Abstract
Loosely speaking, the concept of quantum typicality refers to the fact that a single pure state can imitate the full statistical ensemble. This fact has given rise to a rather simple but remarkably useful numerical approach to simulate the dynamics of quantum many-body systems, called dynamical quantum typicality (DQT). In this paper, we give a brief overview of selected applications of DQT, where particular emphasis is given to questions on transport and thermalization in low-dimensional lattice systems like chains or ladders of interacting spins or fermions. For these systems, we discuss that DQT provides an efficient means to obtain time-dependent equilibrium correlation functions for comparatively large Hilbert-space dimensions and long time scales, allowing the quantitative extraction of transport coefficients within the framework of, e. g., linear response theory (LRT). Furthermore, it is discussed that DQT can also be used to study the far-from-equilibrium dynamics resulting from sudden quench scenarios, where the initial state is a thermal Gibbs state of the pre-quench Hamiltonian. Eventually, we summarize a few combinations of DQT with other approaches such as numerical linked cluster expansions or projection operator techniques. In this way, we demonstrate the versatility of DQT.
1 Introduction
Unraveling the dynamics of isolated quantum many-body systems is a central objective of modern experimental and theoretical physics. On the one hand, new experimental platforms composed of cold atoms or trapped ions have opened the door to perform quantum simulations with a high amount of control over Hamiltonian parameters and initial conditions [1], [2]. On the other hand, there has been substantial progress from the theoretical side to understand (i) experimental observations and (ii) long-standing questions about the fundamentals of statistical mechanics [3], [4], [5], [6], [7]. One such question is how to reconcile the emergence of thermodynamic behavior with the unitary time evolution of isolated quantum systems, i. e., to explain whether and in which way an isolated system relaxes towards a stationary long-time state which agrees with the predictions from standard statistical mechanics. Another similarly intriguing question in this context is to explain the onset of conventional hydrodynamic transport, i. e., diffusion, from truly microscopic principles [8], [9], [10]. The numerical analysis of thermalization and transport in isolated quantum many-body systems is at the heart of this paper.
Generally, the theoretical analysis of quantum many-body dynamics is notoriously difficult. Given a quantum system
While the presence of strong interactions often prohibits any analytical solution, numerical studies of Eq. (2) are plagued by the exponential growth of the Hilbert space upon increasing the number of degrees of freedom. Moreover, since thermalization and transport can potentially be very slow processes, the necessity to study long time scales adds another layer of complexity.
Of course, for situations close to equilibrium, e. g., a system being weakly perturbed by an external force, linear response theory (LRT) provides a successful framework to describe the system's response in terms of dynamical correlation functions evaluated exactly at equilibrium [14]. However, analogous to Eqs. (1) and (2), the calculation of such time-dependent correlation functions for large system sizes and long time scales is a severe challenge in practice.
Despite these difficulties, significant progress has been made over the years thanks to the augmented availability of computational resources and the development of sophisticated numerical techniques. Especially for one-dimensional systems the time-dependent density matrix renormalization group (tDMRG), including related methods based on matrix product states, provides a powerful approach to dynamical properties in the thermodynamic limit (for reviews, see [15], [16]). However, due to the inevitable build-up of entanglement, this approach is limited in the time scales which can be reached in simulations.
In the present paper, the focus is on another useful numerical approach to the dynamics of quantum many-body systems, which is based on the concept of dynamical quantum typicality (DQT) [17], [18]. In a nutshell, DQT means that “the vast majority of all pure states featuring a common expectation value of some generic observable at a given time will yield very similar expectation values of the same observable at any later time” [17]. In fact, the idea of using random vectors has a long and fruitful history [19], [20], [21], [22], [23], [24], [25], [26]. By virtue of an iterative forward propagation of these vectors in real or imaginary time, dependencies on time and temperature can be obtained. Since DQT can be implemented rather memory efficiently, it is possible to study dynamical properties of quantum many-body systems with Hilbert-space dimensions significantly larger compared to standard exact diagonalization (ED). Moreover, there are no conceptual limitations on the reachable time scales.
It is worth pointing out that DQT can not only be used to obtain time-dependent properties [27], [28], [29] or spectral functions [22], [30], [31], [32] but also static properties such as the density of states [33] or thermodynamic quantities [34], [35], [36], [37]. However, it is the aim of this paper to discuss the usefulness and versatility of DQT especially in the context of thermalization and transport.
This paper is structured as follows. In Sec. 2, we give a brief introduction to the concept of typicality and also elaborate on the differences between typicality and the eigenstate thermalization hypothesis (ETH). In Sec. 3, we discuss various applications of typicality to the dynamics of quantum many-body systems. Finally, we summarize and conclude in Sec. 4, where we also provide an outlook on further applications of DQT.
2 What is typicality?
Loosely speaking, the notion of typicality means that even a single pure quantum state can imitate the full statistical ensemble, or, more precisely, expectation values of typical pure states are close to the expectation value of the statistical ensemble [20], [23], [24], [25], [26]. While typicality has been put forward as an important insight to explain the emergence of thermodynamic behavior (see e. g., Ref. [23] for an overview), let us here focus on the practical consequences of typicality. In particular, let us consider the, e. g., canonical equilibrium expectation value
where
where we have introduced the abbreviation
where the coefficients
The typicality approximation (4) has proven to be very useful to calculate equilibrium quantities of quantum many-body systems such as the specific heat, entropy, or magnetic susceptibility [34], [35], [36], [37], [41]. For the purpose of this review, however, it is most important to note that typicality is not just restricted to equilibrium properties, but also extends to the real-time dynamics of quantum expectation values [17], [27], [28], [29], [42], [43], [44]. This dynamical version of typicality forms the basis of the numerical approach to time-dependent correlation functions and out-of-equilibrium dynamics more generally, which is discussed in Sec. 3.
