Abstract
A mini-review covers the latest achievements in the field of metal-mediated cross-coupling reactions among which are palladium-catalyzed Heck, Suzuki, cyanation and amination reactions. The aspects of the application of Pd nanoparticles (PdNPs) are discussed. The possibilities of the applications of Cu(I)-catalyzed reactions are described. Special emphasis is made on the synthesis of polymacrocyclic compounds like porphyrin dyads and triads, polyazacryptands bearing fluorophore groups using catalytic methods. The application of Pd-catalyzed CH-activation reactions for porphyrin modifications is described, the use of Lewis acids catalysis and organocatalysis for enantioselective C–C bond formation is considered with the emphasis on the application of immobilized organocatalyst.
Introduction
In the second part of the XXth century a real revolution occurred in organic chemistry due to invention and rapid proliferation of the catalytic methods in organic synthesis. Chemists got extremely powerful and at the same time rather simple approaches to many types of organic compounds. This outstanding discovery resulted in three Nobel Prizes during 10 years period. This mini-review highlights the contribution to the field of the catalytic cross-coupling reactions made by the Laboratory of Organoelement Compounds of the Lomonosov Moscow State University.
The cross-coupling process reminds a well-known ancient Wurtz reaction which is yet of limited use as only alkyl halides and very reactive organometallic compounds normally participate in it [1]. However, this notorious reaction was very important for understanding the mechanism of metal-mediated processes. The reaction of C(sp2)–Hal bonds with organometallic compounds was discovered independently by Corriu (France) [2] and Tamao et al. (Japan) [3] in 1972. The first was the reaction of vinyl halides with organolithium compounds catalyzed by Ni complexes, and 2 years later Murahashi used Pd complexes in the reactions of aryl halides with Grignard reagents [4], [5]. The development of the palladium-catalyzed reactions in this field became very rapid, and Milstein and Stille [6], Mizoroki-Heck [7], [8], Sonogashira et al. [9], Suzuki-Miyaura [10], [11] couplings, catalytic carbonylation [12], [13], [14] began to flourish and became wide-spread tools even on industrial scale for the drug synthesis [15].
Our background in this field dealt with so-called “ligandless” processes. Various cross-coupling reactions involving organotin, organoaluminium and organomercury compounds were studied by us [16] as well as Heck and carbonylation reactions [17], and the main goal was to elaborate catalytic processes without additional ligands using water as a reaction medium [18], [19], [20]. It was amazing that it was possible to carry out these reactions without formation of Pd black from Pd(OAc)2. Aryl boronic acids were found to be the best acting organoelement compounds in water due to a good solubility of the salts formed in the presence of a base. As a result, various substituted biphenyls were produced in high yields. The same was true for Heck, carbonylation and hydrogenation reactions catalyzed by palladium (II) chloride or acetate. In the case when both components were soluble in water even Pd black demonstrated good catalytic activity. It was possible to use very low concentration of Pd and enormous TONs (up to 250000 for that time) in ligandless processes were achieved. To solve the problem of solubility, the processes were run in microemulsion media with simple surfactants, and the Heck reaction yielded 90% of the product with 0.01% Pd [21]. Block-copolymer micelles were also successfully used for this purpose [22].
Pd catalysis in cross-coupling reactions
During our first experiments employing ligandless conditions, no idea was yet circulating in the scientific community about nanoparticles and their exciting properties. When the concept of nanosized particles emerged, the average size of palladium nanoparticles (PdNPs) which were formed in the above mentioned reactions was measured to give 10 nm. Considering the mechanism of this reaction presented on Scheme 1 [23], the first step is certainly a heterogeneous oxidative addition. Thus formed ArPdX exists in the equilibrium with dimer which is inactive, but the monomer is more active than ligated Pd species. It might be the explanation of the fact that PdNPs are often as reactive or even more than homogeneous Pd complexes.

