Studies on oxidative transformations of thiols, sulfides and alcohols in the presence of chlorine dioxide
-
Alexander V. Kutchin
, Svetlana A. Rubtsova, Olga M. Lezina
, Denis V. Sudarikov , Larisa L. Frolova , Irina V. Loginova , Alexey V. Popov and Olga N. Grebyonkina
Abstract
Our recent studies on the chemical reactivity of chlorine dioxide in the reactions with sulfur and oxygen containing compounds are reviewed. A special attention is given to chlorine dioxide interaction with alkyl, aryl, heteroaryl, monoterpenyl thiols, sulfides and disulfides. The data on the oxidation of monoterpene alcohols and phenols are also presented. The directions of reactions depending on the structure of the compounds were identified.
Introductions
The oxidative transformations under the action of organic and inorganic oxidants are one of the most common methods of the conversion of different classes of organic compounds. Oxidation processes play an important role in nature, chemical engineering and organic synthesis.
The simplest triatomic oxidants (chlorine dioxide, ozone, etc.) are of particular interest among a large number of oxidants and oxidation systems.
Chlorine dioxide (ClO2) is a commercial product and is used in the pulp and paper industry in bleaching cellulose fibers, as well as in water treatment and disinfection [1], [2].
It is highly soluble in water and organic solvents, which makes possible to use it in different media and change the way of adding reagents.
The structural features of the molecule of chlorine dioxide such as the presence of an unpaired electron and two reaction centers (chlorine and oxygen) determine its properties different from those of other oxidants.
Compared to the chlorine or hypochlorous acid the chlorine dioxide primarily acts as an oxidant rather than as a chlorinating agent.
The physical and chemical properties of chlorine dioxide, methods of synthesis, industrial applications have been described and also the results of studies of chlorine dioxide interaction with aromatic compounds, olefins, phenols, amines, aliphatic alcohols and some carbonyl compounds in aqueous media have been summarized in monographs [3], [4].
The kinetic studies and mechanism of the reaction of chlorine dioxide with some classes of organic compounds have benn discussed in the reviews [5], [6].
In this review, we summarize the results of the investigations of chlorine dioxide reaction with sulfur- and oxygen-containing organic compounds obtained in the Institute of Chemistry of the Komi Science Centre of Ural Branch of the Russian Academy of Sciences.
Reactions with organosulfur compounds
The products of oxidation of organosulfur compounds are widely used in chemical industry and medicine. Dialkyl and diaryl thiosulfinates and thiosulfonates have shown bactericidal and fungicidal activities. Sulfonyl chlorides are used in the production of detergents, ion exchange resins, elastomers, pharmaceuticals, dyestuffs, herbicides. Like a sulfonic acid the sulfonyl chlorides are important intermediates in organic synthesis and are used in the synthesis of sulfonic acid esters and as soft alkylation agents in organic synthesis. Sulfonic acids are used to obtain azo dyes, medicinal substances (sulfonamides), ion exchange resins, electroplating additives, catalysts and others. Sulfoxides and sulfones are used as metal extractants and complexing agents, flotation agents, pharmaceuticals and are involved in fine organic synthesis. Most of the drugs belong to the class of heterocyclic compounds. Their biological activity primarily depends on the nature of the substituents, which makes the chemical modification of heteroarylthioles a promising direction in the search for new biologically active substances [7], [8].
Reactions with thiols and disulfides
The studies of ClO2 reaction with organic thiols and disulfides have shown that the substrate structure has a major effect on the product composition, and the reaction conditions such as the molar ratio of the reactants, the nature of the solvent and the method of mixing the reactants affect the yield of the products. Two main methods of mixing reagents were used:
method a–the chlorine dioxide (gas or solution) is added in doses to an organic solution of organosulfur compounds;
method b–solution of organosulfur compounds is added in doses to an organic or aqueous solution of chlorine dioxide.
It was revealed that the main products of reactions between ClO2 and thiols are disulfides, thiosulfonate, sulfonyl chlorides, and sulfonic acid, less commonly are trisulfides, sulfinyl chlorides, ketones, esters [9], [10], [11], [12], [13], [14], [15], [16], [17].
The synthesis of sulfonyl chlorides by oxidation of thiols and disulfides with chlorine dioxide is a new reaction, which was first described in our papers [10], [12]. Sulfonyl chlorides in industry and laboratory are prepared by interaction of aliphatic hydrocarbons with sulfuryl halides or mixture of chlorine and sulfur dioxide, by oxidative chlorination of thiols, sulfides, disulfides; by oxidation of sulfinyl chlorides; by reacting of the sulfonic acid and their derivatives with PCl5, COCl2, thionyl chloride, chlorine, chlorosulfonic acid. Sulfonyl halides are also formed by the reaction of organomagnesium compounds with sulfuryl halide or diazonium salt with sulfur dioxide and CuCl2 [18]. However, all these methods have certain disadvantages associated with the harsh reaction conditions and side reactions. We have developed a method of synthesis of sulfonyl chlorides, which is convenient and easy to use and gives a high yield (up to 88%), does not require additional reaction conditions, such as heating, cooling, pressure variation.
Reactions alkyl, aryl thiol and disulfides
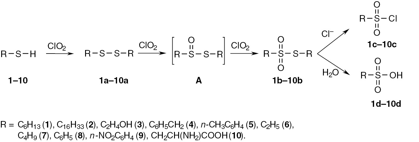
In the first step of the oxidation of alkyl and aryl thiol by ClO2 the corresponding disulfides 1a–10a in 86–98% yield are produced [7] (Scheme 1).

Reactions of chlorine dioxide with alkyl- and aryl thiol and disulfides.
Increasing the molar ratio of the thiol-oxidant leads to the formation of thiosulfonates 1b–10b [12], followed by sulfonyl chlorides 1c–9c [10], [12].
For example, in the oxidation of hexanethiol 1 in dichloromethane in a molar ratio of thiol-oxidant of 1:0.5 the main product is dihexyl disulfide 1a (98%); and oxidation in a molar ratio of thiol-oxidant of 1:2 results in a mixture of disulfide 1a thiolsulfonate 1b and sulfunylchloride 1c in 24%, 65% and 11% yields, respectively. In the presence of water in reaction mixture the products of complete oxidation of thiols are sulfonic acids 1d–9d with 64–95% yields [16]. Good water solubility of cysteine 10 and ClO2 allows to complete the reaction in an aqueous medium for 0.5 h in the ratio of thiol-oxidant of 1:3 producing the appropriate sulfonic acid 10d in a quantitative yield.
The reaction temperature affects the reaction rate and selectivity. For example, oxidation of diethyl disulfide 6a at room temperature in chloroform with an equimolar amount of chlorine dioxide for 1 h leads to the formation of diethyl thiosulfonate 6b with the selectivity of 75% and complete conversion. Oxidation disulfide 6a at 0°C leads to an increase the reaction time by eight times, but the selectivity reaches 90%.
Oxidation of disulfide 6a at 0°C increases the reaction time by eight times, but the selectivity reaches 90%.
For obtaining thiosulfates, the method of mixing reagents is preferable when the chlorine dioxide is added in doses to an organic solution of thiol or disulfide (method a, oxidation in the case of oxidant shortage).
For example, in the oxidation of dihexyl disulfide 1a in dichloromethane for 1 h in a molar ratio of substrate-oxidant ratio of 1:2 the yield of dihexyl thiosulfonate 1b is 73%.
In the case when the solution of dihexyl disulfide 1a is added in doses to the solution of chlorine dioxide (method b, oxidation with the oxidant present in excess), the yield of thiolsulfonate 1b is 18% and the main product is sulfonyl chloride 1c.
The influence of the solvent nature on the conversion of substrates and yields of the corresponding thiosulfonates and sulfonyl chlorides was found. Thus, in the oxidation of dibenzyl 4a and dibutyl 7a disulfides in hexane (ε=1.88) and dichloromethane (ε=8.93) in the ratio of oxidant-disulfide of 1:1 for 1 h the conversion of disulfides increases [from 45% (in hexane) to 86% (in dichloromethane) for 4a and from 29 to 78% for 7a, respectively]. The yields of the corresponding thiosulfonates increase from 20 to 61% (for 4b) and from 25 to 59% (for 7b), respectively.
Identified regularities are consistent with data obtained by colleagues in previous studies [19], [20], where the kinetics of chlorine dioxide reactions with thiols has been studied by spectrophotometric method considering the rate of consumption of chlorine dioxide at λ=354–362 nm in various solvents.
It has been found that kinetics obeys the equation of the first order in all solvents with excess of substrate by 10 times in a wide range of temperatures with the high correlation coefficient (r>0.98) of ClO2 consumption.
It has been shown that with increasing of solvent polarity (from heptane to acetonitrile) the constant rate of reaction between propanethiol and chlorine dioxide increases by more than four orders indicating the formation of the transient polar complex which is stabilized by solvation with a solvent. In the papers [19], [21] a mechanism of the oxidation to the stage of formation of thiosulfinates has been proposed.
It should be noted that according to our data [9], [10], [11], [12] the thiosulfinates A (Scheme 2) are produced in minor amounts, their content in the mixture estimated by NMR is not more than 5–7%, which is probably due to the high activity of chlorine dioxide, which has two oxygen atoms in the molecule. This scheme can be extended to the stage of formation of thiosulfonates and sulfonyl chlorides (Scheme 3).
Oxidation of diaryl disulfides is difficult due to reduced electron density of the sulfur atom, especially in the presence of electron withdrawing substituents in benzene ring. Thus, the conversion of 4,4-dinitrodiphenyl disulfide 9a by oxidation with a fourfold excess of chlorine dioxide in dichloromethane for 1 day does not exceed 30%, and under the same conditions the conversion of 4,4′-dimethyldiphenyl disulfide 5a is complete.
Within the framework of the Taft equation the dependence of the reactivity of thiols and sulfides on their structure was studied [21].
It was found that the introduction of electron withdrawing substituents into the molecule of sulfide reduces reaction rate constant under substrate-excess conditions, but in the case of thiols the rate constant is increased. This is probably due to the fact that the key step of the reaction of the thiol with chlorine dioxide is the acid dissociation forming the thiolate anion RSˉ, which is further oxidized to thiyl radical RS.

Formation of thiosulfinates.

