Abstract
Bifurcation analysis of small-amplitude nonlinear and supernonlinear periodic ion-acoustic waves (SNPIAWs) is reported in a three-constituent superthermal plasma composing of cold fluid ions and kappa-distributed electrons of two temperatures (cold and hot). Using the reductive perturbation technique, the plasma system is studied under the Korteweg-de Vries (KdV) and the modified KdV (mKdV) equations. Furthermore, the KdV and mKdV equations are transformed into planar dynamical systems applying travelling wave transfiguration. Possible qualitative phase profiles for the corresponding dynamical systems controlled by system parameters (
1 Introduction
A newly discovered class of waves known as supernonlinear waves (SNWs), defined by the nontrivial topology of their phase portraits, was introduced by Dubinov and Kolotkov [1]. SNWs exist in plasma systems composing with at least three different plasma components. Phase portrait profiles are complex for plasma systems having more than three different components and result in more interesting wave structures, such as SNWs. Trajectories corresponding to such waves are evolved by number of fixed points and separatrix present in phase plots. Hence, any phase plot of SNWs consists of multiple periodic waves in continuous form of nested phase trajectories without selfintersection [2]. Dubinov and Kolotkov experimentally studied ion-acoustic waves (IAWs) in SF6-Ar plasma [3] and ion-acoustic supersolitons [4]. Verheest [5] studied nonlinear acoustic waves in nonthermal plasmas composed of positive and negative dusts. Baluku et al. [6] examined ion-acoustic solitary wave solutions (IASWS) in plasmas composed of two different temperature electrons. Researchers [7], [8], [9], [10], [11], [12], [13] showed their huge interest in studying SNWs. Verheest et al. [11] investigated ion-acoustic supersolitons in multicomponent plasmas composing cold fluid ions, kappa (κ)-distributed cold and hot electrons. Verheest et al. [14] confirmed the presence of supersolitons in plasma systems having at least three types of particles. Olivier et al. [15] reported the influences of collision in SNWs. Ali et al. [16] studied SNWs under Sharma-Tasso-Olver equation and obtained exact solutions. Dubinov and Kolotkov [17] reported SNWs in astrophysical and laboratory environments. Kamalam and Ghosh [18] reported supersolitons in magnetised plasmas for low frequency waves.
Reductive perturbation technique (RPT) plays a significant part in the study of small-amplitude nonlinear waves. Mathematically, RPT redefines space and timescale [19] in fundamental model equations of systems that describe long wavelength situation. Using RPT, model equations are deduced to nonlinear evolution equations, such as, the Korteweg-de Vries (KdV) equation, the Burgers equation, etc. Many researchers [20], [21], [22], [23], [24], [25], [26] studied nonlinear acoustic wave features implementing RPT. Hence, it is important to note that RPT may be applied in the study of small-amplitude SPWs in plasmas.
Over the decades, the study on plasma systems composed of long-range correlations, was acknowledged by highly energetic electrons detected in plasmas near Earth, containing complex shapes of lengthy tails that vigorously drift away to the non-Maxwellian distribution. In 1955, Renyi [27] introduced an alternative perspective defined as κ-distribution. The distribution (κ) is convenient to examine active modelling of waves and instabilities in space plasmas. This distribution extends righteous substitute of the Maxwell distribution for portraying systems like space plasmas. κ-distribution at high velocities obeys the law of inverse power [28]
where
This velocity distribution behaves like Maxwellian, as κ → ∞. Saini et al. [31] reported the characteristics of IAWs in cold ions with kappa (κ)-distributed electrons. Baluku and Hellberg [32] reported solitary waves and double layers of dust-acoustic waves in systems having κ-distributed electrons and ions. Ahmadihojatabad et al. [33] studied the effects of superthermal electrons in plasmas under magnetic effect. Sahu [34] expanded the study of EAWs in superthermal plasmas. Recently, many researchers [35], [36], [37], [38] studied nonlinear acoustic waves in different plasma systems consisting of superthermal electrons. Applications of κ-distribution are extensively found in data examination of spacecraft observation on magnetospheric plasma sheet of Earth, Jupiter [35], etc.
