Diagnosis of sphingolipidoses: a new simultaneous measurement of lysosphingolipids by LC-MS/MS
-
Giulia Polo
, Alessandro P. Burlina , Thilini B. Kolamunnage , Michele Zampieri , Carlo Dionisi-Vici , Pietro Strisciuglio , Martina Zaninotto , Mario Plebaniand Alberto B. Burlina
Abstract
Background:
Lysosphingolipids (LysoSLs) are derivatives of sphingolipids which have lost the amide-linked acyl chain. More recently, LysoSLs have been identified as storage compounds in several sphingolipidoses, including Gaucher, Fabry and Niemann-Pick diseases. To date, different methods have been developed to measure each individual lysosphingolipid in plasma. This report describes a rapid liquid chromatography coupled with tandem mass spectrometry (LC-MS/MS) assay for simultaneous quantification of several LysoSLs in plasma.
Methods:
We analyzed the following compounds: hexosylsphingosine (HexSph), globotriaosylsphingosine (LysoGb3), lysosphingomyelin (LysoSM) and lysosphingomyelin-509 (LysoSM-509). The sample preparation requires only 100 μL of plasma and consists of an extraction with a mixture of MeOH/acetone/H2O (45:45:10, v/v).
Results:
The method validation showed high sensitivity, an excellent accuracy and precision. Reference ranges were determined in healthy adult and pediatric population. The results demonstrate that the LC-MS/MS method can quantify different LysoSLs and can be used to identify patients with Fabry (LysoGb3), Gaucher and Krabbe (HexSph) diseases, prosaposine deficiency (LysoGb3 and HexSph), and Niemann-Pick disease types A/B and C (LysoSM and LysoSM-509).
Conclusions:
This LC-MS/MS method allows a rapid and simultaneous quantification of LysoSLs and is useful as a biochemical diagnostic tool for sphingolipidoses.
Introduction
Sphingolipidoses are a group of inherited lysosomal storage disorders (LSD) caused by defects in the lysosomal degradation of sphingolipids (Figure 1) [1], [2]. This group of inherited metabolic diseases comprises (1) primary sphingolipidoses caused by a defect in a gene encoding lysosomal enzyme [Niemann-Pick disease type A/B disease (NPA/B), Fabry disease (FD), Krabbe disease (KD), Gaucher disease (GD), Tay-Sachs disease, metachromatic leukodystrophy, GM1 and GM2 gangliosidosis]; (2) primary sphingolipidoses due to defect in activator proteins involved in degradation pathways of sphingolipids (Saposins defects); (3) secondary sphingolipidoses where there is an impairment of trafficking and fusion in the endocytic system [Niemann-Pick disease type C (NPC)]. Many sphingolipidoses share common symptoms and signs and clinicians are facing difficulties in diagnostic process. Biochemical investigation of the nature of a possible storage product will provide an important clue, and direct enzyme and/or molecular analysis facilitate the final diagnosis. A leading method of analysis, liquid chromatography coupled with tandem mass spectrometry (LC-MS/MS), is a highly selective and sensitive tool for biomarker measurement. The main advantage of this technique is the possibility to identify various molecular species of different classes in crude biological samples. LC-MS/MS detection of oxysterols is a great example of the potential of this technique for NPC diagnosis [3].

Sphingolipid degradation pathway and related sphingolipidoses.
The names of individual inherited diseases are indicated in the blue boxes. Degrading enzymes are given as acronyms in Italic, activator proteins required for the respective degradation step in vivo in blue. Lysosphingolipids (LysoSLs) are indicated in the red boxes. The precise structure of LysoSM-509 has not yet been elucidated. ABG, glucocerebroidase; ASA, arylsulphatase A; ASM, acid sphingomyelinase; CER, ceramidase; Gal, galactose; GALC, galactocerebrosidase; GalCer, galactosylceramide; GalNAc, N-acetylgalactosamine; Gb2, Galabiosylceramide; Gb3, globotriaosylceramide; Gb4, globotetraosylceramide; GLA, α-galactosidase A; GLB, β-galactosidase; Glc, glucose; GlcCer, glucosylceramide; GM1, GM1 ganglioside; GM2, GM2 ganglioside; GM2-AP, GM2-activator protein; GM3, GM3 ganglioside; HEXA, β-hexosaminidase A; HEXB, β-hexosaminidase B; LacCer, lactosylceramide; MLD, metachromatic leukodystrophy; NA, neuraminidase; NeuAc, N-acetilneuraminic acid; sap, saposin.
Recently, investigations of the metabolism and biological functions of sphingolipid biomolecules have increased. As a result, more accurate methods of analyzing sphingolipids by LC-MS/MS have been developed. It has been shown that glycosphingolipids are elevated in sphingolipidoses; however, these primary storage molecules had low sensitivity and specificity, making them unsuitable as biomarkers [4]. In contrast, lysosphingolipids (LysoSLs), the N-deacetylated lyso-forms of glycosphingolipids, have been reported to increase markedly in patients with sphingolipidoses, indicating that they have the potential to be useful biomarkers for both diagnosis and monitoring of treatment effects [5]. Specific forms of LysoSLs have been reported in different sphingolipidoses (Figure 1). Increased levels of plasma and urine globotriaosylsphingosine (LysoGb3) are seen in males with FD [6], [7] and in heterozygote females [8]. Two hexosylsphingosines (HexSph), galactosylsphingosine (GalSph) and glucosylsphingosine (GlcSph), respectively, were increased in patients with KD [9], [10] and GD [4]. The deacetylated form of sphingomyelin, lysosphingomyelin (LysoSM) is elevated in NPA/B and NPC [11], [12]. Recently, a novel biomarker, lyso-sphingomyelin-509 (LysoSM-509), has been established for the primary diagnosis of NPC [13]. These molecules are involved in numerous cellular biochemical processes [14] and are assumed to be directly involved in the pathophysiological mechanisms of neurodegeneration [2].
This paper describes an efficient and fast LC-MS/MS method for simultaneous quantification of several LysoSLs: HexSph (GalSph+GlcSph), LysoGb3 and LysoSM, including the new biomarker LysoSM-509. The first aim was to determine reference ranges for LysoSLs in healthy pediatric and adult subjects to guarantee diagnostic efficiency and better monitoring of treated patients. Furthermore, the diagnostic potential of HexSph, LysoGb3, LysoSM and LysoSM-509 was confirmed determining levels in patients with LSD and those suspected of having LSD. In addition, we designed a qualitative LC-MS/MS method to separate GlcSph from the isobaric molecule GalSph as a confirmatory test in presence of a high peak of HexSph with the first assay.