The mechanism for the PdNPs–mediated cross-coupling reactions.
Another way was to use an amphiphilic water-soluble copolymer poly(styrene-co-ethyleneoxide) (PS-PEO). The Suzuki coupling was found to proceed at room temperature or at 50°C in MeOH giving high yields of the products and with good recyclability (five cycles with retention of the yield Scheme 2a) [24]. The same result was observed for Heck reaction (Scheme 2b), and in the case of carbonylation reaction [25] we carried out 10 cycles with simple filtration or centrifugation of the catalyst (Scheme 2c). For the cases which need higher temperature we used poly(N-vinylimidazole-co-N-vinylcaprolactam) (PVI-PVCL) copolymer and DMF as a solvent and carried out Heck reactions with different aryl iodides and aryl bromides (Scheme 2d) [26]. With an active 4-bromoacetophenone the reutilization of the catalyst after five cycles was possible. TEM disclosed that that metal nanoparticles were active species in these reactions (Scheme 2e).

Pd-catalyzed reactions with polymer-supported PdNPs.
Cyanation which is a more reluctant process proceeded smoothly with aryl bromides in the presence of immobilized Pd nanoparticles in DMF at 120°C, and only at the tenth cycle a slight decrease in the product yield was observed [27] (Scheme 3).

Pd-catalyzed cyanation using immobilized catalyst.
Alkoxycarbonylation needs adjustment of conditions (source of PdNPs, temperature, base), and after proper optimization we obtained good yields of the products and demonstrated that after five cycles the catalyst was still working [25] (Scheme 4).

Pd-catalyzed alkoxycarbonylation reaction.
The Suzukli coupling catalyzed by PdNPs afforded very good results for a great variety of aryl bromides even in water, but the catalyst could not be recycled in all cases studied. For example, in water with NaOH as a base the yield in the first cycle attained 85% and only 15% in the second, while in EtOH-H2O (80°C) or DMF (120°C) with K2CO3 as a base the yield did not diminish after eight cycles (Scheme 5). The studies of the kinetics and PdNPs size after several runs disclosed that ca 60% of conversion took part in 1–2 min and after that the process got much slower and it took 4 h for its completion. After the first cycle the average size of nanoparticle was 2.41 nm and after the eighth cycle it equaled 2.5 nm, however, the smallest particles (smaller than 1.7 nm) were totally absent. Nevertheless the reaction after longer run provided the same good result [28]. These observations favor the mechanism of leaching (“release and capture”), thus the leaching can be not a negative phenomenon but rather useful. On this basis one can draw out the following conclusion: if the catalyst can be recycled several times without loss of its efficiency, it does not mean that the process is purely heterogeneous.

PVI-PVCL supported Pd catalyst in Suzuki coupling.
The Pd black with a clearly observed nanostructure was synthesized by the vacuum evaporation of palladium on polyvinyl alcohol followed by the elimination of support in hot water. This catalyst turned to be inactive for the reactions of either electron rich aryl iodides or aryl bromides but it catalyzed the coupling of p-methoxyiodobenzene which is a special case due to a good interaction of methoxy group with palladium surface. The idea was that the Pd(0), which was released after the reductive elimination in the catalytic cycle with the participation of this compound, could be more active than the initial catalyst and further promoted the reactions of less active aryl halides. It was exactly the case as p-iodotoulene or bromobenzene, which were initially inactive, readily participated in the Suzuki coupling after the addition of p-methoxyiodobenzene in the reaction mixture [29] (Scheme 6). The same was true when the reaction was catalyzed by Pd deposited on multiwall carbon tubes. Thus it was undoubtedly established that leaching helped the reaction to proceed.

Suzuki coupling catalyzed with Pd black.
Copper-catalyzed cross-coupling reactions
Another modern tendency in the transition metal catalysis is the replacement of expensive palladium with a cheaper copper (in the form of oxides, salts and complexes). In many cases, particularly in the formation of C-heteroatom bonds via substitution reactions (but not addition) copper catalysis demonstrated excellent results, though there are still problems with the choice of ligands as it is difficult to predict which one would be better for a certain pair of reagents. Also there is a need for greater catalyst loadings, higher temperatures and concentrations for Cu-mediated reactions. For example, when we carried the arylation of diamines, diketone ligand was successful, but the arylation of polyamines could be run successfully only with the proline ligand [30] (Scheme 7).