Let us briefly discuss the relationship between typicality and the ETH [45], [46], [47]. The ETH states that the expectation values of local observables evaluated within individual eigenstates
While this fact (i. e., pure states can approximate ensemble expectation values) appears similar to our discussion of typicality in the context of Eq. (4), let us stress that typicality and ETH are two distinct concepts. On the one hand, while the ETH is assumed to hold for few-body operators and nonintegrable models [5], [48], [49], [50], [51], [52], [53], [54], [55], a rigorous proof for its validity is still absent. On the other hand, typicality is no assumption and essentially requires the largeness of the effective Hilbert-space dimension. This difference becomes particularly clear from the following point of view: since the distribution of the
Since typicality is independent of the validity of the ETH, it can be used in integrable or many-body localized models, where the ETH is expected to be violated [56], [57], [58], [59]. As a side remark, typicality can also be used to test the ETH [60].
Eventually, let us emphasize that the choice of the specific basis
3 DQT as a numerical tool
We now discuss the use of DQT as a numerical method. To begin with, we discuss in Sec. 3.1 the iterative forward propagation of pure states in large Hilbert spaces. Afterward, as a first application, we demonstrate in Sec. 3.2 how typicality can be used to study the (local) density of states. In Sec. 3.3, we then show how DQT can be used to evaluate equilibrium correlation functions within the framework of LRT. Sec. 3.4 is concerned with the out-of-equilibrium dynamics in certain quantum-quench scenarios. Eventually, in Sec. 3.5, we discuss how DQT can be combined with other approaches such as numerical linked cluster expansions or projection operator techniques.
3.1 Pure-state propagation
From a numerical point of view, a central advantage of the typicality approach comes from the fact that one can work with pure states instead of having to deal with full density matrices. This fact leads to a substantial reduction of the memory requirements, since it is possible to efficiently generate time and temperature dependencies of pure states. (Note that, while it is always possible to purify a density matrix, the DQT approach in contrast does not require to square the Hilbert-space dimension [62].)
Specifically, let us consider the pure state
where
The four auxiliary states
and the error of the approximation (8) scales as
Apart from RK4, other common and more sophisticated methods to propagate pure states without diagonalization are, e. g., Trotter decompositions [34], [63], Krylov subspace techniques [64], as well as Chebyshev polynomial expansions [65], [66], [67], [68], [69]. A unifying property of all these methods and RK4 is the necessity to calculate matrix-vector products, i. e., to evaluate the action of the Hamiltonian
3.2 Calculating the (local) density of states
As a first useful application, let us describe how pure states, in combination with a forward propagation in real time, can be used to evaluate the (local) density of states [33]. To begin with, we note that the density of states of some Hamiltonian
where we have used the definition of the δ function. In the spirit of Eq. (4), we can approximate the trace in Eq. (11) by a scalar product with a randomly drawn pure state
such that Eq. (11) can be approximated as
where
In fact, the relation (13) turns out to be useful for any arbitrary pure state
where
Relying on the forward propagation of pure states discussed in Sec. 3.1, it is thus possible to access
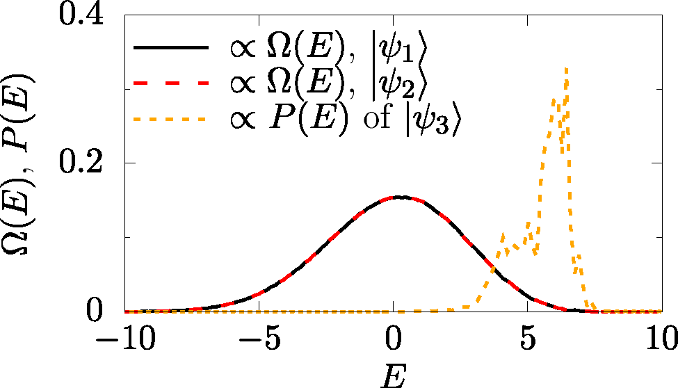
As an example, let us consider the spin-
where
![Figure 1: (Color online) Density of states Ω(E)${\Omega}\left(E\right)$ of a spin-1/2$1/2$ XXZ chain with Δ=1.5$\Delta =1.5$ and L=24$L=24$ sites, obtained from two independently drawn random states |ψ1〉$\vert {\psi }_{1}\mathrm{\rangle }$ and |ψ2〉$\vert {\psi }_{2}\mathrm{\rangle }$. The local density of states P(E)$P\left(E\right)$ is shown for a nonrandom state |ψ3〉$\vert {\psi }_{3}\mathrm{\rangle }$. Data is adapted from [71].](/document/doi/10.1515/zna-2020-0010/asset/graphic/j_zna-2020-0010_fig_001.png)
(Color online) Density of states
3.3 Time-dependent equilibrium correlation functions
Let us now turn to quantum many-body dynamics within the framework of LRT. Within LRT, central quantities of interest are time-dependent correlation functions
where
where we have introduced two auxiliary pure states,
and
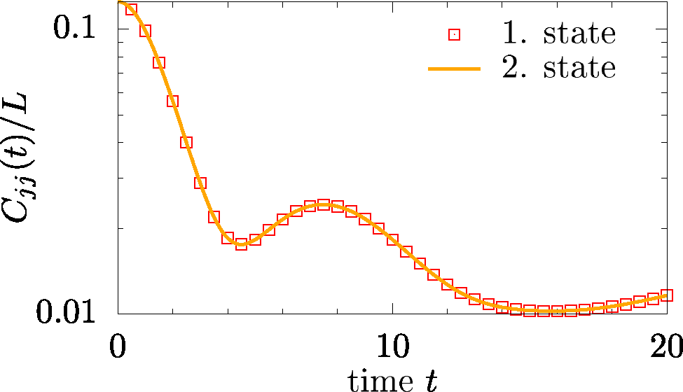
In the context of transport, an interesting quantity is the current autocorrelation function
For concreteness, let us (again) consider the XXZ chain (16). In this case, the spin current operator j takes on the form [73],
In Refs. [29], [74],
