Abstract
Exponential decay laws describe systems ranging from unstable nuclei to fluorescent molecules, in which the probability of jumping to a lower-energy state in any given time interval is static and history-independent. These decays, involving only a metastable state and fluctuations of the quantum vacuum, are the most fundamental nonequilibrium process and provide a microscopic model for the origins of irreversibility. Despite the fact that the apparently universal exponential decay law has been precisely tested in a variety of physical systems, it is a surprising truth that quantum mechanics requires that spontaneous decay processes have nonexponential time dependence at both very short and very long times. Cold-atom experiments have proven to be powerful probes of fundamental decay processes; in this article, we propose the use of Bose condensates in Floquet–Bloch bands as a probe of long-time nonexponential decay in single isolated emitters. We identify a range of parameters that should enable observation of long-time deviations and experimentally demonstrate a key element of the scheme: tunable decay between quasi-energy bands in a driven optical lattice.
1 Introduction
Given the ubiquity of exponential decay, it is surprising that quantum mechanics requires that decay processes to a continuum with a ground state exhibit nonexponential long-time dynamics [1], [2], [3], [4], [5], [6]. Classic experiments on the subject include negative results from studies of 56Mn nuclear decay tests [7] and an indirect observation claimed in investigations of 8Be scattering phase shifts [8]. More recently, a variety of physical systems ranging from integrated photonics [9] to Feshbach molecules [10] have emerged as platforms for the exploration of nonexponential decay. Extensive theoretical work has been directed toward nonexponential decay of autoionising resonances in atomic systems [11], [12], [13] and laser-induced ionisation effects [14], [15], although this remains at the frontier of experimental feasibility.
Negative ions are often considered in this context, in part due to their simple structure: there is usually only one bound state and a few resonances that simplify the study of laser-induced negative ion photodetachment [14]. Another reason [2], [13] is the possibility of finding broad resonances decaying with a very small energy release, which, as discussed below, should result in a deviation at an earlier time when more is left of the parent. On the experimental side, however, negative ions also pose certain difficulties, especially due to the low target densities available. To our knowledge, no experiments on nonexponential decay in negative ions have been reported.
In a very different physical context, cold atoms in optical lattices can also serve as a probe of decay dynamics [16], as shown, for example, in two seminal experiments. The quantum Zeno effect was first detected using cold sodium atoms in an accelerated optical lattice [17]; more recently, non-Markovian long-time dynamics were observed in an optically dense ensemble of lattice-trapped atoms driven by an applied microwave field [18], [19]. These results demonstrate the promise of degenerate gases in optical lattices for observing long-time modifications to memoryless exponential decay in an ensemble of single emitters.
Here we propose the use of ultracold noninteracting 7Li Bloch oscillating in a tilted modulated optical lattice to directly observe long-time nonexponential interband decay. A schematic of the proposed setup and its relationship to an idealised decay process is presented in Figure 1. While the proposed experiments, in principle, can be performed in unmodulated lattices (in close analogy to [17] and to pioneering experiments in optical lattice Stückelberg interferometry [20]), we will show that signatures of nonexponential long-time evolution can be greatly enhanced using recently developed tools of Floquet engineering for modification and mapping of band structure [21], [22].

(a) Schematic of a potential in which nonexponential decay is expected. τ is the decay time of the exponential part of the tunnelling process, and
The proposed platform for the exploration of nonexponential decay has several unique advantages. Most important is the extreme tunability afforded by the use of flexible Floquet engineering techniques. Another key advantage, arising from the choice of atomic species, is the presence of broadly Feshbach-tunable interactions in 7Li. In this work, we emphasize the ability to access the single-emitter regime by tuning the scattering length to zero. However, the ability to work at arbitrary scattering length may also enable a future systematic study of the effects of interactions on spontaneous decay.
In Section 2 of this article, we review a heuristic explanation for nonexponential decay based on a simple analysis of the survival probability and the Breit–Wigner energy distribution. We present numerical calculations of the emergence of nonexponential behaviour as a result of imposing the lowest energy bound, revealing decay rate and decay energy as key parameters for experimental observation. In Section 3, we discuss the details and feasibility of the proposed experiment. In particular, we experimentally demonstrate the use of Floquet engineering to engineer the bandgap and tune the decay rate, a key step on the path to realisation of long-time nonexponential decay of an isolated emitter. Section 4 offers conclusions and outlook.