Formation of thiosulfonates and sulfonyl chlorides.
The oxidation of diaryl disulfides with ClO2 occurres not only slower than of dialkyl disulfides but less selectively so that the reaction of diphenyl disulfide 8a with chlorine dioxide is used as a model for the catalytic oxidation. The vanadyl acetyl acetonate VO(acac)2 in an amount of 10 mol.% is used as oxidation catalyst, which had previously [22] performed well in the oxidation of sulfoxides to sulfones. Reactions are carried out in solvents of different polarity: hexane, dichloromethane and acetonitrile. The main products of the oxidation of disulfide 8a in acetonitrile without catalyst are tiolsulfonate 8b, sulfonylchloride 8c, acid 8d and others, the main products of the oxidation of dichloromethane, along with products 8b–d, are the methyl esters of benzenesulfonic and benzenesulfinic acids (products of the reaction of substrate with a solvent) with a total content in mixture up to 25%. Disulfide 8a does not react with dioxide chlorine in the hexane.
Conversion of disulfide 8a in acetonitrile under catalysis in a molar ratio of substrate-oxidant of 1:3 increases from 85% to 100%, and the yield of diphenyl thiolsulfonate 8b is 85%, while the non-catalytic oxidation provides a 15% yield. In the presence of VO(acac)2 the yield of sulfonylchloride 8c increases from 12% to 96% in the ratio of substrate to oxidant of 1:4 [13], [17].
The reactions with heterocyclic thiols-thione
The characteristic feature of this class of compounds is their ability to thiol-thione tautomerism, which leads to a variety of properties and their difference from the alkyl and aryl thiols. The state of the tautomeric equilibrium depends on the solvent and affects the oxidation results. The main products of the complete oxidation depending on the structure of the substrate and the reaction conditions are the sulfonic acids or ketones; the thiosulfonates and sulfonyl chlorides are not formed [13], [14], [16].
The nitrogen-containing thiols-thiones are taken as the substrates: 1-methyl-1H-imidazol-2-thiol (11), 5-nitropyridine-2-thiol (12), 3-methyl- (13), 3-allyl (14) and 3-phenyl-2-sulfanylquinazolin-4(3H)-ones (15).
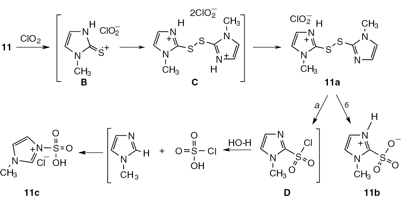
Depending on the conditions, the main products of oxidation of thiol 11 with chlorine dioxide are 2,2-disulfanediylbis(1-methylimidazole) hydrochlorite (11a), 1-methylimidazole-2-sulfonic acid (11b), and 1-methyl-3- sulfo-3H-imidazolium chloride (11c) (Scheme 4) [12].

Reaction of chlorine dioxide with 1-methyl-2-sulfanilimidazole 11.
In the first step the cation radical B and chlorite anion are generated, and combination of radical cations B gives disulfide C which is successively deprotonated by ClO2¯ as a base. The stability of disulfide mono- and dications depends on the thiol structure, solvent nature and temperature [23] and in this case the reaction stops at the formation of disulfide 11a. The best yields of 11a (65–78%) were obtained in the oxidation of 11 with ClO2 in benzene and methylene chloride at the substrate-to-oxidant molar ratio being 1:2.
The yields of sulfonic acids 11b, 11c depend on the method of mixing the reactants and a solvent. The use of the method b in the oxidation in water with a threefold excess of chlorine dioxide allows to obtain acid 11b in 96% yield, while the method a provides the yield under 42%, and in these conditions the major product is acid 11c in 58% yield. By oxidation of thione 11 in acetonitrile according to the method b the yields of 11b and 11c are 69% and 24%, respectively, whereas their yields via the method a are 28 and 63%, respectively.
The reactions by the methods a and b probably proceed via various intermediates and lead to different products. Presumably, cleavage of the C−S bond occurs in intermediate sulfonyl chloride D which is typically formed in the oxidation of alkyl- and aryl thiols with chlorine dioxide. If the excess oxidant is initially present in the reaction mixture (method b), sulfonic acid 11c is likely to be formed without intermediacy of sulfonyl chloride D. If the amount of chlorine dioxide is initially insufficient (method a), the role of an oxidant is played by the reduction products of ClO2, i.e. chlorite or hypochlorite ions or radicals, which are reduced to chloride ions or chlorine radicals [21], [24], and the latter are involved in the formation of intermediate D.
According to the data of X-ray analysis the molecule of 11b exists in zwitterionic form [14]. The crystal packing of 11b is represented by dimers linked through strong intermolecular hydrogen bonds.
1,2-Bis(5-nitro-pyridin-2-yl)-disulfide 12a and 5-nitro-pyridin-2-sulfonic acid 12b in the ratio of 2:1 respectively were obtained by the oxidation of the thiol 12 (Scheme 5) with a twofold excess of the oxidant in tetrahydrofuran or water according to the method a [16]. The use of VO(acac)2 increases the yield of 12a to 96%. The yield of the acid 12b increases up to 57% with a fourfold excess of the oxidant and 2-chloro-5-nitropyridine 12c in 13% yield is formed. Ammonia addition under the same conditions leads to quantitative formation of the ammonium sulfonate salt 12b (94% by 1H NMR) but in dichloromethane the reaction is directed towards the formation of 12c (50%). Perhaps the compound 12c is produced under an intramolecular nucleophilic substitution reaction SNAE (addition-elimination) in sulfonyl chloride E.

Reaction of chlorine dioxide with 5-nitropyridine-2-thiol 12.
Products of complete oxidation of quinazolinone thiols with various substituents at N3 position of compounds 13–15 by chlorine dioxide are ketones 13c–15c (Schemes 6 and 7) [16]. Benzene, acetic acid, acetonitrile, methanol, dichloromethane and pyridine are used as the solvents.

Reaction of chlorine dioxide with 3-methyl- (13) and 3-phenyl- (15) 2-sulfanilhinazolin-4(3H)-ones.

