Startseite Analysis and synthesis of optimal supply systems for gas-chemical complexes
Artikel Öffentlich zugänglich

Analysis and synthesis of optimal supply systems for gas-chemical complexes

  • Igor V. Dolotovskij ORCID logo EMAIL logo , Evgeniy A. Larin und Nadezhda V. Dolotovskaya
Veröffentlicht/Copyright: 20. Juli 2017

Abstract

The study provides the results of structural and parametric synthesis of multifunctional power and water supply systems for gas chemical complexes and raw hydrocarbon preparation and processing facilities. These systems include their own power generator units combined with combustible and industrial waste utilization units. Methods, algorithms and system of efficiency parameters developed by us allow one to carry out scientific studies and develop new prospective power supply systems integrated with industrial processes and effective at various stages of the enterprise operation cycle.

Object structure and efficient power supply problems

A gas chemical complex (GCC) is an industrial object with a composite structure consisting of chemical technologies system (CTS) and energy complex (EC) which have internal and external interrelations regarding material and power flows during the processing of raw materials into finished product. Generally GCC structure can be represented as a six-level system (Fig. 1).

Fig. 1: 
          Block-hierarchical structure of a gas chemical complex (I–VI are the hierarchic object levels; RCS–reducing-cooling stations; GDS–gas distribution stations; WHRB–waste heat recovery boilers; 1–4–matching resource and its function in the apparatus: 1–transportation; 2–generation; 3–consumption; 4–transformation; 0–non-available resources).
Fig. 1:

Block-hierarchical structure of a gas chemical complex (I–VI are the hierarchic object levels; RCS–reducing-cooling stations; GDS–gas distribution stations; WHRB–waste heat recovery boilers; 1–4–matching resource and its function in the apparatus: 1–transportation; 2–generation; 3–consumption; 4–transformation; 0–non-available resources).

Every hierarchical level includes the following internal and external interrelations:

  • I – relations between external support systems (for raw materials; fuel and energy resources (ER); water) and water disposal system with GCC;

  • II – relations between GCC and external systems, EC and CTS, GCC and EC systems and CTS industrial facilities;

  • III – relations between EC and CTS industrial facilities and their plants (P1, P2,…, Pi,…, Pm); as the same time, EC systems and CTS industrial facilities have a series of level IV plants containing power engineering units (level V elements) corresponding to two level II elements–EC and CTS;

  • IV – relations between plants and systems, production lines and engineering units (A1, A2,…, Ak,…, Ar);

  • V – relations between engineering units and resources.

The VI hierarchic level consists of a matrix showing engineering units (level V elements) compliance to mathematical description of procedures of analysis and optimization of energy resources and water generation and consumption.

The primary (basic) systems of GCC EC are fuel, electric power and heat-and-power systems. Their qualitative characteristics shall be described further.

The fuel system (FS) is usually occupied by purified gaseous hydrocarbons produced as a result of preparation and processing of raw materials (gas and condensate). The shortages of fuel gas required for industrial facilities use are compensated from commercial gas networks. The fuel gas is mostly consumed by process furnaces of plants, boiler and water heaters, gas heating units and flaring systems. Part of fuel network gas is used to blow down engineering units; this gas is later supplied to flaring systems.

Electric power system (EPS) includes power plant’s own needs (PPN) and emergency power sources. This system is connected to all production facilities of CTS and other systems of EC. Electric power is primarily consumed by gas pumps, compressors, gas blowers, air blowers, air fans, exhaust blowers and discharge fans. It is used for continuous power supply of electrified accessories as well as control, automated, communication and firefighting systems. The electric power is consumed by cyclical duty operators, lighting system and transportation devices.

The heat-and-power system (HPS) is interrelated with other EC systems as well as many CTS production processes used in continuous technological cycles, i.e. generation and consumption of thermal energy as steam and hot water. Heat power resources are also used for facilities heating, reservoir heating, equipment maintenance and repairs, emergency steam supply and firefighting measures.

