Abstract
The multimode characteristics of the space-charge wave are investigated in a cylindrical waveguide complex plasma. The dispersion relation of the space-charge wave is derived in a waveguide, including two-temperature electrons. The results show that the wave frequencies in a plasma with a high population of high-temperature electrons are always smaller those in a plasma with a low population of high-temperature electrons. It is also found that the population of high-temperature electrons suppresses the group velocity of the space-charge wave. In addition, it is found that the frequency increases with an increase in the radius of the cylindrical wave guide. The variations of the frequency and the group velocity due to the density, temperature, and geometric effects are also discussed.
1 Introduction
The characteristics of the plasma surface have received considerable attention over the years in various bounded and semibounded plasmas because the surface waves have applications in many areas of modern science and technologies, such as laser physics, materials science, nanotechnology, plasma spectroscopy, and space physics [1], [2]. It is also shown that the propagation of surface plasma waves is important in fusion devices because the surface waves are related to plasma heating and impurity generation [3]. Usually, the Debye-Hückel potential obtained by the linearization of the Poisson equation with the Maxwell-Boltzmann distribution function has been used to express screened interaction potentials in weakly coupled electron-ion plasmas because the average kinetic energy of a plasma particle is greater than the typical magnitude of the interaction energy between plasma particles [4], [5]. Recently, the complex plasmas containing charged aerosol or dust grains are ubiquitous in astrophysical and laboratory dusty plasmas. In addition, the charged dust grains have wide applications in semiconductor devices, quantum dots, and high-tech industries because nano- and microsized dust grains have collective and nonideal effects [6], [7], [8], [9]. The propagation of ion-acoustic waves has been investigated in a double-electron-temperature plasma [10]. In addition, the physical properties of ion-acoustic solitary waves were explored in a two-electron-temperature plasma [11]. It has been shown that strong electron-beam-plasma interactions can result in two-electron-temperature distributions because the unstable Langmuir mode due to a nonlinear wave interaction process would be the parametric decay mode into a counterpropagating second Langmuir mode and a forward propagating ion-acoustic wave [10], [12]. It is also shown that there exists an electron-acoustic mode when the plasma electrons have bi-Maxwellian distributions with two different temperatures [13], [14], [15]. However, to the best of our knowledge, the physical properties of the space-charge electron-acoustic plasma wave in a cylindrically bounded dusty plasma of two-temperature electrons have not been investigated as yet. Thus, in this paper, we investigate the influence of plasma density and temperature on the space-charge electron-acoustic wave in a cylindrically bounded dusty plasma of two-temperature electrons because the investigation of the plasma wave in the plasma-vacuum interface would provide useful information on the propagation of the electron-acoustic plasma wave and the geometric effect due to the harmonic characteristics of the Bessel functions. It is also expected that the variation of group velocity of space-charge waves due to the change of ratio of the temperature of hot electrons to the temperature of cold electrons provides useful information on the physical characteristics of the space-charge wave in a plasma waveguide, including two-temperature electrons. We obtain the dispersion relation and the group velocity of the space-charge electron-acoustic wave in a cylindrically bounded dusty plasma of two-temperature electrons. The variations of the frequency and the group velocity due to the density, temperature, and geometric effects are also discussed.
In Section 2, we discuss the plasma dielectric function in thermal duty plasmas with two-temperature electrons. We also obtain the dispersion relation for the space-charge electron-acoustic wave for the space-charge electron-acoustic wave in a cylindrically bounded dusty plasma. In Section 3, we obtain the wave frequency and group velocity of the space-charge electron-acoustic wave. Finally, the discussions and conclusion, including the density, temperature, and geometric effects on the frequency and the group velocity of the space-charge electron-acoustic wave in a cylindrically bounded dusty plasma of two-temperature electrons, are given in Section 4.
