Home Business & Economics Vertical Contracts and Mandatory Universal Distribution
Article
Licensed
Unlicensed Requires Authentication

Vertical Contracts and Mandatory Universal Distribution

  • Larry S. Karp EMAIL logo and Jeffrey M. Perloff
Published/Copyright: October 9, 2013

Abstract

An upstream monopoly that provides a new good to a downstream oligopoly might prefer to sell to a single rather than to multiple downstream firms. For example, Apple initially sold its iPhone through one vendor. If a monopoly uses a single vendor, the government may impose a mandatory universal distribution (MUD) requirement that forces the monopoly to sell to all downstream vendors. However, if the income elasticity of demand for the new good is greater than the income elasticity of the existing generic good, the MUD requirement leads to a higher equilibrium price for both the new good and the generic and lowers consumer welfare.

JEL Classification Numbers: L12; L13; L42

Appendix

Proof of Proposition 3

We consider the two cases, where the monopoly sells to a single vendor and two vendors. In both cases, we substitute the equilibrium markup, obtained from maximizing the monopoly’s profits, into the firms’ equilibrium decision rules. We then substitute these rules into the inverse demand functions to obtain the equilibrium generic and the new-product prices when the monopoly sells to one or two firms. These prices are

For both generic and new-product prices, we subtract the equilibrium price with one firm from the equilibrium price with two firms:

[20]
[20]
[21]
[21]

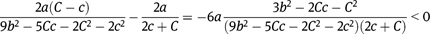
Inequalities [10] imply that the sign of is the same as the sign of .

Proof of Proposition 7

We first state a lemma that is also used in a proof in “Consumer welfare” in Appendix.

Lemma 1For all values of m, regardless of whether the monopoly uses one or two vendors, sales in the generic market and the new market satisfy the relation:

[22]
[22]

Proof. When the upstream monopoly sells to both firms, we obtain the equilibrium conditions for aggregate sales in the two markets in a symmetric equilibrium, as functions of m using the linear model. We invert the formula for sales of the new product () to obtain an expression for m as a function of aggregate sales, :

[23]
[23]

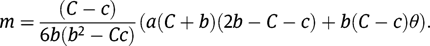
We, then, substitute this equation into the equilibrium condition for aggregate generic sales, , as a function of m to obtain aggregate generic sales as a linear function of aggregate sales of the new product. The resulting relation is eq. [22]. Given this constraint, a choice of, for example, determines the value of and also m. The values of these variables determine the monopoly’s profits.

By its choice of m, the upstream monopoly selects a point on this line. The monopoly solves a maximization problem subject to two constraints, eqs [22] and [23].

When the monopoly sells to a single firm, its maximization is subject to the three equilibrium conditions: the two first-order conditions for generic sales and Firm 1’s first-order condition for new-product sales, which can be written as functions of m. We invert the equation for Firm 1’s new-product sales to write m as a function of . The result is

[24]
[24]

We use this equation to eliminate m from the remaining two equations (generic sales of the two firms) to obtain expressions for and as functions of . By adding the resulting two equations, we obtain the expression for aggregate generic sales as a function of aggregate new-product sales, again leading to eq. [22]. ■

The equilibrium level of new-product sales when the upstream monopoly sells to a single firm, conditional on m, is

and the monopoly’s optimal level of m is

[25]
[25]

Conditional on the optimal level of m, the equilibrium level of new-product sales with one vendor is

The equilibrium level of new-product sales when the monopoly sells to two firms, conditional on m, is

and the optimal level of m is

[26]
[26]

Eq. [25] shows that when the monopoly sells to a single firm, it sets (a unit subsidy) if and (a positive markup) if . Eq. [26] shows that the markup is always positive, when the monopoly sells to two firms. In view of these two results, for . To show that the markup with a single firm is larger than the markup with two firms when C is close to its upper bound, b, we need to compare the markup for large C. We have

Evaluating the term in square brackets at (the supremum of C), we have

Because , we conclude that for C close to (but smaller than) , .