2 Origins of Nonexponential Decay
We begin by recalling a heuristic argument for nonexponential decay that makes no reference to the particular form of the unstable state or decay mechanism [5]. Given some initial state
Taking the overlap of (1) with
The survival probability is |A2|. A simple assumed form for the energy distribution
where E0 is the mode, and Γ is the linewidth. Inserting (3) into (2) and squaring yield the familiar result of exponentially decaying survival probability with decay rate
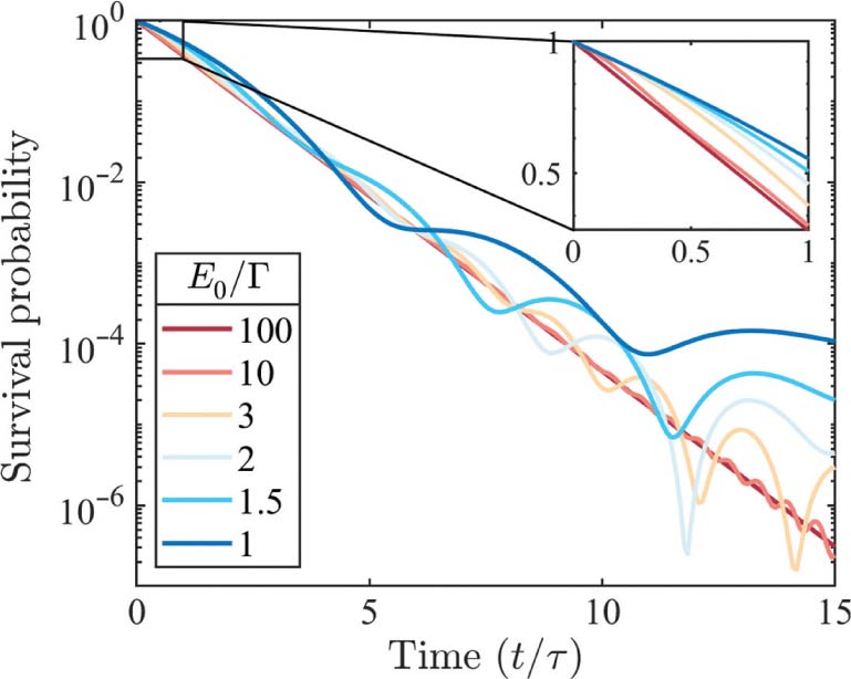
Nonexponential decay at long times arises from including in this simple argument the fact that real systems necessarily have the lowest energy state, requiring either a truncation of

Emergence of nonexponential decay due to truncation of the energy distribution. The survival probability is plotted versus time for various values of E0, as indicated in the legend. The ground state energy is set to 0. ℏ is set to 1 with time measured in lifetimes τ and energy in linewidths Γ. The inset highlights the largest deviations in the first lifetime.
It is instructive to compare these results to the prediction of [2] that the timescale τL for long time deviations is approximately given by
where E0 is the energy released in the decay. Intuitively, this indicates that

Nonexponential population dynamics as a function of time and the ratio
In passing, we note that short-time deviations from exponential decay arise from a related but distinct mechanism: the finite expectation value of energy leading to a survival probability with initially vanishing time derivative [24]. This phenomenon underlies the quantum Zeno effect, which was also first realised experimentally with cold atoms [25].
3 Probing Nonexponential Decay in Modulated Optical Lattices
The experimental probe of nonexponential decay we propose here is based on Bloch oscillations of an ultracold atom ensemble through partially avoided band crossings in modulated optical lattices. Our experimental platform consists of a Bose condensate of 1057Li atoms in a far-red-detuned (λ = 1064 nm) optical lattice. Interatomic interactions can be eliminated entirely using the shallow zero-crossing below 7Li’s broad magnetic Feshbach resonance [26]; this crucially allows us to probe the fundamental question of nonexponential decay of a single emitter. The lattice induces an energy band structure, shown in Figure 4, which can be probed with Bloch oscillations induced by an applied tilt of the harmonic magnetic confinement. In fact, the high tunnelling rate of 7Li enables spatial resolving of different band populations in situ without the use of band maps or time-of-flight imaging [22]. Time-periodic modulation of the lattice depth enables the creation of hybridised Floquet–Bloch bands [21] with a drive-dependent band structure; as argued below, this is a key capability for realistic observation of nonexponential decay.

