Recent achievements in copper catalysis for C–N bond formation
-
Alexei D. Averin
, Anton S. Abel , Olga K. Grigorova , Gennadij V. Latyshev , Yury N. Kotovshchikov , Alexander Yu. Mitrofanov , Alla Bessmertnykh-Lemeune and Irina P. Beletskaya
Abstract
A mini-review describes the development of the catalysis by Cu(I) complexes aimed at the formation of C–N bond at the Lomonosov MSU during 2010s. The main approach employs the amination of aryl and heteroaryl halides with the amines and polyamines, in this direction a great versatility of starting compounds was achieved: adamantane-containing amines, linear diamines, oxadiamines and polyamines, various aryl iodides and bromides, derivatives of pyridine, and quinoline were used for this purpose. In more peculiar cases, the copper catalysis was used for steroids transformations, including vinylation of azoles, wide-spread “click” reactions for the conjugate syntheses, and successful heterogenezation of the copper catalysts were also undertaken.
Introduction
The so-called renaissance of the Ullmann chemistry has become an important trend in the modern catalysis. The change from expensive palladium, often associated with fairly toxic phosphine ligands, too much cheaper copper complexes has boosted the search for new catalytic protocols in the formation of C–O, C–S, and especially C–N bond. The reviews covering the general aspects of the modern Ullmann chemistry are now abundant, they were published by Ma [1], Evano [2], Monnier [3], Jiang [4], Sambiago [5], is a special chapter to this topic is dedicated in the recent comprehensive handbook [6]. Among the principal investigations in the field of the copper-mediated amination [7], [8], [9], [10], [11], [12] and amidation [13], [14] in last 15 years more specialized reviews can be cited [15], [16]. Our own interest in the copper-catalyzed reactions exceeds the framework of purely Ullmann reactions due to a wide scope of various catalytic transformations promote by this metal and cover the following aspects: formation of C(sp2)–P bond [17], [18], [19], arylation with iodonium salts [20], formation of C–S and C–C bonds in the reactions with alkynes [21], [22], use of the chiral Cu(II) complexes in the asymmetric addition reactions catalyzed by optically active Lewis acids [23], [24], [25], [26], application of the heterogeneous copper catalysts like copper nanoparticles (CuNPs) [27] and copper-containing MOFs [28]. Our attention was also drawn by the Cu(I)-catalyzed Sonogashira coupling [29], [30], formation of C–N bond under the conditions of Chan–Lam–Evans reaction [31] or in the presence of poly(ethylene) glycols [32], the synthesis of polycyclic compounds [33]. As for reviews, the two approaches, via Pd- and Cu-catalyzed reactions in the C–N bond formation, were thoroughly compared in [34], while C–C and C–S bonds formation was overviewed in [35], [36].
In the present mini-review the material is focused properly on the C–N bond formation catalyzed by copper complexes and deals with the amination of (hetero)aryl halides and CuAAC (“click”) reactions applied for the conjugates syntheses. Historically we intensively studied the Pd(0)-catalyzed amination reactions with adamantane-containing amines [37], [38], [39], [40], [41], [42], [43] and linear polyamines [44], [45], [46], [47], [48]. Many efforts were done for the elaboration of the synthetic approaches to polyazamacrocycles [49], [50], [51], [52], [53]. In this connection, the outline of the possibilities of the copper-catalyzed amination will serve as a timely complement to the acquired knowledge on the palladium-mediated synthetic approaches.
Cu(I)-catalyzed arylation of adamantane-containing amines
Our first goal was the search for the most efficient catalytic system for the arylation of the adamanatane-containing amines [54]. In the preliminary experiments we chose five primary amines 1–5 differing by the spatial hindrances at the amino groups and introduced them in the arylation with iodobenzene in the presence of [Cu]/L catalytic systems in which the nature of the copper source and the ligand was varied (Scheme 1). Among various sources of copper (CuI, Cu2O, CuO, CuOTf, CuOAc, CuBr*Me2S) the best results were shown by a traditional copper iodide, and in some cases cuprous and cupric oxides could be also used. The employed ligands L were as follows: l-proline (L1), N,N-dimethyl glycine (L2) (N,O-ligands), 2-isobutyrylcyclohexanone (L3), rac-BINOL (L4), ethylene glycol (L5) (O,O-ligands), 1,10-phenanthroline (L6), N,N′-dimethylethylenediamine (L7) (N,N-ligands). It was found out that L3 and L4 ligands provided the best yields of the arylation products. CuI/L3 or CuI/L4 catalytic systems were used further for the synthesis of various N-arylated derivatives of adamantyl-substituted primary amines. Cesium carbonate was always employed as a base and the reactions were run in DMF at 140 °C with 0.5 M concentrations of the reagents.

Optimization of Cu-catalyzed arylation of adamantane-containing primary amine.

Cu(I)-catalyzed arylation of the adamantane-containing amines with para-substituted iodobenzenes.
The application of para-substituted iodobenzenes in the couplings with the same amines 1–5 showed that the substituent strongly influenced the products yields (Scheme 2). The best results were observed for the reactions with p-iodotoluene while the most problematic reagent was p-iodoanisole due to a strong electron-donor effect of the methoxy group.

Expanding the scope of adamantylated amines in the copper-catalyzed arylation reaction.
Further investigations englobed a series of the amines 6–19 with more structural varieties, in all reactions rac-BINOL (L4) was used as the ligand (Scheme 3). In the majority of cases the yields of the products of arylation with para-substituted iodobenzenes were from moderate to high attaining 70–86% in the case of less sterically demanding amines, the increase in the spatial hindrances (especially in 9, 12, 13, 15) led to a decrease in the yields of the target products, and amine 14 was found to be the most problematic [55].

Cu(I)-catalyzed arylation of the adamantane-containing diamines with para-substituted iodobenzenes.
The method was successfully applied to adamantane-containing diamines 20 and 21 (Scheme 4). The reactions with the diamine 20 possessing the amino groups closer to the adamantane scaffold demonstrated greater dispersion of the yields and only L4 was helpful for its N,N′-diarylation. Products of the monoarylation were also obtained in some cases (R = Me, CF3, and OMe). Diamine 21 was more reactive and both ligands, L3 and L4 allowed the synthesis of diarylated species in good to high yields [56].

Cu-catalyzed synthesis of N-pyridyl derivatives of adamantylated amines.
Copper catalysis in the adamantane-containing amines heteroarylation
The heteroarylation of various adamantylated amines was explored using 2-iodo- and 3-iodopyridines (Scheme 5). Ligands L1–L4 was tested in these reactions and only L3 was found to be suitable for this purpose. 2-Iodopyridine was more reactive but the products were obtained in good yields for both isomeric halides. Nevertheless, when 2-iodopyridine was reacted with more strerically hindered amines such as 14 and 15, the yields of the target products decreased up to 15 and 36%, respectively [57]. It was found that the reaction also smoothly preceded with more available 2-bromopyridines bearing fluoro- and trifluoro-methyl substituents at the pyridine ring (Scheme 6). The yields of the target products were higher in the case of the amine 1 than with 4 what is in a good correspondence with the closer position of the amino group to the adamantane core in the case of 4. It was found possible to introduce sterically hindered 2-bromo-3-fluoropyridine in these reactions [58].

