Abstract
By the methods of MALDI and mass spectroscopy with the detection of positively and negatively charged ions, it was found that the reaction of elemental sulfur and 1,3-dimethylimidazolium dimethylphosphate is accompanied by the opening of the S8 ring. 1H, 13C, 15N and 31P NMR spectroscopy showed that the interaction of S8 and 1,3-dimethylimidazolium dimethylphosphate proceeds exclusively on the oxygen atom of the dimethylphosphate anion carrying a negative charge. Kohn-Sham calculations at B3LYP/STO-3G, B3LYP/6-31G* and B3LYP/6-311G* levels of theory confirmed that the reaction of S8 with dimethylphosphate anion is possible.
Introduction
The combination of high mechanical strength, elasticity, and low cost ensured the growth of interest in the synthesis of sulfur-based polymers and copolymers [1], [2]. The polymer form of elemental sulfur is formed reversibly by a radical mechanism as a result of homolysis of S-S-bonds [3], and at room temperature the equilibrium is shifted towards depolymerization to form S8 [3], [4], [5], [6]. The equilibrium shift towards polymerization is possible only when the temperature increases to 432 K, thus limiting the possibility of using elemental sulfur polymer [2], [7]. Thermal opening of the S8 ring made it possible to carry out radical copolymerization of sulfur with unsaturated compounds, and the resulting copolymers are thermodynamically stable at room temperature and do not depolymerize [8], [9], [10], [11]. The processes of synthesis of homopolymer and copolymers of elemental sulfur correspond to the principles of green chemistry, and apparently have significant prospects for upscaling [12].
S8 ring opening can occur not only by thermal dissociation or as the result of radical reactions, but also via nucleophilic attack. For example, the copolymerization of S8 and thiiranes in the presence of typical initiators of anionic polymerization is described [13], [14]. It is known that N-methylimidazole opens the S8 ring to form polysulfide anions [15], [16], and sodium sulfide reacts with elemental sulfur in an aqueous medium [17], [18], [19]. Vulcanization of rubbers associated with S8 ring opening is also accelerated in the presence of a number of nucleophiles [16]. These facts leave no doubt that the cyclo-octasulfur is able to undergo the ring opening via the anionic mechanism with the formation of a negatively charged sulfur atom at the end of the chain.
Ionic liquids, which are promising green solvents [20], [21] and in some cases have a catalytic effect [22], also showed efficiency in accelerating the vulcanization of rubbers [23], [24], [25]. However, elemental sulfur is insoluble in ionic liquids. In this regard, the recently discovered reaction of S8 with tri-n-butylmethylphosphonium dimethylphosphate ionic liquid, proceeding with ring opening and accompanied by the formation of a mixture of sulfur oligomers [26], is of great interest. Whether this example of low-temperature initiation of sulfur oligomerization is a common property of ionic liquids with dimethylphosphate anion, remains to be determined. In this paper, it is reported that the interaction of S8 with 1,3-dimethylimidazolium dimethylphosphate is also accompanied by the opening of the S8 ring with the formation of short chains containing a terminal dimethylphosphate group.
Experimental part
Materials and methods
Elemental sulfur (S8) and benzene were purchased from Sigma-Aldrich. 1,3-Dimethylimidazolium dimethylphosphate was purchased from Merck. 1H, 13C, 31P and 15N NMR spectra of the reagents and products were recorded at Shared Resource Center of Dmitry Mendeleev University of Chemical Technology of Russia, Shared Resource Center of A. N. Nesmeyanov Institute of Organoelement compounds of the Russian Academy of Sciences. Mass spectra of the reaction products of S8 and 1,3-dimethylimidazolium dimethylphosphate were recorded after dispersion of the sample in a nebulizer at a temperature of 473 K (Shared Use Center of N. D. Zelinsky Institute of Organic Chemistry of the Russian Academy of Sciences). MALDI spectra were recorded on a mass spectrometer with nitrogen laser with a wavelength of 337 nm (Shared Resource Center of V. N. Orekhovich Institute of Biomedical Chemistry of the Russian Academy of Sciences).
