Abstract
Background and aims
The development of postoperative chronic pain (POCP) after surgery is a major problem with a considerable socioeconomic impact. It is defined as pain lasting more than the usual healing, often more than 2–6 months. Recent systematic reviews and meta-analyses demonstrate that the N-methyl-D-aspartate-receptor antagonist ketamine given peri- and intraoperatively can reduce immediate postoperative pain, especially if severe postoperative pain is expected and regional anaesthesia techniques are impossible. However, the results concerning the role of ketamine in preventing chronic postoperative pain are conflicting. The aim of this study was to perform a systematic review and a pooled analysis to determine if peri- and intraoperative ketamine can reduce the incidence of chronic postoperative pain.
Methods
Electronic searches of PubMed, EMBASE and Cochrane including data until September 2013 were conducted. Subsequently, the titles and abstracts were read, and reference lists of reviews and retrieved studies were reviewed for additional studies. Where necessary, authors were contacted to obtain raw data for statistical analysis. Papers reporting on ketamine used in the intra- and postoperative setting with pain measured at least 4 weeks after surgery were identified. For meta-analysis of pain after 1, 3, 6 and 12 months, the results were summarised in a forest plot, indicating the number of patients with and without pain in the ketamine and the control groups. The cut-off value used for the VAS/NRS scales was 3 (range 0–10), which is a generally well-accepted value with clinical impact in view of quality of life.
Results
Our analysis identified ten papers for the comprehensive meta-analysis, including a total of 784 patients. Three papers, which included a total of 303 patients, reported a positive outcome concerning persistent postsurgical pain. In the analysis, only one of nine pooled estimates of postoperative pain at rest or in motion after 1, 3, 6 or 12 months, defined as a value ≥3 on a visual analogue scale of 0–10, indicated a marginally significant pain reduction.
Conclusions
Based on the currently available data, there is currently not sufficient evidence to support a reduction in chronic pain due to perioperative administration of ketamine. Only the analysis of postoperative pain at rest after 1 month resulted in a marginally significant reduction of chronic postoperative pain using ketamine in the perioperative setting.
Implications
It can be hypothesised, that regional anaesthesia in addition to the administration of perioperative ketamine might have a preventive effect on the development of persistent postsurgical pain. An additional high-quality pain relief intra- and postoperatively as well after discharge could be more effective than any particular analgesic method per se. It is an assumption that a low dose infusion ketamine has to be administered for more than 72 h to reduce the risk of chronic postoperative pain.
1 Introduction
The development of chronic pain after surgery is a major concern [1]. It has been estimated that acute postoperative pain is followed by persistent chronic pain in 10–50% and that it may be severe in about 2–10% of these patients [2,3]. The socioeconomic burden is considerable, especially if young people with a consequent work disability are concerned.
The International Association for the Study of Pain (IASP) defines chronic postsurgical pain as pain lasting more than the usual wound healing, this may often be more than 3–6 months in absence of other causes [4]. Macrae et al. [5] define it as a short duration of pain, namely 2 months. Ongoing pain for more than 2 months after surgery seems to be a risk factor for persistent pain. Furthermore, a previous study [6] reported pain and hyperaesthesia 6 weeks after breast surgery to be associated with the presence of chronic pain 1 year after surgery.
After the surgical stimulus, acute postoperative pain is driven by nociceptive inputs [1]. Ongoing pain may lead to a delayed and longer lasting, sometimes persistent, phase of central sensitisation [1] leading to hyperalgesia and allodynia as part of a complex neuropathic pain syndrome [3,7,8]. This neuropathic pain syndrome can become chronic. Thus, preventing post-surgical pain is an important challenge for anaesthetists and surgeons [2,9]. The search for preventive and pre-emptive analgesic treatments with prolonged benefits continues to make slow progress [10]. Therefore, different techniques have been used and studied to decrease the incidence of chronic postoperative pain.
One of the most promising measures preventing chronic pain after surgery is the reduction of central sensitisation by blocking N-methyl-D-aspartate (NMDA) receptors with ketamine [3,11]. These receptors have an important role in long-lasting hyperalgesia and in the development of persistent pain [12]. Ketamine has been reported to prevent signs of neuropathic pain in animals [13].
Recent systematic reviews and meta-analyses demonstrate that the NMDA-receptor antagonist ketamine given peri- and intraop- eratively can reduce immediate acute postoperative pain, opioid consumption, and opioid-associated side effects such as postoperative nausea and vomiting [14,15]. Furthermore, a previous study demonstrated that a very low dose of intravenous ketamine ≤72 h after surgery reduced the incidence of mechanical induced hyperalgesia at the surgical site for at least the first seven postoperative days [16]. As chronic pain has a considerable neuropathic component, ketamine has also been used peri- and intraoperatively to decrease the development of chronic postoperative pain. However, results concerning the role of ketamine to prevent chronic postoperative pain are conflicting. The aim of this study was to perform a systematic review and to pool the data of the included studies to determine whether peri- and intraoperatively administered ketamine can reduce the incidence of chronic postoperative pain.
2 Materials and methods
2.1 Protocol, search and information resources
According to the study protocol, electronic searches of PubMed (from 1966), the Cochrane Library (from 1980), and EMBASE (from 1982) up to and including September 2013 were conducted with no language restrictions applied. The searches combined controlled vocabulary and free text terms. Details of the terms used are shown in Appendix 1. Subsequently, reference lists of reviews and retrieved studies were reviewed for additional studies. Where necessary, authors were contacted to obtain detailed information or raw data such as pain scores on the numeric rating scale.
2.2 Eligibility criteria
All types of surgery were included. Persistent postoperative chronic pain (POCP) was regarded as pain lasting longer than 1 month after surgery. Studies with general and regional anaesthesia were included as well. All intra- and postoperative uses of ketamine in any combinations, dosages and modes of application were considered for inclusion. Studies were included if ketamine was given in at least one study arm by the intravenous route even if the epidural route was chosen in other arms of the study, whereas studies with ketamine administered only by the epidural route were excluded. Studies examining patients younger than 16 years old were also excluded.
2.3 Data collection process
The titles and abstracts of all retrieved articles were read (E. Klatt), and those of no clear relevance were eliminated. Full copies of all the remaining studies were obtained and read independently (E. Klatt, W. Ruppen). In case of dissent, E. Klatt and W. Ruppen discussed the differences and made a joint decision.
2.4 Assessment of the methodological quality and risk of bias
To avoid the risk of selection bias, only studies conducted as randomised controlled trials were included. The Oxford Scale [17] was used to assess the methodological quality of those trials. PRISMA guidelines [18] were followed where applicable.
2.5 Statistical analyses
Information about the type of study, patients, intervention and number of participants in the included studies was tabulated (Table 1 ). It was our intention to pool results and to calculate long-term postoperative analgesic effects.