The internal production systems of EC include recycled energy resources (RER) disposal systems, systems of industrial and recycling water supply and disposal as well as air, hydrogen, inert gas and refrigeration supply systems. The most significant of these interrelations with CTS are those of systems of water supply and disposal as it also affects the parameters of three basic EC systems, especially EPS.

In order to provide efficient water and power supply of the GCC, the following specific characteristics and features of CTS and EC must be taken into account:

  • EC systems are related to external power supply systems not only via energy resources flow but also via industrial goods flows–gas, stabile condensate, broad fraction of light hydrocarbons, diesel, boiler and furnace fuels, benzene and other hydrocarbon processing products flows;

  • EC is a multilevel technological system consisting of various types of internal power production facilities (used for various purposes) and engineering units interrelated via ER flows that consume the same type of ER and generate other types of ER;

  • CTS and EC plants are operated in alternating modes due to dynamical interaction of external and internal factors;

  • CTS technological processes lead to production of low pressure gases whose amount is sufficient for complete fuel supply of primary production facilities;

  • generation of heat power by engineering units of CTS corresponds to more than 50% of ER consumption which allows to provide complete heat power supply to technological processes in a temperature range of 150 to 240°C if the EC structure is reasonable;

  • the primary external factors influencing EC modernization efforts are as follows: modes of operation for a particular GCC operating on the grounds of a particular gas and gas condensate deposit; composition of processed raw materials; specific features of technological processes for every unit and plant; climate conditions;

  • dominating factors change during the whole operation cycle of GCC (starting from its construction and lasting until its decommissioning).

The above mentioned aspects of GCC energy and water supply system modernization shows the necessity of developing EC analysis and synthesis methods that allow to take into account not only parameters and characteristics of EC but also its structure, i.e. design features and equipment roster.

Primary principles of analysis and synthesis methods

Development of special analysis and synthesis methods for optimal GCC EC is required for two reasons.

First, introduction of new energy saving techniques to preparation and processing of gas condensate raw materials, development of existing and creation of new GCCs and creation of synthetic liquid fuel industry requires adequate power supply for CTS and creation of highly efficient ECs maximally integrated with engineering units in order to provide system energy efficiency for the whole operation cycle of industrial facility.

Second, existing methods [1], [2], [3], [4], [5], models, process designs and schematics were developed for energy system of industrial enterprises whose technological structure varies greatly from GCC and does not account for specific structure and operation modes of CTS.

We would like to propose principles of analysis and synthesis methods that can be used for research and design of highly efficient GCC ECs and employ decomposition and search mechanisms for finding and confirming internal and external multifactor structural and functional interrelations between power and water supply systems, CTS, external power and resources supply sources during various periods of enterprise operation and optimization of its structure and operation modes. Methods, algorithms, process designs and schematics contribute to knowledge database that can be used to study properties and assess system efficiency of GCC ECs. Creation of such knowledge database can be represented as multistage process dedicated to solving the following ensembles of information and method development tasks:

  1. Methodological principles of system analysis of GCC ECs.

    1. Block-hierarchical structure of GCC (Fig. 1) and formalized research space.

    2. System of efficiency parameters and criteria.

    3. Model functions (material and energy balances) and data models (mathematical simulation of efficiency of ER and water consumption and waste disposal in plants) for CTS and EC production facilities.

    4. Economic and complex models of efficiency assessment.

    5. Information-analytical model of the system analysis.

  2. Methodological principles of synthesis, structural and parameter optimization of GCC ECs.

    1. Methodological principles of optimal EC synthesis.

    2. Structural and parameter optimization algorithms.

    3. Interpretation of theoretical principles of optimal EC synthesis in order to improve efficiency of its design and parameters.

