Abstract
Floquet theory provides rigorous foundations for the theory of periodically driven quantum systems. In the case of non-periodic driving, however, the situation is not so well understood. Here, we provide a critical review of the theoretical framework developed for quasi-periodically driven quantum systems. Although the theoretical footing is still under development, we argue that quasi-periodically driven quantum systems can be treated with generalisations of Floquet theory in suitable parameter regimes. Moreover, we provide a generalisation of the Floquet-Magnus expansion and argue that quasi-periodic driving offers a promising route for quantum simulations.
1 Introduction
The dynamics of quantum systems induced by a time-dependent Hamiltonian attracts attention from various communities [1], [2], [3], [4], [5]. Chemical reactions can be controlled with driving induced by laser beams [6], and driving atoms permits to investigate their electronic structure [7]. Suitably chosen driving sequences permit to investigate dynamics in macro-molecular complexes [8], and there exist phases in solid-state systems that can be accessed only in the presence of driving [9], [10]. A neat bridge between quantum optics and solid-state physics is built by the fact that periodically driven atomic gases can be employed as quantum simulators for models of solid-state theory [11], [12].
Solving the Schrödinger equation with a time-dependent Hamiltonian calls for different mathematical techniques compared with those applied in situations with time-independent Hamiltonians. Differential equations with time-dependent coefficients have been investigated thoroughly, and in particular, developments regarding reducibility are appreciated, as they permit to understand driven systems in terms of time-independent Hamiltonians [13].
The foundation for this is laid by the Floquet theorem [14], [15], [16], which relates a periodically time-dependent Hamiltonian with a constant Hamiltonian. This mathematical theorem provides the basis for experiments that employ periodically driven quantum systems for quantum simulations of systems with time-independent Hamiltonians. Such experiments have led to the experimental observation of, e.g. coherent suppression of tunnelling [17], [18], [19], spin-orbit coupling [20], [21], synthetic magnetism [22], [23], [24], ferromagnetic domains [25], or topological band structures [26], [27].
The specific time dependence of the driving force plays a crucial role in the dynamics that driven systems can undergo. Yet, despite the possibility to experimentally tune it, very simple driving protocols are usually employed, which can significantly limit the performance of the simulations [28] and restrict the range of accessible dynamics [29], [30].
In this context, pulse-shaping techniques have been introduced in order to achieve the simulation of the desired effective dynamics in an optimal fashion [28], [30]. Yet, the restriction to periodic driving is a limitation, and quasi-periodic driving, i.e. driving with a time dependence characterised by several frequencies that can be irrationally related, promises substantially enhanced control over the quantum system at hand. As the use of quasi-periodic driving [31], [32], [33], however, implies that Floquet theorem is not applicable, the mathematical foundation is far less solid than in the case of periodic driving.
Generalisations of Floquet’s theorem to quasi-periodic driving have been pursued both in the quantum physics/chemistry literature [34], [35] and in the mathematical literature [13], [36], [37], [38]. The former perspective approaches quasi-periodic driving as a limiting case of periodic systems, while the mathematical literature approaches quasi-periodicity without resorting to results from periodic systems. Beyond the fundamentally different approaches, also the findings in the different communities are not always consistent with each other.
The goal of the present article is twofold. On the one hand, we discuss prior literature on the generalisation of Floquet’s theorem to quasi-periodic systems and attempt to overview over what findings have been verified to mathematical rigour and what findings are rather based on case studies and still lack a general, rigorous foundation. On the other hand, we aim at studying the possibility to use quasi-periodically driven systems for quantum simulations.
We consider quasi-periodic Hamiltonians H(t) that can be defined in terms of a Fourier-like representation of the form
where ω=(ω1, …, ωd) is a finite-dimensional vector of real frequencies that are irrationally related and n=(n1, …, nd) is a vector of integers such that n·ω=+n1ω1 + … + ndωd. Moreover, the norm of coefficients Hn is considered to decay sufficiently fast with |n|.
The main underlying question in the present work is the possibility to express the time-evolution operator U(t) of a quasi-periodically driven system in terms of a generalised Floquet representation of the form
where HQ is a time-independent Hermitian operator and
The possibility to represent the time-evolution operator of a quasi-periodically driven system as in (2) is directly related to the problem of reducibility [39], [40] of first-order differential equations with quasi-periodic coefficients, which is still an ongoing problem in the mathematics community [41]. Unlike their periodic counterparts, linear differential equations with quasi-periodic coefficients cannot always be reduced to constant coefficients by means of a quasi-periodic transformation [42], [43], although a quasi-periodic Floquet reducibility theory does exist [36], [44].
Generalisations of Floquet theory to quasi-periodically driven systems have been derived also from a less mathematical perspective. Many-mode Floquet theory (MMFT) [34], [45], [46], [47] is based on physical assumptions of the underlying time-dependent Hamiltonian, and it has been successfully applied to a variety of systems ranging from quantum chemistry [34], [48] to quantum optics [49], [50]. However, it does not seem to have an entirely rigorous footing yet.