Bifurcation is the change in qualitative structure of flow in dynamical system due to variation in dynamic parameters of plasma system [39]. Bifurcations are very significant in dynamical systems as systems are allowed for transitions and instabilities when some controlled parameters of the systems are varied. Samanta et al. [40] evaluated bifurcation of nonlinear travelling waves in plasmas employing RPT for the first time. Some works [10], [41], [42], [43] were reported on arbitrary amplitude supersolitons of IAWs in multiconstituent plasmas. References [44], [45] reported examination of nonlinear acoustic waves in superthermal plasmas applying bifurcations in different plasma systems. Saha and Tamang [46] presented arbitrary amplitude supernonlinear periodic ion-acoustic waves (SNPIAWs) by implementing bifurcation analysis through direct approach. Very recently, Tamang and Saha [47] and Prasad et al. [48] reported existence of arbitrary amplitude SPWs using the concept of bifurcation theory. Applying RPT, Verheest et al. [49] suggested existence of superacoustic modified KdV (mKdV) solitons. However, bifurcations of small-amplitude SNPIAWs have not been reported theoretically in nonlinear plasma system which consists of cold and hot temperature κ-distributed electrons to the best of our knowledge. Plasmas composed of simultaneous cold and hot electrons were reported experimentally [50], [51]. Therefore, the main aim of our work is to examine existence of small-amplitude SNPIAWs in superthermal plasma system implementing bifurcation analysis of dynamical systems [52], [53], [54]. For this purpose, we investigate IAWs in frameworks of the KdV and mKdV equations employing RPT in a three-component plasma system.
This work is arranged as: In section 2, fundamental equations are considered. In section 3, derivations of the KdV and mKdV equations are done. In section 4, dynamical system of the KdV equation is formed. In section 5, dynamical system of the mKdV equation is obtained. In section 6, solutions for the KdV and mKdV equations are obtained, and section 7 is for conclusions.
2 Fundamental Equations
We examine small-amplitude IAWs in a three-constituent plasma system constituting of cold fluid ions and κ-distributed different temperature (hot and cold) electrons. Propagation of IAWs is governed by fundamental equations [49]:
where n, u, ϕ and f are, respectively, number density of cold ions, velocity of ions, electrostatic potential and fractional charge density of cold electrons.
The considered plasma system is normalised by: n0 normalises n,
3 Derivations of the KdV and mKdV Equations
To derive the KdV and mKdV equations, we consider following stretching by using RPT
where ε measures weakness of nonlinearity and v denotes phase velocity of IAWs. Let us consider expansions for dependent variables:
Substituting (6), (7) in fundamental (3)–(5), one can obtain following relations by comparing the coefficients of
where
where
where
Here, we observe numerically that for certain critical values such as,
Substituting (7) and (14) in fundamental (3)–(5), we obtain following equations comparing the coefficients of ε2,
We also obtain following equations comparing the coefficients of ε4,