![Figure 2: (Color online) Current autocorrelation function Cjj(t)${C}_{jj}\left(t\right)$ at β=0$\beta =0$ for the spin-1/2$1/2$ XXZ chain with Δ=1$\Delta =1$, obtained by DQT for L=33$L=33$sites. The calculation is done for two independently drawn states (from the symmetry subsector with momentum k=0$k=0$). Data is adapted from Ref. [74].](/document/doi/10.1515/zna-2020-0010/asset/graphic/j_zna-2020-0010_fig_002.png)
(Color online) Current autocorrelation function
In addition to the XXZ chain, DQT has been used to study
Another interesting quantity in the context of transport are the spatio-temporal correlation functions
While a calculation of
where
Thus, it is possible to calculate
As an example, the equal-site spin-spin correlation function
![Figure 3: (Color online) Equal-site spin-spin correlation function CL/2,L/2(t)${C}_{L/2,L/2}\left(t\right)$for spin-1/2$1/2$ XXZ chains (Δ=1)$\left(\Delta =1\right)$ with (a) L=14$L=14$ sites and (b) L=28$L=28$ sites. For L=14$L=14$, ED is compared to DQT for two different random pure states. While ED is unfeasible for L=28$L=28$, the statistical fluctuations of the typicality approximation become negligible for this system size. Data is adapted from Ref. [79].](/document/doi/10.1515/zna-2020-0010/asset/graphic/j_zna-2020-0010_fig_003.png)
(Color online) Equal-site spin-spin correlation function
As another example, the full time-space profile
![Figure 4: (Color online) Time-space plot of the infinite-temperature spin-spin correlation function Cℓ,L/2(t)=〈Sℓz(t)SL/2z〉eq${C}_{\ell ,L/2}\left(t\right)={\mathrm{\langle }{S}_{\ell }^{z}\left(t\right){S}_{L/2}^{z}\mathrm{\rangle }}_{\mathrm{e}\mathrm{q}}$for a spin-1/2$1/2$ XXZ chain of length L=36$L=36$, nearest neighbor (Δ=1.5)$\left(\Delta =1.5\right)$and next-nearest neighbor (Δ′=1.5)$\left({\Delta }^{\prime }=1.5\right)$coupling. Data is adapted from Ref. [71].](/document/doi/10.1515/zna-2020-0010/asset/graphic/j_zna-2020-0010_fig_004.png)
(Color online) Time-space plot of the infinite-temperature spin-spin correlation function
A very similar example is shown in Figure 5, where the spatio-temporal correlations for spin and energy densities are depicted at fixed times. Yet, the model is a spin-
where
![Figure 5: (Color online) Spin-spin correlation function Cℓ,L/2(t)${C}_{\ell ,L/2}\left(t\right)$ at fixed times, t=0$t=0$ (δ peak) and t=1,2,4$t=1,2,4$ (arrow), for a spin-1/2$1/2$ Heisenberg ladder of length L=20$L=20$ (i. e., 40 lattice sites), at high temperatures β=0$\beta =0$. Dashed lines are Gaussian fits to the data. Panel (a) shows spin densities, while panel (b) shows local energies. Data is adapted from Ref. [77].](/document/doi/10.1515/zna-2020-0010/asset/graphic/j_zna-2020-0010_fig_005.png)
(Color online) Spin-spin correlation function
In addition, DQT has been used to obtain spatio-temporal correlation functions
3.4 Applications to far-from-equilibrium dynamics
Nonequilibrium scenarios in isolated quantum systems can be induced via explicitly time-dependent Hamiltonians or, e. g., by means of quantum quenches [83]. For instance, the system can be initially in an eigenstate of some Hamiltonian
Here, we discuss an alternative type of quench, where the system starts in a Gibbs state with respect to (w.r.t.) some initial Hamiltonian

(Color online) Sketch of the quench protocol. The system starts in a Gibbs state with respect to some initial Hamiltonian
We then consider a quantum quench, where
The post-quench Hamiltonian can, for instance, be created by adding or removing a static (weak or strong) force of strength ϵ to the initial Hamiltonian, i. e.,
and its evaluation in principle requires complete diagonalization of both
which mimics the density matrix (26), and the reference state
It is worth pointing out that the (simple) quench protocol above can be modified by additional changes of the Hamiltonian in time. A static force switched on at time
In Figure 7, the nonequilibrium dynamics
![Figure 7: (Color online) Out-of-equilibrium dynamics of the spin current j in the spin-1/2$1/2$ XXZ chain with Δ=0.5${\Delta}=0.5$ and L=16$L=16$, starting from a thermal state with β=1$\beta =1$. For times 0<t<5$0{< }t{< }5$, an external force acts on the system, which gives rise to an additional term ∝j$\propto j$ within the Hamiltonian. Results from the typicality approach are compared to ED. DQT data are averaged over N=100$N=100$ random initial states and the shaded area indicates the standard deviation. Data is adapted from Ref. [44].](/document/doi/10.1515/zna-2020-0010/asset/graphic/j_zna-2020-0010_fig_007.png)
(Color online) Out-of-equilibrium dynamics of the spin current j in the spin-
3.5 DQT and its extensions
In addition to the direct applications discussed above, DQT also is a useful tool to “boost” other (numerical or analytical) techniques, which can profit from accurate data for large system sizes. Two examples of such techniques, which have recently been combined with DQT, are numerical linked-cluster expansions (NLCE) and projection operator techniques.