Interaction of 1,3-dimethylimidazolium dimethylphosphate with elemental sulfur
Elemental sulfur powder (S8, 1.46 g) was dispersed in 50 ml of benzene while stirring on a magnetic stirrer, and 1 ml of 1,3-dimethylimidazolium dimethylphosphate was added. The reaction system was kept at the temperature of 298 K for 60 min. Within 15 min after mixing, a deepening of the brown color of the reaction system was observed. After complete dissolution of sulfur, the mixing was stopped; the reaction system was maintained for 45 min at the same temperature, while phase separation was observed. The dark red reaction product accumulated in the lower layer was isolated using a separatory funnel.
Quantum chemical simulation of dimethylphosphate anion interaction with S8
The possibility of the S8 ring opening as a result of nucleophilic attack by dimethylphosphate anion was modeled by the Kohn-Sham method with exchange-correlation functional B3LYP with STO-3G, 6-31G* and 6-311G** basis sets using the Firefly program (Alex A. Granovsky, Firefly version 8, http://classic.chem.msu.su/gran/firefly/). A complete quantitative analysis of the reactivity requires the construction of the potential energy surface of the system for interacting dimethylphosphate anion and S8, followed by the identification of the reaction path, the transition state and the calculation of the activation energy. This approach presents a considerable difficulty. Therefore, this paper presents the estimations based on the consideration of the structure and energy of a supermolecule formed when the interacting particles approach at a distance of 1.717 Ǻ, equal to the sum of the covalent radii of sulfur and oxygen. Also, the method of quantum-topological analysis of electron density (QTAIMC theory) [27] was used for supermolecules optimized by B3LYP/6-31G* and B3LYP/6-311G** methods using Multiwfn software (Multiwfn.Codeplex. – URL: https://multiwfn.codeplex.com/).
Results and discussion
In the 1H NMR spectrum of the initial 1,3-dimethylimidazolium dimethylphosphate ionic liquid, the singlets with the chemical shifts of 9.30 ppm, 7.83 and 4.10 ppm are observed. They correspond to the protons of the 1,3-dimethylimidazolium cation at position 2, equivalent positions 4 and 5, as well as methyl groups at nitrogen atoms. A doublet with a chemical shift of 3.61 ppm corresponds to the protons of the methyl groups of the dimethylphosphate anion in spin-spin interaction with the phosphorus atom. A similar interpretation of signals in the 1H NMR spectrum of 1,3-dimethylimidazolium dimethylphosphate is given in [28]. 13C NMR spectrum of the initial 1,3-dimethylimidazolium dimethylphosphate contains signals with chemical shifts of 139.93 ppm, 125.89 and 37.57 ppm, which correspond to carbon atoms at position two, equivalent positions four and five of the imidazolium ring, and to the carbon atoms of methyl groups at nitrogen atoms. A signal with a chemical shift of 53.90 ppm corresponds to the carbon atoms of the methyl groups of the dimethylphosphate anion. After the reaction of 1,3-dimethylimidazolium dimethylphosphate with elemental sulfur in the benzene medium, the chemical shifts of all hydrogen and carbon atoms in the 1H and 13C NMR spectra of the reaction product practically do not change, and their multiplicities are also preserved. However, in the 1H and 13C NMR spectra, new singlets appear at 7.44 and 130.71 ppm, respectively. These signals may probably correspond to a product of some reaction involving 1,3-dimethylimidazolium cation, or may simply refer to benzene used as a solvent. Registration of 1H–15N two-dimensional NMR spectrum (Fig. 1) of the reaction product whose signals were detected by the inverse method (by protons) showed the absence of spin-spin interaction of the proton responsible for the appearance of the new signal with nitrogen atoms of the 1,3-dimethylimidazolium cation, which allows us to confidently attribute it to benzene protons. The presence of benzene in the reaction product is associated with the difficulties of its removal, since benzene removal by distillation may lead to the equilibrium shift towards increasing the chain length of the formed sulfur oligomers, and freezing, on the contrary, will contribute to reducing their length [2]. Because benzene is a toxic compound, it can be further replaced by the natural terpene p-Cymene as a solvent. In the present work we used benzene as a solvent to simplify the analysis of the obtained spectral data.

