Home Heat and Mass Transfer of Temperature-Dependent Viscosity Models in a Pipe: Effects of Thermal Radiation and Heat Generation
Article Publicly Available

Heat and Mass Transfer of Temperature-Dependent Viscosity Models in a Pipe: Effects of Thermal Radiation and Heat Generation

  • Fayyaz Ahmad , Mubbashar Nazeer ORCID logo EMAIL logo , Mubashara Saeed , Adila Saleem and Waqas Ali
Published/Copyright: February 7, 2020

Abstract

In this paper, a study of the flow of Eyring-Powell (EP) fluid in an infinite circular long pipe under the consideration of heat generation and thermal radiation is considered. It is assumed that the viscosity of the fluid is an exponential function of the temperature of the fluid. The flow of fluid depends on many variables, such as the physical property of each phase and shape of solid particles. To convert the given governing equations into dimensionless form, the dimensionless quantities have been used and the resultant boundary value problem is solved for the calculation of velocity and temperature fields. The analytical solutions of velocity and temperature are calculated with the help of the perturbation method. The effects of the fluidic parameters on velocity and temperature are discussed in detail. Finite difference method is employed to find the numerical solutions and compared with the analytical solution. The magnitude error in velocity and temperature is obtained in each case of the viscosity model and plotted against the radius of the pipe. Graphs are plotted to describe the influence of various parameter EP parameters, heat generation parameter and thermal radiation parameters against velocity and temperature profiles. The fluid temperature has decreasing and increasing trends with respect to radiation and heat generations parameters, respectively.

1 Introduction

The study of non-Newtonian fluids has increased due to a substantial variety of engineering, industrial and commercial manufacturing applications. The study of Newtonian fluids is easy as compared to non-Newtonian fluids due to simple developed equations which can be handled numerically or analytically. The reason is that of a linear relationship between the rate of stress and strain in the case of Newtonian fluid, but this relation is not any more linear for non-Newtonian fluids. Various authors showed the applications of non-Newtonian fluids in their studies. Some significant examples of non-Newtonian fluids are cream, plastic melts, soap slurries, wet beach sand, mayonnaise, paper pulp, etc. [1]. Navier-Stokes equation is used to describe the flow behaviour of Newtonian fluid but there is no single equation to describe the flow behaviour of the non-Newtonian fluids with all the properties. Due to this reason, various empirical and semi-empirical non-Newtonian equations or models have been presented and used.

Ali et al. [2] studied an Eyring-Powell (EP) fluid under the effects of temperature-dependent viscosity cases in a pipe. They first convert their dimensional forms of momentum and energy equations with boundary conditions into non-dimensional form, and then discuss Reynolds and Vogel models for both momentum and energy equations. In their research work, they solved their equations with the help of both perturbation and numerical methods that match well. The flow of magnetohydrodynamics (MHD) EP nanofluid over an inclined surface is analysed by Khan et al. [3]. During their study, they assumed that the flow of fluid is incompressible and the fluid viscosity is varying exponentially. They expressed their results in the form of velocity and temperature profiles along with different parameters by plotting graphs and also in tabular form. Ellahi [4] examined the study of non-Newtonian nanofluid in the pipe and depicted the effects of magnetic and temperature-dependent viscosity. Akinshilo and Olaye [5] also analysed the flow of EP fluid in a pipe. They discussed the internal heat flow and temperature-dependent viscosity in their work. They solved the non-linear ordinary equation by using perturbation technique and examined the effect of fluidic parameters on velocity and temperature profiles. Akinbowale [6] studied the non-Newtonian flow of third-grade fluid in the horizontal channel. He solved an ordinary differential equation by using Adomian decomposition method and discussed the Vogel model for temperature-dependent viscosity and concluded that velocity distribution increases by decreasing the porosity parameter. Ellahi and Riaz [7] captured the magnetic effects in the flow of third-grade fluid in a pipe by taking variable viscosity. To calculate the analytical solution, the homotopy analysis method (HAM) was used. Aksoy and Pakdemirli [8] considered the non-Newtonian fluid with a porous medium between two parallel plates. They calculated the solutions of the non-linear differential equations by employing the perturbation technique. Three viscosity dependent cases were discussed i.e., (a) constant viscosity case; (b) Reynolds model; and (c) Vogel’s model. The validity range of the solution was also provided. Ellahi et al. [9] examined the third-grade fluid between the concentric cylinders and checked the effect of slip over this fluid. They discussed two cases, in the first one the outer cylinder is stationary and inner cylinder move and the second one the outer cylinder is moving and the inner cylinder is at rest position. They calculate the solutions for both conditions (with and without slip parameter). The flow of non-isothermal Poiseuille fluid was also examined by Farooq et al. [10]. They considered the fluid is flowing between two heated parallel inclined plates using coupled stress fluid which was incompressible. Perturbation techniques were used to calculate analytical solutions. In their paper, they discussed the Reynold’s model and obtained the expressions for temperature, velocity, dynamic pressure, shear stress and volume flow rate. Alharbi et al. [11] evaluated the effects of entropy generation in MHD EP fluid. They assumed that the flow is flowing over an oscillating porous stretching sheet and further assumed that the flow is unsteady. They analysed the behaviour of the heat source and thermal radiation in their study. They captured the effects of pertinent parameters on entropy generation rate, temperature, and velocity fields. They solved the governing equation by using HAM. The radiative effect on three-dimensional MHD flow of an EP fluid was described by Hayat et al. [12]. They calculated the series solution by non-linear analysis and also calculate the exact solution of the problem. Yurusoy [13] presented the heat transfer effects of third-grade fluid between two concentric cylinders. During his study, he considered that the fluid temperature is lower than the pipe temperature. He calculated the solution by using perturbation technique and discussed Reynolds model. Hayat et al. [14] explored the effect of porous medium of third-grade fluid. They solved the governing momentum and energy equations by employing HAM. They analysed the shear stress and velocity field at the plate. Massoudi and Christie [15] analysed the viscous dissipation and variable viscosity effects of third-grade fluid in a pipe and considered that the temperature of the fluid is lower than the temperature of the pipe. Huang [16] studied the heat generation effect of non-Newtonian fluid over a vertical permeable cone in a porous medium. The author used the Keller box method to find a solution of his problem and discussed the physical aspects of the problem. Analysis of EP nanofluid is selected by Hayat et al. [17]. They captured the effect of MHD flow over the non-linear stretching sheet and discussed the results for concentration and temperature profiles. Hayat and Nadeem [18] studied the three-dimensional flow of EP fluid and discussed the heat flux and mass quantities. They discussed the behaviour of temperature and Cattaneo-Christov heat flux theory.