Cu(I)-catalyzed amination of di- and polyamines.
We carried out multiple cross-coupling reactions forming C–N (arylation) [31] and C–C (via Sonogashira reaction) [32] bonds in steroids which produced azole-substituted derivatives or steroids with indole moieties (Scheme 8).

Cu(I)-catalyzed modifications of steroids.
In some cases copper catalyst works better than palladium, e.g. in the reactions of terminal acetylenes with P–Cl bond. Also nickel catalysis gave better results than palladium in the formation of various alkynyl phosphines (mono-, di- and trisubstituted), and it was indispensable in the case of the compounds possessing P–O and P–N bonds [33], [34] (Scheme 9).

Cu(I)- and Ni(II)-catalyzed alkynylation of phosphines.
Cross-coupling reactions of aryl halides and vinyl halides with diphenyl phosphine or dibutyl phosphite were also catalyzed by CuI very efficiently, with diphenyl phosphine even without any additional ligand [35] (Scheme 10).

Cu(I)-catalyzed formation of C(sp2)–P bond.
Copper catalysis is widely and successfully employed in “click” reactions and this methodology was applied to the synthesis of macrocycles including those with steroidal scaffold [36], [37] (Scheme 11).

Cu(I)-catalyzed cycloaddition reactions leading to steroidal macrocycles.
The formation of linked polyporphyrin compounds (dyads and triads, including a star-shaped trimer), which possess interesting photophysical properties, was achieved using “click” methodology [38], [39] (Scheme 12).

Cu(I)-mediated “click” reactions in the synthesis of porphyrin trimers of different architectures.
Catalytic amination reactions
The most difficult cross-coupling reactions is C–N formation which is now known as Buchwald–Hartwig amination [40], [41]. Amination of aryl halides with N,N-diethylaminotributyltin was carried out by Kosugi and Migita in 1983 [42], and our contribution to this field was the first palladium-catalyzed arylation of diphenylamine in water under ligandless conditions [43]. We concentrated our efforts on the arylation of polyamines and found conditions to obtain mono-, di- and polyarylated derivatives [44], and with dibromobenzene we studied the diamination process [45]. Sometimes it is possible to use Cu(I) with a proper ligand, but in the majority of cases palladium is preferable [46]. We used Pd(0)-catalyzed amination in the synthesis of porphyrin dyads and triads using diamine linkers [47] (Scheme 13).

Examples of various di- and triporphyrin structures obtained using Pd(0)-catalzyed amination reactions.
These compounds can coordinate both electrophiles and nucleophiles at the same time and can be used in supramolecular chemistry. For example, the porphyrin dyad with ethylenediamine linker changed linear structure upon coordination with CuBr forming a tweezer, and on the addition of HCl or a stronger ligand like phenanthroline it resumed the initial structure [48] (Scheme 14). Analogous tweezer structure was obtained after the coordination of the same dyad with DABCO.

Porphyrin dyad with a flexible linker as a tweezer.
Macrocycles with two porphyrin moieties or conjugates of calyx[4]crown ether with two porphyrins possess three centers of coordination; some of them were found to be efficient fluorescent chemosensors for Cu(II) [49], [50] (Scheme 15).
![Scheme 15:
Pd(0)-catalyzed amination in the synthesis of porphyrin conjugates with macrocycles and calix[4]arenes.](/document/doi/10.1515/pac-2016-1110/asset/graphic/j_pac-2016-1110_fig_015.jpg)
Pd(0)-catalyzed amination in the synthesis of porphyrin conjugates with macrocycles and calix[4]arenes.
Using Pd(0)-catalyzed amination we obtained a great variety of polyazamacrocycles, for example, those possessing chromophore and fluorophore endocyclic moieties which were found to be chemosensors for Pb(II) and Cu(II) cations [51], [52] (Scheme 16).

Pd(0)-catalyzed amination in the synthesis of chemosensors with endocyclic chromophore or fluorophore moieties.
Catalytic amination became a powerful tool for the synthesis of macrobicyclic compounds possessing central diazacrown moieties, tri- and tetraazamacrocycles with exocyclic fluorophore groups like dansyl, and were found to be efficient fluorescent molecular probes for Al(III) and Cu(II) cations causing total emission quenching (Scheme 17).