Overview of the studies included in the comprehensive meta-analysis. Overview of the studies secondarily excluded from the comprehensive meta-analysis.
| Author | Type of study | Patients (n) | Surgery | Raw data available | Ketamine and study management | Stop of ketamine | Follow up |
|---|---|---|---|---|---|---|---|
| Crousier et al. [24] | Double-blinded, randomised, placebo-controlled | 36 | Mastectomy | Yes | (a) Before skin incision: 0.5 mg/kg ketamine as i.v. bolus, followed by 0.25 mg/kg/h ketamine as i.v. infusion | End of surgery | 3 months |
| (b) Placebo (saline) | |||||||
| De Kock et al. [19] | Double-blinded, randomised, placebo-controlled | 100 | Rectal adenocarcinoma | Yes | (a) Intravenous: 0.25 mg/kg bolus ketamine, followed by 0.125 mg/kg/h ketamine as infusion | End of surgery | 1, 6 and 12 months |
| (b) Intravenous: 0.5 mg/kg bolus ketamine, followed by 0.25 mg/kg/h ketamine as infusion | |||||||
| (c) Epidural: 0.25 mg/kg bolus ketamine, followed by 0.125 mg/kg/h ketamine as infusion | |||||||
| (d) Epidural: 0.5 mg/kg bolus ketamine, followed by 0.25 mg/kg/h ketamine as infusion | |||||||
| (e) Placebo (saline) | |||||||
| Dualé et al. [11] | Double-blinded, randomised, placebo-controlled | 86 | Partial pneumonectomy | Yes | (a) 1 mg/kg ketamine as i.v. bolus before incision, then 1 mg/kg/h ketamine as i.v. infusion during surgery, then 1 mg/kg ketamine i.v. for 24 h after surgery | After 24 h | 6 weeks, 4 months |
| (b) Placebo (saline) | |||||||
| Dullenkopf et al. [12] | Double-blinded, randomised, placebo-controlled | 120 | General and orthopaedic | Yes | (a) 0.15 mg/kg ketamine as i.v. bolus | Single bolus given before surgery incision | 3 months |
| (b) 0.5 mg/kg ketamine as i.v. bolus | |||||||
| (c) Placebo (saline) | |||||||
| Hayes et al. [30] | Randomised, placebo-controlled | 45 | Leg amputation | Yes | (a) Placebo (saline) for 72 h | After 72 h | 6 months |
| (b) 0.5 mg/kg ketamine as i.v. bolus before surgery and 0.15 mg/kg/h ketamine as i.v. infusion for 72 h | |||||||
| Joseph et al. [25] | Double-blinded, randomised, placebo-controlled | 60 | Thoracotomy | Yes | (a) 0.5 mg/kg ketamine as i.v. bolus during anaesthesia induction and an intraoperative continuous i.v. infusion with 0.003 mg kg/min ketamine following by a postoperative i.v. infusion with 0.0015 mg/kg/min ketamine during the first postoperative 48 h | 48 h postoperatively | 1 and 3 months |
| (b) Placebo (saline) same infusion modalities | |||||||
| Mendola et al. [26] | Double-blinded, randomised, placebo-controlled | 57 | Thoracotomy | Yes | (a) Placebo (saline) | After 60 h | 1, 3 and 6 months |
| (b) 0.1 mg/kg/h ketamine as i.v. infusion | |||||||
| Remérand et al. [29] | Double-blinded, randomised, placebo-controlled | 154 | Total hip arthroplasty | Yes | (a) 0.5 mg/kg ketamine as i.v. bolus before incision and 0.002 mg/kg/h ketamine as i.v. infusion for 24 h | After 24 h | 1, 3 and 6 months |
| (b) Placebo (saline) | |||||||
| Spreng et al. [27] | Double-blinded, randomised placebo-controlled | 77 | Haemorrhoidectomy | No | (a) Placebo (saline) | End of surgery | 3 months |
| (b) 0.35 mg/kg ketamine as i.v. bolus before surgery and 0.005 mg/kg/min ketamine as i.v. infusion | |||||||
| Suzuki et al. [28] | Double-blinded, randomised, placebo-controlled | 49 | Thoracotomy | Yes | (a) 0.05 mg/kg/h ketamine as i.v. infusion for 72 h, additional continuous epidural infusion for 48 h with 0.05 mg/ml morphine and 0.15% ropivacaine | After 72 h | 1, 3 and 6 months |
| (b) Placebo (saline) i.v. for 72 h, additional continuous epidural infusion for 48 h with 0.05 mg/ml morphine and 0.15% ropivacaine | |||||||
| Bilgen et al. [22] | Double-blinded, randomised, placebo-controlled | 140 | Caesarean delivery | Yes | (a) Placebo bolus (saline) | After preliminary medication | 1, 6 and 12 months |
| (b) 0.25mg/kg ketamine as i.v. bolus | |||||||
| (c) 0.5 mg/kg ketamine as i.v. bolus | |||||||
| (d) 1 mg/kg ketamine as i.v. bolus | |||||||
| Sen et al. [21] | Double-blinded, randomised, placebo-controlled | 60 | Abdominal hysterectomy | No | (a) Placebo (saline) | Single dose of gabapentin given before incision, ketamine given before incision and during surgery | 1, 3 and 6 months |
| (b) 0.3 mg/kg ketamine as i.v. bolus before incision and 0. 05 mg/kg/h ketamine as i.v. infusion up to the end of surgery | |||||||
| (c) 1.2 g gabapentin as i.v. bolus | |||||||
| Svetičič et al. [23] | Double-blinded, randomised | 352 | Major orthopaedic | Yes | Two patient-controlled analgesia groups: (a) Morphine 1.5 mg as i.v. bolus | Postoperative patient-controlled analgesia, with individual stop | 3 and 6 months |
| (b) Morphine 1.5 mg and ketamine 1.5 mg as i.v. bolus |
Visual Analogue Scale (VAS) and Numerical Rating Scale (NRS) ratings were treated in the same fashion. All studies recorded patients’ postoperative pain in at least one ketamine and one control group. We used a binary system to determine outcome regarding the presence or absence of pain (i.e., “pain” vs. “no pain”). This outcome was used in the meta-analysis to establish whether patients suffered from postoperative pain in the ketamine vs. the control group in the considered studies. Therefore, the binary outcome could be obtained with a dichotomisation of the individual patient data where available. The cut-off value used for the VAS/NRS scales was 3 (scale: 0–10) indicating that VAS/NRS measurements are classified as pain if they are >3, realising, that this is an assumption. Therefore, we also performed an analysis with a cut-off value of VAS/NRS of 2. Nevertheless, a cut-off difference of 3 is a generally well-accepted value and has clinical impact in view of quality of life. Pain recorded 1, 3, 6 and 12 months after surgery was analysed separately. One study [11] with pain outcome after 6 weeks and 4 months was handled as outcome after 1 month and 3 months, respectively. The already dichotomised values reported by De Kock et al. [19] were included in either case. Furthermore, separate analyses were conducted for pain recorded at rest and for pain recorded in motion. For the outcome of studies that did not make this distinction, it was assumed that the pain assessments were performed at rest.
The calculation of random effects estimates for the pooled relative risks (RR) was done using the Mantel-Haenszel method (except for putative meta–analyses including only a single study, where the inverse variance method was used). For each meta-analysis, the results were summarised in a forest plot, indicating the number of patients with and without pain in the ketamine and the control groups, RR and 95% confidence intervals (CI) for the individual studies, their weights for the pooled estimates, the pooled random effects RR estimates with 95% CI, and the heterogeneity statistics I2 and τ with associated p value. A 95% CI for an RR not containing the value 1 is equivalent to a significant hypothesis test at the 5% significance level.
To be able to judge the sensitivity of the pooled RR estimates with regard to the cut-off value for pain on the VAS/NRS scales, the meta-analyses were repeated for each of the cut-off values 0.0, 0.1, ..., up to 10.0. The pooled RR estimates with associated 95% CI were then plotted against the corresponding cut-off values.
