Abstract
Potent muscle relaxant (thiocolchicoside, TCC) and nonsteroidal anti-inflammatory drug (etoricoxib, ETXB) fixed-dose combination is formulated at relatively high 1:15 and 1:7.5 ratios for TCC and ETXB, respectively. Since the minor component (TCC) has lower absorptivity, assay of TCC/ETXB tablets presents an analytical challenge. The current study presents two novel methods: first is a micellar electrokinetic capillary chromatography (MEKC). Background electrolyte is borate buffer (40 mM, pH 9.2) containing 30 mM sodium dodecyl sulfate and methanol (ratio 80:20%, v/v), measured at 210 nm. Second is a direct double A max spectrophotometric method; minor component, TCC, is measured directly at its distant λ max (373 nm), at zero absorption of ETXB. Then, a ten-fold dilution step is carried out to eliminate TCC spectral interference and ETXB is determined at its λ max (282 nm). Both drugs’ concentrations disclose obedient linearities at 2–100 μg·mL−1 in MEKC, versus 3–25 and 40–350 μg·mL−1 for TCC and ETXB, respectively, in spectrophotometry. All ICH validation elements have been fulfilled for the developed methods. MEKC and spectrophotometric assays achieve accuracy, precision, selectivity, and robustness to be recommended for industrial quality control routine analysis of TCC/ETXB pills formulated at cited ratios or even higher.
1 Introduction
One of the major obstacles for analytical method applicability is the high drug concentration ratio in pharmaceutical mixtures. Accurate estimation of the minor component in the presence of the major one(s) counts the analyst’s first target. Then, followed by the simultaneous determination of both or multi-components, minor and major, in the cited drug combination. Specific tailored assays have been efficiently developed to determine pharmaceutical drug mixtures in their challenging ratios [1,2,3,4,5].
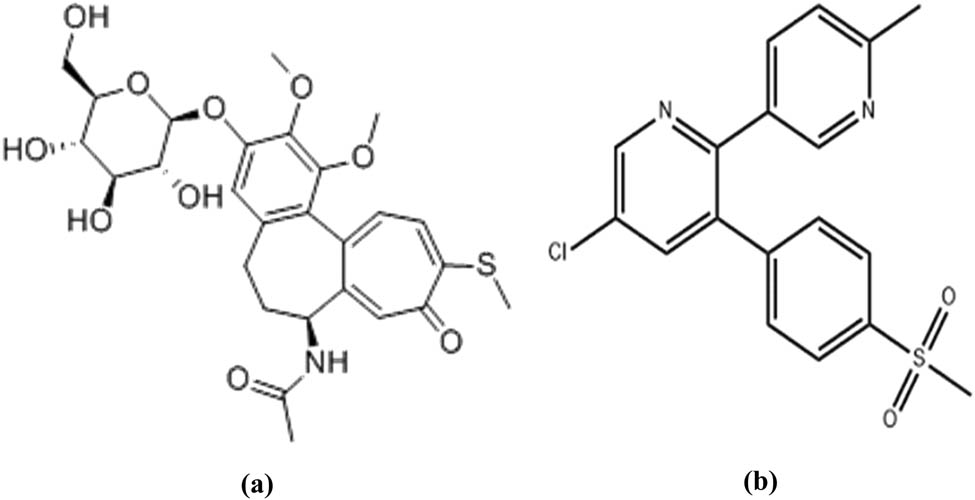
Thiocolchicoside (TCC) is a thiocolchicine 2-glucoside analogue (Figure 1). It was the first to be officially listed in British Pharmacopoeia BP 2019 [6]. It is a semisynthetic sulfur derivative of the well-known anti-gout natural alkaloid, colchicine. TCC is a potent skeletal muscle relaxant. In addition, it has anti-inflammatory and analgesic potentials. TCC is commonly indicated for acute and chronic orthotic or rheumatoid manifestations for patients above 16 years old. It selectively binds to g-aminobutyric acid A (GABA-A) receptors. As GABA is the main inhibitory neurotransmitter in the human cortex [7], TCC promotes GABA inhibitory pathways for muscular contractures.
![Figure 1
Chemical structures of (a) TCC (N-[(7S)-1,2-dimethoxy-10-methylsulfanyl-9-oxo-3-[(2S,3R,4S,5S,6R)-3,4,5-trihydroxy-6-(hydroxymethyl) oxan-2-yl]oxy-6,7-dihydro-5H-benzo[a]heptalen-7-yl] acetamide) and (b) ETXB (5-chloro-2-(6-methylpyridin-3-yl)-3-(methylsulfonyl phenyl) pyridine).](/document/doi/10.1515/revac-2022-0038/asset/graphic/j_revac-2022-0038_fig_001.jpg)
Chemical structures of (a) TCC (N-[(7S)-1,2-dimethoxy-10-methylsulfanyl-9-oxo-3-[(2S,3R,4S,5S,6R)-3,4,5-trihydroxy-6-(hydroxymethyl) oxan-2-yl]oxy-6,7-dihydro-5H-benzo[a]heptalen-7-yl] acetamide) and (b) ETXB (5-chloro-2-(6-methylpyridin-3-yl)-3-(methylsulfonyl phenyl) pyridine).