Pd(0)-catalyzed amination in the synthesis of chemosensors with exocyclic fluorophore moieties.
Macrotricycles of different architecture containing cyclen and cyclam central moieties which were obtained via Pd(0)-mediated amination possess spherical or cylindrical shape and these compounds can also serve as hosts for cations [53] (Scheme 18).

Macropolycyclic compounds synthesized via Pd-catalyzed amination reactions.
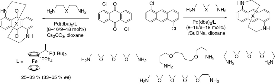
We also introduced the chiral elements in macrocycles and obtained planar-chiral macrocycles based on 1,5-disubstituted anthraquinone using a chiral phosphine ligand (Scheme 19). Enantiomeric excess exceeded 60% and after one crystallization it was possible to obtain pure enantiomer [54].

Pd(0)-catalyzed amination in the synthesis of planar-chiral macrocycles.
Also the attempts to synthesize planar-chiral macrobicycles on the basis of cyclam were undertaken [55] (Scheme 20).

Pd(0)-catalyzed amination in the synthesis of planar-chiral macrobicycles.
Chiral macrocycles organized around BINAM scaffold possessing different aryl spacers and oxadiamine linkers, provided with fluorophore groups like dansyl or aminoquinoline, were synthesized using Pd(0)-catalyzed macrocyclization (Scheme 21) and are being studied now as fluorescent chemosensors for small chiral molecules like aminoalcohols by changing their fluorescence on binding with certain enantiomer [56].

Pd(0)-catalyzed amination in the synthesis of the macrocycles with chiral BINAM and fluorescent dansyl moieties.
CH-activation, organocatalysis and catalysis by Lewis acids in C–C bonds formation
Our recent studies are also dedicated to C–H activation reactions which allow to use aromatic compounds without halogen or without metal in cross-coupling reactions. The introduction of the phosphoryl group in porphyrins was carried out successfully via palladium-catalyzed oxidative coupling of meso-CH of the porphyrin dialkyl phosphine or dihenylphosphonous acid (Scheme 22).

CH-activation in the synthesis of meso-phosphorylated porphyrins.
In the another approach to substituted porphyrins we exploited the Pd-mediated coupling of mono- and di(bromophenyl) derivatives with so-called “acidic” heteroaromatic compounds like thiazole, benzoxazole, imidazole (Scheme 23).

CH-activation in the synthesis of porphyrins substituted with heterocyles.
Another very important trend in the organic synthesis of the XXI century is a strong interest to asymmetric catalysis to produce optically pure compounds. Such reactions are mediated by either organocatalysts or by Lewis or Broensted acids, and among them are such important processes as aldol condensation, Michael addition, Friedel–Crafts and Diels–Alder reactions, cyclopropanation which form compounds with one or several chiral centers. Our contribution to this field is the use of the Cu(OTf)2 complex with a chiral bisoxazoline ligand immobilized on the Merrifield resin in Michael addition reactions of indole and its derivatives with benzylydene malonate [57]. We achieved 96% ee and showed the possibility of recycling the catalyst (Scheme 24). The same catalyst was demonstrated to be used also in the addition reactions to the carbonyl group.

Asymmetric addition to benzylydene malonates using immobilized catalyst.
Polystyrene-supported derivative of proline was found to be an efficient organocatalyst for the asymmetric α-amination of aldehydes using diazadicarboxylates [58], and a careful choice of substituents in the aminating agent resulted in excellent enantioselectivity (>99% ee) (Scheme 25). The same immobilized oraganocatalyst was equally applicable to the asymmetric Michael addition of malonates to unsaturated aldehydes in the presence of Lewis acid Ca(OTf)2 acting as a cocatalyst [59] (Scheme 25).

Asymmetric α-amination and addition to α,β-unsaturated aldehydes using immobilized organocatalyst.
Rather simple Lewis acid Cu(ClO4)2 with 2,2′-bipyridyl as a ligand served for the Michael addition of aromatic and heteroaroamtic compounds to vinyl phosphonates under mild conditions [60] (Scheme 26).