Band structure of a 3.5 ER deep undriven optical lattice. Solid lines are the lowest three energy bands. Dashed line overlays the lattice potential in position space (top axis). Dotted black line depicts the drive hybridisation scheme used in Figure 5, ignoring coupling to higher bands.

Experimental demonstration of Floquet-tunable decay. (a) Images of a sample of cold lithium atoms after a single Landau–Zener tunnelling event during a Bloch oscillation in a quasi-energy band. The “undecayed” upper clouds are those that remain in the ground band of the corresponding undriven system. The lattice depth is 3.5 ER, the modulation frequency is 55 kHz, and the Bloch frequency is 27.8 Hz. (b) Calculated quasi-energy band structure around the avoided crossing for different modulation depths (indicated in legend). Note the drive-tunable gap. (c) Undriven ground band fraction as a function of drive strength. Solid theory line is calculated from (5).
We begin by considering the use of Bloch oscillations in an undriven lattice as a probe of decay dynamics. In such an experiment, the atoms are adiabatically loaded into the ground band of the lattice and then undergo Bloch oscillations due to the applied force from the inhomogeneous magnetic potential. Ignoring the field curvature, the main correction to the single-band approximation for the Wannier–Stark problem comes from tunnelling between adjacent bands. As the atoms traverse the edge of the Brillouin zone, they have a chance to “decay” by tunnelling across the first bandgap once per Bloch cycle. The feasibility of observing long-time deviations from exponential decay in such an experiment can be quantitatively estimated using a Landau–Zener model of interband tunnelling [27]. Semiclassically, the probability of tunnelling across the nth bandgap Δn in a single Bloch cycle is
where fB is the Bloch frequency, and
In a shallow lattice, tunnelling between all excited bands is large, and we can treat them as a continuum, so we need to focus only on tunnelling across the first bandgap. In calculating the probability P1 to tunnel out of the ground band, we have
Thus motivated, we consider the addition of time-periodic lattice depth modulation to the experimental protocol outlined above. Resonant coupling of two static bands by such a modulation generically creates a hybrid quasi-energy band structure featuring at least one new gap, of a size determined by drive strength rather than lattice depth [21]. Figure 5b shows calculated quasi-energy band structure near such a gap, for several different values of the drive strength. Tunnelling across this tunable gap during a Bloch oscillation in a modulated lattice can realize a much more controllable decay process, in which the decay time can be tuned independently of lattice depth and potential tilt.
To demonstrate this central element of the proposed realisation of nonexponential decay, we have experimentally measured tunable Landau–Zener decay in a Floquet-engineered quasi-energy band structure. Figure 5 presents an experimental measurement of the Landau–Zener decay probability of (5) across a Floquet-tunable bandgap as a function of drive strength, for the case of resonant driving between the lowest two energy bands. Images of the two spatially resolved band populations after half a Bloch period in the amplitude-modulated lattice are shown in Figure 5a, and the calculated band crossing in the quasi-energy picture is shown in Figure 5b. The spatial separation between “decayed” and “undecayed” populations is a consequence of position-space Bloch oscillations in the two different band dispersions [22]. Plotting the fraction of undecayed atoms that remain in the ground band, we measure a tunable decay in qualitative agreement with the Landau–Zener tunnelling theory of (5), as shown in Figure 5b. Deviations of the data from theory may be the result of uncertainty in the lattice depth or inhomogeneity of the force. Note that, in this case, it is actually the atoms that fail to undergo the tunnelling event that correspond to the decayed population. To obtain a decay rate then, we must actually subtract (5) from 1. In any case, these results demonstrate the capacity to use lattice modulation to tune the tunnelling probability over a wide range, including an enhancement of roughly four orders of magnitude over the tunnelling probability in a static band for equivalent conditions. Crucially, this allows Γ to approach our achievable Bloch frequencies of up to 100 Hz, allowing for reasonable experimental run times and detectable nonexponential dynamics.