Consumer welfare

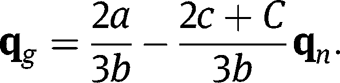
Proposition 11If, then a representative consumer has higher utility when the monopoly sells to a single downstream firm. Ifandis “sufficiently small” (in a sense made precise in the proof), then consumers have higher welfare when the monopoly sells to two downstream firms. The consumer is indifferent between the two alternatives if.

The proof of this proposition relies on Lemma 1 and the following lemma that collects several properties of the indirect utility function that stem from the linear relationship described by Lemma 1. Let be the indirect utility function for a representative agent, y be income, and (a function of prices and income) be the marginal utility of income.

Lemma 2(i) Holding y fixed, as aggregate sales ofincreases andadjusts as specified by eq. [22], the change in utility is

[27]
[27]

(ii) For, at every point on the line given by eq. [22], so utility reaches its maximum at the intercept of eq. (22)

[28]
[28]

(iii) For, for small, and V reaches a minimum at an interior point on the line where

[29]
[29]

The maximum of V might be at either intercept of eq. [22].

Proof. (Lemma 2) (i) Totally differentiating the indirect utility function, holding y constant, dividing the result by , and using Roy’s identity implies

where the last line uses the total derivatives of the inverse demand equations [8]. Divide both sides of the final equation by to obtain

Simplify this expression using eq. [22] to eliminate and noting that along the line in eq. [22], .

(ii) Because the sign of the right-hand side of eq. [27] is the sign of the change in indirect utility due to an increase in , evaluated on the line given by eq. [22]. By inequalities [10], the coefficient of on the right-hand side of eq. [27] is positive, so for , V is maximized at the corner given by eq. [28].

(iii) For , V is decreasing on this line in the neighborhood of the corner . Setting implies eq. [29]. Finally, we need to show that this value of is less than the value at the intercept, . Subtracting these two values, we have

where the inequality follows from inequalities [10]. ■

We now provide the proof of Proposition 11.

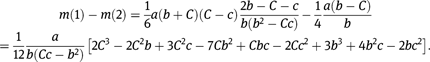
Proof. Conditional on the optimal level of m (see “Proof of Proposition 7” in Appendix), the equilibrium level of new-product sales with two vendors is

The difference between new-product sales in the two cases is

Inequalities [10] imply that the sign of is the same as the sign of .

If so that , consumer welfare is higher when the monopoly sells to a single firm, because utility is increasing in by Lemma 2(ii).

If so that , by Lemma 2(iii), V is increasing in for . Therefore, for , a sufficient condition for consumers to be better off with two downstream firms selling the new product is . Using the definition of in eq. [29], we have

[30]
[30]

where

[31]
[31]

Because the denominator in the last line of eq. [30] is positive, a necessary and sufficient condition for is . Define and write in terms of :

This expression shows that for small , . A sufficient condition for is that is smaller than the smallest positive root of .

If , then , so sales of both the new and the generic products are the same regardless of whether the monopoly sells to one firm or two firms. Consequently, consumer welfare is also the same in the two cases.

A more general linear demand

The monopoly still prefers to sell to two firms, if and only if the cost F is sufficiently small. Its increase in profits from selling to two rather than to one firm (exclusive of the additional cost F) is

which is independent of .

Calculations parallel to those described in “Proof of Proposition 3” Appendix show that the increase in the generic price if Apple sells to two rather than to one firm is

The equation simplifies to eq. [20] for . A sufficient condition for the generic price to be higher when the monopoly sells to two rather than to one firm is . For and sufficiently large in absolute value, the generic price is lower when the monopoly sells to two firms. For , define

which has the same sign as .

The necessary and sufficient condition for is

[32]
[32]

The empirically relevant case is where both (the reservation price for the new product, net of production costs, exceeds the reservation price for the generic), and where (the income elasticity of the new product exceeds that of the generic). This situation corresponds to the second line of inequality [32]; here, the generic price is lower when the monopoly sells to two firms rather than to one firm, if .