Lewis acid catalyzed addition to vinyl phosphonates.
Another immobilized catalyst – PEG-supported PyBOX was successfully applied in the asymmetric alkynylation of the Schiff base by phenylacetylene (Scheme 27). The reaction produced the target product in 83% yield with 90% enantioselectivity, and the catalyst was shown to be recycled at least three times without loss of efficiency [61].

Asymmetric alkynylation of imine using immobilized reusable PyBOX ligand.
Article note
A collection of invited papers based on presentations at the XX Mendeleev Congress on General and Applied Chemistry (Mendeleev XX), held in Ekaterinburg, Russia, September 25–30, 2016.
Acknowledgement
The research was financially supported by the Russian Science Foundation (RSF grant N 14-23-00186).
References
[1] A. Wurtz. Ann. Chem.96, 364 (1855).10.1002/jlac.18550960310Search in Google Scholar
[2] R. J. P. Corriu, J. P. Masse. J. Chem. Soc. Chem. Commun. 144a (1972).10.1039/c3972000144aSearch in Google Scholar
[3] K. Tamao, K. Sumitani, M. Kumada. J. Am. Chem. Soc.94, 4374 (1972).10.1021/ja00767a075Search in Google Scholar
[4] M. Yamamura, I. Moritani, S.-I. Murahashi. J. Organomet. Chem.91, C39 (1975).10.1016/S0022-328X(00)89636-9Search in Google Scholar
[5] S.-I. Murahashi, M. Yamamoto, K. Yanagisawa, N. Mita, K. Kondo. J. Org. Chem.44, 2408 (1979).10.1021/jo01328a016Search in Google Scholar
[6] D. Milstein, J. K. Stille. J. Am. Chem. Soc.100, 3636 (1978).10.1021/ja00479a077Search in Google Scholar
[7] N. Mizoroki, K. Mori, A. Ozaki. Bull. Chem. Soc. Jpn.44, 581 (1971).10.1246/bcsj.44.581Search in Google Scholar
[8] R. F. Heck, J. P. Nolley. J. Org. Chem.37, 2320 (1972).10.1021/jo00979a024Search in Google Scholar
[9] K. Sonogashira, Y. Tohda, N. Hagihara. Tetrahedron Lett.16, 4467 (1975).10.1016/S0040-4039(00)91094-3Search in Google Scholar
[10] N. Miyaura, K. Yamada, A. Suzuki. Tetrahedron Lett.20, 3437 (1979).10.1016/S0040-4039(01)95429-2Search in Google Scholar
[11] N. Miyaura, A. Suzuki. Chem. Rev.95, 2457 (1995).10.1021/cr00039a007Search in Google Scholar
[12] A. Schoenberg, I. Bartoletti, R. F. Heck. J. Org. Chem.39, 3318 (1974).10.1021/jo00937a003Search in Google Scholar
[13] M. Hidai, T. Hikita, Y. Wada, Y. Fujikura, Y. Uchida. Bull. Chem. Soc. Jpn.48, 2075 (1975).10.1246/bcsj.48.2075Search in Google Scholar
[14] T. Ito, K. Mori, T. Mizoroki, A. Ozaki. Bull. Chem. Soc. Jpn.48, 2091 (1975).10.1246/bcsj.48.2091Search in Google Scholar
[15] A. O. King, N. Yasuda. Top. Organomet. Chem.6, 205 (2004).10.1007/b94551Search in Google Scholar
[16] I. P. Beletskaya. J. Organomet. Chem.250, 551 (1983).10.1016/0022-328X(83)85077-3Search in Google Scholar
[17] N. A. Bumagin, K. V. Nikitin, I. P. Beletskaya. J. Organomet. Chem.358, 563 (1988).10.1016/0022-328X(88)87103-1Search in Google Scholar
[18] I. P. Beletskaya, A. V. Cheprakov. “Aqueous transition-metal catalysis”, in Organic Synthesis in Water, P. A. Grieco (Ed.), p. 141, Blackie Academic and Professional, London (1998).10.1007/978-94-011-4950-1_5Search in Google Scholar
[19] I. P. Beletskaya, A. V. Cheprakov. “Palladium-catalyzed reactions: from the art of today to a common tool of tomorrow”, in Transition Metal Catalyzed Reactions, S.-I. Murahashi, S. G. Davies (Eds.), p. 29, Blackwell Science, Oxford (1999).Search in Google Scholar
