (PGSS), and supercritical antisolvent (SAS), Ind. Eng. Chem. Res. 1997, 36, 5507–551510.1021/ie970376uSearch in Google Scholar
[74] Barros F., Dykes L., Awika J.M., Rooney L.W., Accelerated solvent extraction of phenolic compounds from sorghum brans, J. Cereal Sci., 2013, 58, 305-312.10.1016/j.jcs.2013.05.011Search in Google Scholar
[75] Wianowska M.Ł,. Hajnos A.L., Dawidowicz A., Oniszczuk A., Waksmundzka-Hajnos M., Głowniak K., Extraction methods of 10-deacetylbaccatin III, paclitaxel, and cephalomannine from Taxus baccata L. twigs: A comparison, J. Liq. Chromatogr. Relat. Technol. 2009, 32, 589-601.10.1080/10826070802671622Search in Google Scholar
[76] Waksmundzka-Hajnos M., Wianowska D., Oniszczuk A., Dawidowicz A.L., Effect of sample-preparation methods on the quantification of selected flavonoids in plant materials by high performance liquid chromatography, Acta Chromatogr., 2008, 20, 475–488.10.1556/AChrom.20.2008.3.13Search in Google Scholar
[77] Karabegović I.T., Stojičević S.S., Veličković D.T., Todorović Z.B.,. Nikolić N., Lazić M.L., The effect of different extraction techniques on the compositionand antioxidant activity of cherry laurel (Prunus laurocerasus) leaf and fruit extracts, Ind. Crop. Prod., 2014, 54, 142–148.10.1016/j.indcrop.2013.12.047Search in Google Scholar
[78] Nour V., Trandafir I., Cosmulescu S., Antioxidant capacity, phenolic compounds and minerals content of blackcurrant (Ribes nigrum L.) leaves as influenced by harvesting date and extraction method, Ind. Crop. Prod., 2014, 53, 133–139.10.1016/j.indcrop.2013.12.022Search in Google Scholar
[79] Bajerová P., Adam M., Bajer T., Ventura K., Comparison of various techniques for the extraction and determination of antioxidants in plants, J. Sep. Sci., 2014, 37, 835–844.10.1002/jssc.201301139Search in Google Scholar PubMed
[80] Zgórka G., Pressurized liquid extraction versus other extraction techniques in micropreparative isolation of pharmacologically active isoflavones from Trifolium L. species, Talanta, 2009, 79, 46–53.10.1016/j.talanta.2009.03.011Search in Google Scholar PubMed
[81] Chen X.J., Zhao J., Meng Q., Li S.P., Wang Y.T., Simultaneous determination of five flavonoids in licorice using pressurized liquid extraction and capillary electrochromatography coupled with peak suppression diode array detection, J. Chrom. A., 2009, 1216, 7329–7335.10.1016/j.chroma.2009.08.034Search in Google Scholar PubMed
[82] Chang L.-C., Chang C.-M.J., Continuous hot pressurized fluids extraction of isoflavones and soyasaponins from defatted soybean flakes, J. Chin. Inst. Chem. Eng., 2007, 313–319.10.1016/j.jcice.2007.03.003Search in Google Scholar
[83] Li-Hsun C., Ya-Chuan C., Chieh-Ming C., Extracting and purifying isoflavones from defatted soybean flakes using superheated water at elevated pressures, Food Chem., 2004, 84, 279–285.10.1016/S0308-8146(03)00212-7Search in Google Scholar
[84] Jung S., Murphy P.A., Sala I., Isoflavone profiles of soymilk as affected by high-pressure treatments of soymilk and soybeans, Food Chem., 2008, 111, 592–598.10.1016/j.foodchem.2008.04.025Search in Google Scholar
[85] Moras B., Rey S., Vilarem G., Pontalier P.-V., Pressurized water extraction of isoflavones by experimental design from soybean flour and Soybean Protein Isolate, Food Chem., 2017, 214, 9–15.10.1016/j.foodchem.2016.07.053Search in Google Scholar PubMed