4 Conclusion
We have proposed a measurement of nonexponential decay of individual emitters that is based on interband tunnelling of cold atoms during a Bloch oscillation in a Floquet-engineered quasi-energy band. A simple theoretical treatment of expected dynamics indicates that deviations from exponential decay should be measurable. Preliminary experimental tests of the proposed tunable decay mechanism demonstrate widely tunable decay rates and the feasibility of the underlying concept. These results lay the groundwork for realising a new experimental probe of universal non-Markovian evolution and open up new possibilities for exerting quantum control over an irreducible element of nonequilibrium quantum dynamics.
Acknowledgements
We thank Andrey Kolovsky, Toshi Shimasaki, and Peter Dotti for useful discussions and Jeremy Tanlimco and Jared Pagett for experimental assistance. E.L. acknowledges support from the Knut and Alice Wallenberg Foundation and from the Swedish Research Council (Funder Id: http://dx.doi.org/10.13039/501100004359, 2016-03789). D.W. is grateful for hospitality provided by the guest researcher program of the Wallenberg Centre for Quantum Technology and acknowledges support from the National Science Foundation (Funder Id: http://dx.doi.org/10.13039/100000001, CAREER 1555313), the Army Research Office (PECASE Funder Id: http://dx.doi.org/10.13039/100000183, W911NF1410154 and Funder Id: http://dx.doi.org/10.13039/100000183, MURI W911NF1710323), and the University of California Multicampus Research Programs and Initiatives (MRP19-601445). D.W. and R.S. acknowledge support from the UCSB NSF Quantum Foundry through Q-AMASE-i program award Funder Id: http://dx.doi.org/10.13039/100000001, DMR-1906325.
References
[1] J. J. Sakurai and J. Napolitano, Modern Quantum Mechanics, Addison-Wesley, San Francisco, CA 1994.Search in Google Scholar
[2] P. Greenland, Nature 335, 298 EP (1988).10.1038/335298a0Search in Google Scholar
[3] L. Khalfin, JETP 6, 1371 (1957).Search in Google Scholar
[4] R. Winter, Phys. Rev. 123, 1503 (1961).10.1103/PhysRev.123.1503Search in Google Scholar
[5] L. Fonda, G. C. Ghirardi, and A. Rimini, Rep. Prog. Phys. 41, 587 (1978).10.1088/0034-4885/41/4/003Search in Google Scholar
[6] P. Knight, Phys. Lett. A 61, 25 (1997).10.1016/0375-9601(77)90251-1Search in Google Scholar
[7] E. B. Norman, S. B. Gazes, S. G. Crane, and D. A. Bennett, Phys. Rev. Lett. 60, 2246 (1988).10.1103/PhysRevLett.60.2246Search in Google Scholar PubMed
[8] N. G. Kelkar, M. Nowakowski, and K. P. Khemchandani, Phys. Rev. C 70, 024601 (2004).10.1103/PhysRevC.70.024601Search in Google Scholar
[9] A. Crespi, F. V. Pepe, P. Facchi, F. Sciarrino, P. Mataloni, et al., Phys. Rev. Lett. 122, 130401 (2019).10.1103/PhysRevLett.122.130401Search in Google Scholar PubMed
[10] F. Pepe, P. Facchi, Z. Kordi, and S. Pascazio, Phys. Rev. A 101, 013632 (2020).10.1103/PhysRevA.101.013632Search in Google Scholar
[11] C. A. Nicolaides and D. R. Beck, Phys. Rev. Lett. 38, 683 (1977).10.1103/PhysRevLett.38.683Search in Google Scholar
[12] S. Druger and M. Samuel, Phys. Rev. A 30, 640 (1984).10.1103/PhysRevA.30.640Search in Google Scholar
[13] C. A. Nicolaides and T. Mercouris, J. Phys. B-At. Mol. Opt. 29, 1151 (1996).10.1088/0953-4075/29/6/012Search in Google Scholar
[14] K. Rzazewski, M. Lewenstein, and J. H. Eberly, J. Phys. B-At. Mol. Phys. 15, L661 (1982).10.1088/0022-3700/15/18/004Search in Google Scholar
[15] A. M. Ishkhanyan and V. P. Krainov, Laser Phys. Lett. 12, 046002 (2015).10.1088/1612-2011/12/4/046002Search in Google Scholar