2-Bromopyridines with fluorine-containing substituents in Cu(I)-catalyzed heteroarylation.

Cu(I)-mediated heteroarylation of adamantane-containing amines with 2-fluoro-5-iodopyridine.
A variety of amines 1–8, 13, 16, and 17 were studied in the copper-mediated amination of 2-fluoro-5-iodopyridine (Scheme 7). Not only the reaction products attracted out attention as those bearing aminofluoropyridine – a promising pharmacophore, but also the problem of the competition of the catalytic substitution of the iodine and non-catalytic substitution of the fluorine atom. In the case of the equimolar ratio of the starting compounds the yields of the products of the catalytic amination were low and substantial amounts of the 2-aminopyridine derivatives were formed. However, with the application of 2 equiv. of starting amines the results improved drastically allowing almost quantitative synthesis of the target 5-amino-2-fluoropyridines [59].

Synthesis of N-(5-bromopyridin-2-yl) and N-(2-chloropyridin-5-yl)-substituted (adamantyl)alkylamines.
Following our investigations on the application of palladium catalysis for the amination of various dichloro-, dibromo-, and bromochloropyridines where the comparison with the Cu(I)-catalyzed amination of 2,5-dibromopyridine was done [60], we also demonstrated the possibilities of the copper-catalyzed amination with adamantylated amines with other dihalogenopyridines (Scheme 8). The same catalytic system was helpful for a selective substitution of the iodine atoms in 5-bromo-2-iodopyridine and 2-chloro-5-iodopyridine affording corresponding N-(5-bromopyridin-2-yl) and N-(2-chloropyridin-5-yl) substituted adamantylalkylamines in reasonable yields.

Catalytic introduction of the quinoline substituent in the adamantylalkylamines.
Amines 1–6 were employed in the Cu(I)-catalyzed amination of another heterocyclic halide, i. e., 6-bromoquinoline (Scheme 9). The dependence of the reaction outcome on the steric hindrances at the amino group was clear; the best result (74% yields) was recorded in the case of the less sterically demanding amine 1. The attempts to use 2- or 4-chloroquinolines in the same reaction were not as successful and the yields did not surpass 30% due to numerous side reactions.

Cu(I)-catalyzed N,N′-diarylation of the diamines.
N,N′-diarylation of di- and poly-amines using Cu(I) catalysis
Having acquired enough experience with the copper-catalyzed (hetero)arylation of monoamines, we thoroughly studied the possibilities of the N,N′-diarylation of di- and poly-amines [61]. At first, a series of linear diamines was investigated which differ by the number of methylene groups between N atoms (Scheme 10). The reactions were run with different para-substituted iodobenzenes. Only ligands L1 and L3 were found to be suitable in these reactions, and L1 was superior to L3 in the reaction of ethylenediamine and pentane-1,5-diamine. In fact, for all these diamines the systems CuI/L1/PPh3 or CuI/L3/PPh3 provided the best yields of the diarylation products. The main by-products were the monoarylated derivatives in some cases they were isolated as pure compounds. Such compounds became predominant in the reactions with the sterically hindered 2-fluoroiodobenzene (Scheme 11), and even the application of 20/40 mol% catalytic system could afford 10–18% yields of the N,N′-diarylated compounds.

Arylation of linear diamines with 2-fluoroiodobenzene.

Cu(I)-catalyzed N,N′-diarylation of the tri- and tetra-amines.
The introduction of the tri- and tetra-amine in the similar reactions demonstrated that the CuI/L1/EtCN catalytic system was more efficient as it diminished the formation of the side products arising from the arylation of the secondary amino groups [62]. As a result, it was possible to introduce para- and meta-substituted iodobenzenes in the N,N′-diarylation process, though the product yields differed from low to high depending on the nature of the substituent in the aryl ring (Scheme 12).

Cu(I)-catalyzed N,N′-diarylation of the naturally occurring tri- and tetra-amines.
Naturally occurring polyamines can be equally transformed into their N,N′-diaryl derivatives and the application of the appropriate catalytic systems may improve the balance between the arylation of the primary and secondary amino groups (Scheme 13). The dependence of the target compounds yields on the nature of the substituent was also essential; the most problematic were the reactions with p-iodoanisole, which smoothly proceeded only in the presence of 20 mol% of the catalyst [61].

Cu(I)-catalyzed N,N′-diarylation of the oxadiamines.
A thorough investigation of the N,N′-diarylation of the oxadiamines [63] revealed some peculiar details (Scheme 14). It was noted that usually the reactions with p-fluoro- and p-(trifluoromethyl) substituted iodobenzenes led to complete conversion of the starting amine but gave poor yields of the target compounds. On the other hand, it was possible to obtain excellent yields (over 90%) with meta-substituted derivatives. As for sterically hindered 2-fluoroiodobenzene, it afforded up to 77% yield of the diarylation product with the trioxadiamine provided 20 mol% catalyst was employed.

Cu(I)-catalyzed N,N′-diheteroarylation of the diamines.
Synthesis of N,N′-diheteroaryl derivatives of di- and poly-amines in the presence of Cu(I) catalysts
In the case of the copper-catalyzed reactions of the diamines with 2- and 3-iodopyridines (Scheme 15) only ligands L3 and L4 proved to be suitable, though CuI/L3 catalytic system provided better results in the most of cases [64]. The longer is the diamine chain, the more difficult is the diheteroarylation and higher yields of the monopyridyl-substituted derivatives.

Cu(I)-catalyzed N,N′-diheteroarylation of the tetraamines.
The heteroarylation of the tri- and tetra-amines was accomplished using 2-bromo-, 2-iodo- and 3-iodo-pyridines (Scheme 16). The main problem to be solved in these reactions was the decrease of the amount of mono- and poly-heteroarylated products to increase the yield of the target N,N′-dipyridyl compounds [65]. This was achieved by varying the catalytic system (ligands L1 or L2) and application of less active 2-bromopyridine, what helped to obtain corresponding products in yields up to 68–76%. In general, the increase in the number of ethylenediamine units in the molecules of polyamines led to an easier heteroarylation of the secondary amino groups while trimethylenediamine units disfavored diarylation and promoted the formation of the monopyridyl derivatives.

Cu(I)-catalyzed N,N′-diheteroarylation of the naturally occurring tri- and tetra-amines.
Better results were obtained with the natural spermidine and spermine (Scheme 17). The use of 2-bromo- or 3-iodopyridine in the presence of CuI/L3/DMF catalytic system and running the reaction at 110 °C allowed the synthesis of the corresponding N,N′-dipyridyl derivatives in 50–64% yields [64].