2 Plasma Dielectric Function and Dispersion Relation
We shall consider a thermal duty plasma encompassing two-temperature electrons, ions, and charged dust grains because it is known that the electron-acoustic mode exists when the plasma electrons have two different temperature distribution functions [15]. In thermal duty plasmas with two-temperature electrons, the longitudinal plasma dielectric function [16] εl(ω, k) would be obtained by the plasma dielectric susceptibilities χα(ω, k) for low-temperature electrons (α=L), high-temperature electrons (α=H), ions (α=i), and dust grains (α=d):
where ω is the frequency, k is the wave number,
where λDH is the Debye length for high-temperature electrons. In unmagnetized dusty plasmas, the continuity and momentum equations for the α species of plasma particle are given by
and Poisson’s equation is
where nα=nα0 + nα1, vα(=vα0 + vα1) is the velocity, Pα is the pressure, and φ is the electric potential. In cylindrical coordinates (r⊥, θ, z), the perturbation quantities nα1(r, t), vα(r, t), and φ(r, t) would be written as the following wavelike dependence [17], [18]:
where n̅α1(r⊥), v̅α1(r⊥), and
because the Laplacian ∇2 is written as
The general solution of Equation 7 is then obtained by
where μ0n(=2.4048, 5.5201, 8.6537, 11.7915, …) are the nth roots of the zeroth-order Bessel function of the first kind, i.e. J0(μ0n)=0. From Equations 8 and 9, the dispersion relation for the space-charge electron-acoustic wave in a cylindrically bounded dusty plasma of two-temperature electrons is then found to be
3 Frequency and Group Velocity of Space-Charge Electron-Acoustic Wave
Because the dispersion relation for the space-charge electron-acoustic wave in a cylindrically bounded dusty plasma of two-temperature electrons (Equation 10) can be written as Aω4 − Bω2 − C=0, the stable frequency solution
and
where ωL[=(4πnLe2/me)1/2] is the electron plasma frequency for low-temperature electrons, nL is the density of low-temperature electrons, k̅z(≡kzλDL) is the scaled propagation wave number, λDL is the Debye length for low-temperature electrons, nH/L(≡nH/nL) is the ratio of the density nH of high-temperature electrons to the density nL of low-temperature electrons, ni/L(≡ni/nL) is the ratio of the density ni of ions to the density nL of low-temperature electrons, nd/L(≡nd/nL) is the ratio of the density nd of dust grains to the density nL of low-temperature electrons, m̅(≡mi/me) is the ratio of the ion mass mi to the electron mass me, M̅(≡md/me) is the ratio of the dust mass mi to the electron mass me, TH/L(≡TH/TL) is the ratio of the temperature TH of high-temperature electrons to the temperature TL of low-temperature electrons, Ti/L(≡Ti/TL) is the ratio of the temperature Ti of ions to the temperature TL of low-temperature electrons, and R̅(≡R/λDL) is the scaled radius of the cylindrical waveguide. The scaled group velocity of the space-charge electron-acoustic wave in a cylindrically bounded dusty plasma of two-temperature electrons would be then determined by
where the parameters A, B, and C are, respectively, given in Equations 12–14. Recently, the density and temperature effects [19] on a surface electron-acoustic wave are investigated in a semibounded dusty plasma of two-temperature electrons. However, the multimode dispersion characteristics of the space-charge wave have not been investigated in a cylindrical waveguide complex plasma, including two-temperature electrons. It would then be expected that the current results, i.e. Equations 11–15, are quite useful to investigate the physical properties of the frequency and the group velocity of the space-charge wave, including the density, temperature, and geometric effects. In recent years, the characteristics of quantum dusty plasmas have been extensively investigated because the quantum dusty plasma can be found in various nanomaterials, nanodevices, and semiconductor plasmas [20], [21], [22], [23], [24], [25], [26], [27], [28]. Very recently, the physical characteristics of space-charge waves in a warm plasma-filled elliptical waveguide in an infinite axial magnetic field are investigated [29]. Hence, the investigation of the space-charge quantum electron-acoustic wave in a cylindrically bounded quantum magneto dusty plasma of two-temperature quantum plasma electrons will be treated elsewhere. Recently, two kinds of streaming instabilities due to ion-streaming and dust-streaming are studied in the plasma system composed of a three-component electron-ion-dust quantum plasmas bounded by a cylindrical domain [18]. It is also shown that the streaming speeds, the boundary conditions, and the quantum parameters strongly influence the physical characteristics of instabilities [18] because of the boundary effect as well as the quantum effect. Hence, the stability of the space-charge wave in a cylindrically bounded streaming two-temperature plasma electrons will also be treated elsewhere.
