Home Physical Sciences Accreting Scalar-Field Models of Dark Energy Onto Morris-Thorne Wormhole
Article Publicly Available

Accreting Scalar-Field Models of Dark Energy Onto Morris-Thorne Wormhole

  • Surajit Chattopadhyay ORCID logo EMAIL logo , Antonio Pasqua and Irina Radinschi
Published/Copyright: August 29, 2016

Abstract

The present paper reports a study on accreting tachyon, Dirac-Born-Infeld essence and h-essence scalar field models of dark energy onto Morris-Thorne wormhole. Using three different parameterisation schemes and taking H=H0+H1t, we have derived the mass of the wormhole for all of the three parameterisation schemes that are able to get hold of both quintessence and phantom behaviour. With suitable choice of parameters, we observed that accreting scalar field dark energy models are increasing the mass of the wormhole in the phantom phase and the mass is decreasing in the quintessence phase. Finally, we have considered accretion with power law form of scale factor and without any parameterisation scheme for the equation of state parameter and observed the fact that phantom-type dark energy supports the existence of wormholes.

1 Introduction

Observational studies [1], [2], [3], [4], [5] have established accelerated expansion of the current universe, and it is believed that this acceleration is due to some missing component characterised by negative pressure. This missing component is dubbed as “dark energy” (DE), and several DE models have been proposed till date. Such models are reviewed in [6], [7], [8], [9], [10], [11], [12], [13], [14], [15], [16], [17], [18]. The negative pressure (pDE) leads to negative equation of state (EoS) parameter wDE=pDE/ρDE, where ρDE is the DE density. The condition for accelerated expansion is wDE<−1/3. The simplest candidate for DE is the cosmological constant Λ for which wDE=−1. The cosmological constant plays the role of DE in the ΛCDM model that is regarded as a standard cosmological model. Although this ΛCDM model is supported by various cosmological data, the theoretical origin of Λ is not yet well understood [7]. Various DE candidates have been proposed to explain this late time acceleration without the cosmological constant Λ. There is one class of DE models which includes scalar field DE models, where introduction of the scalar field ϕ makes the vacuum energy dynamical. In the scalar field models ϕ is assumed to be spatially homogeneous, ϕ˙2/2 is the kinetic energy and V(ϕ) is the potential energy [7]. The action S of scalar field theories in general relativity is given by [7]

(1)S=d4xg(R2κ212ω(ϕ)gμνμϕνϕV(ϕ))+d4xLM(gμνΨM),

where ω(ϕ) is a function of the scalar field ϕ, g is the determinant of the metric tensor gμν , LM is the matter Lagrangian, R is the Ricci scalar and V(ϕ) is a potential term. Equation (1) describes a ΛCDM model if ω(ϕ)=0, while for ω=+1 and −1 it describes quintessence and phantom, respectively. Phantom DE possesses the following properties: an infinitely increasing energy density, resulting in a “big rip”, negative temperatures and the violation of the null energy condition. Thus, it provides a natural scenario for the existence of wormholes [19]. Scalar field models of DE have been discussed in [20], [21], [22], [23].

At this juncture it should be stated that a stationary spherically symmetric wormhole is a two-mouthed tunnel in a multiply-connected spacetime joining two remote asymptotically flat regions of the same spacetime or two different spacetimes [24]. The concept of wormhole has been extended to rotating wormholes [25], rotating cylindrical wormholes [26], [27], wormholes with a cosmological constant [28], charged wormholes [29], [30] and spherically symmetric thin-shell wormholes [31], [32]. In the present work we are interested in accretion of DE onto Morris-Thorne wormhole [33], [34]. Survey of literature reveals that studying accretion of DE onto gravitating systems, such as black holes, wiggly cosmic strings and wormholes has gained considerable attention in recent years. Studies in this direction include [35], [36], [37], [38].

Current placement of wormholes is the universe, more than 70% of which consists of DE, which makes the antigravitational vacuum of the universe. Latest observations suggest that DE might be in the form of either a positive cosmological constant or a slowly varying quintessence scalar field or generalised Chaplygin gas [38]. In the context of black holes, this kind of approach, i.e. considering existence of black holes in a universe filled will some candidate of DE, has been adopted in [39]. It was claimed in [36] that accretion of phantom energy would induce a quick increase of the wormhole throat radius and hence it would engulf the entire universe before the universe reaches the big rip singularity. A later work made by Faraoni and Israel [37] contradicted the results of Gonzales-Diaz [36] concluding that the future evolution of the universe keeps being causal because the wormhole becomes asymptotically comoving with the cosmic fluid. In a subsequent study, Gonzalez-Diaz [40] adopted a properly generalised accretion formalism introduced in [41], and it was concluded that, instead of the size of the wormhole throat to comovingly scale with the scale factor of the universe, the accretion leads to an increase of the wormhole size so big that the wormhole can engulf the universe before it reaches big rip singularity. Such a generalisation has been already performed by Babichev, Dokuchaev and Eroshenko [42], [43] to study DE accretion onto Schwarzschild and Kerr-Newman black holes, respectively. Debnath [44] adopted this generalisation to study accretion of variable modified Chaplygin gas and generalised cosmic Chaplygin gas onto Morris-Thorne wormhole.

In the present work, we report a study on accretion of some scalar field models of DE onto Morris-Thorne wormhole. The static spherically symmetric Morris-Thorne wormhole metric is given by [34]:

(2)ds2=eΦ(r)dt2+dr21K(r)r+r2(dθ2+sin2θdϕ2),

where K(r) represents the shaping function, Φ(r) is redshift function and r denotes the radial coordinate of a comoving observer. As in the present accretion problem we shall consider the procedure of [42]; the energy-momentum tensor would be given by

(3)Tμν=(p+ρ)uμuν+pgμν,

where p represents the pressure, ρ is the energy density and uμ sμ=−1. We ignore the effect of back-reaction on the static wormhole background. By integrating the time component of the conservation law for momentum-energy tensor, we can obtain

(4)M2r2u(p+ρ)(1K(r)r)1(u2+K(r)r1)12=C1,

where M is the mass of the wormhole and C1 is an integration constant. In the case of relativistic perfect fluid and in the background of a static wormhole, we finally obtain

(5)M2r2u(1K(r)r)1exp[ρρdρρ+p(ρ)]=C2,

where C2>0 is a dimensionless integration constant. The rate of change of the exotic mass of the wormhole M˙ is computed as follows [40]:

(6)M˙=dST0r.

Based on the above results, the rate of change of M becomes

(7)M˙=4πM2Q1K(r)r(p+ρ),

with Q representing a positive defined constant. For the asymptotic regime r→∞, M˙ reduces to

(8)M˙=4πM2Q(p+ρ).