2.6 Analysis software
All analyses were conducted and all plots were produced with R (R Core Team, 2014, version 3.1.0).
3 Results
3.1 Study selection
The electronic search (Appendix 1) of the initially identified papers led to the identification of 1893 papers (Fig. 1). The results of this initial search were reduced to 54 papers after reviewing the titles and abstracts. These 54 papers were read entirely; 14 of them met the inclusion criteria with a total of 1471 patients. The review of the reference lists of these 14 papers identified 9 others, none of which met the inclusion criteria. One of the included papers [20] reported on measuring long-term pain but did not report the results in detail. Consequently, this paper had to be excluded.

Search results.
Three studies [21–23] had to be excluded from the comprehensive meta-analysis secondarily because of the following reasons. From one study [21], raw data were not available, and the publication did not allow data extraction. The study by Bilgen et al. [22] was not included because chronic pain was not recorded on a NRS/VAS but rather on a nominal scale with four categories. The study by Svetičič et al. [23] could not be included in the meta-analysis, because the loss of follow-up data was too high. In summary, raw data were available from tenstudies [11,12,19,24–30], which could be included.
Ten papers [11,12,19,24–30] with a total of 784 patients were used for the systematic review and the comprehensive metaanalysis. Study characteristics are shown in Table 1.
Overview of the studies included in the comprehensive meta-analysis. Overview of the studies secondarily excluded from the comprehensive meta-analysis.
3.2 Study quality
Most of the included studies were of high quality according to the Oxford scale (minimum 0, maximum 5) and rated between four [30] and five [11,12,19,25–27,29]. One paper [24] had a score of three. Nine of the papers [11,12,19,24–26,28–30] included in metaanalysis were double-blinded, randomised, placebo-controlled studies. One study [30] was not double-blinded, but randomised and placebo-controlled. The smallest study [24] included 36 and the largest [29] 154 patients.
3.3 Study characteristics
All papers were published between 2001 and 2012. The 10 studies included in the meta-analysis reported pain 1 month [19,25,26,28,29] 6 weeks [11],2 months [26], 3 months [12,24–29], 4 months [11,26], 5 months [26] and 6 months [19,26,28–30] after surgery. Only two studies [19,28] reported on chronic pain 12 months postoperatively.
Some studies reported pain for further time points (hours [11,12,19,24–28] or days [11,19,24–30] after surgery) and under other conditions (such as coughing [19,25,28], defecating [27], sitting [27], etc.) after operation, which are not considered here.
All studies recorded patients’ postoperative pain in at least one ketamine and one control group on the VAS [11,12,19,24] or NRS [25,26,29,30]. Two studies [27,28] used both NRS and VAS as pain scores. Five studies [11,19,24,28,30] assessed allodynia and hyperalgesia. All included studies measured opioid consumption with four exceptions [25–28].
Six studies [12,24,25,27–29] made a distinction between pain at rest and pain in motion.
3.4 Type of surgery
Two papers examined patients with orthopaedic surgery [12,29], four papers with thorax surgery [11,25,26,28], one paper each with breast surgery [24], rectal surgery [19], leg amputation [30] and haemorrhoidectomy [27]. Detailed information on the surgical techniques is provided in Table 2.
Information on surgery details of the included studies to meta-analysis.
| Type of surgery | Surgery details | |
|---|---|---|
| Crousieret al. [24] | Mastectomy | No age limitations |
| Radical mastectomy with axillary dissection for adenocarcinoma | ||
| Preoperative chemotherapy | ||
| De Kocket al. [19] | Rectal adenocarcinoma surgery | 55-75 year-old patients |
| Curative surgical resection of rectal adenocarcinoma | ||
| Xypho-pubic incision | ||
| ASA I-III patients | ||
| Surgical procedures were uneventful | ||
| Duale et al. [11] | Thoracotomy | Elective partial pneumonectomy and thoracotomy (was chosen to reduce the rate of postoperative complications compared with total resection; lower number of nerve lesions) |
| Standardised procedures by a senior surgeon | ||
| Dullenkopfet al. [12] | general surgical or orthopaedic operations | Surgeryduration: 30-120min |
| Hospitalisation: 48 h | ||
| Patients older than 18 years | ||
| Moderate surgery | ||
| General surgery: n = 75 | ||
| Orthopaedic surgery: n = 45 | ||
| Hayes et al. [30] | Lower limb amputation | Above- or below-knee amputation |
| Lower limb amputation because of peripheral vascular disease, cancer or chronic infection | ||
| 1 patient with osteosarcoma | ||
| 1 patient with osteomyelitis | ||
| 1 patient with Charcot's arthropathy (CA) | ||
| All patients (expect the person with CA) | ||
| had preoperative pain in the limb to be amputated | ||
| Lack of standardisation of surgical procedures | ||
| Surgeons with different levels of experience | ||
| Joseph et al. [25] | Thoracotomy | Lobectomy or more and partial lobectomy |
| Lateral thoracotomy and posterolateral thoracotomy | ||
| Same surgical team performed all procedures | ||
| Incision in 5th intercostal space | ||
| Two chest tubes placed before skin closure | ||
| Duration of surgery: 25-180 min | ||
| Duration of pulmonary exclusion: 20-135 min | ||
| Mendola et al. [26] | Thoracotomy | Muscle-sparing posterolateral elective thoracotomy in the 5th intercostal space |
| Same surgeon Surgical indication: pulmonary lobectomy (42), atypical resection (10), pneumonectomy (7), pleurectomy (4), bullectomy, adenectomy, diaphragmatic surgery (1 each) | ||
| Remérand et al. [29] | Total hip arthroplasty | Non-oncologic patients |
| Surgical approach: posterolateral/anterolateral/trochanterotomy | ||
| Different types ofhip arthroplasty: femoral prosthesis with cement, cotyle prosthesis with cement, surgeons were blinded to the study allocation | ||
| Spreng et al. [27] | Haemorrhoidectomy | Day-care elective haemorrhoidectomy |
| Local anaesthesia (10-20 ml bupivacaine 2.5 mg/ml + epinephrine 5 μg/ml injected in the surgical field | ||
| Suzuki et al. [28] | Thoracotomy | Standard open thoracotomy |
| Surgical manipulations: | ||
| Cutting a rib | ||
| Rib reconstruction with pin | ||
| Cutting and reconstruction of one or more muscles (e.g. M. lattisimus dorsi) | ||
| Incision length approx. 15 cm |
3.5 Type of peri- and postoperative ketamine analgesia
Seven studies [11,12,24–27,30] reported a negative outcome concerning chronic pain using ketamine before incision and during surgery. One [19] of the three studies [19,28,29] with a positive outcome concerning chronic pain used an epidural mode of ketamine application. In the other study [28], an epidural was used for a purpose independent from ketamine administration. Remérand et al. [29] did not use an epidural route for ketamine administration or for local anaesthetic application.
3.6 Detailed description of studies with positive outcome concerning chronic pain
Three studies [19,28,29] with a total of 303 patients reported on positive results (Table 1). Two of which [19,28] used epidural analgesia during the intra- and postoperative period.