Etoricoxib or etoricoxibum (ETXB) has not appeared yet in any pharmacopeial edition. It is a synthetic bipyridine derivative (Figure 1). ETXB is classified as a selective cycloxygenase-2 enzyme (COX-2) inhibitor. Its mechanism of action is the same as others in anti-COX-2 family through preventing prostaglandin production from arachidonic acid [8]. ETXB is a potent anti-inflammatory antipyretic drug with potential antineoplastic properties. It has been approved for medical use in 2002 as a strong nonsteroidal anti-inflammatory drug (NSAID). ETXB is indicated in rheumatoid arthritis, osteoarthritis, ankylosing spondylitis, and gout.
Synergistic coadministration of NSAIDs and centrally acting muscle relaxants step forward in updated clinical trends. Moreover, fixed-dose combinations achieve better compliance, adherence, and therapeutic response than their corresponding free-equivalent combination therapies (fixed-dose polypills). Thus, TCC is co-formulated with ETXB in pharmaceutical tablets and mainly indicated for painful muscle spasms such as torticollis, lumbago, backache, and neuralgias. TCC and ETXB are combined at two concentration ratios (1:15 and 1:7.5, respectively). Such ratios are high enough to be challengeable, considering that the minor component (TCC) owns lower absorptivity.
Updated quest of the literature disclosed few analytical methods that simultaneously estimate TCC and ETXB in their binary mixtures, either using RP-HPLC [9,10,11], HPTLC [12], or spectrophotometry [13]. However, the higher concentration ratio (1 TCC:15 ETXB) was only considered by Kumar et al. in simultaneous estimation of TCC and ETXB mixture by RP-HPLC [9]. Till date, no single literature statement reports a micellar electrokinetic capillary chromatographic (MEKC) method for the assay of TCC/ETXB binary mixture. In addition, none of the reported spectrophotometric methods afford direct simultaneous determination of the cited drugs.
The present work introduces two novel simple green and eco-friendly analytical techniques. The first approach is MEKC coupled to diode-array detection, while the second one is a UV-spectrophotometric one. Both techniques have been developed and specifically tailored for the simultaneous determination of TCC and ETXB in synthetic binary mixtures and pharmaceutical dosage forms at their challenging concentration ratios. For MEKC, the cited analytes are enveloped in sodium dodecyl sulfate (SDS) at its critical micelle concentration (CMC). The second method is an instant spectrophotometric double A max-method. It relies on subsequent direct measurement of the minor component (TCC) followed by the major one (ETXB), after adequate dilution, both at their maximum wavelengths. Both the proposed techniques have been specifically developed, carefully optimized for one and each parameter, and then fully validated according to International Council for Harmonization (ICH) [14] guidelines.
For the first time, the current research presents simultaneous capillary electrophoretic separation and quantitation of TCC/ETXB binary mixture. Moreover, the suggested A max-determination is the first direct spectrophotometric attempt to be applied for the assay of the cited drugs in their mixture, coming over the methods addressed in the literature [13]. Binary mixtures and combined tablets of TCC/ETXB (in two-level ratios: 1:15 and 1:7.5, respectively) have been accurately and precisely quantified in robust, affordable, simple, and green flowing manner. Reliable results of the proposed methods can recommend their application in routine quality control analysis of TCC/ETXB fixed-dose combinations.
2 Experimental
2.1 Instrumentation
Agilent CE instrument 7100 series, Agilent Technologies Deutschland GmbH, Waldbronn, Germany. It is equipped with Diode array detector, DAD, and data handling system comprising a computer loaded with Agilent Chemstation software. A pH-Meter, Model pH211 (Hanna Instruments, RI, USA), was employed to determine pH values. It was calibrated using standard buffers of pH 4 and 7 at room temperature.
Spectrophotometric measurements were accomplished using UV-1800 thermospectronic Helios Alpha (UK) UV-VIS spectrophotometer, Shimadzu Corporation, Japan, connected to Harvest computer system. Quartz cells of 1 cm were employed.
2.2 Reagents and materials
TCC and ETXB were gifted by Memphis Co. for Pharmaceutical & Chemical Industries and DBK Pharma, respectively. Fisher Scientific, UK, was the source of HPLC-grade acetonitrile, ACN, and methanol. Analytical-grade boric, acetic, and phosphoric acids, in addition to SDS, were purchased from Oxford Lab Chem, India. Sodium hydroxide (El-Nasr Chemical Co., Egypt) and highly pure distilled water were used.