[86] Dai J., Mumper J.R., Plant Phenolics: Extraction, analysis and their antioxidant and anticancer properties, Molecules 2010, 15, 7313–7352.10.3390/molecules15107313Search in Google Scholar PubMed PubMed Central
[87] Silvia Martins, Cristóbal N. Aguilar, José A. Teixeira, Solange I. Mussatto. Bioactive compounds (phytoestrogens) recovery from Larrea tridentata leaves by solvents extraction, Sep. Purif. Technol., 2012, 88, 163–167.10.1016/j.seppur.2011.12.020Search in Google Scholar
[88] Da Porto C., Porretto E., Decorti D., Comparison of ultrasound-assisted extraction with conventional extraction methods of oil and polyphenols from grape (Vitis vinifera L.) seeds, Ultrason. Sonochem., 2013, 20, 1076–1080.10.1016/j.ultsonch.2012.12.002Search in Google Scholar PubMed
[89] Oniszczuk A., Wójtowicz A., Oniszczuk T., Olech M., Nowak R., Wojtunik K., Klimek M., Krawczyk W., Hajnos M., Extruded corn gruels containing linden flowers: quantitation of phenolic compounds and selected quality characteristics, Open Chem., 2015, 13, 1209–1217.10.1515/chem-2015-0138Search in Google Scholar
[90] Bi P.-Y., Dong H.-R., Yuan Y.-C., Application of aqueous two-phase flotation in the separation and concentration of puerarin from Puerariae extract, Sep. Purif. Techn., 2010, 75 402–406.10.1016/j.seppur.2010.09.010Search in Google Scholar
[91] Barker S.A., Matrix solid phase dispersion (MSPD), J. Biochem. Biophys. Methods., 2007, 70, 151-162.10.1201/9781420056242.ch13Search in Google Scholar
[92] Kristenson M.E., Ramous L., Brinkman U., Recent advances in matrix solid-phase dispersion, Trends Anal. Chem. 2006, 25, 96–111.10.1016/j.trac.2005.05.011Search in Google Scholar
[93] Visnevschi-Necrasov T., Cunha C.S, Nunes E., Oliveira M.B.P.P., Optimization of matrix solid-phase dispersion extraction method for the analysis of isoflavones in Trifolium pretense, J. Chromatogr. A, 2009, 1216, 3720-3724.10.1016/j.chroma.2009.02.081Search in Google Scholar PubMed
[94] Hong B., Wang Z., Xu T., Li C., Li W., Matrix solid-phase dispersion extraction followed by high performance liquid chromatography-diode array detection and ultra-performance liquid chromatography–quadrupole–time of flight–mass spectrometer method for the determination of the main compounds from Carthamus tinctorius L. (Hong-hua), J. Pharm. Biomed. Anal., 2015, 107, 464–472.10.1016/j.jpba.2015.01.040Search in Google Scholar PubMed
[95] Capriotti A.L., Cavaliere C., Giansanti P., Gubbiotti R., Samperi R., Laganà A., Recent developments in matrix solid-phase dispersion extraction, J. Chromatogr. A, 2010, 1217, 2521-2532.10.1016/j.chroma.2010.01.030Search in Google Scholar PubMed
[96] Xiao H.B., Krucker M., Albert K., Liang X.M., Determination and identification of isoflavonoids in Radix astragali by matrix solid-phase dispersion extraction and high-performance liquid chromatography with photodiode array and mass spectrometric detection, J. Chromatogr. A, 2004, 1032, 117–124.10.1016/j.chroma.2003.09.032Search in Google Scholar PubMed
© 2017 Tomasz Blicharski, Anna Oniszczuk
This work is licensed under the Creative Commons Attribution-NonCommercial-NoDerivatives 3.0 License.