Cu(I)-catalyzed N,N′-di(hetero)arylation using 1- and 2-halogenonaphthalenes and 6-bromoquinoline.
The introduction of the fluorophore groups like naphthalene and quinoline in polyamines is also possible via Cu(I)-catalyzed amination (Scheme 18). Note that 1-iodo or 1-bromonaphthalenes possess lower reactivity in these reactions and gave mainly monoarylated derivatives, whereas 2-iodonaphtalene and 6-bromoquinoline were more reactive, especially in the reactions with the tetraamine [66].

Cu(I)-catalyzed N,N′-diheteroarylation of trioxadiamine with the 2- and 3-iodopyridine and fluorine-containing 2-bromopyridines.
The heteroarylation of the trioxadiamine with 2- and 3-iodopyridine proceeds easily in the presence of CuI/L3 system in DMF giving 57 and 73% yields, respectively, of the N,N′-dipyridyl derivatives (Scheme 18). It was shown possible to carry out the diheteroarylation of the same diamine with a series of substituted 2-bromopyridines bearing F and CF3 substituents. The yields were good in all cases, and the reaction with a sterically hindered 3-fluoro-2-bromopyridine provided the best 79% yield, probably, due to a suppression of the side reactions.
We also demonstrated the possibility to introduce 3-bromo- and 3-iodothiophenes in the reactions with polyamines, the catalytic systems with L1 and L3 ligands were enough efficient (Scheme 20). However the yields were moderate, first of all, due to difficulties during the chromatographic isolation of the products [67].

Cu(I)-catalyzed N,N′-diheteroarylation of the tetraamines with 3-halogenothiophenes.
Cu(I)-catalyzed C–N bond formation in the transformations of steroids
24-Amino derivatives of the cholanols were shown to participate in the Cu(I)-catalyzed amination: the reaction with p-iodotoluene catalyzed with CuI/L1 using K2CO3 as a base and run in DMSO at 110 °C provided almost quantitative yield of the desired product (Scheme 21), and the reactions with 1,3-diiodobenzene or 4,4′-diiodobiphenyl afforded bis-steroid derivatives in quite reasonable yields [68]. This reaction is a rare example of the diamination of dihaloarenes in the presence of copper catalyst.

Cu(I)-catalyzed amination reaction in the functionalization of steroids and synthesis of steroid dyads.
The amination of 17-iodoandrosta-4,16-dien-3-one with indole demanded a search for the ligand able to suppress the catalytic reduction of the iodine (Scheme 22). 2,2,6,6-Tetramethylheptane-3,5-dione (DPM) was found to serve better than 8-hydroxyquinoline or cyclohexane-1,2-diamine, and using this catalytic system the amination with 5-substituted indoles and imidazole was carried out [69].

Cu(I)-catalyzed vinylation of indoles and imidazole using 17-iodoandrosta-4,16-dien-3-one.
The same approach was successfully applied to the amination of another iodosubstituted steroid possessing the halogen atom at position 3 (Scheme 23). The scope of azoles was substantially enlarged; they included not only substituted indoles and imidazoles, but also pyrazoles, triazoles, and carbazoles. In the case of 3-iodo-17-hydroxyandrostadiene the yields were excellent, and with the cholesterol derivatives they were from good to high.

Cu(I)-catalyzed amination of 3-iodosteroids with various azoles.
Huisgen 1,3-dipolar cycloaddition in the formation of diverse conjugates
Copper-catalyzed alkyne-azide cycloaddition (CuAAC, “click”) is a novel synthetic tool with a remarkable practical and ecological impact and widely employed in the synthesis of many functional molecules including pharmaceuticals, dyes, sensors, and bioconjugates [70], [71], [72], [73], [74], [75], [76], [77]. This reaction allows to deliver sophisticated molecules or libraries of substituted 1,2,3-triazoles due to its selectivity, excellent functional compatibility, reliability and simplicity of experimental conditions. This reaction was employed by us for several purposes. The first is the synthesis of 5-iodo-1,2,3-triazoles in view of their further catalytic modifications employing a reactive C–I bond. The reactions of a variety of organic azides with several terminal acetylenes were conducted using CuI and TTTA ligand providing the desired products in yields from moderate to excellent and the modified protocol tolerated the presence of various functional groups [78] (Scheme 24).

Synthesis of 5-iodo-1,2,3-triazoles.
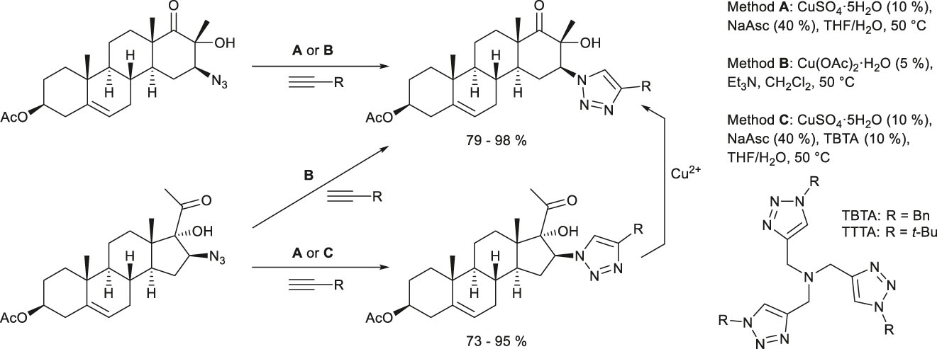
Then functionalization of steroids bearing primary azido substituent in the side chains located at position 17 of the steroid scaffold was investigated (Scheme 25). The resulting triazolyl-substituted steroids were obtained in high to excellent yields using various terminal alkynes including those with hydroxyl groups [79]. Steroids with azido substituent at position 16 were also studied in CuAAC reaction (Scheme 26). The reactions of these more sterically hindered compounds proceeded more slowly and demanded the modification of the reaction conditions. The use of CuSO4·5H2O and NaAsc in aqueous THF (method A) allowed the reaction of azidosteroids with propargyl alcohol, while the catalytic system with Et3N (method B) appeared effective for both phenylacetylene and 1-hexyne. Finally, the catalytic system comprising CuSO4·5H2O, tris(benzyltriazolylmethyl)amine (TBTA) and NaAsc (method C) allowed to achieve complete conversion of azidosteroids and totally suppressed d-homo rearrangement process (Scheme 26).

Synthesis of triazolyl derivatives from steroids bearing primary azido groups.