In this article, we address these different perspectives and argue that, despite gaps in a general mathematical footing, concepts from regular Floquet theory can be translated directly to quasi-periodically driven systems, especially in fast-driving regimes, i.e. the regime of quantum simulations.
In Section 2, we introduce notation and preliminary concepts of Floquet theory that will be used throughout the article. In Section 3, we revise critically the MMFT and point out aspects of the derivation that cast doubts on the general validity of the proof. In Section 4, we argue how, nevertheless, the general formalism of MMFT can still lead to valid results, in agreement with prior work [35], [45], [46], [47], [49], [50], [51]. In Section 5, we derive a generalisation of the Floquet-Magnus expansion [52], which provides a perturbative exponential expansion of the time-evolution operator that has the desired structure. With this, we advocate the possibility to identify effective Hamiltonians that characterise well the effective dynamics of quasi-periodically driven systems in a fast-driving regime and exemplify in Section 6 the results with a quasi-periodically driven Lambda system.
2 Floquet Theory
Floquet’s theorem [14] asserts that the Schrödinger equation
characterising the time-evolution operator Ũ(t) of a system described by a periodic Hamiltonian
where
with UP (0)=𝟙. This decomposition is of central importance in the context of quantum simulations with periodically driven systems because it ensures that, in a suitable fast-driving regime, the dynamics of the driven system can be approximated in terms of the time-independent Hamiltonian HF [11], [12].
The eigenstates |ϵk〉 of the Hamiltonian HF form a basis in the system Hilbert space ℋ, on which the periodic Hamiltonian
where ϵk are the eigenvalues of HF (also termed quasienergies), and
The quasienergies ϵk play a very important role in the dynamics of driven systems. They can be calculated after inserting the Floquet states in (6) into the Schrödinger equation
Equation (7) formally describes an eigenvalue problem resembling the time-independent Schrödinger equation, where the periodic states |uk(t)〉 play an analogous role of stationary states. The quasienergies ϵk, however, are only defined up to integer multiples of the driving [16], which results from the non-uniqueness of the transformation UP(t) and operator HF in (4).
Furthermore, due to the time dependence of the states and the action of the derivative in
2.1 Time-Independent Formalism
State vectors of the driven system are defined on the system Hilbert space ℋ, where time is regarded as a parameter. In order to arrive at a formalism in which the parameter ‘time’ does not appear explicitly, one exploits the fact that the states |u(t)〉 in ℋ that have a periodic time dependence can be defined on a Floquet Hilbert space ℱ=ℋ ⊗ L2(𝕋), where L2(𝕋)is the Hilbert space of periodic functions [16]. In this Floquet space, time is not regarded as a parameter but rather as a coordinate of the new Hilbert space. The explicit time dependence of the system can then be removed by adopting a Fourier representation of the periodic states in the space ℱ. Fourier series permits the characterisation of periodic functions in terms of a sequence of its Fourier coefficients. Formally, this can be described through an isomorphism between the space L2(𝕋) of periodic functions and the space l2(ℤ) of square-summable sequences. This isomorphism allows one to map the exponential functions einωt, which form a basis in L2(𝕋), to states |n〉, which define an orthonormal basis in l2(ℤ).
In this manner, periodic states
while periodic operators
where the ladder operators
with the number operator
Consequently, the isomorphism between ℱ and ℋ ⊗ l2(ℤ) permits one to treat the periodic system within a Fourier formalism by mapping the Schrödinger operator
with the Fourier components Hn of the periodic Hamiltonian. The time-evolution operator Ũ(t) of the system can then be calculated via the relation [15]
which can be readily verified by inserting it into the Schrödinger equation and using the explicit form of
The operator
by means of a unitary transformation
The block-diagonalisation in (13) describes the counterpart in the present time-independent formalism of the transformation in (4) such that, if the block-diagonalisation is achieved, the Floquet Hamiltonian HF and the periodic unitary
3 Many-Mode Floquet Theory Revised
The MMFT [34], [45], [46], [47] was introduced in the context of quantum chemistry as a generalisation of Floquet theory to treat systems with a quasi-periodic time dependence. The derivation of MMFT is rooted on Floquet’s theorem, and its proposed generality contrasts with other results derived with more rigorous approaches. In this section, we revise the derivation of MMFT and challenge aspects of the proof that question its general validity.
The derivation of the MMFT [34] consists in approximating the quasi-periodic Hamiltonian H(t) by a periodic Hamiltonian and then using Floquet theory to demonstrate the existence of a generalised Floquet decomposition for the time-evolution operator of the system. The derivation [34] starts by considering a quasi-periodic Hamiltonian
with some integers Ni. In this manner, the quasi-periodically driven Hamiltonian H(t) can be approximated by the periodic Hamiltonian
where N=(N1, L, Nd). The validity of the approximation
The next step in the derivation aims at demonstrating that time-evolution operator Ũ(t) of the periodic Hamiltonian
which contains only specific Fourier components, as, in general, not all integers can be expressed as n · N with a vector of integers n. If this was possible for an arbitrarily small frequency ω, the unitary UP(t) in (17) would approximate a quasi-periodic unitary
The MMFT derivation [34] considers, for concreteness, a quasi-periodic Hamiltonian H(t) in (1) with d=2; that is, the frequency vector contains only two components: ω1 and ω2. Moreover, the only non-vanishing coefficients Hn of the quasi-periodic Hamiltonian are H(0,0), H(±1,0), and H(0,±1). Despite this specific choice, however, the possibility to generalise the results to Hamiltonians containing more frequencies is claimed.