Two-dimensional 1H–15N NMR spectrum measured by the inverse method (by protons) of the product of interaction of 1,3-dimethylimidazolium dimethylphosphate with S8.
Thus, 1,3-dimethylimidazolium cation is inactive in this reaction, and the reaction is associated only with the presence of a dimethylphosphate anion. This conclusion is fully consistent with the fact that S8 does not interact with ionic liquids not containing dimethylphosphate anion, such as 1-n-butyl-3-methylimidazolium tetrafluoroborate, 1-n-butyl-3-methylimidazolium trifluoromethanesulfonate, 1,3-dimethylimidazolium hexafluorophosphate. It is also noteworthy that in the 31P NMR spectra of the reaction product and of the initial 1,3-dimethylimidazolium dimethylphosphate, only one signal with a chemical shift of 1.17 and 1.83 ppm, respectively, is observed. Thus, the only potential site for the interaction of 1,3-dimethylimidazolium dimethylphosphate with S8 is the negatively charged oxygen atom of the dimethylphosphate anion, since in case of the reaction on other atoms, the changes in chemical shifts in 1H, 13C, 31P NMR spectra would be significant. Registration of 17O NMR spectra confirms this assumption, since two signals of two nonequivalent oxygen atoms are observed for the initial ionic liquid and after its interaction with S8, the signals of three nonequivalent oxygen atoms were observed [26].
In the MALDI spectrum of the interaction product of 1,3-dimethylimidazolium dimethylphosphate with sulfur, the most intense signal in the negative ion mode is observed at m/z = 153.00, suggesting the formation of C2H2PO4S− anion (Fig. 2, Scheme 1).

MALDI spectrum (negative ion mode) of the products of 1,3-dimethylimidazolium dimethylphosphate interaction with S8.

Reactions expected to proceed during laser desorption of the products of 1,3-dimethylimidazolium dimethylphosphate interaction with S8.
The presence of a signal at m/z = 153.00 and the absence of a signal with m/z ≈ 125 corresponding to the dimethylphosphate anion, is consistent with the reaction between 1,3-dimethylimidazolium dimethylphosphate and S8. The signals with m/z = 184.98 and 167.02 correspond to the C2H2PO4S2 anion and its dehydration product, respectively. The signal at m/z = 232.98 appears to correspond to the particle C6H6 × C2H4PO4S− (Fig. 2, Scheme 1).
Although the registration of MALDI spectra assumes mild ionization conditions, the cyclodehydrogenation processes in accordance with scheme 1, which explains the appearance of signals at m/z = 153.00, 184.98 and 232.98, is possible. Such cyclodehydrogenation processes have long been described for the interaction of hydrocarbons with sulfur [29].
In the positive ion mode, a series of signals with a molecular mass difference of 32 is observed in the MALDI spectrum (Fig. 3). A similar pattern of fragmentation is characteristic of elemental sulfur [30]. Since in the MALDI spectrum of the product of interaction of equimolar quantities of 1,3-dimethylimidazolium dimethylphosphate and S8, the signal with m/z ∼ 125 was not observed in the negative ion mode, we can assume that dimethylphosphate anion nearly quantitatively reacted with S8. Therefore, the appearance of signals characteristic of elemental sulfur in the MALDI spectrum in the positive ion mode is associated with its release during the decomposition of C2H6PO4Sn − (Scheme 1). In addition to signals (Sn)+ with different n, there is also a signal of 1,3-dimethylimidazolium cation (m/z = 96.99), which is consistent with its stability in the reaction of 1,3-dimethylimidazolium dimethylphosphate with S8 (Fig. 3).

MALDI spectrum (positive ion mode) of the product of 1,3-dimethylimidazolium dimethylphosphate interaction with S8.