At this juncture we explain our motivation behind considering accretion of dynamical DE onto the static wormhole with metric (2). Here we follow [40], where accretion of phantom DE was considered onto Morris-Thorne wormhole. Actually, the procedure of [40] was a generalisation of [42], who considered the case of DE accretion onto Schwarzschild black holes. According to [40], the rate for the wormhole exotic mass as in (8) due to accretion of DE becomes exactly the negative to the similar rate in the case of a Schwarzschild black hole, asymptotically. It has also been pointed out in [40] that a wormhole does not necessarily posses negative energy but that it violates null energy condition. Because of the violation of the null energy condition, [40] found that phantom-type DE could induce an increase of the size of a wormhole so big that the wormhole can engulf the universe itself before it reaches the big rip singularity.

The present work extends the study of [45], where different forms of holographic DE were assumed to be the accreting DE on Morris-Thorne wormhole placed in a universe characterised by power law form of scale factor, and it was observed that in the phantom phase the accretion is leading to an increase in the mass of the wormhole. In the present work, we are considering some scalar field models of DE that are accreting on Morris-Thorne wormhole. The DE candidates to be considered are as follows:

  • Tachyon, with energy density and pressure given, respectively, by ρT=V(ϕ)1ϕ˙2,pT=V(ϕ)1ϕ˙2,

  • Dirac-Born-Infeld (DBI) essence, with energy density and pressure given, respectively, by ρDBI=(ν1)T(ϕ)+V(ϕ),pDBI=(11ν)T(ϕ)V(ϕ),ν=11ϕ˙2T(ϕ)

  • h-essence, with energy density and pressure given, respectively, by ρh=12(ϕ˙2ϕ2θ˙2)V(ϕ),ph=12(ϕ˙2ϕ2θ˙2)+V(ϕ),Q=a3ϕ2θ˙=constant

The paper is organised as follows. In Section 2, we shall consider various parametrisation schemes. In Section 3, we consider accretion of aforesaid candidates of DE. Section 4 is devoted to the conclusions of the paper.

2 EoS Parameterisation

This section is devoted to the considerations about the EoS parametrisation we are considering in this paper.

Studies to understand the properties of a DE component of the universe focus on the EoS parameter w=p/ρ, which is the ratio of the DE’s pressure p to its density ρ. A linear parameterisation of w as a function of redshift z=a−1−1 was proposed in [46] as follows:

(9)wlinear=w0+w1z.

Chevallier and Polarski [47] and Linder [48] proposed another parametrisation of EoS given by the relation

(10)wCPL=w0+w1(z1+z).

This parameterisation is abbreviated as CPL (Chevallier-Polarski-Linder) parametrisation. wCPL has been further discussed in [49]. In (9) and (10), the two parameters w0 and w1 are real numbers such that at the present epoch we have w|z=0=w0 and dwdz|z=0=w1. A negative value of dwdz|z=0 corresponds to an EoS parameter that is larger today compared with early epochs [46]. For the very early universe, i.e., for z ? 1, we have w ~ w0+w1. Thus, we limit the CPL parameters by the flat priors w0=[−2, 0], w1=[−3.2] [50].

There is another parameterisation suggested by Jassal-Bagla-Padmanabhan (JBP [51]) and given by the relation

(11)wJBP=w0+w1[z(1+z)2].

This parameterisation has been further used in [44], [45], [52], [53]. In this model, the parameter w0 determines the properties of w(z) at both low and high redshifts.

In a flat Friedmann-Robertson-Walker universe, the field equations are given by

(12)H2=13ρ,
(13)H˙=12(ρ+p)=12ρ(1+w),

while the conservation equation is given by

(14)ρ˙+3Hρ(1+w)=0.

Replacing w with wlinear, wCPL and wJBP in (14) we get the solutions for DE density as

(15)ρlinear=e3w1zρ0(1+z)3+3w03w1,
(16)ρCPL=e3w1z1+zρ0(1+z)3(1+w0+w1),
(17)ρJBP=e3w1z22(1+z)2ρ0(1+z)3+3w0.

In Figure 1, we have plotted the EoS parameters corresponding to the three schemes of parametrisation for w0=−0.8 and w1=1.3, and red, green and blue lines correspond to linear, CPL and JBP parameterisations, respectively. In all of the three cases, we have observed a transition of the EoS parameter from “quintessence” (w>−1) to “phantom” (w<−1) like behavior crossing the phantom barrier w=−1 at a redshift of z≈−0.3. Thus, in all of the cases considered, the EoS parameter has a “quintom” like behavior. We consider a choice of the Hubble parameter [54] given by

Figure 1: Plot of w for w0=−0.8, w1=1.3. Red, green and blue lines correspond to linear, CPL and JBP parameterisations.
Figure 1:

Plot of w for w0=−0.8, w1=1.3. Red, green and blue lines correspond to linear, CPL and JBP parameterisations.

(18)H=H0+H1t.

If t is small, then HH1t and the universe behaves as the one filled with a perfect fluid. On the other hand, if t is large, then HH0 and the universe looks like de Sitter space. This shows the possibility of the transition from the matter-dominated phase to the accelerating phase [54]. This choice of Hubble parameter leads to H˙=H1t2 and a(t)=a0eH0ttH1. Hence, considering the second field equation, we can express cosmic time t in terms of z as follows:

(19)tlinear=2H1(1+z)3w1/2[e3w1zρ0(1+z)3+3w0(1+w0+w1z)]1/2,
(20)tCPL=2H1e3w1z2(1+z)[ρ0(1+z)2+3w0+3w1(1+w0+(1+w0+w1)z)]1/2,
(21)tJBP=2H1[e3w1z22(1+z)2ρ0(1+z)1+3w0(1+w0(1+z)2+z(2+w1+z))]1/2.

Using (19), (20) and (21) in (18), we get the reconstructed H, and using this in (8) and solving the corresponding differential equation, we obtain the expression for mass of the wormhole in terms of z as follows:

(22)M1=M014M0πQ(1+z)3w1/22H1e3w1zρ0(1+z)3+3w0(1+w0+w1z),
(23)M2=M014e3w1z2(1+z)M0πQ2H1ρ0(1+z)2+3w0+3w1(1+w0+(1+w0+w1)z),
(24)M3=M014M0πQ2H1e3w1z22(1+z)2ρ0(1+z)1+3w0(1+w0(1+z)2+z(2+w1+z)).

From now onwards, the mass of the wormhole for parameterisations “linear”, “CPL” and “JBP” would be denoted as M1, M2 and M3, respectively, and in the plots they would be indicated by red, green and blue lines, respectively. In Figure 2, we observe that for the choice of the Hubble parameter in the form given in (18), the mass of the wormhole decreases with evolution of the universe.