3.5.1 NLCE
The key feature used in NLCE is the fact that the per-site value of an extensive quantity on an infinite lattice can be expanded in terms of its respective weights on all linked (sub-)clusters that can be embedded in the lattice. While NLCE is described in detail and generality in [86], [87], this section focuses on practical aspects of NLCE, particularly on its combination with DQT to calculate, e. g., current-current correlation functions of one-dimensional systems. The starting point of a corresponding NLCE is the expression
where
where the weights of all embedded clusters s are subtracted from
Since the maximum treatable cluster size is naturally limited by the available computational resources, the sum in Eq. (31) has to be truncated to a maximum size
As demonstrated in Ref. [88], this rather simple formula can have a better convergence towards the thermodynamic limit than a standard finite-size scaling at effectively equal computational cost.
As shown in Figure 8, the current autocorrelation function for the spin-1/2 Heisenberg chain directly obtained by DQT for a large system with
![Figure 8: (Color online) Current-current correlation function 〈j(t)j〉eq/L${\mathrm{\langle }j\left(t\right)j\mathrm{\rangle }}_{\mathrm{e}\mathrm{q}}/L$ in the XXZ chain (Δ=1)$\left({\Delta}=1\right)$ at β=0$\beta =0$. Dashed line indicates data obtained by DQT for L=36$L=36$ and periodic boundary conditions. Solid lines are obtained by the combination of DQT and NLCE for expansion orders cmax=18, 32, 34, 36, 38, 39${c}_{\mathrm{max}}=18,\hspace{0.17em}32,\hspace{0.17em}34,\hspace{0.17em}36,\hspace{0.17em}38,\hspace{0.17em}39$ (arrow). Data is adapted from Refs. [88], [92].](/document/doi/10.1515/zna-2020-0010/asset/graphic/j_zna-2020-0010_fig_008.png)
(Color online) Current-current correlation function
When studying thermodynamic quantities, for which the NLCE was originally introduced, using larger cluster sizes similarly improves the convergence of the expansion down to lower temperatures [87], [88], [89], [90], [91]. Either way, it is thus desirable to access cluster sizes as large as possible and DQT can be used to evaluate the contributions of clusters beyond the range of ED. Since the difference in Eq. (33) could be sensitive to small statistical errors, it might be recommended to average the DQT results over multiple random pure states, in particular in higher dimensions, where the NLCE expression is not just a single difference.
3.5.2 Projection operator techniques
The DQT approach can also be used in the context of projection operator techniques, e. g., the so-called time-convolutionless (TCL) projection operator method. These techniques can be applied to situations where a closed quantum system with Hamiltonian
In this setting, one then chooses a suitable projection on the relevant degrees of freedom to obtain a systematic perturbation expansion for the reduced dynamics. We refer to [92], [93], [94], [95] for a detailed description of the TCL method and do not discuss it here in full generality.
Choosing a simple projection onto A only and considering the specific initial conditions
where the second-order damping rate
and the index
The calculation of Eq. (36) can be conveniently done using typical states and becomes especially simple in the case where the observable of interest is conserved under the unperturbed Hamiltonian, i. e.,
with the auxiliary states
In [92], the quality of the second-order prediction (35) was numerically studied for the example of the current autocorrelation functions
![Figure 9: (Color online) Current-current correlation function for spin-1/2$1/2$ XX ladders (J∥=1)$\left({J}_{\parallel }=1\right)$ with different interchain couplings J⊥${J}_{\perp }$ (shifted for better visibility). Symbols denote exact data obtained by DQT for length L=14$L=14$, i. e., 28 spins in total. The solid lines indicate the prediction from the (second order) TCL projection operator method, cf. Eq. (35). Data is adapted from Ref. [92].](/document/doi/10.1515/zna-2020-0010/asset/graphic/j_zna-2020-0010_fig_009.png)
(Color online) Current-current correlation function for spin-
4 Conclusion
To summarize, we have discussed several applications of DQT and its usefulness as a numerical approach to the real-time dynamics of quantum many-body systems. The main idea of this typicality approach is to approximate ensemble expectation values via single pure states which are randomly drawn from a high-dimensional Hilbert space. In particular, time (temperature) dependencies of expectation values can be obtained by iteratively solving the Schrödinger equation in real (imaginary) time, e. g., by means of Runge-Kutta schemes or more sophisticated methods.
First, we have described that DQT can be used to study the (local) density of states as well as equilibrium correlation functions for long time scales and comparatively large system sizes beyond the range of standard ED. Especially in the context of transport, the calculation of current autocorrelations and density-density correlations by means of DQT is possible. Furthermore, we have outlined that DQT is suitable to investigate also the far-from-equilibrium dynamics resulting from certain quench protocols. For instance, an initial Gibbs state is properly imitated by a typical pure state and nonequilibrium conditions are induced by removing or adding an external force. Eventually, we have discussed that DQT can additionally be combined with other approaches. As one example, we have shown that the convergence of NLCE can be improved by evaluating the contributions of larger clusters by means of DQT. As another example, we have discussed that DQT allows to compute memory kernels which arise in projection operator methods such as the TCL technique.