The difference between the new-product price when the monopoly sells to two firms rather than to a single firm is

which simplifies to eq. [21] for . The necessary and sufficient condition for is

[33]
[33]

As noted above, the empirically relevant setting is and , corresponding to the second line of inequality [33]. In this case, the new-product price is higher when the monopoly sells to two firms rather than to one firm, if and only if is not greater than .

Consequently, if and , both the new and generic prices are lower when the monopoly sells to two vendors.

The markup when the monopoly sells to a single firm is

The necessary and sufficient condition for this markup to be positive is

If Apple sells to both firms, its markup is

which is positive provided that , a negative number.

Acknowledgments

We benefitted from comments by Dennis Carlton, Rich Gilbert, Jeff LaFrance, Hal Varian, Glenn Woroch, Brian Wright, two anonymous referees, and the Managing Editor. The usual disclaimer applies.

References

Abito, J. M., and J.Wright. 2008. “Exclusive Dealing with Imperfect Downstream Competition.” International Journal of Industrial Organization26:22746.10.1016/j.ijindorg.2006.11.004Search in Google Scholar

Agion, P., and P.Bolton. 1987. “Contracts as a Barrier to Entry.” American Economic Review77:388401.Search in Google Scholar

Argenton, C. 2010. “Exclusive Quality.” The Journal of Industrial Economics58:690716.10.1111/j.1467-6451.2010.00424.xSearch in Google Scholar

Bonanno, G. 1986. “Vertical Differentiation with Cournot Competition.” Economic Notes15(20):6881.Search in Google Scholar

Bork, R. 1978. The Antitrust Paradox. New York: Free Press.Search in Google Scholar

Bustos, A., and A.Galetovic2008. “Vertical Integration and Sabotage with a Regulated Bottleneck Monopoly,” Working paper.10.2139/ssrn.1104036Search in Google Scholar

Consumer Reports. 2009. “Want That Phone?”Consumer Reports (10):6.Search in Google Scholar

De-Graba, P. 1990. “Input Market Price Discrimination and the Choice of Technology.” American Economic Review80:124653.Search in Google Scholar

Doganoglu, T., and J.Wright. 2010. “Exclusive Dealing with Network Effects.” International Journal of Industrial Organization28:14554.10.1016/j.ijindorg.2009.07.006Search in Google Scholar

Economides, N. 1998. “The Incentive for Non-Price Discrimination by an Input Monopolist.” International Journal of Industrial Organization16:27184.10.1016/S0167-7187(98)00005-8Search in Google Scholar

Fumagalli, C., and M.Motta. 2006. “Exclusive Dealing and Entry, When Buyers Compete.” American Economic Review96(3):78595.10.1257/aer.96.3.785Search in Google Scholar

Gabszewicz, J. J., and J.-F.Thisse. 1979. “Price Competition, Quality and Income Disparities.” Journal Economic Theory20:34059.10.1016/0022-0531(79)90041-3Search in Google Scholar

Hart, O., and J.Tirole1990. “Vertical Integration and Market Foreclosure,” Brookings Papers on Economic Activities: Microeconomics, 20576.10.2307/2534783Search in Google Scholar

Inderest, R., and G.Shaffer. 2010. “Market-Share Contracts as Facilitating Practices.” The Rand Journal of Economics41:70929.10.1111/j.1756-2171.2010.00118.xSearch in Google Scholar

Innes, R., and S.Hamilton. 2006. “Naked Slotting Fees for Vertical Control of Multi-Product Retail Markets.” International Journal of Industrial Organization24:30318.10.1016/j.ijindorg.2005.05.001Search in Google Scholar

Innes, R., and S.Hamilton. 2009. “Vertical Restraints and Horizontal Control.” Rand Journal of Economics40:12043.10.1111/j.1756-2171.2008.00058.xSearch in Google Scholar

Ireland, N. 1992. “On the Welfare Effects of Regulating Price Discrimination.” Journal of Industrial Economics40:23748.10.2307/2950537Search in Google Scholar

Katz, M. 1987. “The Welfare Effects of Third-Degree Price Discrimination in Intermediate Goods Markets.” American Economic Review77:15467.Search in Google Scholar