[20] I. P. Beletskaya, A. V. Cheprakov. “Aqueous palladium catalysis”, in Handbook of Organopalladium Chemistry vol. 2, E. I. Negishi (Ed.), p.2957, Wiley Int., New York (2002).Search in Google Scholar
[21] A. V. Cheprakov, N. V. Ponomareva, I. P. Beletskaya. J. Organomet. Chem.486, 297 (1995).10.1016/0022-328X(94)05102-HSearch in Google Scholar
[22] I. P. Beletskaya, A. N. Kashin, A. E. Litvinov, V. S. Tyurin, P. M. Valetsky, G. van Koten. Organometallics25, 154 (2006).10.1021/om050562xSearch in Google Scholar
[23] A. S. Sigeev, A. S. Peregudiv, A. V. Cheprakov, I. P. Beletskaya. Adv. Synth. Catal.357, 417 (2015).10.1002/adsc.201400562Search in Google Scholar
[24] I. P. Beletskaya, A. N. Kashin, I. A. Khotina, A. R. Khokhlov. Synlett2008, 1547 (2008).10.1055/s-2008-1078430Search in Google Scholar
[25] I. P. Beletskaya, O. G. Ganina. React. Kinet. Mech. Cat.99, 1547 (2010).Search in Google Scholar
[26] I. P. Beletskaya, A. R. Khokhlov, E. A Tarasenko, V. S. Tyrin. J. Organomet. Chem.692, 4402 (2007).10.1016/j.jorganchem.2007.06.056Search in Google Scholar
[27] A. V. Selivanova, V. S. Tyurin, V. V. Matveev, A. R. Khokhlov. Russ. J. Org. Chem.46, 157 (2010).10.1134/S1070428010020016Search in Google Scholar
[28] A. V. Selivanova, V. S. Tyrin, I. P. Beletskaya. ChemPlusChem79, 1278 (2014).10.1002/cplu.201402111Search in Google Scholar
[29] A. N. Kashin, O. G. Ganina, A. V. Cheprakov, I. P. Beletskaya. ChemCatChem7, 2113 (2015).10.1002/cctc.201500329Search in Google Scholar
[30] M. V. Anokhin, A. D. Averin, I. P. Beletskaya. Eur. J. Org. Chem.2011, 6240 (2011).10.1002/ejoc.201100483Search in Google Scholar
[31] Y. N. Kotovshchikov, G. V. Latyshev, N. V. Lukashev, I. P. Beletskaya. Eur. J. Org. Chem.2013, 7823 (2013).10.1002/ejoc.201300719Search in Google Scholar
[32] Y. N. Kotovshchikov, G. V. Latyshev, N. V. Lukashev, I. P. Beletskaya. Org. Biomol. Chem.13, 5542 (2015).10.1039/C5OB00559KSearch in Google Scholar PubMed
[33] I. P. Beletskaya, V. V. Afanasiev, M. A. Kazankova, I. V. Efimova. Org. Lett.5, 4309 (2003).10.1021/ol035562cSearch in Google Scholar PubMed
[34] V. V. Afanasiev, I. P. Beletskaya, M. A. Kazankova, I. V. Efimova, M. U. Antipin. Synthesis295, 2835 (2003).10.1055/s-2003-42493Search in Google Scholar
[35] D. Gelman, L. Jiang, S. L. Buchwald. Org. Lett.5, 2315 (2003).10.1021/ol0346640Search in Google Scholar
[36] G. V Latyshev, M. S. Baranov, A. V. Kazantsev, A. D. Averin, N. V. Lukashev, I. P. Beletskaya. Synthesis35, 2605 (2009).10.1055/s-0029-1217400Search in Google Scholar
[37] D. A. Erzunov, G. V. Latyshev, A. D. Averin, I. P. Beletskaya, N. V. Lukashev. Eur. J. Org. Chem.2015, 6289 (2015).10.1002/ejoc.201500835Search in Google Scholar
[38] Y. P. Polevaya, V. S. Tyurin, I. P. Beletskaya. J. Porphyrins Phthalocyanines18, 20 (2014).10.1142/S1088424613500636Search in Google Scholar
[39] Y. P. Yashchuk, V. S. Tyurin, I. P. Beletskaya. Macroheterocycles5, 302 (2012).10.6060/mhc2012.121199bSearch in Google Scholar
[40] B. H. Yang, S. L. Buchwald. J. Organomet. Chem.576, 125 (1999).10.1016/S0022-328X(98)01054-7Search in Google Scholar
[41] J. F. Hartwig. Angew. Chem. Int. Ed.37, 2046 (1998).10.1002/(SICI)1521-3773(19980817)37:15<2046::AID-ANIE2046>3.0.CO;2-LSearch in Google Scholar