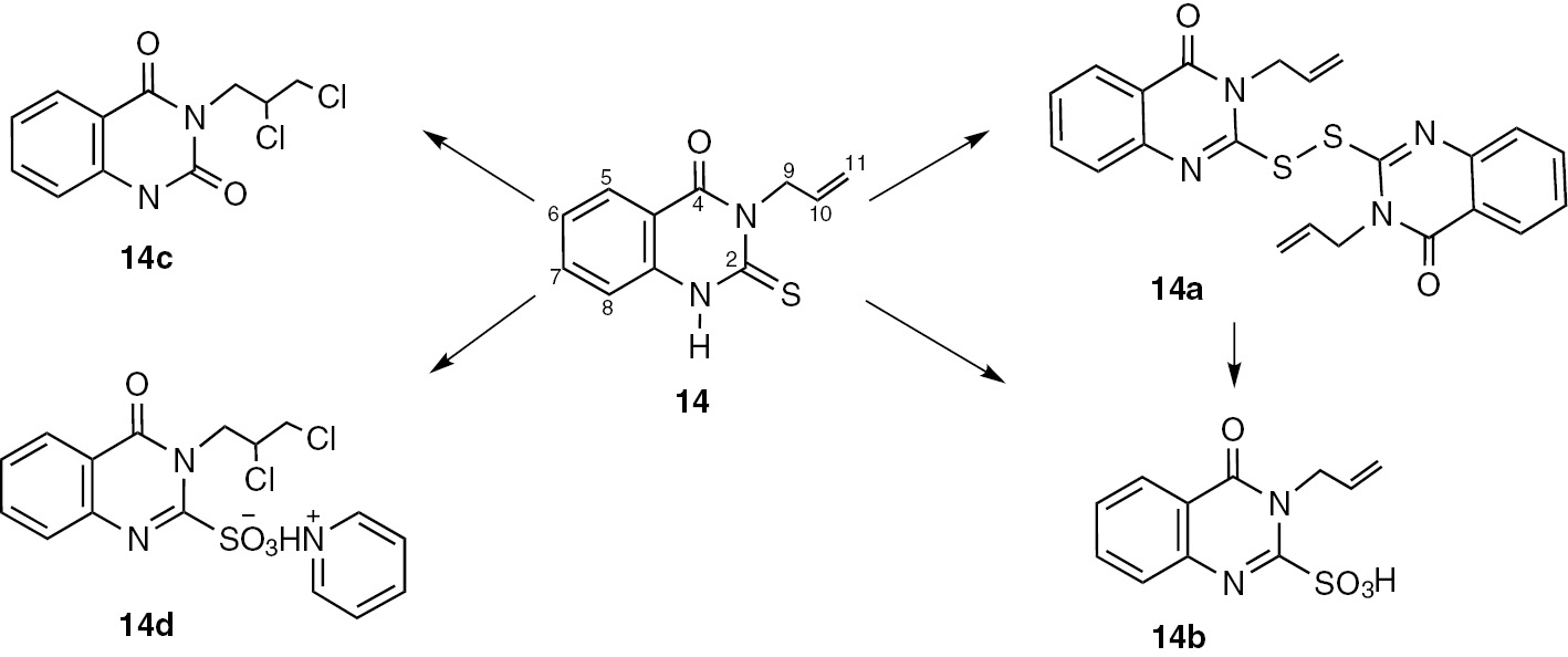
Reaction products of 3-allyl-2-sulfanylquinazolin-4(3H)-one 14 with chlorine dioxide.
The reaction of thiol 13 has been studied in more detail [13], [16]. As a result of its oxidation by chlorine dioxide in various conditions 2,2′-disulfanediyl-bis(3-methylquinozalin-4(3H)-one) (13a) 3,4-dihydro-3-methyl-4-oxo-quinozalin-2-sulfonic acid (13b), 3-methylquinozalin-2,4(1H,3H)-dione (13c), 3-methyl-6-chloroquinozalin-2,4(1H,3H)-dione (13d) were obtained (Scheme 6).
At the first stage of thiol 13 oxidation with an equimolar amount of chlorine dioxide in methanol for half an hour the disulfide 13a is formed in 42% yield. The maximum quantity of acid 13b (45% by 1H NMR) is observed in the oxidation with a threefold excess of ClO2 in low-polar benzene (ε=2.28). This is probably due to the low polarity of the solvent and the presence of π-electron system performing the role of weak hydrogen bond acceptors. In the more polar pyridine (ε=13.23) a relatively high content of acid 13b (34%) is caused by stabilization of hydrogen bonds between the hydroxyl group of acid and pyridine. In contrast, in proton solvents (methanol and acetic acid) an unstabilized by specific interactions sulfonic group has the highest reactivity and is easily cleaved from molecule. As a result, dione 13c is produced. It was confirmed by 1H NMR on the ratio of products in the reaction mixture versus time. Probably the reaction proceeds under an intramolecular nucleophilic substitution mechanism (Scheme 6).
In the aprotic dichloromethane and benzene the main product of reaction of thiol 13 with a threefold excess of chlorine dioxide is the lactim form of the compound 13c (the compound F). Its amount in a mixture of tautomers according to the 1H NMR spectrum (solvent: DMSO-d6) varies between 65–82%. Possibly, the compound F is stabilized via formation of intermolecular associates (N...H–O) due to the lack of solvation. The proton-donor solvents (acetic acid, methanol, water) promote tautomeric conversion to the lactam form.
The influence of the solvent nature on the conversion of thiol 13 in reactions with chlorine dioxide and yields of oxidation products have been studied. It is shown that in oxidation of thiol 13 with chlorine dioxide in the ratio of 1:1 the conversion of the thiol 13 increases with increasing of polarity among aprotic solvents (benzene<dichloromethane<pyridine<acetonitrile) from 13% [in benzene (ε=2.28)] to 52% [in acetonitrile (ε=38.0)]. This relationship indicates that the transition state is more polar than the starting reagents.
It is revealed that the presence of water even in catalytic amounts causes chlorination of the benzene ring of dione 13c to the position C6 forming the dione 13d (Scheme 6). Thus, under oxidation of thiol 13 by ClO2 in a molar ratio of 1:2 in aqueous pyridine for 0.25 h (method b) the amount of dione 13d in the reaction mixture is 35–50%, while in the reaction in anhydrous pyridine the dione 13d is not present in the reaction mixture. This is apparently due to the formation of hypochlorous acid according to the equations:
At the substitution of H atom in the benzene ring by Cl atom a new molecule of water is formed which can participate again in a similar process. The position of Cl atom in dion 13d is consistent with the rules of orientation of electrophilic substitution. Groups C=O (meta orientant) and NH (ortho and para orientant) consistently direct the electrophile to atoms C6 and C8, but probably atom C6 is more spatially available.
In the reactions of thiol 14 the chlorination of double bond of the allyl substituents takes place (Scheme 7). Dione 14c is formed as the main product in the oxidation with a twofold excess of the oxidant in acetic acid and methanol for 2 h, but in this case, the conversion of thiol 14 does not exceed 50%. A mixture of dione 14b and acid 14c in the ratio of 1:2, respectively is formed in aqueous pyridine, and in this case the reaction time is reduced by 4 times with complete conversion of thiol 14.
In the NMR spectra of dione 14c the signals of atoms C10 (43.60 ppm), H10 (4.35 ppm) and C11 (51.21 ppm), H11 (4.46 ppm) are observed in the strong field relative to similar signals of thiol 14 (132.27, 5.92 ppm and 117.58, 5.19 ppm, respectively). The double bond disappears and chlorination occurs to its both sides. IR spectrum of dione 14c has an additional band C=O (1708 cm−1) (Supplementary data).
In dry pyridine alongside with the compounds 14b and 14c the pyridinium salt 14d is formed (13%). The starting compound is destroyed by oxidation with an equimolar amount of chlorine dioxide in THF, disulfide 14a is isolated in amount of 10%.
Similarly, in the reaction of thiol 14 with chlorine dioxide the conversion of thiol 15 does not exceed of 50% in aqueous methanol or acetic acid with a twofold excess of the oxidant, while in aqueous pyridine the conversion is complete and dione 15c is selectively formed.
Thus, the effect of substituents at N3 position and of the solvent on the oxidation of thiols 13–15 has been detected. The presence of electron-donating methyl group promotes the oxidation of S atom. Therefore, when carrying out the reaction in acetic acid in a molar ratio of oxidant-thione of 1:2 for 1.5–2 h, the conversion of thiol 13 reaches 100%, although for thiols 14, 15 it does not exceed 50%.
Proton-donor solvents (acetic acid, methanol) reduce the rate of oxidation unlike the basic pyridine. Dry pyridine prevents the formation of chlorinated products.
Reactions with terpene thiols
An important direction in the modern organic synthesis is the search for new physiologically active substances, in particular, by chemical modification of natural compounds. Monoterpenoids are considered as one of the most interesting and promising classes of natural compounds from the point of view of their synthetic properties. They possess bactericidal, analgesic and expectorant activities, are used as antiseptics, fungicides, anti-viral agents. Introduction of sulfonyl group into the terpene molecule can increase solubility in water, reduce toxicity of the compound while maintaining its biological activity, and expand its spectrum [25]. A high antioxidant activity of terpene thiols and disulfides was shown in the paper [26].
However, functionalization of terpene compounds by the introduction of the sulfonyl group into the molecule using common methods is complicated due to the high lability of terpene fragment.
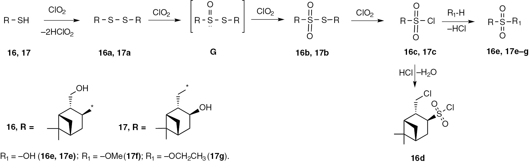
We [15], [17] propose the synthesis of S–, O–, N–, Cl– containing terpenoids via obtaining of appropriate thiols and their further oxidation by ClO2.
The pinane and isobornane thiols were synthesized as the starting substrates: 3-sulfanylmyrtanol 16 [27], 10-sulfanylisopinocampheol 17 [28], isobornanethiol 18 [29] and 10-sulfanylisoborneol 19 [30]. It was found that the reactivity of the examined thiols decreases in the series 17>16>19>18. The conversions of 18, 19, 16 and 17 were 26, 50, 78 and 100%, respectively, in the oxidation with 0.5 equiv of ClO2 in hexane–water (reaction time 0.5 h). This is probably due to the steric availability of sulfur atom to the oxidant molecules.
Corresponding disulfides 16a–19a are traditionally the main products in the first step of oxidation of thiols by ClO2 (Schemes 8 and 10). The maximum yields of disulfides 16a, 17a and 19a are obtained by the oxidation in hexane or chloroform by equimolar amount of ClO2 and are equal 79–92%. Disulfide 18a in 78% yield is obtained by the oxidation of thiol 18 only in more polar dichloromethane with a two fold excess of ClO2.

Reactions of ClO2 with pinane hydroxythiol 16, 17.
Pinane disulfides 16a and 17a are commonly oxidized with ClO2 to the corresponding thiosulfinates G; however, their concentration in the reaction mixtures in different solvents in different reactant ratios does not exceed 5%. Thiosulfinates G are rapidly oxidized to thiosulfonates 16b and 17b which are more stable in the reaction medium.
The maximum yields of 16b and 17b are 46 and 58%, respectively, when the oxidation is performed in methylene chloride with an equimolar amount of the oxidant. Raising the molar ratio of thiol–ClO2 to 1:2 or 1:3 in hexane–water or methylene chloride leads to the formation of sulfonyl chlorides 16c, 17c (up to 70%, according to the NMR data). Increase of the reaction time to 2 h in the oxidation of 16 favors the accumulation of sulfonyl chloride 16d.
In the reactions of thiol 18 with ClO2 a new direction with the formation of trisulfide 18b (78% yield) has been detected, which is not typical for the oxidation reactions of alkyl and aryl thiols (Schemes 9 and 10) [15]. Probably, thrisulfide is formed according to the Scheme 9. It is known [31] that the formation of a radical cation is the first step of ClO2 oxidation of disulfides. Further fragmentation of the radical cation gives a sulfenium cation RS+ and the RS• radical. The sulfenium cation reacts with another disulfide molecule to form an intermediate trisulfide cation H. Through the action of nucleophile, e.g. ClO2−, the R–S bond of intermediate H breaks to provide trisulfide 18b and an unstable compound of the chlorite type ROClO. The RS• radicals dimerize to give a new disulfide molecule.

Proposed scheme of formation of diisobornyl trisulfide 18b.