  3. Synthesis procedures for EC system optimal parameters.

    1. Regulation of fuel consumption in CTS and EC.

    2. Optimization of HPS of ECs.

    3. Optimization of internal production systems of ECs.

    4. Optimization of operation modes of power technology plants of CTS.

  4. Synthesis procedures for optimal EC structure.

    1. Synthesis of local EC systems for CTS plants.

    2. Synthesis of energy resources generation systems for ECs with self-contained disposal cycles.

  5. Design processes and schematics for novel ECs within GCC structure.

    1. Electricity, heat, refrigeration and water-generating systems with recycling RER, combustible waste and effluents.

    2. Multifunctional energy resources and products generation systems of GCC ECs.

First stage tasks were solved using formalized system research space represented as coordinates of three sets with block-hierarchical structure:

  • object (GCC)=EC+CTS; EC={systems}; CTS={production facilities} (Fig. 1);

  • analysis and synthesis problems={purpose, functions, problems and optimization and control procedures};

  • solution methods={analytical, experimental, combined}.

System of energy efficiency parameters for separate elements (engineering units, systems and production facilities) established either during design or during operation of GCC combines groups of technological, energetic, economical and complex criteria and factors.

Technological efficiency parameter group for elements of II to V hierarchic level includes workflow production capacity GR, degree of raw material transformation xi (for CTS elements), intensity or specific capacity of engineering units (used for heat exchangers and gas turbine, gas piston and diesel engines utilized in autonomous energy supply sources).

Energy parameters of the elements of each GCC level include the following characteristics:

  • ER consumption including: fuel consumption В, electric power consumption Ee, heat energy Q, represented as integral functions calculated over design-basis time interval Т, that describe interrelation of these parameters with technological (Ω), design (Z), ecological and climate (S) factors and parameters at a given time t:

    (1) B = 0 T f ( Ω t B , Z t B , S t B ) d t ; E e = 0 T f ( Ω t E , Z t E , S t E ) d t ; Q = 0 T f ( Ω t Q , Z t Q , S t Q ) d t ; G R = 0 T f ( Ω t , Z t , S t ) d t ;

  • equivalent energy intensity, including RER by taking into account conversion rates to fuel equivalent units (tons of equivalent fuel) for every type of ER (kB, kE, kQ) and discharge characteristics of normalized workflow GR for the corresponding hierarchy level (engineering units, plants, CTS production facilities and EC systems, the whole GCC):

    (2) E u = G R 1 ( B k B + E e k E + Q k Q ) = E u B k B + E u E k E + E u Q k Q ;

  • factor of relative deviation of actual ER consumption and generation from design (ЕuF) or standard values (ЕuN):

    (3) η o = ( E u F / E u N ) 1 ;

  • (energy and production, water consumption, water disposal) balance improvement factors characterizing the capacity for improving EC by structural and parameter optimization by using the maximal potential of RER, minimizing ER consumption by external systems, creating closed circuit water cycles and decreasing standard consumption (MN) of the corresponding type of resource down to its optimal value (Mopt):

    (4) η p μ = 1 ( M opt / M N ) ;

  • the effective utilization factor (EUF) for separate types of ER and ER supplied by external systems:

    (5) η e .u = μ = 1 3 j = 1 n i = 1 m k = 1 r M μ j i k k μ η μ j i k / j = 1 n μ = 1 3 M j μ k μ ,

    where ημjik is the efficiency factor for ER μ consumption of engineering unit k of plant i located at production facility j (for three types of ERs – fuel, electric power, heat power); Mμjik , kμ is the volume of consumed ER represented in corresponding units and scaling factor to fuel equivalent units;

  • RER utilization efficiency factor: its share and RER utilization factor for internal heat power consumption; EUF for fuel heat in thermal plant EC with multiple steam pressure levels HPS;

  • energy consumption efficiency increment potential that can be theoretically achieved by particular plants, facilities and ECs; this potential is calculated on the basis of deviations ΔMjμ of actual parameters from standard values (for operating GCCs) or optimal values of ER consumption that accounts for operation mode, technological, climate and other changes which may occur in the process of object operation as well as the possibility of its implementation due to changes in plant-equipment ratio ϕT, and improvement of technical condition or modernization of plant and facilities equipment ϕO, or operation modes ϕP:

    (6) P t E = 1 3 φ j = 1 n Δ M j μ k μ ;

  • exergy efficiency equal to ratio of sum of all exergies at the inlet of each GCC element to the sum of all exergies at the outlet of said element;

  • energy density Gk of saleable product k per its exergy unit exk or cost Ck during the design-basis time interval−the whole period of GCC operation starting from its construction and ending with its decommission Ξ, or any other operation interval τ (τ∈Ξ):

    (7) E x R = 0 Ξ ( τ ) [ ( E u j = 1 n β j t E u j t RER ) / k = 1 K e x k t ] d t ; E R = 0 Ξ ( τ ) E u ( k = 1 K G k t C k ) 1 d t ,

where βjt is the utilization factor for all types of RER in particular conditions; EujtRER is the specific equivalent volume of RER exiting the production facility j.