[42] M. Kosugi, M. Kameyama, T. Migita. Chem. Lett.12, 927 (1983).10.1246/cl.1983.927Search in Google Scholar
[43] D. V. Davydov, I. P. Beletskaya. Russ. Chem. Bull.44, 1141 (1995).10.1007/BF00707076Search in Google Scholar
[44] R. Guilard, A. G. Bessmertnykh, I. P. Beletskaya. Tetrahedron Lett.38, 2287 (1997).10.1016/S0040-4039(97)00363-8Search in Google Scholar
[45] I. P. Beletskaya, A. G. Bessmertnykh, R. G. Guilard. Synlett1999, 1459 (1999).10.1055/s-1999-2837Search in Google Scholar
[46] I. P. Beletskaya, A. G. Bessmertnykh, A. D. Averin, F. Denat, R. Guilard. Eur. J. Org. Chem.234, 261 (2005).10.1002/ejoc.200400456Search in Google Scholar
[47] V. S. Tyurin, E. A. Mikhalitsyna, A. S. Semeikin, I. P. Beletskaya. Macroheterocycles8, 358 (2015).10.6060/mhc150769bSearch in Google Scholar
[48] E. A. Mikhalitsyna, V. S. Tyurin, I. P. Beletskaya. J. Porphyrins Phthalocyanines19, 874 (2015).10.1142/S1088424615500637Search in Google Scholar
[49] A. A. Yakushev, A. D. Averin, O. A. Maloshitskaya, S. A. Syrbu, O. I. Koifman, I. P. Beletskaya. Mendeleev Commun.26, 199 (2016).10.1016/j.mencom.2016.04.006Search in Google Scholar
[50] A. A. Yakushev, A. D. Averin, O. A. Maloshitskaya, S. A. Syrbu, O. I. Koifman, I. P. Beletskaya. Macroheterocycles9, 65 (2016).10.6060/mhc151206aSearch in Google Scholar
[51] A. S. Abel, A. D. Averin I. P. Beletskaya. New J. Chem.40, 5818 (2016).10.1039/C5NJ03231HSearch in Google Scholar
[52] E. Ranyuk, C. Morkos-Douaihy, A. Bessmertnykh, F. Denat, A. Averin, I. Beletskaya, R. Guilard. Org. Lett.11, 987 (2009).10.1021/ol802926mSearch in Google Scholar PubMed
[53] S. M. Kobelev, A. D. Averin, A. K. Buryak, F. Denat, R. Guilard, I. P. Beletskaya. Tetrahedron Lett.53, 210 (2012).10.1016/j.tetlet.2011.11.024Search in Google Scholar
[54] E. R. Ranyuk, A. D. Averin, I. P. Beletskaya. Adv. Synth. Catal.352, 2299 (2010).10.1002/adsc.201000181Search in Google Scholar
[55] S. M. Kobelev, A. D. Averin, O. A. Maloshitskaya, F. Denat, R. Guilard, I. P. Beletskaya. Macroheterocycles5, 389 (2012).10.6060/mhc2012.121102aSearch in Google Scholar
[56] O. K. Grigorova, A. D. Averin, O. A. Maloshitskaya, I. P. Beletslaya. Macroheterocycles9, 425 (2016).10.6060/mhc161071aSearch in Google Scholar
[57] V. G. Desyatkin, M. V. Anokhin, I. P. Beletskaya. Russ. J. Org. Chem.52, 1727 (2016).10.1134/S1070428016120010Search in Google Scholar
[58] A. A. Guryev, M. V. Anokhin, A. D. Averin, I. P. Beletskaya. Mendeleev Commun.25, 410 (2015).10.1016/j.mencom.2015.11.002Search in Google Scholar
[59] A. A. Guryev. M. V. Anokhin, A. D. Averin, I. P. Beletskaya. Mendeleev Commun.26, 469 (2016).10.1016/j.mencom.2016.11.002Search in Google Scholar
[60] E. A. Tarasenko, I. P. Beletskaya. Synthesis49, 1689 (2017).10.1055/s-0036-1588660Search in Google Scholar
[61] E. A. Tarasenko, I. P. Beletskaya. Mendeleev Commun.26, 477 (2016).10.1016/j.mencom.2016.11.005Search in Google Scholar
©2017 IUPAC & De Gruyter. This work is licensed under a Creative Commons Attribution-NonCommercial-NoDerivatives 4.0 International License. For more information, please visit: http://creativecommons.org/licenses/by-nc-nd/4.0/
Articles in the same Issue
- Frontmatter
- In this issue