In order to demonstrate the possibility to write the unitary in (17), the derivation in [34] makes use of the time-independent Floquet formalism described in Section 2. First of all, the operator
The block-diagonal structure is obtained by ‘relabelling’ each vector |n〉 that forms a basis of l2(ℤ) (introduced in Section 2.1) as
where the vector of integers n=(n1, n2) and the integer p are found by solving the Diophantine equation
for all n and for the integers Ni in (15). Thereafter, a tensor product structure is given to the Hilbert space l2(ℤ), such that the state vectors in (18) are written in the tensor product form |np〉=|n〉|p〉, with |n〉=|n1〉|n2〉 and where n1, n2, and p can take all integer values. In this manner, the operator
with
The ladder operator σn and number operators
The notation of the states |n〉 introduced in (18) and the tensor structure given to them and to the operator
A linear Diophantine equation of the form in (19) with unknown p and ni can always be solved independently of the specific integer values n and Ni.[3] In fact, it has infinitely many solutions. For instance, given a solution {np}, it is always possible to obtain another solution by redefining the vector n as n′=(n1 + zN2, n2 − zN1) with an arbitrary integer z. For this reason, it is not possible to uniquely associate a single vector |np〉 with each vector |n〉 without a specific prescription of which solution to choose. Such prescription, however, is not given in [34] and is not compatible with the tensor structure provided [34].
Problems arising from the ambiguity in the identification of the vector |np〉 in (18) become apparent when considering, e.g. the scalar product of two states |np〉 and |n′p′〉 that correspond to two solutions {np} and {n′p′}. The scalar product 〈np|n′p′〉 vanishes if the two solutions are different. However, with the original notation, both states are associated with the same state |n〉 and the corresponding scalar product 〈n|n〉 does not vanish, which leads to an inconsistency. This problem becomes especially relevant when considering the expression of the operator
A central step in the derivation of MMFT is the existence of a unitary transformation relating the operators
with
The existence would follow from a bijective relation between |n〉 and |np〉, but as such a relation does not exist, the unitary equivalence between the two operators does not necessarily hold true.
The notation introduced in (18) is also employed to express the time-evolution operator Ũ(t) in (12) as
This expression, however, contains infinitely many duplicate terms, as there are infinitely many vectors 〈n1n2p| that correspond to the same vector 〈n|, according to the prescription given by the Diophantine equation in (19). Equation (24) is thus not a reformulation of the expression of the time-evolution operator in (12).
The derivation of MMFT [34] achieves the desired structure of the time-evolution operator by combining the expression for the time-evolution operator Ũ(t) in (24) with the expression for the operator
Besides a Floquet-like decomposition for quasi-periodic systems, MMFT also describes a method to calculate the time-evolution operator by diagonalising a time-independent operator perturbatively or numerically in a similar way as described in (13) for periodic systems [15]. Specifically, it is argued [34] that finding the unitary transformation that relates
In the next section, we will give an explanation why, despite arguing that the proof of MMFT is not entirely rigorous and possibly incomplete, this method can still lead to valid results. We shall do this without imposing any intermediate periodicity in the system but rather by directly defining an extended Hilbert space, in an analogous way as described in Section 2.1 for periodic systems.
4 Quasi-Periodic Reducibility in Fourier Space
The possibility to express the time-evolution operator U(t) of quasi-periodically driven systems in a generalised Floquet decomposition can be formulated in terms of the reducibility of the Schrödinger equation, as described in Section 2.1 for periodic systems. In the quasi-periodic case, we seek a quasi-periodic unitary UQ(t) that transforms the operator K(t)=H(t) − i∂t to
where
In Section 2.1, we have described how the transformation in (4) – which is known to exist due to Floquet’s theorem – can be solved within a time-independent formalism using Fourier series. Here, we expand this formalism to include quasi-periodic systems and show how the transformation in (25) can be similarly formulated in terms of the block-diagonalisation of a time-independent operator. With this, we do not aim at proving the existence of the decomposition of the time-evolution operator in (2) but rather assume its existence and construct the corresponding effective Hamiltonian.
Similarly as described in Section 2 for periodic systems, the Fourier coefficients of quasi-periodic states can be defined as the Fourier components of vectors in ℋ ⊗ L2(𝕋d), where ℋ is the original system’s Hilbert space and L2(𝕋d) is the space of square-integrable functions on a d-dimensional torus. Thereafter, the isomorphism between the space L2(𝕋d) and the sequence space l2(ℤd) can be employed to work within a time-independent or Fourier formalism. In this manner, quasi-periodic operators
where the ladder operators
with the number operator
which coincides with the operator already introduced in (21). In this way, the transformation in (25) is then given by
where the transformation 𝒰Q has the form
as it describes a quasi-periodic unitary.