The economic efficiency of EC modernization by synthesizing efficient ER supply systems integrated to CTS structure has been determined by partial and complex criteria: integral social and economic impact (net present value−NPV), discounted capital costs and their payback period and specific costs for ER provided by external sources, water supply and water disposal per unit of processed raw material.

Complex parameters include partial energetic, technological and economical efficiency parameters ui as vector functions:

(8) U = i = 1 k γ i u i ¯ ; u i ¯ = u i / u extr ,

where γi is the index of rank correlation (significance factor) evaluated by hierarchy analysis method [6] and a relative value of partial parameter; uextr is the maximal or minimal value of parameter for III hierarchic level (corresponding to alternate types of EC systems).

We used sets of complex criteria united into additive-multiplicative functional in order to perform structural and parameter synthesis of EC. We proposed an analytical correlation that can be used to assess mutual influence of partial efficiency parameters as a multi-criteria performance index (MCPI). In MCPI all parameters are united into two sets. One of them represents production and economic activities of GCC that provides its income and efficiency as an active business (i.e. effectiveness r) and the other (efficiency λ) allows to evaluate the implementation of above mentioned principles: maximal circularity of ER, the degree of using RER, combustible waste and waste water to generate ER, ecological safety and the reliability of ER supply.

The structure of MCPI consisting of these two sets (Fig. 2) including visualization of interrelations between its elements is based on a balanced model achieved by applying uniform factors [7] to each element of these sets. The set of effectiveness includes six parameters (p=6) representing the value of sold products and maintenance costs of the primary production facility. At the same time, the second set consisting of efficiency parameters of MCPI, includes 5 vector criteria consisting of 17 parameters in total (raw material production capacity is analyzed as an individual parameter). This set consists of six parameters (l=p=6). The set ranking is based on principle of equivalence of effectiveness and efficiency because structural and parameter optimization of EC and implementation of above-mentioned principles leading to increase in its efficiency, the income of GCC must remain at the same level (or increase).

Fig. 2: 
          The scheme of formation of multi-criteria performance index (MCPI).
Fig. 2:

The scheme of formation of multi-criteria performance index (MCPI).

Normalization of set elements for the current time period t was performed by correlating their values to “basic” values for this object (0 index on Fig. 3) which are determined as design specifications (for operating GCC) or parameters of an object with comparable structural complexity factor and engineering topology using weighted average values of studied parameters.

Fig. 3: 
          The structure of formula MCPI.
Fig. 3:

The structure of formula MCPI.

The formula used for MCPI calculation (Fig. 3) combines formed values for fractional deviation of each of the following parameters: the value of sold products R(t), all types of costs Ci(t), efficiency of energy and raw material utilization Ui(t), production capacity V(t) including potential factors KR, KCi , KUi, KV. The latter consist of three multipliers that allow to determine the orientation of potential ([+1] or [–1]), provide a balance between effectiveness and efficiency and evaluate the significance (weight) of each parameter.

Functional interrelations for all hierarchy levels of EC and CTS of GCC are established in accordance with mathematical model of these systems’ elements (component) represented as operators. For each of these components efficiency parameters are calculated discretely based on existing correlations (F) or modeling algorithm (Al) representing (simulations) continuous action of a real object that be described by a set of interrelated functions Ф={F, Al}. At the same time, every principle π of mathematical model corresponds to a set of functions Ф(π) implemented by a set of engineering units α∈A as transformations Ψ:[ϕ∈Ф(π)]→[α∈A]. Then a subset ϕ∈Ф(π) of this set is chosen if it is sufficient for structural and parameter optimization of EC in accordance with established efficiency criteria.

