Abstract
Lawyers’ contingent fee (CF) rates are rather uniform, often one-third of the recovery. Arguably, this uniformity is a type of anti-competitive price-fixing, which results in clients paying supra-competitive fees. This paper challenges this argument. It shows that uniform CF rates provide clients with an important advantage, as such rates enable them to make a de facto “take-it-or-leave-it” offer. Consequently, lawyers cannot exploit their private information, and clients retain the transaction’s entire surplus and may hire the best lawyer among those who find it profitable to handle the case.
The paper also addresses the effect of uniformity of CF rates when lawyers refer cases to other lawyers. It shows that uniformity facilitates matching of clients and lawyers through the referral system. It also demonstrates that the fact that both direct clients and those obtained through paid-for referrals pay the same CF rate does not attest to cross-subsidization. The clients whose cases are transferred for a referral fee (paid by the handling lawyer) “pay” for the referral service by obtaining a less highly ranked lawyer.
Acknowledgments
We would like to thank Nora Engstrom, Nuno Garoupa, Yehonatan Givati, Saul Levmore, Ariel Porat, Eric Posner, two anonymous reviewers and participants in workshops at UC Berkeley and the Hebrew University of Jerusalem for their valuable comments on earlier drafts, and Meirav Furth for her excellent research assistance. Finally, we are grateful for the financial support provided by the Milton and Miriam Handler Foundation and the Aharon Barak Center for Interdisciplinary Legal Research at the Hebrew University of Jerusalem.
References
Abel, R.L. 2006/2007. “How the Plaintiffs’ Bar Bars Plaintiffs,” 51New York Law School Law Review345–376.Suche in Google Scholar
Bar-Hillel, M., and E.Neter. 1996. “Why Are People Reluctant to Exchange Lottery Tickets?” 70Journal of Personality and Social Psychology17–27.10.1037/0022-3514.70.1.17Suche in Google Scholar
Ben-Shahar, O., and J.A.E.Pottow. 2006. “On the Stickiness of Default Rules,” 33Florida State University Law Review651–682.Suche in Google Scholar
Bernstein, L. 1993. “Social Norms and Default Rules Analysis,” 3Southern California Interdisciplinary Law Journal59–90.Suche in Google Scholar
Bolton, P., and M.Dewatripont. 2005. Contract Theory. Cambridge, MA: MIT Press.Suche in Google Scholar
Brickman, L. 1989. “Contingent Fees without Contingencies: Hamlet without the Prince of Denmark?” 37UCLA Law Review29–137.Suche in Google Scholar
Brickman, L. 2003a. “Effective Hourly Rates of Contingency-Fee Lawyers: Competing Data and Non-Competitive Fees,” 81Washington University Law Quarterly653–736.Suche in Google Scholar
Brickman, L. 2003b. “The Market for Contingent Fee-Financed Tort Litigation: Is It Price Competitive?” 25Cardozo Law Review68–128.10.2139/ssrn.463226Suche in Google Scholar
Chen, H.-C., and J.R.Ritter. 2000. “The Seven Percent Solution,” 55Journal of Finance1105–1131.10.1111/0022-1082.00242Suche in Google Scholar
Cotten, S.J., and R.Santore. 2012. “The Effect of Contingent Fee Caps on the Quality of Legal Services,” 32International Review of Law and Economics317–328.Suche in Google Scholar
Dai, N., H.Jo, and J.D.Schatzberg. 2010. “The Quality and Price of Investment Banks’ Services: Evidence from the PIPE Market,” 39Financial Management582–612.10.1111/j.1755-053X.2010.01085.xSuche in Google Scholar
DanaJr., J.D., and K.E.Spier. 1993. “Expertise and Contingent Fees: The Role of Asymmetric Information in Attorney Compensation,” 9Journal of Law, Economics, and Organization349–367.Suche in Google Scholar
Daniels, S., and J.Martin. 1999. “It’s Darwinism – Survival of the Fittest:” How Markets and Reputations Shape the Ways in Which Plaintiffs’ Lawyers Obtain Clients,” 21Law and Policy377–399.10.1111/1467-9930.00078Suche in Google Scholar