Reaction of chlorine dioxide with isobornane thiols 18, 19.
Mass spectrum of trisulfide 18b reveals the molecular ion peak with m/z 370. There are no peaks in the IR spectrum characteristic for the S=O and SO2 groups. Retention of the isobornyl skeleton is shown by the 2D NMR techniques (HSQC, COSY, NOESY and HMBC) (Supplementary data). Elemental analysis data confirm the trisulfide composition.
The formation of thiosulfinates, thiosulfonates and sulfonyl chlorides in reactions of thiol 18 with ClO2 is not observed. Deep oxidation leads to the formation of a probably sterically less hindered stereoisomer of sulfinyl chloride 18c (de 47%). Reaction of sulfinyl chloride 18c with diethylamine leads to the mixture of diastereomeric sulfinamides 18d (de 10%). Reducing of the diastereomeric purity of the product 18d suggests that the amidation of 18c follows mainly the SN1-mechanism. The low values of de (10–18%) are also obtained for substance 18e–g.
In the reactions of thiols 17, 18 with ClO2 in alcohol medium the alcoholysis of sulfinyl and sulfonyl chloride occurs to form the corresponding sulfonic 17f, 17g, 18h, 18i and sulfinic 18f, 18g esters (Scheme 8 and 10). The sulfinic esters 18f, 18g are oxidized to sulfonic esters 18h, 18i in high yields (78–85%). The esters 18h, 18i are adducts С10Н17SO2OR·ROH, in which molecules are probably linked by a strong hydrogen bond.
Dichloro-substituted derivative 18k with content up to 45% (1H NMR data) is the predominant by-product of the ClO2 oxidation of disulfide 18 in organic solvents. Addition of pyridine to the reaction mixture leads to a noticeable decrease in the content of the by-product 18k in the reaction mixture and to an increase in the target product yields, since pyridine binds free H+ and Cl−. Thus, the yields of esters 18h, 18i in the reactions in the presence of pyridine increase from 50 to 85% (1H NMR data) [15].
The oxidation of thiol 19 with two equiv of chlorine dioxide in methylene chloride gives sultine 19b as a single diastereoisomer (de 100%) whose configuration was previously identified as SS [17] (Scheme 10). The sultine 19b is formed up to 70% for 0.25 h. No analogous ring closure is observed in the reactions with pinane derivatives 16 and 17. Presumably, the intramolecular ring closure is favored by exo orientation of the hydroxy group in 19. The sulfanyl and hydroxy groups in 16 and 17 reside at different sides of the ring in the endo and exo positions, respectively.
Apart from sultine 19b, up to 28% of sultone 19c is formed. Prolonged reaction (1 h) leads to the formation of camphenesulfonyl chloride 19d (up to 55% in the reaction mixture). The rearrangement is promoted by accumulation of protons in the reaction mixture. The corresponding sulfonamide 19e is quantitatively obtained under reaction of 19d with ammonia.
Thiols 16–19 react with two equiv of ClO2 in aqueous pyridine to give sulfonic acids 16e, 17e (Scheme 8), 18h and the mixtures 19g and 19f (Scheme 10).
In summary, the direction of reaction depends on the class of compounds and conditions. It was shown that for the alkyl, aryl and terpenyl thiols the increase of the molar ratio of thiol-oxidant leads to a growing of oxidation state of sulfur: disulfides - thiosulfonates - sulfonyl chlorides - sulfonic acid. Substitution of sulfur atom by hydrogen, oxygen, chlorine is characteristic for the heterocyclic thiols. The formation of sulfonyl chlorides and isobornane trisulfide by chlorine dioxide oxidation of thiols was first described.
Terpenoids functionalized with sulfur-, oxygen-, nitrogen-, and chlorine-containing groups have been synthesized by oxidation of hydroxy thiols of the pinane and isobornane series with chlorine dioxide. Unlike pinane derivatives, the oxidation of isobornane hydroxy thiols is characterized by high selectivity with respect to sulfinyl derivatives. Steric structure of the isobornane fragment determines oxidant coordination predominantly at one side of the molecule. Isobornane hydroxy thiol undergoes cyclization to give the corresponding sultine as a single diastereoisomer. The formation of thiosulfonates indicates stability of the S–S bond in the pinane derivatives, while no analogous products with isobornane fragment are formed.
A shortage of chlorine dioxide in the reaction mixture leads to chlorinated products, regardless of classes of compounds. The presence of pyridine prevents the chlorination.
Reactions with sulfides
Recently there are a lot of studies in organosulfur chemistry devoted to sulfoxides showing great promise as not only extractants, ligands to metals, flotation agents, and drugs but also reagents for fine organic synthesis.
Despite a variety of oxidants for sulfides, only some of them can ensure selective sulfoxide formation, without further oxidation. Since new methods for chemo-, stereo-, and enantioselective oxidation of sulfides are required, a search for new oxidative systems [32], [33], [34], [35] is still a challenge. The data on oxidation of alkyl-, phenyl-, benzyl-, oxo- and terpenyl-substituted and nitrogen-containing heterocyclic sulfides with chlorine dioxide are given in the review [36]. The oxidation is highly chemoselective and moderately stereo- and enantioselective.
Reactions with alkyl-, arylsulfides
In papers [35], [37], [38], [39], [40], [41], [42] regularities of oxidation of sulfides to sulfoxides (molar ratio of substrate-oxidant, temperature, solvent, reagent mixing methods) were studied. Using the example of symmetrical and asymmetrical dialkyl-, alkylaryl-, diaryl-, dibenzylsulfides 20–33 it was found that the chemoselectivity of oxidation of sulfides to sulfoxides is achieved when the molar ratio of sulfide: ClO2 equals 1:0.5 at room temperature. The sulfoxides 20а–33а in 95–100% yield were produced (Scheme 11).

Reaction of chlorine dioxide with monofunctional sulfides.
The reaction is not selective by the sulfide oxidation with excess of chlorine dioxide: the main reaction products are sulfoxides, sulfones, their yields do not exceed 30%. By-products of the reaction are chlorinated sulfoxides, disulfides and esters which must be formed by homolytic rupture of the connection C–S. The reactions of sulfides with chlorine dioxide proceed quickly and selectively but sulfoxides are oxidized slowly with a small conversion and a large number of by-products. Therefore, the oxidation reaction of sulfoxides to sulfones can be a good model for the catalytic oxidation. Since the oxidation of sulfoxides by ClO2 in the absence of catalysts is not selective and leads to the formation of chlorinated products, we used the catalysts Cr(acac)3, MoO2(асас)2, Mo(CO)6, VO(acac)2. When using MoO2(асас)2, Mo(CO)6, Cr(acac)3 in CH2Cl2, CHCl3, CH3COOH significant catalytic effect is not detected. The high selectivity of the oxidation of sulfoxides 34а–41а by chlorine dioxide is found in the presence of VO(acac)2 (the yield of sulfones 34b–41b comes up to 96%) (Scheme 12). Sulfoxides oxidation scheme in the presence of VO(acac)2 is proposed. Using NMR and EPR spectroscopy methods it was shown that the reaction proceeds via the oxo transfer mechanism [22], [43].

Reaction of chlorine dioxide with sulfoxides.
In the article [44] the kinetics and mechanism of the reaction between chlorine dioxide and dimethyl sulfoxide 34a were studied in the tetrachloromethane solution. Data on the time-dependent changes of ClO2 concentration were obtained using ESR method by measurements of integral intensities of ESR signals. It was shown that the thermal decomposition of chlorine dioxide and the reaction with DMSO take place simultaneously with comparable rates. At low concentrations ClO2 decomposes by the monomolecular mechanism, but the bimolecular decomposition becomes predominant as the concentration is increased. The rate constants of the thermal decomposition of ClO2 (1.4·10−5 c−1, 28°C) and the interaction with DMSO were determined at low concentrations of ClO2 (0.6·10−5 c−1, 28°C). Probable mechanism of interaction between ClO2 and DMSO was proposed.
Reaction with ketosulfides and heteroaryl sulfides
Chemoselective oxidation of α, β- and γ-ketosulfides 42–49 is carried out under mild conditions (molar ratio sulfide : ClO2, 1:0.5, room temperature) with a good yield of sulfoxides 42а–49а (85–95%), whereas using tert-butyl hydroperoxide (TBHP) the reaction should be conducted at a temperature of 0°C and ketosulfides to oxidant molar ratio of 1:1 for similar results (Scheme 13) [45].

Reaction of chlorine dioxide with ketosulfides 42–49.
The high chemoselectivity is achieved by oxidation of polyfunctional and nitrogen-containing heterocyclic sulfides containing triazole, tetrazole, imidazole and benzimidazole groups (Scheme 14) [46], [47]. Oxidation was carried out using different oxidant supply methods: aqueous ClO2, ClO2 solution in an organic solvent, by sparging of gaseous ClO2 through reaction mixture. It was found that the process of oxidant supply almost did not affect the yield of reaction products, as well as in the reaction of dialkyl and diaryl sulfides [41] with chlorine dioxide. Oxidation of sulfides 50–59 by ClO2 at 20°C and the molar ratio of the sulfide-oxidant of 1:1 leads to the formation of sulfoxides 50a–59a without sulfones impurities.

Reactions of chlorine dioxide with aryl and heteroaryl sulfides 50–59.
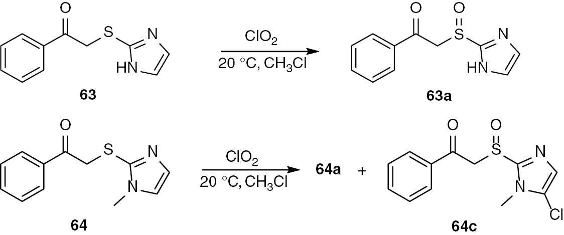
It should be noted that the unsubstituted imidazole and benzimidazole containing sulfides 60–63 are chemoselectively oxidized by chlorine dioxide to the corresponding sulfoxide with yields of up to 89%, without formation of chlorinated products (Scheme 15).

Reactions of chlorine dioxide with imidazole and benzimidazole sulfides 60–62.
The oxidation of N-substituted imidazole sulfide 64 by ClO2 leads to the formation of sulfoxide with yield less than 8% and the major reaction product is a chlorine-containing compound 2-(5-chloro-1-methyl-1H-imidazol-2-ylsulfanyl)-1-phenylethanone (64c) (Scheme 16) [48].

Reactions of chlorine dioxide with imidazole sulfides 63–64.
Chlorine dioxide in the asymmetric oxidation reactions
Due to the fact that chlorine dioxide has not been previously used in the asymmetric oxidation reactions, it was the subject of concern. We used two approaches to produce chiral sulfoxides: asymmetric oxidation of corresponding prochiral sulfide to enantiomerically enriched sulfoxides and asymmetric synthesis in which the sulfinyl group is introduced into the existing optically active compound (an asymmetric oxidation of optically active substrates).
Catalyst systems based on complexes of transition metals (vanadium, titanium) with a chiral organic ligands are of great interest for asymmetric sulfoxidation. The use of chlorine dioxide in the modified Sharpless system (Ti(OPri)4-(+)-diethyl tartrate) in the oxidation of phenyl phenacyl sulfide 44 leads to an increased yield of the sulfoxide (from 62% to 80%) but decreases the enantioselectivity up to 7% as compared with TBHP (52% ee) or cumene hydroperoxide (69% ee). It should be noted that the formation of the opposite enantiomer of ketosulfoxide 44a occurs.
Reduction of enantioselectivity was also observed when H2O2 was replaced by ClO2 in Bolm catalyst systems with complexes VO(acac)2 with chiral Schiff bases (I–III) (Scheme 17) [49], [50], [51]. Thus, in the oxidation of 44 by Bolm system with H2O2 and ligand I sulfoxide 44a is formed with 59% ee, while using ClO2 in chloroform gives only −27% ee.

Asymmetric oxidation of ketosulfide 44 by chlorine dioxide using Bolm system.
The opposite result is obtained when chlorine dioxide is employed in catalytic systems based on VO (acac)2 and Ti (Oi–Pr)4 complexes with chiral ligands IV and V [52]. Combination of these ligands with VO (acac)2 and ClO2 allows a noticeable increase in the enantioselectivity compared to that achieved in the oxidation with H2O2: from 8 to 15% ee (ligand IV) and from 3 to 32% ee (with ligand V).
As with sulfide 44, asymmetric oxidation of 2-benzylthio-1H-benzimidazole 65 with ClO2 in the presence of titanium(IV) and vanadium(IV) complexes with chiral ligands I–III is less enantioselective than the oxidation with H2O2 and organic peroxides. However, the yield of 2-benzylsulfinyl-1H-benzimidazole 65a is increased (Scheme 18) [53], [54]. Possibly, chlorine dioxide is a more active oxidizing agent. It is found that by its participating in the Bolm system opposite enantiomer of sulfoxide is formed, as well as at asymmetric sulfoxidation of 26. Perhaps this is due to a change in the stereochemistry of the reaction by the action of chlorine dioxide on the catalyst complex. Low enantiomeric yield is probably due to the destruction of the catalytic complex by the action of highly active chlorine dioxide.