Figure 2: Plot of the mass of the wormhole M for H = H0 + H1t.$H\, = \,{H_0}\, + \,{{{H_1}} \over t}.$ See (22), (23) and (24).
Figure 2:

Plot of the mass of the wormhole M for H=H0+H1t. See (22), (23) and (24).

3 Accretion of Scalar Field DE

We now want to study the accretion onto wormholes for the three different scalar field models chosen in this paper.

3.1 Accreting Tachyon

We assume that the matter content of the universe is modeled by a homogeneous tachyon field T(t) described by Sens Lagrangian density L [55], [56] given by

(25)L=V(ϕ)1+μϕμϕ.

The energy momentum tensor is diagonal, and the corresponding field-dependent energy density and pressure are given by [57], [58], [59], [60]

(26)ρT=V(ϕ)1ϕ˙2,
(27)pT=V(ϕ)1ϕ˙2,

while the EoS parameter can be written as follows:

(28)wT=pTρT=ϕ˙21.

Considering the parameterisations given in (9), (10) and (11) in (28), we can get ϕ˙ as a function of the redshift z as follows:

(29)ϕ˙linear=(1+w0+w1z)1/2,
(30)ϕ˙CPL=(1+w0+z+w0z+w1z1+z)1/2,
(31)ϕ˙JBP=(1+w0+w1z(1+z)2)1/2.

Considering (15–17) and (29–31) in (26), we can express the potential V as a function of z as follows:

(32)Vlinear(z)=e3w1zρ0(1+z)3+3w03w1w0w1z,
(33)VCPL(z)=e3w1z1+zρ0(1+z)3(1+w0+w1)w0+(w0+w1)z1+z,
(34)VJBP(z)=e3w1z22(1+z)2ρ0(1+z)3+3w0w0w1z(1+z)2.

Hence, the reconstructed Hubble parameter takes the following forms for the three different parametrisations:

(35)Hlinear2(z)=e3w1zρ03(1+z)3+3w03w1,
(36)HCPL2(z)=e3w1z1+zρ03(1+z)3(1+w0+w1),
(37)HJBP2(z)=e3w1z22(1+z)2ρ03(1+z)3+3w0.

Finally, the mass of the wormhole takes the following forms for the three different parametrisations:

(38)M1=(1M0+8H0πQ8πQe3w1zρ0(1+z)3+3w03w13)1,
(39)M2=(1M0+8H0πQ8πQe3w1z1+zρ0(1+z)3(1+w0+w1)3)1,
(40)M3=(1M0+8H0πQ8πQe3w1z22(1+z)2ρ0(1+z)3+3w03)1.

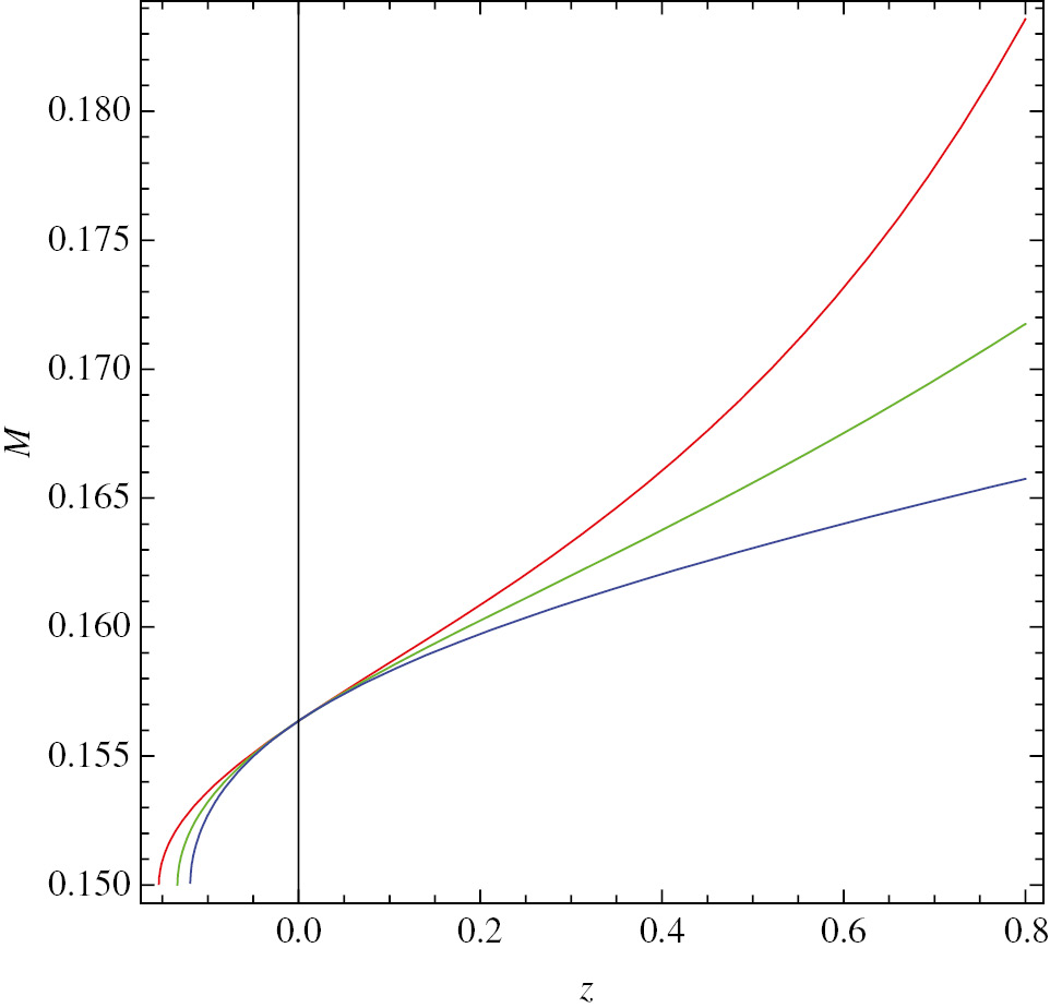
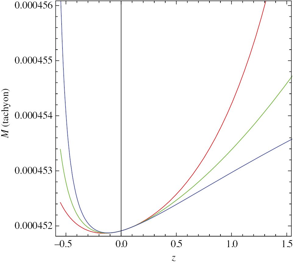
The masses of the wormhole presented in (38), (39) and (40) are plotted against z in Figure 3. We observe in the plot that, due to accretion of tachyon DE onto Morris-Thorne wormhole, the mass of the wormhole is decreasing up to z≈−0.3, and it starts increasing steadily if z≈−0.3. This figure reflects that as long as the EoS parameter is behaving like quintessence, the mass of wormhole is decreasing. However, accretion of tachyon DE onto the wormhole is leading to increase in the mass of the wormhole once the EoS parameter enters into its phantom-like behavior.