Daniels, S., and J.Martin. 2002. “It Was the Best of Times, It Was the Worst of Times: The Precarious Nature of Plaintiffs’ Practice in Texas,” 80Texas Law Review1781–1828.Suche in Google Scholar
Daughety, A.E., and J.F.Reinganum. 2011. “Search, Bargaining, and Agency in the Market for Legal Services (March 2011).” Availabale at SSRN: http://ssrn.com/abstract=1650058.Suche in Google Scholar
DellaVigna, S. 2009. “Psychology and Economics: Evidence from the Field,” 47Journal of Economic Literature315–372.10.1257/jel.47.2.315Suche in Google Scholar
Drummonds, H.H. 1993. “The Law and Ethics of Percentage Contingent Fees in Oregon,” 72Oregon Law Review859–900.Suche in Google Scholar
Emons, W. 2006. “Playing It Safe with Low Conditional Fees Versus Being Insured by High Contingent Fees?” 8American Law and Economics Review261–274.10.1093/aler/ahj002Suche in Google Scholar
Engstrom, N.F. 2011. “Sunlight and Settlement Mills,” 86New York University Law Review805–886.Suche in Google Scholar
Epstein, R.A. 1992. “The Path to the T.J. Hooper: The Theory and History of Custom in the Law of Tort,” 21Journal of Legal Studies1–38.Suche in Google Scholar
Fernando, C.S., V.A.Gatchev, and P.A.Spindt. 2005. “Wanna Dance? How Firms and Underwriters Choose Each Other,” 60Journal of Finance2437–2469.10.1111/j.1540-6261.2005.00804.xSuche in Google Scholar
Fisch, J.E. 2002. “Lawyers on the Auction Block: Evaluating the Selection of Class Counsel by Auction,” 102Columbia Law Review650–728.10.2307/1123758Suche in Google Scholar
Friehe, T., and F.Baumann. 2012. “Contingent Fees Meet the British Rule: An Exploratory Study,” 150Public Choice499–510.Suche in Google Scholar
Furgeson, R. 2009. “Civil Jury Trials R.I.P.? Can It Actually Happen in America?” 40St. Mary’s Law Journal795–890.Suche in Google Scholar
Garicano, L., and T.Santos. 2004. “Referrals,” 94American Economic Review499–525.10.1257/0002828041464506Suche in Google Scholar
Garoupa, N., and F.Gomez-Pomar. 2008. “Cashing by the Hour: Why Large Law Firms Prefer Hourly Fees Over Contingent Fees,” 24Journal of Law, Economics and Organization458–475.Suche in Google Scholar
Gilson, R.J. 1990. “The Devolution of the Legal Profession: A Demand Side Perspective,” 49Maryland Law Review869–916.Suche in Google Scholar
Gross, L. 2006. “Are Differences Among the Attorney Conflict of Interest Rules Consistent with Principles of Behavioral Economics?” 19Georgetown Journal of Legal Ethics111–154.Suche in Google Scholar
Gryphon, M. 2011. “Assessing the Effects of a “Loser Pays” Rule on the American Legal System: An Economic Analysis and Proposal for Reform,” 8Rutgers Journal of Law and Public Policy567–613.Suche in Google Scholar
Hada, M., R.Grewal, and G.L.Lilien. 2010. “Referral Equity and Referral Management: The Supplier Firm’s Perspective,” 7Review of Marketing Research93–144.10.1108/S1548-6435(2010)0000007008Suche in Google Scholar
Hadfield, G.K. 2000. “The Price of Law: How the Market for Lawyers Distorts the Justice System,” 98Michigan Law Review953–1006.10.2307/1290336Suche in Google Scholar
Hyde, C.E. 2006. “Conditional Versus Contingent Fees: Litigation Expenditure Incentives,” 26International Review of Law and Economics180–194.10.1016/j.irle.2006.08.002Suche in Google Scholar
Korobkin, R. 1998. “The Status Quo Bias and Contract Default Rules,” 83Cornell Law Review608–687.Suche in Google Scholar
Kritzer, H.M. 1990. The Justice Broker: Lawyers and Ordinary Litigation. New York: Oxford University Press.Suche in Google Scholar
Kritzer, H.M. 2002. “Seven Dogged Myths Concerning Contingency Fees,” 80Washington University Law Quarterly739–794.Suche in Google Scholar
Kritzer, H.M.. 2004. Risks, Reputations, and Rewards: Contingency Fee Legal Practice in the United States. Stanford, CA: Stanford University Press.10.1515/9781503624702Suche in Google Scholar