Asymmetric oxidation of sulfide 65 by chlorine dioxide.
The reactions of asymmetric oxidation of optically active monoterpenylsulfanylimidazoles by chlorine dioxide occurring with high chemo- and moderate stereoselectivity were studied (Scheme 19). Reactions of chlorine dioxide with unsubstituted (benz)imidazolyl sulfides 66–73 containing the menthane, carane, and pinane moieties afford the corresponding sulfoxides 66a–73a in 71–91% yields with de 10–37% [55]. It should be noted that the synthesis of menthyl and caranyl sulfoxides is more stereoselective (de 16–30%) than the synthesis of myrtanyl sulfoxides (de 10–14%). Presumably, replacement of the neomenthyl moiety in a substrate molecule by the caranyl one gives rise to great steric hindrances that preclude chlorine dioxide from attacking and as a result the stereoselectivity of the reaction increases from de 16 to 37%. In myrtanylsulfanylimidazoles the chiral induction of the asymmetric centers distant from the prochiral center is too weak to ensure the high de of the resulting sulfoxides.

Asymmetric oxidation of optically active monoterpenylsulfanylimidazoles 66–77 by chlorine dioxide.
It was found that in the reaction of N-substituted 1-methyl-2-terpenylsulfanylimidazoles 74–77 with chlorine dioxide, the major products were chlorinated compounds 74c–77c (yields 76–84%). The corresponding sulfoxides were isolated as a minor product in yields of 6–17%.
Summing up, the chlorine dioxide acts as a chemoselective oxidant of sulfides. Asymmetric sulfoxidation with ClO2 is moderately stereo- and enantioselective. Compared to the oxidation with hydroperoxides and peroxy acids, the reactions with ClO2 mainly yield the opposite sulfoxide enantiomer.
Reactions of chlorine dioxide with alcohols
There is little data on the chlorine dioxide reactivity with aliphatic alcohols. Lower alcohols are relatively resistant to chlorine dioxide. Thus, ethanol and 1,3-butanediol react with an excess of chlorine dioxide only under extreme conditions (pH=1, 70–80°C) to form a mixture of aldehydes and carboxylic acids [3]. Glucose in the acidic medium is oxidized without destroying -CH2OH groups of the ring, also transforming into aldehyde and carboxyl derivatives.
The kinetics of chlorine dioxide reactions with a number of alcohols in aqueous media was investigated in [56], [57], [58], and the oxidation of methanol [55] and isopropanol [58] was studied in detail. It was found that the reaction is first order in both alcohol and chlorine dioxide. The reaction rate constants determined from initial rates increase with increasing solution ionic strength. Investigation of the effect of inorganic salts on the reaction rate showed that chlorides, nitrates, phosphates and bromides accelerate the reaction, while sulfates slow it down. In the oxidation of methanol and isopropanol isotope effect is observed when water is replaced with D2O: kH2O/kD2O=1.59 and 1.78, respectively. The dependence of the rate constant on pH of the solution has a complicated character: at pH=3.0–5.9 rate constant decreases with increasing of pH and increases sharply in the range of pH 6.3–6.7. According to the authors [56], [57], [58], this is attributed to the reaction of the anion RO¯ with chlorine dioxide. With further increase of pH the reaction rate decreases again [58]. The activation energy of the oxidation reaction of monohydric alcohols decreases in the order [56]: CH3OH>C2H5OH>n-C3H7OH>n-C4H9OH>i-C4H9OH>i-C3H7OH>>CH3CH(OH)CH2CH3.
Reactions with terpene alcohols
Terpenic α-hydroxyketones are important building blocks for the total synthesis of natural products; furthermore, they are widely used in preparation of chiral catalysts for various asymmetric reactions [59], [60]. Two well known groups of the mentioned substances are derivatives of 2α-hydroxypinan-3-one, easily obtained in both enantiomer forms via oxidation of α-pinene with KMnO4. Hydroxyketone derivatives of 3-carene are less available due to the absence of preparatory single-stage methods of their synthesis. In this work we report on an easy and selective procedure to prepare α-hydroxyketones of bornane, carane and pinane types using chlorine dioxide.
α-Chloroketones are widely used as intermediate products in the synthesis of heterocyclic compounds, epoxides (Darsens condensation), α-alkyl(aryl) thiocarbonyl compounds, β-ketoesters, etc [61]. Numerous methods for the preparation of α-chloroketones are known, most of which are based on the α-chlorination of ketones with gaseous chlorine, Nchlorosuccinimide, sulfuryl chloride, selenonyl chloride, copper (II) chloride, trichloroisocyanuric acid, NaClO2–Mn(acac)3–Al2O3, and a polymeric analog of N,N-dichloro-4-methylbenzenesulfonamide in the presence of acid catalysts. However, only a few examples of a direct transformation of secondary alcohols into α-chloroketones have been reported. We found that the system chlorine dioxide–dimethylformamide in combination with or without a catalytic amount of MoCl5, CeCl3, ZrOCl2, or VO(acac)2 induces oxidative chlorination of a number of bicyclic terpene alcohols and vicinal diols. 2α-Chloropinan-3-one, 3α-chloro-10β-pinan-4-one, 5α-chloro-3α-hydroxycaran-4- one, 5β-chloro-3β-hydroxycaran-4-one, and 4α-chloro-2α-hydroxypinan-3-one were synthesized in good preparative yields.
Secondary terpenic alcohol oxidation by ClO2
Herein we report on oxidation of secondary terpene alcohols: borneol (78), isoborneol (79), cis- (80) and trans-verbenol (81), isopinocampheol (82), neoisoverbanol (83), menthol (84) and isocaranol-4 (85) by ClO2 in pyridine and dimethylformamide with or without catalysts – ZrOCl2, VO(acac)2, MoCl5, Mo(CO)6.
The alcohols of pinane structure cis- (80) and trans-verbenol (81), isopinocampheol (82), neoisoverbanol (83) are most easily oxidized. Oxidation of alcohols 80–83 proceeds readily without a catalyst in pyridine in 2–4 h at room temperature with 89–100% conversion, selectivity of verbenone 86 formation is 76–79%, isopinocamphone 87 and cis-verbanone 88 – 95–100%, whereas oxidation of alcohols 78, 79, 84 is carried out better using a catalyst (Scheme 20). The selectivity of camphor 89 and menthone 90 formation is 98–100%. The exclusive reaction product is menthone 90, whereas oxidation of 84 by Cr+6 compounds almost always produces a certain amount of isomenthone [62]. Conversion of isocaranol-4 85 for 3 h is 78%, selectivity of isocaranone-4 91 formation – 91%. In the presence of MoCl5 the conversion of 85 is 100%, but the selectivity decreases to 83% [63].

Reaction of chlorine dioxide with secondary terpenic alcohols.
When using DMF instead of pyridine the compounds 78–81 are converted into camphor 89 and verbenone 86, respectively, with high selectivity, alcohols 82–84 are subjected to oxidative chlorination [63]. The oxidative chlorination of alcohol 82 in DMF in the absence of a catalyst is fairly slow. The complete conversion of the substrate is attained only in 12 h, but addition of a catalyst (ZrOCl2, VO(acac)2, MoCl5) strongly accelerates the reaction. The selectivity for 2α-сhloropinan-3-one 92 is 70–76% (yield 71%). Unlike compound 82, oxidative chlorination of alcohol 83 is very fast with no use of the catalyst (yield 63%). By contrast, addition of catalysts reduces the concentration of 3α-сhloro-10β-pinan-4-one 93 in the reaction mixture. The result of menthone oxidation in DMF is the mixture of four chlorinated products. Unexpectedly, isocaran-4-ol 85 in DMF is neither oxidized nor chlorinated [63].
Oxidation of terpenic diols
Herein we report on oxidation by ClO2 of terpenoid diols: 3α,4α- (94), 3α,4β- (95), 3β,4β- (96), 3β,4α-caranediols (97), 2α,3α- (98), 2α,3β-pinanediols (99), 2-exo-,3-exo-bornanediol (100), 3α, 4β-pinanediol (101) in pyridine and dimethylformamide with or without catalysts – ZrOCl2, VO(acac)2, MoCl5, Mo(CO)6, CeCl3 [64].
The oxidation of vicinal diols with the formation of carbonyl compounds and a carboxylic acid is a well-known process. As expected, the major factor affecting the oxidation rate was the oxidant attack on C–H bond, the compounds 95, 96 and 99, having less sterically hindered proton at С4 or С3, were the fastest to be oxidized. Full conversion was observed within 1–3 h, the selectivity of ketols 102–104 formation being 84–90% (Scheme 21). The corresponding acids 105 and 106 were obtained in minor amounts (10–16%). In the cases of the most sterically hindered carane-based diols 94 and 97 full conversion could not be reached even in 5–7 h, the selectivity of ketols formation was 80–81%.

Reaction of chlorine dioxide with terpenic diols in pyridine.
We performed the oxidation of 3α,4α-caranediol in the presence of catalysts. Ni(II), Co(II), Cr(III), and VO acetylacetonates slowed down the oxidation process, instead of accelerating it. As an example, in the presence of the most active of acetylacetonates used, VO(acac)2, the conversion of 94 in 3 h was 40%, being 58% in the absence of any catalyst. The selectivity of ketol 102 formation was below 80%. In the presence of molybdenum containing catalysts the oxidation was not accelerated as well, however, the ketol formation selectivity was somewhat increased under such conditions, to 89–91% instead of 84%.
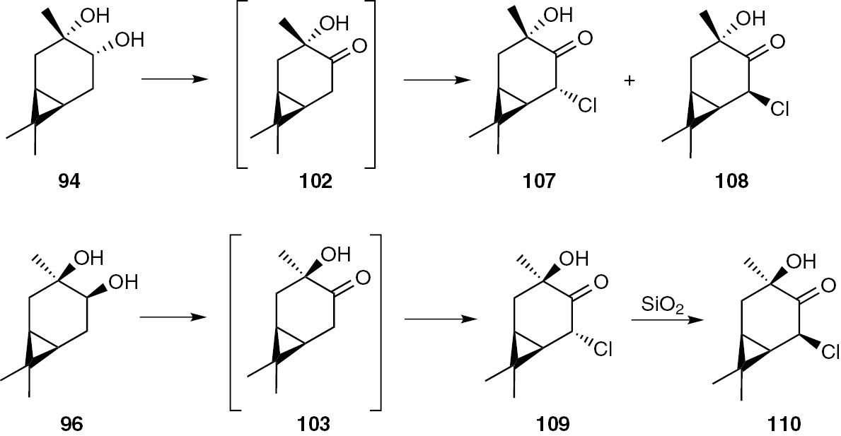
Compound 107 was the only product of the prolonged (15 h) oxidation of diol 94 with chlorine dioxide in dimethylformamide medium (Scheme 22). GLC analysis of the products in the course of the reaction revealed that after 3 h the reaction was completed to 50%; the content of hydroxyketone 102 was 42%, and that of chlorinated derivative 107 was 4%. After 7 h of the reaction duration, at 65% overall conversion, the ketol content was down to 37%, and that of the chlorinated derivative was up to 22%. Within 15 h diol 94 conversion was full (99%), the content of 107 was reached 76% [64].