The block-diagonalisation described in (29) offers an alternative formulation of the transformation in (25) and indeed coincides with the transformation relating
5 Generalised Floquet-Magnus Expansion
General results of reducibility for first-order differential equations with quasi-periodic coefficients are not to be expected [39], [40], but the situation is better understood if the driving amplitude is small as compared to the norm |ω| of the frequency vector. Using unitless variables τ=|ω|t|, which are common in the mathematical literature, the corresponding differential equation reads
The regime of the new rescaled Hamiltonian, which is quasi-periodic with frequencies ω/|ω|, is referred to as close-to-constant, whereas the term fast driving is more common in the physics literature. In this regime and under suitable hypothesis of regularity, non-degeneracy, and strong nonresonance of the frequencies, reducible and non-reducible systems are mixed like Diophantine and Liouvillean numbers; most systems are reducible, but non-reducible ones are dense [37], [41], [42], [54]. Moreover, the generalised Floquet decomposition of the time-evolution operator in (2) can be found with any given accuracy, for |ω|−1 that is sufficiently small, provided it exists [55], [56], [57]. In practice, this is often done through an expansion in terms of powers of |ω|−1.
In this section, we will derive a generalisation of the Floquet-Magnus expansion [52], [58], [59] to quasi-periodic systems and provide a perturbative exponential expansion of the time-evolution operator with the desired Floquet representation. This will allow us to identify HQ as the effective Hamiltonian that captures the dynamics of the system in a suitable fast-driving regime.
We start the derivation by reproducing the steps of the regular Floquet-Magnus expansion [52] and introducing the desired decomposition of the time-evolution operator
into the Schrödinger equation i∂tU(t)=H(t)U(t), which yields the differential equation
Then we define the quasi-periodic Hermitian operator Q(t) as the generator of the quasi-periodic unitary UQ(t) via the relation
Introducing the expression in (34) into (33) and using a power series expansion for the differential of the exponential [52], [59], [60], one obtains the non-linear differential equation [52]
where Bk denotes the Bernoulli numbers and ad is the adjoint action defined via
The next step in the derivation is to consider a series expansion for the operators HQ and Q(t) of the form
with Q(n)(0)=0 and where the superscript indicates the order of the expansion. After introducing the series in (36) and (37) into (35) and equating the terms with the same order, one obtains the differential equation
with A(1)(t)=H(t) and
for n ≥ 2. The operators
for 1 ≤ k ≤ n − 1, with
An important feature of the differential equation in (38) is the structure of the operator A(n)(t), which only contains terms involving the Hamiltonian H(t) or operators Q(m)(t) and
Moreover, even though (38) describes a differential equation for Q(n)(t), the solutions for both Q(n)(t) and
In the quasi-periodic case, we can determine
Equations (42) and (43) can be solved for any n>1 provided that the solutions for m<n are known. As they can be readily solved for n=1, (42) and (43) thus contain the necessary information to recursively derive all the terms in the expansions of Q(t) and HQ in (36) and (37), respectively.
After performing the integrations in (42) and (43), the first two terms of the series for HQ become
where Hn are the Fourier coefficients of the quasi-periodic Hamiltonian, as defined in (1). Similarly, the first two terms of Q(t) read
Consistently with the periodic case, the results obtained here reduce the regular Floquet-Magnus expansion when the frequency vector ω contains only one element. Moreover, by using the Baker-Campbell-Hausdorff formula [61], one can verify that the expressions in (44)–(47) coincide with the first terms of the regular Magnus expansion [59], which applies for general time-dependent systems. This formal expansion can also be linked [62] to the method of averaging for quasi-periodic systems [55] to obtain exponentially small error estimates in the quasi-periodic case.
The expansion of the operators HQ and Q(t) introduced in (36) and (37) can be interpreted as a series expansion in powers of |ω|−1 such that, in a suitable fast-driving regime, the lowest order terms of the series are the most relevant to describe the dynamics of the system [63]. Even though the convergence of the quasi-periodic Floquet-Magnus expansion is in general not guaranteed and requires further investigations, this permits us to identify effective Hamiltonian analogously as done for periodic systems.
In fast-driving regimes where the fundamental driving frequencies are the largest energy scales of the system, the two unitaries UQ(t) and
6 Quasi-Periodically Driven Lambda System
In this section, we will illustrate with a quasi-periodically driven Lambda system the possibility to approximate the dynamics of quasi-periodically driven systems in terms of a truncation of the effective Hamiltonian HQ.
The Lambda system describes an atomic three energy-level system with two ground states |1〉 and |2〉 that are coupled to an excited state |3〉 via a time-dependent laser field. The time-dependent coupling allows one to indirectly mediate a transition between states |1〉 and |2〉 without significantly populating the excited state and, in this way, overcome the impossibility to drive a direct transition between the two degenerate ground states. This method also permits the implementation of non-trivial phases in the tunnelling rate of particles [64], [65] and constitutes a building block in many quantum simulations [20], [23], [27], [66].