De Kock et al. [19] reported on 100 patients scheduled for rectal adenocarcinoma surgery under combined epidural/general anaesthesia. They established five study arms: (a) a 0.25 mg/kg intravenous ketamine bolus before incision and infusion with 0. 125 mg/kg/h ketamine, (b) a 0.5 mg/kg intravenous ketamine bolus before incision and infusion of 0.25 mg/kg/h ketamine, (c) a 0.25 mg/kg epidural ketamine bolus before incision and epidural infusion of 0.125 mg/kg/h ketamine, (d) a 0.5 mg/kg epidural ketamine bolus before incision and epidural infusion of 0.25 mg/kg/h ketamine and (e) an intravenously delivered placebo. All intravenous and epidural analgesics were stopped at the end of surgery, and intravenous patient-controlled analgesia was installed. Mechanical wound hyperalgesia was tested 1, 6 and 12 months after surgery. Significantly fewer patients in group (b) suffered from residual pain of the surgical area and required analgesics after 1 and 6 months (0 of 19 patients in the ketamine group, and 5 of 19 and 6 of 18 patients after 3 and 6 months, respectively, in the placebo group). In all the patients experiencing residual pain, paracetamol or occasionally paracetamol plus codeine (2 patients) was sufficient to alleviate pain. At 6 months, resurgence of pain symptoms occurred in four patients and at 1 year in one additional patient. In each of these patients, a recurrence of the neoplastic disease was diagnosed. Raw data for the thorough analysis were not available, but dichotomised data were reported in the publication.
Remérand et al. [29] studied the administration of 0.5 mg/kg ketamine before incision with an infusion of 0.002 mg/kg/min ketamine intraoperatively in a total of 154 hip arthroplasty patients compared with placebo. Patients were interviewed after 1, 3 and 6 months by phone for pain location, pain intensity (at rest and while walking), need for help while walking and analgesic consumption. After 1, 3 and 6 months, patients with ketamine less frequently reported pain at rest but not while walking. No difference in analgesic consumption was observed. After 1 month, patients from the placebo group needed two crutches more often than those from the ketamine group; this difference was not observable after 3 and 6 months. Patients with pain after 6 months used analgesics more often than the patients without chronic pain in the operated hip. Upon request, we received the raw data from the authors.
Suzuki et al. [28] examined 49 patients with thoracotomy. All patients received an epidural infusion for two days with ropivacaine and morphine. In parallel, half of them had an infusion with placebo, the other half an intravenous infusion of 0.05 mg/kg/h ketamine for three days. One, 3 and 6 months after surgery, patients were phoned at home and scored on their usual (baseline) pain and their worst pain. Furthermore, unpleasant sensations on the surgical wound were registered. After 1 and 3 months, baseline pain scores were significantly lower in the ketamine than in the placebo group, but not after 6 months. Significantly fewer patients reported usual pain and took analgesics after 3 months, but not after 1 and 6 months. During the whole observation period, approximately 80% reported unpleasant sensations on the surgical wound (no differences between the two groups). Differences for worst pain were not significantly different in the two groups. Upon request, we received the raw data from the authors.
All three studies [19,28,29] with positive outcome reported that there were no differences between the different groups concerning side effects. One study [29] reported an insignificant trend towards less nausea in the ketamine group.
3.7 Detailed description of studies with negative outcome concerning chronic pain
Seven studies [11,12,24–27,30] with a total of 481 patients remained for the detailed meta-analysis. Two [25,26] of the included studies with a negative outcome administered epidural analgesia intra- or postoperatively.
Crousier et al. [24] reported on 36 patients who underwent mastectomy. Before skin incision, 0.5 mg/kg ketamine followed by an infusion of 0.25 mg/kg/h ketamine was administered intravenously and was discontinued at the end of surgery. The other group received placebo in the same modality. At 3 months, there were no significant differences in the incidence of chronic pain and on quality of life in 30 study patients. However, the authors found a statistically insignificant tendency towards decreased hyperalgesia around the scar. Upon request, we received the raw data from the authors.
Dualé et al. [11] examined 86 patients scheduled for partial pneumonectomy. One group had 1 mg/kg ketamine before incision then 1 mg/kg/h during surgery and 1 mg/kg ketamine up to 24 h after surgery; the other group received placebo. The two groups were similar in terms of pain and intake of analgesics 6 weeks and 4 months after surgery. In this study, ketamine failed to prevent chronic pain after surgery. Furthermore, during the period of treatment there was no difference between the two groups in the rate of the adverse effects of analgesic drugs. The authors of this study are convinced that the consistency of their results for all the study endpoints and the size of their study population do not justify further trials with a similar protocol. Upon request, we received the raw data from the authors.
Dullenkopf et al. [12] studied 120 patients undergoing general orthopaedic surgery. Patients were randomly assigned to three groups: those receiving a 0.15 mg/kg intravenous ketamine bolus, a 0.5 mg/kg intravenous ketamine bolus and an intravenous placebo before skin incision. In this setting, the authors found that a single dose of intravenous ketamine before incision does not reduce postoperative pain 3 months after surgery. Patients receiving a 0.5 mg/kg ketamine bolus stayed in the recovery room significantly longer (approx. 20 min) than those in the 0.15 mg/kg or placebo group. One patient in the 0.5 mg/kg group complained about bad dreams, another about hallucinations. Otherwise, there were no differences concerning side effects in the three groups. Upon request, we received the raw data from the authors.
Hayes et al. [30] studied 45 patients who underwent leg amputation surgery. The patients were divided randomly into two groups: (a) placebo for 72 h after surgery and (b) a 0.5 mg/kg ketamine bolus before surgery and an infusion of 0.15 mg/kg/h ketamine for 72 h after surgery. The authors found no significant difference in the surface area of stump allodynia or in morphine consumption. However, they found an unexplained significant increase in the incidence of stump pain in the ketamine group on day 3. Although 6 months after surgery the incidence of phantom limb pain was 47% in the ketamine group and 71% in the placebo group, the difference did not reach statistical significance, as the power of the study was based on a large treatment effect. It is remarkable that the authors of this study also treated patients during 72 h postoperatively and found a marked reduction of pain. However, their population size was too small to reach statistical significance for their predefined effect size. There were no between-group differences concerning side effects. Upon request, we received the raw data from the authors.
Joseph et al. [25] performed a double-blinded randomised placebo-controlled study including 60 patients undergoing thoracotomy. They formed two groups. The ketamine (intervention) group received an intravenous bolus of ketamine with a following continuous infusion of ketamine. During anaesthesia induction time, patients in the intervention group received 0.5 mg/kg ketamine, followed by a continuous infusion of ketamine at a rate of 3 μg/kg/min, and afterwards 1.5 μg/kg/min ketamine for the next 48 postoperative hours. The placebo group received normal saline under the same modalities. In each group, patients received patient-controlled epidural analgesia with 1.5 mg/ml ropivacaine with a continuous infusion rate of 5 ml/h and on request a 5 ml bolus with a lockout time of 30 min. Pain was assessed in the acute postoperative phase until 48 h and after 1 and 3 months after surgery. Upon request, we received the raw data from the authors.
Mendola et al. [26] reported about 66 thoracotomy-patients in a double-blinded, randomised, placebo-controlled trial. Patients were allocated to two groups. Those in the intervention group (a) received an intravenous infusion with 0.1 mg/kg/h ketamine. Group (b) patients received the same regimen with 0.9% normal saline. The infusion started before the surgery for a period of 60 h. Pain scores were assessed after 1, 3 and 6 months, but there was no significant difference for NRS means during the observation period. There was also no significant difference in side effects between the groups. The authors supposed that these findings correlated with low NRS scores in the perioperative period due to the use of thoracic epidural anaesthesia during the first 60 h after surgery. Furthermore, they found an overall lower incidence of POCP than previously described in the literature. Upon request, we received the raw data from the authors.