[16] M. Holthaus, J. Opt. B-Quantum S. O. 2, 589 (2000).10.1088/1464-4266/2/5/306Search in Google Scholar
[17] S. Wilkinson, C. F. Bharucha, M. C. Fischer, K. W. Madison, P. R. Morrow, et al., Nature 387, 575 (1997).10.1038/42418Search in Google Scholar
[18] L. Krinner, M. Stewart, A. Pazmiño, J. Kwon, and D. Schneble, Nature 559, 589 (2018).10.1038/s41586-018-0348-zSearch in Google Scholar PubMed
[19] M. Stewart, L. Krinner, A. Pazmiño, and D. Schneble, Phys. Rev. A. 95, 4512 (2017).10.1103/PhysRevA.95.013626Search in Google Scholar
[20] S. Kling, T. Salger, C. Grossert, and M. Weitz, Phys. Rev. Lett. 105, 215301 (2010).10.1103/PhysRevLett.105.215301Search in Google Scholar PubMed
[21] C. J. Fujiwara, K. Singh, Z. A. Geiger, R. Senaratne, S. V. Rajagopal, et al., Phys. Rev. Lett. 122, 010402 (2019).10.1103/PhysRevLett.122.010402Search in Google Scholar PubMed
[22] Z. A. Geiger, K. M. Fujiwara, K. Singh, R. Senaratne, S. V. Rajagopal, et al., Phys. Rev. Lett. 120, 213201 (2018).10.1103/PhysRevLett.120.213201Search in Google Scholar PubMed
[23] K. Urbanowski, Eur. Phys. J. D 54, 25 (2009).10.1140/epjd/e2009-00165-xSearch in Google Scholar
[24] L. Khalfin, JETP 8, 106 (1968).Search in Google Scholar
[25] M. Fischer, B. Gutiérrez-Medina, and M. Raizen, Phys. Rev. Lett. 87, 040402 (2001).10.1103/PhysRevLett.87.040402Search in Google Scholar
[26] S. E. Pollack, D. Dries, M. Junker, Y. P. Chen, T. A. Corcovilos, et al., Phys. Rev. Lett. 102, 090402 (2009).10.1103/PhysRevLett.102.090402Search in Google Scholar
[27] M. Glück, A. R. Kolovsky, and H. J. Korsch, Phys. Rep. 366, 103 (2002).10.1016/S0370-1573(02)00142-4Search in Google Scholar
©2020 Walter de Gruyter GmbH, Berlin/Boston
Articles in the same Issue
- Frontmatter
- Geometry of the Rabi Problem and Duality of Loops
- Nearest Neighbour Particle-Particle Interaction in Fermionic Quasi One-Dimensional Flat Band Lattices
- Predicting Imperfect Echo Dynamics in Many-Body Quantum Systems
- Thermalization and Nonequilibrium Steady States in a Few-Atom System
- Selected applications of typicality to real-time dynamics of quantum many-body systems
- Work Statistics and Energy Transitions in Driven Quantum Systems
- Probing Nonexponential Decay in Floquet–Bloch Bands
- Nonequilibrium Transport and Phase Transitions in Driven Diffusion of Interacting Particles
- Finite-Size Scaling of Typicality-Based Estimates
- Modeling the Impact of Hamiltonian Perturbations on Expectation Value Dynamics
- Coherent Transport in Periodically Driven Mesoscopic Conductors: From Scattering Amplitudes to Quantum Thermodynamics
Articles in the same Issue
- Frontmatter
- Geometry of the Rabi Problem and Duality of Loops
- Nearest Neighbour Particle-Particle Interaction in Fermionic Quasi One-Dimensional Flat Band Lattices
- Predicting Imperfect Echo Dynamics in Many-Body Quantum Systems
- Thermalization and Nonequilibrium Steady States in a Few-Atom System
- Selected applications of typicality to real-time dynamics of quantum many-body systems
- Work Statistics and Energy Transitions in Driven Quantum Systems
- Probing Nonexponential Decay in Floquet–Bloch Bands
- Nonequilibrium Transport and Phase Transitions in Driven Diffusion of Interacting Particles
- Finite-Size Scaling of Typicality-Based Estimates
- Modeling the Impact of Hamiltonian Perturbations on Expectation Value Dynamics
- Coherent Transport in Periodically Driven Mesoscopic Conductors: From Scattering Amplitudes to Quantum Thermodynamics