In the ESI mass spectrum obtained in the positive ion mode, the fragmentation pattern characteristic of sulfur was not observed. This can be explained by the thermal decomposition of C2H6PO4Sn − when the sample is dispersed in a nebulizer at a temperature of 473 K for 30 s before the sample is fed to the ionization chamber. The signals with m/z = 97.0761 and m/z = 319.1533 correspond to the 1,3-dimethylimidazolium cation and to the positively charged ionic associate [(1,3-Me2Im)2Me2PO4]+ (Fig. 4). The low-intensity signal at m/z = 252.9727 probably corresponds to the loss of hydrogen by the addition of one sulfur atom to 1,3-dimethylimidazolium dimethylphosphate. The low intensity of this signal is also indirectly consistent with the thermal decomposition of C2H6PO4Sn − before entering the ionization chamber.

ESI mass spectrum (positive ion mode) of the product of interaction of 1,3-dimethylimidazolium dimethylphosphate with S8.
In the ESI mass spectrum obtained in the negative ion mode, the most intense signal with m/z = 125.0000 corresponds to dimethylphosphate anion. Since no signals typical for the initial ionic liquid were observed in MALDI spectra, the detection of the C2H6PO4 − anion is probably associated with the decomposition of C2H6PO4Sn − when the sample is dispersed in a nebulizer before entering the ionization chamber. Also, the signals at m/z = 255.2321 and 414.9618 with significant intensities were observed in the mass spectrum (Fig. 5). These signals probably correspond to the products of hydride ion addition, as well as one sulfur atom and six sulfur atoms addition to the initial ionic liquid, respectively. Hydride ion transfer processes are described in the literature [31], [32], [33]. Since only monomolecular reactions are possible under the conditions of mass spectra registration, it is possible that hydride ion transfer can be realized in ionic associates, the formation of which was noted above. In this case, the signal at m/z ≈ 223, the presence of which would be expected for the unreacted 1,3-dimethylimidazolium dimethylphosphate, was not observed.

ESI mass spectrum (negative ion mode) of the product of interaction of 1,3-dimethylimidazolium dimethylphosphate with S8.
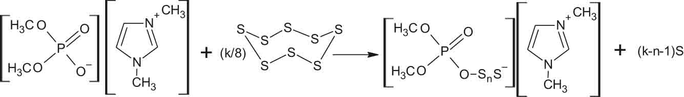
Summarizing the data obtained by 1H, 13C, 15N, 31P, 17O NMR spectroscopy, MALDI and ESI mass spectra, we can conclude that the studied reaction can be described as the addition of sulfur to a negatively charged oxygen atom of dimethylphosphate anion of the initial ionic liquid (Scheme 2). Since in the MALDI spectra there are no signals corresponding to high molecular weight compounds, we suppose that only the products with short sulfur chains for in the studied reaction. It should be noted that 1,3-dimethylimidazolium dimethylphosphate ionic liquid was used in equimolar amounts with respect to S8. This contributes to the formation of low molecular weight products, especially if the initiation stage is rapid. In the reaction of S8 with tri-n-butylmethylphosphonium dimethylphosphate, the products of higher molecular weight were formed [26], indicating a lower activity of this ionic liquid in reaction with S8 compared to 1,3-dimethylimidazolium dimethylphosphate.

Reaction of 1,3-dimethylimidazolium dimethylphosphate with elemental sulfur.
Higher reactivity of 1,3-dimethylimidazolium dimethylphosphate in the reaction with S8 can be described on the basis of the Pearson hard and soft acids and bases (HSAB) theory. The oligomeric anion is a soft Lewis base, while the hardness of the tri-n-butylmethylphosphonium cation is higher than that of 1,3-dimethylimidazolium cation in which the positive charge is delocalized. Then, in accordance with the HSAB theory [34], [35], one should expect a higher decrease in the energy of the system resulting from the interaction of oligomeric anion with 1,3-dimethylimidazolium cation than with tri-n-butylmethylphosphonium.
In the theoretical study of the possibility of S8 ring opening in the interaction with dimethylphosphate anion, the Kohn-Sham method at the B3LYP/STO-3G level of theory predicts spontaneous S8 ring opening upon approaching the dimethylphosphate anion at a distance of 1.717 Ǻ. It is accompanied by a decrease in the total energy of the system by 242 kJ × mol−1 compared to infinitely distant reagents. Modeling at B3LYP/6-31G* and B3LYP/6-311G** levels of theory also shows a decrease in the total energy of the system upon formation of a supermolecule by 399 kJ × mol−1 and 55 kJ × mol−1, respectively. After geometry optimization by B3LYP/6-31G* and B3LYP/6-311G** methods, the calculated distances in the supermolecule between the oxygen atom of the dimethylphosphate anion carrying a negative charge and the sulfur atom entering the S8 ring are 2.400 Ǻ and 2.421 Ǻ, respectively, and an imaginary frequency is present in the vibrational spectrum.