Lederer, P.J. 2010. “Uniform Spatial Pricing (March 23, 2010).” Available at SSRN: http://ssrn.com/abstract=1799470.Suche in Google Scholar
Levmore, S. 1993. “Commissions and Conflicts in Agency Arrangements: Lawyers, Real Estate Brokers, Underwriters, and Other Agents’ Rewards,” 36Journal of Law and Economics503–539.10.1086/467287Suche in Google Scholar
Madrian, B.C., and D.F.Shea. 2001. “The Power of Suggestion: Inertia in 401(k) Participation and Savings Behavior,” 116Quarterly Journal of Economics1149–1187.10.1162/003355301753265543Suche in Google Scholar
McKee, M., R.Santore, and J.Shelton. 2007. “Contingency Fees, Moral Hazard, and Attorney Rents: A Laboratory Experiment,” 36Journal of Legal Studies253–273.Suche in Google Scholar
Miller, G.P. 1987. “Some Agency Problems in Settlement,” 16Journal of Legal Studies189–215.10.1086/467828Suche in Google Scholar
Mnookin, R.H. 1998. “Commentary: Negotiation, Settlement, and the Contingent Fee,” 47DePaul Law Review363–370.Suche in Google Scholar
Painter, R.W. 1995. “Litigating on a Contingency: A Monopoly of Champions or a Market for Champerty?” 71Chicago-Kent Law Review625–697.Suche in Google Scholar
Parikh, S. 2001. Professionalism and Its Discontents: A Study of Social Networks in the Plaintiff’s Personal Injury Bar (unpublished Ph.D. dissertation, University of Illinois at Chicago, on file with authors).Suche in Google Scholar
Parikh, S. 2006/2007. “How the Spider Catches the Fly: Referral Networks in the Plaintiffs’ Personal Injury Bar,” 51New York Law School Law Review243–283.Suche in Google Scholar
Pauly, M.V. 1979. “The Ethics and Economics of Kickbacks and Fee Splitting,” 10Bell Journal of Economics344–352.10.2307/3003336Suche in Google Scholar
Polinsky, A.M., and D.L.Rubinfeld. 2003. “Aligning the Interests of Lawyers and Clients,” 5American Law and Economic Review165–188.Suche in Google Scholar
Posner, R.A. 2007. Economic Analysis of Law, 7th ed. New York: Aspen Publishers.Suche in Google Scholar
Rickman, N. 1994. “The Economics of Contingency Fees in Personal Injury Litigation,” 10Oxford Review of Economic Policy34–50.10.1093/oxrep/10.1.34Suche in Google Scholar
Rubinfeld, D.L., and S.Scotchmer. 1993. “Contingent Fees for Attorneys: An Economic Analysis,” 24RAND Journal of Economics343–356.10.2307/2555962Suche in Google Scholar
Santore, R., and A.D.Viard. 2001. “Legal Fee Restrictions, Moral Hazard, and Attorney Rents,” 44Journal of Law and Economics549–572.10.1086/322814Suche in Google Scholar
Schelling, T.C.1960. The Strategy of Conflict. Cambridge: Harvard University Press.Suche in Google Scholar
Schwartz, D.L. 2012. “The Rise of Contingent Fee Representation in Patent Litigation,” 64Alabama Law Review335–388.10.2139/ssrn.1990651Suche in Google Scholar
Schwartz, M.L., and J.B.M.Daniel. 1970. “Economic Analysis of the Contingent Fee in Personal-Injury Litigation,” 22Stanford Law Review1125–1162.10.2307/1227958Suche in Google Scholar
Silver, C. 2002. “Does Civil Justice Cost Too Much?” 80Texas Law Review2073–2113.10.2139/ssrn.314964Suche in Google Scholar
Spurr, S.J. 1987. “How the Market Solves an Assignment Problem: The Matching of Lawyers with Legal Claims,” 5Journal of Labor Economics502–532.10.1086/298159Suche in Google Scholar
Spurr, S.J. 1988. “Referral Practices Among Lawyers: A Theoretical and Empirical Analysis,” 13Law and Social Inquiry87–109.10.1111/j.1747-4469.1988.tb00751.xSuche in Google Scholar
Spurr, S.J. 1990. “The Impact of Advertising and Other Factors on Referral Practices, with Special Reference to Lawyers,” 21RAND Journal of Economics235–246.10.2307/2555421Suche in Google Scholar
Swett, Jeffrey J. 2010. “Determining a Reasonable Percentage in Establishing a Contingency Fee: A New Tool to Remedy an Old Problem,” 77Tennessee Law Review653–683.Suche in Google Scholar