Transformations Ψ:Ф→A are represented as mathematical descriptions of:

  • production facilities including EC and CTS models and accounting for systemic and design features of elements;

  • consumption and generation of ER by accounting for RER utilization and losses characterizing fuel and energy balance (FEB) and energy and technology balance (ETB) for all hierarchy levels;

  • experimental studies supplementing and correcting calculation models of FEB and ETB;

  • relations between complex efficiency criteria and energy and water resources consumption, systemic and design parameters for a particular resource, rates for ER and water and waste disposal costs;

  • ER consumption normalizing system;

  • set of constraints for design, performance and technological parameters.

Model structure is formed based on mathematical descriptions of lower hierarchy elements of studied object–engineering units and plants of each EC system and CTS production facility. Functional composition of mathematical description includes the following logically sound calculation modules: system balances (material, FEB and ETB); hydrodynamic flow characteristics; properties of substances and processes of CTS and EC elements; consumption and generation of ER by elements of the V hierarchic level of GCC–CTS plants and ECs.

The mathematical description also includes structured parameters data (constants) for units and processes and methods of analysis, control and optimization of ER generation and consumption as well as generalized results of energy audit and experimental studies conducted at GCC.

Mathematical description of GCC EC elements was implemented in 16 modeling applications designed by us including ETB calculation software (no. 2010615353 RF) which were combined into information and analytical system used for planning, normalization, forecasting and optimization of fuel and energy resources consumption (IAS FER) [8].

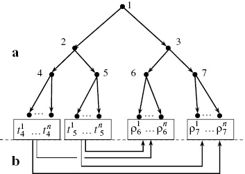
The strategy of synthesis methodology and GCC EC optimization (second stage of knowledge database creation) is illustrated by decision tree (Fig. 4a) including actions-choices (twigs) and events-strategies (tops). In this case, R={ρi1,…,ρin} represents the set of optimal solutions to the problem of structural and parameter EC synthesis which corresponds to a set of subproblems T={ti1,…,tin} (lower indices represent decomposition strategies, upper indices correspond to the type of problems and their solutions). In order to find the optimal structure and parameters of EC using decomposition and search mechanisms, we have implemented strategy 2–4 for problem decomposition and strategy 3–7 for solution decompositions (Fig. 4b). This correlates to mathematical representation of EC synthesis problem as its “problem space” formed during the solution process using IAS FER simulation software.

Fig. 4: 
          The tree of deciding strategy (a) and scheme for solving the problem of synthesis (b); 1–original synthesis problem; 2,3–a multitude of tasks and solutions; 4,5–elementary and arbitrary decomposition; 6,7–limiting and cutoff decomposition.
Fig. 4:

The tree of deciding strategy (a) and scheme for solving the problem of synthesis (b); 1–original synthesis problem; 2,3–a multitude of tasks and solutions; 4,5–elementary and arbitrary decomposition; 6,7–limiting and cutoff decomposition.

The strategies for solving the problem by structural and parameter optimization of GCC EC are implemented in IAS FER software using developed simulation algorithms. General pattern of algorithms is a sequence of logic and calculation blocks representing the procedure of choosing the element builds for each level of GCC hierarchy that have optimal ER consumption or generation, water consumption and waste water disposal. The algorithm pattern is as follows:

  • object data collection based on reports of automated control systems for technological processes and other measurement devices, results of energy investigations, technological regulations, standards, methods and technical documentation, process schemes and other equipment, unit and production facilities data; formation of database;

  • identification of hierarchic level to determine the affiliation of element to a particular production facility of CTS and EC system based on the type of consumed or generated ER;

  • element identification, i.e. typification of separate modules of mathemical description and calculation in order to formalize and solve the preset problems using decomposition and aggregation approach;

  • determination of functions and a list of problems in order to form an run sequence for a particular type of calculations in accordance with rank of solved problems and initial data access sequence;

  • determination of efficiency criteria and restrictions; the abovementioned efficiency criteria can also be accepted as management criteria for GCC with a preset technological structure;

  • formalization of structure and functions descriptions, i.e. development of mathematical models and modeling problem solving algorithms;

  • screening for optimal structural and parameter solution using developed software implementing modeling algorithms for estimated time interval;

  • analysis of a solution using accepted efficiency criteria (local and global) including all restrictions imposed onto the obtained solution; depending on analysis results, the software also provides recommendations to change the solution.