Differentiating (19) with respect to ϕ1, removing all higher order perturbed terms using (15)–(18) and proceeding in similar way as in case of the KdV equation, we get the modified KdV (mKdV) equation
where
4 Formation of Dynamical System for the KdV Equation
Let us consider
Integrating (13) w.r. to χ and using conditions
Then, (22) is presented in form of dynamical system as:
where we put
4.1 Phase Plane Analysis
Mathematically, bifurcation in dynamical systems [39] is a significant change in system due to variation in physical parameter of the system. Phase plane analysis using bifurcation theory gives underlying feature of dynamical systems. It is reported that any qualitative orbit in phase plane corresponds to solution of travelling wave [46]. Considering the bifurcation analysis of dynamical systems, qualitative phase portraits are presented for system (23) with parameters
which imply
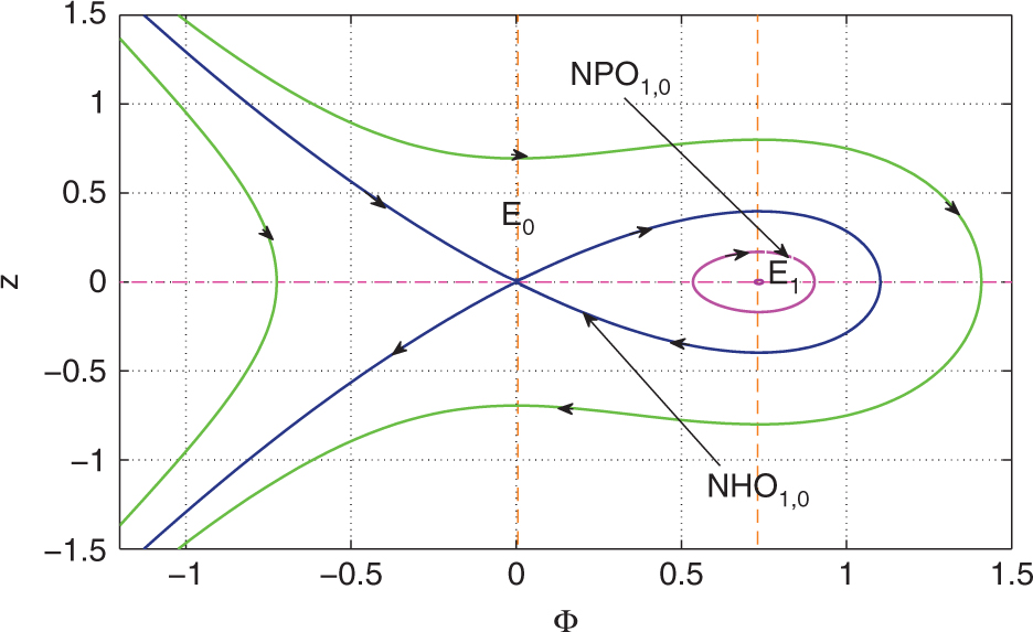
It is clear that the system (23) has two fixed points
is given by
Using (24), the Jacobian matrix of the system (23) is
and determinant of J is expressed by M as
where

Phase portrait of dynamical system (23) with

Phase portrait of dynamical system (23) for
In Figure 1, we display phase portrait profile for the KdV (13) for
Similarly, in Figure 2, we obtain phase portrait profile for the KdV (13) with κ = 1.7,
5 Formation of Dynamical System for the mKdV Equation
Similarly, using same transformation as in case of the KdV (13) in (20), we obtain
Let us put
5.1 Phase Plane Analysis
From Figures 1 and 2, it is evident that IASWs and NPIAWs are possible for the KdV (13). Now, we present phase portrait profile of system (26) for the mKdV (20) with fixed values of
which imply
Therefore, there are three fixed points
Using (24), the Jacobian matrix J for the system (26) is
and determinant of J is expressed by
where

Phase portrait of dynamical system (26) for
Through computation, we show phase portrait profile of (26) for the mKdV (20) relying on system parameters
6 Ion-Acoustic Wave Solutions
We encountered existence of IASWS for the KdV and mKdV equations from their respective phase profiles Figures 1–3. Therefore, analytical IASW solutions for the KdV and mKdV equations are obtained as:
The KdV (13) supports IASWS given by:
where
Similarly, the mKdV (20) supports both compressive and rarefactive IASWS:
where amplitude and width are given by
In Figure 4, we present change in IASWS of the KdV (13) with discrete values of κ and system parameters as

Ion-acoustic solitary wave solution (IASWS) of the Korteweg-de Vries (KdV) (13) for different values of κ with
In Figure 5, variation on IASWS of the KdV (13) for distinct values of αh with κ = 1.7,

IASWS of the KdV (13) for distinct values of αh with κ = 1.7,
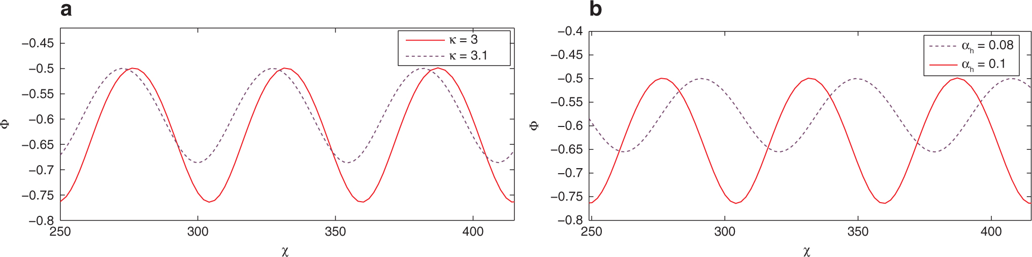
We show effects of κ in Figure 6a and αh in Figure 6b on NPIAW of the KdV (13). When spectral index (κ) of electrons is increased, amplitude and width of NPIAW are enhanced. On the other hand, when temperature of hot electrons is increased, the ratio αh of effective temperature and hot electron temperature becomes relatively low, as a result both amplitude and width of NPIAW dwindle.