Materials and methods
Chemicals and reagents
LC-MS-grade solvents (acetonitrile and methanol) and 1-β-D-galactosylsphingosine from bovine brain (GalSph) were obtained from Sigma-Aldrich (St. Louis, MO, USA). Acetone, chloroform and formic acid (FA, purity >99%) were supplied by Carlo Erba Reagents S.r.l (Milan, Italy). GlcSph was obtained from bovine buttermilk, internal standard GlcSph from plant sources (GlcSph-P), LysoSM and LysoGb3 were purchased from Matreya (Pleasant Gap, PA, USA), and ultrapure water was generated using a Milli-Q system (Millipore, Bedford, MA, USA).
Samples
All plasma samples were collected from EDTA-anticoagulated blood samples after 10 min centrifugation (2000 g) and stored at –80 °C until examination. Subject characteristics are summarized in Table 1. To establish normal values for each biomarker, control samples were taken from 194 anonymous healthy adult blood donors and pediatric patients from University Hospital of Padua, Italy. After informed consent was obtained, 81 EDTA-plasma samples were collected from patients with GD, KD, FD or NPC referred to the Inherited Metabolic Disease Unit, University Hospital of Padua. One hundred sixteen additional samples from patients suspected of having clinical LSD were also included. In all patients, the diagnosis was confirmed by demonstration of marked enzyme deficiency and/or by mutation analysis. Ethical approval was obtained from the Ethics Committee of Padua Hospital.
Demographic characteristics of affected patients and controls.
| Controls | NPC | KD | GD | FD | ||
|---|---|---|---|---|---|---|
| Adults | Children | |||||
| Number of subjects, n | 108 | 86 | 11 | 3 | 8 | 16 |
| Gender (M/F), n | (53/55) | (47/39) | (7/4) | (2/1) | (3/5) | (4/12) |
| Age, years | 36 (20–72) | 4.5 (0–18) | 31 (0–41) | 1 (0–2) | 12 (5–20) | 32 (4–69) |
Ages are expressed as mean (range). FD, Fabry disease; GD, Gaucher disease; KD, Krabbe disease; NPC, Niemann Pick disease type C.
Calibration standards and quality controls (QCs) preparation
Stock standard solutions were prepared by dissolving powders in a solvent mixture of chloroform/methanol (2/1, v/v) at different final concentrations: 0.5 mg/mL GlcSph and GlcSph-P, 1 mg/mL LysoSM, 0.1 mg/mL LysoGb3. GlcSph was used as the HexSph standard for calibration curve and quality controls. A working solution in chloroform/methanol (2/1, v/v) at a concentration of 10 μmol/L was prepared for each standard. All stock and working solutions of standards were stored at –20 °C. The precipitation solution with internal standard (GlcSph-P) was prepared by diluting the working solution with methanol/acetone/H2O (45:45:10, v/v) at a concentration of 10 nmol/L and stored at –80 °C.
An eight-level calibration curve was prepared spiking the pure standards with pooled human plasma (ranges: 0–200 nmol/L for LysoGb3, LysoSM and 0–1000 nmol/L for HexSph). To evaluate the precision and accuracy of the assay, quality controls (QCs) at three concentrations were prepared from pooled plasma (QC1 endogenous, QC2 endogenous+10 nmol/L of each standard and QC3 endogenous +150 nmol/L of LysoGb3, 80 nmol/L of LysoSM and 600 nmol/L of GlcSph. One hundred microliters of calibration curve and QCs were aliquoted into 1.5-mL eppendorf tubes and stored at –80 °C.
Sample preparation
Five hundred microliters of working solution was added to 100 μL of plasma/calibrator/QC. Samples were mixed for about 30 s, placed in an ultrasonic bath for 1 min and centrifuged at 16,200 g for 10 min. The clear supernatant was transferred into a new tube and dried under a stream of nitrogen. Residues were reconstituted in 100 μL of acetonitrile: H2O (1/1, v/v) containing 0.1% formic acid (FA) and centrifuged again at 16,200 g for 10 min.
LC-MS/MS
LysoGb3, HexSph and LysoSM measurements were performed by reverse-phase liquid chromatography using a Waters Acquity UPLC and a BEH C18 column, 2.1×50 mm with 1.7-μm particle size (Waters, USA). Mass spectrometry detection was carried out with a Xevo TQ MS detector (Waters, USA) set in positive mode using an electrospray ionization (ESI) source. For each investigated compound the [M–H]+ species were selected as precursor ions. The MS/MS parameters were optimized for each single standard compound by infusing these solutions (0.1 μmol/L) into mobile phase flow via a T-union and manually adjusting the cone voltage and collision energy. All LC and MS/MS parameters are presented in Table 2. Argon was used as the collision gas.
LC and MS/MS parameters used for plasma analysis of lysosphingolipids.
| HPLC parameters | MS/MS parameters | |||||||
|---|---|---|---|---|---|---|---|---|
| Column | Acquity UPLC BEH C18 1.7 μm 2.1×50 mm | Mass spectrometer | Waters Xevo TQ MS | |||||
| Column temperature | 45 °C | Ionization mode | ESI+ | |||||
| Weak wash solvent | H2O:ACN (90:10) | Capillary voltage | 3.50 kV | |||||
| Strong wash solvent | ACN:H2O (90:10) | Cone voltage | 20 V | |||||
| Mobile phase A (A) | H2O 0.1% Formic acid | |||||||
| Mobile phase B (B) | ACN 0.1% Formic acid | Source temperature | 150 °C | |||||
| Gradient | Time | %A | Desolvation temperature | 650 °C | ||||
| Initial-0.50 min | 80 | Cone gas flow | 50 L/h | |||||
| 0.50–1.25 min | 80→50 | Dwell time | 0.042 (s) | |||||
| 1.25–2.50 min | 50→35 | Desolvation gas flow | 1000 L/h | |||||
| 2.50–3 min | 5 | Desolvation temperature | 650 °C | |||||
| 3–4 min | 80 | Compound | Parent (m/z) | Daughter (m/z) | Cone voltage (CV), V | Collision energy (CE), V | Retention time (RT), min | |
| Flow rate | 0.4 mL/min | GlcSph-P IS | 460.4 | 280.3 | 24 | 22 | 1.98 | |
| Injection volume | 5 μL | HexSph (GlcSph/GalSph) | 462.4 | 282.4 | 28 | 20 | 2.11 | |
| Injection mode | Partial loop with needle overfill | LysoSM | 465.4 | 184.1 | 28 | 22 | 1.96 | |
| Run time | 4 min | LysoGb3 | 786.5 | 282.4 | 42 | 40 | 1.91 | |
| Autosampler temperature | 10 °C | LysoSM-509 | 509 | 184.1 | 30 | 22 | 2.66 | |
ACN, acetonitrile; CE, collision energy; CV, cone voltage; RT, retention time.