Thus, the convergence of the S8 ring and the dimethylphosphate anion at a distance of 1.717 Ǻ in the B3LYP/STO-3G approximation leads to the opening of the S8 ring, and the energy minimum was achieved upon formation of the reaction product shown in Scheme 2. Calculations at the B3LYP/6-31G* and B3LYP/6-311G** levels of theory predict the formation of supermolecules with distances between reagents greater than the originally specified (1.717 Ǻ). These structures are transient states realized when the system moves along the reaction coordinate from the initial compounds to the reaction products, as evidenced by the presence of imaginary frequencies. The QTAIMC theory for B3LYP/6-31G* and B3LYP/6-311G** optimized supermolecules indicates a bound state between the oxygen atom of the dimethylphosphate anion and the sulfur atom of the S8 ring: there is a critical bond point (3,−1) between these atoms. The electron density (ρ b ) values at the critical coupling point are 0.0425 (B3LYP/6-31G*) and 0.0399 a.u. (B3LYP/6-311G**). The electron density Laplacian (∇2ρ b ) values are 0.1122 (B3LYP/6-31G*) and 0.1138 (B3LYP/6-311G**) a.u.
Conclusions
It is shown that the interaction of 1,3-dimethylimidazolium dimethylphosphate with elemental sulfur is accompanied by the S8 ring opening. The reaction proceeds only with the participation of dimethylphosphate anion due to the addition of sulfur to the oxygen atom carrying negative charge. The 1,3-dimethylimidazolium cation does not participate in the reaction. The possibility of the S8 ring opening as a result of nucleophilic attack by dimethylphosphate anion is confirmed by modeling the interaction of these particles by the Kohn-Sham method at the B3LYP/STO-3G level of theory.
Funding source: Mendeleev University of Chemical Technology of Russia
Award Identifier / Grant number: 2020-040
References
[1] S. Diez, A. Hoefling, P. Theato, W. Pauer. Polymers 9, 59 (2017).10.3390/polym9020059Search in Google Scholar PubMed PubMed Central
[2] A. V. Tobolsky. J. Polym. Sci. Part C: Polym. Symp. 12, 71 (2007).10.1002/polc.5070120107Search in Google Scholar
[3] F. Fairbrother, G. Gee, G. T. Merrall. J. Polym. Sci. 16, 459 (1955).10.1002/pol.1955.120168231Search in Google Scholar
[4] A. V. Tobolsky, A. Eisenberg. J. Am. Chem. Soc. 81, 780 (1959).10.1021/ja01513a004Search in Google Scholar
[5] K. S. Andrikopoulos, A. G. Kalampounias, S. N. Yannopoulos. J. Chem. Phys. 124, 146101 (2006).10.1063/1.2185097Search in Google Scholar PubMed
[6] V. F. Kozhevnikov, W. B. Payne, J. K. Olson, C. L. McDonald, C. E. Inglefield. J. Chem. Phys. 121, 7379 (2004).10.1063/1.1794031Search in Google Scholar PubMed
[7] J. J. Griebel, R. S. Glass, K. Char, J. Pyun. Prog. Polym. Sci. 58, 90 (2016).10.1016/j.progpolymsci.2016.04.003Search in Google Scholar
[8] A. L. Klebanskiĭ, N. J. Zukerman, L. P. Fomina. Rubber Chem. Technol. 32, 588 (1959).10.5254/1.3542426Search in Google Scholar
[9] D. J. Parker, H. A. Jones, S. Petcher, L. Cervini, J. M. Griffin, R. Akhtar, T. Hasell. J. Mater. Chem. A. 5, 11682 (2017).10.1039/C6TA09862BSearch in Google Scholar
[10] V. Gupta, S. Ghosh, V. Phapale. Phosphorus, Sulfur, Silicon Relat. Elem. 193, 752 (2018).10.1080/10426507.2018.1513513Search in Google Scholar