From the above-cited studies, it is noted that there is no study available in literature to capture the effects of radiative heat flux and heat generation on EP fluid in a circular long pipe under various models of the viscosities. The considered fluid model (EP) is much complex and is advantageous over a Power-law model due to two aspects. The first one is that this model is not driven from an empirical relation like a Power-law model. The second one is, this fluid model can be reduced into a Newtonian fluid model for the low and high shear rates.Therefore, the objective of our investigation is to obtain the numerical and perturbation solutions of the one-dimensional flow of an EP fluid in a pipe under the combined effects of radiative and heat absorption. As various engineering processes only happen at moderate temperature, so the consideration of radiative heat flux cannot be ignored in these kind of processes namely space vehicles, gas turbines, propulsion devices, and nuclear plants [19], [20]. Futher, the study of heat generation (or absorption) in moving fluid is useful in the problems of chemical reaction. The flows in the porous media have numerious applications like, oil reservoir and geothermal [21], [22]. The absolute error in velocity and temperature will be presented. Three famous models will discuss which are listed below.

  1. Constant viscosity model

  2. Reynolds model

  3. Vogel’s model

The numerical solution for all above-mentioned viscosity models will be obtained by the finite-difference method in our study. The effects of various physical parameters on viscosity and temperature profiles will be highlighted together with the validity of the perturbation solution. The current study can be useful to increase the heat transfer processes in energy conservation, medical process, fuel cells and micro-mixing. The applications of this problem are also beneficial in heat exchangers, film flow, catalytic reactors, paper production and polymer solutions. This study will be helpful in future to investigate the behaviour of velocity and temperature fields against pertinent prameters, whenever preliminary data of EP model is given.

2 Formulation of the Problem

Let us consider the one-dimensional, steady-state flow of non-Newtonian fluid in a pipe with the account of effects of radiation and heat generation. It is assuming that the flow is flowing due to applied pressure gradient and the viscosity is a function of temperature. The systematic flow behaviour is shown in Figure 1.

Figure 1: Geometry of the flow problem.
Figure 1:

Geometry of the flow problem.

The velocity and temperature fields for the present problem are defined by

(1)V=(0,0,w(r))
(2)θ=θ(r),

The Cauchy stress tensor T[23], [24] is

(3)T=pI+S,

where p is the pressure, I is the identity element. Now for the current situation, the extra stress tensor S is defined as

(4)S=(μ+1k2sinh1(k3ϑ)ϑ)A1,

where

(5)ϑ=12tra(A1)2,

and

(6)A1=gradV+grad(V)T,
(7)gradV=L=(dudr1rdudθvrdudzdvdr1rdvdθ+urdvdzdwdr1rdwdθdwdz),

As V=[u,v,w] and in our case V=[0,0,w(r)], so in this case, we have

(8)L=(000000dwdr00),LT=(00dwdr000000)
(9)A1=(00dwdr000dwdr00),(A1)2=(00(dwdr)2000(dwdr)200),
(10)tra((A1)2)=2(dwdr)2,
(11)ϑ=12tra(A1)2,

with the help of (10), we get

(12)ϑ=dwdr.

Putting these values in (4), (4) takes the following form:

(13)S=(μ+1k2((dwdr)k316k33(dwdr)2(dwdr)))A1,
(14)S=(μ+k3k2k33k216(dwdr)2)A1,

Using X=k3k2,Y=k33k2 in the above (14) becomes

(15)S=(μ+XY6(dwdr)2)A1,Y1

Now by substituting the value of A1 in (15), we get

(16)S=(μ+XY6(dwdr)2)(00dwdr000dwdr00),

where S is defined as

(17)S=(srrsrθsrzsθrsθθsθzszrszθszz),

Now using the value of S in (16)

(srrsrθsrzsθrsθθsθzszrszθszz)

(srrsrθsrzsθrsθθsθzszrszθszz)

=(00(μ+XY6(dwdr)2)dwdr000(μ+XY6(dwdr)2)dwdr00),

=(00(μ+XY6(dwdr)2)dwdr000(μ+XY6(dwdr)2)dwdr00),

From the above (18), only two components of extra stress are left which are:

(19)srz=szr=(μ+XY6(dwdr)2)(dwdr),

The general form of the equation of motion in cylindrical coordinates system is:

(20)ρ(ddt+uddr+vrddθ+wddz)u=pr+1rr(rsrr)+srrz1rsθθ+ρgu,
(21)ρ(ddt+uddr+vrddθ+uwr+wddz)v=1rpθ+1r2r(r2srθ)+1rsθθθ+szθz+1r(sθrsrθ)+ρgv,
(22)ρ(ddt+uddr+vrddθ+wddz)w=pz+1rr(rsrz)+1rsθzθ+szzz+ρgw,

Due to steady-state flow, we have

(23)ρ(uddr+vrddθ+wddz)u=pr,
(24)ρ(uddr+vrddθ+uwr+wddz)v=1rpθ,
(25)ρ(uddr+vrddθ+wddz)w=pz+1rr(rsrz),

As the velocity components u = 0 and v = 0 so, left-hand side of general equations will vanish and only right-hand side will survive which is given by:

(26)pr=0,pp(r)
(27)1rpθ=0,pp(θ)
(28)1rddr(rμdwdr+XrdwdrYr6(dwdr)3)=pz,

As, in the current investigation, the flow is flowing along z-direction only (one dimensional) so we can use the simple derivative instead of partial derivative symbols.

(29)μd2wdr2+μrdwdr+dμdrdwdr+X(1rdwdr+d2wdr2)Y6(dwdr)2(3rd2wdr2+dwdr)=c1,

where pz=c1.

Now for the derivation of the heat equation, first the general form of the heat equation is considered

(30)ρcpdθdt=tr(S.L)divq+Q(θθw)dHRdr,
(31)θ=θ(r)dθdt=00=tr(S.L)divq,
(32)tra(S.L)=(μ+XY6(dwdr)2)(dwdr)2,
(33)divq=k(d2θdr2+1rdθdr),

The radiative heat flux HR [25], [26] for the current situation is defined by

(34)HR=4σ3kkdθ4dr,

To obtain the values of θ4, we will expand θ4 in the Taylor series expansion about θw and overlooking upper order terms, yields

(35)θ4=θw4+4θw3(θθw),
(36)dθ4dr=4θw3dθdr,

Using the value of θ4 into (34), we have

HR=4σ3k4θw3dθdr,

Use (32), (33) and (34) into (31), we get

(37)μ(dwdr)2+X(dwdr)2Y6(dwdr)4+k(d2θdr2+1rdθdr)+Q(θθw)+16σθw33kd2θdr2=0,

The boundary conditions for (29) and (37) are:

(38)w=0,θ=θw} at r=R and dwdr=0,dθdr=0} at r=0

Now introducing the dimensionless quantities

(39)r=rR,w=ww0,θ=θθwθmθw,μ=μμ0

The dimensionless equations are given by:

(40)(1+R)d2θdr2+1rdθdr+δθ+Γ(dwdr)2[μ+MΛ(dwdr)2]=0,
(41)dμdrdwdr+μr(dwdr+rd2wdr2)+Mr(dwdr+rd2wdr2)Λr(dwdr)2[dwdr+3rd2wdr2]=c,
(42)w=1,θ=1} at r=1 and dwdr=0,dθdr=0} at r=0

where M=Xμ0,c=c1R2μ0w0,Γ=μ0w02k(θmθw),δ=QR2k,R=16σθw33kk and Λ=Y32w026μ0R2

The dimensionless equations of motion and energy based on viscosity models are discussed in the next one.

3 Viscosity Models

Based on the viscosity of the fluid, three different models are selected. In the first case, viscosity is chosen as a constant i.e., viscosity does not depend on temperature and in second and third cases, viscosity is a function of fluid temperature and these models are known as Reynolds and Vogel’s models. In the last two models, viscosity is defined as an exponent form.

  1. Constant Viscosity Model

    For this case, we set μ=1, therefore dμdr=0

    The new forms of the equation of motion and heat equation for the present case are:

    (43)1r(dwdr+rd2wdr2)+Mr(dwdr+rd2wdr2)Λr(dwdr)2[dwdr+3rd2wdr2]=c,
    (44)(1+R)d2θdr2+1rdθdr+δθ+Γ(dwdr)2[1+MΛ(dwdr)2]=0,
    (45)w=0atr=1,θ=0atr=1,anddwdr=0atr=0,dθdr=0atr=0,

    To solve (43)–(45), let us assume to apply perturbation expansion on momentum and energy equation.

    (46)ww0+εw1,θθ0+εθ1,Λεσ,δ=εN1,

    where ϵ is the perturbation parameter and (0 < ϵ ≤ 1). By separating each order of we have the following systems:

    System of order (ϵ0) for velocity profile:

    (47)rd2w0dr2+dw0dr=cr(1+M),
    (48)w0=0  at   r=1,dw0dr=0  at  r=0.

    System or order (ϵ1) for velocity profile:

    (49)rd2w1dr2+dw1dr=σ(1+M)(dw0dr)3+3r(dw0dr)2d2w0dr2,
    (50)w1=0  at   r=1,dw1dr=0  at  r=0.

    System of order (ϵ0) for temperature profile:

    (51)(1+R)d2θ0dr2+1rdθ0dr=Γ(1+M)(dw0dr)2,
    (52)θ0=0  at   r=1,dθ0dr=0  at  r=0.

    System or order (ϵ1) for temperature profile:

    (53)(1+R)d2θ1dr2+1rdθ1dr=2Γ(1+M)(dw0dr)(dw1dr)+Γσ(dw0dr)4N1θ0,
    (54)θ1=0  at   r=1,dθ1dr=0  at  r=0.

    By solving each order of ϵ, we have the following results for velocity profile:

    (55)w0=γ0(1r2).
    (56)w1=γ1(1r4).