Method validation
The accuracy of the method was assessed by recovery studies of QCs. Accuracy was denoted by percent relative error (%RE), calculated by subtracting the nominal level from the mean amount divided by the theoretical amount and then multiplied by 100: [(mean–nominal)/(nominal)×100]. Within-run and between-run precision was determined by preparing and analyzing each QCs 10 times per run for 10 consecutive working days. The linearity of the eight-point calibration curve was evaluated. The limit of detection (LOD) for each biomarker was determined using signal-to-noise ratio of 3. Peaks with signal-to-noise ratio >10 were accepted and integrated (lower limit of quantification, LLOQ). Post-column infusion studies evaluated ion suppression: processed plasma samples from healthy blood donors (n=5) and cholestatic patients (n=2) were injected, while a solution of LysoGb3, LysoSM and GlcSph (50 nmol/L) in 50:50 (v/v) mobile phase A/B was infused into a mass spectrometer at 20 μL/min. Ion suppression was observed by monitoring the ion counts for each m/z transition throughout the 4-min run time. Carryover was also evaluated by injections of blank samples after the highest point of calibration. Since the short-term stability of LysoSLs in plasma has been reported in literature [7], [12], we assessed the long-term stability in a plasma sample from a healthy donor. The stability of analytes in pooled plasma after freeze/thaw cycles and in reconstituted solutions left in the HPLC autosampler (10 °C) for 24 h was also assessed.
GlcSph and GalSph separation
Patients plasma samples were prepared as described above except acetonitrile/water (95:5, v/v) containing 0.1% ammonium hydroxide and 2 mM of ammonium acetate was used to reconstitute residues. A BEH amide column (Waters, USA), 2.1×150 mm 1.7 μm, was used to achieve GalSph and GlcSph separation. Mobile phases consist of water (mobile phase A) and acetonitrile:water (95:5, v/v) (mobile phase B) both containing 0.1% ammonium hydroxide and 2 mM of ammonium acetate. The chromatographic method was designed as follow: after 1 min of 100% of B the step gradient increased linearly to 85% of B in 7.5 min, followed by 100% B during 2 min. The flow rate was 0.5 mL/min and the column temperature 40 °C. Mass spectrometry detection was carried out with a Xevo TQ MS detector (Waters, USA) set in positive mode using an ESI source. Transition monitored for both analytes was 462.4>282.3 [cone voltage (CV) 28, CE 20].
Data analysis
The peak areas of analytes were measured with TargetLynx 4.1 software (Waters, USA) for all samples and normalized to the area of IS. The calibration curve was quadratic with 1/x weighing function, and the origin was excluded. Statistical analysis was performed using GraphPad Prism software (GraphPad Software Inc., San Diego, CA, USA). LysoSL control values were expressed as median and 2.5th–97.5th percentiles of the distributions; LysoSLs values for LSD-affected patients were expressed as median and minimum/maximum because of the small number of samples for each disease. Pearson coefficients were used to evaluate the relationship between variables (age and sex) and the strength of their relationships; two-tailed Student’s t-test was used to analyze differences between groups. A p-value ≤0.05 was considered statistically significant.
Results
Chromatographic analysis of LysoSLs
We performed preliminary experiments to test which column chemistry allowed better chromatographic separation. The reverse phase column BEH C18 showed the best compromise among sensitivity, speed and robustness. Figure 2 shows the chromatographic separation of LysoSLs performed on the C18 column over a run time of 4 min including the re-equilibration step. LysoGb3 and LysoSM have a retention time (RT) of 1.91 and 1.96 min, respectively. GlcSph and its isomer GalSph elute in a single peak named as HexSph (RT=2.11 min). The GlcSph from plant (GlcSph-P) was used as internal standard to correct for variability due to sample processing and to compensate for matrix effects. Compared to GlcSph, the GlcSph-P possesses two double-bonds on the sphingosine chain and a different molecular weight. The chromatographic separation of GlcSph-P (Figure 1D) produce a peak splitting already described, these two isomers were probably due to a different positions of the second double-bond on the sphingosine moiety [7]. The second peak (RT=1.98) was integrated and used to normalized the analyte’s area.

Chromatographic separation of lysosphingolipids in a QC level 2 on the C18 column.
Chromatograms are shown for LysoGb3 with retention time of 1.91 min (A), LysoSM with retention time of 1.96 min (B), HexSph with retention time of 2.11 min (C) and GlcSph-P Internal Standards with retention time of 1.98 min (D).
Linearity, LOD and LLOQ
Linearity was evaluated in plasma calibrators of LysoGb3, LysoSM and HexSph at eight different concentrations of spiked analyte and showed detectable and reproducible signals with a linear response (n=5; R2≥0.999 for each analyte). The endogenous level of each LysoSL was calculated from the y-intercept concentrations for multiple calibration curves (n=3). A blank sample was injected after the highest calibration standard, and no carryover was observed. The LOD and LLOQ were 0.1 and 0.2 nmol/L, respectively, for LysoSM, and 0.02 and 0.06 nmol/L for LysoGb3/HexSph.
Precision and accuracy
Precision and accuracy for each analyte were determined from 10 replicates within 1 day (intra-assay) or 10 different days (inter-assay). The CV% was <15% for all analytes (Table 3). All CVs were ≤15%.
Analytical performance of the LC-MS/MS method: intra- and inter-day precision (percent coefficient of variation) at three concentration levels and accuracy (percent relative error).
| QC1 | QC2 | QC3 | ||||||
|---|---|---|---|---|---|---|---|---|
| Mean±SD, nmol/L | Precision, CV% | Mean±SD, nmol/L | Precision, CV% | Accuracy, RE% | Mean±SD, nmol/L | Precision, CV% | Accuracy, RE% | |
| Intra-assay, (n=10) | ||||||||
| LysoGb3 | 0.36±0.04 | 10.2 | 9.36±0.38 | 4.1 | 90.1 | 131.03±4.38 | 3.3 | 87.1 |
| LysoSM | 12.49±0.48 | 3.8 | 24.28±0.89 | 3.7 | 105.6 | 78.67±2.99 | 3.8 | 82.7 |
| HexSph | 3.17±0.11 | 3.3 | 11.98±0.70 | 5.8 | 88.1 | 552.63±11.20 | 2.0 | 91.6 |
| Inter-assay, (n=10) | ||||||||
| LysoGb3 | 0.35±0.04 | 10.3 | 10.26±0.36 | 3.5 | 99.1 | 148.04±8.99 | 6.1 | 98.5 |
| LysoSM | 13.79±1.52 | 11.0 | 24.07±1.30 | 5.4 | 102.8 | 90.65±10.91 | 12.0 | 96.1 |
| HexSph | 3.14±0.23 | 7.3 | 11.66±0.50 | 4.3 | 85.3 | 572.56±34 | 5.9 | 94.9 |
CV%, percentage coefficient of variation; RE%, percentage relative error; SD, standard deviation.