4 Discussions
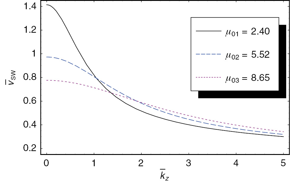
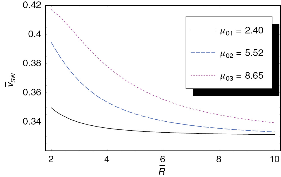
To explicitly investigate the physical characteristics of the space-charge electron-acoustic wave in a cylindrically bounded dusty plasma of two-temperature electrons, we assume that λDL=20a, Zd=200, and the mass density of the dust grain is ρD≅2 gm−3, where a is the radius of the dust grain. Figure 1 shows the scaled frequency

The scaled frequency

The surface plot of the scaled group velocity

The surface plot of the scaled frequency

The surface plot of the scaled group velocity

The scaled frequency

The scaled group velocity

The scaled frequency

The scaled group velocity
5 Conclusion
In this work, we investigated the multimode characteristics of the space-charge wave in a cylindrical waveguide complex plasma. The dispersion relation of the space-charge wave is derived in a waveguide, including two-temperature electrons. The results show that the wave frequencies in a plasma with a high population of high-temperature electrons are always smaller those in a plasma with a low population of high-temperature electrons. It is also found that the population of high-temperature electrons suppresses the group velocity of the space-charge wave. It is interesting to find out that the frequency of the space-charge wave is almost independent of the temperature variations of electrons. It is also found that the group velocity increases with an increase in the ratio of the temperature of hot electrons to the temperature of cold electrons. It is also found that the frequency with the higher-order root is smaller than that with the lower-order root. In addition, it is found that the frequency increases with an increase in the radius of the cylindrical wave guide. From this work, we have shown that the influence of plasma density and temperature plays a crucial role in the propagation of the space-charge electron-acoustic wave in a cylindrically bounded dusty plasma of two-temperature electrons. These results would provide useful information on the physical characteristics of space-charge waves in bounded bi-Maxwellian dusty plasmas consisting of two-electron-species.
Funding source: Ministry of Education, Science and Technology
Award Identifier / Grant number: 2012-001493
Funding statement: This paper is dedicated to the late Prof. P. K. Shukla in memory of exciting and stimulating collaborations on physical processes in dusty plasmas. One of the authors (Y.-D.J.) gratefully acknowledges Dr. M. Rosenberg for useful discussions and warm hospitality while visiting the Department of Electrical and Computer Engineering at the University of California, San Diego. This research was initiated while one of the authors (Y.-D.J.) was affiliated with University of California, San Diego, as a visiting professor. This research was supported by the Basic Science Research Program through the National Research Foundation of Korea (NRF) funded by the Ministry of Education, Science and Technology (grant no. 2012-001493).
Acknowledgments
This paper is dedicated to the late Prof. P. K. Shukla in memory of exciting and stimulating collaborations on physical processes in dusty plasmas. One of the authors (Y.-D.J.) gratefully acknowledges Dr. M. Rosenberg for useful discussions and warm hospitality while visiting the Department of Electrical and Computer Engineering at the University of California, San Diego. This research was initiated while one of the authors (Y.-D.J.) was affiliated with University of California, San Diego, as a visiting professor. This research was supported by the Basic Science Research Program through the National Research Foundation of Korea (NRF) funded by the Ministry of Education, Science and Technology (grant no. 2012-001493).