Nonlinear periodic ionacoustic wave (NPIAW) solution of the KdV (13) for different values of κ in (a) and αh in (b) with
In Figure 7, changes in compressive and rarefactive IASWS of the mKdV (20) for distinct value of κ with other parameters

(a) Compressive and (b) rarefactive IASW solutions of the modified KdV (20) for distinct values of κ with αh = 0.1, αc = 1.1, f = 0.1 and V = 0.2.
In Figure 8, we observe changes in compressive and rarefactive IASWS of the mKdV (20) for distinct values of αh with fixed values of other parameters

(a) Compressive and (b) rarefactive IASWS of the mKdV (20) for different αh with κ = 3, αc = 1.1, f = 0.1 and V = 0.2.
We display effects of parameters κ and αh on NPIAW for the mKdV (20) in Figure 9. When spectral index of electrons (κ) is approaching to Maxwell distribution, it is observed that both amplitude and width of NPIAW are decreasing (see Fig. 9a). However, in Figure 9b, we observe that with low temperature of hot electrons, NPIAW becomes more smooth.

Effects of (a) κ and (b) αh on NPIAW solution of the mKdV (20) with αc = 1.1, f = 0.1 and V = 0.2.
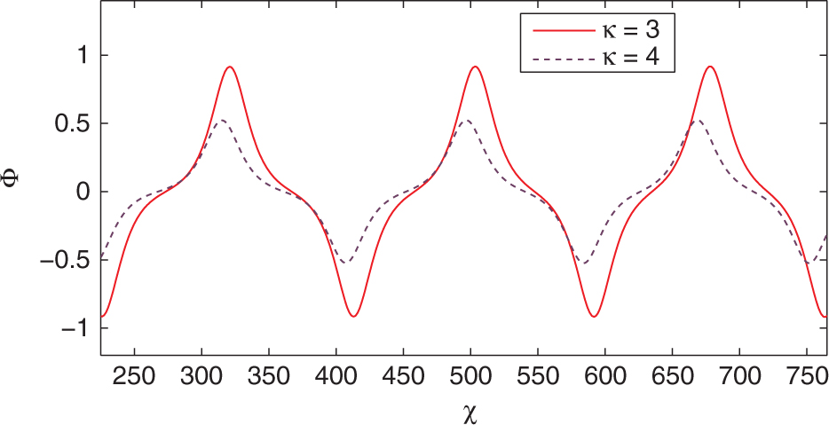
It is interesting to observe different class of waves known as SNPIAW of small-amplitude for system (26) obtained from the mKdV (20). Small-amplitude SNPIAW solution for the mKdV (20) is obtained corresponding to SPO3,1 presented in Figure 3. Variations of system parameters κ and αh on small-amplitude SNPIAW of the mKdV (20) are shown in Figures 10 and 11.
SPO3,1 present in Figure 3 corresponds to SNPIAW solution which is shown by Figure 10. We display the effect of κ on SNPIAW solution of the mKdV (20) in Figure 10 with parametric data same as Figure 3. We observe that amplitude and width of SNPIAWs are shortened when spectral index (κ) of electrons is increased.