Figure 3: Plot of the mass of the wormhole M for accreting tachyon dark energy.
Figure 3:

Plot of the mass of the wormhole M for accreting tachyon dark energy.

3.2 Accreting DBI Essence

In this section, we consider accreting DBI essence scalar field model of DE whose action S is given by

(41)S=d4xa3(t)[T(ϕ)1ϕ˙2T(ϕ)+V(ϕ)T(ϕ)],

where T(ϕ) and V(ϕ) are the warped brane tension and the DBI potential, respectively.

The energy density and the pressure of the DBI essence model are given, respectively, by [61], [62], [63]

(42)ρDBI=(η1)T(ϕ)+V(ϕ),
(43)pDBI=(η1η)T(ϕ)V(ϕ),

where η=11ϕ˙2T(ϕ) is reminiscent from the usual relativistic Lorentz factor.

The EoS parameter for the DBI essence scalar field model can be written as follows:

(44)wDBI=(η1)T(ϕ)V(ϕ)ηη((η1)T(ϕ)+V(ϕ)).

In the present work, we shall assume that T=nϕ˙2. Subsequently, using (42) and (43) in the second field equation, we get, under the three parameterisations considered, the reconstructed ϕ˙ as follows:

(45)ϕ˙linear=[e3w1zn1nρ0(1+z)3+3w03w1(1+w0+w1z)]1/2,
(46)ϕ˙CPL=[e3w1z1+zn1nρ0(1+z)2+3w0+3w1(1+w0+(1+w0+w1)z)]1/2,
(47)ϕ˙JBP=[e3w1z22(1+z)2n1nρ0(1+z)1+3w0(1+w0(1+z)2+z(2+w1+z))]1/2.

Using (45), (46) and (47) in (42), we get the potential V for the three parametrisations considered as follows:

(48)Vlinear(z)=e3w1zρ0(1+z)3+3w03w1[1+(1+n1n)n(1+w0+w1z)],
(49)VCPL(z)=e3w1z1+zρ0(1+z)2+3w0+3w1{1+z+(1+n1n)n[1+w0+(1+w0+w1)z]},
(50)VJBP(z)=e3w1z22(1+z)2ρ0(1+z)1+3w0{(1+z)2+(1+n1n)n[1+w0(1+z)2+z(2+w1+z)]}.

Subsequently, the reconstructed Hubble parameter for the three parametrisations can be written as follows:

(51)Hlinear2=13{e3w1z(1+111n)1+nnnρ0(1+z)3+3w03w1(1+w0+w1z)+e3w1zρ0(1+z)3+3w03w1[1+(1+1+nn)n(1+w0+w1z)]},
(52)HCPL2=13{e3w1z1+z(1+111n)1+nnnρ0(1+z)2+3w0+3w1[1+w0+(1+w0+w1)z]+e3w1z1+zρ0(1+z)2+3w0+3w1[1+z+(1+1+nn)n(1+w0+(1+w0+w1)z)]},
(53)HJBP2=13{e3w1z22(1+z)2(1+111n)1+nnnρ0(1+z)1+3w0[1+w0(1+z)2+z(2+w1+z)]+e3w1z22(1+z)2ρ0(1+z)1+3w0[(1+z)2+(1+1+nn)n[1+w0(1+z)2+z(2+w1+z)]]}.

Based on (51), (52) and (53), the mass of the wormhole takes the following form for the three different parametrisations considered:

(54)M1=M0×[18M0πQ(H0+ζ13)]1,
(55)M2=M0×[18M0πQ(H0+ζ23)]1,
(56)M3=M0×[18M0πQ(H0+ζ33)]1,

where

(57)ζ1=e3w1z(1+111n)1+nnnρ0(1+z)3+3w03w1(1+w0+w1z)+e3w1zρ0(1+z)3+3w03w1[1+(1+1+nn)n(1+w0+w1z)],
(58)ζ2=e3w1z1+z(1+111n)1+nnnρ0(1+z)2+3w0+3w1[1+w0+(1+w0+w1)z]+e3w1z1+zρ0(1+z)2+3w0+3w1{1+z+(1+1+nn)n[1+w0+(1+w0+w1)z]},
(59)ζ3=e3w1z22(1+z)2(1+111n)1+nnnρ0(1+z)1+3w0[1+w0(1+z)2+z(2+w1+z)]+e3w1z22(1+z)2ρ0(1+z)1+3w0×{(1+z)2+(1+1+nn)n[1+w0(1+z)2+z(2+w1+z)]}.

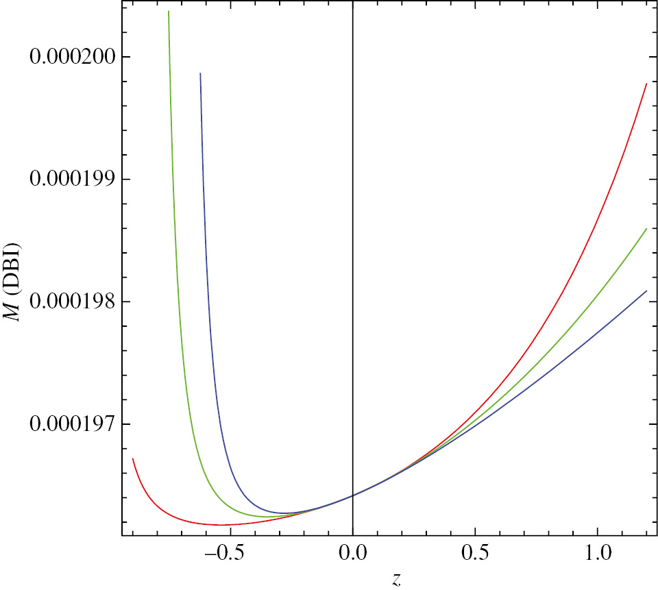
The masses of the wormhole for accreting DBI essence derived in (54), (55) and (56) are plotted against redshift z in Figure 4. It is apparent from the figure that the mass of the wormhole is decreasing up to z≈−0.3 and starts increasing afterwards for CPL and JBP parameterisations. However, for linear parametrisation, the wormhole mass is starting to increase for z≈−0.5. Therefore, in the case of CPL and JBP parameterisations the mass of the wormhole starts increasing steadily as soon as the universe enters the phantom phase. However, for linear parametrisation the increase starts in a little latter stage, and the rate of increase of the mass of the wormhole is less than that in the CPL and JBP parameterisations.

Figure 4: Plot of the mass of the wormhole M for accreting DBI essence dark energy.
Figure 4:

Plot of the mass of the wormhole M for accreting DBI essence dark energy.