Sykes, A.O. 1993. “Some Thoughts on the Real Estate Puzzle: Comment on Levmore, “Commissions and Conflicts in Agency Arrangements: Lawyers, Real Estate Brokers, Underwriters, and Other Agents’ Rewards,” 36Journal of Law and Economics541–551.10.1086/467288Suche in Google Scholar
Thomason, T. 1991. “Are Attorneys Paid What They’re Worth? Contingent Fees and the Process of Settlement,” 20Journal of Legal Studies187–223.10.1086/467885Suche in Google Scholar
Wang, G.H. 1998. “Bargaining Over a Menu of Wage Contracts,” 65Review of Economic Studies295–305.10.1111/1467-937X.00045Suche in Google Scholar
Zamir, E. 1997. “The Inverted Hierarchy of Contract Interpretation and Supplementation,” 97Columbia Law Review1710–1803.10.2307/1123389Suche in Google Scholar
Zamir, E., and I.Ritov. 2008. “Neither Saints nor Devils: A Behavioral Analysis of Attorneys’ Contingent Fees (January 22, 2008).” Available at SSRN: http://ssrn.com/abstract=1085985.10.2139/ssrn.1085985Suche in Google Scholar
Zamir, E., and I.Ritov. 2010. “Revisiting the Debate Over Attorneys’ Contingent Fees: A Behavioral Analysis,” 39Journal of Legal Studies245–288.10.1086/605510Suche in Google Scholar
Zamir, E., and I.Ritov. 2011. “Notions of Fairness and Contingent Fees,” 74Law and Contemporary Problems1–32.Suche in Google Scholar
- 1
Note that the ranking of lawyers may – and usually does – depend on the type of claim. Thus, Lawyer A may be ranked higher than Lawyer B in medical-malpractice cases while B is ranked higher in car-accident cases. It follows that reciprocal referrals between two lawyers may both be to a higher-ranking lawyer (Parikh, 2001:156–158). See also Section 5.2
- 2
In fact, the expected recovery is determined by the distribution of the possible sums of recovery. In a discrete setting, it is an aggregation of the products of each sum and the likelihood of its recovery, and in a continuance setting, it is the integral over the probability density function.
- 3
In the next section, we discuss the plausibility of this assumption, which is shared by others. See, e.g., Dana and Spier (1993); Brickman (2003b:94–95); Daughety and Reinganum (2011).
- 4
This is a very plausible assumption, because the lawyer’s reservation hourly fee is not exogenous, but determined according to the demand for her services. If the demand for the services of a certain lawyer exceeds her capacity, one would expect her reservation hourly fee to increase accordingly.
- 5
A comparable claim can be made regarding any sub-market in which lawyers charge other uniform CF rates, such as a non-negotiable variable fee depending on how the case is resolved (e.g. 25% if it is settled without trial, 33% if it goes to trial, and 40% if there is an appeal), provided that the probability of settling/trial/appeal is uniform for all attorneys.
- 6
Note that this result differs from the standard result in the literature regarding two-party negotiation under asymmetric information. According to the standard result, efficiency requires that the informed, rather than the uninformed, party would make the contract offer (e.g. Wang, 1998; Bolton and Dewatripont, 2005:243).
- 7
This insight, originally offered by Zamir and Ritov (2008), was endorsed by Furgeson (2009:824) and Gryphon (2011).
- 8
The same tendency is manifest in variable-percentage CF rates, where the common pattern is a scale of rates of 1/4, 1/3, and 2/5 or 1/2, depending on the stage to which the case gets. It is also manifest in the common referral fees, where, according to one study, some 80% of the negotiated referral fee rates are either one-third or one-half of the handling lawyer’s fee (Spurr, 1988:100–102).
- 9
In Kritzer’s survey, 25% of the individual clients and 33% of the organizational ones reported that fees were not discussed at all with the lawyer prior to receiving the bill (Kritzer, 1990:57).
- 10
See Section 5.1. In Section 5.5., we will explain why this naïve assumption is problematic.