Matrix effects
No ion suppression or enhancement was observed at the time of elution of either LysoSLs (data not shown). Ion counts were stable between 1.5 and 3 min for each m/z count. This effect was reproducible after injection of different patient samples including those from cholestatic patients.
Sample stability
Long-term stability of LysoGb3, LysoSM and HexSph in matrix was evaluated at –20 °C and –80 °C. All analyses were stable for 1 year in those conditions (see Supplemental Data, Figure 1). Reconstituted solutions left for 24 h in the HPLC autosampler were also stable (data not shown). All CVs were ≤15%.
LysoSLs in healthy controls and patients with LSD
Plasma levels of LysoGb3, LysoSM and HexSph were analyzed in 194 healthy controls to define reference values (see Table 1). The median value and 2.5–97.5th percentiles were 0.29 nmol/L (0.09–0.46 nmol/L) for LysoGb3, 10.26 nmol/L (4.46–19.12 nmol/L) for LysoSM and 2.09 nmol/L (1.15–3.25 nmol/L) for HexSph, respectively. There was a mild positive correlation of LysoSM and LysoGb3 with age: LysoSM vs. age (Pearson 0.2635, p=0.0002); LysoGb3 vs. age (Pearson 0.2060, p=0.004). A significant difference in relation to sex was found for LysoSM (p=0.0428), but not LysoGb3 and HexSph (see Supplemental Data, Figure 2).
The LC-MS/MS method was also used to analyze 81 plasma samples from patients with FD (n=16), GD (n=10), KD (n=3) and NPC (n=11) (Figure 3). LysoGb3, LysoSM and HexSph levels were determined in all groups of affected patients and compared to healthy controls (see Supplemental Data, Table 1). A marked increase in LysoGb3 in FD (Figure 3A) and HexSph in GD and KD (Figure 3C) was found as expected (p<0.0001). No overlap with normal range values was observed for each biomarker.

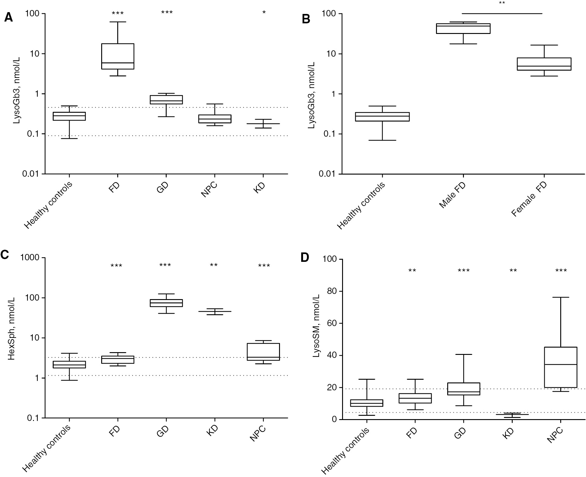
Box-and-whisker plot of LysoGb3 (A, B) HexSph (C) and LysoSM (D) concentrations in healthy controls and patients with Fabry, Gaucher, Krabbe and Niemann-Pick type C diseases.
Box 25–75th percentile, line: median, box whiskers: min and max. Horizontal dashed lines represents 2.5th and 97.5 of the healthy population. Significant difference between healthy controls and affected patient groups were represented by asterix: *p≤0.05, **p≤0.01, ***p≤0.001.
FD, Fabry disease; GD, Gaucher disease; KD, Krabbe disease; NPC, Niemann Pick disease type C.
For LysoGb3, plasma concentrations in male FD patients were higher than those in female FD patients (Figure 3B). Median plasma LysoGb3 was also elevated by 2.5-fold in GD patients vs. controls (p<0.0001), even though the levels of LysoGb3 were not as high as in FD patients. In contrast, LysoGb3 levels were always in the normal range in NPC and KD patients (Figure 3A).
Marked HexSph elevations were observed in plasma from GD and KD patients by 40- and 25-fold, respectively, vs. control. HexSph concentrations were significantly increased in NPC and FD patients by 1.45 and 1.5 times, respectively, compared with controls (Figure 3C).
Median LysoSM levels in NPC patients, for whom LysoSM was recently proposed as additional biomarker [12], were significantly higher (by 3.4-fold) compared to controls. A significant but less pronounced increase was observed in GD (p<0.0001) and FD patients (p=0.0062) where levels were progressively reduced compared to NPC. In KD patients, levels were lower compared to controls (p=0.0038).
A ROC analysis was performed to assess the ability of plasma LysoGb3, LysoSM and HexSph (GalSph+GlcSph) to separate Fabry, NPC, GD and KD patients from healthy controls (Figure 4). Proposed cut off, specificity and sensitivity (95% confidence interval) were reported in Table 4 for LysoGb3 in FD, LysoSM in NPC and HexSph in GD and KD.

ROC analysis of plasma LysoSLs in Fabry disease (A), Gaucher disease (B), Krabbe disease (C) and NPC disease (D).
LysoGb3 (green), HexSph (blue) and LysoSM (orange) for the positive patients compared to the healthy control group.
AUC, area under the curve; 95% CI, 95% confidence interval.
Cut offs, diagnostic specificity and sensitivity with 95% confidence interval for LysoGb3 in FD, LysoSM in NPC and HexSph in GD and KD.
| LysoSLs | Cuf off, nM | Sensitivity (95% CI) | Specificity (95% CI) | |
|---|---|---|---|---|
| FD | LysoGb3 | 0.5 | 1.000 (0.824–1.000) | 0.995 (0.9722–0.9999) |
| GD | HexSph | 3.77 | 1.000 (0.8942–1.000) | 0.995 (0.9723–0.9999) |
| KD | 3.77 | 1.000 (0.2924–1.000) | 0.995 (0.9723–0.9999) | |
| NPC | LysoSM | 16.8 | 1.000 (0.7354–1.000) | 0.9848 (0.9564–0.9969) |
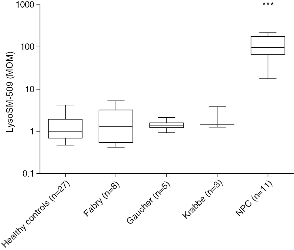
LysoSM-509 in Niemann-Pick type C disease
The LC-MS/MS method was used to evaluate the new biomarker LysoSM-509. The MRM transition monitored was 509>184.1 (CV 30; CE 22) and the retention time 2.66 min. The structure of LysoSM 509 is unknown and a reference standard is not available [13]. For quantification, the LysoSM-509 area was interpolated in the calibration curve of LysoSM and value expressed as multiple of the median (MOM). Levels were quantified in healthy controls (n=27), NPC (n=11), GD (n=5), KD (n=3) and FD patients (n=8) (Figure 5). All NPC patients showed significantly increased levels of LysoSM-509 vs. controls (97.3 MOM, p<0.0001), and a non-significant difference was observed in other LSD groups (FD, GD and KD) compared to controls.