While this paper has illustrated the usefulness of DQT for selected applications in the context of transport and thermalization, we should stress that there certainly are other applications of DQT which have not been mentioned by us. One such application, as done in, e. g., [96], is the spreading of quantum information measured by so-called out-of-time-ordered correlators (OTOCs) of the form [97],
where the operators A and B are, for instance, local magnetization densities
In conclusion, the concept of DQT offers a rather simple yet remarkably useful approach to study the real-time dynamics of quantum many-body systems. It is our hope that the examples discussed in this paper motivate its application in other areas as well.
Funding source: Deutsche Forschungsgemeinschaft
Award Identifier / Grant number: 355031190397067869
Acknowledgments
This work has been funded by the Deutsche Forschungsgemeinschaft (DFG) – Grants No. 397067869 (STE 2243/3-1), No. 355031190 – within the DFG Research Unit FOR 2692.
References
[1] I. Bloch, J. Dalibard, and S. Nascimbène, Nat. Phys., vol. 8, p. 267, 2012.10.1038/nphys2259Search in Google Scholar
[2] R. Blatt and C. F. Roos, Nat. Phys., vol. 8, p. 277, 2012.10.1038/nphys2252Search in Google Scholar
[3] A. Polkovnikov, K. Sengupta, A. Silva, and M. Vengalattore, Rev. Mod. Phys., vol. 83, p. 863, 2011.10.1103/RevModPhys.83.863Search in Google Scholar
[4] J. Eisert, M. Friesdorf, and C. Gogolin, Nat. Phys., vol. 11, p. 124, 2015.10.1038/nphys3215Search in Google Scholar
[5] L. D'Alessio, Y. Kafri, A. Polkovnikov, and M. Rigol, Adv. Phys., vol. 65, p. 239, 2016.10.1080/00018732.2016.1198134Search in Google Scholar
[6] C. Gogolin and J. Eisert, Rep. Prog. Phys., vol. 79, p. 056001, 2016.10.1088/0034-4885/79/5/056001Search in Google Scholar
[7] F. Borgonovi, F. Izrailev, L. Santos, and V. Zelevinsky, Phys. Rep., vol. 626, p. 1, 2016.10.1016/j.physrep.2016.02.005Search in Google Scholar
[8] M. Buchanan, Nat. Phys., vol. 1, p. 71, 2005.10.1038/nphys157Search in Google Scholar
[9] V. Khemani, A. Vishwanath, and D. A. Huse, Phys. Rev. X, vol. 8, p. 031057, 2018.10.1103/PhysRevX.8.031057Search in Google Scholar
[10] B. Bertini, F. Heidrich-Meisner, C. Karrasch, T. Prosen, R. Steinigeweg, and M. Žnidarič, arXiv:2003.03334.Search in Google Scholar
[11] M. Prüfer, P. Kunkel, H. Strobel, et al., Nature, vol. 563, p. 217, 2018.10.1038/s41586-018-0659-0Search in Google Scholar PubMed
[12] S. Erne, R. Bücker, T. Gasenzer, J. Berges, and J. Schmiedmayer, Nature, vol. 563, p. 225, 2018.10.1038/s41586-018-0667-0Search in Google Scholar PubMed
[13] J. Richter and R. Steinigeweg, Phys. Rev. E, vol. 99, p. 012114, 2019.Search in Google Scholar
[14] R. Kubo, M. Toda, and N. Hashitsume, Statistical Physics II, 2nd ed., Springer Series in Solid-State Sciences, Vol. 31, Berlin, Heidelberg, Springer, p. 279, 1991.10.1007/978-3-642-58244-8Search in Google Scholar
[15] U. Schollwöck, Ann. Phys. (N. Y)., vol. 326, p. 96, 2011.10.1016/j.aop.2010.09.012Search in Google Scholar
[16] S. Paeckel, T. Köhler, A. Swoboda, S. R. Manmana, U. Schollwöck, and C. Hubig, Ann. Phys. (N. Y)., vol. 411, p. 167998, 2019.10.1016/j.aop.2019.167998Search in Google Scholar
[17] C. Bartsch and J. Gemmer, Phys. Rev. Lett., vol. 102, p. 167998, 2009.10.1103/PhysRevLett.102.110403Search in Google Scholar
[18] P. Reimann, Phys. Rev. E, 97, p. 062129, 2018.10.1103/PhysRevE.97.062129Search in Google Scholar
[19] R. Alben, M. Blume, H. Krakauer, and L. Schwartz, Phys. Rev. B, vol. 12, p. 4090, 1975.10.1103/PhysRevB.12.4090Search in Google Scholar
[20] S. Lloyd, Pure state quantum statistical mechanics and black holes, Phd thesis, The Rockefeller University, 1988, arXiv:1307.0378.Search in Google Scholar
[21] H. De Raedt and P. de Vries, Z. Phys. B, vol. 77, p. 243, 1989.10.1007/BF01313668Search in Google Scholar
[22] J. Jaklič and P. Prelovšek, Phys. Rev. B, vol. 49, p. 5065, 1994.10.1103/PhysRevB.49.5065Search in Google Scholar PubMed