Reaction of chlorine dioxide with terpenic diols in DMF.
In order to accelerate oxidative chlorination of diol 94, the reaction temperature was raised to 40°C, catalysts (ZrOCl2, MoCl5, CeCl3) were added, and the concentration of CeCl3 was increased from 1.5 to 9.0 mol%. The optimal conditions for the formation of compound 107 were room temperature, reaction time 7 h, and CeCl3 concentration 5–9 mol% (Scheme 22). The isolated yield of compound 107 was 51%. We also succeeded in isolating pure isomer 108 whose fraction in the product mixture was as low as 3–5% [63].
The oxidation of carane-3β,4β-diol 96 with ClO2 in DMF (5–6 h) afforded 5α-chloro-3β-hydroxycaran-4-one (109, tR=16.56 min) with a selectivity of 91%. An attempt to isolate chloroketone 109 by silica gel column chromatography (hexane–Et2O) led to its complete isomerization to 5β-chloro-3β-hydroxycaran-4-one (110, tR=17.61 min). Neither oxidation nor chlorination occurred when diols 94 and 96 dissolved in DMF were treated with an aqueous solution of chlorine dioxide. After 24 h, the pure initial compounds were recovered from the reaction mixtures [63].
Diol 98 was fairly rapidly oxidized with ClO2–DMF even in the absence of a catalyst (7 h, 100% conversion); however, the chlorination of 2α-hydroxypinan-3-one 104 thus obtained was much slower (Scheme 23). Only after 48 h in the presence of 5 mol% of CeCl3 the concentration of chlorohydroxyketone 111 attained 90%. The oxidative chlorination of isomeric pinane-2α,3β-diol 99 was characterized by lower rate and selectivity. After 6 h, the conversion of diol 99 was 79%, and the product mixture contained 45% of hydroxy ketone 104 and 9% of chlorohydroxyketone 111, while the other products were not identified [63].

Oxidation of pinane diols 98, 99 by chlorine dioxide.
Bornanediol 100 was extremely rapidly oxidized with chlorine dioxide in pyridine: the conversion was practically 100% after 1 h [65]. The major products were isomeric ketols, 3β-hydroxycamphor 112 and 2β-hydroxyepicamphor 113, 74–80% in total (Scheme 24). Besides those products, the reaction mixture contained 10–15% of camphorquinone 114 and 9–10% of camphor anhydride 115. When the reaction run longer (up to 3 h), the ketols content was down to 50%, and camphor anhydride yield was up to 40%, yield of camphorquinone being almost the same (12–15%).

Oxidation of Bornanediol 100 by chlorine dioxide.
With VO(acac)2 or MoCl5 as catalyst, selectivity of the ketols 112 and 113 formation was up to 85–87%, and the isomers ratio was somewhat shifted in favor of formation of exo-2-hydroxyepicamphor 113. When DMF was used as solvent instead of pyridine, the oxidation was significantly slowed down: conversion of the starting diol 100 was of 26% within 1 h. However, longer reaction run (3 h) or using of the catalyst (VO(acac)2 or MoCl5) resulted in a complete conversion of the diol with selectivity of 95–99% with respect to ketols. Under those conditions, only tiny amounts of camphorquinone and camphor anhydride were formed [65].
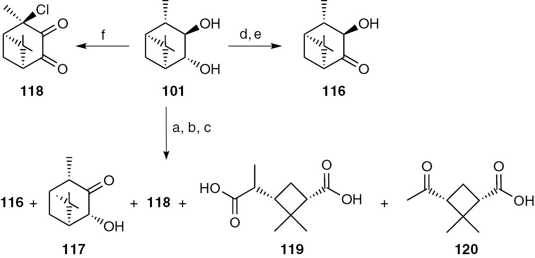
Oxidation of 3α,4β-pinanediol 101 in pyridine without any catalyst or with VO(acac)2 yielded a complex mixture of products that could be separated into the neutral and the acidic fractions via treatment with aqueous NaHCO3 (5 wt%). In the neutral fraction two isomeric ketols were identified: 3α-hydroxy-10β-pinane-4-one 116 and 4β-hydroxy-10β-pinane-3-one 117 (Scheme 25) along with the chlorinated derivative 2α-chloropinane-3,4-dione 118. Among acidic products, pinocamphor acid 119 was isolated, and cis-pinonic acid 120 was identified. Molybdenum containing catalysts decreased the diol 101 conversion to 35–54%, but selectivity of the α-ketols formation was up to 60–68%. In all the cases, 3α-hydroxy-10β-pinane-4-one was the major isomer [65].

Interaction of pinane diol 101 with chlorine dioxide. (a) ClO2, Py; (b) ClO2, Py, Mo(II); (c) ClO2, Py, VO(acac)2; (d) ClO2, DMF; (e) ClO2, DMF, Mo(II); (f) ClO2, DMF, VO(acac)2.
When DMF was used instead of pyridine, both without any catalyst or in the presence of Mo(CO)6 or MoCl5, α-hydroxyketone 116 was practically the only reaction product, selectivity of its formation being independent of heating up to 40°С as well as cooling down to 0°С. Compound 116 was isolated via chromatography on SiO2; mp 57–58°С and [α]D+73.6° (after recrystallization from hexane–Et2O mixture). In the case of ClO2–DMF–VO(acac)2 oxidative system, the major product of diol 101 oxidation was chlorinated diketone 118 [65].
Thus, oxidative dehydrogenation of terpenic secondary alcohols and sec-tert vicinal diols with ClO2 in pyridine produces the respective ketones and hydroxyketones with high selectivity and excellent preparative yields. The reactivity of diols relative to ClO2 mainly depends on the stereochemistry of hydroxyl groups.
Oxidative dehydrogenation of sec-, sec- vicinal diols in pyridine yielded hydroxylketones, diketones, acids, and chlorinated products. In DMF, both without any catalyst and in the presence of Mo-containing catalyst α-hydroxyketones were obtained with high selectivity. exo-Positioning of hydroxyl groups in bornane-2,3-diol affords equal accessibility of C–H bonds for the oxidants attack, and in most cases practically equimolar mixture of isomeric α-hydroxyketones was formed. In 3α,4β-pinanediol, the proton at C4 atom was sterically hindered, and 3-hydroxypinane-4-one prevailed in the products, or even was the only isomer.
The system ClO2–DMF acts as not only an oxidant but also a chlorinating agent. The product structure (α-chloroketone or α-chlorohydroxyketone) is determined by both substrate nature and stereochemical orientation of the hydroxy groups in initial isomeric terpene diols. cis-Diols are converted into the corresponding chlorohydroxyketones with fairly high selectivity, whereas the oxidative chlorination of trans-diols is much less selective. In some cases, the system ClO2–DMF may be recommended for one-pot preparation of α-chloroketones or α-chlorohydroxyketones.
The reactions with terpenophenols
Quinone derivatives constitute important groups of natural compounds such as dyes, pigments, antibiotics, vitamins, etc. They are used as reagents in synthesis, polymer modifiers and stabilizers, and catalysts of chemical reactions. Development of procedures for the synthesis of quinones from sterically hindered phenols attracts interest from a practical viewpoint.
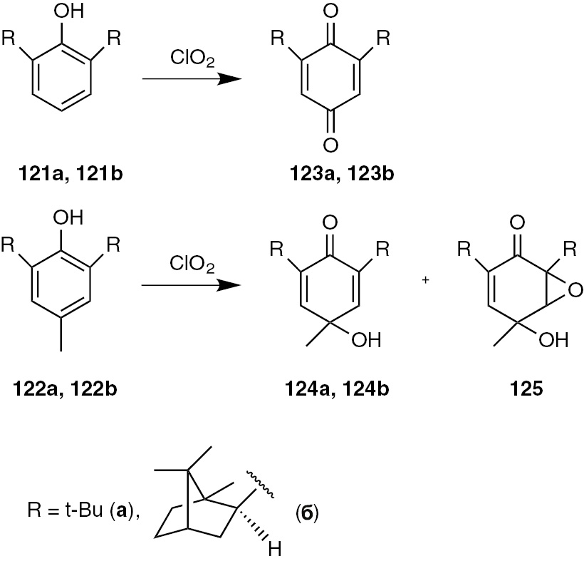
Oxidation of phenols with chlorine dioxide (ClO2) was studied in [66], [67], [68]; it was shown that 2,6-disubstituted phenols are thus oxidized to the corresponding 1,4-quinones (yield 67–95%) or diphenoquinones; 2,4-disubstituted phenols react with ClO2 to form 4-alkyl-p-quinols.
In the works [69], [70], [71] we examined oxidation of sterically hindered phenols 121a, 121b, 122a, and 122b with chlorine dioxide in pyridine on cooling or in DMF at 20°C (Scheme 26). The oxidation of 2,6-di-tert-butylphenol 121a gave 2,6-di-tert-butylbenzoquinone 123a [66]. By oxidation of 2,6-diisobornylphenol 122b we obtained previously unknown 2,6-diisobornyl-1,4-benzoquinone 123b. Its structure was confirmed by IR and NMR spectroscopy.

Reaction of chlorine dioxide with sterically hindered phenols.
Oxidation of 4-methyl-substituted phenols 122a and 122b with ClO2 afforded 2,6-dialkyl-4-hydroxy-4-methyl-2,5-cyclohexadien-1-ones 124a and 124b. No chlorination products were detected in the reaction mixtures. When phenol 122a was oxidized in pyridine on cooling, the substrate-to-oxidant molar ratio being 1:3, a mixture of products was formed. It was separated by column chromatography to isolate major product 124a and 1.5% of 1,3-di-tert-butyl-5-hydroxy-5-methyl-7-oxabicyclo-[4.1.0]hept-3-en-2-one 125a.
Quinone 123b was also obtained instead of the expected carboxy derivative in the oxidation of 3,5-diisobornyl-4-hydroxybenzaldehyde 126 with chlorine dioxide (Scheme 27). The yield of 123b was 80% when the reaction was carried out in dimethylformamide at 20°C. Presumably, the reaction is accompanied by oxidative decarboxylation. Chlorine dioxide is a fairly potent oxidant, reactions with its participation occur at a high rate, and we failed to isolate hydroxybenzoic acid. Quinone 123b was formed in 36% yield by oxidation of 126 in pyridine on cooling with the use of three equiv of ClO2; the product was isolated after prolonged keeping of the reaction mixture.