The Hamiltonian of the Lambda system in an interaction picture reads
where f(t) is usually a periodic function, but here, we consider it to be quasi-periodic, i.e. of the form
with a frequency vector ω and Fourier components fn. Moreover, we require the static Fourier component to vanish, i.e. f0=0, in order to ensure that the dominant dynamics of the system does not yield transitions between the ground states and the excited state.
With the Hamiltonian of the quasi-periodically driven Lambda system in (48), the first two terms of the effective Hamiltonian expansion in (44) and (45) become
respectively. As the first term vanishes, the leading order term of the effective Hamiltonian is thus given by
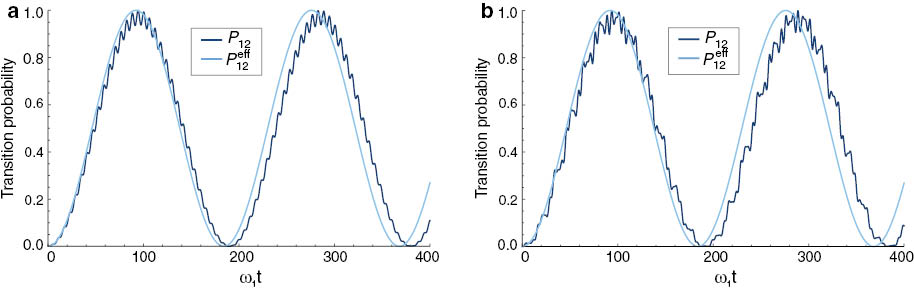
In order to illustrate the possibility to approximate the dynamics of the system in terms of a truncation of HQ, we compare in Figures 1 and 2 the matrix elements of a numerically exact calculation of the time-evolution operator of the system U(t) and the effective time-evolution operator

Comparison between the exact and effective transition probabilities P12(t)=|〈1|U(t)|2〉|2 and

Plot of the transition probabilities P12(t)=|〈1|U(t)|2〉|2 and
for different driving functions f(t). Specifically, we display the transition probabilities P12(t)=|〈1|U(t)2〉|2 and
In Figure 1, we compare the performance of the driven Lambda system for a periodic and quasi-periodic driving functions in a moderately fast-driving regime. In Figure 1a, a periodic driving is considered, which yields exact dynamics that exhibits fast regular fluctuations around the slower effective dynamics. On the contrary, we show in Figure 1b how a quasi-periodic driving leads to a pattern with seemingly erratic fluctuation around the effective dynamics. In the regime where the fluctuations can be neglected, however, their regularity is irrelevant. This supports the view that, as quasi-periodic functions provide a more general parameterisation of the driving protocol, quasi-periodically driven quantum systems have the potential to expand the accessible effective dynamics in a variety of experimental setups [67].
Another aspect that is apparent from Figure 1 is the drift between the exact and effective dynamics. This is not a characteristic feature of quasi-periodically driven systems but rather results from the truncation of the operator HQ. Including higher order terms in the expansion of HQ or considering a faster driving regime, the approximation would be improved and the exact and effective dynamics of the system would better overlap for longer times. Indeed, in Figure 2, we consider a quasi-periodic function with higher frequencies and observe that the effective time-evolution operator in (52) approximates better the exact dynamics of the system for longer times. This highlights the possibility to use the generalised Floquet-Magnus expansion derived in Section 5 in order to derive time-independent effective Hamiltonians that capture well the dynamics of quasi-periodic systems in a suitable fast-driving regime.
7 Conclusions
Despite concerted efforts towards the generalisation of Floquet’s theorem for quasi-periodic systems, there are still many open questions regarding the existence of Floquet-like decompositions. Although a rigorous footing is not complete, effective Hamiltonians can be constructed. The specific examples discussed here focus on the case of weakly and/or rapidly driven quantum systems. Provided that quasi-reducibility is given, however, one may also strive for numerically exact methods [34], [35], [50] or for perturbative expansions in different regimes such as adiabatically slow driving [68] or strong driving [3].
As the restriction to periodic driving naturally imposes restrictions on the effective Hamiltonians that can be achieved, the use of quasi-periodic Hamiltonians is a promising route for quantum simulations. The increased freedom in accessible time dependencies makes quasi-periodic driving a highly interesting basis for the identification of accurate implementations of effective dynamics by means of optimal control. As such, one can expect that quasi-periodic driving will find numerous applications in quantum simulations and that the increased interest in quantum physics will trigger activities in mathematics towards the existence of Floquet-like decompositions and the convergence of perturbative expansions.
Acknowledgments
A.V. and F.M. acknowledge financial support by the European Research Council within the project ODYCQUENT (Grant/Award Number: ‘259264’). The research of J.P. is supported by grants 2014-SGR-00504 and MTM2015-65715-P.
Appendix: The Propagator in Floquet Theory
Here, we show that
as given in (12), is indeed the propagator induced by H(t), i.e. that it satisfies the Schrödinger equation with the initial condition Ũ(0)=𝟙.