3.3 Accreting h-Essence

Wei et al. [23] proposed a new version of quintom model, where the DE is described by a single field with an internal degree of freedom rather than two independent real scalar fields. The pressure and energy density of the h-essence scalar field model are given, respectively, by

(60)ph=12(ϕ˙2ϕ2θ˙2)V(ϕ),
(61)ρh=12(ϕ˙2ϕ2θ˙2)+V(ϕ).

If θ˙0 then the h-essence reduces to an ordinary quintessence. The phantom-like role is played by the internal motion θ˙, and from the equation of motion we can observe that

(62)Q=a3ϕ2θ˙=constant,

which is associated with the total conserved charge within the physical volume. It turns out that

(63)θ˙=Qa3ϕ2.

Using (60) and (61) in the second field equation and using the parameterisations considered, we obtain the following differential equations for ϕ:

(64)ϕ˙linear2=e3w1zρ0(1+z)3+3w03w1(1+w0+w1z)+Q2(1+z)6ϕ2,
(65)ϕ˙CPL2=e3w1z1+zρ0(1+z)2+3w0+3w1(1+w0+(1+w0+w1)z)+Q2(1+z)6ϕ2,
(66)ϕ˙JBP2=e3w1z22(1+z)2ρ0(1+z)3+3w0(1+w0+w1z(1+z)2)+Q2(1+z)6ϕ2.

The above differential equations are solved numerically, and subsequently the numerical solutions are used in deriving the mass of the wormholes that are plotted against z in Figure 5. This figure makes it apparent that in all cases the mass of the wormhole has sharp increase at z≈−0.2. Hence, in the case of accretion of h-essence model of DE the mass of the wormhole starts sharply increasing as the universe enters the phantom phase, and it holds irrespective of the choice of parametrisation.

Figure 5: Plot of the mass of the wormhole M for accreting h-essence dark energy.
Figure 5:

Plot of the mass of the wormhole M for accreting h-essence dark energy.

4 Accretion Without Any EoS Parameterisation

In this section, we shall consider the scale factor in power law form, and without using any parameterisation scheme for the EoS, we shall try to view the behaviour of the change in mass of the wormhole due to accretion of the DE candidates under consideration. The scale factor is taken as

(67)a(t)=a0th0,   h0>0

For the case of tachyon we use the following ansatz for V and ϕ:

(68)V=V0ϕn,
(69)ϕ=ϕ0am.

Subsequently, the EoS parameter becomes

(70)wtachyon=1+h02m2(a0th0)2mϕ02t2.

It is clear from (70) that wtachyon>−1 i.e. behaves like quintessence. The EoS parameter is plotted in Figure 6. Using (70) in (8), we get the following differential equation:

Figure 6: EoS parameter for tachyon based on (70).
Figure 6:

EoS parameter for tachyon based on (70).

(71)dMdt+4h02m2πV0((a0th0)mϕ0)2+nM2Qt21h02m2(a0th0)2mϕ02t2=0

Equation (71) is solved numerically, and the the behaviour of M is plotted in Figure 7; it is observed that the mass of the wormhole is decreasing with accretion of tachyon DE. It may be noted that for all the figures in this section Q=1.3, a0=0.3, ϕ0=0.8, V0=0.2 and h0=0.2.

Figure 7: Plot of the mass of the wormhole M for accreting tachyon dark energy for power law scale factor and without any parameterisation.
Figure 7:

Plot of the mass of the wormhole M for accreting tachyon dark energy for power law scale factor and without any parameterisation.

In addition to the scale factor (67) and ansatz (68) and (69) we assume T=ξϕ˙2 for DBI essence DE. Subsequently, the EoS parameter (Fig. 8) becomes

Figure 8: EoS parameter for DBI essence dark energy based on (72).
Figure 8:

EoS parameter for DBI essence dark energy based on (72).

(72)wDBI=h02m2(a0th0)2m(1+1+ξξ)ξϕ02+t2V0((a0th0)mϕ0)nt2(h02m2(a0th0)2m(1+11+ξξ)ξϕ02t2+V0((a0th0)mϕ0)n),

and hence (8) leads to

dMdth02m2V0((a0th0)mϕ0)2+nh02m2(a0th0)2m(1+1+ξξ)ξϕ02t2V01+ξξ((a0th0)mϕ0)n+4h02m2πQ(a0th0)2m(1+11+ξξ)ξϕ02QM2t2=0.

Equation (73) is solved numerically, and the the behaviour of M is plotted in Figure 9; it is observed that like accreting tachyon DE, the mass of wormhole is decreasing with accretion of DBI essence DE.

Figure 9: Plot of the mass of the wormhole M for accreting DBI essence dark energy for power law scale factor and without any parameterisation.
Figure 9:

Plot of the mass of the wormhole M for accreting DBI essence dark energy for power law scale factor and without any parameterisation.

For h-essence DE we keep our choice for scale factor as in (67) and the ansatz as in (68) and (69). Hence, the EoS parameter takes the form

(73)wh-essence=1+[12a06t2+6h0V0((a0th0)mϕ0)2+na06h02m2t6h0(a0th0)4mϕ04Q2t2]1

and subsequently (8) becomes

(74)dMdt+4πt26h0(a0th0)2mM2Qa06ϕ02(1Q2t2a06h02m2t6h0(a0th0)4mϕ042Q2t2a06h02m2t6h0(a0th0)4mϕ042a06t2+6h0V0((a0th0)mϕ0)2+n)=0.

In Figure 10 we have plotted the EoS parameter for h-essence and observed a clear transition from quintessence to phantom, and the phantom phase persists. Choosing Q=3×10−3 in Figure 11 we see that during the phantom phase the mass is decreasing, and once the phantom phase dominates the mass of wormhole starts increasing significantly.

Figure 10: EoS parameter for h-essence dark energy based on (73).
Figure 10:

EoS parameter for h-essence dark energy based on (73).

Figure 11: Plot of the mass of the wormhole M for accreting h-essence dark energy for power law scale factor and without any parameterisation.
Figure 11:

Plot of the mass of the wormhole M for accreting h-essence dark energy for power law scale factor and without any parameterisation.

5 Concluding Remarks

Wormholes are well established as primordial objects [64], [65], [66], generated by quantum effects in a phantom scenario of DE or dilatonic effective actions. Accretion is a physical phenomena in which energy ingredients can move towards the wormholes. Such accretion is supposed to increase the mass of a primary wormhole. Although DE is dynamic and wormholes are usually static, the accretion phenomena still have the same formulation in the slow accretion scenario [40]. At the same time, being inhomogeneous, a wormhole spacetime demands a non-homogeneously distributed matter [67], [68]. For example, a spherically symmetric wormhole needs a material characterising by two different pressures: radial and transverse [69]. Thus, the natural question that arises is whether we can extend the notion of DE on inhomogeneous spacetime configurations. The answer to this question is available in the work of [70], who considered a scalar field with a negative kinetic term minimally coupled to gravity and obtained an exact non-static spherically symmetric solution which describes a wormhole in cosmological setting. The logic behind existence of a wormhole in DE-dominated epoch is presented in [71], according to which primordial inflation is regarded to be driven by a phantom field, and as phantom energy violates dominant energy condition, wormholes can naturally occur in a universe dominated by phantom-type DE.