Oxidation of 3,5-diisobornyl-4-hydroxybenzaldehyde 126 with chlorine dioxide.
Thus oxidation with chlorine dioxide of sterically hindered phenols having a methyl group in the para position with respect to the OH group yields 4-hydroxy-4-methyl-2,5-cyclohexadien-1-ones. Phenols having no substituent in the para position with respect to the hydroxy group, as well as 4-hydroxybenzaldehyde derivative, are converted into the corresponding 1,4-benzoquinones.
Conclusions
Over the last 10–15 years we have obtained important results on the reactivity of chlorine dioxide with organic compounds. New synthetic possibilities of chlorine dioxide in reactions of the chemo- and stereoselective oxidation of thiols, sulfides and alcohols have been shown. A new reaction of thiols and disulfides with chlorine dioxide to produce sulfonyl chlorides has been discovered. Catalysis in the oxidation reactions with chlorine dioxide of oxygen- and organosulfur compounds was first used and the asymmetric sulfide oxidation reactions were studied.
Article note
A collection of invited papers based on presentations at the XX Mendeleev Congress on General and Applied Chemistry (Mendeleev XX), held in Ekaterinburg, Russia, September 25–30, 2016.
Acknowledgments
The work was supported by the Russian Foundation for Basic Research and the Government of the Komi Republic, the project 16-43-110358 r_a and the Ural Branch of the Russian Academy of Sciences, the project 15-21-3-16.
References
[1] V. Kal’brus. Zagryaznenie okruzhayushchej sredy dioksinami i furanami cellyulozno-bumazhnoj promyshlennosti, vol. 5–6, p. 42. Cellyuloza, bumaga, Karton (1997) (in Russian).Search in Google Scholar
[2] N. F. Petrenko, A. V. Mokienko. Dioxid сhlora: primenenie v tekhnologiyah vodopodgotovki. Optimum, Odessa (2005) (in Russian).Search in Google Scholar
[3] G. Gordon, R. G. Kieffer, D. H. Rosenblatt. The chemistry of chlorine dioxide, vol. 15, p. 201. Wiley Interscience Publishers, New York, London, Sydney, Toronto (1972).10.1002/9780470166161.ch3Search in Google Scholar
[4] W. J. Masschelein. Chlorine Dioxide: Chemistry and Enviromental Impact of Oxychlorine Compounds. Ann Arbor Publishers Inc., Ann Arbor (1979).Search in Google Scholar
[5] I. М. Ganiev, К. К. Timergazin, N. N. Kabalnova, V. V. Shereshovets, G. А. Tolstikov. Eurasian Chemico-Technological J.7, 1 (2005).10.18321/ectj409Search in Google Scholar
[6] N. N .Kabalnova, S. A. Grabovskiy. in Chlorine: Properties, Applications and Health Effects, R. Mangione, D. Carlyle (Eds.), p. 125, Nova Science Publishers, New York, USA (2011).Search in Google Scholar
[7] D. R. Hogg. in Obshchaya organicheskaya himiya [Comprehesive Organic Chemistry. The Synthesis and Reactions of Organic Compounds, D. Barton, W. D. Ollis (Eds.)], vol. 5, pp. 462–472, Мoscow, Khimia (1983) (in Russian).Search in Google Scholar
[8] R. J. W. Cremlyn. An Introduction to Organosulfur Chemistry, p. 262. Wiley, NY (1996).Search in Google Scholar
[9] O. M. Lezina, S. A. Rubtsova, A. V. Kuchin. Russ. Chem. Bull. Int. Ed.52, 1877 (2003).10.1023/A:1026093713037Search in Google Scholar
[10] O. M. Lezina, S. A. Rubtsova, A. V. Kutchin. Patent RU 2289574 (2006) (in Russian).Search in Google Scholar
[11] O. M. Lezina, S. A. Rubtsova, A. V. Kutchin. Patent RU 2302407 (2007) (in Russian).Search in Google Scholar
[12] O. M. Lezina, S. A. Rubtsova, A. V. Kuchin. Russ. J. Org. Chem.47, 1249 (2011).10.1134/S1070428011080239Search in Google Scholar
[13] O. M. Lezina, S. A. Rubtsova, V. A. Polukeev, A. V. Kutchin. Russ. J. Org. Chem.48, 1222 (2012).10.1134/S1070428012090126Search in Google Scholar
[14] O. M. Lezina, S. A.Rubtsova, D. V.Belykh, P. A.Slepukhin, A. V. Kutchin. Russ. J. Org. Chem.49, 112 (2013).10.1134/S1070428013010193Search in Google Scholar
[15] E. S. Izmest’ev, O. M. Lezina, O. N. Grebyonkina, S. A.Patov, S. A.Rubtsova, A. V.Kutchin. Russ. Chem. Bull. Int. Ed.63, 2067 (2014).10.1007/s11172-014-0702-8Search in Google Scholar
[16] O. M. Lezina. Diss. kand. him. nauk. IH Komi NC UrO RAN, Syktyvkar (2012) (in Russian).Search in Google Scholar
[17] O. M. Lezina, O. N. Grebenkina, D. V. Sudarikov, Yu. V. Krymskaya, S. A. Rubtsova, A. V. Kutchin.Russ. J. Org. Chem.51, 1359 (2015).10.1134/S1070428015100012Search in Google Scholar
[18] K. K. Anderson. in Obshchaya organicheskaya himiya [Comprehesive Organic Chemistry. The Synthesis and Reactions of Organic Compounds, D. Barton, W. D. Ollis (Eds.)], vol. 5, p. 519, Khimia, Мoscow (1983) (in Russian).Search in Google Scholar
[19] M. Z. Yakupov, N. K. Lyapina, V. V. Shereshovets, U. B. Imashev. Kinet. Catal. 42, 609 (2001).10.1023/A:1012307311387Search in Google Scholar
[20] M. Z. Yakupov, V. V. Shereshovets, U. B. Imashev, F. R. Ismagilov. Russ. Chem. Bull. Int. Ed.50, 2352 (2001).10.1023/A:1015023210699Search in Google Scholar
[21] M. Z. Yakupov, N. M. Shishlov, V. V. Shereshovets, U. B. Imashev. Neftekhimia [Petrol. Chem.] 41, 52 (2001) (in Russian).Search in Google Scholar
[22] D. V. Sudarikov, S. A. Rubtsova, A. V. Kutchin. Mendeleev Comm.18, 225 (2008).10.1016/j.mencom.2008.07.021Search in Google Scholar
[23] M. C. Aragoni, M. Arca, F. Demartin, F. A. Devillanova, A. Garau, F. Isaia, V. Lippolis, G. J. Verani. Am. Chem. Soc.124, 4538 (2002).10.1021/ja012731kSearch in Google Scholar
[24] I. I. Nikitin. Khimiya kislorodnykh soedineniyi halogenov [Chemistry of Oxygen-Containing Compounds of Halogens], p. 104, Nauka, Moscow (1986) (in Russian).Search in Google Scholar
[25] L. E. Nikitina, N. P. Artemova, V. A. Startseva. Prirodnyei thiomodificirovannye proizvodnye: monografiya [Natural and Thiomodified Derivatives: Monograph.], p. 168, LAP LAMBERT, Germany (2012) (in Russian).Search in Google Scholar
[26] S. V. Pestova, E. S.Izmest’ev, O. G. Shevchenko, S. A.Rubtsova, A. V.Kuchin. Russ. Chem. Bull., Int. Ed.64, 723 (2015).10.1007/s11172-015-0926-2Search in Google Scholar
[27] F. Martı́nez-Ramos, M. E. Vargas-Dı́az, L. Chacón-Garcı́a, J. Tamariz, P. Joseph-Nathan, L. G. Zepeda. Tetrahedron Asym.12, 3095 (2001).10.1016/S0957-4166(01)00545-6Search in Google Scholar
[28] O. A. Banina, D. V. Sudarikov, Yu. V. Krymskaya, L. L. Frolova, A. V. Kutchin. Chem. Nat. Compd.2, 261 (2015).10.1007/s10600-015-1257-0Search in Google Scholar
[29] E. S. Izmest’ev, D. V.Sudarikov, S. A.Rubtsova, P. A.Slepukhin, A. V. Kuchin.Russ. J. Org. Chem.48, 1407 (2012).10.1134/S1070428012110024Search in Google Scholar
[30] O. Lucchi, V. Lucchini, C. Marchioro, G. Valle, G. Modena. J. Org. Chem.51, 1457 (1986).10.1021/jo00359a014Search in Google Scholar
[31] K. L. Handoo, S. K. Handoo, K. Gadru, A. Kaul. Tetrahedron Lett.26, 1765 (1985).10.1016/S0040-4039(00)98333-3Search in Google Scholar
[32] E. Wojaczyńska, J. Wojaczyński. Chem. Rev.110, 4303 (2010).10.1021/cr900147hSearch in Google Scholar PubMed
[33] I. Fernández, N. Khiar. Chem. Rev.103, 3651 (2003).10.1021/cr990372uSearch in Google Scholar PubMed
[34] G. Hanquet, F. Colobert, S. Lanners, G. Solladié. ARKIVOC7, 328 (2003).10.3998/ark.5550190.0004.727Search in Google Scholar
[35] P. Kowalski, K. Mitka, K. Ossowska, Z. Kolarska. Tetrahedron61, 1933 (2005).10.1016/j.tet.2004.11.041Search in Google Scholar
[36] A. V. Kutchin, S. A. Rubtsova, D. V.Sudarikov, M. Y. Demakova. Russ. Chem. Bull. Int. Ed.62, 1 (2013).10.1007/s11172-013-0001-9Search in Google Scholar
[37] A. V. Kuchin, L. P. Karmanova, S. A. Rubtsova, I. V. Loginova. Patent RU 2127258 (1999) (in Russian).Search in Google Scholar
[38] A. V. Kuchin, S. A. Rubtsova, L. P. Karmanova, S. N. Subbotina, I. V. Loginova. Patent RU 2139275 (1999) (in Russian).Search in Google Scholar
[39] A. V. Kuchin, I. V. Loginova, S. A. Rubtsova. Patent RU 2440336 (2012) (in Russian).Search in Google Scholar
[40] A. V. Kuchin, S. A. Rubtsova, L. P. Karmanova, S. N. Subbotina, I. V. Loginova. Russ. Chem. Bull. (Engl. Transl.)47, 2051 (1998).10.1007/BF02494537Search in Google Scholar
[41] A. V. Kuchin, S. A. Rubtsova, I. V. Loginova, S. N. Subbotina. Russ. J. Org. Chem. (Engl. Transl.)36, 1819 (2000).Search in Google Scholar
[42] A. V. Kuchin, S. A. Rubtsova, I. V. Loginova. Russ. Chem. Bull. Int. Ed.50, 432 (2001).10.1023/A:1011348804933Search in Google Scholar