The time derivative of (A.1) reads
Using the explicit form
and
Equation (A.2) is reduced to
Replacing the summation index n by n + m leads to
The initial condition Ũ(0)=𝟙 results directly from
References
[1] A. Russomanno, A. Silva, and G. E. Santoro, Phys. Rev. Lett. 109, 257201 (2012).10.1103/PhysRevLett.109.257201Search in Google Scholar PubMed
[2] A. Lazarides, A. Das, and R. Moessner, Phys. Rev. Lett. 115, 030402 (2015).10.1103/PhysRevLett.115.030402Search in Google Scholar PubMed
[3] J. Hausinger and M. Grifoni, Phys. Rev. A 81, 022117 (2010).10.1103/PhysRevA.81.022117Search in Google Scholar
[4] A. Russomanno, S. Pugnetti, V. Brosco, and R. Fazio, Phys. Rev. B 83, 214508 (2011).10.1103/PhysRevB.83.214508Search in Google Scholar
[5] A. Bermudez, T. Schaetz, and D. Porras, New J. Phys. 14, 053049 (2012).10.1088/1367-2630/14/5/053049Search in Google Scholar
[6] M. Shapiro and P. Brumer, Int. Rev. Phys. Chem. 13, 187 (1994).10.1080/01442359409353294Search in Google Scholar
[7] W. Becker, X. Liu, P. J. Ho, and J. H. Eberly, Rev. Mod. Phys. 84, 1011 (2012).10.1103/RevModPhys.84.1011Search in Google Scholar
[8] G. Engel, T. Calhoun, E. Read, T.-K. Ahn, T. Mancal, et al., Nature 446, 782 (2007).10.1038/nature05678Search in Google Scholar PubMed
[9] H. Ichikawa, S. Nozawa, T. Sato, A. Tomita, K. Ichiyanagi, et al., Nat. Mater. 10, 101 (2011).10.1038/nmat2929Search in Google Scholar PubMed
[10] Y. Tokura, J. Phys. Soc. Jap. 75, 011001 (2006).10.1143/JPSJ.75.011001Search in Google Scholar
[11] M. Bukov, L. D’Alessio, and A. Polkovnikov, Adv. Phys. 64, 139 (2015).10.1080/00018732.2015.1055918Search in Google Scholar
[12] N. Goldman and J. Dalibard, Phys. Rev. X 4, 031027 (2014).10.1103/PhysRevX.4.031027Search in Google Scholar
[13] L. H. Eliasson, Commun. Math. Phys. 146, 447 (1992).10.1007/BF02097013Search in Google Scholar
[14] G. Floquet, Ann. École Norm. Sup. 12, 47 (1883).10.24033/asens.220Search in Google Scholar
[15] J. H. Shirley, Phys. Rev. 138, B979 (1965).10.1103/PhysRev.138.B979Search in Google Scholar
[16] H. Sambe, Phys. Rev. A 7, 2203 (1973).10.1103/PhysRevA.7.2203Search in Google Scholar
[17] B. J. Keay, S. Zeuner, S. J. Allen, K. D. Maranowski, A. C. Gossard, et al., Phys. Rev. Lett. 75, 4102 (1995).10.1103/PhysRevLett.75.4102Search in Google Scholar PubMed
[18] K. W. Madison, M. C. Fischer, R. B. Diener, Q. Niu, and M. G. Raizen, Phys. Rev. Lett. 81, 5093 (1998).10.1103/PhysRevLett.81.5093Search in Google Scholar
[19] H. Lignier, C. Sias, D. Ciampini, Y. Singh, A. Zenesini, et al., Phys. Rev. Lett. 99, 220403 (2007).10.1103/PhysRevLett.99.220403Search in Google Scholar PubMed
[20] Y.-J. Lin, K. Jimenez-Garcia, and I. B. Spielman, Nature 471, 83 (2011).10.1038/nature09887Search in Google Scholar PubMed
[21] G. Jotzu, M. Messer, F. Görg, D. Greif, R. Desbuquois, et al., Phys. Rev. Lett. 115, 073002 (2015).10.1103/PhysRevLett.115.073002Search in Google Scholar PubMed
[22] J. Struck, C. Ölschläger, M. Weinberg, P. Hauke, J. Simonet, et al., Phys. Rev. Lett. 108, 225304 (2012).10.1103/PhysRevLett.108.225304Search in Google Scholar PubMed
[23] M. Aidelsburger, M. Atala, M. Lohse, J. T. Barreiro, B. Paredes, et al., Phys. Rev. Lett. 111, 185301 (2013).10.1103/PhysRevLett.111.185301Search in Google Scholar PubMed
[24] H. Miyake, G. A. Siviloglou, C. J. Kennedy, W. C. Burton, and W. Ketterle, Phys. Rev. Lett. 111, 185302 (2013).10.1103/PhysRevLett.111.185302Search in Google Scholar PubMed
[25] C. V. Parker, L.-C. Ha, and C. Chin, Nat. Phys. 9, 769 (2013).10.1038/nphys2789Search in Google Scholar
[26] G. Jotzu, M. Messer, R. Desbuquois, M. Lebrat, T. Uehlinger, et al., Nature 515, 237 (2014).10.1038/nature13915Search in Google Scholar PubMed