The used tablets were laboratory-prepared as reported in the pharmaceutical market regarding commercial TCC/ETXB combined tablets. They incorporated both concentrations (4/60 and 8/60 mg TCC/ETXB/tablet). Microcrystalline cellulose, lactose monohydrate, povidone, and magnesium stearate were added as excipients.
2.3 Chromatographic conditions
2.3.1 Separation conditions
The method was performed in a deactivated fused silica capillary (Agilent Technologies, Waldbronn, Germany). Capillary dimensions were a total length of 33.5 cm, an effective length of 25 cm, and an internal diameter of 50 μm. Detection was performed at 210 nm for both TCC and ETXB.
2.3.2 Preparation of running buffer
Borate buffer (40 mM, pH 9.2) was prepared by weighing 0.248 g of boric acid and 0.02 g of sodium hydroxide in 100 mL of distilled water, and then pH was checked and adjusted. The buffer contains 30 mM SDS, 0.602 g of SDS was added to 100 mL of the previously prepared buffer, and then sonicated for 10 min till complete dissolution of SDS powder. The finally used background electrolyte (BGE) consists of 80 parts of 10 mM borate buffer (pH 9.2) containing 25 mM SDS and 20 parts of HPLC-grade methanol.
2.3.3 Capillary conditioning
Volume of 0.5 M NaOH was employed for 15 min capillary flushing, followed by 15 min flushing. Then, capillary was flushed with NaOH at lower concentration (0.1 M) for 5 min and left for 150 s to ensure complete activation of the capillary inner wall. At the end, it was exposed to washing with distilled water and equilibration with BGE for 5 min and 600 s, respectively.
Between successive runs, the capillary was rinsed with BGE for 60 s. Buffer vials were refilled after each five successive runs to ensure proper reproducibility of run-to-run injections. Injections were performed using hydrodynamic mode under voltage of 30 KV, pressure of 50 mbar, and for 16 s.
2.4 Preparation of standard solutions and construction of calibration curves
Separate stock standard solutions of TCC and ETXB were made in HPLC-grade methanol at a concentration level of 1,000 μg·mL−1.
2.4.1 MEKC method
Corresponding to concentration range of 2–100 μg·mL−1, proper aliquots of TCC and ETXB stock solutions were added into a set of 10 mL volumetric flasks. The volume was completed with distilled water. Triplicate injections were performed for each of these working solutions. Peak areas were plotted against the corresponding concentrations (Table 1).
Validation and regression parameters of the proposed methods
| Parameters | MEKC | Double A max spectrophotometry | ||
|---|---|---|---|---|
| TCC | ETXB | TCC | ETXB | |
| Selectivitya | 100.47 ± 1.30 | 100.33 ± 1.39 | 99.28 ± 1.83 | 101.05 ± 0.92 |
| Accuracyb | 99.65 | 100.60 | 99.70 | 98.14 |
| Precisionc | ||||
| Intra-day | 1.44 | 1.63 | 1.58 | 1.72 |
| Inter-day | 1.38 | 1.56 | 1.22 | 2.03 |
| LOD (μg·mL−1) | 0.58 | 0.31 | 0.69 | 10.71 |
| LOQ (μg·mL−1) | 1.94 | 1.04 | 2.29 | 35.71 |
| Linearity range | 2.00–100.00 | 2.00–100.00 | 3.00–25.00 | 40.00–350.00 |
| Intercept (a) | 0.47 | 4.52 × 10−2 | 3.85 × 10−3 | 9.67 × 10−4 |
| Slope (b) | 1.58 | 2.54 | 3.14 × 10−2 | 4.33 × 10−3 |
| Correlation coefficient (r) | 0.9996 | 0.9995 | 0.9998 | 0.9994 |
| r 2 | 0.9993 | 0.9990 | 0.9997 | 0.9989 |
| S a d | 0.76 | 1.47 | 7.18 × 10−3 | 1.55 × 10−2 |
| S b d | 1.33 × 10−2 | 2.59 × 10−2 | 3.22 × 10−4 | 7.35 × 10−5 |
| S y/x d | 1.51 | 2.92 | 9.94 × 10−3 | 2.19 × 10−2 |
| S b % | 0.85 | 1.02 | 1.03 | 1.70 |
| F d | 13,950.26 | 9,567.56 | 9,488.59 | 3,474.47 |
| Significance F | 4.64 × 10−17 | 3.06 × 10−16 | 2.39 × 10−6 | 4.96 × 10−7 |
- a
Calculated as (mean% recovery ± RSD%) from synthetic mixtures of different ratios (n = 9).
- b
Calculated as mean% recovery from standard addition method at three concentration levels (n = 9).
- c
Calculated as mean RSD% from synthetic mixtures at different ratios (n = 9).
- d
S a is standard deviation of intercept, S b is standard deviation of slope, S y/x is standard deviation of residuals, and F is variance ratio.LOD: limit of detection; LOQ: limit of quantitation.