Synthesis of triazolyl derivatives from steroids bearing secondary azido groups.
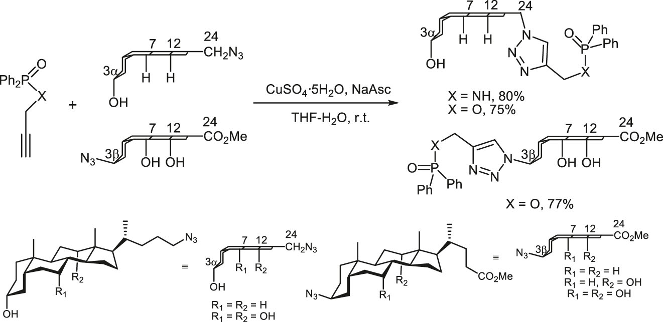
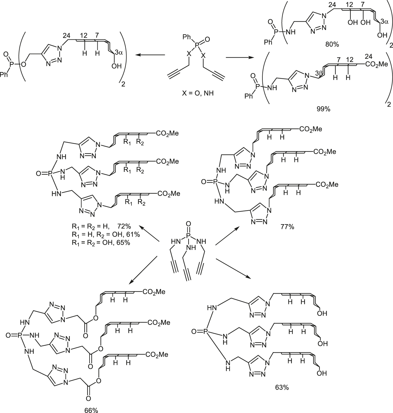
CuAAC reaction was successfully employed for the preparation of a series of steroid dipods and tripods based on the central phosphorus acids, comprising anion binding triazolium sites and hydrophobic cholane residues [80], [81] Propargyl phosphorus esters first reacted with the steroid derivatives bearing azido group at various positions to obtain 1:1 conjugates and to optimize the reaction conditions (Scheme 27).

Click reaction in the steroids modifications.
Dipropargyl derivative appeared to be significantly less reactive than the monopropargyl-containing diphenylphosphinate, however, excellent yields were obtained when the temperature was raised to 60 °C. The same conditions were applied for the preparation of the bile acid based tripods (Scheme 28). Good yields were obtained for 3β-, 3α-, and 24-cholanetriazolyl derivatives. Slightly higher yields were observed for lithocholic acid-based tripod in comparison with deoxycholic and cholic acid based products. Also we obtained a click adduct with 3-azidoacetoxycholane derivative. These di- and tripodal compounds in which steroidal units are organized around the phosphorus center via triazolyl linkers are of interest for anions binding studies.

Synthesis of dipodal and tripodal ligands – derivatives of cholanes – using click strategy.
Cu(I)-catalyzed 1,3-dipolar cycloaddition reactions were successfully used for the synthesis of porphyrin triads containing 1,2,3-triazole linkers. For this purpose two combinations of starting compounds were tried. The first reaction scheme employed 5,15-bis(ethynylphenyl) derivative of porphyrin with 2 equiv. of meso-(4-azidophenyl)substituted porphyrin (Scheme 29). The reaction conditions were adjusted to provide the high yield of the target trisporphyrin compound, the best were found to be CuI/DIPEA in THF-MeCN solution which gave 68% yield of this triad, a classical system (CuSO4/sodium ascorbate in DMF) provided slightly lower yield 60%.[82]. According to the second reaction route, 5,15-bis(4-azidophenyl)-substituted porphyrin was coupled with 2 equiv. of meso-(4-ethynylphenyl)porphyrin in the presence of CuI/DIPEA in THF-MeCN (Scheme 29) and it produced an isomeric porphyrin triad in a high 70% yield. It was also shown that a simpler porphyrin dyad could also be easily synthesized by reacting corresponding porphyrins under the same conditions.

Triazolyl linkers in the synthesis of the porphyrin triads.
Porphyrin triad of a star shape was successfully synthesized using the similar approach: 1,3,5-tri(ethynyl)benzene was reacted with 3 equiv. of meso-(4-azidophenyl)-substituted porphyrin and the target star-shaped triad was isolated in 30% yield (Scheme 30) [83]. It is to be mentioned that only zinc porphyrinates but not free porphyrin bases can participate in these reactions as the latter easily coordinate copper(II) hampering the catalytic reaction.

Synthesis of the star-shaped porphyrin triad using click strategy.
Heterogenized copper catalysis in C–N bond formation
In the last two decades, significant improvements in homogeneous Cu-catalyzed C–C and C–Het (Het . O, S, Se, N, P) cross-coupling reactions, additions to unsaturated C–C bond, Huisgen 1,3-dipolar cycloaddition, and other organic transformations were reported. Homogeneous catalysts are well suited for increasing the reaction scope and the tuning the reaction rate and its selectivity. However, the separation of organic products from toxic copper compounds are particularly troublesome due to the exceptional coordination properties of this metal, which avidly bind a huge range of organic molecules containing oxygen and nitrogen donor sites. To overcome this drawback and open the route to industrial use of these catalytic reactions, the heterogenization of homogeneous copper catalysts are widely studied. A promising approach to robust catalytic materials is a direct immobilization of relevant copper complexes onto solid supports. For this purpose we developed a synthetic approach to phosphonate-substituted 1,10-phenanthroline derivatives [84], investigated their coordination [85], [86] and catalytic properties of related copper(I) complexes [87]. These complexes are efficient catalyst for a wide range of catalytic reactions including C–N coupling and can be immobilized on titania oxide supports [88]. In order to investigate the possibilities of the heterogenized copper catalysts to promote various coupling reactions, at first the synthesis of Cu(I) complexes with 1,10-phenanthrolines with the phosphoryl groups at positions 2, 3, 4, and 5 was undertaken [87]. The efficiency of these complexes was studied in the model reaction of the diphenylamine arylation with the simplest iodobenzene. The complexes with 3-, 4- and 5-diethylphosphoryl substituted phenanthrolines were found to be of equal high efficiency (Scheme 31).

Copper catalysts comprising phosphonate-substituted 1,10-phenanthroline ligand.
Following these results, the free 3-diethoxyphosphoryl-1,10-phenanthroline ligand was grafted on the surface of hydrated mesoporouse titania followed by the complexation of copper ions, as shown in Scheme 32, to produce a heterogenized catalyst [88].

Grafting of copper catalysts on the surface of hydrated mesoporous TiO2.
An excellent catalytic performance of the catalyst and its reusability in Huisgen 1,3-dipolar cycloaddition was demonstrated (Scheme 33). Moreover, this catalyst was found to be suitable for Sonogashira coupling and addition. Fairly low catalyst loading, simple recovery and reuse (up to 10 times) of the solid were achieved in all studied reactions proceeding through principally different reaction pathways. This catalytic versatility of the copper catalyst is highly desirable for sustainable chemistry but still rarely reported owing to the challenge in the preparation of robust catalysts applicable for a wide range of experimental conditions.