    Results for temperature profile:

    (57)θ0=λ0(1r4).
    (58)θ1=λ6σ(1r6)+N1(λ3r2+λ4r6+λ5).

    The final expressions for temperature and velocity are:

    (59)w=γ0(1r2)+γ1(1r4),
    (60)θ=λ0(1r4)+λ6Λ(1r6)+δ(λ3r2+λ4r6+λ5).
  2. Reynolds Model

    For the case of variable viscosity model i.e., Reynolds model, we will set the values of viscosity in term of temperature as:

    (61)μ=eLθdμdr=LeLθdθdr.

    In view of the above setting, the equation of motion and heat equation is defined by:

    (62)LreLθdθdrdwdr+eLθ(dwdr+rd2wdr2)+M(dwdr+rd2wdr2)Λ(dwdr)2[dwdr+3rd2wdr2]=cr,
    (63)(1+R)d2θdr2+1rdθdr+δθ+Γ(dwdr)2[eLθ+MΛ(dwdr)2]=0,

    The perturbation expansions on momentum and energy equations for this case are as follows:

    (64)ww0+εw1,θθ0+εθ1,Λεσ,δ=εN1,L=εl1.

    System of order(ϵ0)for velocity profile:

    (65)rd2w0dr2+dw0dr=cr(1+M),
    (66)w0=0  at   r=1,dw0dr=0  at  r=0.

    System or order(ϵ1)for velocity profile:

    (67)r(1+M)d2w1dr2+(1+M)dw1dr=l1θ0(dw0dr)+l1r(dw0dr)(dθ0dr)+l1rθ0(d2w0dr2)+σ((dw0dr)3+3r(dw0dr)2d2w0dr2)
    (68)w1=0  at   r=1,dw1dr=0  at  r=0.

    System or order (ϵ0) for temperature profile:

    (69)(1+R)d2θ0dr2+1rdθ0dr=Γ(1+M)(dw0dr)2,
    (70)θ0=0  at   r=1,dθ0dr=0  at  r=0.

    System or order (ϵ1) for temperature profile:

    (71)(1+R)d2θ1dr2+1r(dθ1dr)=2Γ(1+M)(dw0dr)(dw1dr)+Γσ(dw0dr)4+l1θ0Γ(dw0dr)2N1θ0
    (72)θ1=0  at   r=1,dθ1dr=0  at  r=0.

    By solving each order of ϵ, we have the following results for velocity profile:

    (73)w0=γ0(1r2).
    (74)w1=γ2l1(23r2+r6)+γ3σ(1r4).

    Results for temperature profile are:

    (75)θ0=λ0(1r4).
    (76)θ1=λ7σ(1+r6)+N1(λ8+λ9r2+λ10r6)+l1(λ11+λ12r4+λ13r8).

    The final expression for temperature and velocity are:

    (77)w=γ0(1r2)+γ2L(23r2+r6)+γ3Λ(1r4),
    (78)θ=λ0(1r4)+λ7Λ(1+r6)+δ(λ8+λ9r2+λ10r6)+L(λ11+λ12r4+λ13r8).
  3. Vogel’s Model

    For Vogel’s model, we take the values of viscosity as

    μ=e(AB+θθw), or μ=e(ABθw)(1AθB2), and dμdr=e(ABθw)(AB2)dθdr.

    With the help of the above substitution, we get the equation of motion and heat equation in the following form:

    (79)(1+R)d2θdr2+1rdθdr+δθ+Γ(dwdr)2(1a(1AθB)+MΛ(dwdr)2)=0,

    where δ=c1e(ABθw) and a=1e(ABθw).

    The perturbation expansions for this case are as follows:

    (80)ww0+εw1,θεθ0+ε2θ1,Λεσ,δεN1,Γ=εγ,

    System of order (ϵ0) for velocity profile:

    (81)rd2w0dr2+dw0dr=r1+aM,
    (82)w0=0  at   r=1,dw0dr=0  at  r=0.

    System of order (ϵ0) for temperature profile:

    (83)(1+R)d2θ0dr2+1rdθ0dr=γ(1a+M)(dw0dr)2,
    (84)θ0=0  at   r=1,dθ0dr=0  at  r=0.

    System or order (ϵ1) for velocity profile:

    (85)r(1+Ma)d2w1dr2+(1+Ma)dw1dr=AB2dw0dr(θ0+rdθ0dr)+AB2rθ0d2w0dr2+aσ((dw0dr)3+3r(dw0dr)2d2w0dr2),
    (86)w1=0  at   r=1,dw1dr=0  at  r=0.

    System or order (ϵ1) for temperature profile:

    (87)(1+R)d2θ1dr2+1rdθ1dr=N1θ0+1aB2(Aθ0γ(dw0dr)2)+γσ(dw0dr)42γdw0drdw1dr(1a+M),
    (88)θ1=0  at   r=1,dθ1dr=0  at  r=0.

    By solving each order of ϵ, we have the following results for velocity and temperature profiles:

    (89)w0=γ4(1r2).
    (90)θ0=λ14(1r4).
    (91)w1=γ5A(23r2+r6)+γ6σ(1r4).
    (92)θ1=λ15(4r4+r8)+λ16(4r4r8)+λ17(14r43r8)+λ18(14r4+3r8)+λ19+σλ22(1r6)+N1(λ23r2+λ24r6+λ25).

    The final expression for temperature and velocity are as follows:

    (93)w=γ4(1r2)+γ5A(23r2+r6)+γ6Λ(1r4),
    (94)θ=λ14(1r4)+λ15(4r4+r8)+λ16(4r4r8)+λ17(14r43r8)+λ18(14r4+3r8)+λ19+Λλ22(1r6)+δ(λ23r2+λ24r6+λ25).