The primary stage of optimal GCC EC structure development assesses the efficiency of process design used for simultaneous generation of heat, electric power and refrigeration based on energetic and exergetic balances and also accounts for energy regeneration, utilization of RER, combustible wastes and wastewater according to the pattern provided by one of IAS FER elements – a module used for calculation of power supply efficiency parameters and intended to be used as a broad estimate for CTS power supply decisions.

We have also developed a design algorithm for optimal EC elements in order to optimize structural characteristics of the equipment. Control system maintains calculated optimal operation modes for equipment and EC systems and also takes into account their relation to external systems in accordance with developed algorithms of ER consumption and generation control.

The developed method of synthesis of complex power engineering systems helped to solve two problems: formation of EC technological structure and development of its roster of equipment.

Interpretation of theoretical principles of synthesis for structural and parameter optimization of energy supply systems

Development of process design solutions can be illustrated by a generalized block diagram of ER generation and consumption (Fig. 5) which is based on principles of multi-functionality and integration of GCC EC with CTS processes, water supply and water disposal systems due to maximum use of RER and creation of internal energy supply source.

Fig. 5: 
          Scheme generation of ER in the EC with the plant of energy and water supply; I–XIX–technological and energy flows: I, II–gas fuel and gas to be recycled; III–industrial effluents; IV, V, VI–flue gases of high temperature; VII, VIII–flue gases to drying and dry flue gas; IX–water running in the system water conditioning; Х–heat carrier (steam); XI–water in the system for household consumption; XII–dry waste; XIII, XIV–technological flows; XV–steam condensate; XVI–demineralized water; XVII–gas transported; XVIII–air; XIX–electric energy; 1–8–a plant: 1–a recycling of combustible waste and industrial effluents; 2–a high-temperature technology users GCC; 3–of steam generation; 4–gas-turbine unit of EPS; 5–of technological consumer steam; 6–steam turbine unit of PPN; 7–of compression commercial gas (with gas turbine driven); 8–of preparation of water (water conditioning).
Fig. 5:

Scheme generation of ER in the EC with the plant of energy and water supply; I–XIX–technological and energy flows: I, II–gas fuel and gas to be recycled; III–industrial effluents; IV, V, VI–flue gases of high temperature; VII, VIII–flue gases to drying and dry flue gas; IX–water running in the system water conditioning; Х–heat carrier (steam); XI–water in the system for household consumption; XII–dry waste; XIII, XIV–technological flows; XV–steam condensate; XVI–demineralized water; XVII–gas transported; XVIII–air; XIX–electric energy; 1–8–a plant: 1–a recycling of combustible waste and industrial effluents; 2–a high-temperature technology users GCC; 3–of steam generation; 4–gas-turbine unit of EPS; 5–of technological consumer steam; 6–steam turbine unit of PPN; 7–of compression commercial gas (with gas turbine driven); 8–of preparation of water (water conditioning).

The diagram shows one of the examples of GCC engineering topology where gas and gas condensate are processed by CTS and commercial gas is then sent to the cross-country pipelines. Electric power generation is based on combination of gas and steam cycles of combined cycle gas turbine unite (CCGT) consisting of gas turbines 4 and steam turbines 3. Production block 2 can include evaporators for absorbents, gas drying and purifying units, boilers of high temperature rectification columns, technological flow heaters and other high temperature equipment. Auxiliary CTS units (f. e., equipment of hydrocarbon storage facilities) may use flue gases of flame waste neutralizers and gases produced by unit 1 for boilers of block 2 in order to heat up high temperature intermediate heat carrier used for reservoir heating during the winter. Depending on GCC engineering topology, product consumer 5 can also be combined from CTS and EC equipment such as column boilers, absorption and compression type refrigeration units whose actuator is located at steam units, heating and hot water supply system equipment and other heat energy consumers.