Catalytic properties of the grafted copper(I) complex with 1,10-phenanthroline ligand.
We investigated the immobilization of copper nanoparticles (CuNPs) on various supports and used these solid catalysts in the C–N bond formation [89]. The model reaction included the amination of p-iodobenzonitrile with various azoles like imidazole, pyrazole, benzimidazole, and indole (Scheme 34). TiO2 support was found to be the best among other tested (carbon, zeolite, montmorillonite-K10 clay) and the yields ranged from 59 to 90%. Using the model reaction with imidazole Cs2CO3 was found to be superior to K2CO3 as it provided almost quantitative yields on different supports. Using CuNPs/C catalyst we demonstrated the possibility to use it in three cycles without loss of efficiency.

CuNPs on various supports in the aryalation of azoles.
Conclusions
As a result of our investigations in the field of the application of copper (I) catalysis in the formation of C–N bond we may conclude that it can be seen as an efficient alternative to expensive Pd(0)-catalyzed amination in such fields as the amination of (hetero)aryl halides with adamantane-containing amines and various di- an polyamines. In the latter case we focused our attention at the N,N′-di(hetero)arylation and found out that this process is quite possible with the diamines, oxadiamines and polyamines. Comparing the efficiency of the Cu(I)-catalyzed amination with Pd-mediated processes, the advantage of the first is almost full absence of the side reactions of N,N-di(hetero)arylation of the primary amino groups in the majority of cases, on the other hand, steric hindrances become more important and may hamper the reactions. Also, in the case of diamines and oxadiamines the formation of monoarylated products may be more pronounced as well as the side reactions of the arylation of the secondary dialkylamino groups in polyamines. The right choice of the catalytic system helping to suppress side reactions and promoting the formation of the desired N,N′-diaryl derivatives is always important. The amination reactions catalyzed by Cu(I) complexes were extended to modifications of steroids with various N-containing heterocycles. Click reactions were successfully employed for the preparation of bis- and tris(steroid) systems (dipods and tripods) for further application in the anion binding studies. These reactions were also important in the synthesis of porphyrin triads of various architectures. Several heterogenized copper catalysts were also investigated to propose reusable catalytic systems.
Funding source: Russian Foundation for Basic Research
Award Identifier / Grant number: 17-03-00888
-
Funding: This research was funded by the Russian Foundation for Basic Research (17-03-00888).
References
[1] D. Ma, Q. Cai, Q. Acc. Chem. Res. 41, 1450–1460 (2008).10.1021/ar8000298Search in Google Scholar PubMed
[2] G. Evano, N. Blanchard, M. Toumi. Chem. Rev. 108, 3054–3131 (2008).10.1021/cr8002505Search in Google Scholar PubMed
[3] F. Monnier, M. Taillefer. Angew. Chem. Int. Ed. 48, 6954–6971 (2009).10.1002/anie.200804497Search in Google Scholar PubMed
[4] Y. Jiang, L. Xu, C. Zhou, D. Ma. in C–H and C–X Bond Functionalization: Transition Metal Mediation, X. Ribas, (Ed.), pp. 1–45, RSC Publishing, Cambridge (2013).Search in Google Scholar
[5] C. Sambiagio, S. P. Marsden, A. J. Blacker, P. C. McGowan. Chem. Soc. Rev. 43, 3525–3550 (2014).10.1039/C3CS60289CSearch in Google Scholar
[6] K. Junge, G. Wienhöfer, M. Beller, A. Tlili, G. Evano, M. Taillefer, R. Kempe, C. Malbertz, J. Klankermayer. in: Applied Homogeneous Catalysis with Organometallic Compounds: A Comprehensive Handbook in Three Volumes, B. Cornils, W. A. Herrmann, M. Beller, R. Paciello, (Eds.), Wiley, Hoboken, New Jersey, 3rd Ed. (2017).Search in Google Scholar
[7] H. J. Cristau, P. P. Cellier, J. F. Spindler, M. Taillefer. Chem. Eur. J. 10, 5607–5622 (2004).10.1002/chem.200400582Search in Google Scholar PubMed
[8] A. Shafir, S. L. Buchwald. J. Am. Chem. Soc. 128, 8742–8743 (2006).10.1021/ja063063bSearch in Google Scholar PubMed
[9] D. S. Surry, S. L. Buchwald. Chem. Sci. 1, 13–31 (2010).10.1039/c0sc00107dSearch in Google Scholar
[10] Y. Zhang, X. Yang, Q. Yao, D. Ma. Org. Lett. 14, 3056–3059 (2012).10.1021/ol301135cSearch in Google Scholar PubMed
[11] W. Zhou, M. Fan, J. Yin, Y. Jiang, D. Ma. J. Am. Chem. Soc. 137, 11942–11945 (2015).10.1021/jacs.5b08411Search in Google Scholar PubMed
[12] J. Gao, S. Bhunia, K. Wang, L. Gan, S. Xia, D. Ma. Org. Lett. 19, 2809–2812 (2017).10.1021/acs.orglett.7b00901Search in Google Scholar PubMed
[13] C. P. Jones, K. W. Anderson, S. L. Buchwald. J. Org. Chem. 72, 7968–7973 (2007).10.1021/jo701384nSearch in Google Scholar PubMed
[14] J. W. Tye, Z. Weng, A. M. Johns, C. D. Incarvito, J. F. Hartwig. J. Am. Chem. Soc. 130, 9971–9983 (2008).10.1021/ja076668wSearch in Google Scholar PubMed PubMed Central
[15] J. Lee, J. S. Panek. in Copper-Mediated Cross-Coupling Reactions, G. Evano, N. Blanchard, (Eds.), Wiley, Hoboken, New Jersey (2013).Search in Google Scholar
[16] K. H. Shaughnessy, E. Ciganek, R. B. DeVasher, S. E. Denmark. Copper-Catalyzed Amination of Aryl and Alkenyl Electrophiles, Wiley, Hoboken, New Jersey (2017).Search in Google Scholar
[17] N. B. Karlstedt, I. P. Beletskaya. Russ. J. Org. Chem. 47, 1011–1014 (2011).10.1134/S1070428011070074Search in Google Scholar