LysoSM-509 plasma levels expressed as MOM in healthy controls, Fabry, Gaucher, Krabbe and Niemann-Pick type C disease patients (Log10 scale).
Box 25–75th percentile, line: median, box whiskers: minimum and maximum. ***p-value≤0.001; FD, Fabry disease; GD, Gaucher disease; KD, Krabbe disease; NPC, Niemann Pick disease type C.
Second tier test for HexSph species identification
To confirm which species of HexSph was increased in samples of GD and KD disease patients, we adopted a second tier test to distinguish GalSph from GlcSph. The chromatographic separation was achieved using the BEH amide columns initially evaluated for method development. This column contains an amide stationary phase that interacts with the polar sugar moiety of HexSph allowing a separation in two distinct peaks: GlcSph was found to elute before GalSph (see Supplemental Data, Figure 3). Using this method, we qualitatively confirmed that the HexSph species increased in GD patients is GlcSph and in KD patients is GalSph.
Selective screening for sphingolipidosis
LysoSLs levels were also quantified in 116 patients with clinical suspicion of a sphingolipidoses (FD, GD, KD, NPA/B and NPC); six patients showed increased levels of LysoSLs (Table 5). We identified two patients affected by GD, two by NPA/B disease and two by Prosaposine deficiency (PSAPD) [15]. All diagnosis were confirmed with subsequent analyses.
Selective screening by LysoSLs: patients with high levels with successively confirmed diagnosis.
| LysoGb3, nmol/L | LysoSM, nmol/L | LysoSM-509, MOM | HexSph, nmol/L | Second tier GlcSph/GalSph | Diagnosis | |
|---|---|---|---|---|---|---|
| P1 (F, 43 years) | 1.5 | 33 | 6.9 | 481 | GlcSph | GD |
| P2 (M, 0 year) | 4.2 | 25 | 8.4 | 972 | GlcSph | GD |
| P3 (F, 0 year) | 8.8 | 15.1 | 53.3 | GlcSph | PSAPD | |
| P4 (F, 0 year) | 5.1 | 22.5 | 45.5 | 61.1 | GlcSph | PSAPD |
| P5 (M, 1 year) | 0.2 | 4061 | 551.9 | 3.4 | nd | NPA |
| P6 (M, 46 years) | 0.27 | 857 | 292.7 | 1.3 | nd | NPB |
| Healthy controls (2.5–97.5 ile) | 0.09–0.46 | 4.5–19.1 | 0.5–3.7 | 1.15–3.25 |
PSAPD, prosaposin deficiency diseases; GD, Gaucher disease; NPA/B, Niemann Pick type A/B.
Discussion
Sphingolipidoses are a heterogeneous group of LSDs with a wide spectrum of clinical presentations. In addition, clinical symptoms are common in many sphingolipidoses, with a delay in the diagnosis that is costly because of the need for further tests.
Recent literature have demonstrated that LysoSLs may be useful biomarkers for the identification of several sphingolipidoses [4], [6]. So far, different LC-MS/MS methods have been reported for analysis of these compounds (in plasma, urine or dried blood spot [DBS]) [7], [10], [12], [14]. However, until now these methods allow only the determination of a single LysoSL (or analogs) for diagnosis of a single specific disease. A recent animal study demonstrated that a LysoSLs profile would be more useful than the analysis of a single LysoSL [16]. In addition, the availability of a single test for multiple undiagnosed lysosomal diseases would maximize the cost-effectiveness of the test and laboratory workflow efficiency. Sample preparation is another important aspect in method efficiency. The strategies adopted in the literature were, in many cases, time-consuming (e.g. classical liquid-liquid extraction known as the Bligh and Dyer method) or expensive (e.g. solid phase extraction). The challenging separation of GalSph from its isomer GlcSph was not always mentioned/assessed in plasma and only two reported methods focus on this separation [10], [12].
Our study report a rapid and accurate LC-MS/MS method for the simultaneous analysis of several plasma LysoSLs including GlcSph, GalSph, LysoGb3, LysoSM and LysoSM-509. The assay is based on plasma protein precipitation that, in comparison to previous methods, it is less time-consuming, inexpensive and does not affect the MS/MS sensitivity. This sample preparation can be easily implemented in 96-well plate, improving assay efficiency and throughput. The LC separation was performed on a reverse phase C18 column that has already been used for analysis of LysoGb3 and GlcSph [4], [8], [17]. The chromatographic run was faster compared to previous methods taking only 4 min per sample, and allowed us to analyze approximately 15 samples per hour with a significant extended column lifetime (>2000 injections). The C18 chemistry of our column does not allow the separation of GalSph (marker of KD) from its isomer GlcSph (GD), which are detected as a single peak identified as HexSph. To overcome this problem we introduced a second qualitative method for complete separation of these isobaric molecules in a 10-min chromatographic run using a normal phase amide column [10], [12]. This assay was used as a second tier test in presence of high levels of HexSph, to confirm the diagnosis of KD or GD.
For the clinical purpose of these biomarkers, we validated the assay to establish overall precision, accuracy, stability and potential limits. Also, using the structural analog of GlcSph as an internal standard, the assay showed excellent linearity, inter- and intra-assay precision, and good accuracy [17]. The sensitivity was also satisfactory; for LysoGb3 this was comparable to use of a top-end instrument, Xevo TQ-S. We also participated in the external QC program “Special Assays in Serum” managed by ERNDIM (www.erndimqa.nl) where LysoGb3 has been included in the panel since 2015 with good performance (data not shown). Long-term stability studies showed that all analytes were stable at –80° and –20° at least for 1 year.
The method was also clinically validated dosing LysoSLs in healthy controls and patients with FD, GD, KD and NPC diseases. Reference ranges were determined in healthy controls with a extended age range. Interestingly, for LysoSM and LysoGb3 we observed a positive correlation with age that has not been previously reported. This finding needs to be considered when LysoGb3 and LysoSM levels are determined in older people (>65 years), with a risk of results being above the 97.5th percentile. All samples from LSD patients showed abnormal levels of LysoSLs as previously reported in literature, confirming the strength of this biomarker and the ability of the method to distinguish LSD patients from controls.