2.4.2 Spectrophotometric method
Working solutions were prepared by transferring proper aliquots of TCC and ETXB stock solutions into a set of 10 mL volumetric flasks. They were completed to mark with distilled water to reach concentration ranges of 3–25 and 40–350 μg·mL−1 for TCC and ETXB, respectively. Absorbance values of the prepared solutions were recorded at TCC λ max (373 nm). Then, the same prepared solutions were 10-fold diluted with distilled water and absorbance values were measured at ETXB λ max (282 nm). For both TCC and ETXB, the selected amplitudes were plotted versus the corresponding concentrations and regression equations were computed (Table 1).
2.5 Assay of pharmaceutical dosage forms
Ten tablets from each tablet ratio (4/60 and 8/60 mg TCC/ETXB) were separately weighed and ground well. Into two 100 mL volumetric flasks, weights containing 15/225 and 5/40 mg TCC/ETXB were transferred from the powdered tablets of higher and lower components ratio, respectively.
For each flask, 60 mL volume was added from HPLC-grade methanol, followed by 30-min sonication. Then, methanol was completed till the mark and the solution was filtered. From each filtrate, 1 mL volume was diluted to 10 mL with distilled water. Finally, two tablet extracts were obtained containing 15/225 and 5/40 μg·mL−1 TCC/ETXB at the higher and lower tablet ratios, respectively. Steps were then followed as described in the last section, entitled “Construction of calibration curves”.
3 Results and discussion
3.1 MEKC method development
3.1.1 Optimization of capillary electrophoresis conditions
Various attempts were made to separate TCC/ETXB mixtures effectively in CE. Initially, capillary zone electrophoresis (CZE) mode using acetate buffer (10, 20, 50, and 100 mM) of pH 4.7 and phosphate buffer (10, 20, 50, and 100 mM) of pH 7.4 were sequentially attempted. Separated, but deformed peaks of both drugs were thoroughly obtained.
Borate buffer (10, 20, 50, and 100 mM) of pH 9.2 as well as 50 mM borate buffer were also attempted at several pH values. TCC/ETXB binary mixtures were not resolved; overlapping peaks appeared in each trial. Finally, CZE mode was excluded throughout the cited assay.
MEKC mode was attempted by addition of SDS above its CMC. Phosphate buffer of 10–20 mM with 25 or 50 mM SDS, and borate buffer of 10 mM with 25 or 50 mM SDS were used for trials. Both buffers achieved two well-resolved peaks for the binary mixture. Borate-buffered SDS trials had the privilege of a shorter run time than phosphate-buffered ones and were consequently selected.
Analytes’ separation and quantification, by applying MEKC mode, were ultimately overwhelmed by differing parameters. Experimentally changeable parameters were carefully studied: the pH and the concentration of the used buffer, the concentration of the chosen surfactant SDS, capillary length, applied voltage, injection volume, and detection wavelength [15].
3.1.1.1 pH and concentration of the buffer
TCC has a highly basic pKa value of 12.74 while ETXB has a pKa of 4.5. Ascending serial of pH levels of borate buffer (7, 8, 9, 10, and 11) was attempted. Significant lengthening of peaks’ migration time was observed at pH values of 10 and 11. Lower pH values resulted in similar electropherograms. Borate buffer at pH 9.2 was optimal, seeking the maximum buffer capacity.
The concentration of borate buffer (adjusted at pH 9.2) was studied at ascending levels (10, 20, 30, 40, and 50 mM). Lower concentrations (10 and 20 mM) gave broadened peaks for ETXB. Better results were obtained at higher borate concentrations. Optimal peak shapes and reasonable migration times were achieved by the 40 mM borate buffer at pH 9.2.
3.1.1.2 Concentration of the surfactant (SDS)
Migration time is directly proportional to the added SDS concentration. Beyond its CMC (8 mM), SDS was added in different concentrations: 15, 20, 25, 30, and 35 mM in separate CE runs. Again, peak broadening was obtained at trials of lower concentrations. For satisfactory results, the 30 mM SDS was selected.
3.1.1.3 Type and concentration of organic modifier
Methanol and ACN were tried as organic modifiers. However, ACN resulted in distorted peaks. On the other hand, methanol is considered a greener and more economic solvent. Generally, the maximum content of any organic solvent to stabilize micelles is 20–30%. In addition, higher or lower methanol percentages resulted in unacceptable resolution or poor precision; respectively. Therefore, methanol was employed at a concentration of 20% (v/v).
3.1.1.4 Length of the capillary
In simple words, the use of a 25 cm capillary achieved reasonable run time for assay of the studied binary mixture. This was significantly observed after the use of a 50 cm capillary that increased the run time without gaining any additional privilege.
3.1.1.5 Applied voltage
Changing the applied voltage and retesting (10, 15, 20, 25, and 30 kV) for successive CE runs was attempted. Voltage is inversely proportional to migration time (related to electro osmotic flow). Although migration times were longer, resolution was quite acceptable, a voltage of 30 kV was the one of the choice.