[11] S. Oishi, K. Oi, J. Kuwabara, R. Omoda, Y. Aihara, T. Fukuda, T. Takahashi, J-C. Choi, M. Watanabe, T. Kanbara. ACS Appl. Polym. Mater. 1, 1195 (2019).10.1021/acsapm.9b00197Search in Google Scholar
[12] M. J. H. Worthington, R. L. Kucera, J. M. Chalker. Green Chem. 19, 2748 (2017).10.1039/C7GC00014FSearch in Google Scholar
[13] S. Penczek, R. Ślazak, A. Duda. Nature 273, 738 (1978).10.1038/273738a0Search in Google Scholar
[14] S. Penczek, A. Duda. Phosphorus, Sulfur, Silicon Relat. Elem. 59, 47 (1991).10.1080/10426509108045700Search in Google Scholar
[15] Y. Zhang, R. S. Glass, K. Char, J. Pyun. Polym. Chem. 10, 4078 (2019).10.1039/C9PY00636BSearch in Google Scholar
[16] Y. Zhang, N. G. Pavlopoulos, T. S. Kleine, M. Karayilan, R. S. Glass, K. Char, J. Pyun. J. Polym. Sci. Part A: Polym. Chem. 57, 7 (2019).10.1002/pola.29266Search in Google Scholar
[17] N. Hartler, J. Libert, A. Teder. Ind. Eng. Chem. Proc. Des. Dev. 6, 398 (1967).10.1021/i260024a002Search in Google Scholar
[18] W. E. Kleinjan, A. de Keizer, A. J. H. Janssen. Coll. Surf. B: Biointerface 43, 228 (2005).10.1016/j.colsurfb.2005.05.004Search in Google Scholar PubMed
[19] H. Shin, J. Kim, D. Kim, V. H. Nguyen, S. Lee, S. Han, J. Lim, K. Char. J. Mater. Chem. A. 6, 23542 (2018).10.1039/C8TA05457FSearch in Google Scholar
[20] A. E. Rosamilia, C. R. Strauss, J. L. Scott. Pure Appl. Chem. 79, 1869 (2007).10.1351/pac200779111869Search in Google Scholar
[21] K. J. Fraser, D. R. MacFarlane. Austral. J. Chem. 62, 309 (2009).10.1071/CH08558Search in Google Scholar
[22] V. I. Pârvulescu, C. Hardacre. Chem. Rev. 107, 2615 (2007).10.1021/cr050948hSearch in Google Scholar PubMed
[23] J. Pernak, F. Walkiewicz, M. Maciejewska, M. Zaborski. Ind. Eng. Chem. Res. 49, 5012 (2010).10.1021/ie100151nSearch in Google Scholar
[24] M. Maciejewska, F. Walkiewicz, M. Zaborski. Ind. Eng. Chem. Res. 52, 8410 (2013).10.1021/ie303167zSearch in Google Scholar
[25] M. Maciejewska, M. Zaborski. Polym. Bull. 75, 4499 (2018).10.1007/s00289-018-2281-6Search in Google Scholar
[26] N. Tarasova, E. Krivoborodov, A. Zanin, Y. Mezhuev. Doklady Chem. 484, 8 (2019).10.1134/S0012500819010051Search in Google Scholar
[27] R.F.W. Bader. Atoms in Molecules: A Quantum Theory, Oxford University Press, New York (1990).Search in Google Scholar
[28] H.F. Sangian, J. Kristian, S. Rahma, S. Y. Agnesty, S. Gunawan, A. Widjaja. J. Eng. Technol. Sci. 47, 137 (2015).10.5614/j.eng.technol.sci.2015.47.2.3Search in Google Scholar
[29] H. Berger. J. Prakt. Chem. 133, 331 (1932).10.1002/prac.19321331103Search in Google Scholar
[30] A. Kruegel, A. B. Attygalle. J. Am. Soc. Mass Spectr. 21, 112 (2010).10.1016/j.jasms.2009.09.011Search in Google Scholar PubMed
[31] F. H. Field, F. W. Lampe. J. Am. Chem. Soc. 80, 5587 (1958).10.1021/ja01554a002Search in Google Scholar
[32] V. M. Matyuk, V. K. Potapov. High Energy Chem. 34, 122 (2000).10.1007/BF02761841Search in Google Scholar
[33] D. M. Brouwer, C. F. Roobeek, J. A. van Doorn, A. A. Kiffen. Recl. Trav. Chim. Pays-Bas 92, 563 (2010).10.1002/recl.19730920509Search in Google Scholar
[34] R. G. Pearson. J. Am. Chem. Soc. 85, 3533 (1963).10.1021/ja00905a001Search in Google Scholar
[35] P. K. Chattaraj, H. Lee, R. G. Parr. J. Am. Chem. Soc. 113, 1855 (1991).10.1021/ja00005a073Search in Google Scholar