Spreng et al. [27] arranged a study with 77 patients, who underwent haemorrhoidectomy. This trial was double-blinded, randomised and placebo-controlled, and patients were analysed in two groups. Whereas the first group received a 0.35 mg/kg ketamine bolus before surgery with a following ketamine infusion of 0.005 mg/kg/min until the end of surgery, the second group received the equivalent regimen with placebo. After 3 months, no statistical significance was found between the two groups concerning the NRS pain scores. Only a low number of patients in both groups complained about pain with NRS ≥3 (six patients in the ketamine group and three patients in the placebo group).
3.8 Synthesis of results
In the following, the results of the meta-analysis are reported as estimates of the pooled RR together with their 95% CI. The results for the supplementary analysis for the cut-off ≥2 are mentioned as qualitatively differences. The forest plots are given in Figs. 2–5. They summarise the results for 1, 3 and 6 months after operation at rest (A) and in motion (B), respectively. There was only a single study with results for pain in motion after 12 months.

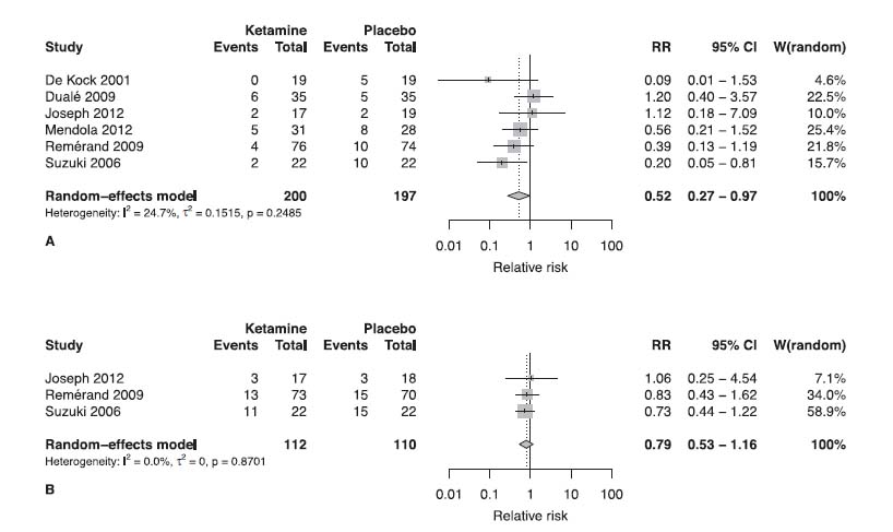
Forest plot for meta-analysis for pain at rest (A) and in motion (B) after 1 month with a cut-off value of ≥ 3.

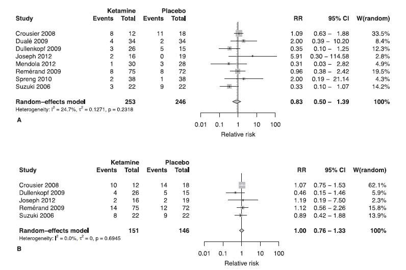
Forest plot for meta-analysis for pain at rest (A) and in motion (B) after 3 months with a cut-off value of ≥ 3.

Forest plot for meta-analysis for pain at rest (A) and in motion (B) after 6 months with a cut-off value of ≥ 3.

Forest plot for meta-analysis for pain at rest after 12 months with a cut-off value of ≥3.
The 2-, 4- and 5-month data of Mendola et al. [26] were not included, since data for 1, 3 and 6 months were available.
3.9 Meta-analysis of postoperative pain at rest and in motion after 1 month
Five studies [19,25,26,28,29] for pain at rest and three [25,28,29] for pain in motion after 1 month could be included. One study [11] measured outcome 6 weeks after surgery and was considered to be equal to pain after 4 weeks. Three [19,28,29] of these 6 studies reported a positive pain outcome. The calculated RR for pain at rest was 0.52 (95% CI 0.27–0.97) and was, thus, marginally significantly different from the null hypothesis value of RR of 1. The derived RR for pain in motion was 0.79 (95% CI 0.53–1.16) and was, therefore, not significantly significant (Fig. 2).
3.10 Meta-analysis of postoperative pain at rest and in motion after 3 months
Seven studies [12,24–29] for pain at rest and 5 studies for pain in motion after 3 months could be included. Again, the study by Duale et al. [11] measured outcome 4 months after surgery and was considered to be equal to pain after 3 months. The RR for pain at rest was 0.83 (95% CI 0.50–1.39) and the RR for pain in motion was 1.00 (95% CI 0.76–1.33) and was, therefore, not statistically significant (Fig. 3).
3.11 Meta-analysis of postoperative pain at rest and in motion after 6 months
Five studies [19,26,28–30] for pain at rest and two studies
[28,29] for pain in motion after 6 months could be included. The RR for pain at rest was 0.79 (95% CI 0.27–2.31) and the RR for pain in motion was 0.99 (95% CI 0.56–1.76) and was, therefore, not statistically significant (Fig. 4).
3.12 Meta-analysis of postoperative pain after 12 months at rest and in motion
Two studies [19,28] for pain at rest after 12 months could be included. One [28] of the two studies reported on pain after 12 months at rest and in motion only in the raw data but not in the printed version of the paper. The RR for pain in motion in this study with a cut-off set to >3 was 1.16 (95% CI 0.33–4.01). The other paper [19] only reported on pain at rest 12 months postoperatively. The RR for pain at rest was 0.56 (95% CI 0.07–4.66) (Fig. 5).
In conclusion, only the analysis on postoperative pain at rest after 1 month resulted in a marginally significant reduction of chronic postoperative pain using ketamine. All other meta-analyses resulted in pooled RR estimates that were not significantly different from 1.
The sensitivity of the pooled RR with regard to the choice of the VAS/NRS cut-off value defining pain is illustrated in Fig. 6. Only the analyses for pain at rest 1 month and in motion 6 months postoperatively seem to be slightly sensitive to the chosen cut-off value and may result in pooled RR estimates that are significantly smaller than 1.

Sensitivity of the meta-analysis with regard to the choice of the cut-off value (pain is defined as VAS/NRS ≥ cut-off value). The pooled RR estimates of the random effects model (straight lines), together with their 95% CI (dotted lines) are plotted vs. the cut-off values ranging from 0to10. The y axis is log-transformed.
A compilation of the random-effects meta-analysis model results for the cut-off value ≥3 is given in Fig. 7, which again shows that only a single meta-analysis resulted in a significant reduction of chronic postoperative pain using ketamine in the perioperative setting.

Compilation of pooled relative risks (RR) from random-effects models (cut-off value ≥ 3). Note that the estimate for 12 months in motion is based on a single study.
Funnel plots were created to detect publication bias. The interpretation proved to be arbitrary, as we could not include more than 8 studies per meta-analysis. Overall the existing funnel plots do not show clear asymmetries, hence, there is no clear evidence for publication bias.