The developed technological concept of ER generation via EC can be used for structural and hardware implementation of EC and gain significant advantages over supply system that provide ER only from external systems.

Multifunctional systems of energy resources generation at gas chemical complexes

Multifunctional systems of ER and water generation (stages 3–5 of knowledge database creation) have been developed both for individual CTS units and GCC ECs.

We have developed energy supply systems for sorbent regeneration plants of gas preparation facilities which are combined with wastewater disposal, gas separation, production of heat energy and industrial water that maximal utilizes energetic and design potentials of gas drying and purification units [9], [10]. Using partial and complex efficiency parameters, we have validated implementation of proposed process design, engineering and parameter solutions within the range of modernization projects for GCCs in operation and construction projects for newly designed GCCs. Particularly, implementation of rational energy supply systems for designed gas drying and purification units with flame absorbent regenerators allows to decrease the consumption of fuel gas from enterprise network by 30–40%, decrease environmental pollution by industrial wastewater and decrease total operating costs by 14–37% depending on sorption process design.

We have developed and patented a new heat, electric power and water supply system consisting of complete equipment with components [11], [12]. If this system is installed into EC, it allows to provide the consumers with electrical and heat energy from internal sources operating in optimal modes during all periods of GCC operation cycle. The GCC can have any kind of engineering topology and dispose of its combustible wastes and wastewater by producing industrial water and steam. Application of this system to technological units leads to decrease in commercial gas consumption: for natural gas separation and drying units as well as units preparing natural gas for transportation this parameter decreases by 40–50% per 1000 m3 of raw gas; for gas and gas condensate processing facilities this parameter decrease by 36–54%. Annual systemic fuel conservation after the system is introduced to EC of processing type GCC may vary from 45 to 49 tons of fuel equivalent per MW of electric capacity.

We have developed new design and construction solutions for heat, electric power and refrigeration supply systems of industrial facilities with seasonal consumption of this type of ER. Such facilities are based on binary modules with energy block equipped by standard units while combustible wastes and wastewater are disposed in the form of water production using innovative equipment–flame neutralizer of industrial waste [13]. We have proposed the structure and equipment arrangement for a system of combined heat, electric power and refrigeration production for reservoir parks of liquid hydrocarbons of GCCs. Implementation of this system allows decreasing ER consumption from external systems by 25–30% and water consumption–by 16–19%. It also leads to decrease industrial atmospheric emission and the amount of wastewater and improves ecological safety of reservoir parks of liquid hydrocarbons.

We have developed a new energy supply system for black carbon production unit that is based on principles of maximal integration of engineering and energy processes in production cycle during the whole period of operation, self-sufficient energy supply and ecological safety with a high degree of raw material conversion. Implementation of this unit decreases operational costs by more than two times, decreases the costs of construction and operation for objects located far away from energy and water supply systems due step-by-step introduction of energy block elements.

All developed systems and EC units are maximally integrated to CTS, therefore, they do not require any changes or conservation and can be utilized for all periods of GCC operation starting from object construction and ending with its decommission.


Article note

A collection of invited papers based on presentations at the XX Mendeleev Congress on General and Applied Chemistry (Mendeleev XX), held in Ekaterinburg, Russia, September 25–30 2016.


  1. Funding: Ministry of Education and Science of the Russian Federation.

References

[1] D. A. Marca, C. L. McGowan. SADT: Structured Analysis and Design Techniques (McGraw Hill Software Engineering Series). Published by McGraw-Hill, Tx (1987).Suche in Google Scholar

[2] J. Beyer. Strukturuntershungen-notwendiger Bestandteil der Effektivtätanalyse von Wärmeverbrauchersystemen. – Energieanwendung. – 1970. – №2. – S. 358–61.Suche in Google Scholar

[3] N. Korovkin, M. Odintsov, N. Belyaev, O. Frolov, H. Masashi. Various approaches to problems of multicriterion optimization processes of electric power systems. IEEE Conference Publications, 2014, 12–14 May. pp. 418–21.Suche in Google Scholar