Articles in the same Issue
- Regular Articles
- Rare Coumarins Induce Apoptosis, G1 Cell Block and Reduce RNA Content in HL60 Cells
- Regular Articles
- Evaluation of the photocatalytic ability of a sol-gel-derived MgO-ZrO2 oxide material
- Regular Articles
- Extraction Methods for the Isolation of Isoflavonoids from Plant Material
- Regular Articles
- Micro and nanocomposites of polybutadienebased polyurethane liners with mineral fillers and nanoclay: thermal and mechanical properties
- Regular Articles
- Effect of pH on Structural, Magnetic and FMR Properties of Hydrothermally Prepared Nano Ni Ferrite
- Regular Articles
- Statistical approach to study of lithium magnesium metaborate glasses
- Regular Articles
- The effectiveness of biodrying waste treatment in full scale reactor
- Regular Articles
- Chemical comparison of the underground parts of Valeriana officinalis and Valeriana turkestanica from Poland and Kazakhstan
- Regular Articles
- Phytochemical Characterization and Biological Evaluation of the Aqueous and Supercritical Fluid Extracts from Salvia sclareoides Brot
- Regular Articles
- Recent Microextraction Techniques for Determination and Chemical Speciation of Selenium
- Regular Articles
- Compost leachate treatment using polyaluminium chloride and nanofiltration
- Regular Articles
- Facile and Effective Synthesis of Praseodymium Tungstate Nanoparticles through an Optimized Procedure and Investigation of Photocatalytic Activity
- Regular Articles
- Computational Study on Non-linear Optical and Absorption Properties of Benzothiazole based Dyes: Tunable Electron-Withdrawing Strength and Reverse Polarity
- Regular Articles
- Comparative sorption studies of chromate by nano-and-micro sized Fe2O3 particles
- Regular Articles
- Recycling Monoethylene Glycol (MEG) from the Recirculating Waste of an Ethylene Oxide Unit
- Regular Articles
- Antimicrobial activity and thiosulfinates profile of a formulation based on Allium cepa L. extract
- Regular Articles
- The effect of catalyst precursors and conditions of preparing Pt and Pd-Pt catalysts on their activity in the oxidation of hexane
- Regular Articles
- Platinum and vanadate Bioactive Complexes of Glycoside Naringin and Phenolates
- Regular Articles
- Antimicrobial sesquiterpenoids from Laurencia obtusa Lamouroux
- Regular Articles
- Comprehensive spectroscopic (FT-IR, FT-Raman, 1H and 13C NMR) identification and computational studies on 1-acetyl-1H-indole-2,3-dione
- Regular Articles
- A combined experimental and theoretical study on vibrational and electronic properties of (5-methoxy-1H-indol-1-yl)(5-methoxy-1H-indol-2-yl)methanone
- Regular Articles
- Erratum to: Analysis of oligonucleotides by liquid chromatography with alkylamide stationary phase
- Regular Articles
- Non-isothermal Crystallization, Thermal Stability, and Mechanical Performance of Poly(L-lactic acid)/Barium Phenylphosphonate Systems
- Regular Articles
- Vortex assisted-supramolecular solvent based microextraction coupled with spectrophotometric determination of triclosan in environmental water samples
- Regular Articles
- Investigation on Two Compounds of O,O’-dithiophosphate Derivatives as Corrosion Inhibitors for Q235 Steel in Hydrochloric Acid Solution
- Regular Articles
- Evaluation of temporary seasonal variation of heavy metals and their potential ecological risk in Nzhelele River, South Africa
- Regular Articles
- Synthesis, characterization, second and third order non-linear optical properties and luminescence properties of 1,10-phenanthroline-2,9-di(carboxaldehyde phenylhydrazone) and its transition metal complexes
- Regular Articles
- Spectrodensitometric simultaneous determination of esomeprazole and domperidone in human plasma
- Regular Articles
- Computer-aided drug design of capuramycin analogues as anti-tuberculosis antibiotics by 3D-QSAR and molecular docking
- Regular Articles
- Synthesis, characterization, thermal degradation and urease inhibitory studies of the new hydrazide based Schiff base ligand 2-(2-hydroxyphenyl)-3-{[(E)-(2-hydroxyphenyl)methylidene]amino}-2,3-dihydroquinazolin-4(1H)-one
- Regular Articles
- Quaternary salts derived from 3-substituted quinuclidine as potential antioxidative and antimicrobial agents
- Regular Articles
- Bio-concentration of Polycyclic Aromatic Hydrocarbons in the grey Mangrove (Avicennia marina) along eastern coast of the Red Sea
- Regular Articles
- Quantitative Investigation of Roasting-magnetic Separation for Hematite Oolitic-ores: Mechanisms and Industrial Application