References
[1] A. F. Alexandrov, L. S. Bogdankevich, and A. A. Rukhadze, Principles of Plasma Electrodynamics, Springer, Berlin, 1984.10.1007/978-3-642-69247-5Search in Google Scholar
[2] Yu. M. Aliev, H. Schlüter, and A. Shivarova, Guided-Wave-Produced Plasmas, Springer, Berlin, 2000.10.1007/978-3-642-57060-5Search in Google Scholar
[3] V. Girka, I. Girka, and M. Thumm, Surface Flute Waves in Plasmas, Springer, Cham, 2014.10.1007/978-3-319-02027-3Search in Google Scholar
[4] F. B. Baimbetov, Kh. T. Nurekenov, and T. S. Ramazanov, Phys. Lett. A 202, 211 (1995).10.1016/0375-9601(95)00304-LSearch in Google Scholar
[5] H. F. Beyer and V. P. Shevelko, Introduction to the Physics of Highly Charged Ions, Institute of Physics, Bristol, 2003.10.1887/0750304812Search in Google Scholar
[6] D. A. Mendis and M. Rosenberg, Ann. Rev. Astron. Astrophys. 32, 419 (1994).10.1146/annurev.aa.32.090194.002223Search in Google Scholar
[7] P. Bliokh, V. Sinitsin, and V. Yaroshenko, Dusty and Self-Gravitational Plasma in Space, Kluwer, Dordrecht, 1995.10.1007/978-94-015-8557-6Search in Google Scholar
[8] A. Bouchoule, Dusty Plasmas: Physics, Chemistry and Technological Impacts in Plasma Processing, Wiley, Chichester, 1999.Search in Google Scholar
[9] P. K. Shukla and A. A. Mamum, Introduction to Dusty Plasma Physics, Institute of Physics Publishing, Bristol, 2002.10.1887/075030653XSearch in Google Scholar
[10] W. D. Jones, A. Lee, S. M. Gleman, and H. J. Doucetf, Phys. Rev. Lett. 35, 1349 (1975).10.1103/PhysRevLett.35.1349Search in Google Scholar
[11] B. N. Goswami and B. Buti, Phys. Lett. A 57, 149 (1976).10.1016/0375-9601(76)90195-XSearch in Google Scholar
[12] K. Baumgärtel, Ann. Geophys. 32, 1025 (2014).10.5194/angeo-32-1025-2014Search in Google Scholar
[13] K. Watanabe and T. Taniuti, J. Phys. Soc. Jpn. 43, 1819 (1977).10.1143/JPSJ.43.1819Search in Google Scholar
[14] S. Peter and R. L. Tokar, Phys. Fluids. 28, 2439 (1985).10.1063/1.865250Search in Google Scholar
[15] W. Baumjohann and R. A. Treumann, Basic Space Plasma Physics, Imperial College Press, Singapore, 1996.10.1142/p015Search in Google Scholar
[16] P. M. Bellan, Fundamentals of Plasma Physics, Cambridge University Press, Cambridge, 2006.10.1017/CBO9780511807183Search in Google Scholar
[17] N. A. Krall and A. W. Trivelpiece, Principles of Plasma Physics, McGraw-Hill, New York, 1973.10.1119/1.1987587Search in Google Scholar
[18] K.-Z. Zhang and J.-K. Xue, Phys. Plasmas 17, 032113 (2010).10.1063/1.3372844Search in Google Scholar
[19] D.-H. Ki and Y.-D. Jung, J. Plasma Phys. 73, 433 (2007).10.1017/S0022377806004685Search in Google Scholar
[20] M. Jamil, M. Shahid, W. Ali, M. Salimullah, H. A. Shah, and G. Murtaza, Phys. Plasmas 18, 063705 (2011).10.1063/1.3595235Search in Google Scholar
[21] M. Akbari-Moghanjoughi, Phys. Plasmas 19, 032703, 2012 (2012).10.1063/1.3690090Search in Google Scholar