Kitamura, H. 2010. “Exclusionary Vertical Contracts with Multiple Entrants.” International Journal of Industrial Organization28:21319.10.1016/j.ijindorg.2009.08.001Search in Google Scholar

Kitamura, H. 2011. “Exclusive Contracts Under Financial Constraints.” The B.E. Journal Economic Analysis and Policy11:129.10.2202/1935-1682.2677Search in Google Scholar

Moner-Colonques, R., J.Sempere-Monerris, and A.Urbano. 2004. “The Manufacturers’ Choice of Distribution Policy under Successive Duopoly.” Southern Economic Journal70:53248.Search in Google Scholar

Ordover, J., S.Salop, and G.Saloner. 1990. “Equilibrium Vertical Foreclosure.” American Economic Review80:12742.Search in Google Scholar

Riordan, M. 1998. “Anticompetitive Vertical Integration by a Dominant Firm.” American Economic Review88:123248.Search in Google Scholar

Salop, S., and D.Scheffman. 1983. “Raising Rivals’ Costs.” American Economic Review73:26771.Search in Google Scholar

Schmalensee, R. 1981. “Output and Welfare Effects of Monopolistic Third-Degree Price Discrimination?”American Economic Review71:2427.Search in Google Scholar

Shaffer, R. 2005. “Slotting Allowances and Optimal Product Variety.” Advances in Economic Analysis and Policy5:Article 3.10.2202/1538-0637.1083Search in Google Scholar

Shaked, A., and J.Sutton. 1982. “Relaxing Price Competition through Product Differentiation.” Review Economic Studies49:3–13.10.2307/2297136Search in Google Scholar

Simpson, J., and A. L.Wickelgren. 2007. “Naked Exclusion, Efficient Breach, and Downstream Competition.” American Economic Review97(4):130520.10.1257/aer.97.4.1305Search in Google Scholar

Singh, N., and X.Vives. 1984. “Price and Quantity Competition in a Differentiated Duopoly.” RAND Journal of Economics15(4):54654.10.2307/2555525Search in Google Scholar

Varian, H. 1985. “Price Discrimination and Social Welfare.” American Economic Review75:8705.Search in Google Scholar

Villas-Boas, S. 2009. “An Empirical Investigation of the Welfare Effects of Banning Wholesale Price Discrimination.” Rand Journal of Economics40(1):2045.10.1111/j.1756-2171.2008.00054.xSearch in Google Scholar

Weisman, D. 2001. “Access Pricing and Exclusionary Behavior.” Economics Letters72:1216.10.1016/S0165-1765(01)00407-4Search in Google Scholar

White, L. 2007. “Foreclosure with Incomplete Information.” Journal of Economics and Management Strategy16:50735.10.1111/j.1530-9134.2007.00147.xSearch in Google Scholar

Wright, J. 2008. “Naked Exclusion and the Anticompetitive Accommodation of Entry.” Economics Letters98:10712.10.1016/j.econlet.2007.04.014Search in Google Scholar

Yoshida, Y. 2000. “Third-Degree Price Discrimination in Input Markets: Output and Welfare.” American Economic Review90:2406.10.1257/aer.90.1.240Search in Google Scholar

  1. 1

    “Supporting Memorandum of Points and Authorities,” In Re Apple & AT&TM Anti-trust Litigation, U.S. District Court, Northern District of California, San Jose Division, Case no. C 07–5152 JW, 12 September 2008. In 2011, Apple signed contracts allowing AT&T’s competitors Verizon and Sprint to start selling iPhones.

  2. 2

    We do not claim that the equilibrium is unique, merely that the beliefs described in the text are consistent with equilibrium, and that the equilibrium action given those beliefs (and our tie-breaking assumption) is unique. A discussion of uniqueness of equilibrium beliefs would require a description of the consequences of neither firm making a bid and would take us far afield.

  3. 3

    The quadratic utility function produces linear demand functions. However, symmetry of the cross partials of the Hicksian demand functions requires (Singh and Vives 1984).