3.1.1.6 Time of injection
Hydrodynamic injection, at a constant pressure of 50 mbar, was applied by varying the injection time (starting 5–18 s). The longer the injection time, the higher the peaks of the analytes. Optimal injection time of this assay was 16 s, compromising the targeted sensitivity and peaks’ symmetry.
3.1.1.7 Wavelength of detection
DAD has the ability of developing electropherograms at more than one wavelength for the same run. Various wavelengths were tried. However, response recorded at 210 nm could achieve the maximum sensitivity without peaks’ distortion (Figure 2). Moreover, DAD confirmed peak purity for both analytes.

Typical MEKC electropherograms of standard mixtures of (a) 40 and 40 μg·mL−1, (b) 5 and 37.5 μg·mL−1, and (c) 5 and 75 μg·mL−1 of TCC and ETXB, respectively. Simulating the ratios of 1:1, 1:7.5, and 1:15 of formulations.
3.2 Double A max spectrophotometric method
The UV-absorption spectra of TCC and ETXB aqueous solutions showed continuous spectral overlap through the 210–310 nm range (Figure 3a). This hindered the direct simultaneous determination of both drugs. TCC showed a broad distinct peak of λ max 373 nm; heavy spectral absorbance readings of the major component, ETXB, diminished beyond 315 nm. Solution of binary drug mixture in Figure 3a was 10-fold diluted with distilled water. The diluted solution was rescanned through the same wavelength range (Figure 3b). Latter scan disclosed an absorption maximum of ETXB at 282 nm at which zero absorbance was recorded for TCC.

UV-absorption spectra of (a) 15 μg·mL−1 TCC (dashed line) and 225 μg·mL−1 ETXB (black line) in distilled water, and (b) 1.5 μg·mL−1 TCC (dashed line) and 22.5 μg·mL−1 ETXB (black line) in distilled water.
Many solvents were tried, such as ACN, methanol, and distilled water. However, the latter was selected as it is the greenest solvent ever. Moreover, none of the other solvents presented a significant advantage over water regarding spectral characteristics of both TCC and ETXB.
3.3 Method validation
Both proposed MEKC and spectrophotometric methods were successfully validated following ICH recommendations [14].
3.3.1 Selectivity
Selectivity was evaluated through analysis of synthetic TCC/ETXB mixtures of different ratios, including both ratios of the commercial tablets (1:15 and 1:7.5). Following triplicate analysis by both the proposed methods, mean percentage errors for both drugs did not exceed 2% (Table 1). Thus, the proposed methods proved to be free from cross-interference between the studied combined drugs.
3.3.2 Accuracy
The accuracy of both methods was investigated by applying standard addition approach. Powdered tablets were spiked with each component, separately, at three levels (80%, 100%, and 120% of label claim). Extraction, filtration, and dilution were carried out. Following triplicate analysis by both the proposed methods, the resulting mean percentage recoveries guaranteed excellent accuracy (Table 1).
3.3.3 Precision
Precision was assessed from triplicate analysis of synthetic mixtures (previously mentioned in section 3.3.1), on the same day and in different days. Intra-day and inter-day RSD% values did not exceed the acceptable limit (2%) (Table 1).
3.3.4 Linearity and range
Serial dilutions for each of the studied drugs were analyzed by the described MEKC and spectrophotometric procedures within concentration ranges listed in Table 1. Under the previously chosen experimental parameters, there were good linearity proportionalities between the recorded signals (peak area or A) and TCC or ETXB concentration levels. Correlation coefficients (r) were ≥0.999. Moreover, linearity ranges covered TCC and ETXB in their tablet ratio, 1:15 and 1:7.5. The rest of the linearity parameters were computed [16,17]. As shown in Table 1, the rest of the statistical parameters were computed, and all were found to be acceptable to fulfill linearity as a fundamental validation parameter.
3.3.5 LODs and LOQs
As MEKC is a chromatographic technique, LODs and LOQs were calculated as the concentrations with S–N ratio of 3:1 and 10:1, respectively. In the spectrophotometric method, (S a /b) was multiplied by 3 and 10 to determine LODs and LOQs, respectively. LODs and LOQs for TCC and ETXB are listed in Table 1, showing high sensitivities of both suggested methods.
3.3.6 Robustness
The robustness of the MEKC method was evaluated as in selectivity and precision; synthetic mixtures were prepared at different TCC/ETXB ratios. However, slightly intended variations in the experimental conditions were made during triplicate analysis. Both borate buffer and SDS concentrations were changed by ±2 mM, while pH was susceptible to ±0.2 variation. Methanol percentage in BGE and detection wavelength was changed by ±2% (v/v) and nm, respectively. Moreover, various methanol lots were tried. Only one parameter was varied each time. For both TCC and ETXB, the calculated RSD% values of peak areas and retention times were low enough to conclude that small unintentional changes of the methods’ experimental conditions do not affect its reliability (Table 2).