Here we confirm that LysoGb3 is a hallmark of FD for detection of both male and heterozygote female patients. Increased concentrations of LysoSM and LysoSM-509 were detected in NPA/B patients. In agreement with a previous study [18], high plasma HexSph was detected in GD and KD patients, with higher concentrations in GD. As mentioned above, in these samples we used a second tier test to characterize the two isomers, GalSph and GlcSph, markers of KD and GD, respectively. In patients with GD we also detected increased levels of LysoGb3, at concentrations between controls and female FD patients (that means lower levels in comparison with FD male patients). This accumulation, that was not observed in mouse models [16], might reflect secondary accumulation of LysoGb3 due to impairment of the common catabolic pathway of globotetraosylceramide (Gb4) where both β-glucocerebrosidase (GD) and alfa-galactosidase (FD) are involved [1]. Conversely, in KD patients, we report significantly lower LysoSM levels, without a direct link in the sphingolipids degradation pathway between the two substrates.
We are using our method in the differential diagnosis of sphingolipidoses since 2015. More than 100 samples from patients with suspected LSD have been analyzed and six patients affected by sphingolipidoses were identified. Based on the results of the study the expected LysoSLs abnormalities in the different sphingolipidoses are reported in Table 6. We also demonstrated new diagnostic uses of these markers for the detection of rarer sphingolipids defects. Indeed, for saposins defects and secondary sphingolipidoses like NPC disease, the diagnostic process is much more complex and involves special biochemical assays (filipin staining, oxysterols and saposins determinations) and molecular studies. LysoSLs could be suitable for diagnosis of individual saposin defects, in particular GalSph in SaposinA deficiency, LysoGb3 in SaposinB deficiency and GlcSph in SaposinC deficiency [4]. Until now, no biochemical test on plasma was available for prosaposin deficiency disease (PSAPD), a rare neonatal condition presenting with acute generalized neurovisceral dystrophy. We have already demonstrated that the plasma profile of LysoSLs is a rapid and powerful biochemical test for diagnosis of prosaposine deficiency with high sensitivity and specificity [15].
Expected LysoSLs abnormalities in disorders of Fabry, Gaucher, Krabbe, Niemann Pick type A/B or type C and prosaposin deficiency diseases (PSAPD), as determined by LC-MS/MS method and second-tier test.
| LysoGb3 | LysoSM | LysoSM-509 | HexSph | Second tier GlcSph/GalSph | |
|---|---|---|---|---|---|
| FD | ↑↑ (↑Female) | N-↑ | N | N-↑ | |
| GD | N-↑ | N-↑ | N-↑ | ↑↑-↑↑↑ | GlcSph |
| KD | N | ↓↓ | N | ↑↑ | GalSph |
| NPA/B | N | ↑↑↑ | ↑↑↑ | N-↑ | |
| NPC | N | N-↑ | ↑↑ | N-↑ | |
| PSAPD | ↑ | N-↑ | N-↑ | ↑↑ | GlcSph |
FD, Fabry disease; GD, Gaucher disease; KD, Krabbe disease; NPA/B, Niemann Pick disease type A/B; NPC, Niemann Pick disease type C; PSAPD, prosaposin deficiency disease. N, normal values; ↑, slightly increased; ↑↑, increased; ↑↑↑, strongly increased.
NPC can also present challenges to diagnosis due to its wide variability in terms of clinical severity and the age at onset. Laboratory testing options have been limited; promising biomarkers like oxysterols have some shortcomings: they are sensitive to autoxidation, and not very specific because they are increased in neonatal cholestasis [3], in NPA/B and in other cholesterol defects [19], [20], [21]. The Lyso forms of sphingosine, LysoSM and LysoSM-509, markers of NPA/B, were also increased in NPC, confirming their diagnostic potential for the diagnosis of NPC. For LysoSM-509, we confirm previously published data showing higher plasma levels in NPA/B vs. NPC patients [13]. Furthermore, we observed that LysoSM levels were 100-fold increased in NPA/B but not in NPC (3.3-fold). This finding demonstrates that the quantification of both analytes allows discrimination between NPA/B (caused by acid sphingomyelinase deficiency) and NPC (caused by proteins defect).
Our assay may potentially be used for the diagnosis of several LSDs where the large spectrum of presentation make the diagnosis difficult. The simultaneous screening approach for multiple diseases offers the chance to identify patients who might otherwise be easily missed. Furthermore, the panel of LysoSLs can be expanded to detect other analytes, markers of more rare sphingolipidoses, as well as LysoGM1 and LysoGM2 for GM1 gangliosidosis and GM2 gangliosidosis. This accumulation was explored in 1992 by Kobayashi et al. who demonstrated that patients with GM1 and GM2 gangliosidosis had elevated brain levels of the corresponding LysoSL [22]. LysoSLs measurement in plasma may become a valuable guide for clinical management. Monitoring of LysoSLs might possibly assist in decision-making about treatment initiation and the long-term follow-up for patients on enzyme replacement therapy [23].
Conclusions
We present a fast, precise, robust and sensitive LC-MS/MS method for detection of LysoSLs in human plasma. The comparative analysis of LysoGb3, GlcSph, GalSph, LysoSM and LysoSM-509 in patients affected by primary sphingolipidoses revealed different specific abnormalities referring to the related parent glucosphingolipid substrate. LysoSLs have also demonstrated high sensitivity and specificity for detecting PSAPD and secondary sphingolipidoses like NPC. Our data support recent evidence on the primary role of LysoSLs in the diagnosis of sphingolipidoses, and their inclusion in the diagnostic biochemical panel may improve sensitivity and specificity for borderline cases. Furthermore, these biomarkers may eventually be used in the future for treatment monitoring.
Acknowledgments
This work was supported by Associazione COMETA-ASMME (Associazione Studio Malattie Metaboliche Ereditarie).
Author contributions: All the authors have accepted responsibility for the entire content of this submitted manuscript and approved submission.
Research funding: None declared.
Employment or leadership: None declared.
Honorarium: None declared.
Competing interests: The funding organization(s) played no role in the study design; in the collection, analysis, and interpretation of data; in the writing of the report; or in the decision to submit the report for publication.