© 2020 IUPAC & De Gruyter. This work is licensed under a Creative Commons Attribution-NonCommercial-NoDerivatives 4.0 International License. For more information, please visit: http://creativecommons.org/licenses/by-nc-nd/4.0/
Articles in the same Issue
- Frontmatter
- In this issue
- Conference papers of the 21st Mendeleev Congress on General and Applied Chemistry
- Recent achievements in copper catalysis for C–N bond formation
- Novel selective anticancer agents based on Sn and Au complexes. Mini-review
- Novel colchicine conjugate with unusual effect on the microtubules of cancer cells
- Surface chemistry of structural materials subjected to corrosion
- Redox-conducting polymers based on metal-salen complexes for energy storage applications
- Thermodynamic approach for prediction of oxide materials properties at high temperatures
- Competitive ways for three-component cyclization of polyfluoroalkyl-3-oxo esters, methyl ketones and amino alcohols
- Fragment-based approach to novel bioactive purine derivatives
- Reaction of 1,3-dimethylimidazolium dimethylphosphate with elemental sulfur
- Synthetic models of hydrogenases based on framework structures containing coordinating P, N-atoms as hydrogen energy electrocatalysts – from molecules to materials
- Macrokinetic investigation of the interaction mechanism of the pyrophoric iron nanopowder compacts with air
- Polylactide-based stent coatings: biodegradable polymeric coatings capable of maintaining sustained release of the thrombolytic enzyme streptokinase
- 3D printing in analytical chemistry: current state and future
- High purity substances – prototypes of elements of Periodic Table
- Pd(0)-catalyzed amination in the synthesis of chiral derivatives of BINAM and their evaluation as fluorescent enantioselective detectors
Articles in the same Issue
- Frontmatter
- In this issue
- Conference papers of the 21st Mendeleev Congress on General and Applied Chemistry
- Recent achievements in copper catalysis for C–N bond formation
- Novel selective anticancer agents based on Sn and Au complexes. Mini-review
- Novel colchicine conjugate with unusual effect on the microtubules of cancer cells
- Surface chemistry of structural materials subjected to corrosion
- Redox-conducting polymers based on metal-salen complexes for energy storage applications
- Thermodynamic approach for prediction of oxide materials properties at high temperatures
- Competitive ways for three-component cyclization of polyfluoroalkyl-3-oxo esters, methyl ketones and amino alcohols
- Fragment-based approach to novel bioactive purine derivatives
- Reaction of 1,3-dimethylimidazolium dimethylphosphate with elemental sulfur
- Synthetic models of hydrogenases based on framework structures containing coordinating P, N-atoms as hydrogen energy electrocatalysts – from molecules to materials
- Macrokinetic investigation of the interaction mechanism of the pyrophoric iron nanopowder compacts with air
- Polylactide-based stent coatings: biodegradable polymeric coatings capable of maintaining sustained release of the thrombolytic enzyme streptokinase
- 3D printing in analytical chemistry: current state and future
- High purity substances – prototypes of elements of Periodic Table
- Pd(0)-catalyzed amination in the synthesis of chiral derivatives of BINAM and their evaluation as fluorescent enantioselective detectors