4 Discussion
4.1 Summary of evidence
In this systematic review with meta-analysis, we were not able to show that the perioperative administration of intravenous ketamine leads to a statistically and clinically significant decreased incidence of chronic postoperative pain.
POCP is a major problem [1]. The estimates of incidence rates are between 10 and 50%. Two to 10% of these patients develop severe chronic pain syndromes [2,3]. The socioeconomic burden is huge, especially if young people with consequent work disability are concerned. Different techniques were used and studied to decrease the incidence of chronic postoperative pain. One of which is the administration of ketamine during the perioperative period.
In this meta-analysis, we tried to confirm the preventive effect of ketamine, as three publications [19,28,29] have shown before. Two [19,28] of the three studies with positive outcomes but only two [25,26] of the seven studies with negative outcome used postoperative epidural analgesia. Therefore, it can be hypothesised that a substantial part of the preventive analgesic effect could be due to the use of an epidural analgesia. Lavand’homme et al. [31] reported on results confirming a major influence of epidural analgesia on the development of chronic postoperative pain. So one could argue that only the combination of a regional analgesia technique and the administration of ketamine might have preventive properties. But we could identify two studies [25,26] with patient-controlled epidural analgesia combined with i.v. ketamine in thoracic surgery patients, which found no differences in the development of POCP compared to placebo. A possible explanation for this phenomenon could be a distinct pain relief from the epidurals, so that the prevalence of severe pain even in the placebo group could have been so low that it was impossible to detect a difference. One [26] of these two studies found an overall lower incidence of POCP than previously described in the literature. The authors supposed that these findings correlate with low NRS scores in the perioperative period due to the use of thoracic epidural anaesthesia during the first 60 h after surgery.
So we can speculate that high-quality pain management after surgery, extending into the early period after discharge from hospital, is the crucial factor to prevent POCP [32]. Perhaps, the technique used is not as important as initially thought. Probably more important is the degree to which the chosen analgesic technique relieves the acute and subacute pain. A study by Tiippana et al. [32] could demonstrate that the use of epidural analgesia could reduce the risk of POCP to 25%. Combined with i.v. analgesics, the reduction was nearly zero [33]. Furthermore, a Cochrane review identified a number needed to treat of four in order to prevent one of four patients from POCP after thoracotomy if epidural anaesthesia was used [34].
Furthermore, it could be argued that the preventive effect of ketamine depends on the type of surgery. Studies reporting on positive outcomes in our analysis were performed for thoracic [28], orthopaedic [29] and visceral surgery [19]. On the other hand, we found at least for thoracic surgery contradicting results with negative outcomes [11], so, it seems unlikely that the type of surgery was a major factor for positive or negative outcomes.
4.2 Limitations
There are some limitations to our analysis. First of all, regarding the heterogeneity of the studies, patient number per study varied from 36 to 154 patients. Thereby, size is crucial to avoid bias [35]. Considering heterogeneity of anaesthetic techniques and comedications that may or may not reduce the risk of POCP, it becomes difficult or even impossible to detect a specific effect from a brief administration of ketamine. On the other hand, we were not able to find any relationship between study size and positive outcome in our analysis. Nevertheless, the results demonstrate evidence of a lack of effect at 3–6 months.
A second aspect relating to the number of patients is the overestimation of the treatment effects of a study with a low number of participants [36,37]. In this meta-analysis, seven studies [11,24–28,30] with a patient number of less than 100 were included. Three [24,28,30] investigated less than 50 patients.
None of the meta-analyses included more than 8 studies, thus, funnel plots for example are not appropriate to identify small study effects and publication bias. The funnel plots of our meta-analyses do not show tendencies of asymmetrical distributions, thus, we have no strong evidence for publication bias.
A third aspect regarding to the heterogeneity of the included studies are the different types of surgery and variation in duration and severity of the procedure.
Furthermore, the perioperative ketamine and analgesia regimen differed considerably between the studies. Therefore, it is difficult to detect a specific effect from a short administration of ketamine. Theoretically, it could be that all of the studies with negative results used an incorrect or insufficient dose regimen. It is not known which ketamine dose regimen is the most appropriate to prevent chronic pain.
It is also difficult to evaluate whether pain reduction is due to the ketamine application or to the postoperative analgesia regimen (e.g., gabapentin, regional analgesia, morphine and/or non-opioid analgesics). In previous studies, it was shown that gabapentin [38,39] and regional anaesthesia [34,40] are efficient in postoperative pain reduction. In our review, two studies with negative outcome [25,26] used additional regional anaesthesia, both in epidurally. On the other hand, one study [11] with a reported negative outcome used a higher ketamine dose regimen than the three studies [19,28,29] with reported positive outcome. Thus, it seems unlikely that this is a major bias concerning our negative results.
Fifth, a further critical aspect is the number of identified and included studies. Despite a comprehensive literature search, only 10 papers with 784 patients were identified for inclusion in the comprehensive meta-analysis.
Another limitation is the assessment of chronic pain at different times in the individual trials. This complicates the pooling of data and aggravates its interpretation.
Further the assessment of late postoperative pain by telephone [29] and short analgesic interventions in more than half of the studies (<24 h) [11,12,19,24,29] are also issues that are difficult to analyse.
4.3 Implications
It can be hypothesised, that regional anaesthesia in addition to the administration of perioperative ketamine has a preventive effect on the development of chronic postoperative pain. In consideration of the fact that central sensitisation and reaction to surgical trauma extended into the early period and after discharge from the hospital, high-quality pain management in the early period after surgery and when first arriving home is crucial [32]. Therefore, ketamine may have a place in the perioperative period and it can be assumed that it is useful to administer a ketamine infusion for at least for 72h [16].
5 Conclusion
Based on our available data with some limitations, evidence is currently insufficient to support a reduction in chronic pain due to perioperative administration of ketamine. However, there is good evidence from recent studies that intra- and postoperative ketamine can reduce immediate acute postoperative pain especially if severe postoperative pain can be expected and regional anaesthesia techniques are impossible [14,15].
For the moment, it seems that we have to look further for the magic bullet to prevent chronic postoperative pain.
Highlights
The perioperative use of ketamine does not prevent postoperative chronic pain.
One month after surgery there was a marginal reduction of postoperative chronic pain using ketamine.
Regional anaesthesia combined with ketamine might have a preventive effect.
DOI of refers to article: http://dx.doi.org/10.1016/j.sjpain.2015.02.001.
-
Summary statement A systematic review with a comprehensive meta-analysis demonstrated that intra- and postoperatively administered ketamine is not effective to prevent chronic postoperative pain.
-
Funding Support was provided solely from departmental sources.
-
Conflict of interest There are no conflicts of interest to declare.
Acknowledgements
We would like to thank Allison Dwileski, BS, scientific secretary, Department for Anaesthesia, Surgical Intensive Care, Prehospital Emergency Medicine and Pain Therapy, University Hospital of Basel, Switzerland, for providing editorial assistance. We would also like to thank all of the authors who gave us their raw data to perform a more precise analysis: Assist. Prof. S. Bilgen, C. Mendola & Prof. F. Della Corte, Dr. C. Dualé, PD Dr. A. Dullenkopf, Dr. C. Hayes, Dr. F. Remérand, Dr. M. Suzuki, Dr. G. Svetičič, Dr. C.Joseph, Dr. U. Spreng.