- Conference papers
- Studies on oxidative transformations of thiols, sulfides and alcohols in the presence of chlorine dioxide
- Oligosaccharide ligand tuning in design of third generation carbohydrate pneumococcal vaccines
- New trends in the cross-coupling and other catalytic reactions
- Bromate anion reduction: novel autocatalytic (EC″) mechanism of electrochemical processes. Its implication for redox flow batteries of high energy and power densities
- Integral estimation of xenobiotics’ toxicity with regard to their metabolism in human organism
- Interrupted amperometry: the new possibilities in electrochemical measurements
- Electrochemical DNA sensors based on spatially distributed redox mediators: challenges and promises
- Novel analytical approaches to determination of chemical warfare agents and related compounds for verification of nonproliferation of chemical weapons
- New amorphous nanophosphors obtained by evaporation of silicates and germanates REE
- Modern energetics: current problems in energy conversion and utilization of produced energy
- Electroflotation extraction of sparingly soluble compounds of non-ferrous and rare-earth metals from liquid technological waste
- The physicochemical bases of the pyrometallurgical processing of the titanomagnetite ores
- Prospective directions for development of metallurgy and materials science of steel
- Analysis and synthesis of optimal supply systems for gas-chemical complexes
- Development of new catalytic processes for processing petroleum feedstock
- Electronic nose based on nanoweights, expectation and reality
Articles in the same Issue
- Frontmatter
- In this issue
- Conference papers
- Studies on oxidative transformations of thiols, sulfides and alcohols in the presence of chlorine dioxide
- Oligosaccharide ligand tuning in design of third generation carbohydrate pneumococcal vaccines
- New trends in the cross-coupling and other catalytic reactions
- Bromate anion reduction: novel autocatalytic (EC″) mechanism of electrochemical processes. Its implication for redox flow batteries of high energy and power densities
- Integral estimation of xenobiotics’ toxicity with regard to their metabolism in human organism
- Interrupted amperometry: the new possibilities in electrochemical measurements
- Electrochemical DNA sensors based on spatially distributed redox mediators: challenges and promises
- Novel analytical approaches to determination of chemical warfare agents and related compounds for verification of nonproliferation of chemical weapons
- New amorphous nanophosphors obtained by evaporation of silicates and germanates REE
- Modern energetics: current problems in energy conversion and utilization of produced energy
- Electroflotation extraction of sparingly soluble compounds of non-ferrous and rare-earth metals from liquid technological waste
- The physicochemical bases of the pyrometallurgical processing of the titanomagnetite ores
- Prospective directions for development of metallurgy and materials science of steel
- Analysis and synthesis of optimal supply systems for gas-chemical complexes
- Development of new catalytic processes for processing petroleum feedstock
- Electronic nose based on nanoweights, expectation and reality