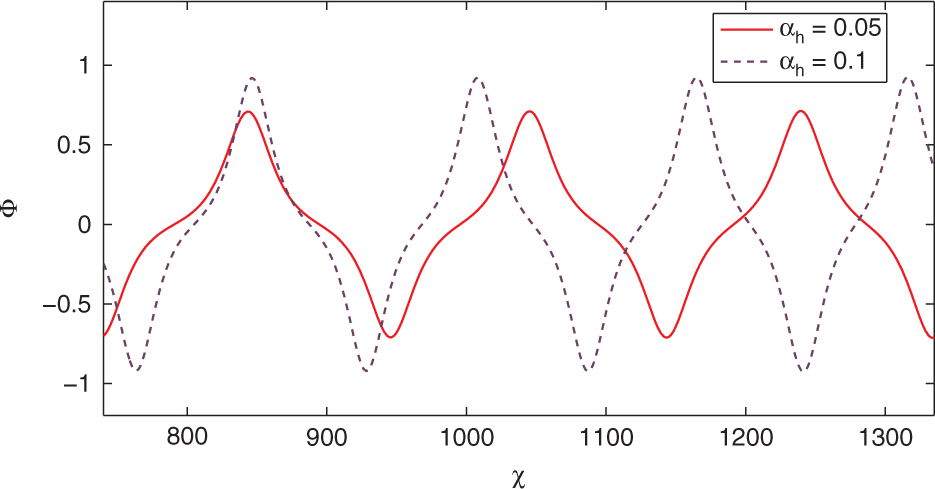
In Figure 11, we present effect of αh on small-amplitude SNPIAW solution of the mKdV (20) with system parametric data same as Figure 3. We observe from Figure 11 that when temperature of hot electrons is decreased, amplitude of small-amplitude SNPIAW flourishes while its width diminishes.
7 Conclusions
A multicomponent plasma constituting of cold fluid ions, κ-distributed hot and cold electrons has been considered. A small-amplitude IAW has been studied under the KdV and mKdV equations using RPT. Applying travelling wave transformation, the KdV and mKdV equations have been reduced to their corresponding dynamical systems (23) and (26). Using bifurcation theory of dynamical systems, all qualitative phase portrait profiles for dynamical systems (23) and (26) have been displayed. It has been observed from phase portrait profiles that NHO1,0 and NPO1,0 of dynamical system (23) obtained from the KdV equation (13) support IASW and NPIAW solutions, respectively. On the other hand, phase portrait profile consisting of NHO1,0, NPO1,0 and SPO3,1 of dynamical system (26) obtained from the mKdV equation (20) supports IASW, NPIAW and SNPIAW solutions. Using bifurcation analysis through phase plane analysis, existence of small-amplitude SNPIAW solution of the mKdV equation in the considered plasma system has been reported for the first time. Furthermore, influences of spectral index (κ) and ratio (αh) of effective temperature to hot electron temperature have been shown on compressive and rarefactive IASW, NPIAW and SNPIAW solutions of the mKdV equation (20). It has been observed that when temperature of hot electrons is low, small-amplitude SNPIAW flourishes. When spectral index of electrons approaches to Maxwellian limit, small-amplitude SNPIAW becomes more smooth. Therefore, our result shows existence of small-amplitude nonlinear and SNPIAWs in plasmas composing of κ-distributed cold and hot electrons. System parameters spectral index of electrons (κ) and temperature ratio (αh) play key roles in bifurcation analysis of small-amplitude nonlinear and supernonlinear periodic ion-acoustic waves in superthermal plasmas.
Acknowledgement
Dr Asit Saha is thankful to SMIT and SMU for TMA Pai Research Grant (6100/SMIT/R&D/Project/05/2018). All authors are thankful to the reviewers and the editor for their comments and suggestions which helped to improve the paper.