- Regular Articles
- Photobleaching characteristics of α-(8-quinolinoxy) zinc phthalocyanine, a new type of amphipathic complex
- Regular Articles
- Methane dry reforming over Ni catalysts supported on Ce–Zr oxides prepared by a route involving supercritical fluids
- Regular Articles
- Thermodynamic Compatibility, Crystallizability, Thermal, Mechanical Properties and Oil Resistance Characteristics of Nanostructure Poly (ethylene-co-methyl acrylate)/Poly(acrylonitrile-co-butadiene) Blends
- Regular Articles
- The crystal structure of compositionally homogeneous mixed ceria-zirconia oxides by high resolution X-ray and neutron diffraction methods
- Topical Issue on Agriculture
- Properties of the filtrate from treatment of pig manure by filtration method
- Topical Issue on Agriculture
- Monitoring content of cadmium, calcium, copper, iron, lead, magnesium and manganese in tea leaves by electrothermal and flame atomizer atomic absorption spectrometry
- Topical Issue on Catalysis
- Application of screen-printed carbon electrode modified with lead in stripping analysis of Cd(II)
- Topical Issue on Research for Natural Bioactive Products
- Burdock (Arctium lappa) Leaf Extracts Increase the In Vitro Antimicrobial Efficacy of Common Antibiotics on Gram-positive and Gram-negative Bacteria
- Topical Issue on Research for Natural Bioactive Products
- A survey of bacterial, fungal and plant metabolites against Aedes aegypti (Diptera: Culicidae), the vector of yellow and dengue fevers and Zika virus
- Topical Issue on Research for Natural Bioactive Products
- ‘Capiture’ plants with interesting biological activities: a case to go
- Topical Issue on Research for Natural Bioactive Products
- Volatile terpenoids as potential drug leads in Alzheimer’s disease
- Topical Issue on Research for Natural Bioactive Products
- Essential Oils as Immunomodulators: Some Examples
- Topical Issue on Research for Natural Bioactive Products
- Phenolic profiling and therapeutic potential of local flora of Azad Kashmir; In vitro enzyme inhibition and antioxidant
- Topical Issue on Research for Natural Bioactive Products
- Chemical profile, antioxidant activity and cytotoxic effect of extract from leaves of Erythrochiton brasiliensis Nees & Mart. from different regions of Europe
Articles in the same Issue
- Regular Articles
- Rare Coumarins Induce Apoptosis, G1 Cell Block and Reduce RNA Content in HL60 Cells
- Regular Articles
- Evaluation of the photocatalytic ability of a sol-gel-derived MgO-ZrO2 oxide material
- Regular Articles
- Extraction Methods for the Isolation of Isoflavonoids from Plant Material
- Regular Articles
- Micro and nanocomposites of polybutadienebased polyurethane liners with mineral fillers and nanoclay: thermal and mechanical properties
- Regular Articles
- Effect of pH on Structural, Magnetic and FMR Properties of Hydrothermally Prepared Nano Ni Ferrite
- Regular Articles
- Statistical approach to study of lithium magnesium metaborate glasses
- Regular Articles
- The effectiveness of biodrying waste treatment in full scale reactor
- Regular Articles
- Chemical comparison of the underground parts of Valeriana officinalis and Valeriana turkestanica from Poland and Kazakhstan
- Regular Articles
- Phytochemical Characterization and Biological Evaluation of the Aqueous and Supercritical Fluid Extracts from Salvia sclareoides Brot
- Regular Articles
- Recent Microextraction Techniques for Determination and Chemical Speciation of Selenium
- Regular Articles
- Compost leachate treatment using polyaluminium chloride and nanofiltration
- Regular Articles
- Facile and Effective Synthesis of Praseodymium Tungstate Nanoparticles through an Optimized Procedure and Investigation of Photocatalytic Activity
- Regular Articles
- Computational Study on Non-linear Optical and Absorption Properties of Benzothiazole based Dyes: Tunable Electron-Withdrawing Strength and Reverse Polarity
- Regular Articles
- Comparative sorption studies of chromate by nano-and-micro sized Fe2O3 particles
- Regular Articles
- Recycling Monoethylene Glycol (MEG) from the Recirculating Waste of an Ethylene Oxide Unit
- Regular Articles
- Antimicrobial activity and thiosulfinates profile of a formulation based on Allium cepa L. extract
- Regular Articles
- The effect of catalyst precursors and conditions of preparing Pt and Pd-Pt catalysts on their activity in the oxidation of hexane
- Regular Articles
- Platinum and vanadate Bioactive Complexes of Glycoside Naringin and Phenolates
- Regular Articles