References
1. Schulze H, Sandhoff K. Sphingolipids and lysosomal pathologies. Biochim Biophys Acta 2014;1841:799–810.10.1016/j.bbalip.2013.10.015Search in Google Scholar PubMed
2. Platt FM. Sphingolipid lysosomal storage disorders. Nature 2014;510:68–75.10.1038/nature13476Search in Google Scholar PubMed
3. Polo G, Burlina A, Furlan F, Kolamunnage T, Cananzi M, Giordano L, et al. High level of oxysterols in neonatal cholestasis: a pitfall in analysis of biochemical markers for Niemann-Pick type C disease. Clin Chem Lab Med 2016;54:1221–9.10.1515/cclm-2015-0669Search in Google Scholar PubMed
4. Dekker N, van Dussen L, Hollak CE, Overkleeft H, Scheij S, Ghauharali K, et al. Elevated plasma glucosylsphingosine in Gaucher disease: relation to phenotype, storage cell markers, and therapeutic response. Blood 2011;118:e118–27.10.1182/blood-2011-05-352971Search in Google Scholar PubMed PubMed Central
5. Ferraz MJ, Kallemeijn WW, Mirzaian M, Herrera Moro D, Marques A, Wisse P, et al. Gaucher disease and Fabry disease: New markers and insights in pathophysiology for two distinct glycosphingolipidoses. Biochim Biophys Acta 2014;1841:811–25.10.1016/j.bbalip.2013.11.004Search in Google Scholar PubMed
6. Aerts JM, Groener JE, Kuiper S, Donker-Koopman WE, Strijland A, Ottenhoff R, et al. Elevated globotriaosylsphingosine is a hallmark of Fabry disease. Proc Natl Acad Sci 2008;105:2812–7.10.1073/pnas.0712309105Search in Google Scholar PubMed PubMed Central
7. Boutin M, Gagnon R, Lavoie P, Auray-Blais C. LC-MS/MS analysis of plasma lyso-Gb3 in Fabry disease. Clin Chim Acta 2012;414:273–80.10.1016/j.cca.2012.09.026Search in Google Scholar PubMed
8. Gold H, Mirzaian M, Dekker N, Joao Ferraz M, Lugtenburg J, Codée JD, et al. Quantification of globotriaosylsphingosine in plasma and urine of fabry patients by stable isotope ultraperformance liquid chromatography-tandem mass spectrometry. Clin Chem 2013;59:547–56.10.1373/clinchem.2012.192138Search in Google Scholar PubMed
9. Igisu H, Suzuki K. Analysis of galactosylsphingosine (psychosine) in the brain. J Lipid Res 1984;25:1000–6.10.1016/S0022-2275(20)37736-1Search in Google Scholar
10. Chuang W-L, Pacheco J, Zhang XK, Martin MM, Biski CK, Keutzer JM, et al. Determination of psychosine concentration in dried blood spots from newborns that were identified via newborn screening to be at risk for Krabbe disease. Clin Chim Acta 2013;419:73–6.10.1016/j.cca.2013.01.017Search in Google Scholar PubMed
11. Chuang W-L, Pacheco J, Cooper S, McGovern MM, Cox GF, Keutzer J, et al. Lyso-sphingomyelin is elevated in dried blood spots of Niemann-Pick B patients. Mol Genet Metab 2014;111:209–11.10.1016/j.ymgme.2013.11.012Search in Google Scholar PubMed
12. Welford RW, Garzotti M, Marques Lourenço C, Mengel E, Marquardt T, Reunert J, et al. Plasma lysosphingomyelin demonstrates great potential as a diagnostic biomarker for niemann-pick disease type C in a retrospective study. PLoS One 2014;9:e114669.10.1371/journal.pone.0114669Search in Google Scholar PubMed PubMed Central
13. Giese A-K, Mascher H, Grittner U, Eichler S, Kramp G, Lukas J, et al. A novel, highly sensitive and specific biomarker for Niemann-Pick type C1 disease. Orphanet J Rare Dis 2015;10:78.10.1186/s13023-015-0274-1Search in Google Scholar PubMed PubMed Central
14. Auray-Blais C, Blais C-M, Ramaswami U, Boutin M, Germain DP, Dyack S, et al. Urinary biomarker investigation in children with Fabry disease using tandem mass spectrometry. Clin Chim Acta 2015;438:195–204.10.1016/j.cca.2014.08.002Search in Google Scholar PubMed
15. Motta M, Tatti M, Furlan F, Celato A, Di Fruscio G, Polo G, et al. Clinical, biochemical and molecular characterization of prosaposin deficiency. Clin Genet 2016; doi 10.1111/cge.12753 [Epub ahead of print].Search in Google Scholar PubMed
16. Ferraz MJ, Marques AR, Gaspar P, Mirzaian M, van Roomen C, Ottenhoff R, et al. Lyso-glycosphingolipid abnormalities in different murine models of lysosomal storage disorders. Mol Genet Metab 2016;117:186–93.10.1016/j.ymgme.2015.12.006Search in Google Scholar PubMed
17. Mirzaian M, Wisse P, Ferraz MJ, Gold H, Donker-Koopman WE, Verhoek M, et al. Mass spectrometric quantification of glucosylsphingosine in plasma and urine of type 1 Gaucher patients using an isotope standard. Blood Cells Mol Dis 2015;54:307–14.10.1016/j.bcmd.2015.01.006Search in Google Scholar PubMed
18. Fuller M, Szer J, Stark S, Fletcher JM. Rapid, single-phase extraction of glucosylsphingosine from plasma: A universal screening and monitoring tool. Clin Chim Acta 2015;450:6–10.10.1016/j.cca.2015.07.026Search in Google Scholar PubMed
19. Lin N, Zhang H, Qiu W, Ye J, Han L, Wang Y, et al. Determination of 7-ketocholesterol in plasma by LC-MS for rapid diagnosis of acid SMase-deficient Niemann-Pick disease. J Lipid Res 2014;55:338–43.10.1194/jlr.D044024Search in Google Scholar PubMed PubMed Central
20. Pajares S, Arias A, García-Villoria J, Macías-Vidal J, Ros E, de Las Heras J, et al. Cholestane-3β,5α,6β-triol: high levels in Niemann-Pick type C, cerebrotendinous xanthomatosis, and lysosomal acid lipase deficiency. J Lipid Res 2015;56:1926–35.10.1194/jlr.M060343Search in Google Scholar PubMed PubMed Central
21. Boenzi S, Deodato F, Taurisano R, Goffredo BM, Rizzo C, Dionisi-Vici C. Evaluation of plasma cholestane-3β,5α,6β-triol and 7-ketocholesterol in inherited disorders related to cholesterol metabolism. J Lipid Res 2016;57:361–7.10.1194/jlr.M061978Search in Google Scholar PubMed PubMed Central
22. Kobayashi T, Goto I, Okada S, Orii T, Ohno K, Nakano T. Accumulation of Lysosphingolipids in Tissues from Patients with GM1 and GM2 Gangliosidoses. J Neurochem 1992;59:1452–8.10.1111/j.1471-4159.1992.tb08460.xSearch in Google Scholar PubMed
23. Smid BE, Ferraz MJ, Verhoek M, Mirzaian M, Wisse P, Overkleeft HS, et al. Biochemical response to substrate reduction therapy versus enzyme replacement therapy in Gaucher disease type 1 patients. Orphanet J Rare Dis 2016;11:28.10.1186/s13023-016-0413-3Search in Google Scholar PubMed PubMed Central
Supplemental Material:
The online version of this article (DOI: 10.1515/cclm-2016-0340) offers supplementary material, available to authorized users.