- 11
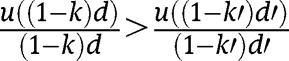
To see why, suppose that the expected returns to the client from the two lawyers are the same. Specifically, denote by k the CF rate, p the probability of success, and d the amount of recovery. The client’s expected return from the better lawyer is (1–k)pd while the expected return from the lower-ranked lawyer who charges a lower CF rate is (1–k’)p’d’, where k > k’, p> p’, and d > d’. Assuming, without loss of generality, u(0) = 0, we obtain that the expected utilities of the two returns are pu((1–k)d) and p’u((1–k’)d’). We assume that (1–k)pd= (1–k’)p’d’. It follows that p’ = (1–k)pd/(1–k’)d’, and the expected utility of hiring the lower-ranked lawyer becomes (1–k)pdu((1–k’)d’)/(1–k’)d’. The expected utility from the better lawyer is higher than that from the other lawyer iff

This inequality holds because by (1–k)pd = (1–k’)p’d’, together with p > p’, we obtain that (1–k)d < (1–k’)d’, and since u is concave and u(0) = 0, the ratio u(x)/x decreases with x.
- 12
For instance, hiring a particular lawyer may yield a relatively low p and high d, whereas hiring a less-qualified lawyer would yield a lower expected value p’d’ < pd, but may result in higher probability of winning the case (p’ > p), which might be sufficient to compensate the risk-averse client for the lower expected value. In addition, a risk-averse plaintiff may be more interested in establishing the defendant’s liability than in the scope of damages awarded, and if a particular lawyer is better at attaining high damages once liability is determined, but not in proving liability, the client may be better off with someone else.
- 13
The actual scope of work required ex post may of course differ from the scope expected ex ante, but since there is no difference in this respect between negotiated and uniform CF rates, the model assumes away this possibility.
- 14
Conceivably, the ranking would have been different had the pricing scheme, and thus the incentives it provides, been different.
- 15
This is especially true if the lawyer’s input includes not only hours of work but also other aspects of her “production function,” which are often unobservable.
- 16
If both cases are expected to yield an effective hourly rate that is not lower than the attorney’s reservation price, then it may reasonably be assumed that she will accept both. See supra note 4 and accompanying text.
- 17
At least in theory, the incentive created by the ongoing relationship between the referring and the handling lawyers may outweigh the reduction in incentives due to fee splitting – in which case finding an appropriate lawyer through a referral may be advisable even if the client is knowledgeable about lawyers’ ranking.
- 18
As detailed in Section 5.1, while top lawyers obtain most of their cases through referrals, the majority of lawyers, who handle the lion’s share of the CF cases, obtain most of their cases directly.
- 19
Charging direct and transferred clients the same CF rate is analogous to a policy of uniform spatial pricing, where a seller charges a uniform delivered price for its goods regardless of the differences in transportation costs to customers in different locations. Such policy may be profit-maximizing under certain assumptions regarding demand functions (Lederer, 2010). For instance, if transferred clients are ordinarily poorer than direct ones – a plausible assumption given that their recourse to the referral system indicates that they are less sophisticated and knowledgeable – then the uniform pricing of the two populations may be a profit-maximizing strategy.
- 20
Take, for example, a case whose expected value, pidi, is $270,000 and the number of hours it requires, h, is 100. The expected fee under the standard one-third CF rate is $90,000. A client who finds her own legal representation would hire an attorney whose reservation hourly fee, wi, is $900. In contrast, a client with the same case, who approaches an unsuitable lawyer who then transfers her case, can only expect a handling lawyer whose reservation hourly fee is $600, as two-ninths of $270,000 is $60,000.
- 21
Contrary to the prediction of his theoretical model, Spurr (1988:102–107) found no statistically significant correlation between the referral fee and gross recovery.
©2014 by Walter de Gruyter Berlin / Boston
Artikel in diesem Heft
- Optimal Warning Strategies: Punishment Ought Not to Be Inflicted Where the Penal Provision Is Not Properly Conveyed
- Article
- Liability versus Regulation for Dangerous Products When Consumers Vary in Their Susceptibility to Harm and May Misperceive Risk
- Who Benefits from the Uniformity of Contingent Fee Rates?
- Copyright without Creators
- Lawyers and Investment
Artikel in diesem Heft
- Optimal Warning Strategies: Punishment Ought Not to Be Inflicted Where the Penal Provision Is Not Properly Conveyed
- Article
- Liability versus Regulation for Dangerous Products When Consumers Vary in Their Susceptibility to Harm and May Misperceive Risk
- Who Benefits from the Uniformity of Contingent Fee Rates?
- Copyright without Creators
- Lawyers and Investment