Evaluation of robustness of the proposed methods (n = 9)
| Parameters | RSD% of peak areas* | RSD% of migration times* | ||
|---|---|---|---|---|
| TCC | ETXB | TCC | ETXB | |
| Buffer pH (±0.2) | 0.97 | 0.65 | 1.61 | 0.69 |
| Buffer concentration (±2 mM) | 1.50 | 1.42 | 0.25 | 0.25 |
| SDS concentration (±2 mM) | 0.84 | 1.98 | 0.46 | 0.34 |
| Detection λ (±2 nm) | 1.96 | 2.11 | 1.43 | 1.78 |
| Methanol percentage (±2%) | 0.34 | 0.51 | 0.92 | 0.88 |
| Methanol lots | 1.08 | 1.86 | 0.72 | 1.94 |
- *
Calculated from TCC/ETXB synthetic mixtures of different ratios (n = 9).
3.4 Assay of pharmaceutical dosage forms
Both 4/60 and 80/60 mg TCC/ETXB tablet extracts, prepared in section 2.5, were analyzed in five replicates using the proposed methods. Mean percentage recovery, SD, and RSD% values were calculated. They were satisfactory to prove the absence of cross-interference from the co-formulated commercial excipients (Table 3). As an additional investigation in MEKC, no interfering peaks appeared in electropherograms of TCC/ETXB tablet extracts. Moreover, the purity of TCC and ETXB peaks were checked by DAD. Spectra of tablets extracts and reference solutions were superimposed. All of these indicated high accuracy, precision, and selectivity of the proposed methods for commercial tablets assay at both higher (1:15) and lower (1:7.5) TCC/ETXB ratios.
Assay of TCC and ETXB in their combined tablets using the proposed methods (n = 5)
| Laboratory-prepared tablets | MEKC | Double A max spectrophotometry | ||
|---|---|---|---|---|
| TCC | ETXB | TCC | ETXB | |
| Mean% recovery ± SD | 100.59 ± 0.69 | 100.59 ± 0.98 | 101.74 ± 1.26 | 97.81 ± 0.53 |
| RSD% | 0.69 | 0.98 | 1.24 | 0.54 |
4 Conclusions
Two novel analytical methods were developed for simultaneous determination of TCC and ETXB at their challengeable tablet ratios. The first one presents the first attempt to adopt MEKC-DAD for assay of TCC/ETXB commercial tablets. It could compromise between the required resolution and high sensitivity. The developed MEKC method has the advantage of simple operation and cheapness (requiring just few milliliters of BGE and inexpensive capillaries relative to HPLC columns). The second method depends on measuring each drug at its maximum wavelength. The minor component, TCC, was determined at a distant maximum where spectrum of the major component, ETXB, showed no overlap. TCC contribution was, then, eliminated along the whole spectrum by a ten-fold dilution. Finally, the major component, ETXB, was freely measured at its normal maximum. This approach is considered the first direct spectrophotometric proposal to resolve such mixture at all tablet ratios. Spectrophotometric method represents a suitable straightforward and affordable alternative, where no analytical laboratory lacks spectrophotometer instrumentation even in the developing countries. Both developed MEKC and spectrophotometric methods successfully overcame TCC/ETXB challengeable ratios in their tablets in selective, accurate, and precise manner. Meanwhile the former method is highly sensitive than the latter, in addition to chromatographic separation and green manner. Results recommend their application for routine industrial analysis of TCC/ETXB tablets.
-
Funding information: Authors state no funding involved.
-
Author contributions: Miranda F. Kamal: writing – original draft, writing – review and editing, methodology, formal analysis; Sohila M. Elonsy: practical work of CE, formal analysis; Hala F. Labib: resources, writing – editing and final reviewing; Sameh E. Younis: practical spectrophotometric work, writing – original draft, visualization, project administration.
-
Conflict of interest: Authors state no conflict of interest
-
Data availability statement: The files used to support the data findings of this study are available from the corresponding author on request.