[23] J. Gemmer, M. Michel, and G. Mahler, Quantum Thermodynamics, Lecture Notes in Physics, Vol. 657, Springer, Berlin, Heidelberg, 2004.10.1007/b98082Search in Google Scholar
[24] S. Popescu, A. J. Short, and A. Winter, Nat. Phys., vol. 2, p. 754, 2006.10.1038/nphys444Search in Google Scholar
[25] S. Goldstein, J. L. Lebowitz, R. Tumulka, and N. Zanghì, Phys. Rev. Lett., vol. 96, p. 050403, 2006.10.1103/PhysRevLett.96.050403Search in Google Scholar
[26] P. Reimann, Phys. Rev. Lett., vol. 99, p. 160404, 2007.10.1103/PhysRevLett.99.160404Search in Google Scholar
[27] T. Iitaka and T. Ebisuzaki, Phys. Rev. Lett., vol. 90, p. 047203, 2003.10.1103/PhysRevLett.90.047203Search in Google Scholar
[28] T. A. Elsayed and B. V. Fine, Phys. Rev. Lett., vol. 110, p. 070404, 2013.10.1103/PhysRevLett.110.070404Search in Google Scholar
[29] R. Steinigeweg, J. Gemmer, and W. Brenig, Phys. Rev. Lett., vol. 112, p. 120601, 2014.10.1103/PhysRevLett.112.120601Search in Google Scholar
[30] S. Okamoto, G. Alvarez, E. Dagotto, and T. Tohyama, Phys. Rev. E, vol. 97, p. 043308, 2018.10.1103/PhysRevE.97.043308Search in Google Scholar
[31] Y. Yamaji, T. Suzuki, and M. Kawamura, arXiv:1802.02854.Search in Google Scholar
[32] I. Rousochatzakis, S. Kourtis, J. Knolle, R. Moessner, and N. B. Perkins, Phys. Rev. B, vol. 100, p. 045117, 2019.10.1103/PhysRevB.100.045117Search in Google Scholar
[33] A. Hams and H. De Raedt, Phys. Rev. E, vol. 62, p. 4365, 2000.10.1103/PhysRevE.62.4365Search in Google Scholar
[34] P. de Vries and H. De Raedt, Phys. Rev. B, vol. 47, p. 7929, 1993.10.1103/PhysRevB.47.7929Search in Google Scholar PubMed
[35] S. Sugiura and A. Shimizu, Phys. Rev. Lett., vol. 108, p. 240401, 2012.10.1103/PhysRevLett.108.240401Search in Google Scholar
[36] S. Sugiura and A. Shimizu, Phys. Rev. Lett., vol. 111, p. 010401, 2013.10.1103/PhysRevLett.111.010401Search in Google Scholar
[37] A. Wietek, P. Corboz, S. Wessel, B. Normand, F. Mila, and A. Honecker, Phys. Rev. Research, vol. 1, p. 033038, 2019.10.1103/PhysRevResearch.1.033038Search in Google Scholar
[38] T. Iitaka and T. Ebisuzaki, Phys. Rev. E, vol. 69, p. 057701, 2004.10.1103/PhysRevE.69.057701Search in Google Scholar
[39] D. N. Page, Phys. Rev. Lett., vol. 71, p. 1291, 1993.10.1103/PhysRevLett.71.1291Search in Google Scholar PubMed
[40] L. Vidmar and M. Rigol, Phys. Rev. Lett., vol. 119, p. 220603, 2017.10.1103/PhysRevLett.119.220603Search in Google Scholar
[41] J. Schnack, J. Richter, and R. Steinigeweg, Phys. Rev. Research, vol. 2, p. 013186, 2020.10.1103/PhysRevResearch.2.013186Search in Google Scholar
[42] T. Monnai and A. Sugita, J. Phys. Soc. Jpn., vol. 83, p. 094001, 2014.10.7566/JPSJ.83.094001Search in Google Scholar
[43] H. Endo, C. Hotta, and A. Shimizu, Phys. Rev. Lett., vol. 121, p. 220601, 2018.10.1103/PhysRevLett.121.220601Search in Google Scholar
[44] J. Richter, M. H. Lamann, C. Bartsch, R. Steinigeweg, and J. Gemmer, Phys. Rev. E, vol. 100, p. 032124, 2019.10.1103/PhysRevE.100.032124Search in Google Scholar
[45] J. M. Deutsch, Phys. Rev. A, vol. 43, p. 2046, 1991.10.1103/PhysRevA.43.2046Search in Google Scholar
[46] M. Srednicki, Phys. Rev. E, vol. 50, p. 888, 1994.10.1103/PhysRevE.50.888Search in Google Scholar
[47] M. Rigol, V. Dunjko, and M. Olshanii, Nature, vol. 452, p. 854, 2008.10.1038/nature06838Search in Google Scholar
[48] L. F. Santos and M. Rigol, Phys. Rev. E, vol. 82, p. 031130, 2010.10.1103/PhysRevE.82.031130Search in Google Scholar
[49] R. Steinigeweg, J. Herbrych, and P. Prelovšek, Phys. Rev. E, vol. 87, p. 012118, 2013.10.1103/PhysRevE.87.012118Search in Google Scholar
[50] W. Beugeling, R. Moessner, and M. Haque, Phys. Rev. E, vol. 89, p. 042112, 2014.10.1103/PhysRevE.89.042112Search in Google Scholar
[51] H. Kim, T. N. Ikeda, and D. A. Huse, Phys. Rev. E, vol. 90, p. 052105, 2014.10.1103/PhysRevE.90.052105Search in Google Scholar
[52] R. Nandkishore and D. A. Huse, Annu. Rev. Condens. Matter Phys., vol. 6, p. 15, 2015.10.1146/annurev-conmatphys-031214-014726Search in Google Scholar