The present paper is devoted to the study of accretion of some scalar field models of DE, namely, Tachyon: ρT=V(ϕ)1ϕ˙2,pT=V(ϕ)1ϕ˙2, DBI essence: ρDBI=(ν1)T(ϕ)+V(ϕ),pDBI=(11ν)T(ϕ)V(ϕ),ν=11ϕ˙2T(ϕ) and h-essence: ρh=12(ϕ˙2ϕ2θ˙2)V(ϕ),ph=12(ϕ˙2ϕ2θ˙2)+V(ϕ),(Q=a3ϕ2θ˙=constant) onto Morris-Thorne wormhole. In the first phase of the study considering Hubble parameter as H=H0+H1t in three parameterisation schemes, namely, linear, CPL and JBP, we have expressed cosmic time as a function of redshift z and subsequently derived the mass of the wormhole in terms of z following the procedure of [43]. We observed decaying behaviour of the mass of the wormhole. In the next phase of the study we considered a correspondence between the aforesaid DE densities with the solutions obtained through the parameterisation schemes. It has been shown in Babichev et al. [42] that although the mass of black hole decreases due to phantom energy accretion, the mass of wormhole increases due to phantom energy accretion, which contradicts the behavior of black hole mass. Chattopadhyay et al. [45] observed that due to accretion of holographic DE onto Morris-Thorne wormhole, the mass of wormhole is decaying in the quintessence phase and increasing in the phantom, and a similar behavior was observed by Debnath [43] by considering accreting variable modified Chaplygin gas and generalised cosmic Chaplygin gas. Consistent with the observations of [43], [45], we have observed that as the scalar field models of dark energies are accreting onto Morris-Thorne wormhole, the mass of the wormhole is decaying in the phase when the EoS parameter is behaving like quintessence, and it is increasing for the phantom phase. It has been further noted that the increase of the mass of the wormhole is having the maximum steadiness in the case of the h-essence scalar field model of DE. Also, this observation is in close agreement with [69], who explicitly demonstrated that the phantom energy can support the existence of static wormholes.

Finally, we have examined the accretion scenario without any parameterisation scheme that is using the EoS parameter directly available from the pressure and energy density of the corresponding DE model. Using the EoS parameters in (8), we have numerically solved (8) to get the behaviour of the mass of the wormhole in the case of accreting DE. We have observed that for tachyon and DBI essence DE model, the EoS parameter is behaving like quintessence under a chosen set of parameters, and the associated mass of the wormhole under the influence of accretion is gradually decaying due to accretion. However, in the case of h-essence model of DE, we have observed that the EoS parameter has a transition from quintessence to phantom, and it has been noted that (Fig .11) after initial decay the mass of wormhole starts increasing significantly as the universe enters into phantom phase. This is in agreement with [69], which states that the existence of wormhole is supported by phantom energy. While concluding, we may refer to the work of Folomeev and Dzhunushaliev [72] on wormhole solutions in the presence of a non-minimal interaction between dark matter and DE, which showed that exotic matter can contribute only a small amount, and such exotic matter can be presented as a massless ghost scalar field or as dust matter with negative energy density falling off quite slowly with distance.

While concluding, we would like to comment on how the results on accretion of scalar field DE models on wormholes obtained by using EoS parameterisation may change with account of quantum gravity corrections [73]. In this context, we would like to draw the attention of the readers to the work of Elizalde et al. [74], where it was established that quantum gravity effects may prevent the cosmic doomsday catastrophe associated with the phantom, i.e. the otherwise unavoidable finite-time future singularity (big rip) [75], [76], [77], and they [74] introduced a novel DE model (higher-derivative scalar-tensor theory) that was found to admit an effective phantom/quintessence description with a transient acceleration phase. In this context, we would further like to mention the work of Nojiri et al. [78] that discussed the properties of future singularities in the universe dominated by DE including the phantom-type fluid, constructed a phantom DE scenario coupled to dark matter to reproduce singular behaviors of the big rip type for the energy density and the curvature of the universe, and established that the effect of quantum corrections coming from conformal anomaly can be important when the curvature grows large and as a consequence the finite-time singularities gets moderated. In view of the above works, it may be noted that as in our case we have observed that for all of the three parameterisation schemes, a transition of the EoS parameter from “quintessence” (w>−1) to “phantom” (w<−1) exists and there is a real income of DE which adds to the mass of the wormhole when w<1; this is consistent with [40], and hence in the present case for the static spherically symmetric Morris-Thorne wormhole metric (2) the accretion may lead to the scenario that the wormhole can engulf the universe itself before it reaches the big rip singularity relative to an asymptotic observer. If we consider a DE model to avoid the big rip catastrophe by taking properly into account the quantum effects as discussed in Section 4 of [74], we might have a significantly moderated result, and this is being proposed as a future work.

Acknowledgements

The authors are thankful to the reviewers for their thoughtful suggestions. Financial support from Department of Science and Technology, Govt. of India, under Project Grant No. SR/FTP/PS-167/2011 and IUCAA, Pune Associateship are duly acknowledged by Surajit Chattopadhyay.

References

[1] A. G. Riess, A. V. Filippenko, P. Challis, A. Clocchiatti, A. Diercks, et al. Astron. J. 116, 1009 (1998).10.1086/300499Search in Google Scholar

[2] S. Perlmutter, G. Aldering, M. Della Valle, S. Deustua, R. S. Ellis, et al. Nature 391, 51 (1998).10.1038/34124Search in Google Scholar

[3] A. G. Riess, A. V. Filippenko, M. C. Liu, P. Challis, A. Clocchiatti, et al. Astrophys. J. 536, 62 (2000).10.1086/308939Search in Google Scholar

[4] D. N. Spergel, L. Verde, H. V. Peiris, E. Komatsu, M. R. Nolta, et al. Astrophys. J. Suppl. 148, 175 (2003) arXiv:astro-ph/0302209.10.1086/377226Search in Google Scholar

[5] E. Komatsu, J. Dunkley, M. R. Nolta, C. L. Bennett, B. Gold, et al. Astrophys. J. Suppl. 180, 330 (2009) arXiv:0803.0547 [astro-ph].10.1088/0067-0049/180/2/330Search in Google Scholar