[18] N. B. Karlstedt, M. V. Anokhin, I. P. Beletskaya. Russ. Chem. Bull. 62, 2498–2499 (2013).10.1007/s11172-013-0362-0Search in Google Scholar
[19] I. G. Trostyanskaya, I. P. Beletskaya. Tetrahedron 70, 2556–2562 (2014).10.1016/j.tet.2014.02.037Search in Google Scholar
[20] D. V. Davydov, V. V. Chernyshev, V. B. Rybakov, Yu. F. Oprunenko, I. P. Beletskaya. Mendeleev Commun. 28, 287–289 (2018).10.1016/j.mencom.2018.05.019Search in Google Scholar
[21] I. G. Trostyanskaya, I. P. Beletskaya. Synlett 23, 535–540 (2012).10.1055/s-0031-1290345Search in Google Scholar
[22] I. G. Trostyanskaya, I. P. Beletskaya. Tetrahedron 73, 148–153 (2017).10.1016/j.tet.2016.11.073Search in Google Scholar
[23] V. G. Desyatkin, M. V. Anokhin, V. O. Rodionov, I. P. Beletskaya. Russ. J. Org. Chem. 52, 1727–1737 (2016).10.1134/S1070428016120010Search in Google Scholar
[24] E. A. Tarasenko, I. P. Beletskaya. Synthesis 49, 1689–1701 (2017).10.1055/s-0036-1588660Search in Google Scholar
[25] V. G. Desyatkin, I. P. Beletskaya. Synthesis 49, 4327–4334 (2017).10.1055/s-0036-1589024Search in Google Scholar
[26] E. A. Tarasenko, I. V. Shestakov, V. B. Rybakov, I. P. Beletskaya. ChemCatChem 11, 3913–3918 (2019).10.1002/cctc.201900575Search in Google Scholar
[27] G. N. Bondarenko, E. G. Dvurechenskaya, E. Sh. Magommedov, I. P. Beletskaya. Catal. Lett. 147, 2570–2580 (2017).10.1007/s10562-017-2127-0Search in Google Scholar
[28] O. G. Ganina, G. N. Bondarenko, V. I. Isaeva, L. M. Kustov, I. P. Beletskaya. Russ. J. Org. Chem. 55, 1813–1820 (2019).10.1134/S1070428019120017Search in Google Scholar
[29] Yu. N. Kotovshchikov, G. V. Latyshev, N. V. Lukashev, I. P. Beletskaya. Org. Biomol. Chem. 13, 5542–5555 (2015).10.1039/C5OB00559KSearch in Google Scholar
[30] A. Yu. Mitrofanov, I. P. Beletskaya. Mendeleev Commun. 29, 378–379 (2019).10.1016/j.mencom.2019.07.005Search in Google Scholar
[31] V. Motornov, G. V. Latyshev, Yu. N. Kotovshchikov, N. V. Lukashev, I. P. Beletskaya. Adv. Synth. Catal. 361, 3306–3311 (2019).10.1002/adsc.201900225Search in Google Scholar
[32] A. A. Yakushev, A. D. Averin, E. Colacino, F. Lamaty, I. P. Beletskaya. Russ. Chem. Bull. 65, 1243–1248 (2016).10.1007/s11172-016-1442-8Search in Google Scholar
[33] Yu. N. Kotovshchikov, G. V. Latyshev, M. A. Navasardyan, D. A. Erzunov, I. P. Beletskaya, N. V. Lukashev Org. Lett. 20, 4467–4470 (2018).10.1021/acs.orglett.8b01755Search in Google Scholar PubMed
[34] A. V. Cheprakov, I. P. Beletskaya. Organometallics 31, 7753–7808 (2012).10.1021/om300683cSearch in Google Scholar
[35] A. V. Murashkina, A. Yu. Mitrofanov, I. P. Beletskaya. Russ. J. Org. Chem. 55, 1445–1458 (2019).10.1134/S1070428019100014Search in Google Scholar
[36] A. V. Murashkina, A. Yu. Mitrofanov, I. P. Beletskaya. J. Org. Chem. 55, 1629–1641 (2019).10.1134/S1070428019110010Search in Google Scholar
[37] A. D. Averin, E. R. Ranyuk, S. L. Golub, A. K. Buryak, E. N. Savelyev, B. S. Orlinson, I. A. Novakov, I. P. Beletskaya. Synthesis, 2215–2221 (2007).10.1055/s-2007-983760Search in Google Scholar
[38] A. D. Averin, M. A. Ulanovskaya, V. V. Kovalev, A. K. Buryak, B. S. Orlinson, I. A. Novakov, I. P. Beletskaya. Russ. J. Org. Chem. 46, 64–72 (2010).10.1134/S1070428010010069Search in Google Scholar
[39] A. D. Averin, M. A. Ulanovskaya, A. K. Buryak, E. N. Savelyev, B. S. Orlinson, I. A. Novakov, I. P. Beletskaya. Russ. J. Org. Chem. 46, 1790–1811 (2010).10.1134/S1070428010120055Search in Google Scholar
[40] A. D. Averin, M. A. Ulanovskaya, A. K. Buryak, E. N. Savelyev, B. S. Orlinson, I. A. Novakov, I. P. Beletskaya. Russ. J. Org. Chem. 47, 30–40 (2011).10.1134/S1070428011010027Search in Google Scholar
[41] O. K. Grigorova, A. D. Averin, A. S. Abel, O. A. Maloshitskaya, V. V. Kovalev, E. N. Savelyev, B. S. Orlinson, I. A. Novakov, I. P. Beletskaya. Russ. J. Org. Chem. 48, 1391–1406 (2012).10.1134/S1070428012110012Search in Google Scholar
[42] O. K. Grigorova, A. D. Averin, A. S. Abel, O. A. Maloshitskaya, G. M. Butov, E. N. Savelyev, B. S. Orlinson, I. A. Novakov, I. P. Beletskaya. Russ. J. Org. Chem. 48, 1495–1508 (2012).10.1134/S1070428012120019Search in Google Scholar
[43] A. D. Averin, T. Yu. Baranova, A. S. Abel, V. V. Kovalev, A. K. Buryak, G. M. Butov, E. N. Savelyev, B. S. Orlinson, I. A. Novakov, I. P. Beletskaya. Russ. J. Org. Chem. 49, 1–7 (2013).10.1134/S1070428013010016Search in Google Scholar
[44] R. Guilard, A. G. Bessmertnykh, I. P. Beletskaya. Tetrahedron Lett. 38, 2287–2290 (1997).10.1016/S0040-4039(97)00363-8Search in Google Scholar
[45] I. P. Beletskaya, A. G. Bessmertnykh, R. A. Mishechkin, R. Guilard. Russ. Chem. Bull. 47, 1416–1417 (1998).10.1007/BF02495584Search in Google Scholar
[46] R. Guilard, A. G. Bessmertnykh, I. P. Beletskaya. Synlett, 1459–1461 (1999).10.1055/s-1999-2837Search in Google Scholar
[47] I. P. Beletskaya, A. G. Bessmertnykh, A. D. Averin, F. Denat, R. Guilard. Eur. J. Org. Chem., 261–280 (2005).10.1002/ejoc.200400456Search in Google Scholar
[48] A. D. Averin, A. N. Uglov, I. P. Beletskaya, A. G. Bessmertnykh, R. Guilard. in Advances in Chemistry Research, J. C. Taylor (Eds.), Vol. 4, pp. 269–296, Nova Science Publishers, Hauppauge (2010).Search in Google Scholar
[49] I. P. Beletskaya, A. G. Bessmertnykh, A. D. Averin, F. Denat, R. Guilard. Eur. J. Org. Chem., 281–305 (2005).10.1002/ejoc.200400455Search in Google Scholar