[27] M. Aidelsburger, M. Lohse, C. Schweizer, M. Atala, J. T. Barreiro, et al., Nat. Phys. 11, 162 (2015).10.1038/nphys3171Search in Google Scholar
[28] A. Verdeny, Ł. Rudnicki, C. A. Müller, and F. Mintert, Phys. Rev. Lett. 113, 010501 (2014).10.1103/PhysRevLett.113.010501Search in Google Scholar PubMed
[29] P. Hauke, O. Tieleman, A. Celi, C. Ölschläger, J. Simonet, et al., Phys. Rev. Lett. 109, 145301 (2012).10.1103/PhysRevLett.109.145301Search in Google Scholar PubMed
[30] A. Verdeny and F. Mintert, Phys. Rev. A 92, 063615 (2015).10.1103/PhysRevA.92.063615Search in Google Scholar
[31] E. Neumann and A. Pikovsky, Eur. Phys. J. D 26, 219 (2002).10.1140/epjb/e20020083Search in Google Scholar
[32] R. Gommers, S. Denisov, and F. Renzoni, Phys. Rev. Lett. 96, 240604 (2006).10.1103/PhysRevLett.96.240604Search in Google Scholar
[33] D. Cubero and F. Renzoni, Phys. Rev. E 86, 056201 (2012).10.1103/PhysRevE.86.056201Search in Google Scholar
[34] T.-S. Ho, S.-I. Chu, and J. V. Tietz, Chem. Phys. Lett. 96, 464 (1983).10.1016/0009-2614(83)80732-5Search in Google Scholar
[35] S.-I. Chu and D. A. Telnov, Phy. Rep. 390, 1 (2004).10.1016/j.physrep.2003.10.001Search in Google Scholar
[36] À. Jorba and C. Simó, J. Differ. Equations 98, 111 (1992).10.1016/0022-0396(92)90107-XSearch in Google Scholar
[37] R. Krikorian, Ann. Math. 154, 269 (2001).10.2307/3062098Search in Google Scholar
[38] A. Avila and R. Krikorian, Ann. Math. 164, 911 (2006).10.4007/annals.2006.164.911Search in Google Scholar
[39] L. H. Eliasson, in Doc. Math., Extra Vol. II, 1998, p. 779 (electronic).10.4171/dms/1-2/74Search in Google Scholar
[40] L. H. Eliasson, in XIVth International Congress on Mathematical Physics, World Scientific 2006, p. 195.10.1142/9789812704016_0017Search in Google Scholar
[41] N. Karaliolios, Mémoires de la SMF, 146 (2016).Search in Google Scholar
[42] L. H. Eliasson, Ergodic Theory Dynam. Systems 22, 1429 (2002).10.1017/S0143385702000998Search in Google Scholar
[43] R. Krikorian, Ergodic Theory Dynam. Systems 19, 61 (1999).10.1017/S0143385799120972Search in Google Scholar
[44] H.-L. Her and J. You, J. Dyn. Differ. Equ. 20, 831 (2008).10.1007/s10884-008-9113-6Search in Google Scholar
[45] T.-S. Ho and S.-I. Chu, J. Phys. B 17, 2101 (1984).10.1088/0022-3700/17/10/015Search in Google Scholar
[46] T.-S. Ho and S.-I. Chu, Phys. Rev. A 31, 659 (1985).10.1103/PhysRevA.31.659Search in Google Scholar PubMed
[47] T.-S. Ho and S.-I. Chu, Phys. Rev. A 32, 377 (1985).10.1103/PhysRevA.32.377Search in Google Scholar PubMed
[48] M. Leskes, R. S. Thakur, P. K. Madhu, N. D. Kurur, and S. Vega, J. Chem. Phys. 127, 024501 (2007), http://dx.doi.org/10.1063/1.2746039.10.1063/1.2746039Search in Google Scholar PubMed
[49] S.-K. Son and S.-I. Chu, Phys. Rev. A 77, 063406 (2008).10.1103/PhysRevA.77.063406Search in Google Scholar
[50] D. Zhao, C.-W. Jiang, and F.-l. Li, Phys. Rev. A 92, 043413 (2015).10.1103/PhysRevA.92.043413Search in Google Scholar
[51] A. M. Forney, S. R. Jackson, and F. W. Strauch, Phys. Rev. A 81, 012306 (2010).10.1103/PhysRevA.81.012306Search in Google Scholar
[52] F. Casas, J. A. Oteo, and J. Ros, J. Phys. A 34, 3379 (2001).10.1088/0305-4470/34/16/305Search in Google Scholar
[53] A. Verdeny, A. Mielke, and F. Mintert, Phys. Rev. Lett. 111, 175301 (2013).10.1103/PhysRevLett.111.175301Search in Google Scholar PubMed
[54] K. Frączek, Israel J. Math. 139, 293 (2004).10.1007/BF02787553Search in Google Scholar
[55] C. Simó, Hamiltonian mechanics: integrability and chaotic behavior, in Averaging under Fast Quasiperiodic Forcing, Springer US, Boston, MA 1994, p. 13.10.1007/978-1-4899-0964-0_2Search in Google Scholar