[6] E. J. Copeland, M. Sami, and S. Tsujikawa, Int. J. Mod. Phys. D 15, 1753 (2006).10.1142/S021827180600942XSearch in Google Scholar

[7] K. Bamba, S. Capozziello, S. Nojiri, and S. D. Odintsov, Astrophys. Space Sci. 342, 155 (2012).10.1007/s10509-012-1181-8Search in Google Scholar

[8] R. R. Caldwell and M. Kamionkowski, Ann. Rev. Nucl. Part. Sci. 59, 397 (2009).10.1146/annurev-nucl-010709-151330Search in Google Scholar

[9] Y.-F. Cai, E. N. Saridakis, M. R. Setare, and J.-Q. Xia, Phys. Rept. 493, 1 (2010).10.1016/j.physrep.2010.04.001Search in Google Scholar

[10] J. A. Frieman, M. S. Turner, and D. Huterer, Annu. Rev. Astro. Astrophys. 46, 385 (2008).10.1146/annurev.astro.46.060407.145243Search in Google Scholar

[11] T. Padmanabhan, Gen. Rel. Grav. 40, 529 (2008).10.1007/s10714-007-0555-7Search in Google Scholar

[12] T. Padmanabhan, Curr. Sci. 88, 1057 (2005).Search in Google Scholar

[13] S. Nojiri and S. D. Odintsov, Phys. Rep. 505, 59 (2011).10.1016/j.physrep.2011.04.001Search in Google Scholar

[14] V. Sahni and A. Starobinsky, Int. J. Mod. Phys. D 15, 2105 (2006).10.1142/S0218271806009704Search in Google Scholar

[15] V. Sahni, A. Shafieloo, and A. A. Starobinsky, Astrophys. J. Lett. 793, L40 (2014).10.1088/2041-8205/793/2/L40Search in Google Scholar

[16] E. Elizalde, S. Nojiri, S. D. Odintsov, and P. Wang, Phys. Rev. D 71, 103504 (2005).10.1103/PhysRevD.71.103504Search in Google Scholar

[17] D. Polarski, Int. J. Mod. Phys. D 22, 1330027 (2013).10.1142/S0218271813300279Search in Google Scholar

[18] Y. L. Bolotin, A. Kostenko, O. A. Lemets, and D. A. Yerokhin, Int. J. Mod. Phys. D 24, 1530007 (2015).10.1142/S0218271815300074Search in Google Scholar

[19] F. S. N. Lobo, Phys. Rev. D 73, 064028 (2006).10.1103/PhysRevD.73.064028Search in Google Scholar

[20] B. Ratra and P. J. E. Peebles, Phys. Rev. D 37, 3406 (1988).10.1103/PhysRevD.37.3406Search in Google Scholar PubMed

[21] K. Bamba, O. Razina, K. Yerzhanov, and R. Myrzakulov, Int. J. Mod. Phys. D 22, 1350023 (2013).10.1142/S0218271813500235Search in Google Scholar

[22] V. Gorini, A. Yu. Kamenshchik, U. Moschella, and V. Pasquier, Phys. Rev. D 69, 123512 (2004).10.1103/PhysRevD.69.123512Search in Google Scholar

[23] H. Wei, R.-G. Cai, and D.-F. Zeng, Class. Quant. Grav. 22, 3189 (2005).10.1088/0264-9381/22/16/005Search in Google Scholar

[24] M. Jamil, P. K. F. Kuhfittig, F. Rahaman, and S. A. Rakib, Eur. Phys. J. C 67, 513 (2010).10.1140/epjc/s10052-010-1325-3Search in Google Scholar

[25] E. Guendelman and A. Kagnovich, Int. J. Mod. Phys. D 25, 1405 (2010).10.1142/S0217751X10047762Search in Google Scholar

[26] K. A. Bronnikov and J. P. S. Lemos, Phys. Rev. D 79, 104019 (2009).10.1103/PhysRevD.79.104019Search in Google Scholar

[27] K. A. Bronnikov, V. G. Krechet, and J. P. S. Lemos, Phys. Rev. D 87, 084060 (2013).10.1103/PhysRevD.87.084060Search in Google Scholar

[28] J. P. S. Lemos, F. S. N. Lobo, and S. Quinet de Oliveira, Phys. Rev. D 68, 064004 (2003).10.1103/PhysRevD.68.064004Search in Google Scholar

[29] J. A. González, F. S. Guzmán, and O. Sarbach, Phys. Rev. D 80, 024023 (2009).10.1103/PhysRevD.80.024023Search in Google Scholar

[30] P. K. F. Kuhfittig, Cent. Eur. J. Phys. 9, 1144 (2011).10.2478/s11534-011-0043-2Search in Google Scholar

[31] J. P. S. Lemos and F. S. N. Lobo, Phys. Rev. D 78, 044030 (2008).10.1103/PhysRevD.78.044030Search in Google Scholar

[32] E. F. Eiroa and G. F. Aguirre, Eur. Phys. J. C 72, 2240 (2012).10.1140/epjc/s10052-012-2240-6Search in Google Scholar

[33] M. S. Morris, K. S. Thorne, and U. Yurtsever, Phy. Rev. Lett. 61, 1446 (1988).10.1103/PhysRevLett.61.1446Search in Google Scholar PubMed

[34] M. S. Morris and K. S. Thorne, Am. J. Phys. 56, 395 (1988).10.1119/1.15620Search in Google Scholar

[35] E. Babichev, V. Dokuchaev, and Y. Eroshenko, Phys. Rev. Lett. 93, 021102 (2004).10.1103/PhysRevLett.93.021102Search in Google Scholar PubMed

[36] P. F. Gonzalez-Diaz, Phys. Rev. Lett. 93, 071301 (2004).10.1103/PhysRevLett.93.071301Search in Google Scholar PubMed

[37] V. Faraoni and W. Israel, Phys. Rev. D 71, 064017 (2005).10.1103/PhysRevD.71.064017Search in Google Scholar

[38] P. F. Gonzalez-Diaz, Phys. Rev. D 68, 084016 (2003).10.1103/PhysRevD.68.084016Search in Google Scholar

[39] M. Jamil, D. Momeni, K. Bamba, and R. Myrzakulov, Int. J. Mod. Phys. D 21, 1250065 (2012).10.1142/S0218271812500654Search in Google Scholar

[40] P. F. Gonzalez-Diaz, Phys. Lett. B 632, 159 (2006).10.1016/j.physletb.2005.10.036Search in Google Scholar

[41] F.C. Michel, Astrophys. Space Sci. 15, 153 (1972).10.1007/BF00649949Search in Google Scholar