References
[1] A. E. Dubinov, D. Y. Kolotkov, and M. A. Sazonkin, Plasma Phys. Rep. 38, 833 (2012).10.1134/S1063780X12090036Search in Google Scholar
[2] A. E. Dubinov and D. Y. Kolotkov, IEEE Trans. Plasma Sci. 40, 1429 (2012).10.1109/TPS.2012.2189026Search in Google Scholar
[3] A. E. Dubinov and D. Y. Kolotkov, High Energy Chem. 46, 349 (2012).10.1134/S0018143912060033Search in Google Scholar
[4] A. E. Dubinov and D. Y. Kolotkov, Plasma Phys. Rep. 38, 909 (2012).10.1134/S1063780X12100054Search in Google Scholar
[5] F. Verheest, Phys. Plasma 16, 013704 (2009).10.1063/1.3059411Search in Google Scholar
[6] T. K. Baluku, M. A. Hellberg, and F. Verheest, EPL 91, 15001 (2010).10.1209/0295-5075/91/15001Search in Google Scholar
[7] F. Verheest, Phys. Plasma 18, 083701 (2011).10.1063/1.3610560Search in Google Scholar
[8] A. Das, A. Bandyopadhyay, and K. P. Das, J. Plasma Phys. 78, 149 (2012).10.1017/S002237781100050XSearch in Google Scholar
[9] F. Verheest, M. A. Hellberg, and I. Kourakis, Phys. Plasmas 20, 082309 (2013).10.1063/1.4818888Search in Google Scholar
[10] S. K. Maharaja, R. Bharuthram, S. V. Singh, and G. S. Lakhina, Phys. Plasmas 20, 083705 (2013).10.1063/1.4818439Search in Google Scholar
[11] F. Verheest, M. A. Hellberg, and I. Kourakis, Phys. Rev. 87, 043107 (2013).10.1103/PhysRevE.87.043107Search in Google Scholar
[12] O. R. Rufai, R. Bharuthram, S. V. Singh, and G. S. Lakhina, Phys. Plasmas 21, 082304 (2014).10.1063/1.4891877Search in Google Scholar
[13] S. A. El-Wakil, E. M. Abulwafa, and A A. Elhanbaly, Phys. Plasmas 24, 073705 (2017).10.1063/1.4991406Search in Google Scholar
[14] F. Verheest, M. A. Hellberg, and I. Kourakis, Phys. Plasmas 20, 012302 (2013).10.1063/1.4775085Search in Google Scholar
[15] C. P. Olivier, F. Verheest, and W. A. Hereman, Phys. Plasmas 25, 032309 (2018).10.1063/1.5027448Search in Google Scholar
[16] M. N. Ali, S. M. Husnine, A. Saha, S. K. Bhowmik, S. Dhawan, et al., Nonlinear Dyn. 94, 1791 (2018).10.1007/s11071-018-4457-xSearch in Google Scholar
[17] A. E. Dubinov and D. Y. Kolotkov, Rev. Mod. Plasma Phys. 2, 2 (2018).10.1007/s41614-018-0014-9Search in Google Scholar
[18] T. Kamalam and S. S. Ghosh, Phys. Plasmas 25, 122302 (2018).10.1063/1.5063955Search in Google Scholar
[19] R. K. Dodd, J. C. Eilbeck, J. D. Gibbon, and H. C. Morries, Solitons Nonlinear Waves Equations, Academic Press Inc, London 1982.Search in Google Scholar
[20] A. A. Mamun, Astrophys. Space Sci. 268, 443 (1999).10.1023/A:1002031022895Search in Google Scholar
[21] K. E. Lonngren, Opt. Quant. Electron. 30, 615 (1998).10.1023/A:1006910004292Search in Google Scholar
[22] A. Saha, P. Chatterjee, and C. S. Wong, Brazilian J. Phys. 45, 656 (2015).10.1007/s13538-015-0358-3Search in Google Scholar
[23] W. F. El-Taibany and A. A. Mamun, Phys. Rev. E 85, 026406 (2012).10.1103/PhysRevE.85.026406Search in Google Scholar PubMed
[24] G. S. Lakhina, S. V. Singh, and A. P. Kakad, Phys. Plasmas 21, 062311 (2014).10.1063/1.4884791Search in Google Scholar