- Antimicrobial sesquiterpenoids from Laurencia obtusa Lamouroux
- Regular Articles
- Comprehensive spectroscopic (FT-IR, FT-Raman, 1H and 13C NMR) identification and computational studies on 1-acetyl-1H-indole-2,3-dione
- Regular Articles
- A combined experimental and theoretical study on vibrational and electronic properties of (5-methoxy-1H-indol-1-yl)(5-methoxy-1H-indol-2-yl)methanone
- Regular Articles
- Erratum to: Analysis of oligonucleotides by liquid chromatography with alkylamide stationary phase
- Regular Articles
- Non-isothermal Crystallization, Thermal Stability, and Mechanical Performance of Poly(L-lactic acid)/Barium Phenylphosphonate Systems
- Regular Articles
- Vortex assisted-supramolecular solvent based microextraction coupled with spectrophotometric determination of triclosan in environmental water samples
- Regular Articles
- Investigation on Two Compounds of O,O’-dithiophosphate Derivatives as Corrosion Inhibitors for Q235 Steel in Hydrochloric Acid Solution
- Regular Articles
- Evaluation of temporary seasonal variation of heavy metals and their potential ecological risk in Nzhelele River, South Africa
- Regular Articles
- Synthesis, characterization, second and third order non-linear optical properties and luminescence properties of 1,10-phenanthroline-2,9-di(carboxaldehyde phenylhydrazone) and its transition metal complexes
- Regular Articles
- Spectrodensitometric simultaneous determination of esomeprazole and domperidone in human plasma
- Regular Articles
- Computer-aided drug design of capuramycin analogues as anti-tuberculosis antibiotics by 3D-QSAR and molecular docking
- Regular Articles
- Synthesis, characterization, thermal degradation and urease inhibitory studies of the new hydrazide based Schiff base ligand 2-(2-hydroxyphenyl)-3-{[(E)-(2-hydroxyphenyl)methylidene]amino}-2,3-dihydroquinazolin-4(1H)-one
- Regular Articles
- Quaternary salts derived from 3-substituted quinuclidine as potential antioxidative and antimicrobial agents
- Regular Articles
- Bio-concentration of Polycyclic Aromatic Hydrocarbons in the grey Mangrove (Avicennia marina) along eastern coast of the Red Sea
- Regular Articles
- Quantitative Investigation of Roasting-magnetic Separation for Hematite Oolitic-ores: Mechanisms and Industrial Application
- Regular Articles
- Photobleaching characteristics of α-(8-quinolinoxy) zinc phthalocyanine, a new type of amphipathic complex
- Regular Articles
- Methane dry reforming over Ni catalysts supported on Ce–Zr oxides prepared by a route involving supercritical fluids
- Regular Articles
- Thermodynamic Compatibility, Crystallizability, Thermal, Mechanical Properties and Oil Resistance Characteristics of Nanostructure Poly (ethylene-co-methyl acrylate)/Poly(acrylonitrile-co-butadiene) Blends
- Regular Articles
- The crystal structure of compositionally homogeneous mixed ceria-zirconia oxides by high resolution X-ray and neutron diffraction methods
- Topical Issue on Agriculture
- Properties of the filtrate from treatment of pig manure by filtration method
- Topical Issue on Agriculture
- Monitoring content of cadmium, calcium, copper, iron, lead, magnesium and manganese in tea leaves by electrothermal and flame atomizer atomic absorption spectrometry
- Topical Issue on Catalysis
- Application of screen-printed carbon electrode modified with lead in stripping analysis of Cd(II)
- Topical Issue on Research for Natural Bioactive Products
- Burdock (Arctium lappa) Leaf Extracts Increase the In Vitro Antimicrobial Efficacy of Common Antibiotics on Gram-positive and Gram-negative Bacteria
- Topical Issue on Research for Natural Bioactive Products
- A survey of bacterial, fungal and plant metabolites against Aedes aegypti (Diptera: Culicidae), the vector of yellow and dengue fevers and Zika virus
- Topical Issue on Research for Natural Bioactive Products
- ‘Capiture’ plants with interesting biological activities: a case to go
- Topical Issue on Research for Natural Bioactive Products
- Volatile terpenoids as potential drug leads in Alzheimer’s disease
- Topical Issue on Research for Natural Bioactive Products
- Essential Oils as Immunomodulators: Some Examples
- Topical Issue on Research for Natural Bioactive Products
- Phenolic profiling and therapeutic potential of local flora of Azad Kashmir; In vitro enzyme inhibition and antioxidant
- Topical Issue on Research for Natural Bioactive Products
- Chemical profile, antioxidant activity and cytotoxic effect of extract from leaves of Erythrochiton brasiliensis Nees & Mart. from different regions of Europe