4 Numerical Method

The perturbation solution is compared with the explicit finite difference approximated numerical solution. The discretisation of the given domain r^[0,1] can be accomplished in following manners

(95)r^i=r^1+(j1)h1, for j=1,2,3,,m,

where h1=1/(m1), and r^1=0. For the description of stencils, we put y^y^(r^). The finite difference approximation of first and second order derivatives, (respectively) can be written as

(96)y^1=[1h1, 0,1h1][y^i1y^iy^i+1]+O(h12),
(97)y^1=[1h12,2h12,1h12][y^j1y^jy^j+1]+O(h12),

where y^i=y^(ri),y^i=y^(ri),y^i=y^(ri) and j=2,3,,m1. The boundary conditions can be defined as

(98)y^(r^j)=0,y^(r^m)=0.

Stencil for one-sided first-order derivative which is also second-order accurate is

(99)y^i=[3(2h1),2h1,1(2h1)][y^1y^2y^3]+O(h12).

The boundary condition at r^1 is given by

(100)32h1y^1+2h1y^212h1y^3=0,

or

(101)3y^1+4y^2y^3=0.

The applications of above finite difference formulas to (40) and (41) provide the non-linear system of equations. To find the solution the resultant system, Newton method [27], [28], [29], [30], [31], [32], [33], [34], [35] is used.

Figure 2: Velociy and temperature profiles for Vogel’s viscosity model.
Figure 2:

Velociy and temperature profiles for Vogel’s viscosity model.

Figure 3: Effects of (a) Material parameter (M), (b) Pressure gradient parameter (c) and (c) non-Newtonian parameter (Γ) on velocity profile.
Figure 3:

Effects of (a) Material parameter (M), (b) Pressure gradient parameter (c) and (c) non-Newtonian parameter (Γ) on velocity profile.

Figure 4: Effects of (a) Material parameter (M), (b) non-Newtonian parameter (Γ) and (c) Reynolds viscosity index (L) on velocity profile.
Figure 4:

Effects of (a) Material parameter (M), (b) non-Newtonian parameter (Γ) and (c) Reynolds viscosity index (L) on velocity profile.

Figure 5: Effects of (a) Wall’s temperature (θw), (b) Vogel’s viscosity index and (c) Material parameter (M) on velocity profile.
Figure 5:

Effects of (a) Wall’s temperature (θw), (b) Vogel’s viscosity index and (c) Material parameter (M) on velocity profile.

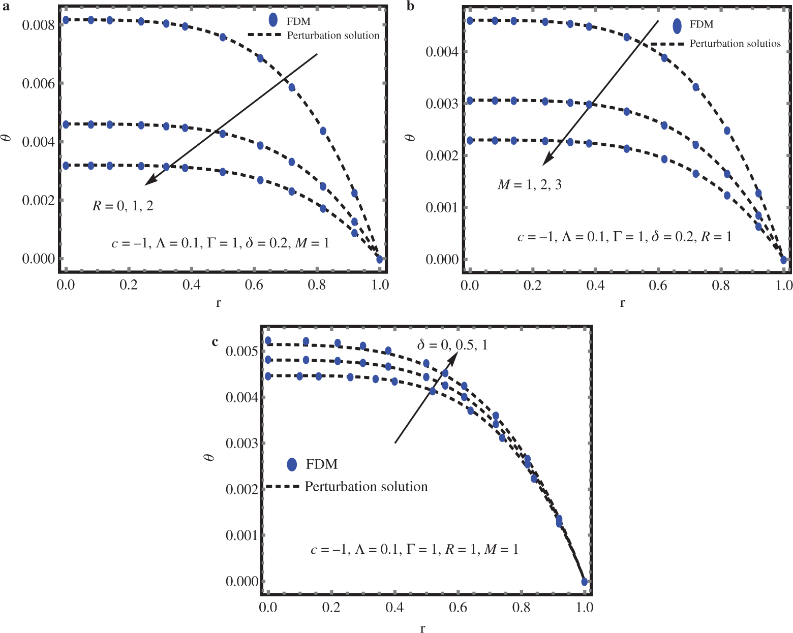
Figure 6: Effects of (a) Radiation parameter (R), (b) Material parameter (M) and (c) Heat generation parameter (δ) on temperature profile.
Figure 6:

Effects of (a) Radiation parameter (R), (b) Material parameter (M) and (c) Heat generation parameter (δ) on temperature profile.

Figure 7: Effects of (a) Radiation parameter (R), (b) Heat generation parameter (δ) and (c) Reynolds viscosity index (L) on temperature profile.
Figure 7:

Effects of (a) Radiation parameter (R), (b) Heat generation parameter (δ) and (c) Reynolds viscosity index (L) on temperature profile.

Figure 8: Effects of (a) Radiation parameter (R), Heat generation parameter (δ) and (c) Viscous dissipation parameter (Γ) on temperature profile.
Figure 8:

Effects of (a) Radiation parameter (R), Heat generation parameter (δ) and (c) Viscous dissipation parameter (Γ) on temperature profile.

5 Comparison with Previous Study

Our explicit finite difference numerical code is validated with the solution of [2]. For this, we solved the direct non-dimensional system of equations with boundary conditions of [2] with the help of our numerical code. The reported the solution of an EP fluid [2] under the account of constant and variable properties of viscosity in a pipe without the absence of thermal radiation and heat generation. The numerical results are presented for Vogel’s viscosity model which are displayed in Figure 2 in term of velocity and temperature when R=δ=0. From these figures, it can be seen that the solution of [2] and our solutions are in good agreement with each other.