Appendix 1 Electronic search strategy for PubMed
Search “Ketamine”[MeSH]
Search “Receptors, N-Methyl- D-Aspartate” [MeSH]
Search “N-Methylaspartate” [MeSH]
Search “Anaesthetics” [MeSH] AND “dissociative” [MeSH]
Search (ketamin* OR ketala*)
Search “Pain” [MeSH] AND “postoperative” [MeSH]
Search “Analgesia” [MeSH]
Search #1 OR #2 OR #3 OR #4 OR #5
Search #6 OR#7
Search #8 AND #9
The search strategies of the Cochrane Library and EMBASE were performed in a similar way. Afterwards the search results were combined.
References
[1] Dahl JB, Kehlet H. Preventive analgesia. Curr Opin Anaes the siol 2011;24:331–8.Search in Google Scholar
[2] Kehlet H, Jensen TS, Woolf CJ. Persistent postsurgical pain: risk factors and prevention. Lancet 2006;367:1618–25.Search in Google Scholar
[3] Chauvin M. [Chronic pain after surgery]. Presse Med 2009;38:1613–20.Search in Google Scholar
[4] Merskey H, Bogduk N. Classification of chronic pain: descriptions of chronic pain syndromes and definitions of painterms. 2nd ed. Seattle: IASP Press; 1994.Search in Google Scholar
[5] Macrae WA, Davies HTO. Chronic postsurgical pain. In: Crombie IK, Linton S, Croft P, Von Korff M, LeResche L, editors. Epidemiology of pain. Seattle: IASP Press; 1999. p. 125–42.Search in Google Scholar
[6] Romundstad L, Breivik H, Roald H, Skolleborg K, Romundstad PR, Stubhaug A. Chronic pain and sensory changes after augmentation mammoplasty: long term effects of preincisional administration of methylprednisolone. Pain 2006;124:92–9.Search in Google Scholar
[7] Eisenach JC. Preventing chronic pain after surgery: who, how, and when. Reg Anesth Pain Med 2006;31:1–3.Search in Google Scholar
[8] Dahl JB, Erichsen CJ, Fuglsang-Frederiksen A, Kehlet H. Pain sensation and nociceptive reflex excitability in surgical patients and huma volunteers. Br J Anaesth 1992;69:117–21.Search in Google Scholar
[9] Gottschalk A, Cohen SP, Yang S, Ochroch EA. Preventing and treating pain after thoracic surgery. Anesthesiology 2006;104:594–600.Search in Google Scholar
[10] Brennan TJ, Kehlet H. Preventive analgesia to reduce wound hyperalgesia and persistent post surgical pain:notaneasy path. Anesthesiology2005;103:681–3.Search in Google Scholar
[11] Dualé C, Sibaud F, Guastella V, Vallet L, Gimbert YA, Taheri H, Filaire M, Schoef- fler P, Dubray C. Perioperative ketamine does not prevent chronic pain after thoracotomy. EurJ Pain 2009;13:497–505.Search in Google Scholar
[12] Dullenkopf A, Muller R, Dillmann F, Wiedemeier P, Hegi TR, Gautsch S. An intraoperative pre-incision single dose of intravenous ketamine does not have an effect on postoperative analgesic requirements under clinical conditions. Anaesth Intensive Care 2009;37:753–7.Search in Google Scholar
[13] Burton AW, Lee DH, Saab C, Chung JM. Preemptive intrathecal ketamine injection produces a long-lasting decrease in neuropathic pain behaviors in a rat model. Reg Anesth Pain Med 1999;24:208–13.Search in Google Scholar
[14] Laskowski K, Stirling A, McKayWP, Lim HJ.A systematic review of intravenous ketamine forpostoperative analgesia. Can J Anaesth2011; 58: 911–23.Search in Google Scholar
[15] Bell RF, Dahl JB, Moore RA, Kalso E. Perioperative ketamine for acute postoperative pain. Cochrane Database Syst Rev 2006,http://dx.doi.org/10.1002/14651858.CD004603.pub2. Issue 1. Art. No.: CD004603.Search in Google Scholar
[16] Stubhaug A, Breivik H, Eide PK, Kreunen M, Foss A. Mapping of punctuate hyperalgesia around a surgical incision demonstrates that ketamine is a powerful suppressor of central sensitization to pain following surgery. Acta Anaesthesiol Scand 1997;41:1124–32.Search in Google Scholar
[17] Jadad AR, Moore RA, Carroll D, Jenkinson C, Reynolds DJ, Gavaghan DJ, McQuay HJ. Assessing the quality of reports of randomized clinical trials: is blinding necessary. Control Clin Trials 1996;17:1–12.Search in Google Scholar
[18] Moher D, Liberati A, Tetzlaff J, Altman DG. Preferred reporting items for systematic reviews and meta-analyses: the PRISMA statement. BMJ 2009: 339.Search in Google Scholar
[19] De Kock M, Lavand’homme P, Waterloos H. ‘Balanced analgesia’ in the perioperative period: is there a place for ketamine. Pain 2001;92:373–80.Search in Google Scholar
[20] Kwok RF, Lim J, Chan MT, Gin T, Chiu WK. Preoperative ketamine improves postoperative analgesia after gynecologic laparoscopic surgery. Anesth Analg 2004;98:1044–9 (table of contents).Search in Google Scholar
[21] Sen H, Sizlan A, Yanarates O, Emirkadi H, Ozkan S, Dagli G, Turan A. A comparison of gabapentin and ketamine in acute and chronic pain after hysterectomy. Anesth Analg 2009;109:1645–50.Search in Google Scholar
[22] Bilgen S, Köner O, Türe H, Menda F, Fiçicioğlu C, Aykaç B. Effect of three different doses of ketamine prior to general anaesthesia on postoperative pain following Caesarean delivery: a prospective randomized study. Minerva Anestesiol 2012;78:442–9.Search in Google Scholar
[23] Sveticic G, Farzanegan F, Zmoos P, Zmoos S, Eichenberger U, Curatolo M. Is the combination of morphine with ketamine better than morphine alone for postoperative intravenous patient-controlled analgesia. Anesth Analg 2008;106:287–93.Search in Google Scholar
[24] Crousier M, Cognet V, Khaled M, Gueugniaud PY, Piriou V. Effect of ketamine on prevention of postmastectomy chronic pain. A pilot study. Ann Fr Anesth Reanim 2008;27:987–93.Search in Google Scholar
[25] Joseph C, Gaillat F, Duponq R, Lieven R, Baumstarck K, Thomas P, Penot-Ragon C, Kerbaul F. Is there any benefit to adding intravenous ketamine to patient- controlled epidural analgesia after thoracic surgery? A randomized doubleblind study. Eur J Cardiothorac Surg 2012;42:58–65.Search in Google Scholar
[26] Mendola C, Cammarota G, Netto R, Cecci G, Pisterna A, Ferrante D, Casadio C, Corte FD. S (+)-ketamine for control of perioperative pain and prevention of post thoracotomy pain syndrome: a randomized, double-blind study. Minerva Anestesiol 2012;78:757–66.Search in Google Scholar
[27] Spreng UJ, Dahl V, Raeder J. Effects of perioperative S (+) ketamine infusion added to multimodal analgesia in patients undergoing ambulatory haemor- rhoidectomy. Scand J Pain 2010;1:100–5.Search in Google Scholar
[28] Suzuki M, Haraguti S, Sugimoto K, Kikutani T, Shimada Y, Sakamoto A. Low- dose intravenous ketamine potentiates epidural analgesia after thoracotomy. Anesthesiology 2006; 105: 111–9.Search in Google Scholar
[29] Remérand F, Le Tendre C, Baud A, Couvret C, Pourrat X, Favard L, Laffon M, Fusciardi J. The early and delayed analgesic effects of ketamine after total hip arthroplasty: a prospective, randomized, controlled, double-blind study. Anaesth Intensive Care 2009;109:1963–71.Search in Google Scholar
[30] Hayes C, Armstrong-Brown A, Burstal R. Perioperative intravenous ketamine infusion for the prevention of persistent post-amputation pain: a randomized, controlled trial. Anaesth Intensive Care 2004;32:330–8.Search in Google Scholar