©2017, Alberto B. Burlina et al., published by De Gruyter.
This work is licensed under the Creative Commons Attribution-NonCommercial-NoDerivatives 3.0 License.
Articles in the same Issue
- Frontmatter
- Editorials
- Targeting errors in microbiology: the case of the Gram stain
- Time for a holistic approach and standardization education in laboratory medicine
- Reviews
- Serum uric acid levels and risk of prehypertension: a meta-analysis
- Lactic acidosis: an update
- Mini Review
- Progress and impact of enzyme measurement standardization
- Opinion Paper
- Critical comments to a recent EFLM recommendation for the review of reference intervals
- IFCC Paper
- Quality Indicators in Laboratory Medicine: the status of the progress of IFCC Working Group “Laboratory Errors and Patient Safety” project
- Genetics and Molecular Diagnostics
- Evaluation and comparison of three assays for molecular detection of spinal muscular atrophy
- General Clinical Chemistry and Laboratory Medicine
- Risk analysis of the preanalytical process based on quality indicators data
- Analytical and clinical validation of the new Abbot Architect 25(OH)D assay: fit for purpose?
- Looking beyond linear regression and Bland-Altman plots: a comparison of the clinical performance of 25-hydroxyvitamin D tests
- Next-generation osmotic gradient ektacytometry for the diagnosis of hereditary spherocytosis: interlaboratory method validation and experience
- Diagnosis of sphingolipidoses: a new simultaneous measurement of lysosphingolipids by LC-MS/MS
- Monitoring nicotine intake from e-cigarettes: measurement of parent drug and metabolites in oral fluid and plasma
- Development of a rapid and quantitative lateral flow assay for the simultaneous measurement of serum κ and λ immunoglobulin free light chains (FLC): inception of a new near-patient FLC screening tool
- A real-world evidence-based approach to laboratory reorganization using e-Valuate benchmarking data
- Cancer Diagnostics
- Utility of proGRP as a tumor marker in the medullary thyroid carcinoma
- Cardiovascular Diseases
- Can non-cholesterol sterols and lipoprotein subclasses distribution predict different patterns of cholesterol metabolism and statin therapy response?
- Infectious Diseases
- Improving Gram stain proficiency in hospital and satellite laboratories that do not have microbiology
- Diabetes
- Volumetric absorptive microsampling at home as an alternative tool for the monitoring of HbA1c in diabetes patients
- Corrigendum
- EFLM Recommendation
- Corrigendum to: Recommendation for the review of biological reference intervals in medical laboratories
- Letters to the Editor
- Evaluation of the trueness of serum alkaline phosphatase measurement in a group of Italian laboratories
- Innovative software for recording preanalytical errors in accord with the IFCC quality indicators
- Mixing studies for abnormal coagulation screen – the current trend
- Identification of 5-fluorocytosine as a new interfering compound in serum capillary zone electrophoresis
- How to define reference intervals to rule in healthy individuals for clinical trials?
- Evaluation of the performance of INDEXOR® in the archive unit of a clinical laboratory: a step to Lean laboratory
- Evaluation of an automated chemiluminescent immunoassay for salivary cortisol measurement. Utility in the diagnosis of Cushing’s syndrome
- Analysis of hemolysis, icterus and lipemia in arterial blood gas specimens
- Comparison of three routine insulin immunoassays: implications for assessment of insulin sensitivity and response
Articles in the same Issue
- Frontmatter
- Editorials
- Targeting errors in microbiology: the case of the Gram stain
- Time for a holistic approach and standardization education in laboratory medicine
- Reviews
- Serum uric acid levels and risk of prehypertension: a meta-analysis
- Lactic acidosis: an update
- Mini Review
- Progress and impact of enzyme measurement standardization
- Opinion Paper
- Critical comments to a recent EFLM recommendation for the review of reference intervals
- IFCC Paper
- Quality Indicators in Laboratory Medicine: the status of the progress of IFCC Working Group “Laboratory Errors and Patient Safety” project
- Genetics and Molecular Diagnostics
- Evaluation and comparison of three assays for molecular detection of spinal muscular atrophy
- General Clinical Chemistry and Laboratory Medicine
- Risk analysis of the preanalytical process based on quality indicators data
- Analytical and clinical validation of the new Abbot Architect 25(OH)D assay: fit for purpose?
- Looking beyond linear regression and Bland-Altman plots: a comparison of the clinical performance of 25-hydroxyvitamin D tests
- Next-generation osmotic gradient ektacytometry for the diagnosis of hereditary spherocytosis: interlaboratory method validation and experience
- Diagnosis of sphingolipidoses: a new simultaneous measurement of lysosphingolipids by LC-MS/MS
- Monitoring nicotine intake from e-cigarettes: measurement of parent drug and metabolites in oral fluid and plasma
- Development of a rapid and quantitative lateral flow assay for the simultaneous measurement of serum κ and λ immunoglobulin free light chains (FLC): inception of a new near-patient FLC screening tool
- A real-world evidence-based approach to laboratory reorganization using e-Valuate benchmarking data
- Cancer Diagnostics
- Utility of proGRP as a tumor marker in the medullary thyroid carcinoma
- Cardiovascular Diseases
- Can non-cholesterol sterols and lipoprotein subclasses distribution predict different patterns of cholesterol metabolism and statin therapy response?
- Infectious Diseases
- Improving Gram stain proficiency in hospital and satellite laboratories that do not have microbiology
- Diabetes
- Volumetric absorptive microsampling at home as an alternative tool for the monitoring of HbA1c in diabetes patients
- Corrigendum
- EFLM Recommendation
- Corrigendum to: Recommendation for the review of biological reference intervals in medical laboratories
- Letters to the Editor
- Evaluation of the trueness of serum alkaline phosphatase measurement in a group of Italian laboratories
- Innovative software for recording preanalytical errors in accord with the IFCC quality indicators
- Mixing studies for abnormal coagulation screen – the current trend
- Identification of 5-fluorocytosine as a new interfering compound in serum capillary zone electrophoresis
- How to define reference intervals to rule in healthy individuals for clinical trials?
- Evaluation of the performance of INDEXOR® in the archive unit of a clinical laboratory: a step to Lean laboratory
- Evaluation of an automated chemiluminescent immunoassay for salivary cortisol measurement. Utility in the diagnosis of Cushing’s syndrome
- Analysis of hemolysis, icterus and lipemia in arterial blood gas specimens
- Comparison of three routine insulin immunoassays: implications for assessment of insulin sensitivity and response