6 Results and Discussion

The basic purpose of the current section is to explain the physical aspects of the emerging parameters on the distributions of velocity and temperature by considering the flow of EP fluid in a long circular pipe. Three famous models on the basis of viscosity property i.e., constant viscosity model, Reynolds model, and Vogel’s model, respectively are discussed with the help of graphs.

To demonstrate the results of the given study, Figures 38 have been drawn. Figures 35 are related to the effects of different parameters on the velocity field, and Figures 68 display the effects of different parameters on the temperature field for all above-mentioned cases. These graphs exhibited the comparison of results of numerical solution and perturbation solution which are well agreed to each other. The results of the perturbation solution are represented by solid lines while the numerical solution is represented by a solid circle in each figure.

Table 1:

Absolute error between analytical and numerical solutions for the case of Reynolds viscosity model M = 1, c = −3, L = 1, Λ = 0.5, Γ = 10.

RδPerturbation SolutionNumerical SolutionAbsolute Error
wmaxθmaxwmaxθmaxwEθE
210.436520.371300.499770.418896.3×1024.8×102
310.428410.271830.472820.296054.4×1022.4×102
410.423330.229230.459390.214033.6×1021.5×102
50.40.419870.170510.450120.178993×1028.5×103
50.70.419870.173440.450650.182933×1029.5×103
510.419870.176370.451200.187023.1×1021.0×102

6.1 Effects of Dimensionless Parameters on Velocity Profile

First, we discuss plots of velocity for the constant case. Figure 3a displays the effect of material parameter M on the velocity profile. We noticed that the velocity of the fluid decreases by increasing the value of material parameter M. The physical reason is that when we increase the values of M, the viscosity of the fluid also increases due to the direct relation between M and μ(M=μX) as a result the fluid predicts the shear thickning effects, in this scenario the velocity of the fluid is decreasing [3]. Figure 3b shows the effect of parameter c on the velocity profile. The velocity of the fluid is increased by increasing magnitude of parameter c. When we increase the pressure of the fluid, the fluid taked more place in the vicinity of the pipe as a result the velocity increases. The influence of non-Newtonian parameter Λ on velocity distribution is shown in Figure 3c. It is noted that the velocity field predicts the increasing trend via Λ due to enhancement in the activation energy. Further, when Λ0, the EP fluid behave as a Newtonian fluid. Next, we discuss plots of velocity for the case of Reynolds model. Figure 4a,b represents the effect of material parameter M and non-Newtoina fluid parameter Λ on the velocity profile. The velocity of the fluid is maximum at centreline of the pipe and minium near the walls of the pipe. The reported velocity profile shows the decreasing behaviour against the material parameter M. The effects of these both parameters on velocity profile is similar as we have explained in the previous case. The height of the velocity profile is minimum for the present case compared with the previous one. The influence of Reynolds viscosity index L on velocity is presented in Figure 4c. From this plot, it is observed, increase in the Reynolds viscosity index L enhances the velocity of the fluid. It is true, as increase in the Reynolds viscosity index L means diminishing absolute viscosity of the fluid and as a result the transfer of heat predicts the melting effects on the fluid which rises the fluid field. After this, the next three figures have been plotted for Vogel’s viscosity model. The effects of temperature of the wall (θw) on non-dimensionless velocity is shown in Figure 5. The velocity is increasing due to temperature of the wall. The reason is that when we increase the temperature of the boundary, the friction in the fluid is reduced as a results the velocity of the fluid is rise. The dimensionless velocity is enhance via Vogel’s viscosity index (B) (see Fig. 5b) and reverse trend is observed via material parameter (M) as shown in Figure 5c.

6.2 Effects of Dimensionless Parameters on Temperature Profile

Here, Figures 68 are plotted to depict the effect of pertinent parameters on the temperature profile of all viscosity models. Figure 6a–c highlights the effect of radiation parameter (R), material parameter (M) and heat generation parameter (δ) for the case of uniform viscosity case. It is observed that the temperature is maxium at the centre and decreases towards the walls of the pipe. The effects of radiation parameter have a decreasing trend on temperature (see Fig. 6a). Physically, when we increase the value of R, the absorption parameter diminish which means that less energy is absorbed by the fluid. The influence of material parameter on non-dimensional temperature is highlighted in Figure 6b and this figure reported the inverse relation of temperature and material parameter. It is scrutinised that the temperature increases with heat generation parameter. The physical reason is that the mechnasim of heat generation produces a hot layer within the fluid at moderate value of heat generation parameter as a result the fluid’s temperature enhances via least temperature distribution in an infinite long pipe. The effects of radiation and heat generation parameters are displayed in Figures 7a,b and 8a,b. The physical phenomenon is observed for both paramters as we have discussed in the previous case of the viscosity model. The exclusion of radiation and heat generation is described for R → 0 and δ → 0, respectively. The behaviour of Reynolds viscosity index L is repoted in Figure 7c which demonstrate that the fluid’s temperature slightly enhance with the enhancement of L. Physically, to increase the value of L leads to shear thinning effects as a result the temperature of the fluid increases. The effects of viscous dissipation parameter Γ on temperature distribution is highlighted in Figure 8c. From this figure, it is noted that increase in Γ, the dimensionless temperature profile increases due to rise in the kinetic energy within a moving fluid.