[50] A. D. Averin, S. M. Kobelev, M. V. Anokhin, A. G. Bessmertnykh Lemeune, R. Guilard, I. P. Beletskaya. in Targets in Heterocyclic Systems: Chemistry and Properties, O. A. Attanasi, D. Spinelli (Eds.), Vol. 15, pp. 193–225, Italian Chemical Society, Rome (2011).Search in Google Scholar
[51] I. P. Beletskaya, A. D. Averin, A. G. Bessmertnykh, F. Denat, R. Guilard. Russ. J. Org. Chem. 46, 947–967 (2010).10.1134/S1070428010070018Search in Google Scholar
[52] A. D. Averin, O. A. Ulanovskaya, N. A. Pleshkova, A. A. Borisenko, I. P. Beletskaya. Collect. Czech. Chem. Commun. 72, 785–819 (2007).10.1135/cccc20070785Search in Google Scholar
[53] A. D. Averin, E. R. Ranyuk, N. V. Lukashev, S. L. Golub, A. K. Buryak, I. P. Beletskaya. Tetrahedron Lett. 49, 1188–1191 (2008).10.1016/j.tetlet.2007.12.049Search in Google Scholar
[54] S. P. Panchenko, A. S. Abel, A. D. Averin, O. A. Maloshitskaya, E. N. Savelyev, B. S. Orlinson, I. A. Novakov, I. P. Beletskaya. Russ. J. Org. Chem. 53, 1497–1504 (2017).10.1134/S1070428017100025Search in Google Scholar
[55] A. D. Averin, S. P. Panchenko, A. S. Abel, O. A. Maloshitskaya, G. M. Butov, E. N. Savelyev, B. S. Orlinson, I. A. Novakov, I. P. Beletskaya. Russ. J. Org. Chem. 53, 1788–1798 (2017).10.1134/S1070428017120028Search in Google Scholar
[56] S. P. Panchenko, A. S. Abel, A. D. Averin, O. A. Maloshitskaya, E. N. Savelyev, B. S. Orlinson, I. A. Novakov, I. P. Beletskaya. Russ. Chem. Bull. 65, 1550–1555 (2016).10.1007/s11172-016-1481-1Search in Google Scholar
[57] A. S. Abel, A. D. Averin, M. V. Anokhin, O. A. Maloshitskaya, G. M. Butov, E. N. Savelyev, B. S. Orlinson, I. A. Novakov, I. P. Beletskaya. Russ. J. Org. Chem. 51, 301–308 (2015).10.1134/S1070428015030021Search in Google Scholar
[58] M. S. Lyakhovich, A. V. Murashkina, A. D. Averin, A. S. Abel, O. A. Maloshitskaya, E. N. Savelyev, B. S. Orlinson, I. P. Beletskaya. Russ. J. Org. Chem. 55, 737–747 (2019).10.1134/S1070428019060010Search in Google Scholar
[59] A. S. Abel, Yu. N. Kotovshchikov, A. D. Averin, O. A. Maloshitskaya, E. N. Savelyev, B. S. Orlinson, I. A. Novakov, I. P. Beletskaya. Heterocycles 99, 1342–1354 (2019).10.3987/COM-18-S(F)64Search in Google Scholar
[60] A. S. Abel, A. D. Averin, A. K. Buryak, E. N. Savelyev, B. S. Orlinson, I. A. Novakov, I. P. Beletskaya. Synthesis 49, 5067–5080 (2017).10.1055/s-0036-1590860Search in Google Scholar
[61] S. P. Panchenko, A. D. Averin, M. V. Anokhin, O. A. Maloshitskaya, I. P. Beletskaya. Beilstein J. Org. Chem. 11, 2297–3305 (2015).10.3762/bjoc.11.250Search in Google Scholar PubMed PubMed Central
[62] M. V. Anokhin, A. D. Averin, I. P. Beletskaya. Eur. J. Org. Chem., 6240–6253 (2011).10.1002/ejoc.201100483Search in Google Scholar
[63] M. S. Lyakhovich, A. D. Averin, O. K. Grigorova, V. A. Roznyatovsky, O. A. Maloshitskaya, I. P. Beletskaya. Molecules 25, 1084 (2020).10.3390/molecules25051084Search in Google Scholar PubMed PubMed Central
[64] S. P. Panchenko, A. D. Averin, M. S. Lyakhovich, A. S. Abel, O. A. Maloshitskaya, I. P. Beletskaya. Russ. Chem. Bull., 1611–1617 (2017).10.1007/s11172-017-1932-3Search in Google Scholar
[65] M. V. Anokhin, A. D. Averin, S. P. Panchenko, O. A. Maloshitskaya, A. K. Buryak, I. P. Beletskaya. Helv. Chim. Acta 98, 47–59 (2015).10.1002/hlca.201400092Search in Google Scholar
[66] M. V. Anokhin, A. D. Averin, S. P. Panchenko, O. A. Maloshitskaya, I. P. Beletskaya. Mendeleev Commun. 25, 245–247 (2015).10.1016/j.mencom.2015.07.002Search in Google Scholar
[67] M. V. Anokhin, A. D. Averin, S. P. Panchenko, O. A. Maloshitskaya, I. P. Beletskaya. Russ. J. Org. Chem. 50, 923–927 (2014).10.1134/S107042801407001XSearch in Google Scholar
[68] N. V. Lukashev, G. A. Grabovyi, D. A. Erzunov, A. V. Kazantsev, G. V. Latyshev, A. D. Averin, I. P. Beletskaya. Beilstein J. Org. Chem. 13, 564–570 (2013).10.3762/bjoc.13.55Search in Google Scholar PubMed PubMed Central
[69] Yu. N. Kotovshchikov, G. V. Latyshev, N. V. Lukashev, I. P. Beletskaya. Eur. J. Org. Chem., 7823–7832 (2013).10.1002/ejoc.201300719Search in Google Scholar
[70] J. Lahann (Ed.), Click Chemistry for Biotechnology and Materials Science, Wiley, Hoboken, New Jersey (2009).10.1002/9780470748862Search in Google Scholar
[71] V. Castro, H. Rodriguez, F. Albericio. ACS Comb. Sci. 18, 1–14 (2016).10.1021/acscombsci.5b00087Search in Google Scholar PubMed
[72] J. P. Meyer, P. Adumeau, J. S. Lewis, B. M. Zeglis. Bioconjugate Chem. 27, 2791–2807 (2016).10.1021/acs.bioconjchem.6b00561Search in Google Scholar PubMed PubMed Central
[73] X. P. He, Y. L. Zeng, Y. Zang, J. Li, R. A. Field, G. R. Chen. Carbohydr. Res. 429, 1–22 (2016).10.1016/j.carres.2016.03.022Search in Google Scholar PubMed
[74] K. Kacprzak, I. Skiera, M. Piasecka, Z. Paryzek. Chem. Rev. 116, 5689–5743 (2016).10.1021/acs.chemrev.5b00302Search in Google Scholar PubMed
[75] V. K. Tiwari, B. B. Mishra, K. B. Mishra, N. Mishra, A. S. Singh, X. Chen. Chem. Rev. 116, 3086–3240 (2016).10.1021/acs.chemrev.5b00408Search in Google Scholar PubMed
[76] C. Wang, D. Ikhlef, S. Kahlal, J. Y. Saillard, D. Astruc. Coord. Chem. Rev. 316, 1–20 (2016).10.1016/j.ccr.2016.02.010Search in Google Scholar
[77] M. S. Singh, S. Chowdhury, S. Koley. Tetrahedron 72, 5257–5283 (2016).10.1016/j.tet.2016.07.044Search in Google Scholar