[53] R. Mondaini and M. Rigol, Phys. Rev. E, vol. 96, p. 012157, 2017.10.1103/PhysRevE.96.012157Search in Google Scholar
[54] D. Jansen, J. Stolpp, L. Vidmar, and F. Heidrich-Meisner, Phys. Rev. B, vol. 99, p. 155130, 2019.10.1103/PhysRevB.99.155130Search in Google Scholar
[55] I. M. Khaymovich, M. Haque, and P. A. McClarty, Phys. Rev. Lett., vol. 122, p. 070601, 2019.10.1103/PhysRevLett.122.070601Search in Google Scholar
[56] R. Steinigeweg, J. Herbrych, F. Pollmann, and W. Brenig, Phys. Rev. B, vol. 94, p. 180401, 2016.10.1103/PhysRevB.94.180401Search in Google Scholar
[57] R. Steinigeweg, F. Jin, D. Schmidtke, H. De Raedt, K. Michielsen, and J. Gemmer, Phys. Rev. B, vol. 95, p. 035155, 2017.10.1103/PhysRevB.95.035155Search in Google Scholar
[58] J. Richter, J. Herbrych, and R. Steinigeweg, Phys. Rev. B, vol. 98, p. 134302, 2018.10.1103/PhysRevB.98.134302Search in Google Scholar
[59] J. Richter, N. Casper, W. Brenig, and R. Steinigeweg, Phys. Rev. B, vol. 100, p. 144423, 2019.10.1103/PhysRevB.100.144423Search in Google Scholar
[60] R. Steinigeweg, A. Khodja, H. Niemeyer, C. Gogolin, and J. Gemmer, Phys. Rev. Lett., vol. 112, p. 130403, 2014.10.1103/PhysRevLett.112.130403Search in Google Scholar
[61] T. Heitmann and J. Schnack, Phys. Rev. B, vol. 99, p. 134405, 2019.10.1103/PhysRevB.99.134405Search in Google Scholar
[62] L. P. Hughston, R. Jozsa, and W. K. Wootters, Phys. Lett. A, vol. 183, p. 14, 1993.10.1016/0375-9601(93)90880-9Search in Google Scholar
[63] H. De Raedt and K. Michielsen, Host Publ., 2006.Search in Google Scholar
[64] A. Nauts and R. E. Wyatt, Phys. Rev. Lett., vol. 51, p. 2238, 1983.10.1103/PhysRevLett.51.2238Search in Google Scholar
[65] H. Tal-Ezer and R. Kosloff, J. Chem. Phys., vol. 81, p. 3967, 1984.10.1063/1.448136Search in Google Scholar
[66] R. Kosloff, Annu. Rev. Phys. Chem., vol. 45, p. 145, 1994.10.1146/annurev.pc.45.100194.001045Search in Google Scholar
[67] V. V. Dobrovitski and H. De Raedt, Phys. Rev. E, vol. 67, p. 056702, 2003.10.1103/PhysRevE.67.056702Search in Google Scholar
[68] A. Weiße, G. Wellein, A. Alvermann, and H. Fehske, Rev. Mod. Phys., vol. 78, p. 275, 2006.10.1103/RevModPhys.78.275Search in Google Scholar
[69] R. Kosloff, J. Chem. Phys., vol. 150, p. 204105, 2019.10.1063/1.5096173Search in Google Scholar
[70] M. Schiulaz, E. J. Torres-Herrera, and L. F. Santos, Phys. Rev. B, vol. 99, p. 174313, 2019.10.1103/PhysRevB.99.174313Search in Google Scholar
[71] J. Richter, F. Jin, H. De Raedt, K. Michielsen, J. Gemmer, and R. Steinigeweg, Phys. Rev. B, vol. 97, p. 174430, 2018.10.1103/PhysRevB.97.174430Search in Google Scholar
[72] D. M. Kennes, C. Karrasch, and A. J. Millis, Phys. Rev. B, vol. 101, p. 081106, 2020.10.1103/PhysRevB.101.081106Search in Google Scholar
[73] F. Heidrich-Meisner, A. Honecker, and W. Brenig, Eur. Phys. J. Spec. Top., vol. 151, p. 135, 2007.10.1140/epjst/e2007-00369-2Search in Google Scholar
[74] R. Steinigeweg, J. Gemmer, and W. Brenig, Phys. Rev. B, vol. 91, p. 104404, 2015.10.1103/PhysRevB.91.104404Search in Google Scholar
[75] R. Steinigeweg, F. Heidrich-Meisner, J. Gemmer, K. Michielsen, and H. De Raedt, Phys. Rev. B, vol. 90, p. 094417, 2014.10.1103/PhysRevB.90.094417Search in Google Scholar
[76] R. Steinigeweg, J. Herbrych, X. Zotos, and W. Brenig, Phys. Rev. Lett., vol. 116, p. 017202, 2016.10.1103/PhysRevLett.116.017202Search in Google Scholar
[77] J. Richter, F. Jin, L. Knipschild, et al., Phys. Rev. B, vol. 99, p. 144422, 2019.10.1103/PhysRevB.99.144422Search in Google Scholar
[78] F. Jin, R. Steinigeweg, F. Heidrich-Meisner, K. Michielsen, and H. De Raedt, Phys. Rev. B, vol. 92, p. 205103, 2015.10.1103/PhysRevB.92.205103Search in Google Scholar
[79] B. N. Balz, J. Richter, J. Gemmer, R. Steinigeweg, and P. Reimann, in Thermodynamics in the Quantum Regime, Springer, Cham, pp. 413–433, 2018.10.1007/978-3-319-99046-0_17Search in Google Scholar
[80] R. Steinigeweg, F. Jin, H. De Raedt, K. Michielsen, and J. Gemmer, Phys. Rev. E, vol. 96, p. 020105, 2017.10.1103/PhysRevE.96.020105Search in Google Scholar