[43] D. V. Sudarikov, V. A.Kuropatov, S. A.Rubtsova, V. K. Cherkasov, A. V. Kuchin. Izvestiya Vysshikh Uchebnykh Zavedenii, Khimiya i Khimicheskaya Tekhnologiya51, 112 (2008) (in Russian).Search in Google Scholar
[44] I. M. Kuzivanov, R. A. Sadykov, D. V. Sudarikov, A. V. Kuchin. Izvestiya Komi NC UrO RAN4, 24 (2015) (in Russian).Search in Google Scholar
[45] I. V. Loginova, E. V. Ashikhmina, S. A. Rubtsova, Yu. V. Krymskaya, A. V. Kuchin. Russ. J. Org. Chem. (Engl. Transl.)44, 1773 (2008).10.1134/S1070428008120087Search in Google Scholar
[46] I. V. Loginova, K. S. Rodygin, S. A. Rubtsova, P. A. Slepukhin, A. V. Kuchin, V. A. Polukeev. Russ. J. Org. Chem. (Engl. Transl.)47, 124 (2011).10.1134/S1070428011010167Search in Google Scholar
[47] K. S. Rodygin, S. A. Rubtsova, A. V. Kuchin. Russ. J. Org. Chem. (Engl. Transl.)47, 1433 (2011).10.1134/S1070428011090302Search in Google Scholar
[48] Y. V. Krymskaya, I. V. Loginova, S. A. Rubtsova, A. V. Kuchin. Russ. J. Org. Chem.49, 204 (2013).10.1134/S107042801302005XSearch in Google Scholar
[49] A. V. Kuchin, E. V. Ashikhmina, S. A. Rubtsova, I. A. Dvornikova. Khimiya Rastitel’nogo Syr’ya1, 59 (2009) (in Russian).Search in Google Scholar
[50] E. V. Ashikhmina, S. A. Rubtsova, I. A. Dvornikova, A. V. Kuchin. Izvestiya Vysshikh Uchebnykh Zavedenii, Khimiya i Khimicheskaya Tekhnologiya51, 45 (2008) (in Russian).Search in Google Scholar
[51] E. V. Ashikhmina, S. A. Rubtsova, I. A. Dvornikova, A. V. Kuchin. Russ. J. Org. Chem. (Engl. Transl.)45, 1509 (2009).10.1134/S1070428009100145Search in Google Scholar
[52] I. A. Dvornikova, L. L. Frolova, A. V. Churakov, A. V. Kuchin. Russ. Chem. Bull. Int. Ed.53, 1323 (2004).10.1023/B:RUCB.0000042294.94599.ceSearch in Google Scholar
[53] K. S. Rodygin, S. A. Rubtsova, A. V. Kuchin, I. V. Loginova, V. A. Polukeev. Izvestiya Vysshikh Uchebnykh Zavedenii, Khimiya I Khimicheskaya Tekhnologiya53, 16 (2010) (in Russian).Search in Google Scholar
[54] K. S. Rodygin, Yu. V. Krymskaya, S. A. Rubtsova, A. V. Kuchin. Izvestiya Vysshikh Uchebnykh Zavedenii, Khimiya I Khimicheskaya Tekhnologiya54, 21 (2011) (in Russian).Search in Google Scholar
[55] M. Y. Demakova, D. V. Sudarikov, S. A. Rubtsova, I. V. Gruzdev, A. V. Kuchin. Russ. J. Org. Chem.48, 1490 (2012).10.1134/S1070428012110127Search in Google Scholar
[56] V. P. Kudesia, C. B. Sharma. Rev. Roum. Chim.28, 263 (1983).Search in Google Scholar
[57] C. B. Sharma. React. Kinet. Catal. Lett. 19, 167 (1982).10.1007/BF02065079Search in Google Scholar
[58] C. B. Sharma. Rev. Roum. Chim. 28, 967 (1983).10.1037/025159Search in Google Scholar
[59] W. Oppolzer, C. Chapuis, D. Dupuis, M. You. Helv. Chem. Acta68, 2100 (1985).10.1002/hlca.19850680803Search in Google Scholar
[60] P. Salchi, M. Dabiri, Y. Kozehgary, M. Baghbanzadeh. Tetrahedron: Asym.20, 2609 (2009).10.1016/j.tetasy.2009.10.012Search in Google Scholar
[61] N. D. Kimpe, R. Verhe. in The Chemistry of Functional Groups, S. Patai, Z. Rappoport (Eds.), p. 119, Wiley, New York (1988).Search in Google Scholar
[62] L. L. Frolova, A. V. Popov, S. A. Rubtsova, A. V. Kuchin. Chem. Nat. Compd. 44,724 (2008).10.1007/s10600-009-9190-8Search in Google Scholar
[63] L. L. Frolova, A. V. Popov, L. V. Bezuglaya, I. N. Alekseev, P. A. Slepukhin, A. V. Kutchin. Russ. J. Gen. Chem.86, 613 (2016).10.1134/S107036321603018XSearch in Google Scholar
[64] L. L. Frolova, A. V. Popov, L. V. Bezuglaya, I. N. Alekseev, P. A. Slepukhin, A. V. Kuchin. Russ. J. Gen. Chem.83, 1541 (2013).10.1134/S1070363213080124Search in Google Scholar
[65] L. L. Frolova, A. V. Popov, L. V. Bezuglaya, I. N. Alekseev, P. A. Slepukhin, A. V. Kuchin.Russ. J. Gen. Chem.84, 853 (2014).10.1134/S1070363214050120Search in Google Scholar
[66] K. C. Nam, J. M. Kim. Bull. Korean Chem. Soc. 15, 268 (1994).Search in Google Scholar
[67] I. M. Ganiev, E. S. Ganieva, N. N. Kabal’nova. Russ. Chem. Bull. Int. Ed. 53, 2281 (2004).10.1007/s11172-005-0114-xSearch in Google Scholar
[68] H. Ben Amor, J. De Laat, M. Dore. Water Res. 12, 1545 (1984).10.1016/0043-1354(84)90130-1Search in Google Scholar
[69] I. V. Loginova, I. Y. Chukicheva, A. V. Kuchin. Russ. J. Org. Chem. 47, 1501 (2011).10.1134/S1070428011100083Search in Google Scholar
[70] I. V. Loginova, I. Y. Chukicheva, A. V. Kuchin. Patent RU 2457196 (2012) (in Russian).Search in Google Scholar
[71] I. V. Loginova, I. Y. Chukicheva, A. V. Kuchin. Patent RU 2458901 (2012) (in Russian).Search in Google Scholar
Supplemental Material
The online version of this article (DOI: https://doi.org/10.1515/pac-2016-1209) offers supplementary material, available to authorized users.
©2017 IUPAC & De Gruyter. This work is licensed under a Creative Commons Attribution-NonCommercial-NoDerivatives 4.0 International License. For more information, please visit: http://creativecommons.org/licenses/by-nc-nd/4.0/
Articles in the same Issue
- Frontmatter
- In this issue
- Conference papers
- Studies on oxidative transformations of thiols, sulfides and alcohols in the presence of chlorine dioxide
- Oligosaccharide ligand tuning in design of third generation carbohydrate pneumococcal vaccines
- New trends in the cross-coupling and other catalytic reactions
- Bromate anion reduction: novel autocatalytic (EC″) mechanism of electrochemical processes. Its implication for redox flow batteries of high energy and power densities
- Integral estimation of xenobiotics’ toxicity with regard to their metabolism in human organism
- Interrupted amperometry: the new possibilities in electrochemical measurements
- Electrochemical DNA sensors based on spatially distributed redox mediators: challenges and promises
- Novel analytical approaches to determination of chemical warfare agents and related compounds for verification of nonproliferation of chemical weapons
- New amorphous nanophosphors obtained by evaporation of silicates and germanates REE
- Modern energetics: current problems in energy conversion and utilization of produced energy
- Electroflotation extraction of sparingly soluble compounds of non-ferrous and rare-earth metals from liquid technological waste
- The physicochemical bases of the pyrometallurgical processing of the titanomagnetite ores
- Prospective directions for development of metallurgy and materials science of steel
- Analysis and synthesis of optimal supply systems for gas-chemical complexes
- Development of new catalytic processes for processing petroleum feedstock
- Electronic nose based on nanoweights, expectation and reality
Articles in the same Issue
- Frontmatter
- In this issue
- Conference papers
- Studies on oxidative transformations of thiols, sulfides and alcohols in the presence of chlorine dioxide
- Oligosaccharide ligand tuning in design of third generation carbohydrate pneumococcal vaccines
- New trends in the cross-coupling and other catalytic reactions
- Bromate anion reduction: novel autocatalytic (EC″) mechanism of electrochemical processes. Its implication for redox flow batteries of high energy and power densities
- Integral estimation of xenobiotics’ toxicity with regard to their metabolism in human organism
- Interrupted amperometry: the new possibilities in electrochemical measurements
- Electrochemical DNA sensors based on spatially distributed redox mediators: challenges and promises
- Novel analytical approaches to determination of chemical warfare agents and related compounds for verification of nonproliferation of chemical weapons
- New amorphous nanophosphors obtained by evaporation of silicates and germanates REE
- Modern energetics: current problems in energy conversion and utilization of produced energy
- Electroflotation extraction of sparingly soluble compounds of non-ferrous and rare-earth metals from liquid technological waste
- The physicochemical bases of the pyrometallurgical processing of the titanomagnetite ores
- Prospective directions for development of metallurgy and materials science of steel
- Analysis and synthesis of optimal supply systems for gas-chemical complexes
- Development of new catalytic processes for processing petroleum feedstock
- Electronic nose based on nanoweights, expectation and reality