[42] E. Babichev, V. Dokuchaev, and Y. Eroshenko, Phys. Rev. Lett. 93, 021102 (2004).10.1103/PhysRevLett.93.021102Search in Google Scholar

[43] J. Bhadra and U. Debnath, Eur. Phys. J. C 72, 1912 (2012).10.1140/epjc/s10052-012-1912-6Search in Google Scholar

[44] U. Debnath, Eur. Phys. J. C 74, 2869 (2014).10.1140/epjc/s10052-014-2869-4Search in Google Scholar

[45] S. Chattopadhyay, D. Momeni, A. Altaibayeva, and R. Myrzakulov, Astrophys. Space Sci. 355, 2204 (2014).Search in Google Scholar

[46] A. R. Cooray and D. Huterer, Astrophys. J. 513, L95 (1999).10.1086/311927Search in Google Scholar

[47] M. Chevallier and D. Polarski, Int. J. Mod. Phys. D 10, 213 (2001).10.1142/S0218271801000822Search in Google Scholar

[48] E.V. Linder, Phys. Rev. Lett. 90, 091301 (2003).10.1103/PhysRevLett.90.091301Search in Google Scholar PubMed

[49] S. Linden and J.-M. Virey, Phys. Rev. D 78, 023526 (2008).10.1103/PhysRevD.78.023526Search in Google Scholar

[50] J. A. Vazquez, M. Bridges, M. P. Hobson, and A. N. Lasenby, JCAP 1209, 020 (2012).10.1088/1475-7516/2012/09/020Search in Google Scholar

[51] H. K. Jassal, J. S. Bagla, and T. Padmanabhan, Mon. Not. Roy. Astron. Soc. 356, L11 (2005).10.1111/j.1745-3933.2005.08577.xSearch in Google Scholar

[52] U. Debnath, Eur. Phys. J. C 75, 449 (2015).10.1140/epjc/s10052-015-3678-0Search in Google Scholar

[53] R. Biswas and U. Debnath, Astrophys. Space Sci. 353, 721 (2014).10.1007/s10509-014-2089-2Search in Google Scholar

[54] S. Nojiri and S. D. Odintsov, Phys. Rev. D 74, 086005 (2006).10.1103/PhysRevD.74.086005Search in Google Scholar

[55] A. Sen, J. High Energy Phys. 4, 048 (2002).10.1088/1126-6708/2002/04/048Search in Google Scholar

[56] A. Sen, J. High Energy Phys. 7, 065 (2002).10.1088/1126-6708/2002/07/065Search in Google Scholar

[57] J. S. Bagla, H. K. Jassal, and T. Padmanabhan, Phys. Rev. D 67, 063504 (2003).10.1103/PhysRevD.67.063504Search in Google Scholar

[58] E. J. Copeland, M. R. Garousi, M. Sami, and S. Tsujikawa, Phys. Rev. D 71, 043003 (2005).10.1103/PhysRevD.71.043003Search in Google Scholar

[59] V. Gorini, A. Kamenshchik, U. Moschella, and V. Pasquier, Phys. Rev. D 69, 123512 (2004).10.1103/PhysRevD.69.123512Search in Google Scholar

[60] S. Chattopadhyay, Astrophys. Space Sci. 331, 651 (2011).10.1007/s10509-010-0548-ySearch in Google Scholar

[61] J. Martin and M. Yamaguchi, Phys. Rev. D 77, 123508 (2008).10.1103/PhysRevD.77.123508Search in Google Scholar

[62] S. Chattopadhyay and U. Debnath, Int. J. Mod. Phys. A 25, 5557 (2010).10.1142/S0217751X10050998Search in Google Scholar

[63] S. Chattopadhyay and U. Debnath, Int. J. Theor. Phys. 49, 1465 (2010).10.1007/s10773-010-0328-zSearch in Google Scholar

[64] S. Nojiri, O. Obregon, S. D. Odintsov, and K. E. Osetrin, Phys. Lett. B 449, 173 (1999).10.1016/S0370-2693(99)00095-7Search in Google Scholar

[65] S. Nojiri, O. Obregon, S. D. Odintsov, and K. E. Osetrin, Phys. Lett. B 458, 19 (1999).10.1016/S0370-2693(99)00565-1Search in Google Scholar

[66] S. Nojiri and I. Oda, Mod. Phys. Lett. A 9, 959 (1994).10.1142/S0217732394000794Search in Google Scholar

[67] H. Wei and R-G. Cai, Phys. Rev. D 72, 123507 (2005).10.1103/PhysRevD.72.123507Search in Google Scholar

[68] H. Wei, N. Tang, and S. Nan Zhang, Phys. Rev. D 75, 043009 (2007).10.1103/PhysRevD.75.043009Search in Google Scholar

[69] S. V. Sushkov, Phys. Rev. D 71, 043520 (2005).10.1103/PhysRevD.71.043520Search in Google Scholar

[70] S. V. Sushkov and S.-W. Kim, Gen. Rel. Grav. 36, 1671 (2004).10.1023/B:GERG.0000032159.46106.63Search in Google Scholar

[71] P. F. Gonzalez-Diaz and J. A. Jimenez-Madrid, Phys. Lett. B 596, 16 (2004).10.1016/j.physletb.2004.06.080Search in Google Scholar

[72] V. Folomeev and V. Dzhunushaliev, Phys. Rev. D 89, 064002 (2014).10.1103/PhysRevD.89.064002Search in Google Scholar

[73] S. Nojiri and S. D. Odintsov, Phys. Rev. D 70, 103522 (2004).10.1103/PhysRevD.70.103522Search in Google Scholar

[74] E. Elizalde, S. Nojiri, and S. D. Odintsov, Phys. Rev. D 70, 043539 (2004).10.1103/PhysRevD.70.043539Search in Google Scholar

[75] S. Nojiri and S. D. Odintsov, Phys. Rev. D 72, 023003 (2005).10.1103/PhysRevD.72.023003Search in Google Scholar

[76] L. P. Chimento and R. Lazkoz, Mod. Phys. Lett. A 19, 2479 (2004).10.1142/S0217732304015646Search in Google Scholar

[77] E. N. Saridakis and S. V. Sushkov, Phys. Rev. D 81, 083510 (2010).10.1103/PhysRevD.81.083510Search in Google Scholar

[78] S. Nojiri, S. D. Odintsov, and S. Tsujikawa, Phys. Rev. D 71, 063004 (2005).10.1103/PhysRevD.71.063004Search in Google Scholar

Received: 2016-6-17
Accepted: 2016-7-24
Published Online: 2016-8-29
Published in Print: 2016-10-1

©2016 Walter de Gruyter GmbH, Berlin/Boston

Downloaded on 17.3.2026 from https://www.degruyterbrill.com/document/doi/10.1515/zna-2016-0241/html
Scroll to top button