7 Error Magnitude

We compare the solutions obtained by the perturbation method and the explicit finite difference method. The absolute error in velocity and temperature distribution for the case of Reynolds viscosity model is listed in Table 1. From this table, it is noted that, the maximum absolute error in velocity and temperature is of the order of 10−2. This error increases with the increase in values of thermal radiation and heat generation parameters.

8 Conclusion

In this paper, we studied the combined effects of thermal radiation and heat generation in the one-dimensional flow of an EP fluid in a pipe. The dimensional governing momentum and energy equations are transformed into dimensionless form under the defined dimensionless quantities. In the present scenario, the viscosity is not only taken as a constant but it is also considered as a function of temperature namely Reynolds and Vogel’s models. The highly non-linear boundary value problem is solved with the perturbation method as well as the finite difference method. The perturbation method is used to obtain the analytical expressions of velocity and temperature in each case. For the validation of our analytical solution, the eminent finite difference method is to pick and solve the direct dimensionless equations under the prescribed boundary conditions of each case of viscosity model.

The results of this study reveal the following effects:

  1. The velocity and temperature are decreasing functions of material parameter M.

  2. The influence of c and Λ are same in case of velocity function.

  3. The velocity is an increasing function of Vogel’s model parameter B and θw.

  4. The temperature profile predcits the decreasing behaviour via material and radiation parameters and increment against heat generation parameter δ and viscous dissipation parameter Γ.

Solution benchmark [2]

Figure 2

Plots for velocity:

Constant case:

Figure 3

Reynolds model

Figure 4

Vogel’s model

Figure 5

Constant case (Temperature graphs)

Figure 6

Reynolds model

Figure 7

Vogel’s model

Figure 8

Nomenclature

R

Radius of pipe

M

Material parameter

𝚲

Non-Newtonian parameter

c

Pressure gradient parameter

Q

Heat generation constant

𝜽m

Bulk means fluid temperature

𝝁

Viscosity of the fluid

S

Cauchy’s stress tensor

X, Y

Material constants

A1

Rivlin-Ericksen tensor

HR

Radiative heat flux

k

Heat absorption parameter

𝜹

Heat genration parameter

ŵ

Velocity components along z-direction

r^

Dimensionless radius

θ

Temperature of the fluid

θ^w

Wall’s temperature

k

Thermal conductivity

w0

Reference velocity

p

Pressure of the fluid

μ^

Viscosity of the fluid

ϵ

Perturbation parameter

Γ

Viscous dissipation parameter

A, B

Vogel’s viscosity index

L

Reynolds viscosity index

R

Radiation parameter

Appendix

γ0=c4(1+M),γ1=2σγ031+M,γ2=γ0λ03(1+M),γ3=2γ031+M,γ4=k4(1+aM),γ5=γ4λ143B2(1+aM),γ6=2aγ431+aM,λ1=8Γγ0418+15R,λ2=8(1+M)Γγ0γ118+15R,λ3=λ04+2R,λ4=λ036+30R,λ5=(8+7R)λ03(2+R)(6+5R),λ6=λ1+λ2,λ7=8Γγ043(6+5R),λ8=(8+7R)λ03(2+R)(6+5R),λ9=λ04+2R,λ10=λ036+30R,λ11=3(12+M(12+11R))Γγ0γ2(4+3R)(8+7R),λ12=6(1+M)Γγ0γ24+3R,λ13=3(1+M)Γγ0γ28+7R,λ14=(1+aM)γγ42a(4+3R),λ15=12A(1+aM)γγ4γ5a(4+3R)(8+7R),λ16=2Aγγ42λ14aB2(4+3R)(8+7R),λ17=ARγγ42λ142aB2(4+3R)(8+7R),λ18=3A(1+aM)Rγγ4γ5a(4+3R)(8+7R),λ19=A(12+11R)γγ4(6B2(1+aM)γ5γ4λ14)2aB2(4+3R)(8+7R),λ20=8(1+aM)γγ4γ63a(6+5R),λ21=8γσγ443(6+5R),λ22=(λ20+λ21),λ23=λ142(2+R),λ24=λ146(6+5R),λ25=(8+7R)λ143(2+R)(6+5R).

References

[1] T. Hayat, Z. Iqbal, M. Sajid, and K. Vajravelu, Int. Commun, Heat Mass Trans. 35, 1297 (2008).10.1016/j.icheatmasstransfer.2008.07.008Search in Google Scholar

[2] N. Ali, F. Nazeer, and M. Nazeer, Z. Naturforsch. A 73, 265 (2018).10.1515/zna-2017-0435Search in Google Scholar

[3] A. A. Khan, F. Zaib, and A. Zaman, J. Braz. Soc. Mech. Sci. Eng. 39, 5027 (2017).10.1007/s40430-017-0881-ySearch in Google Scholar

[4] R. Ellahi, Appl. Math. Model 37, 1451 (2013).10.1016/j.apm.2012.04.004Search in Google Scholar

[5] A. T. Akinshilo and O. Olaye, J. King Saud Univ. Eng. Sci. 31, 271 (2017).10.1016/j.jksues.2017.09.001Search in Google Scholar

[6] A. T. Akinbowale, Eng. Sci. Technol. Int. J. 20, 1602 (2017).Search in Google Scholar

[7] R. Ellahi and A. Raiz, Math. Comp. Model. 52, 1783 (2010).10.1016/j.mcm.2010.07.005Search in Google Scholar

[8] Y. G. Aksoy and M. Pakdemirli, Trans. Porous Media 83, 375 (2010).10.1007/s11242-009-9447-5Search in Google Scholar