  4. 4

    Gabszewicz and Thisse (1979), Shaked and Sutton (1982), and Bonanno (1986) used a model of consumer behavior that generates a system of linear demand functions similar to this model, though with a slightly different interpretation of the demand system parameters. Products have a physical characteristic (location) that measures quality. Consumers have identical preferences but different incomes and buy at most one unit of a product.

  5. 5

    Moner-Colonques, Sempere-Monerris, and Urbano (2004) examine a market in which two upstream firms decide whether to sell their products through one or both of the downstream vendors. Their model allows the upstream firms to charge only a per-unit price, whereas our upstream firm also uses a transfer. In addition, we allow the cross-price coefficients c and C to differ. The difference in these coefficients is key to our results.

  6. 6

    Given our earlier assumptions, we have three free parameters, and F, but only c and C have a direct effect on the equilibrium quantities for a given number of downstream vendors. We set and in all our simulations. Given inequalities [10], these parameter choices imply that c and C must each be less than . For specificity, we set and and examine how the results vary with C.

  7. 7

    This claim can be verified immediately using the equation for the difference in generic prices, eq. [20] in the Appendix. Similarly, the claim regarding the difference in new-product price can be verified by using eq. [21].

  8. 8

    We use the same parameters as above to produce this figure. This figure uses the change in consumer surplus only to illustrate the change in consumer welfare. Neither our heuristic argument in the text nor the formal statement and proof in “Consumer welfare” in Appendix use consumer surplus to determine the change in consumer welfare.

  9. 9

    The working paper on which this article is based shows that most of our qualitative results, with the exception of Proposition 8, continue to hold if we alter the original game by constraining m so that equilibrium duopoly profits do not fall below .

Received: 2012-12-10
Accepted: 2013-08-20
Published Online: 2013-10-09

©2013 by Walter de Gruyter Berlin / Boston

Articles in the same Issue

  1. Masthead
  2. Masthead
  3. Advances
  4. When Does Inter-School Competition Matter? Evidence from the Chilean “Voucher” System
  5. Investment, Dynamic Consistency and the Sectoral Regulator’s Objective
  6. Contributions
  7. Vertical Contracts and Mandatory Universal Distribution
  8. Ticket Pricing and Scalping: A Game Theoretical Approach
  9. Loyalty Discounts
  10. Age, Human Capital, and the Quality of Work: New Evidence from Old Masters
  11. Effects of the Endogenous Scope of Preferentialism on International Goods Trade
  12. Fiscal Decentralization and Environmental Infrastructure in China
  13. Declining Equivalence Scales and Cost of Children: Evidence and Implications for Inequality Measurement
  14. Political Parties, Candidate Selection, and Quality of Government
  15. Professors’ Beauty, Ability, and Teaching Evaluations in Italy
  16. Pass-through of Per Unit and ad Valorem Consumption Taxes: Evidence from Alcoholic Beverages in France
  17. The Tuesday Advantage of Politicians Endorsed by American Newspapers
  18. Topics
  19. The Effects of Medicaid Earnings Limits on Earnings Growth among Poor Workers
  20. Opportunities Denied, Wages Diminished: Using Search Theory to Translate Audit-Pair Study Findings into Wage Differentials
  21. Horizontal Mergers, Firm Heterogeneity, and R&D Investments
  22. Product Differentiation and Consumer Surplus in the Microfinance Industry
  23. The Multitude of Alehouses: The Effects of Alcohol Outlet Density on Highway Safety
  24. Solving the Endogeneity Problem in Empirical Cost Functions: An Application to US Banks
  25. The Internet, News Consumption, and Political Attitudes – Evidence for Sweden
  26. A Cross-Cultural Real-Effort Experiment on Wage-Inequality Information and Performance
  27. Are Students Dropping Out or Simply Dragging Out the College Experience? Persistence at the Six-Year Mark
  28. The Welfare Effects of Location and Quality in Oligopoly
Downloaded on 19.12.2025 from https://www.degruyterbrill.com/document/doi/10.1515/bejeap-2012-0073/html
Scroll to top button