[31] Lavand’homme P, De Kock M, Waterloos H. Intraoperative epidural analgesia combined with ketamine provides effective preventive analgesia in patients undergoing majordigestive surgery. Anesthesiology 2005;103:813–20.Search in Google Scholar
[32] Tiippana E, Nelskylä K, Nilsson E, Sihvo E, Kataja M, Kalso E. Managing post-thoracotomy pain: epidural or systemic analgesia and extended care – a randomized study with an as usual control group. Scand J Pain 2014;5: 240–7.Search in Google Scholar
[33] Breivik H. Persistent post-surgical pain (PPP) reduced by high-quality management of acute pain extended to sub-acute pain at home. Scand J Pain 2014;5:237–9.Search in Google Scholar
[34] Andreae MH, Andreae DA. Local anaesthetics and regional anaesthesia for preventing chronic pain after surgery. Cochrane Database Syst Rev 2012:10.Search in Google Scholar
[35] Moore RA, Gavaghan D, Tramer MR, Collins SL, McQuay HJ. Size is everything - large amounts of information are needed to overcome random effects in estimating direction and magnitude of treatment effects. Pain 1998;78: 209–16.Search in Google Scholar
[36] Kjaergard LL, Villumsen J, Gluud C. Reported methodologic quality and discrepancies between large and small randomized trials in meta-analyses. Ann Intern Med 2001;135:982–9.Search in Google Scholar
[37] Nuesch E, Trelle S, Reichenbach S, Rutjes AW, Tschannen B, Altman DG, Egger M, Juni P. Small study effects in meta-analyses of osteoarthritis trials: meta- epidemiological study. BMJ 2010:341.Search in Google Scholar
[38] Clarke H, Bonin RP, Orser BA, Englesakis M, Wijeysundera DN, Katz J. The prevention of chronic postsurgical pain using gabapentin and pregabalin: a combined systematic review and meta-analysis. Anesth Analg 2012;115:428–42.Search in Google Scholar
[39] Solak O, Metin M, Esme H, Yaman M, Pekcolaklar A, Gurses A, Kavuncu V. Effectiveness of gabapentin in the treatment of chronic post-thoracotomy pain. Eur J Cardiothorac Surg 2007;32:9–12.Search in Google Scholar
[40] Weber T, Mätzl J, Rokitansky A, Klimscha W, Neumann K, Deusch E. Superior postoperative pain relief with thoracic epidural analgesia versus intravenous patient-controlled analgesi a afterminimally invasive pectus excavatum repair. J Thorac Cardiovasc Surg 2007;134:865–70.Search in Google Scholar
Abbreviations
- IASP
-
International Association for the Study of Pain
- NMDA
-
N-methyl-d-aspartate
- VAS
-
Visual Analogue Scale
- NRS
-
Numerical Rating Scale
- RR
-
relative risk
- CI
-
confidence interval
- POCP
-
postoperative chronic pain.
© 2015 Scandinavian Association for the Study of Pain
Articles in the same Issue
- Editorial comment
- The importance of studying personality traits and pain in the oldest adults
- Clinical pain research
- The influence of personality traits on perception of pain in older adults – Findings from the Swedish National Study on Aging and Care – Blekinge study
- Editorial comment
- Sinomenine is a promising analgesic and antihyperalgesic for pain and hypersensitivity in rheumatoid arthritis
- Original experimental
- Sinomenine alleviates mechanical hypersensitivity in mice with experimentally induced rheumatoid arthritis
- Editorial comment
- Oral immediate and prolonged release oxycodone for safe and effective patient controlled analgesia after surgery Can opioid for acute postoperative pain be improved by adding a peripheral opioid antagonist?
- Clinical pain research
- Oral oxycodone for pain after caesarean section: A randomized comparison with nurse-administered IV morphine in a pragmatic study
- Editorial comment
- Nitrous oxide in oxygen (50:50) is analgesic that requires optimal inhalation procedure
- Clinical pain research
- Nitrous oxide analgesia for bone marrow aspiration and biopsy – A randomized, controlled and patient blinded study
- Editorial comment
- Ketamine has anti-hyperalgesic effects and relieves acute pain, but does not prevent persistent postoperative pain (PPP)
- Systematic review
- Intra- and postoperative intravenous ketamine does not prevent chronic pain: A systematic review and meta-analysis
- Editorial comment
- Raising the standards of preclinical pain studies
- Topical review
- Experimental design and reporting standards for improving the internal validity of pre-clinical studies in the field of pain: Consensus of the IMI-Europain consortium
- Editorial Comment
- Single cases are complex Illustrated by Flink et al. ‘Happy despite pain: A pilot study of a positive psychology intervention for patients with chronic pain’
- Clinical pain research
- Happy despite pain: Pilot study of a positive psychology intervention for patients with chronic pain
Articles in the same Issue
- Editorial comment
- The importance of studying personality traits and pain in the oldest adults
- Clinical pain research
- The influence of personality traits on perception of pain in older adults – Findings from the Swedish National Study on Aging and Care – Blekinge study
- Editorial comment
- Sinomenine is a promising analgesic and antihyperalgesic for pain and hypersensitivity in rheumatoid arthritis
- Original experimental
- Sinomenine alleviates mechanical hypersensitivity in mice with experimentally induced rheumatoid arthritis
- Editorial comment
- Oral immediate and prolonged release oxycodone for safe and effective patient controlled analgesia after surgery Can opioid for acute postoperative pain be improved by adding a peripheral opioid antagonist?
- Clinical pain research
- Oral oxycodone for pain after caesarean section: A randomized comparison with nurse-administered IV morphine in a pragmatic study
- Editorial comment
- Nitrous oxide in oxygen (50:50) is analgesic that requires optimal inhalation procedure
- Clinical pain research
- Nitrous oxide analgesia for bone marrow aspiration and biopsy – A randomized, controlled and patient blinded study
- Editorial comment
- Ketamine has anti-hyperalgesic effects and relieves acute pain, but does not prevent persistent postoperative pain (PPP)
- Systematic review
- Intra- and postoperative intravenous ketamine does not prevent chronic pain: A systematic review and meta-analysis
- Editorial comment
- Raising the standards of preclinical pain studies
- Topical review
- Experimental design and reporting standards for improving the internal validity of pre-clinical studies in the field of pain: Consensus of the IMI-Europain consortium
- Editorial Comment
- Single cases are complex Illustrated by Flink et al. ‘Happy despite pain: A pilot study of a positive psychology intervention for patients with chronic pain’
- Clinical pain research
- Happy despite pain: Pilot study of a positive psychology intervention for patients with chronic pain