[81] M. Ljubotina, M. Žnidarič, and T. Prosen, Nat. Commun., vol. 8, p. 16117, 2017.10.1038/ncomms16117Search in Google Scholar
[82] J. Richter, D. Schubert, and R. Steinigeweg, Phys. Rev. Research, vol. 2, p. 013130, 2020.10.1103/PhysRevResearch.2.013130Search in Google Scholar
[83] A. Mitra, Annu. Rev. Condens. Matter Phys., vol. 9, p. 245, 2018.10.1146/annurev-conmatphys-031016-025451Search in Google Scholar
[84] C. Bartsch and J. Gemmer, EPL (Europhys. Lett.), vol. 118, p. 10006, 2017.10.1209/0295-5075/118/10006Search in Google Scholar
[85] J. Richter, J. Gemmer, and R. Steinigeweg, Phys. Rev. E, vol. 99, p. 050104, 2019.10.1103/PhysRevE.99.050104Search in Google Scholar
[86] M. Rigol, T. Bryant, and R. R. P. Singh, Phys. Rev. Lett., vol. 97, p. 187202, 2006.10.1103/PhysRevLett.97.187202Search in Google Scholar
[87] B. Tang, E. Khatami, and M. Rigol, Comput. Phys. Commun., vol. 184, p. 557, 2013.10.1016/j.cpc.2012.10.008Search in Google Scholar
[88] J. Richter and R. Steinigeweg, Phys. Rev. B, vol. 99, p. 094419, 2019.10.1103/PhysRevB.99.094419Search in Google Scholar
[89] I. G. White, B. Sundar, and K. R. A. Hazzard, arXiv:1710.07696.Search in Google Scholar
[90] K. Mallayya and M. Rigol, Phys. Rev. Lett., vol. 120, p. 070603, 2018.10.1103/PhysRevLett.120.070603Search in Google Scholar
[91] K. Bhattaram and E. Khatami, Phys. Rev. E, vol. 100, p. 013305, 2019.10.1103/PhysRevE.100.013305Search in Google Scholar
[92] J. Richter, F. Jin, L. Knipschild, et al., arXiv:1906.09268.Search in Google Scholar
[93] S. Chaturvedi and F. Shibata, Z. Phys. B, vol. 35, p. 297, 1979.10.1007/BF01319852Search in Google Scholar
[94] H.-P. Breuer and F. Petruccione, The Theory of Open Quantum Systems, Oxford University Press, 2007.10.1093/acprof:oso/9780199213900.001.0001Search in Google Scholar
[95] R. Steinigeweg, Phys. Rev. E, vol. 84, p. 011136, 2011.10.1103/PhysRevE.84.011136Search in Google Scholar
[96] D. J. Luitz and Y. Bar Lev, Phys. Rev. B, vol. 96, p. 020406, 2017.10.1103/PhysRevB.96.020406Search in Google Scholar
[97] J. Maldacena, S. H. Shenker, and D. Stanford, J. High Energ. Phys., vol. 2016, p. 106, 2016.10.1007/JHEP08(2016)106Search in Google Scholar
© 2020 Walter de Gruyter GmbH, Berlin/Boston
Articles in the same Issue
- Frontmatter
- Geometry of the Rabi Problem and Duality of Loops
- Nearest Neighbour Particle-Particle Interaction in Fermionic Quasi One-Dimensional Flat Band Lattices
- Predicting Imperfect Echo Dynamics in Many-Body Quantum Systems
- Thermalization and Nonequilibrium Steady States in a Few-Atom System
- Selected applications of typicality to real-time dynamics of quantum many-body systems
- Work Statistics and Energy Transitions in Driven Quantum Systems
- Probing Nonexponential Decay in Floquet–Bloch Bands
- Nonequilibrium Transport and Phase Transitions in Driven Diffusion of Interacting Particles
- Finite-Size Scaling of Typicality-Based Estimates
- Modeling the Impact of Hamiltonian Perturbations on Expectation Value Dynamics
- Coherent Transport in Periodically Driven Mesoscopic Conductors: From Scattering Amplitudes to Quantum Thermodynamics
Articles in the same Issue
- Frontmatter
- Geometry of the Rabi Problem and Duality of Loops
- Nearest Neighbour Particle-Particle Interaction in Fermionic Quasi One-Dimensional Flat Band Lattices
- Predicting Imperfect Echo Dynamics in Many-Body Quantum Systems
- Thermalization and Nonequilibrium Steady States in a Few-Atom System
- Selected applications of typicality to real-time dynamics of quantum many-body systems
- Work Statistics and Energy Transitions in Driven Quantum Systems
- Probing Nonexponential Decay in Floquet–Bloch Bands
- Nonequilibrium Transport and Phase Transitions in Driven Diffusion of Interacting Particles
- Finite-Size Scaling of Typicality-Based Estimates
- Modeling the Impact of Hamiltonian Perturbations on Expectation Value Dynamics
- Coherent Transport in Periodically Driven Mesoscopic Conductors: From Scattering Amplitudes to Quantum Thermodynamics