[25] A. Saha and P. Chatterjee, Eur. Phys. J. D 69, 203 (2015).10.1140/epjd/e2015-60115-7Search in Google Scholar
[26] T. K. Maji, M. K. Ghorui, A. Saha, and P. Chatterjee, Brazilian J. Phys. 47, 295 (2017).10.1007/s13538-017-0496-xSearch in Google Scholar
[27] A. Renyi, Acta Math. Hung. 6, 285 (1955).10.1007/BF02024393Search in Google Scholar
[28] V. M. Vasyliunas, J. Geophys. Res. 73, 2839 (1968).10.1029/JA073i009p02839Search in Google Scholar
[29] P. Chatterjee, U. Ghosh, K. Roy, and S. V. Muniandy, Phys. Plasmas 17, 122314 (2010).10.1063/1.3528544Search in Google Scholar
[30] C. R. Choi, K. W. Min, and T. N. Rhee, Phys. Plasmas 18, 092901 (2011).10.1063/1.3629981Search in Google Scholar
[31] N. S. Saini, I. Kourakis, and M. A. Hellberg, Phys. Plasmas 16, 062903 (2009).10.1063/1.3143036Search in Google Scholar
[32] T. K. Baluku and M. A. Hellberg, Phys. Plasmas 15, 123705 (2008).10.1063/1.3042215Search in Google Scholar
[33] N. Ahmadihojatabad, H. Abbasi, and H. Hakimi Pajouh, Phys. Plasmas 17, 112305 (2010).10.1063/1.3503664Search in Google Scholar
[34] B. Sahu, Phys. Plasmas 17, 122305 (2010).10.1063/1.3527988Search in Google Scholar
[35] E. I. El-Awady, S. A. El-Tantawy, W. M. Moslem, and P. K. Shukla, Phys. Lett. A 374, 3216 (2010).10.1016/j.physleta.2010.05.053Search in Google Scholar
[36] T. K. Das, S. Choudhury, A. Saha, and P. Chatterjee, J. Fizik Malayasia 38, 010016 (2017).Search in Google Scholar
[37] M. N. Kadijani, H. Abbasi, and H. H. Pajouh, Plasma Phys. Control Fusion 53, 025004 (2011).10.1088/0741-3335/53/2/025004Search in Google Scholar
[38] I. Kourakis, S. Sultana, and M. A. Hellberg, Plasma Phys. Control Fusion 54, 124001 (2012).10.1088/0741-3335/54/12/124001Search in Google Scholar
[39] S. H. Strogatz, Nonlinear Dynamics and Chaos, Westview Press, USA (2007).Search in Google Scholar
[40] U. K. Samanta, A. Saha, and P. Chatterjee, Phys. Plasma 20, 022111 (2013).10.1063/1.4791660Search in Google Scholar
[41] O. R. Rufai, R. Bharuthram, S. V. Singh, and G. S. Lakhina, Adv. Spaces Res. 53, 813 (2016).10.1016/j.asr.2015.11.021Search in Google Scholar
[42] S. V. Singh and G. S. Lakhina, Commun. Nonlinear Sci. Numer. Simulat. 23, 274 (2015).10.1016/j.cnsns.2014.11.017Search in Google Scholar
[43] L. Mandi, A. Saha, and P. Chatterjee, Space Res. 64, 427 (2019).10.1016/j.asr.2019.04.028Search in Google Scholar
[44] A. Saha, N. Pal, and P. Chatterjee, Phys. Plasma 21, 102101 (2014).10.1063/1.4896715Search in Google Scholar
[45] M. M. Selim, A. El-Depsy, and E. F. El-Shamy, Astrophys. Space Sci. 360, 66 (2015).10.1007/s10509-015-2574-2Search in Google Scholar
[46] A. Saha and J. Tamang, Adv. Space Res. 63, 1596 (2019).10.1016/j.asr.2018.11.010Search in Google Scholar
[47] J. Tamang and A. Saha, Zeitschrift für Naturforschung A 74, 499 (2019).10.1515/zna-2018-0476Search in Google Scholar
[48] P. K. Prasad, S. Sarkar, A. Saha, and K. K. Mondal, Brazilian J. Phys. 49, 698 (2019).10.1007/s13538-019-00697-ySearch in Google Scholar