[4] R. Camp. Benchmarking: The Search for Industry Best Practices That Lead to Superior Performance. ASQC Quality Press, Milwaukee (1989).Suche in Google Scholar

[5] D. Mokeddem, A. Khellaf. J. Automat. Methods Manag. Chem. 2009, 9 (2009).10.1155/2009/927426Suche in Google Scholar PubMed PubMed Central

[6] T. Saaty, L. Thomas. Multicriteria Decision Making – The Analytic Hierarchy Process. RWS Publications, Pittsburg (1992), p. 387.Suche in Google Scholar

[7] A. Tonchev, C. Tonchev. Oil Gas J. 10, 56 (2005).Suche in Google Scholar

[8] E. A. Larin, I. V. Dolotovskii, N. V. Dolotovskaya. “A automated accounting system and planning at the enterprise”, RF Patent No. 63537, Prom. Sobstv., No. 15 (2007).Suche in Google Scholar

[9] I. V. Dolotovskii. Chem. Petrol. Eng. 50, 504 (2014).10.1007/s10556-014-9931-9Suche in Google Scholar

[10] A. V. Len’kova, I. V. Dolotovskii. Chem. Petrol. Eng. 49, 517 (2013).10.1007/s10556-013-9784-7Suche in Google Scholar

[11] I. V. Dolotovskii. “A power, heat, and water supply installation for hydrocarbon raw material production, transportation, and processing enterprises,” RF Patent No. 118360, Prom. Sobstv., No. 20 (2012).Suche in Google Scholar

[12] I. V. Dolotovskii “A electricity, heat, water and cold supply installation”, RF Patent No. 164323, Prom. Sobstv., No. 24 (2016).Suche in Google Scholar

[13] I. V. Dolotovskii, V. V. Dolotovskii “A firing neutralizer industrial wastewater with container of removal of mechanical impurities”, RF Patent No. 2523906, Prom. Sobstv., No. 21 (2013).Suche in Google Scholar

Published Online: 2017-07-20
Published in Print: 2017-09-26

©2017 IUPAC & De Gruyter. This work is licensed under a Creative Commons Attribution-NonCommercial-NoDerivatives 4.0 International License. For more information, please visit: http://creativecommons.org/licenses/by-nc-nd/4.0/

Artikel in diesem Heft

  1. Frontmatter
  2. In this issue
  3. Conference papers
  4. Studies on oxidative transformations of thiols, sulfides and alcohols in the presence of chlorine dioxide
  5. Oligosaccharide ligand tuning in design of third generation carbohydrate pneumococcal vaccines
  6. New trends in the cross-coupling and other catalytic reactions
  7. Bromate anion reduction: novel autocatalytic (EC″) mechanism of electrochemical processes. Its implication for redox flow batteries of high energy and power densities
  8. Integral estimation of xenobiotics’ toxicity with regard to their metabolism in human organism
  9. Interrupted amperometry: the new possibilities in electrochemical measurements
  10. Electrochemical DNA sensors based on spatially distributed redox mediators: challenges and promises
  11. Novel analytical approaches to determination of chemical warfare agents and related compounds for verification of nonproliferation of chemical weapons
  12. New amorphous nanophosphors obtained by evaporation of silicates and germanates REE
  13. Modern energetics: current problems in energy conversion and utilization of produced energy
  14. Electroflotation extraction of sparingly soluble compounds of non-ferrous and rare-earth metals from liquid technological waste
  15. The physicochemical bases of the pyrometallurgical processing of the titanomagnetite ores
  16. Prospective directions for development of metallurgy and materials science of steel
  17. Analysis and synthesis of optimal supply systems for gas-chemical complexes
  18. Development of new catalytic processes for processing petroleum feedstock
  19. Electronic nose based on nanoweights, expectation and reality
Heruntergeladen am 25.11.2025 von https://www.degruyterbrill.com/document/doi/10.1515/pac-2016-1114/html
Button zum nach oben scrollen