[56] D. V. Treshchev, in Dynamical systems in classical mechanics, Amer. Math. Soc. Transl. Ser. 2, vol. 168 (V. V. Kozlov, ed.), Amer. Math. Soc., Providence, RI 1995, pp. 91–128.10.1090/trans2/168/04Search in Google Scholar
[57] À. Jorba, R. Ramírez-Ros, and J. Villanueva, SIAM J. Math. Anal. 28, 178 (1997).10.1137/S0036141095280967Search in Google Scholar
[58] S. Blanes, F. Casas, J. Oteo, and J. Ros, Phys. Rep. 470, 151 (2009).10.1016/j.physrep.2008.11.001Search in Google Scholar
[59] W. Magnus, Comm. Pure Appl. Math. 7, 649 (1954).10.1002/cpa.3160070404Search in Google Scholar
[60] R. M. Wilcox, J. Math. Phys. 8, 962 (1967).10.1063/1.1705306Search in Google Scholar
[61] V. Varadarajan, Lie Groups, Lie Algebras, and Their Representations, Springer-Verlag, New York 1984.10.1007/978-1-4612-1126-6Search in Google Scholar
[62] P. Chartier, A. Murua, and J. Sanz-Serna, Discret. Contin. Dyn. S. 32, 1 (2012).10.3934/dcds.2012.32.1Search in Google Scholar
[63] T. Kuwahara, T. Mori, and K. Saito, Ann. Phys. 367, 96 (2016).10.1016/j.aop.2016.01.012Search in Google Scholar
[64] L. W. Cheuk, A. T. Sommer, Z. Hadzibabic, T. Yefsah, W. S. Bakr, et al., Phys. Rev. Lett. 109, 095302 (2012).10.1103/PhysRevLett.109.095302Search in Google Scholar PubMed
[65] P. Wang, Z.-Q. Yu, Z. Fu, J. Miao, L. Huang, et al., Phys. Rev. Lett. 109, 095301 (2012).10.1103/PhysRevLett.109.095301Search in Google Scholar PubMed
[66] Y.-J. Lin, R. L. Compton, K. Jimenez-Garcia, J. V. Porto, and I. B. Spielman, Nature 462, 628 (2009).10.1038/nature08609Search in Google Scholar PubMed
[67] C. Yuce, Europhys. Lett. 103, 30011 (2013).10.1209/0295-5075/103/30011Search in Google Scholar
[68] T. Kato, J. Phys. Soc. Jap. 5, 435 (1950).10.1143/JPSJ.5.435Search in Google Scholar
©2016 Walter de Gruyter GmbH, Berlin/Boston
Articles in the same Issue
- Frontmatter
- Editorial
- Emergence in Driven Solid-State and Cold-Atom Systems
- Research Articles Focus Section
- Entropy Production Within a Pulsed Bose–Einstein Condensate
- Anatomy of a Periodically Driven p-Wave Superconductor
- Quasi-Periodically Driven Quantum Systems
- Interband Heating Processes in a Periodically Driven Optical Lattice
- Magnus Expansion Approach to Parametric Oscillator Systems in a Thermal Bath
- Research Articles
- The Extended C-Type of KP Hierarchy: Non-Auto Darboux Transformation and Solutions
- A Transverse Dynamic Deflection Model for Thin Plate Made of Saturated Porous Materials
- Accreting Scalar-Field Models of Dark Energy Onto Morris-Thorne Wormhole
- Rogue Wave and Breather Structures with “High Frequency” and “Low Frequency” in 𝒫𝒯-Symmetric Nonlinear Couplers with Gain and Loss
- Multimode Characteristics of Space-Charge Waves in a Plasma Waveguide
Articles in the same Issue
- Frontmatter
- Editorial
- Emergence in Driven Solid-State and Cold-Atom Systems
- Research Articles Focus Section
- Entropy Production Within a Pulsed Bose–Einstein Condensate
- Anatomy of a Periodically Driven p-Wave Superconductor
- Quasi-Periodically Driven Quantum Systems
- Interband Heating Processes in a Periodically Driven Optical Lattice
- Magnus Expansion Approach to Parametric Oscillator Systems in a Thermal Bath
- Research Articles
- The Extended C-Type of KP Hierarchy: Non-Auto Darboux Transformation and Solutions
- A Transverse Dynamic Deflection Model for Thin Plate Made of Saturated Porous Materials
- Accreting Scalar-Field Models of Dark Energy Onto Morris-Thorne Wormhole
- Rogue Wave and Breather Structures with “High Frequency” and “Low Frequency” in 𝒫𝒯-Symmetric Nonlinear Couplers with Gain and Loss
- Multimode Characteristics of Space-Charge Waves in a Plasma Waveguide