References
[1] Obaydo RH, Sakur AA. Spectrophotometric strategies for the analysis of binary combinations with minor component based on isoabsorptive point’s leveling effect: an application on ciprofloxacin and fluocinolone acetonide in their recently delivered co-formulation. Spectrochim Acta A Mol Biomol Spectrosc. 2019;219:186–94. 10.1016/j.saa.2019.04.036.Search in Google Scholar
[2] Ribone ME, Pagani AP, Olivieri AC. Determination of the minor component bromhexine in cotrimoxazole – containing tablets by absorption spectrophotometry and partial least-squares (PLS-1) multivariate calibration. J Pharm Biomed Anal. 2000;23(2–3):591–5. 10.1016/s0731-7085(00)00344-7.Search in Google Scholar
[3] Obaydo RH, Sakur AA. Determination of co-formulated otic solution of ciprofloxacin and fluocinolone acetonide in their challengeable ratio. J Anal Methods Chem. 2019;2019:8919345. 10.1155/2019/8919345.Search in Google Scholar PubMed PubMed Central
[4] Tantawy MA, Weshahy SA, Wadie M, Rezk MR. Eco-friendly spectrophotometric methods for assessment of alfuzosin and solifenacin in their new pharmaceutical formulation; green profile evaluation via eco-scale and GAPI tools. Curr Pharm Anal. 2020;16:1–11. 10.2174/1573412916999200730005740.Search in Google Scholar
[5] Mahgoub H, Youssef RM, Korany MA, Khamis EF, Kamal MF. Development and validation of spectrophotometric and HPTLC methods for simultaneous determination of rosiglitazone maleate and metformin hydrochloride in the presence of interfering matrix excipients. Drug Dev Ind Pharm. 2013;40(9):1190–8. 10.3109/03639045.2013.810634.Search in Google Scholar PubMed
[6] British pharmacopoeia. Vol. 1. London: Medicines and Healthcare products Regulatory Agency; 2019.Search in Google Scholar
[7] Mascia MP, Bachis E, Obili N, Maciocco E, Cocco GA, Sechi GP, et al. Thiocolchicoside inhibits the activity of various subtypes of recombinant GABA(A) receptors expressed in Xenopus laevis oocytes. Eur J Pharmacol. 2007;558(1–3):37–42. 10.1016/j.ejphar.2006.11.076.Search in Google Scholar PubMed
[8] Dalmora SL, Sangoi MD, Da Silva LM, Mecado RO, Barth T. Validation of a capillary zone electrophoresis method for the comparative determination of Etoricoxib in pharmaceutical formulations. J Sep Sci. 2008;31(1):169–76. 10.1002/jssc.200700272.Search in Google Scholar PubMed
[9] Kumar S, Joshi A, Thakur RS, Pathak AK. Simultaneous estimation of etoricoxib and thiocolchicoside by RP-HPLC method in combined dosage forms. Acta Pol Pharm. 2011;68(6):839–43, https://www.researchgate.net/publication/51838810.Search in Google Scholar
[10] Sujit P, Nitin D. RP-HPLC method for estimation of etoricoxib and thiocolchicoside from tablet dosage form. World J Pharm Pharm Sci. 2016;5(3):1499–505.Search in Google Scholar
[11] Kumar MS, Jupally VR. Development and validation of a new stability indicating liquid chromatographic method for the simultaneous determination of thiocholchicoside and etoricoxib in combined dosage form. Int J Pharm Technol. 2014;5(4):5950–61.Search in Google Scholar
[12] Rajmane VS, Gandhi SV, Patil UP, Sengar MR. High-performance thin-layer chromatographic determination of etoricoxib and thiocolchicoside in combined tablet dosage form. JAOAC Int. 2010;93(3):783–6. 10.1093/jaoac/93.3.783.Search in Google Scholar
[13] Asharjya S, Rashish Y, Pinakini P, Priyambada M, Mukthinothalapati MA. Spectrophotometric methods for simultaneous estimation of etoricoxib and thiocolchicoside in bulk and combined pharmaceutical dosage form. J Pharm. Educ Res. 2010;1(1):75–82.Search in Google Scholar
[14] (ICH (IQ1,IQ2))-ICH Q2B. Harmonized tripartite guideline, validation of analytical procedure: methodology, IFPMA. Proceedings of the International Council for Harmonization, Genevrch; 1996.Search in Google Scholar
[15] Xu S, Zhu Q, Xu S, Yuan M, Lin X, Lin W, et al. The phase behavior of n-ethylpyridinium tetrafluoroborate and sodium-based salts ATPS and its application in 2-chlorophenol extraction. Chin J Chem Eng. 2021;33:76–82.10.1016/j.cjche.2020.07.024Search in Google Scholar
[16] Miller JC, Miller JN. Statistics and chemometrics for analytical chemistry. 4th ed. UK: Prentice Hall; 2000. p. 6822301.Search in Google Scholar
[17] Armitage GBP. Statistical methods in medical research. Biometrics. 1997;53(1):391. 10.2307/2533132.Search in Google Scholar
© 2022 Miranda F. Kamal et al., published by De Gruyter
This work is licensed under the Creative Commons Attribution 4.0 International License.