[9] R. Ellahi, T. Hayat, F. M. Mahomed, and S. Asghar, Nonlin. Anal. Real World Appl. 11, 139 (2010).10.1016/j.nonrwa.2008.10.051Search in Google Scholar

[10] M. Farooq, M. T. Rahim, S. Islam, and A. M. Siddiqui, J. Assoc. Arab Univ. Basic Appl. Sci. 14, 9 (2013).10.1016/j.jaubas.2013.01.004Search in Google Scholar

[11] S. O. Alharbi, A. Dawar, Z. Shah, W. Khan, M. Idrees, E. Appl. Sci. 8, 2588 (2018).10.3390/app8122588Search in Google Scholar

[12] T. Hayat, M. Awais, and S. Asghar, J. Egyptian Math. Soc. 21, 379 (2013).10.1016/j.joems.2013.02.009Search in Google Scholar

[13] M. Yurusoy, Math. Comp. Appl. 9, 11 (2004).10.3390/mca9010011Search in Google Scholar

[14] T. Hayat, R. Naz, and S. Abbasbandy, Trans. Porous Media 87, 355 (2011).10.1007/s11242-010-9688-3Search in Google Scholar

[15] M. Massoudi and I. Christie, Int. J. Non-Lin. Mech. 30, 687 (1995).10.1016/0020-7462(95)00031-ISearch in Google Scholar

[16] C. Huang, King Saud Univ. Eng. Sci. 30, 106 (2018).10.1016/j.jksus.2016.09.009Search in Google Scholar

[17] T. Hayat, I. Ullah, A. Alsaedi, and M. Farooq, Results Phys. 7, 189 (2017).10.1016/j.rinp.2016.12.008Search in Google Scholar

[18] T. Hayat and S. Nadeem, Results Phys. 7, 3910 (2017).10.1016/j.rinp.2017.09.048Search in Google Scholar

[19] T. Hayat, S. Qayyum, S. A. Shehzad, and A. Alsaedi, Results Phys. 7, 562 (2017).10.1016/j.rinp.2016.12.009Search in Google Scholar

[20] F. M. Abbasi, T. Hayat, B. Ahmad, and B. Chen, J. Cent. South Univ. 22, 2369 (2015).10.1007/s11771-015-2762-9Search in Google Scholar

[21] G. M. Pavithra and B. J. Gireesha, J. Math. 2013, 583615 (2013).10.1155/2013/583615Search in Google Scholar

[22] V. D. Marcello, A. Cammi, and L. Luzzi, Chem. Eng. Sci. 65, 1301 (2010).10.1016/j.ces.2009.10.004Search in Google Scholar

[23] M. Nazeer, F. Ahmad, A. Saleem, M. Saeed, S. Naveed, et al., Z. Naturforsch. A 47, 961 (2019).10.1515/zna-2019-0095Search in Google Scholar

[24] M. Nazeer, F. Ahmad, M. Saeed, A. Saleem, S. Khalid, et al., J. Braz. Soc. Mech. Sci. Eng. 41, 518 (2019).10.1007/s40430-019-2005-3Search in Google Scholar

[25] N. Ali, M. Nazeer, T. Javed, and M. Razzaq, Eur. Phys. J. Plus 2, 134 (2019).10.1140/epjp/i2019-12448-xSearch in Google Scholar

[26] M. Nazeer, N. Ali, and T. Javed, J. Porous Media 21, 953 (2018).10.1615/JPorMedia.2018021123Search in Google Scholar

[27] M. Nazeer, N. Ali, and T. Javed, Can. J. Phys. 96, 576 (2018).10.1139/cjp-2017-0639Search in Google Scholar

[28] N. Ali, M. Nazeer, T. Javed, and M. A. Siddiqui, Heat Trans. Res. 49, 457 (2018).10.1615/HeatTransRes.2018019422Search in Google Scholar

[29] M. Nazeer, N. Ali, and T. Javed, Int. J. Numer. Methods Heat Fluid Flow 28, 10, 2404 (2018).10.1108/HFF-10-2017-0424Search in Google Scholar

[30] N. Ali, M. Nazeer, T. Javed, and F. Abbas, Meccanica 53, 3279 (2018).10.1007/s11012-018-0884-5Search in Google Scholar

[31] M. Nazeer, N. Ali, T. Javed, and Z. Asghar, Eur. Phys. J. Plus 133, 423 (2018).10.1140/epjp/i2018-12217-5Search in Google Scholar

[32] M. Nazeer, N. Ali, and T. Javed, Can. J. Phys. 97, 1 (2019).10.1139/cjp-2017-0904Search in Google Scholar

[33] M. Nazeer, N. Ali, T. Javed, and M. Razzaq, Int. J. Hydrog. Energy 44, 953 (2019).10.1016/j.ijhydene.2019.01.236Search in Google Scholar

[34] M. Nazeer, N. Ali, T. Javed, and M. W. Nazir, Eur. Phys. J. Plus 134, 204 (2019).10.1140/epjp/i2019-12562-9Search in Google Scholar

[35] W. Ali, M. Nazeer, and A. Zeeshan, 10th International Conference on Computational & Experimental Methods in Multiphase & Complex Flow, 21–23 May 2019, Lisbon, Portugal.Search in Google Scholar

Received: 2019-11-10
Accepted: 2019-12-30
Published Online: 2020-02-07
Published in Print: 2020-03-26

©2020 Walter de Gruyter GmbH, Berlin/Boston

Downloaded on 28.11.2025 from https://www.degruyterbrill.com/document/doi/10.1515/zna-2019-0332/html
Scroll to top button