[78] Yu. N. Kotovshchikov, G. V. Latyshev, I. P. Beletskaya, N. V. Lukashev. Synthesis 50, 1926–1934 (2018).10.1055/s-0036-1591896Search in Google Scholar
[79] Yu. N. Kotovshchikov, G. V. Latyshev, N. V. Lukashev, I. P. Beletskaya. Org. Biomol. Chem. 13, 5542–5555 (2013).10.1039/C5OB00559KSearch in Google Scholar
[80] N. V. Lukashev, D. A. Erzunov, G. V. Latyshev, A. D. Averin, I. P. Beletskaya. Russ. J. Org. Chem. 54, 45–50 (2018).10.1134/S1070428018010025Search in Google Scholar
[81] D. A. Erzunov, G. V. Latyshev, A. D. Averin, I. P. Beletskaya, N. V. Lukashev. Eur. J. Org. Chem., 6289–6297 (2015).10.1002/ejoc.201500835Search in Google Scholar
[82] Y. P. Polevaya, V. S. Tyurin, I. P. Beletskaya. J. Porph. Phthalocyanines. 18, 20–34 (2014).10.1142/S1088424613500636Search in Google Scholar
[83] Y. P. Yaschuk, V. S. Tyurin, I. P. Beletskaya. Macroheterocycles 5, 302–307 (2012).10.6060/mhc2012.121199bSearch in Google Scholar
[84] A. Mitrofanov, A. Bessmertnykh-Lemeune, C. Stern, R. Guilard, N. Gulyukina. I. Beletskaya. Synthesis 44, 3805–3810 (2012).10.1055/s-0032-1317517Search in Google Scholar
[85] A. Mitrofanov, M. Manowong, Y. Rousselin, S. Brandès, R. Guilard, A. Bessmertnykh-Lemeune, P. Chen, K. M. Kadish, N. Goulioukina, I. Beletskaya. Eur. J. Inorg. Chem. 21, 3370–3386 (2014).10.1002/ejic.201402161Search in Google Scholar
[86] A. Mitrofanov, Y. Rousselin, R. Guilard, S. Brandès, A. G. Bessmertnykh-Lemeune, M. A. Uvarova, S. E. Nefedov. New J. Chem. 40, 5896–5905 (2016).10.1039/C5NJ03572DSearch in Google Scholar
[87] A. Yu. Mitrofanov, A. G. Bessmertnykh-Lemeune, I. P. Beletskaya. Inorg. Chim. Acta 431, 297–301 (2015).10.1016/j.ica.2015.04.004Search in Google Scholar
[88] A. Mitrofanov, S. Brandès, F. Herbst, S. Rigolet, A. Bessmertnykh-Lemeune, I. Beletskaya. J. Mater. Chem. A 5, 12216–12235 (2017).10.1039/C7TA01195DSearch in Google Scholar
[89] A. Yu. Mitrofanov, A. V. Murashkina, I. Martín-García, F. Alonso, I. P. Beletskaya. Catal. Sci. Technol. 7, 4401–4412 (2017).10.1039/C7CY01343DSearch in Google Scholar
© 2020 IUPAC & De Gruyter. This work is licensed under a Creative Commons Attribution-NonCommercial-NoDerivatives 4.0 International License. For more information, please visit: http://creativecommons.org/licenses/by-nc-nd/4.0/
Articles in the same Issue
- Frontmatter
- In this issue
- Conference papers of the 21st Mendeleev Congress on General and Applied Chemistry
- Recent achievements in copper catalysis for C–N bond formation
- Novel selective anticancer agents based on Sn and Au complexes. Mini-review
- Novel colchicine conjugate with unusual effect on the microtubules of cancer cells
- Surface chemistry of structural materials subjected to corrosion
- Redox-conducting polymers based on metal-salen complexes for energy storage applications
- Thermodynamic approach for prediction of oxide materials properties at high temperatures
- Competitive ways for three-component cyclization of polyfluoroalkyl-3-oxo esters, methyl ketones and amino alcohols
- Fragment-based approach to novel bioactive purine derivatives
- Reaction of 1,3-dimethylimidazolium dimethylphosphate with elemental sulfur
- Synthetic models of hydrogenases based on framework structures containing coordinating P, N-atoms as hydrogen energy electrocatalysts – from molecules to materials
- Macrokinetic investigation of the interaction mechanism of the pyrophoric iron nanopowder compacts with air
- Polylactide-based stent coatings: biodegradable polymeric coatings capable of maintaining sustained release of the thrombolytic enzyme streptokinase
- 3D printing in analytical chemistry: current state and future
- High purity substances – prototypes of elements of Periodic Table
- Pd(0)-catalyzed amination in the synthesis of chiral derivatives of BINAM and their evaluation as fluorescent enantioselective detectors
Articles in the same Issue
- Frontmatter
- In this issue
- Conference papers of the 21st Mendeleev Congress on General and Applied Chemistry
- Recent achievements in copper catalysis for C–N bond formation
- Novel selective anticancer agents based on Sn and Au complexes. Mini-review
- Novel colchicine conjugate with unusual effect on the microtubules of cancer cells
- Surface chemistry of structural materials subjected to corrosion
- Redox-conducting polymers based on metal-salen complexes for energy storage applications
- Thermodynamic approach for prediction of oxide materials properties at high temperatures
- Competitive ways for three-component cyclization of polyfluoroalkyl-3-oxo esters, methyl ketones and amino alcohols
- Fragment-based approach to novel bioactive purine derivatives
- Reaction of 1,3-dimethylimidazolium dimethylphosphate with elemental sulfur
- Synthetic models of hydrogenases based on framework structures containing coordinating P, N-atoms as hydrogen energy electrocatalysts – from molecules to materials
- Macrokinetic investigation of the interaction mechanism of the pyrophoric iron nanopowder compacts with air
- Polylactide-based stent coatings: biodegradable polymeric coatings capable of maintaining sustained release of the thrombolytic enzyme streptokinase
- 3D printing in analytical chemistry: current state and future
- High purity substances – prototypes of elements of Periodic Table
- Pd(0)-catalyzed amination in the synthesis of chiral derivatives of BINAM and their evaluation as fluorescent enantioselective detectors