Articles in the same Issue
- Research Articles
- Abnormal retention of s-triazine herbicides on porous graphitic carbon
- One-factor-at-a-time method combined with ICP-MS for determining 11 elements in soy sauce and their migration from the containing glass bottles
- Analysis of initiator content of prepreg by near-infrared spectroscopy
- Simultaneous MEKC-DAD and smart spectrophotometric assays of thiocolchicoside and etoricoxib in challenging concentration ratio mixtures
- Alternative analytical methods for ibrutinib quantification in pharmaceutical formulation: A statistical comparison
- Chemometric determination of common cold infection drugs in human urine
- An effective, novel, and cheap carbon paste electrode for naproxen estimation
- Fabrication of ultra-sensitive carbon paste electrode with nanocomposite CdS modification for electroanalysis of rafoxanide in dosage form and biological fluids
- Purification and characterisation of phytochemicals extracted from Rhizophora mucronata: Their efficacy against Pseudomonas aeruginosa infection in Catla catla
- Review Articles
- Recent applications of quantitative analytical FTIR spectroscopy in pharmaceutical, biomedical, and clinical fields: A brief review
- Review of characteristics and analytical methods for determination of indomethacin
- A review of the application of comprehensive two-dimensional gas chromatography MS-based techniques for the analysis of persistent organic pollutants and ultra-trace level of organic pollutants in environmental samples
- Enrichment and analysis of glycated proteins
- Round robin tests of secondary raw materials: A systematic review of performance parameters
- Paper-based microfluidic devices: Fabrication, detection, and significant applications in various fields
- Applications of headspace solid-phase microextraction in human biological matrix analysis
- Chemometrics and infrared spectroscopy – A winning team for the analysis of illicit drug products
- Canagliflozin: A review with specific focus on analytical methods in biological matrices and pharmaceuticals
- RNA-based isothermal amplification technology and its clinical application in pathogen infection
- Detection of diarrheal shellfish toxins
- Special Issue: Nanomaterials with mimetic enzymatic properties for label-free sensors and biosensors (Guest Editors: Gang Wei and Zhiqiang Su)
- Preparation of cuprous oxide-supported silver-modified reduced graphene oxide nanocomposites for non-enzymatic electrochemical sensor
- Recent advances in matrix metalloproteinases-responsive nanoprobes for cancer diagnosis and therapy
- A simple salicylaldehyde-bearing pyrazine as a turn-on fluorescent chemosensor for Al3+ and Zn2+ recognition and its applications
- Preparation of silver nanosheet-assembled film as a surface-enhanced Raman scattering substrate
- Synthesis of group I–III–VI semiconductor quantum dots and its application in food safety testing
Articles in the same Issue
- Research Articles
- Abnormal retention of s-triazine herbicides on porous graphitic carbon
- One-factor-at-a-time method combined with ICP-MS for determining 11 elements in soy sauce and their migration from the containing glass bottles
- Analysis of initiator content of prepreg by near-infrared spectroscopy
- Simultaneous MEKC-DAD and smart spectrophotometric assays of thiocolchicoside and etoricoxib in challenging concentration ratio mixtures
- Alternative analytical methods for ibrutinib quantification in pharmaceutical formulation: A statistical comparison
- Chemometric determination of common cold infection drugs in human urine
- An effective, novel, and cheap carbon paste electrode for naproxen estimation
- Fabrication of ultra-sensitive carbon paste electrode with nanocomposite CdS modification for electroanalysis of rafoxanide in dosage form and biological fluids
- Purification and characterisation of phytochemicals extracted from Rhizophora mucronata: Their efficacy against Pseudomonas aeruginosa infection in Catla catla
- Review Articles
- Recent applications of quantitative analytical FTIR spectroscopy in pharmaceutical, biomedical, and clinical fields: A brief review
- Review of characteristics and analytical methods for determination of indomethacin
- A review of the application of comprehensive two-dimensional gas chromatography MS-based techniques for the analysis of persistent organic pollutants and ultra-trace level of organic pollutants in environmental samples
- Enrichment and analysis of glycated proteins
- Round robin tests of secondary raw materials: A systematic review of performance parameters
- Paper-based microfluidic devices: Fabrication, detection, and significant applications in various fields
- Applications of headspace solid-phase microextraction in human biological matrix analysis
- Chemometrics and infrared spectroscopy – A winning team for the analysis of illicit drug products
- Canagliflozin: A review with specific focus on analytical methods in biological matrices and pharmaceuticals
- RNA-based isothermal amplification technology and its clinical application in pathogen infection
- Detection of diarrheal shellfish toxins
- Special Issue: Nanomaterials with mimetic enzymatic properties for label-free sensors and biosensors (Guest Editors: Gang Wei and Zhiqiang Su)
- Preparation of cuprous oxide-supported silver-modified reduced graphene oxide nanocomposites for non-enzymatic electrochemical sensor
- Recent advances in matrix metalloproteinases-responsive nanoprobes for cancer diagnosis and therapy
- A simple salicylaldehyde-bearing pyrazine as a turn-on fluorescent chemosensor for Al3+ and Zn2+ recognition and its applications
- Preparation of silver nanosheet-assembled film as a surface-enhanced Raman scattering substrate
- Synthesis of group I–III–VI semiconductor quantum dots and its application in food safety testing