[49] F. Verheest, C. P. Olivier, and W. A. Hereman, J. Plasma Phys. 18, 905820208 (2018).Search in Google Scholar
[50] W. D. Jones, A. Lee, S. M. Gleman, and H. J. Doucet, Phys. Rev. Lett. 35, 1349 (1975).10.1103/PhysRevLett.35.1349Search in Google Scholar
[51] T. E. Sheridan, M. J. Goeckner, and J. Goree, J. Vacuum Sci. Technol. A 9, 688 (1991).10.1116/1.577344Search in Google Scholar
[52] S. N. Chow and J. K. Hale, Methods of Bifurcation Theory, Springer-Verlag, New York 1982.10.1007/978-1-4613-8159-4Search in Google Scholar
[53] A. Saha, Commun. Nonlinear Sci. Numer. Simulat. 17, 3539 (2012).10.1016/j.cnsns.2012.01.005Search in Google Scholar
[54] J. Guckenheimer and P. J. Holmes, Nonlinear Oscillations, Dynamical Systems and Bifurcations of Vector Fields, Springer-Verlag, New York 1983.10.1007/978-1-4612-1140-2Search in Google Scholar
©2020 Walter de Gruyter GmbH, Berlin/Boston
Articles in the same Issue
- Frontmatter
- Dynamical Systems & Nonlinear Phenomena
- Bifurcation Analysis for Small-Amplitude Nonlinear and Supernonlinear Ion-Acoustic Waves in a Superthermal Plasma
- Propagation of Waves in a Nonideal Magnetogasdynamics with Dust Particles
- Delta-Shock Solution to the Eulerian Droplet Model by Variable Substitution Method
- Solitary Wave with Quantisation of Electron’s Orbit in a Magnetised Plasma in the Presence of Heavy Negative Ions
- Heat and Mass Transfer of Temperature-Dependent Viscosity Models in a Pipe: Effects of Thermal Radiation and Heat Generation
- Solid State Physics & Materials Science
- Michelson Interferometric Hydrogen Sulfide Gas Sensor Based on NH2-rGO Sensitive Film
- Insight into the Structural, Electrical, and Magnetic Properties of Al-Substituted BiFeO3 Synthesised by the Sol–Gel Method
- Theoretical Studies of the Defect Structures for Cu(en)32+ and Ru(en)33+ Clusters in Tris(Ethylenediamine) Complexes
- Thermodynamics & Statistical Physics
- A Framework for Sequential Measurements and General Jarzynski Equations
Articles in the same Issue
- Frontmatter
- Dynamical Systems & Nonlinear Phenomena
- Bifurcation Analysis for Small-Amplitude Nonlinear and Supernonlinear Ion-Acoustic Waves in a Superthermal Plasma
- Propagation of Waves in a Nonideal Magnetogasdynamics with Dust Particles
- Delta-Shock Solution to the Eulerian Droplet Model by Variable Substitution Method
- Solitary Wave with Quantisation of Electron’s Orbit in a Magnetised Plasma in the Presence of Heavy Negative Ions
- Heat and Mass Transfer of Temperature-Dependent Viscosity Models in a Pipe: Effects of Thermal Radiation and Heat Generation
- Solid State Physics & Materials Science
- Michelson Interferometric Hydrogen Sulfide Gas Sensor Based on NH2-rGO Sensitive Film
- Insight into the Structural, Electrical, and Magnetic Properties of Al-Substituted BiFeO3 Synthesised by the Sol–Gel Method
- Theoretical Studies of the Defect Structures for Cu(en)32+ and Ru(en)33+ Clusters in Tris(Ethylenediamine) Complexes
- Thermodynamics & Statistical Physics
- A Framework for Sequential Measurements and General Jarzynski Equations