[22] M. Akbari-Moghanjoughi, J. Plasma Phys. 79, 189 (2013).10.1017/S0022377812000839Search in Google Scholar
[23] M. Jamil, Z. Mir, M. Asif, and M. Salimullah, Phys. Plasmas 21, 092111 (2014).10.1063/1.4895664Search in Google Scholar
[24] M. Akbari-Moghanjoughi, Phys. Plasmas 22, 022103 (2015).10.1063/1.4907167Search in Google Scholar
[25] W.-P. Hong, M. Jamil, A. Rasheed, and Y.-D. Jung, Z. Naturforsch. 70a, 413 (2015).10.1515/zna-2015-0080Search in Google Scholar
[26] A. A. Khan, M. Jamil, and A. Hussain, Phys. Plasmas 22, 092103, 2015 (2015).10.1063/1.4929862Search in Google Scholar
[27] Z. Moldabekov, T. Schoof, P. Ludwig, M. Bonitz, and T. Ramazanov, Phys. Plasmas 22, 102104 (2015).10.1063/1.4932051Search in Google Scholar
[28] A. Rasheed, M. Jamil, F. Areeb, M. Siddique, M. Salimullah, J. Phys. D 49, 175109 (2016).10.1088/0022-3727/49/17/175109Search in Google Scholar
[29] A. Abdoli-Arani and S. Safari, Wave Random Complex 25, 259 (2015).10.1080/17455030.2015.1010631Search in Google Scholar
©2016 Walter de Gruyter GmbH, Berlin/Boston
Articles in the same Issue
- Frontmatter
- Editorial
- Emergence in Driven Solid-State and Cold-Atom Systems
- Research Articles Focus Section
- Entropy Production Within a Pulsed Bose–Einstein Condensate
- Anatomy of a Periodically Driven p-Wave Superconductor
- Quasi-Periodically Driven Quantum Systems
- Interband Heating Processes in a Periodically Driven Optical Lattice
- Magnus Expansion Approach to Parametric Oscillator Systems in a Thermal Bath
- Research Articles
- The Extended C-Type of KP Hierarchy: Non-Auto Darboux Transformation and Solutions
- A Transverse Dynamic Deflection Model for Thin Plate Made of Saturated Porous Materials
- Accreting Scalar-Field Models of Dark Energy Onto Morris-Thorne Wormhole
- Rogue Wave and Breather Structures with “High Frequency” and “Low Frequency” in 𝒫𝒯-Symmetric Nonlinear Couplers with Gain and Loss
- Multimode Characteristics of Space-Charge Waves in a Plasma Waveguide
Articles in the same Issue
- Frontmatter
- Editorial
- Emergence in Driven Solid-State and Cold-Atom Systems
- Research Articles Focus Section
- Entropy Production Within a Pulsed Bose–Einstein Condensate
- Anatomy of a Periodically Driven p-Wave Superconductor
- Quasi-Periodically Driven Quantum Systems
- Interband Heating Processes in a Periodically Driven Optical Lattice
- Magnus Expansion Approach to Parametric Oscillator Systems in a Thermal Bath
- Research Articles
- The Extended C-Type of KP Hierarchy: Non-Auto Darboux Transformation and Solutions
- A Transverse Dynamic Deflection Model for Thin Plate Made of Saturated Porous Materials
- Accreting Scalar-Field Models of Dark Energy Onto Morris-Thorne Wormhole
- Rogue Wave and Breather Structures with “High Frequency” and “Low Frequency” in 𝒫𝒯-Symmetric Nonlinear Couplers with Gain and Loss
- Multimode Characteristics of Space-Charge Waves in a Plasma Waveguide